Разработка структурной схемы и испытания модели СПИ на ЭВМ

  • Вид работы:
    Курсовая работа (т)
  • Предмет:
    Информационное обеспечение, программирование
  • Язык:
    Русский
    ,
    Формат файла:
    MS Word
    512,25 Кб
  • Опубликовано:
    2015-05-07
Вы можете узнать стоимость помощи в написании студенческой работы.
Помощь в написании работы, которую точно примут!

Разработка структурной схемы и испытания модели СПИ на ЭВМ

Федеральное Агентство Связи

Федеральное Государственное Образовательное Бюджетное Учреждение

Высшего Профессионального Образования

«Сибирский Государственный Университет Телекоммуникаций и Информатики»

(ФГОБУ ВПО «СибГУТИ»)

Кафедра РТС



Курсовая работа по дисциплине: «Помехоустойчивое кодирование»

Тема: «Разработка структурной схемы и испытания модели СПИ на ЭВМ»

Вариант №2



Выполнила: Бикмуллина М.О.,

гр. РА-15

Проверила: Гилярова Ю.Г.




Новосибирск, 2014 г.

Техническое задание

1)      Разработать структурную схему СПИ с защитой от ошибок и провести статистические исследования модели СПИ на ЭВМ с целью выбора необходимого варианта элементов структуры СПИ, определения информационных характеристик и их соответствия техническому заданию.

)        Канал двоичный скорость передачи V=9600 Бод, амплитудная, частотная, фазовая (выбор) модуляции, релеевские замирания, отношение сигнал/шум: случайной составляющей сигнала Hc=1, регулярной составляющей Hр=5, средняя скорость замираний Q=0,1.

)        Приемник с m=1 - кратным разнесением, линейное сложение, некогерентная или когерентная (по варианту) оптимальная обработка сигналов.

)        В устройстве защиты от ошибок (УЗО) использовать корректирующий код, исправляющий ошибки; вид и характеристики кода, а также тип кодера определяется в процессе проектирования; вероятность ошибки декодирования (вероятность ошибки на выходе системы) не более 10-5.

)        В результате испытаний найти оценки:

§  Распределения кратностей ошибок;

§  Средней вероятности ошибки;

§  Пропускной способности канала передачи информации (ПИ) без кодека УЗО и с кодеком УЗО;

Содержание

Введение

1.     Структурная схема СПИ

2.      Методика и алгоритм статистических испытаний

.        Теоретические и экспериментальные результаты исследований

3.1.  Исследование сверточного кода (10,5) пороговый декодер

3.2.   Исследование сверточного кода (24,12) декодер Витерби R=1/2

.3.     Исследование циклического кода (15,11) декодер Меггита

.4.     Исследование циклического кода (7,3) мажоритарный декодер

4.     Сравнение декодеров

Выводы

Заключение

Библиография

Введение

Помехоустойчивость, как известно, определяется способностью системы противостоять вредному влиянию помех. Количественной мерой помехоустойчивости при передаче дискретных сообщений, как правило, является вероятность ошибки в принимаемой последовательности.

Основным средством обеспечения высокой помехоустойчивости является контролируемое введение избыточности, необходимой для обнаружения и исправления ошибок, возникающих при работе системы и ее элементов. Базой эффективного использования вводимой избыточности является помехоустойчивое кодирование. Из всего многообразия помехоустойчивых кодов, циклические и сверточные кодышироко используются в системах телекоммуникации при передаче дискретных сообщений.

Цели курсовой работы:

§ Провести статистические исследования модели СПИ на ЭВМ;

§  Исследовать различные варианты корректирующих кодов, с целью выбора из них наиболее лучшего для кодирования сообщений;

§ Исследовать достоверность принятой информации на приемной стороне с УЗО и без него и сделать вывод о качестве его работы.

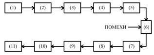
1. Структурная схема СПИ

Рис 1. - структурная схема СПИ.

