Формирование информационных компетенций учащихся в процессе обучения физики

  • Вид работы:
    Дипломная (ВКР)
  • Предмет:
    Педагогика
  • Язык:
    Русский
    ,
    Формат файла:
    MS Word
    78,35 Кб
  • Опубликовано:
    2015-07-13
Вы можете узнать стоимость помощи в написании студенческой работы.
Помощь в написании работы, которую точно примут!

Формирование информационных компетенций учащихся в процессе обучения физики















Формирование информационных компетенций учащихся в процессе обучения физики


 

 

 

 

 





Троицк - 2008 г.

Содержание

Введение

1. Психолого-педагогическое обоснование использование информационных технологий в процессе обучения физике

. Информационная компетентность как педагогическая категория

. Результаты педагогической исследовательской деятельности по развитию компетентности учащихся и ее результаты

4. Примеры использования информационных технологий в учебном процессе

Заключение

Список литературы

Приложение

Введение

Непрерывно увеличивается объем и изменяется содержание знаний, умений и навыков, которыми должны владеть современные специалисты. Во всех сферах образования ведутся поиски способов интенсификации и быстрой модернизации системы повышения качества обучения с использованием компьютерных технологий. По мнению специалистов “Института информатизации образования” ЮНЕСКО, к наиболее важным направлениям формирования перспективной системы образования можно отнести: повышение качества образования путем применения различных подходов с использованием новых информационных технологий; повышение творческого начала (креативности) в образовании для подготовки людей к жизни в различных социальных средах (обеспечение развивающего образования).

Так как в настоящее время процесс информатизации общества стал одним из наиболее значимых глобальных процессов современного мира, то и для России информатизация как объективная закономерность неизбежна. Она является одним из условий успешного решения задач социально-экономического развития в стране. Одним из ее приоритетных направлений является информатизация образования, которая создает материальную и методологическую основу для возникновения и развития новых форм и методов образования.

Внедрение информатики в практику образования происходило в рамках традиционной образовательной парадигмы с господствующим субъект-объектным стилем взаимоотношений, что обусловило отношение к компьютеру как к еще одному средству обучения, более мощному средству «давления» на ученика, вталкивания в него знаний, формирования умений и навыков. Отсюда отношение к различным формам применения компьютерных технологий (компьютерной поддержке, сопровождению, интегрированным урокам) как комплексу аппаратных и программных средств для решения каких-либо определенных целей. Однако компьютер как средство обучения обладает рядом специфических особенностей, что позволяет выделить его в отдельный класс средств обучения. Применение компьютеров в образовательном процессе имеет ряд преимуществ и ставит определенные проблемы:

Таблица 1

Проблемы:

Преимущества:

- Новые требования к обучающим и обучающимся;

- Интерактивность;

- необходимость стартовых знаний;

- индивидуализация обучения;

- идентификации;

- гибкость и открытость;

- педагогической целесообразности применения средств новых информационных технологий;

- справедливость и корректность оценки;

- проблема позиционного взаимодействия участников образовательного процесса с участием посредника;

- психологическая комфортность.

- применение здоровьесберегающих технологий.



Дидактической основой подготовки учащихся к использованию компьютерных технологий в учебном процессе служат принципы дидактики, определяющие требования к содержанию, методам, организационным формам и средствам обучения, ориентированным на достижение цели обучения. Наше исследование опирается на результаты работ Ю.К. Бабанского, Ю.М. Колягина, В.М. Монахова, М.Н. Скаткина и других авторов, воплотившиеся в современных принципах педагогического процесса, в современном понимании дидактического обеспечения учебно-воспитательного процесса, аспектов информатизации системы обучения, методических проблем использования компьютерных технологий в учебном процессе. Из анализа общих свойств информации, ее видов и функций, влияния на развитие и воспитание человека вытекает требование - информация, циркулирующая в учебном процессе должна эффективно использоваться на каждом конкретном этапе учебного процесса, в каждый момент деятельности обучающего и обучающегося. Это определяет выбор методов, организационных форм и средств обучения, которые должны обеспечивать активность познавательной деятельности обучающихся, когда все их внимание сосредотачивается на сути изучаемого явления или процесса, а не на компьютере, который выступает в качестве средства обучения.

Уровням готовности к педагогической деятельности, разработкам содержания, форм и методов формирования у учителей профессионально-педагогических знаний и умений посвящены многочисленные исследования О.А. Абдуллиной, П.Р. Атутова, В.П. Беспалько, В.И. Загвязинского, А.И. Пискунова, В.Д. Симоненко, В.А. Сластенина, С.Н. Чистяковой, А.И. Щербакова и др.

В связи с этим возникла проблема исследования: обеспечение подготовки учащихся к использованию компьютерных технологий в образовательной деятельности. Решение этой проблемы связано с подготовкой и разработкой соответствующей технологии.

Цель исследования - разработка системы формирования у обучающихся умений и навыков применения компьютерных технологий в познавательной и образовательной деятельности.

Объектом исследования является подготовка обучающихся к использованию компьютерных технологий в образовательном процессе.

Предмет исследования - содержание, формы и методы использования компьютерных технологий в образовательной деятельности.

В качестве гипотезы решения проблемы выдвинуто предположение о том, что подготовка обучающихся к использованию в образовательной деятельности компьютерных технологий будет наиболее эффективной при условии:

• наличия системы знаний и умений в области использования компьютерных технологий в педагогической деятельности, обеспечивающей соответствие их профессиональной подготовки потребностям современного общества;

• наличия учебно-материальной базы и соответствующего методического обеспечения, позволяющих применять полученные знания и умения.

В соответствии с предметом, целью и гипотезой исследования были поставлены задачи:

• проанализировать и обобщить существующую отечественную и зарубежную практику использования компьютерных технологий в учебном процессе;

• проанализировать и оценить использование компьютерных технологий в образовательной деятельности;

• разработать систему учебных занятий и дидактическое обеспечение образовательного процесса;

• провести экспериментальную проверку эффективности разработанной системы.

В основу исследования были положены следующие отправные положения:

• компьютерные технологии, обеспечивая оптимизацию таких видов деятельности, как сбор, систематизация, хранение, поиск, обработка и представление информации, имеют общеучебное значение и могут применяться при изучении всех учебных дисциплин, а также для анализа педагогического труда учителя;

• компьютерные технологии должны быть, прежде всего, средством расширения и углубления знаний в области профессиональной деятельности педагога, обеспечивать полное раскрытие его творческого потенциала, познавательных способностей, формирование научной картины мира;

• использование компьютерных технологий дает возможность значительно повысить эффективность усвоения информации, циркулирующей в учебно-воспитательном процессе;

• при использовании компьютерных технологий необходимо учитывать основные принципы и закономерности педагогического процесса;

• объем подлежащих обязательному усвоению знаний о компьютерных технологиях и способах их использования, а также соответствующих умений должен быть значительно дифференцирован в соответствии со спецификой профессиональной деятельности предметника.

В значимости можно выделить следующие ключевые проблемы:

·  модернизации школьного образования, достижение нового уровня общеучебных умений и навыков, определение дальнейшей образовательной траектории развития личности школьника;

·        переход на профильное обучение;

·        сохранность материально-технической базы школ, как гарантов научно-технического и информационного потенциала;

·        создание информационной базы образовательного учреждения.

Преимущества компьютерной технологии находят свое отражение в работах об интенсификации и активизации обучения (А.А. Абдукадыров, И.В. Алехина, Г.В. Рубина), индивидуализации (В.Ф. Горбенко, Н.В. Карчевская) и гуманизации (Т.В. Габай, М.Б. Калашников, Л.Ф. Плеухова, В.К. Цонева) учебного процесса, реализации творческого, развивающего характера обучения (В.А. Андреев, В.Г. Афанасьев, Г.М. Клейман, Т.А. Сергеева и др.).

В то же время анализ работ обнаруживает противоречие между требованиями.

Общую методологическую основу исследования составляют философские положения о всеобщей связи, взаимообусловленности, развитии и целостности реального мира, а также важнейшие положения философии, педагогики и психологии о деятельностной и творческой сущности личности и многофакторном характере ее развития, исследования отечественных и зарубежных ученых по вопросам использования компьютерных технологий в учебном процессе. Теоретическим фундаментом исследования являются теории личности, деятельности и общения (Б.Г. Ананьев, Л.С. Выготский, А.Л. Леонтьев, Б.Ф. Ломов, К.К. Платонов, А.В. Петровский, С.Л. Рубинштейн, В.А. Сластенин, Б.М. Теплов).

Существенное значение в концептуальном плане имеют положения о сущности педагогического процесса (В.И. Андреев, В.В. Краевский, Т.Н. Щамова, Г.И. Щукина), об активизации познавательной деятельности посредством реализации методов и форм обучения (С.И. Архангельский, Ю.К. Бабанский, И.Л. Лернер и др.), учение о политехническом образовании (П.Р. Атутов, П.Н.Андрианов и др.). Принципы и критерии систематизации и отбора содержания обучения компьютерным технологиям рассматривались с опорой на исследования П.Р. Атутова, В.А. Полякова, В.Д. Симоненко, Ю.Л. Хотунцева, Г.В. Рубиной и др.