Описание структурной схемы СПИ:

)     Источник данных (генерация символов);

2)      Кодер источника (статистическое кодирование символов, присваивание символам неоднородной двоичной комбинации по статистическому алгоритму);

)        Шифратор (криптографическая защита, конфиденциальность информации);

)        Кодер (помехоустойчивое кодирование, перемежение, перестановка элементов потока данных таким образом, чтобы деперемежитель на приемной стороне декодировал помехи, т.е. преобразовал пакет ошибок, происходящих в реальных дискретных каналах связи в поток независимых ошибок);

)        Модулятор (модуляция передаваемого сообщения, изменение параметров высокочастотного несущего колебания по закону низкочастотного информационного сигнала);

)        Линия связи (в этом сегменте происходит воздействие помех на передаваемое сообщение);

)        Демодулятор (демодуляция, преобразование модулированных колебаний высокой частоты в колебания с низкой частотой);

)        Декодер (деперемежение, декодирование помех в пакет независимых ошибок);

)        Дешифратор (дешифрование, изменение зашифрованных данных, так чтобы вернуться к исходному коду);

)        Декодер источника (декодирование, преобразование бинарного кода в символы);

)        Получатель данных;

2. Методика и алгоритм статистических испытаний

Автоматизированное рабочее место (АРМ) представляет собой специализированный программно-учебный комплекс исследования и проектирования систем передачи информации, который осуществляет следующую совокупность операций:

·    Ввод исходных данных для имитационного и математического моделирования и статистических испытаний;

·        Имитация основных узлов СПИ и организация взаимодействия между ними;

·        Обработка и анализ результатов моделирования и статистических испытаний;

·        Управление программными модулями;

·        Вывод результатов исследований на монитор и принтер ЭВМ (формирование текстовых файлов для печати);

·        Организация диалога «Исследователь-ЭВМ».

Структурная схема алгоритма работы АРМ приведена на рисунке 2.

В блоке «Ввод данных» содержатся задания, исходные данные и ресурсы для статистических исследований. Исходные данные определяют ограничения на исследования: ограничения параметров, структуры, цели и др. Блоки «Модель Сигнала», «Модель канала» и «Модель УЗО» можно объединить в один общий блок «Исследования». Следовательно, работу такого блока можно свести к перебору допустимых структур исследования СПИ, в пределах которых изменяются модели сигналов, каналов передачи информации, устройств защиты от ошибок (УЗО). Кроме этого, нужно задать параметры соответствующих блоков для успешного выполнения моделирования:

·    для модели сигнала задается распределение вероятностей символов «1» и «0» для получения случайной последовательности, используемой в качестве сигнала;

·        для моделирования КС задаются параметры соответствующего непрерывного канала. Конкретная реализация модели канала передачи зависит от выбранной структуры исследования СПИ. Параметры непрерывного канала должны содержать характеристики отношения сигнал/шум в канале, вид модуляции, способ приема, кратность разнесения, относительную скорость замираний и др;

·        группа параметров УЗО должна содержать данные и ограничения к пакету модулей алгоритмов кодирования и декодирования, а также указания, необходимые для формирования требуемого алгоритма работы УЗО).

Затем, нам необходимо заглянуть в блок «Проверка объема испытаний». Необходимо, чтобы , где количество минимальных испытаний, которое мы должны рассчитать. Если это условие выполняется, то переходим в блок «Обработка результатов». Здесь анализируем полученные расчетные данные, строим графики, диаграммы и все то, что от нас требуется. И делаем вывод о проделанной работе. Если это условие не выполняется, то начинаем все заново.

Рисунок 2 - Структурная схема алгоритма работы АРМ.

3. Методика и алгоритм статистических испытаний модели СПИ на ЭВМ. Информационные характеристики и их соответствия техническому заданию

 

Исходные данные для выполнения моделирования:

§  Канал двоичный;

§  скорость передачи;

§  Амплитудная, частотная, фазовая (выбор) модуляция;

§  Релеевские замирания;

§  регулярная составляющая сигнала;

§  случайная составляющая сигнала;

§  скорость замираний;

§  вероятность ошибок в канале;

§  Приемник с кратным разнесением;

§  Линейное сложение;

§  Когерентная оптимальная обработка сигналов;

Корректирующие коды для исследования:

§  Сверточный код (10,5), пороговый декодер;

§  Сверточный код (24,12), , декодер Витерби;

§  Циклический код (15,11), декодер Меггита;

§  Циклический код (7,3), декодер мажоритарный декодер.

Выполняется моделирование экспериментально с помощью автоматизированного рабочего местапроектирования и исследования системы передачи информации в программе ARM. Сначала нужно сделать выбор объема статистических испытаний . Дляэкономного использования машинного времени ЭВМ и обеспечить заданную в массиве исходных параметров точность определения оцениваемых величин.

3.1 Сверточный код (10,5), пороговый декодер


Минимальное количество кодовых слов для статистических исследований канала или устройства защиты от ошибок (УЗО, кодека) в зависимости от средней вероятности ошибки  (на выходе канала или на выходе УЗО) определяется выражением:

 

длина кодового слова;

 погрешность оценки в долях оцениваемой вероятности ;

 определяется из двухсторонней статистики с нормированным нормальным распределением ,  мера надежности оценки, или вероятность того, что истинное значение определяемого среднего отстает от его оценки не более, чем на величину . В нашем случае примем Тогда, с учетом всех данных, получаем минимальное количество испытаний:


Для доверительной оценки измеряемой величины найдем доверительный интервал , который накрывает измеренную величину с заданной вероятностью


Методом статистических испытаний получим и построим распределение кратностей ошибок на входе и выходе декодера для сверточного кода (10,5). Приведем расчеты, которые получили в программе:

Амплитудная модуляция.

Результаты испытаний

Исходные данные:

Сигнал двоичный: p(1) =0.5000000.

Непрерывный канал:

= 10.0; Hc = 2.0;= 1; Q = 0.1000000;

Модулятор: md =0.5; Демодулятор: dm =1;

Критерий качества: МП ;

Дискретный канал:

Пороговые уровни: H1 = 12.0; H2 = 2.4;

Вероятности состояний:

=0.4400111;=0.5263690;=0.0336199;

Вероятности ошибок:

=0.002101906;=0.033217786;=0.193759054;

Матрица переходных вероятностей:

.9082371 0.0917629 0.0000000

.0767080 0.9079710 0.0153211

.0000000 0.2398739 0.7601261

Средняя вероятность ошибки: Pcp=0.0249238;

Параметры перемежителя: A=1; C=1; L=1.

Используется сверточный код: n=10; k=5;

Производящий(е) многочлен(ы):

(x)=71;(8-ричная запись)

Объем испытаний NB=5352.

Распределение кратностей ошибок до декодирования: NB=5323;

Таблица №1 - Распределение кратностей ошибок до декодирования: n=10:

0

1

2

3

4

0.7937220

0.1694694

0.0300822

0.0054185

0.0005605


Таблица №2 - Распределение кратностей ошибок до декодирования: k=5:

01234





0.9794469

0.0091555

0.0072870

0.0031764

0.0009342


Эквивалентная вер-ть ошибки Рвх=0.025261584-+0.000881779;

Эквивалентная вер-ть ошибки Рвых=0.007399103-+0.000681047;

Пропускная способность канала без УЗО: Ск/Смах=0.855911;

Пропускная способность канала c УЗО: Сs/Смах=0.468495.

Рисунок 3- Распределение кратностей ошибок АМ для порогового декодера.

Частотная модуляция.

Результаты испытаний

Исходные данные:

Сигнал двоичный: p(1) =0.5000000.

Непрерывный канал: Hp = 10.0; Hc = 2.0; m = 1; Q = 0.1000000;

Модулятор: md =0.5; Демодулятор: dm =1;

Критерий качества: МП ;

Дискретный канал:

Пороговые уровни: H1 = 12.0; H2 = 2.4;

Вероятности состояний:

=0.4400111;=0.5263690;=0.0336199;

Вероятности ошибок:

=0.000047970;=0.007102476;=0.120222419;

Матрица переходных вероятностей:

.9082371 0.0917629 0.0000000

.0767080 0.9079710 0.0153211

.0000000 0.2398739 0.7601261

Средняя вероятность ошибки: Pcp=0.0078015;

Параметры перемежителя: A=1; C=1; L=1.

Используется сверточный код: n=10; k=5;

Производящий(е) многочлен(ы): g(x)=71;(8-ричная запись)

Объем испытаний NB=5352.

Распределение кратностей ошибок до декодирования: NB=5323;

Таблица №1 - Распределение кратностей ошибок до декодирования: n=10:

01234





0.9334828

0.0560538

0.0087818

0.0014948

0.0001868


Таблица №2 - Распределение кратностей ошибок до декодирования: k=5:

01234





0.9960762

0.0020553

0.0013079

0.0003737

0.0001868


Эквивалентная вер-ть ошибки Рвх=0.007884903-+0.000497009;

Эквивалентная вер-ть ошибки Рвых=0.001307922-+0.000287215;

Пропускная способность канала без УЗО: Ск/Смах=0.949790;

Пропускная способность канала c УЗО: Сs/Смах=0.492793.

Рисунок 4- Распределение кратностей ошибок ЧМ для порогового декодера.

Фазовая модуляция.

Результаты испытаний

Исходные данные:

Сигнал двоичный: p(1) =0.5000000.