Анализировались также труды педагогов и психологов в области автоматизированных систем интенсивного обучения на базе компьютерной и аудиовизуальной техники (Б.И. Андреев, С.И. Архангельский, В.П. Беспалько, Я.Л. Варшавский, Л.В. Зайцева, Т.А. Ильина, Г.А. Китайгородская, Л.П. Новицкий, В.В. Петрусинский, Н.Ф. Талызина), а также теория компьютеризации образования (Л.В. Апатова, Б.С. Герщунский, А.П. Ершов, Е.А. Машбиц, В.М. Монахов, И.В. Роберт, Д.Ш. Матроса, Н.Н. Тулькибаевой и др.).

В соответствии с целью и гипотезой был определен комплекс методов исследования:

• теоретический и логический анализ психолого-педагогической и учебно-методической литературы по теме исследования;

• анализ и обобщение передового педагогического опыта в школе;

• беседы, наблюдение, анкетирование, тестирование, педагогический эксперимент;

Изучение работы программного обеспечения было построено на выполнении практических заданий, показывающих реализацию его возможностей в организации учебного процесса. Уровень усвоения знаний и умений в экспериментальной группе оказался выше.

Научная новизна исследования заключается в следующем:

• разработано содержание деятельности учителя по использованию компьютерных технологий в учебном процессе;

• выявлены оптимальные условия формирования у учителей умений и навыков, связанных с использованием компьютерных технологий в профессиональной деятельности;

• обоснована и проверена возможность, необходимость и целесообразность формирования рассматриваемых профессиональных умений без учета специальности;

• создан информационный банк данных;

Теоретическая значимость исследования состоит в выделении педагогических и методических условий формирования у учителей умений, связанных с применением компьютерных технологий в профессиональной деятельности.

Практическая значимость исследования состоит в том, что полученные в ходе исследования положения и выводы, а так же разработанное содержание подготовки, система учебных занятий и методическое обеспечение существенно повышают качество образования в области формирования умений использовать информационных технологий в учебной деятельности.

1. Психолого-педагогическое обоснование использования информационных технологий в учебном процессе обучения физике

На современном этапе образования, основной задачей является получение знаний в зависимости от учебных потребностей каждого ученика. Классический урок не позволяет решить эту задачу, потому что научить всех одинаково за одно и тоже время невозможно.

Учитель испытывает перенапряжение в своей работе. Только новые технологии в учебном процессе позволяют разрешить это несовершенство. В советской педагогике наиважнейшей задачей урока являлась задача воспитательная, а затем образовательная и развивающая. Урок был наиважнейшей формой учебного процесса, хронометрия урока, четкое выполнение всех этапов урока было неукоснительно.

Методика - это отрасль педагогической науки, исследующая закономерности обучения определенному учебному предмету. Наиважнейшей задачей является выявление критериев, позволяющих для данных условий обучения избрать адекватную технологию достижений. Педагогическая технология включает обучение и воспитание. Дидактическая технология - это совокупность методов педагогического воздействия в процессе обучения. В 1980 году Оганесян описал методы обучения в книге: «Методика преподавания математики». В этой методике пять приемов обучения: объяснительно- иллюстративный, программированный, модельный, эвристический, проблемный. Основой для данной классификации является предельно-упрощенная модель: начальные условия ряд промежуточных звеньев с определенными условиями достижений и конечный результат. В промежуточных звеньях обязательно решение учебных задач через восприятие, понимание, осмысление, запоминание, применение, обобщение и систематизацию знаний. Условия достижений отдельных этапов тоже могут быть различны всего 16 комбинаций. Процесс обучения можно представить в виде схемы: процесс обучения - аспекты - функции - формы. Аспектов существует три: кибернетический, психолого-педагогический, информационный. Функции позволяют управлять учебно-познавательной деятельностью, формированием и развитием личности. Существуют три группы форм учебной деятельности: урок, бригадно-лабораторный метод, метод проектов, а также формы воспитания: индивидуальная, воспитание в коллективе и воспитание через коллектив; формы организации обучения индивидуальная, групповая, фронтальная, коллективная. В разных формах обучения могут применяться разные методы, в свою очередь каждый метод может применяться в разных формах.

При создании технологии мы исходили из главной идеи о том, что формирование информационной культуры ученика должно предусматривать использование проектно-рефлексивного подхода, который отражает несколько идей:

) развитие информационной культуры ученика возможно только в деятельности, требующей от него компьютерной компетентности;

) не всякая деятельность может способствовать развитию информационной культуры ученика. К деятельности, обладающей такой возможностью, мы относим проектную деятельность, выполняемую с применением информационных технологий. Результатом такой деятельности выступает, с одной стороны, решение определенной педагогической задачи (например, блочно-модульная организация изучения темы), а с другой стороны, результат проектной деятельности заключается в повышении качества образования обучающихся, в развитии информационной культуры обучающихся и самого педагога;

) формирование компьютерных компетенций требует развития рефлексивных процессов, которые выступают системообразующим фактором развития психологического, деятельностного и информационного компонентов, оказывая воздействие на способности интегрировать названные аспекты в учебной деятельности;

) развитие рефлексии как основы формирования информационных компетенций требует специальной работы по анализу собственной проектной деятельности, выполненной с применением информационных технологий. Анализ должен осуществляться по двум направлениям:

·    выявление психических состояний, которые возникали у самого педагога;

·              выявление психических состояний обучающихся.

Для педагога важно выяснить собственные психические состояния в ходе информационной деятельности по созданию проекта и в процессе его реализации в обучении и воспитании обучающихся. Это позволит почувствовать психические состояния, которые могут возникать у обучающихся при ознакомлении с результатами проектной деятельности педагога. Второе направление анализа важно осуществить для того, чтобы максимально приблизиться к уровню восприятия, переработки, осмысления, оценки обучающимися предлагаемой информации и способов ее трансформации в презентацию. Важность этого анализа и в том, что он позволяет учесть особенности информационной культуры обучающихся для организации учебно-познавательной деятельности и одновременно с этим развития их информационной культуры;

) реализация проектно-рефлексивного подхода обеспечит развитие информационной культуры педагога, если будет предусматривать целенаправленную деятельность по ее формированию, развитию и саморазвитию у самого педагога, а также, если педагог будет заниматься специально формированием и развитием информационной культуры обучающихся.

Известно, что обучающиеся далеко не всегда способны самостоятельно вычленять в учебной деятельности различные ситуации, требующие рефлексивного осмысления. Они должны быть выделены педагогом и даны обучающимся как особые задачи, требующие от них специфической мыслительной деятельности. Как видим, педагог должен обладать соответствующими умениями.

Любая деятельность может быть либо технологией, либо искусством. Искусство основано на интуиции, технология на науке. С искусства все начинается, технологией - заканчивается, чтобы затем все началось сначала.

Технологический подход к обучению ставит целью сконструировать учебный процесс, отправляясь от заданных исходных установок (социальный заказ, образовательные ориентиры, цели и содержание обучения).

В разработках по технологическому конструированию учебного процесса этот подход обычно схематизируется следующим образом:

Рисунок 1. - Схема учебного процесса

Однако и в такой общей схеме можно проследить особенность, присущую именно технологическому подходу: направленность на достижение заведомо поставленной цели и, на этой основе, коррекция учебного процесса, оперативная обратная связь.

Теоретической основой информационной педагогики является связь с интеграцией и комплексным использованием теоретических достижений дидактики, теории воспитания, психологии, кибернетики, информатики, философии, социологии, семиотики и других наук.

Ядро информационной педагогики включает:

. Концепцию информационного подхода к учебно-воспитательному процессу;

. положения о структуре и функциях информации в учебно-воспитательном процессе, об элементарных информационных процессах получения, передачи, усвоения учебной информации;

. фундаментальные положения (принципы, закономерности, тенденции);

. педагогические методы исследования.

Рассмотрим вначале концепцию информационного подхода применительно к учебно-воспитательному процессу. Информационный подход оказался весьма плодотворным во многих областях научных исследований.

В настоящее время в процессе своего становления и развития находится не только информационная педагогика, но и целый ряд наук и направлений, включающих самую разнообразную проблематику, но все они объединяются тем, что так или иначе связаны с информацией. Термин "информация" - латинского происхождения: лат. informatio - осведомление - и имеет буквальное значение: сведения, данные, знания. Это общенаучное понятие, имеющее философское и методологическое значение, обозначает не только сведения, передаваемые людьми в ходе их общения, но, прежде всего, одно из основных свойств объективного мира, которое связано с наличием в нем особого рода процессов, называемых информационными (например, общение людей друг с другом, работа какой-либо системы автоматического регулирования, приспособление живого организма к меняющимся условиям существования, наследственная передача признаков родителей детям, познание мира человеческим мозгом и др.).

Информационный подход рождает в недрах традиционных наук новые науки: информационную медицину, информационную экономику, информационное право, информационную географию и др.

Основное содержание информационного подхода в педагогических исследованиях заключается в выделении и изучении именно информационного аспекта учебно-воспитательного процесса. Спецификой информационной педагогики, как отмечалось, является интеграция научного знания из разных областей. Эта интеграция идет по нескольким направлениям.

-  Во-первых, переносятся идеи и представления из одной области знания в другую (например, идеи о свойствах информации, ее переработке, представленные в кибернетике и информатике).

-       Во-вторых, используются понятийно-концептуальный аппарат, методы и иные познавательные средства из разных наук (например, понятия "код", "ключевое слово", "знак", "символ", "массив информации", "информационный шум" и др. берутся из кибернетики и семиотики; некоторые методы преобразования информации - из информатики; такие общенаучные подходы, как моделирование, системные структурные, вероятностные представления и методы поиска, проверки, совершенствования качественно новых путей и средств обучения и воспитания - из программированного и компьютерного обучения, философии, социологии);

-       В-третьих, формируются комплексные межнаучные проблемы и направления исследования (например, в постановке вопросов методологии, таких как роль и место моделирования в обучении, методов изучения сложных педагогических систем, соотношения структурного и функционального подходов к изучению видов научных и учебных знаний, роль и место вероятностных методов в педагогической диагностике и др.).

-       В-четвертых, формируются новые научные дисциплины пограничного типа на стыках известных ранее областей знания (например, педагогическая информатика, информационная методика и технология обучения и др.). Информационный подход в педагогике не сводится к кибернетическому, его проблематика другая.

Информационная педагогика формируется как интегративная наука, и не столько как наука, находящаяся на стыке разных наук, сколько как комплексная наука. Это значит, что для нее характерно не простое сложение методов ряда наук вместе, а слияние наук воедино при изучении общего для них объекта. Общим же объектом изучения для информационной педагогики совместно с педагогикой, психологией, социологией» кибернетикой, информатикой выступают информационные процессы, присущие учебно-воспитательному процессу.

Отличительной особенностью информационной педагогики является совмещение информационных процессов с учебно-воспитательным процессом, информационный подход к последнему как к сложному процессу обмена информацией между разными педагогическими системами: между воспитателями и воспитуемыми, между учителями и учениками, между всеми участниками системы управления обучением и воспитанием на всех уровнях, всех возрастов.

Информационная педагогика включает в себя теории воспитания, дидактику, школоведение, охватывая вопросы, связанные со сбором, хранением, поиском, переработкой, преобразованием, распространением и использованием информации в учебном, воспитательном, управленческих процессах.

Информационный подход к изучению педагогических явлений, как видим, является, с одной стороны, общенаучным, широким по сфере применения. С другой стороны, он является специальным, специфическим и определяется лишь одной общенаучной категорией - информацией, в которой отражена лишь одна (хотя и важная) сторона учебно-воспитательного процесса. В информационной педагогике концепция информационного подхода не абсолютизируется в ущерб другим средствам познания, но допускает широкое использование его возможностей. Изучение информационных процессов не отменяет, например, собственно педагогического исследования, не противоречит ему, а, наоборот, дополняет его.

Охарактеризовав информационный подход в педагогике, сосредоточим внимание на понятийном аппарате информационной педагогики. Сложный и многоплановый характер имеет понятие "информация". Анализ приведенного выше общенаучного понятия "информация" показывает, что с его помощью удалось найти общее в столь различных, на первый взгляд, процессах, как познание мира человеческим мозгом и приспособление живого организма к меняющимся условиям существования. В этом плане понятие "информация" имеет сходство с понятием "энергия", которое позволило взглянуть с некоторой общей точки зрения на множество ранее казавшихся различными процессов.

Проблема связи "информации" с познавательной, обучающей, воспитательной, управляющей деятельностью позволяет выявить общее и особенности в свойствах "информации" как объекта этих видов деятельности в разных педагогических системах ("авторы программ и учебников - ученик - учитель"; "воспитатель - ученик" и др.). В связи с этим понятие "информация" в педагогике - в полном объеме - весьма развитая и разветвленная система, состоящая из множества подсистем различных уровней.

Раскрыть содержание и объем этого понятия можно лишь на основе системного подхода. Критерии выделения видовых понятий "информация" как подсистем достаточно многочисленны. Это, например, форма представления учебной информации в предмете; информация для учителя и для ученика в процессе воспитания; информация об усвоении материала; диагностическая информация, эмоциональная информация, психологическая информация и др. Каждая подсистема, в свою очередь, складывается из подсистем низших уровней и элементов.

С системой педагогической информации как таковой взаимодействуют другие системы, исследуемые информационной педагогикой: система информации, занесенная в ЭВМ и другие ТСО, система научно-методической информации и т.п. Эти системы, естественно в значительной мере характеризуются собственными структурными подразделениями. В свете вышеизложенного становится ясно, что предмет исследования информационной педагогики - информация в педагогических явлениях - имеет довольно сложную и разветвленную иерархию информационных уровней и компонентов, связанных между собой как по горизонтали, так и по вертикали. Поэтому глубокое исследование информационно-педагогической теории и практики невозможно без должного внимания к раскрытию центрального понятия - "информация" путем структурного анализа изучаемых информационных систем в педагогических явлениях и процессах.

Структурный подход к информации дополняется функциональным. В информационной педагогике эта сторона особенно важна: в статическом виде, вне своего функционирования педагогическая информация была бы лишена всяческого практического смысла. Динамика же ее проявляется в разных информационных процессах, технологиях, явлениях (создание информации в ходе педагогического творчества, ее анализ, синтез, накопление, хранение, обработка, поиск, передача, представление в нужной форме, использование и т.п.), т.е. в процессе функционирования различных информационных систем.

Из сказанного ясно, что понятие "информация" в педагогике - довольно сложное понятие. Здесь, как и в других науках, классификация видов информации в педагогических явлениях еще не разработана. Плодотворными могут оказаться системный и функциональный подходы к его исследованию.

Отметим еще одну важную особенность понятия "информация" в педагогике: "информация как результат информационного процесса". Другими словами, информация не существует вне и независимо от процесса ин формационной связи, ибо результат и процесс - две стороны одного целого, каждая из которых является предпосылкой другой. Информационные процессы можно объединить в три крупных блока; производство информации, передача информации, получение информации, причем процессы передачи и приема не тождественны процессу производства информации. Обучение, воспитание, познание - как информационные виды деятельности в учебно-воспитательном процессе проецируются на них (см. рис 2).

Рисунок 2. Виды деятельности в учебно-воспитательном процессе

Каждый из этих блоков состоит из элементарных информационных процессов: возникновение, получение, выбор, отбор, хранение, переработка, использование, преобразование информации и др. Педагогическим явлениям присуща множественность элементарных информационных процессов, их различная сочетаемость между собой для конкретных случаев. Объединить и упорядочить их можно с помощью понятия "информационная ситуация". Ее можно определить как такую педагогическую ситуацию, в которой представлено все поле информационных процессов в конкретной системе информационной взаимосвязи субъекта и объекта.

К примеру, блок 3 - получение информации - для учителя и ученика будет определяться разными информационными ситуациями, состоящими из разных информационных процессов. Для учителя информационная ситуация включает: отбор, хранение, переработка информации из программ, учебников, методической литературы и др. источников информации. Для ученика - получение учебной информации связано с ее восприятием, осмыслением, запоминанием и др. процессами, которые организует в обучении учитель.

Элементарные информационные процессы могут быть представлены в разных вариантах их сочетаемости. Вариативность информационных ситуаций в обучении и воспитании находит свое воплощение в разном педагогическом опыте организации учения и воспитания учащихся. Он нуждается в системном исследовании информационных процессов.

В ядро информационной педагогики входят общие дидактические и воспитательные принципы, которые дополняются и конкретизируются специфическими принципами новизны информации, занимательности информации, к ним мы относим принцип конструирования интегральной информации, принцип переноса и преобразования информации, принцип кодирования информации» принцип генерализации информации, принцип дополнительности, принцип динамизма информации, принцип компьютеризации и др.

Например, принцип новизны информации утверждает, что новизна - необходимое и достаточное свойство информации, но обладающее определенной степенью относительности новизны для различных потребителей.

Рисунок 3. Восприятие и усвоение новой информации

Например, в учебнике по алгебре и началам анализа для 10 класса сообщается ученикам какое-то количество информации, но этот же учебник не несет никакой содержательной информации ни для 1 класса, ни для специалиста - математика, хотя и по разным причинам: первоклассник ничего в учебнике не понимает, так как книга написана для него на неизвестном языке; математик, напротив, слишком хорошо знает предлагаемый материал, и учебник не содержит для него необходимой новой информации, (см. рис 3).

Выделенные принципы позволяют разграничить понятия "информация" и "знание". (Эти понятия мы относим к учебному, а не научному познанию.) Информацию мы трактуем как знание, передаваемое другим. Знание шире, чем информация, поскольку содержит информативные (передаваемые другим) и неинформативные компоненты. К последним от носим непередаваемые другим компоненты знания, например, художественно-эмоциональные, что особенно важно при рассмотрении вопросов творческого мышления, эстетического переживания и др.