Непрерывный канал: Hp = 10.0; Hc = 2.0; m = 1; Q = 0.1000000;

Модулятор: md =0.5; Демодулятор: dm =1;

Критерий качества: МП ;

Дискретный канал:

Пороговые уровни: H1 = 12.0; H2 = 2.4;

Вероятности состояний:

=0.4400111;=0.5263690;=0.0336199;

Вероятности ошибок:

=0.000000019;=0.000704703;=0.058408640;

Матрица переходных вероятностей:

.9082371 0.0917629 0.0000000

.0767080 0.9079710 0.0153211

.0000000 0.2398739 0.7601261

Средняя вероятность ошибки: Pcp=0.0023346;

Параметры перемежителя: A=1; C=1; L=1.

Используется сверточный код: n=10; k=5;

Производящий(е) многочлен(ы): g(x)=71;(8-ричная запись)

Объем испытаний NB=5352.

Распределение кратностей ошибок до декодирования: NB=5323;

Таблица №1 - Распределение кратностей ошибок до декодирования: n=10:

01234





0.9772048

0.0194320

0.0026158

0.0007474

0.0000000


Таблица №2 - Распределение кратностей ошибок до декодирования: k=5:

01234





0.9996263

0.0001868

0.0001868

0.0000000

0.0000000


Эквивалентная вер-ть ошибки Рвх=0.002690583-+0.000291087;

Эквивалентная вер-ть ошибки Рвых=0.000112108-+0.000084138;

Пропускная способность канала без УЗО: Ск/Смах=0.984786;

Пропускная способность канала c УЗО: Сs/Смах=0.499184.

Рисунок 5- Распределение кратностей ошибок ФМ для порогового декодера.

Сравним распределения кратностей ошибок АМ,ЧМ и ФМ для порогового декодера:

Рисунок6 - Сравнение распределений кратностей ошибок АМ, ЧМ и ФМ для порогового декодера.

3.2 Сверточный код (24,12),декодер Витерби R=1/2


Минимальное количество кодовых слов  определяется выражением:


Доверительный интервал :

 

Амплитудная модуляция.

Исходные данные:

Сигнал двоичный: p(1) =0.5000000.

Непрерывный канал: Hp = 10.0; Hc = 2.0; m = 1; Q = 0.1000000;

Модулятор: md =0.5; Демодулятор: dm =1;

Критерий качества: МП ;

Дискретный канал:

Пороговые уровни: H1 = 12.0; H2 = 2.4;

Вероятности состояний:

=0.4400111;=0.5263690;=0.0336199;

Вероятности ошибок:

=0.002101906;=0.033217786;=0.193759054;

Матрица переходных вероятностей:

.9082371 0.0917629 0.0000000

.0767080 0.9079710 0.0153211

.0000000 0.2398739 0.7601261

Средняя вероятность ошибки: Pcp=0.0249238;

Параметры перемежителя: A=1; C=1; L=1.

Используется сверточный код: n=24; k=12;

Производящий(е) многочлен(ы): g(x)=нет;

=1+x; g2=1+x+x2; R=1/2, Декодер Витерби.

Объем испытаний NB=2230.

Распределение кратностей ошибок до декодирования: NB=2230;

Таблица №1 - Распределение кратностей ошибок до декодирования: n=24:

01234





0.6130045

0.2686099

0.0802691

0.0291480

0.0071749


Таблица №2 - Распределение кратностей ошибок до декодирования: k=12:

01234





0.9798206

0.0116592

0.0062780

0.0022422

0.0000000


Эквивалентная вер-ть ошибки Рвх=0.023112855-+0.000844373;

Эквивалентная вер-ть ошибки Рвых=0.002578475-+0.000403015;

Пропускная способность канала без УЗО: Ск/Смах=0.855911;

Пропускная способность канала c УЗО: Сs/Смах=0.487056.

Рисунок 7- Распределение кратностей ошибок АМ для декодера Витерби R=1/2.

Частотная модуляция.

Результаты испытаний

Исходные данные:

Сигнал двоичный: p(1) =0.5000000.

Непрерывный канал: Hp = 10.0; Hc = 2.0; m = 1; Q = 0.1000000;

Модулятор: md =0.5; Демодулятор: dm =1;

Критерий качества: МП ;

Дискретный канал:

Пороговые уровни: H1 = 12.0; H2 = 2.4;

Вероятности состояний:

=0.4400111;=0.5263690;=0.0336199;

Вероятности ошибок:

=0.000047970;=0.007102476;=0.120222419;

Матрица переходных вероятностей:

.9082371 0.0917629 0.0000000

.0767080 0.9079710 0.0153211

.0000000 0.2398739 0.7601261

Средняя вероятность ошибки: Pcp=0.0078015;

Параметры перемежителя: A=1; C=1; L=1.