Степень интереса к передаваемой информации определяется тем, в какой мере эта информация удовлетворяет запросы ее конкретного потребителя - ученика. Поэтому одна из основных забот учителя - нахождение оптимального отношения известного и нового в сообщаемой информации.

Потребность ученика в информации зависит от степени развития школьника, от его подготовки к использованию полученной информации в процессе деятельности, от уровня информативности и ценности передаваемых ученику знаний. Как видим, анализ функционирования информации в процессе обучения предполагает рассмотрение соотношения между знанием и информацией, изучение проблем информативности - знания.

С другой стороны, разработка проблемы связи информации с учебной познавательной деятельностью ученика приобретает не только теоретическое, но и практическое значение. Эта проблема позволяет выявить особенности и свойства учебной информации как объекта учебной познавательной деятельности, а также специфику информационного аспекта обучения (и воспитания).

На современном этапе развития информационной педагогики можно выделить также общие закономерности процессов передачи, преобразования и использования учебной информации в различных педагогических явлениях. Эти закономерности, как и принципы, образуют ядро информационной педагогики.

Учебная информация используется в процессе обучения тем эффективнее, чем больше она скоординирована с познавательной деятельностью ученика, его потребностями, целями, с психологией усвоения информации. Функции такой координации в информационных ситуациях выполняет учитель. Успешное решение педагогических задач невозможно без учета психологических закономерностей и фактов, которые обусловливают ход и результативность учебно-воспитательного процесса.

Процесс передачи учителем информации своим ученикам не есть процесс передачи каких-то предметов, которые можно передавать из рук в руки, или перекладывать из головы в голову. Передача и получение информации связаны с определенными процессами в психике ученика. Он возникают в голове ученика только в результате его собственной психической активности. Если ее нет, то ни какую информацию ученик не усвоит. Исследовать информационные процессы в педагогических явлениях - значит понять, какие именно качества учебно-познавательной деятельности учеников подвергаются изменениям в результате восприятия и дальнейшей переработки разнообразной информации, как эти изменения влияют на развитие. Рассмотрим одну из важнейших закономерностей информационной педагогики, как учет основного психологического закона усвоения учебной информации.

Психолого-педагогический анализ процесса усвоения учебной информации позволяет выделить в нем следующие основные компоненты:

) восприятие информации;

) осознание и осмысление информации;

) запоминание информации;

) обобщение и систематизация информации;

) применение информации.

Усвоение учебной информации - целостный процесс. Все его компоненты тесно взаимосвязаны и взаимопроникают, переплетаются в реальном учебном процессе. Однако на отдельных этапах этого учебного процесса могут преобладать восприятие и осознание, осмысление и запоминание, об общение, систематизация и применение. К примеру, обобщение информации сопровождает весь процесс ее усвоения, но преобладающая роль обобщения и систематизации присуща заключительному этапу. Учитывая целостный характер процесса усвоения информации следует особо отметить, что каждый компонент, каждое звено этого процесса обязательны и требуют выделения специальных, факторов, способствующих его успешной реализации.

Покажем это на примере выделения факторов, способствующих успешному восприятию и пониманию учебной информации (первое и второе звено закона усвоения информации). Восприятие учебной информации учеником в значительной степени зависит от его внимания (произвольного и непроизвольного) к этой информации. Поэтому следует выделить свойства информации, обеспечивающие привлечение внимания ученика, форму представления информации (визуальную, словесную, композиционную, техническую) и структурную организацию информации (обзорная, иллюстрирующая и др.).

Сравнительные характеристики кибернетического и информационного подходов в обучении.

Сравниваемые характеристики

Кибернетический подход (программированное обучение)

Информационный подход к обучению

Основное звено в процессе усвоения информации

Основное внимание уделено обратной связи в виде контроля за работой учащихся

Основное внимание уделено всем звеньям процесса усвоения информации (основной закон усвоения информации)

Форма преподнесения информации и ее структурная организация

Информация дискретная; малонаглядная; язык формализованный (для ЭВМ)

Кодирование информации разными методами с опорой на 1 сигнальную систему; наглядно-образный язык


2. Информационная компетентность как педагогическая категория


Понятие "информационная компетентность" достаточно широкое и определяемое на современном этапе развития педагогики неоднозначно (В.Л. Акуленко, М.Г. Дзугоева, О.Б. Зайцева, А.Л. Семёнов, Н.Ю. Таирова, О.М. Толстых). Так, в исследованиях учёных понятие "информационная компетентность" трактуется как: сложное индивидуально-психологическое образование на основе интеграции теоретических знаний, практических умений в области инновационных технологий и определённого набора личностных качеств; новая грамотность, в состав которой входят умения активной самостоятельной обработки информации человеком, принятие принципиально новых решений в непредвиденных ситуациях с использованием технологических средств.

Ключевым основанием, объединяющим исследования по проблеме становления и развития компетентности, с нашей точки зрения, является понятие "информация".

В философском энциклопедическом словаре понятие "информация" (от лат. informatio - ознакомление, разъяснение, представление, понятие) трактуется следующим образом:

·    сообщение, осведомление о положении дел, сведения о чём-либо, передаваемые людьми;

·              уменьшаемая, снимаемая неопределённость в результате получения сообщений;

·              сообщение, неразрывно связанное с управлением, сигналы в единстве синтаксических, семантических и прагматических характеристик;

·              передача, отражение разнообразия в любых объектах и процессах (неживой и живой природы).

Ведущим основанием нашего исследования является информационный подход (информационный метод познания), т.к. любой объект изучения, процесс, явление, действие имеет свое изоморфное информационное отображение. Возникновение информации, эволюция ее ценности, нелинейный характер комплексных процессов самоорганизации, протекающих в сверхсложных системах в материальной и интеллектуальной сферах деятельности человека предъявляют требования объединенного системного подхода со стороны естественных и гуманитарных наук.

Мы полагаем, что информационная компетентность - это интегративное качество личности, являющееся результатом отражения процессов отбора, усвоения, переработки, трансформации и генерирования информации в особый тип предметно-специфических знаний, позволяющее вырабатывать, принимать, прогнозировать и реализовывать оптимальные решения в различных сферах деятельности.

В структуре категории "информационная компетентность" мы выделяем компоненты:

·    когнитивный: отражает процессы переработки информации на основе микрокогнитивных актов (анализ поступающей информации, формализация, сравнение, обобщение, синтез с имеющимися базами знаний, разработка вариантов использования информации и прогнозирование последствий реализации решения проблемной ситуации, генерирование и прогнозирование использования новой информации и взаимодействие её с имеющимися базами знаний, организация хранения и восстановления информации в долгосрочной памяти);

·              ценностно-мотивационный: заключается в создании условий, которые способствуют вхождению старшеклассника в мир ценностей, оказывающих помощь при выборе важных ценностных ориентаций; характеризует степень мотивационных побуждений человека, влияющих на отношение индивидов к работе и к жизни в целом, выделяются четыре доминирующих типа побуждений - к достижениям, принадлежности к группе, обладанию властью, компетентности;

·              технико-технологический: отражает понимание принципов работы, возможностей и ограничений технических устройств, предназначенных для автоматизированного поиска и обработки информации; знание различий автоматизированного и автоматического выполнения информационных процессов; умение классифицировать задачи по типам с последующим решением и выбором определённого технического средства в зависимости от его основных характеристик; включает: понимание сущности технологического подхода к реализации деятельности; знание особенностей средств информационных технологий по поиску, переработке и хранению информации, а также выявлению, созданию и прогнозированию возможных технологических этапов по переработке информационных потоков; технологические навыки и умения работы с информационными потоками (в частности, с помощью средств информационных технологий);

·              коммуникативный: отражает знание, понимание, применение языков (естественных, формальных) и иных видов знаковых систем, технических средств коммуникаций в процессе передачи информации от одного человека к другому с помощью разнообразных форм и способов общения (вербальных, невербальных);

·              рефлексивный: заключается в осознании собственного уровня саморегуляции личности, при котором жизненная функция самосознания заключается в самоуправлении поведением личности, а также в расширении самосознания, самореализации.

Покажем на примере выделения факторов, способствующих успешному восприятию и пониманию учебной информации. Восприятие учебной информации учеником в значительной степени зависит от его внимания (произвольного и непроизвольного) к этой информации. Поэтому следует выделить свойства информации, обеспечивающие привлечение внимания ученика, форму представления информации (визуальную, словесную, композиционную, техническую) и структурную организацию информации (обзорная, иллюстрирующая и др.). Еще один фактор важен здесь - отношение ученика к познанию информации (см. таблицу 2).

Таблица 2

Факторы успешного восприятия учебной информации

Характер информации (свойства)

Форма информации и ее структурная организация

Ценностная ориентация ученика к информационно-познавательной деятельности

1. Новизна (абсолютная и относительная); 2. занимательность; 3. парадоксальность; 4. конкретность; 5. контрастность; 6. аналогичность; 7. необычность и др.

1. Разнообразная форма информации (словесная, визуальная, композиционное, техническое исполнение); 1. неожиданность предъявления информации; 2. сочетаемость трудной и легкой для восприятия информации; 3. структурированная информация; 4. регламентирующая информация; 5. иллюстрирующая и поясняющая информация; 6. обзорная и обобщающая информация и др.

1. Значимость информации для ученика; 2. актуализация прежней информации; 3. положительное отношение ученика к процессу получения информации; 4. связь информации с чувствами (положительными эмоциями), радостью эстетического обогащения (эмоциональный и эстетический эффекты) и др.


Нередко учитель при сообщении учебной информации основную задачу видит только в восприятии учащимися сообщенного, для чего использует только те факторы, которые указаны на рис. 2. Но это не способствует полноценному усвоению учениками полученной информации.

Ориентировка учителя на осмысление и первичное обобщение информации учениками значительно уменьшает проявление формализма в учебно-воспитательном процессе. Понимание информации учеником приходит не сразу, а после попытки проникнуть в ее смысл. Для понимания важна ин формация об одном и том же объекте познания, но уровень понимания ин формации отличается от другого широтой переноса познанной информации в новые условия, т.е. применением ее. Для этого нужны определенные логические умения (сравнивать, выделять главное, доказывать, опровергать), а также умения работать с информационными источниками (справочной литературой, первоисточниками, научно-популярной и т.д.).

В таблице 3 представлены факторы, способствующие успешному пониманию учебной информации.

Таблица 3

Факторы успешного понимания учебной информации

Характер информации

Форма информации и ее структурная организация

Ценностная ориентация к информационно-познавательной деятельности

1. Сущность и смысл информации представлены в содержании в явном виде, ясно и четко; 2. раскрыто значение отдельных слов, терминов, условных обозначений; 3. выявлен скрытый смысл суждений; 4. дана разносторонняя информация по одному и тому же вопросу (теме); 5. дана конкретизирующая и обобщающая информация и др.

1. Установлены связи явлений друг другом; 2. даны связь и соотношения с уже освоенной информацией; 3. вычленены из общей информации отдельные ее части; 4. объединены отдельные части информации в систему; 5. визуальная и словесная информация представлены в виде сравнительных таблиц, графов, схем различного рода (функциональных, структурно-логических, обобщающих, систематизирующих) и др.

1. Специальная предварительная подготовка по осознанию информации; 2. осмысление внутренних связей и отношений в информации; 3. решение проблемных заданий, познавательных задач разного вида; 4. целенаправленное осмысление мыслительных операций на сравнение, сопоставление, анализ, синтез, классификацию, систематизацию и обобщение и др.


В последнее десятилетие и особенно после публикации текста «Стратегии модернизации содержания общего образования» и «Концепции модернизации российского образования на период до 2010 года»  происходит резкая переориентация оценки результата образования с понятий «подготовленность», «образованность», «общая культура», «воспитанность», на понятия «компетенция», «компетентность» обучающихся. Соответственно, фиксируется компетентностный подход в образовании.

В то же время анализ литературы по этой проблеме, особенно истории ее становления, показывает, всю сложность, многомерность и неоднозначность трактовки как самих понятий компетенция, компетентность, так и основанного на них подхода к процессу и результату образования. В связи с этим нельзя не согласиться со справедливым замечанием разработчиков «Стратегии модернизации содержания общего образования», что «речь не должна идти о быстром и тотальном переходе российской школы на компетентностный подход. Следует ставить вопрос о среднесрочной (3-5 лет) перспективе, связанной с проведением необходимых исследований и разработок». Другими словами, фиксируется необходимость продолжения широкого системного как теоретико-методологического, так и эмпирического изучения этой проблемы.

Предметом данного рассмотрения является теоретико-методологический анализ сущности компетентностного подхода применительно к понятию компетенция/компетентность вообще и социальная компетентность человека, в частности. Проводимый анализ структурируется на базе ответов на целый ряд возникающих в ходе такого рассмотрения вопросов:

§ Первый важный вопрос, - чем вообще была вызвана необходимость введения компетентностного подхода и как соотносится организация на этой основе образовательного процесса с его традиционной ориентацией на ЗУНы? Отметим, что этот вопрос ставится и рассматривается в тексте «Стратегии модернизации содержания общего образования»; в статье Л.Н. Боголюбова «Базовые социальные компетенции в курсе обществоведения»; в статье В.А. Болотова, В.В. Серикова «Компетентностная модель: от идеи к образовательной программе» и многих других материалах;

§  Второй вопрос относится к тому, тождественны ли понятия «компетенция» и «компетентность» и если нет, то, что их нетождественность означает для определения подхода как компетентностного, и как в этом случае он соотносится с общей целью образования вообще и российского, в частности, т.е. развитием личности обучающегося;

§  Третий вопрос - каковы основания выделения и разграничения видов компетентностей, в рассматриваемом нами случае - социальных компетентностей и какова их сущностная характеристика;

§  Четвертый вопрос относится к рассмотрению того, может ли быть один, в данном случае - компетентностный, подход единственной определяющей образование основой его организации.

Отвечая на первый вопрос о том, чем вызвана необходимость аналитического рассмотрения компетентностного подхода, внедряемого в российское образование, отмечу, что она, во-первых, обусловлена общеевропейской, да и мировой тенденцией интеграции, глобализации мировой экономики, и в частности, неуклонно нарастающими процессами гармонизации «архитектуры европейской системы высшего образования». Как отмечает один из аналитиков этого процесса А.Н. Афанасьев, начавшийся с Лиссабонской конвенции 1997 года «Болонский процесс является сегодня точкой отсчета интеграции России в Европу». Необходимость вхождения в него России отмечается в целом ряде документов Минобразования и науки РФ, а также одним из первых его российских исследователей В.И. Байденко.

Существенно, что наряду с универсализацией преобразований в области степеней, циклов обучения (достепенного и послестепенного); уровня степеней для незаконченного высшего образования; обеспечения студенческой и преподавательской мобильности; международного признания степеней, системы образовательных кредитов и их внедрения, Болонский процесс предполагает и определенную терминологическую унификацию. Это относится и к таким терминам, как компетенция/компетентность.

Во-вторых, необходимость включения компетентностного подхода в систему образования, его соответствующее этому преобразование определяется происходящей в последнее десятилетие сменой образовательной парадигмы, как «совокупности убеждений, ценностей, технических средств и т.д., которая характерна для членов данного сообщества».

Как отмечается в аналитическом обзоре 2003 года «Реформы образования», «… в условиях глобализации мировой экономики смещают акценты с принципа адаптивности на принцип компетентности выпускников образовательных учреждений».

Изменение принципа означает и изменение подхода. Здесь зафиксируем исходное для нас содержание понятия «подхода» как определенной позиции, точки зрения, обусловливающей исследование, проектирование, организацию того или иного явления, процесса (в нашем случае - образования). Подход в словарном толковании В.И. Даля, обозначает «идти под низ чего-то», т.е. находиться в основе чего-то.

Подход, определяется некоей идеей, концепцией, принципом и центрируется на основных для него одной или двух-трех категориях. Так, например, для системного подхода такой смыслоопределяющей его категорией является «система»; для проблемного подхода - «проблема». Соответственно для рассматриваемого нами компетентностного подхода в качестве таких категорий выступают - «компетенция» и «компетентность» в разном их соотношении друг с другом.

В-третьих, необходимость включения компетентностного подхода в образовательный процесс обусловливается предписаниями. Так, если ранее возникающие и провозглашаемые теоретически обосновывающиеся, практически внедряемые подходы (например, программирование, алгоритмизирование, проблемный, задачный, контекстный, системный, междисциплинарный и др. подходы) рассматривались и принимались научным и учебно-методическим сообществом, но директивно не фиксировались, то в настоящее время и Совет Европы (Совет Культурной Кооперации), и российская «Концепция модернизации российского образования до 2010 года» предписывают внедрение компетенции и компетентностного подхода.

Так, в Концепции, например, применительно к общему образованию отмечается, что «общеобразовательная школа должна формировать новую систему универсальных знаний, умений, навыков, а также опыт самостоятельной деятельности и личной ответственности обучающихся, то есть современные ключевые компетенции». И еще один довод можно привести в пользу внедрения компетентностного подхода - это использование термина, понятийное содержание которого может быть достаточно широким, и более того, оно может быть произвольно задано. Как отмечают В.С. Леднев, Н.Д. Никандров, М.В. Рыжаков, «компетенция» используется вместо знаний, умения, владения и т.д. При этом, как замечено в обобщающем докладе В. Хутмахера (Walo Hutmacher) на симпозиуме в Берне в 1996 году «Ключевые компетенции для Европы» (Key Competencies for Europe), - «… само понятие компетенция, входя в ряд таких понятий, как умения, компетентность, способность, мастерство, содержательно до сих пор не определено». В таком случае толкование компетенции/компетентности и их соотношения может быть операционально и сущностно достаточно емким. Именно эта емкость понятия «компетентность» подчеркивается и разработчиками «Стратегии модернизации содержания общего образования».