Используется сверточный код: n=24; k=12;

Производящий(е) многочлен(ы): g(x)=нет;

=1+x; g2=1+x+x2; R=1/2, Декодер Витерби.

Объем испытаний NB=2230.

Распределение кратностей ошибок до декодирования: NB=2230;

Таблица №1 - Распределение кратностей ошибок до декодирования: n=24:

01234





0.8645740

0.1094170

0.0206278

0.0049327

0.0000000


Таблица №2 - Распределение кратностей ошибок до декодирования: k=12:

01234





0.9977578

0.0008969

0.0008969

0.0004484

0.0000000


Эквивалентная вер-ть ошибки Рвх=0.006988042-+0.000468102;

Эквивалентная вер-ть ошибки Рвых=0.000336323-+0.000145715;

Пропускная способность канала без УЗО: Ск/Смах=0.949790;

Пропускная способность канала c УЗО: Сs/Смах=0.497817.

Рисунок 8- Распределение кратностей ошибок ЧМ для декодера Витерби R=1/2.

Фазовая модуляция.

Результаты испытаний

Исходные данные:

Сигнал двоичный: p(1) =0.5000000.

Непрерывный канал: Hp = 10.0; Hc = 2.0; m = 1; Q = 0.1000000;

Модулятор: md =0.5; Демодулятор: dm =1;

Критерий качества: МП ;

Дискретный канал:

Пороговые уровни: H1 = 12.0; H2 = 2.4;

Вероятности состояний:

=0.4400111;=0.5263690;=0.0336199;

Вероятности ошибок:

=0.000000019;=0.000704703;=0.058408640;

Матрица переходных вероятностей:

.9082371 0.0917629 0.0000000

.0767080 0.9079710 0.0153211

.0000000 0.2398739 0.7601261

Средняя вероятность ошибки: Pcp=0.0023346;

Параметры перемежителя: A=1; C=1; L=1.

Используется сверточный код: n=24; k=12;

Производящий(е) многочлен(ы): g(x)=нет;

=1+x; g2=1+x+x2; R=1/2, Декодер Витерби.

Объем испытаний NB=2230.

Распределение кратностей ошибок до декодирования: NB=2230;

Таблица №1 - Распределение кратностей ошибок до декодирования: n=24:

01234





0.9470852

0.0035874

0.0000000

0.0000000


Таблица №2 - Распределение кратностей ошибок до декодирования: k=12:

01234





0.9991031

0.0008969

0.0000000

0.0000000

0.0000000


Эквивалентная вер-ть ошибки Рвх=0.002354260-+0.000272333;

Эквивалентная вер-ть ошибки Рвых=0.000074738-+0.000068700;

Пропускная способность канала без УЗО: Ск/Смах=0.984786;

Пропускная способность канала c УЗО: Сs/Смах=0.499434.

Рисунок 9- Распределение кратностей ошибок ФМ для декодера Витерби R=1/2.

Сравним распределения кратностей ошибок АМ,ЧМ и ФМ для декодера Витерби R=1/2:

Рисунок10 - Сравнение распределений кратностей ошибок АМ, ЧМ и ФМ для декодера Витерби R=1/2.

 

3.3 Циклический код (15,11),декодер Меггита


Минимальное количество кодовых слов  определяется выражением:


Доверительный интервал :

 

Амплитудная модуляция.

Исходные данные:

Сигнал двоичный: p(1) =0.5000000.

Непрерывный канал: Hp = 10.0; Hc = 2.0; m = 1; Q = 0.1000000;

Модулятор: md =0.5; Демодулятор: dm =1;

Критерий качества: МП ;

Дискретный канал:

Пороговые уровни: H1 = 12.0; H2 = 2.4;

Вероятности состояний:

=0.4400111;=0.5263690;=0.0336199;

Вероятности ошибок:

=0.002101906;=0.033217786;=0.193759054;

Матрица переходных вероятностей:

.9082371 0.0917629 0.0000000

.0767080 0.9079710 0.0153211

.0000000 0.2398739 0.7601261

Средняя вероятность ошибки: Pcp=0.0249238;

Параметры перемежителя: A=1; C=1; L=1.

Используется сверточный код: n=15; k=11;

Производящий многочлен (8-ичная запись):(x)=31;

Макс. Кратность исправл. ошибок t=1;

Объем испытаний NB=3568.