Заключая ответ на первый вопрос, сделаем вывод: в силу того, что «предлагаемый подход к определению ключевых компетентностей соответствует опыту тех стран, в которых в последние десятилетия произошла переориентация содержания образования на освоение ключевых компетентностей (а это - практически все развитые страны)», необходимость его освоения российской образовательной системой очевидна.

. Педагогическая исследовательская деятельность по развитию компетентности учащихся и ее результаты

Практическая направленность компетентностного подхода была задана материалами Симпозиума Совета Европы, где подчеркивается, что для результатов образования важно знать не только ЧТО, но и КАК делать. Другими словами, компетентностный подход усиливает собственно практико-ориентированность образования.

В этом прагматическом смысле он не может быть противопоставлен ЗУНам, так как он только специально подчеркивает роль опыта, умений практически реализовать знания, решать задачи на этой основе. Но он и не тождественен ЗУНовскому подходу, так как он фиксирует и устанавливает подчиненность знаний умениям, ставя акцент на практической стороне вопроса.

Важно также рассмотреть то, что значит каждый из трех, первых вышеназванных, по И.В. Блаубергу, Э.Г. Юдину, уровней методологического анализа как для трактовки определяющих компетентностный подход категорий «компетенция» - «компетентность» (основание разграничения этих понятий приводится ниже), так и для их формирования в образовательном процессе (на материале формирования социальных компетентностей).

Здесь необходимо зафиксировать важную для нас позицию относительно понятия «социальная и ключевая компетентность»:

·   все компетентности социальны (в широком смысле этого слова), ибо они вырабатываются, формируются в социуме, они социальны по своему содержанию, они и появляются и функционируют в этом социуме;

·   ключевые - это те обобщенно представленные основные компетентности, которые обеспечивают нормальную жизнедеятельность человека в социуме;

·   профессиональные и учебные компетентности формируются для и проявляются в этих видах деятельности человека, т.е. в профессиональной и учебной;

·   социальные (в узком смысле слова) компетентности, характеризуют взаимодействие человека с обществом, социумом, другими людьми.

Соответственно, мы рассматриваем учебные компетентности. При этом отметим, что сами эти понятия определяются авторами крайне не однозначно. Так, например, авторы, работающие в проблематике профессионального образования, подчеркивают разные стороны «профессиональной компетентности», в силу чего на первый план выходят либо знания, опыт, либо качества личности, либо аспект профессионализма.

В данном случае - это системный и генетический подходы как отражение пространственно-временного видения мира.

В контексте системного подхода все формируемые компетентности рассматриваются нами как элементы целостной системы личностных свойств человека, где системообразующим элементом является цель-идеал (в понимании Б.Т. Лихачева, Н.Д. Никандрова).

В контексте генетического подхода формирование компетентностей как личностных свойств рассматривается как изменяющиеся и становящиеся в инновационно-эволюционном процессе развития человека психические новообразования. Генетический подход позволяет говорить о временной протяженности формирования компетентности в учебном процессе - от дошкольного образовательного учреждения до вуза.

На втором уровне нами рассматривается процессуально-результативный подход в общем контексте понимания связи этих двух сторон любого, в том числе и психического процесса, по С.Л. Рубинштейну. Полагаю, что это - подлинная реализация общенаучного подхода, справедливая как для гуманитарных, так и для естественных наук, для формирования компетентности. Этот подход важен, потому что об эффективности процесса никаким другим способом кроме результата судить не можем. При этом отметим, мы судим по результату, который должен быть определенным образом оценен. Это, в свою очередь, предполагает обязательность включения оценочных процедур в формирование социальных компетентностей в учебном процессе.

В таком толковании понятие компетентность по сравнению с компетенцией гораздо шире. Оно включает наряду с когнитивно-знаниевым мотивационный, отношенческий, регуляторный компоненты, что подчеркивается и разработчиками «Стратегии модернизации содержания общего образования» [37]. Полагаю, что компетентность в качестве таких компонентов включает:

а) готовность к проявлению этого свойства в деятельности, поведении человека;

б) знание средств, способов, программ выполнения действий, решения социальных и профессиональных задач, осуществления правил и норм поведения, что составляет содержание компетенций;

в) опыт реализации знаний, т.е. умения, навыки;

г) ценностно-смысловое отношение к содержанию компетенции, его личностную значимость

д) эмоционально-волевую регуляцию как способность адекватно ситуациям социального и профессионального взаимодействия проявлять и регулировать проявления компетентности.

Разграничение понятий «компетенция» и «компетентность» в рассматриваемом контексте означает, таким образом, что, говоря о подходе, мы имеем в виду формирование именно компетентностей - профессиональных и социальных. При этом, подчеркнем, что формирование собственно социальных компетентностей преимущественно соотносится с общей целью развития личности как субъекта социального взаимодействия.

В русле этого же потенциально-актуального, комплексного толкования находится оппозиция «актуально-виртуальное», где проходит линия демаркации между новыми информационно-технологическими возможностями, которыми практически с раннего детства овладевают современные люди, и актуальным, реальным миром, в котором в большинстве своем живут взрослые. Именно поэтому разработка информационно-технологической компетентности, рассматриваемой различными институтами ЮНЕСКО в качестве приоритетной компетентности будущего, трактуется нами также в качестве одной из основных.

Личностно-деятельностный подход, где цель - «формирование социальных компетентностей в учебном процессе» соотносится с глобальной, центральной целью любой образовательной системы - развитием личности в единстве ее интеллектуального, эмоционально-волевого, и таких ее личностных качеств, как ответственность, свобода, толерантность, гражданственность и др. поведенческого аспектов посредством как содержания, так и организационно-управленческих форм образования. В реализации этого подхода проявляется гуманистическая направленность формирования компетентностей человека.

Ситуационно-проблемный подход, где организационно управленческая форма образования, нацелена на формирование социальных компетентностей, неизбежно предполагает создание учебных ситуаций различных уровней проблемности. Выделенные А.М. Матюшкиным, И.А. Зимней уровни проблемности решения учебных задач (по предмету, способам, средствам и их комбинаторике) могут быть использованы в качестве теоретической основы модели формирования социальной компетентности.

Задачный подход (в общем контексте работ Г.А. Балла, Л.М. Фридмана, Е.И. Машбица, М.Г. Дзугкоевой), предполагает предварительное моделирование иерархии позиционно-ролевых задач, включающих решение проблем социального взаимодействия, коммуникативного оформления и направленных на реализацию компетентностей гражданственности, здоровьесбережения и других.

Рассмотренное выше показывает, что компетентностный подход является одним из планов рассмотрения такого сложнейшего явления, как образование в общей иерархии уровневой структуры его методологического анализа.

Компетентностный подход в его первоначальном варианте, предложенным разработчиками ключевых компетенций для молодых европейцев [46] лишь усиливает практикоориентированность образования, необходимость усиления акцента на операциональную, навыковую сторону результата.

В отечественной психолого-педагогической науке, ориентированный преимущественно на ценностно-смысловую, содержательную, личностную составляющие образования, компетентностный «подход, не противопоставляясь традиционному знаниевому или точнее «ЗУНовскому» и принимая необходимость усиления его практико-ориентированности, существенно расширяет его содержание собственно личностными составляющими, что обусловливалось необходимостью разграничения понятий «компетенция» - «компетентность», делает его и гуманистически направленным.

Методика развития компетентности учащихся опирается на три ключевые понятия - развитие, готовность, компетенция. Педагогическая технология развития информационной компетентности обусловлена уровнем обучения информатики, реализуемая в учебном процессе, представляется тремя блоками решения задачи: цели (предмет, процесс, продукт); способ (средства, методы); условия (требования и форма организации).

Алгоритм реализации технологии развития информационной компетентности учащихся состоит из взаимосвязанных и взаимозависимых структурных компонентов: диагностическо-целевого, содержательно-деятельностного, оценочно-результативного.

Диагностическо-целевой компонент в технологии решает две основные задачи: выведение нндивидуальных особенностей обучающихся и формирование у них мотивации на данную деятельность.

Содержательно-деятельностный компонент представляет содержание этапов обучения. Первый этап реализуется в процессе курсового обучения, второй - переносится в контекст образовательной деятельности.

Общеобразовательное обучение осуществляется посредством реализации двух видов программ: инвариантных и вариативных.

Оценочно-результативный компонент предполагает выявление реального уровня овладения учебным материалом, определение неусвоенных частей учебного материала, внесение коррективов с помощью оперативных способов средств воздействия в образовательный процесс.

На данном этапе отслеживаются результаты как общеобразовательного, так и профильного обучения. Оценочный компонент определен тремя содержательными аспектами: нормативными документами, государственными стандартами, личностно ориентированным образованием. Итоговая аттестация выступает одним из механизмов оценки результатов обучения. Целью исследовательской работы является проверка в ходе формирующего этапа состоятельности разработанной модели и выявленных условий, способствующих развитию информационной компетентности.

Исследовательская работа по проблеме осуществлялась в три этапа. На констатирующем этапе была проведена диагностика начального уровня информационной компетентности учащихся по показателю готовности к преобразующей образовательной деятельности.

На формирующем этапе исследовательской работы, после завершения общеобразовательного обучения, был проведен промежуточный срез. В ходе формирующего этапа приняли участие 126 человек. Контрольный срез проводился в период итоговой аттестации.

В процессе исследовательской работы были сформированы две экспериментальные группы - ЭГ-1 и ЭГ-2, они же выступали и контрольными.

Обобщенные результаты исходного состояния уровней готовности показали отсутствие существенных различий между группами ЭГ-1, ЭГ-2. Исследовательская работа показала, что развитие информационной компетентности протекает результативно в обеих группах. В группе ЭГ-1 проверялись первое и второе условия. В группе ЭГ-2 - совокупность всех трех условий.

В качестве показателей сформированности мотивации в образовательной деятельности были взяты: потребность в саморазвитии, потребность в поисковой деятельности, потребность в анализе собственной деятельности. Диагностика мотивационного компонента осуществлялась на основе анкетного опроса. На констатирующем этапе обе группы демонстрировали низкие показатели. Более чем у 70% учащихся эта потребность была слабо сформирована и требовала дополнительных стимулов.

На контрольном этапе исследовательской работы уровень потребности изменился. Так, потребность в саморазвитии изменилась у учащихся в: ЭГ-1 у 17,2% человек, ЭГ-2 у 21,8% человек; яркое проявление потребности в поисковой и исследовательской деятельности продемонстрировали: в ЭГ-1 - 11% человек, в ЭГ-2-11,8% человек. Эти данные говорят об эффективности проведенной общеобразовательной подготовки. Количество учащихся, утверждающих, что им нужны дополнительные внешние стимулы, снизилось: в ЭГ-1 до 44,4%; в ЭГ-2 до 23,7%. Эти данные свидетельствуют, что участники группы ЭГ-1 испытывают затруднения в самостоятельной деятельности. педагогический информационный компетентность физика

Познавательный компоненты готовности оценивался методом поэлементного и пооперационного анализа по показателям полноты и прочности усвоения понятий, полноты и осознанности действий (по методике А.В. Усовой). Данный показатель диагностировался на всех этапах исследовательской работы.

Таблица 4

Развитие познавательного компонента готовности учащихся в процессе исследовательской работы

Кол-во в группе

Нулевой срез

Промежуточный срез

Итоговый срез


Кол-во

%

Кол-во

%

Кол-во

%

Данные высокого уровня

ЭГ-1

64

10

15, 7

14

21, 8

14

21,8

ЭГ-2

62

12

19,5

16

25,8

18

29,0

Данные среднего уровня

ЭГ-1

64

16

25,0

19

29,7

26

40,7

ЭГ-2

62

20

32,2

2

41,

28

45,1

Данные низкого уровня

ЭГ-1

64

22

34,3

19

29, 7

16

25,0

ЭГ-2

62

18

29,0

14

22,5

12

19,3

Данные очень низкого уровня

ЭГ-1

64

16

25, 0

12

18, 8

8

12,5

ЭГ-2

62

12

19,3

6

9,6

4

6,4


Уровни развития познавательного компонента включают высокий, средний, низкий и очень низкий уровни. Для количественного выражения меры уровня были взяты цифровые показатели. Полученные данные показывают, что изменения произошли в обеих группах. Заметные изменение произошли на этапе общеобразовательного обучения в обеих группах, об этом свидетельствуют данные промежуточного среза. На этом этапе уменьшилось количество обучаемых, находившихся на очень низком и низком уровнях, появилась тенденция увеличения обучаемых, находящихся на среднем и высоком уровнях. Это свидетельствует о том, что предложенная система обучения одинаково эффективна для обеих групп. На контрольном этапе заметно стали наблюдаться тенденции увеличения обучаемых среднего и высокого уровней и большего снижения в группе ЭГ-2, чем в группе ЭГ-1, результатов низкого и очень низкого уровней. В группе ЭГ-2 изменения происходили в ходе всего процесса обучения, но на контрольном этапе эти данные более ярко выражены. Это свидетельствует о том, что в группе ЭГ-2 реализация всех трех условий в совокупности оказалась наиболее продуктивной. Педагогическая рефлексия, проводившаяся в период профильного обучения в группе ЭГ-2, обеспечила наибольший положительный эффект за счет того, что учащиеся находились в постоянном поиске, осмыслении своих действий и возможностей представления промежуточных результатов и внесения корректив. Учащиеся группы ЭГ-1 на контрольном этапе исследовательской работы продемонстрировали затруднения в решении исследовательских задач, показали более низкий уровень представления в работе исследовательского компонента.

Эмоционально-волевой компонент (наличие активности, самостоятельность поиска путей решения разнообразных задач) оценивался путем анализа документально зафиксированных результатов.

Уровень самостоятельности оценивался по результатам выполнения итоговых реферативных работ при аттестации, которые представляли отдельные проекты на темы по физике и астрономии.

Перечень тем:

1. Развитие физических представлений о строении Вселенной

2.      Важнейшие научно-технические достижения в освоении космоса

.        Строение атома

.        Магнитные свойства вещества

.        Магнитное поле Земли

.        Термодинамическое равновесие

.        Кометы и их природа

.        Солнце и жизнь Земли

.        Исследование в сети Интернет

Результаты диагностики на контрольном этапе эксперимента представлены на рис. 2.

Полученные данные свидетельствуют, что в группе ЭГ-2 результаты значительно выше, чем в группе ЭГ-1, в связи с тем, что учащиеся этой группы в процессе исследовательской работы, используя рефлексию, более осознанно выполняли работу, проявляя самостоятельность в описании выбора действий.

Рис. 2. Распределение количества учащихся по уровням самостоятельности при выполнении итоговых работ

Уровень активности диагностировался методом анализа документов, фиксирующих участие учащихся в различных мероприятиях исследовательского характера, и представлением своего опыта.

Результаты диагностики на контрольном этапе эксперимента представлены на рис. 3.

Рис. 3. Распределение количества учащихся по уровням активности в процессе исследовательской деятельности

Данные показатели свидетельствуют, что в группе ЭГ-2, где в период профильного обучения проводилась рефлексия, уровень активности и самостоятельности учащихся значительно выше, чем в группе, где данное условие не являлось обязательным.

Таким образом, выявленная и теоретически обоснованная совокупность педагогических условий оказывает эффективное влияние на развитие информационной компетентности учащихся. Апробация обозначенных условий и ее положительные результаты подтвердили достаточность данных условий.

4. Примеры использования информационных технологий в учебном процессе

Изучение физики в старшей школе осуществляется по программе В.А. Касьянова (102 часа, 3 часа в неделю) и учебнику Касьянова В.А. Физика 10,11.

Первая тема, которая изучается в 11 классе «Постоянный электрический ток» рассчитана на 16 часов, из которых 2 часа лабораторные работы и 2 часа контрольные работе в форме тестов (рекомендованные автором программы Касьяновым В.А. Данные работы провожу по методическим разработкам Л.А. Колокольниковой. Поурочные планы к учебнику В.А. Касьянова Физика 11. Издательство «Учитель-АСТ» Волгоград, 2004 г). Подготовка к контрольной работе осуществлена мною на основе тестовых заданий, тесты подобраны так, чтобы на каждом уроке выявить пробелы в знаниях и помочь каждому ученику в его образовательной линии. Тесты рассчитаны на 7-10 минут.

Примерная краткая схема урока

1. Урок. Электрический ток. Сила тока. Урок получения новых знаний

№ этапа

Содержание

Время (мин)

Деятельность учителя

Деятельность учащихся

1

Организация занятия

5

Поясняет, как будет изучаться тема, сколько времени отводится на изучение материала, знакомит с инструментарием по оцениванию ЗУН, контрольными заданиями.

Записывают, просматривают и получают контрольные вопросы.

2

Объяснение нового материала

20

Беседа, демонстрация, план-конспект. Библиотека наглядных, электродинамика пособий п. 2. Аналогия модель,

Слушают, записывают, участвуют в беседе, ведут конспект.

3

Закрепление

10

Раздает тестовые задания. Тест №1, программа Hyper Test 1.1

Выполняют задания, как на компьютерах, так и письменно в специальных тетрадях.

4

Итог урока

5

Выяснение ответов по заданиям, д\з.

Делают анализ ошибок. Записывают д\з. Учащиеся получают индивидуальные задания


1. Урок. Источник тока

№ этапа

Содержание

Время (мин)

Деятельность учителя

Деятельность учащихся

1

Проверка изученного

7

Нацеливает на урок, повторяет вопросы предыдущего урока, раздает задания.

Работа в группах по вопросам - заданиям.

2

Решение задач

10

Организация помощи при затруднениях. Использую диск “Teacher Pro”

Слушают, записывают, участвуют в беседе, ведут конспект.