Распределение кратностей ошибок до декодирования:

Таблица №1 - Распределение кратностей ошибок до декодирования: n=15:

01234





0.7132848

0.2174888

0.0532511

0.0126121

0.0022422


Таблица №2 - Распределение кратностей ошибок до декодирования: k=11:

01234





0.9307735

0.0128924

0.0235426

0.0291480

0.0030830


Эквивалентная вер-ть ошибки Рвх=0.025112108-+0.000879233;

Эквивалентная вер-ть ошибки Рвых=0.014854260-+0.000793799;

Пропускная способность канала без УЗО: Ск/Смах=0.855911;

Пропускная способность канала c УЗО: Сs/Смах=0.651581.

Рисунок 11- Распределение кратностей ошибок АМ для декодера Меггита.

Частотная модуляция.

Исходные данные:

Сигнал двоичный: p(1) =0.5000000.

Непрерывный канал: Hp = 10.0; Hc = 2.0; m = 1; Q = 0.1000000;

Модулятор: md =0.5; Демодулятор: dm =1;

Критерий качества: МП ;

Дискретный канал:

Пороговые уровни: H1 = 12.0; H2 = 2.4;

Вероятности состояний:

=0.4400111;=0.5263690;=0.0336199;

Вероятности ошибок:

=0.000047970;=0.007102476;=0.120222419;

Матрица переходных вероятностей:

.9082371 0.0917629 0.0000000

.0767080 0.9079710 0.0153211

.0000000 0.2398739 0.7601261

Средняя вероятность ошибки: Pcp=0.0078015;

Параметры перемежителя: A=1; C=1; L=1.

Используется сверточный код: n=15; k=11;

Производящий многочлен (8-ичная запись): g(x)=31;

Макс.кратностьисправл.ошибок t=1;

Объем испытаний NB=3568.

Распределение кратностей ошибок до декодирования:

Таблица №1 - Распределение кратностей ошибок до декодирования: n=15:

01234





0.9052691

0.0826794

0.0098094

0.0019619

0.0002803


Таблица №2 - Распределение кратностей ошибок до декодирования: k=11:

01234





0.9879484

0.0025224

0.0033632

0.0053251

0.0008408


Эквивалентная вер-ть ошибки Рвх=0.007286996-+0.000477938;

Эквивалентная вер-ть ошибки Рвых=0.002598859-+0.000334088;

Пропускная способность канала без УЗО: Ск/Смах=0.949790;

Пропускная способность канала c УЗО: Сs/Смах=0.714220.

Рисунок 12- Распределение кратностей ошибок ЧМ для декодера Меггита.

Фазовая модуляция.

Исходные данные:

Сигнал двоичный: p(1) =0.5000000.

Непрерывный канал: Hp = 10.0; Hc = 2.0; m = 1; Q = 0.1000000;

Модулятор: md =0.5; Демодулятор: dm =1;

Критерий качества: МП ;

Дискретный канал:

Пороговые уровни: H1 = 12.0; H2 = 2.4;

Вероятности состояний:

=0.4400111;=0.5263690;=0.0336199;

Вероятности ошибок:

=0.000000019;=0.000704703;=0.058408640;

Матрица переходных вероятностей:

.9082371 0.0917629 0.0000000

.0767080 0.9079710 0.0153211

.0000000 0.2398739 0.7601261

Средняя вероятность ошибки: Pcp=0.0023346;

Параметры перемежителя: A=1; C=1; L=1.

Используется сверточный код: n=15; k=11;

Производящий многочлен (8-ичная запись): g(x)=31;

Макс.кратность исправл.ошибок t=1;

Объем испытаний NB=3568.

Распределение кратностей ошибок до декодирования:

Табл. №1 - Распределение кратностей ошибок до декодирования: n=15:

0

1

2

3

4

0.9722534

0.0243834

0.0033632

0.0000000

0.0000000


Таблица №2 - Распределение кратностей ошибок до декодирования: k=11:

01234





0.9966368

0.0008408

0.0008408

0.0016816

0.0000000


Эквивалентная вер-ть ошибки Рвх=0.002073991-+0.000255645;

Эквивалентная вер-ть ошибки Рвых=0.000687933-+0.000172051;

Пропускная способность канала без УЗО: Ск/Смах=0.984786;

Пропускная способность канала c УЗО: Сs/Смах=0.727306.

Рисунок 13- Распределение кратностей ошибок ФМ для декодера Мегита.

Сравним распределения кратностей ошибок АМ,ЧМ и ФМ для декодера Меггита:

Рисунок14 - Сравнение распределений кратностей ошибок АМ, ЧМ и ФМ для декодера Меггита.

 

3.4 Циклический код (7,3), мажоритарныйдекодер


Минимальное количество кодовых слов  определяется выражением:


Доверительный интервал :

 

Амплитудная модуляция.

Исходные данные:

Сигнал двоичный: p(1) =0.5000000.

Непрерывный канал: Hp = 10.0; Hc = 2.0; m = 1; Q = 0.1000000;

Модулятор: md =0.5; Демодулятор: dm =1;

Критерий качества: МП ;

Дискретный канал:

Пороговые уровни: H1 = 12.0; H2 = 2.4;

Вероятности состояний:

=0.4400111;=0.5263690;=0.0336199;

Вероятности ошибок:

=0.002101906;=0.033217786;=0.193759054;

Матрица переходных вероятностей:

.9082371 0.0917629 0.0000000

.0767080 0.9079710 0.0153211

.0000000 0.2398739 0.7601261

Средняя вероятность ошибки: Pcp=0.0249238;

Параметры перемежителя: A=1; C=1; L=1.

Используется сверточный код: n=7; k=3;

Производящий многочлен (8-ичная запись): g(x)=35;

Макс.кратность исправл.ошибок t=1;

Объем испытаний NB=7646

Распределение кратностей ошибок до декодирования:

Таблица №1 - Распределение кратностей ошибок до декодирования: n=7:

01234





0.8490714

0.1311797

0.0166100

0.0026157

0.0005231


Таблица №2 - Распределение кратностей ошибок до декодирования: k=3:

01234





0.9844363

0.0052315

0.0078472

0.0024850

0.0000000


Эквивалентная вер-ть ошибки Рвх=0.024905646-+0.000875688;

Эквивалентная вер-ть ошибки Рвых=0.009460284-+0.000830909;

Пропускная способность канала без УЗО: Ск/Смах=0.855911;

Пропускная способность канала c УЗО: Сs/Смах=0.395488.

Рисунок 15- Распределение кратностей ошибок АМ для мажоритарного декодера.

 

Частотная модуляция.

Исходные данные:

Сигнал двоичный: p(1) =0.5000000.

Непрерывный канал: Hp = 10.0; Hc = 2.0; m = 1; Q = 0.1000000;

Модулятор: md =0.5; Демодулятор: dm =1;

Критерий качества: МП ;

Дискретный канал:

Пороговые уровни: H1 = 12.0; H2 = 2.4;

Вероятности состояний:

=0.4400111;=0.5263690;=0.0336199;

Вероятности ошибок:

=0.000047970;=0.007102476;=0.120222419;

Матрица переходных вероятностей:

.9082371 0.0917629 0.0000000

.0767080 0.9079710 0.0153211

.0000000 0.2398739 0.7601261

Средняя вероятность ошибки: Pcp=0.0078015;

Параметры перемежителя: A=1; C=1; L=1.

Используется сверточный код: n=7; k=3;

Производящий многочлен (8-ичная запись): g(x)=35;

Макс.кратность исправл.ошибок t=1;

Объем испытаний NB=7646.

Распределение кратностей ошибок до декодирования:

Таблица №1 - Распределение кратностей ошибок до декодирования: n=7:

01234





0.9491237

0.0439445

0.0058854

0.0009155

0.0001308


Таблица №2 - Распределение кратностей ошибок до декодирования: k=3:

01234





0.9945069

0.0030081

0.0019618

0.0005231

0.0000000


Эквивалентная вер-ть ошибки Рвх=0.008426441-+0.000513643;

Эквивалентная вер-ть ошибки Рвых=0.002833726-+0.000456277;

Пропускная способность канала без УЗО: Ск/Смах=0.949790;

Пропускная способность канала c УЗО: Сs/Смах=0.416544.

Рисунок 16- Распределение кратностей ошибок ЧМ для мажоритарного декодера.

Фазовая модуляция.

Исходные данные:

Сигнал двоичный: p(1) =0.5000000.

Непрерывный канал: Hp = 10.0; Hc = 2.0; m = 1; Q = 0.1000000;

Модулятор: md =2.0; Демодулятор: dm =1;

Критерий качества: МП ;

Дискретный канал:

Пороговые уровни: H1 = 12.0; H2 = 2.4;

Вероятности состояний:

=0.4400111;=0.5263690;=0.0336199;

Вероятности ошибок:

=0.000000019;=0.000704703;=0.058408640;

Матрица переходных вероятностей:

.9082371 0.0917629 0.0000000

.0767080 0.9079710 0.0153211

.0000000 0.2398739 0.7601261

Средняя вероятность ошибки: Pcp=0.0023346;

Параметры перемежителя: A=1; C=1; L=1.

Используется сверточный код: n=7; k=3;

Производящий многочлен (8-ичная запись): g(x)=35;

Макс.кратность исправл.ошибок t=1;

Объем испытаний NB=7646.

Распределение кратностей ошибок до декодирования:

Таблица №1 - Распределение кратностей ошибок до декодирования: n=7:

01234





0.9828669

0.0158253

0.0013079

0.0000000

0.0000000


Таблица №2 - Распределение кратностей ошибок до декодирования: k=3:

01234





0.9989537

0.0001308

0.0007847

0.0001308

0.0000000


Эквивалентная вер-ть ошибки Рвх=0.002634431-+0.000288037;

Эквивалентная вер-ть ошибки Рвых=0.000697532-+0.000226619;

Пропускная способность канала без УЗО: Ск/Смах=0.984786;

Пропускная способность канала c УЗО: Сs/Смах=0.425006.

Рисунок 17- Распределение кратностей ошибок ФМ для мажоритарного декодера.

Сравним распределения кратностей ошибок АМ,ЧМ и ФМ для мажоритарного декодера:

Рисунок18 - Сравнение распределений кратностей ошибок АМ, ЧМ и ФМ для мажоритарного декодера.

Сравнение декодеров

Проделав основные расчеты для исследуемых кодов, мы выбрали виды модуляции, которые имеют наилучшие параметры. При анализе значений получилось так, что наилучшим видом модуляции для каждого кода является фазовая модуляция. Теперь проанализируем работу декодеров. Результаты исследований представлены в виде графика:

Рисунок 19(а,б,в) - Сравнение распределений кратностей ошибок для декодеров порогового, Витерби , Меггита, мажоритарного.

Выводы

Из данных полученных в результате исследований можно сделать следующие выводы:

§ устройство защиты от ошибок позволяет повысить достоверность принятой информации, так как вероятность ошибки на выходе декодеров в разы меньше вероятности ошибки на входе. Это заключение мы сделали, сравнив данные, полученные при анализе конкретного вида декодера (Рис. 3,4,5,7,8,9,11,12,13,15,16,17)

§  ФМ обеспечивает наилучшую помехоустойчивость (Рис. 6,10,14,18). Это объясняется тем, что фазовая модуляция обеспечивает наибольшее отношение сигнал/шум на входе решающего устройства, что уменьшает вероятность ошибки на приемной стороне. Это в свою очередь объясняется тем, что фазовая модуляция позволяет полностью использовать энергетические возможности генератора, а значит максимально возможно увеличить энергию передаваемого элемента, что в конечном итоге и приводит к увеличению отношения сигнал/шум при оптимальном приеме.

§  наилучшей обнаруживающей и исправляющей способностями обладает пороговый декодер (Рис. 19(а, б, в)), так как обеспечивает наибольшую достоверность принятой информации (вероятность ошибки на его выходе оказалась наименьшей, по сравнению с остальными декодерами).

Так же следует отметить, что в ходе исследований сверточных/ циклических кодов и соответствующих декодеров не удалось добиться желаемой вероятности ошибки на выходе УЗО (Pвых<10-5). Заданный критерий в данной курсовой работе недостижим, так как вариации кодов и соответствующих декодеров лимитированыпо заданию.

Заключение

Выполнив данную курсовую работу, я исследовала заданные корректирующие коды и соответствующиеим декодеры. Статистические исследования показали, что УЗО позволяет достоверно декодировать полученную информацию, ведь после этого СПИ становится более помехоустойчивой. Проанализировав полученные результаты сделала выводы, что наиболее оптимальным в моем случае является сверточный код 10,5, пороговый декодер, так как он минимизирует вероятность ошибки на выходе. сверточный код декодер корректирующий

Библиография

1. Макаров А.А., Чернецкий Г.А. Корректирующие коды в системах передачи информации. Учебное пособие. - Новосибирск.: СибГУТИ, 2000. - 101с.

2.      Макаров А.А. АРМ исследования и проектирования систем передачи информации. Учебное пособие. - Новосибирск.: СибГУТИ, 2001. - 77с.

.        Макаров А.А., Прибылов В.П. Помехоустойчивое кодирование. Учебник для вузов. - Новосибирск.: СибГУТИ, 2005. - 185с.

Похожие работы на - Разработка структурной схемы и испытания модели СПИ на ЭВМ

 

Не нашли материал для своей работы?
Поможем написать уникальную работу
Без плагиата!
Без нейросетей!