3

Сообщение 3 мин. ВОЛЬТА, АЛЕССАНДРО (Volta, Alessandro) (1745-1827), итальянский физик и физиолог. Родился 18 февраля 1745 в Комо близ Милана. Образование получил в школе ордена иезуитов в Комо, где обнаружил способности к риторике и проявил интерес к естественным наукам. В 24 года опубликовал первую научную работу, она была посвящена теории лейденской банки. В 1774-1779 преподавал физику в гимназии в Комо. К этому времени относятся его исследования по химии и изготовление ряда физических и химических приборов. Он изучал горючие газы, открыл «болотный газ» метан, сконструировал водородную лампу и эвдиометр. Но настоящую известность Вольте принесло изобретение электрофора (прибора, наглядно иллюстрирующего электризацию тел с помощью индукции), что позволило ему в 1779 занять место профессора в университете Павии. В 1784 он создал чувствительный электроскоп с соломинками, изобрел плоский конденсатор, обнаружил проводимость пламени. В 1815 стал ректором философского факультета Падуанского университета, в 1819 ушел в отставку. Пытаясь повысить контактное напряжение, Вольта строил цепи из разных металлов, что привело его к изобретению, произведшему революцию в науке об электричестве: в 1800 он сконструировал первый источник постоянного тока - «вольтов столб». Устройство состояло из 20 пар медных и цинковых кружочков, которые были разделены суконными прокладками, смоченными соленой водой. В 1801 Вольта был приглашен во Францию для демонстрации «столба», был награжден золотой медалью и получил титул графа. Именем Вольты названа единица разности потенциалов и напряжения. Умер Вольта в Комо 5 марта 1827. ЛИТЕРАТУРА Гальвани А., Вольта А. Избранные работы о животном электричестве. М. - Л., 1937 Радовский М.И. Гальвани и Вольта. М. - Л., 1941 Вольта А. Об электричестве, возбуждаемом простым соприкосновением различных проводящих веществ. - В кн.: Классики физической науки. М., 1989 Готовят учащиеся по желанию.

4

Объяснение нового

10

Беседа, привлечение подготовленных учащихся для объяснения. Уроки КМ, картинки библиотека наглядных пособий.

Ведут конспект, участвуют в беседе.

5

Закрепление

5

Тестирование учащихся Тест №2, программа тестирования.

Выполняют задания.

6

Итог урока

5

Выяснение ответов по заданиям, д\з

Делают анализ ошибок Записывают д\з.

7

Индивидуальное задание. Физика юным. Материал в электронном виде. (Приложение 3.) Илья Леенсон, Марио Льоцци. История физики. М., Мир, 1970 Элементарный учебник физики. Под ред. Г.С. Ландсберга, т. 3, М., Наука, 1972 (для сильных учащихся) 


1. Урок. Источник тока в электрической цепи

№ этапа

Содержание

Время (мин)

Деятельность учителя

Деятельность учащихся

1

Организация занятия

12

Целеполагание, задание в группах по освоению новой темы

Самостоятельно, под руководством учителя и консультантов выполняют задания в группах (Пример таблицы)



5

Диктант по теме: 1. Какова особенность строения металлов? 2. Приведите пример проводников используемых в технике. 3. Запишите закон Ома для участка цепи через скорость движения электронов? 4. Запишите основное уравнение движения электронного газа? (основное уравнение МКТ) 5. Какова скорость теплового движения электронов (с формулой)?

2

Решение задач

19

Создание условий для решения задач. Фронтальная и индивидуальная работа. Дает задания для пошагового выполнения. Контроль.

Делают записи, участвуют в обсуждении, занимаются выполнением индивидуальных заданий Самостоятельная работа. Работа с таблицей.

3

Итог урока

2

Выяснение ответов по заданиям, д\з

Делают анализ ошибок Записывают д\з

4

д/з

2

Домашнее задание. Контрольные вопросы. 1. Что такое электрический ток? 2. Каковы условия возникновения электрического тока? 3. Каковы элементы электрической цепи? 4. Что такое электрическая цепь? 5. Условные обозначения электрической цепи? 6. Основные формулы?


Пример таблицы

Вид сравнивания

№ п/п

Вопросы

Сравниваемые объекты




Электрофорная машина

Термо-элемент

Гальваничес-кий элемент

Аккуму-лятор

Сходство

1

Какие источники тока вам известны

да

да

да

да


2

Для получения какого напряжения нужны источники

Высокого

Низкого

Низкого

Низкого


3

Что создает условия для возникновения тогка?

Электрическое поле и заряженные частицы


4

Как изображаются на схеме





Различие

5

Какие виды энергии превращаются в энергию электрического тока.

механическая

тепловая

химическая

Химичес.


66

Устройство

Трение стеклянных дисков





77

Преимущества

Высокое напряжение

Дешевизна, простота обращения

Компактностьпростота обращения

Консерва-ция энергии


88

Недостатки

Громоздкость

Доп условия, подогрев

Мало служит

Необход. подзарядка


1. Урок. Закон Ома однородного проводника (участка цепи)

№ этапа

Содержание

Время (мин)

Деятельность учителя

Деятельность учащихся

1

Организация занятия

2

Цель, ход урока

Выполняют необходимые приготовления

2

Проверка изученного материала

7-10

Тестирование. Тест№3

Выполняют задания

3

Объяснение нового материала

10-15

По плану конспекту ведет беседу. <#"784739.files/image007.jpg">

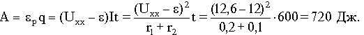
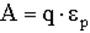
И аккумулятор, и выпрямитель являются источниками тока. При протекании тока сторонние силы совершают работу по разделению зарядов, перенося их между полюсами источника тока против сил электрического поля. По определению, ЭДС есть работа сторонних сил, приходящаяся на единицу перенесенного заряда:


Напряжение холостого хода выпрямителя совпадает с ЭДС сторонних сил в нем:


Направление тока в цепи определяется большей ЭДС выпрямителя. При этом сторонние силы в нем совершают положительную работу, перенося положительный заряд от "минуса" к "плюсу". В аккумуляторе, наоборот, ток течет от "плюса" к "минусу", и сторонние силы совершают отрицательную работу. Суммарная работа сторонних сил во всей цепи на единицу заряда (результирующая ЭДС) равна


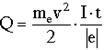
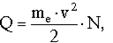
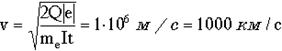
При переносе заряда q сторонние силы совершают работу


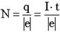
За время t переносится заряд q = It,

где I - сила тока, которую можно найти из закона Ома для замкнутой цепи:


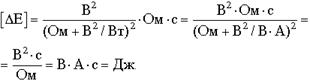
Окончательно получим:


Проверка единиц измерения:


Ответ: 720 Дж (время решения 20 минут)

2. К источнику тока, внутреннее сопротивление которого равно 0,65 Ом, подсоединена лампочка сопротивлением 2,6 Ом. Найти коэффициент полезного действия источника тока.


По определению, коэффициент полезного действия есть отношение полезной работы к затраченной работе . Полезной работой источника тока называется энергия, выделяющаяся на внешнем участке цепи:


где q - перенесенный заряд, а U - напряжение на зажимах источника. Затраченная работа - работа электрических сил при перемещении заряда по всей цепи. Она равна по величине работе сторонних сил в источнике:


Учитывая, что


находим:

.

Можно решать задачу иначе, воспользовавшись формулой для мощности электрического тока:

Тогда

.

Ответ: 0,8 (время решения 10 минут)

3. К источнику тока подключен реостат. При сопротивлениях реостата 2 Ом и 9 Ом на нем выделяется одинаковая мощность. Вычислить внутреннее сопротивление источника тока.


Для мощности тока P, выделяющейся на реостате, используя закон Ома для замкнутой цепи, получим

.

По условию задачи

.

Выполнив алгебраические преобразования в этом уравнении, получим интересный результат

(1)

Внутреннее сопротивление источника тока равно среднему геометрическому от двух различных сопротивлений нагрузки, обеспечивающих одну и ту же выделяемую в нагрузке мощность. На рисунке приведена зависимость этой мощности от сопротивления нагрузки. Величина P максимальна при сопротивлении нагрузки, равном внутреннему сопротивлению источника.

Подставим численные значения в формулу (1):

.

Значение возьмем из списка констант: =1,41. Тогда

.

Ответ: 4,23 Ом (время решения 10 минут)

4. Электромотор, номинальная мощность которого 4,4 кВт при 220 В, подключен к сети 220 В длинным проводом, сопротивлением 9 Ом. Определить потери электроэнергии за каждую минуту работы мотора.


Энергию, выделившуюся на участке цепи с сопротивлением , определим при помощи закона Джоуля-Ленца:


Сила тока I определяется по закону Ома для участка цепи, состоящего из проводов и мотора:


Сопротивление мотора R узнаем из его номинальной мощности и напряжения, на которое мотор рассчитан:


Окончательная формула имеет следующий вид


При вычислениях следует избегать возведения в степень больших чисел. Поэтому лучше сначала выполнить сокращение:


Проверка единиц измерения:


Ответ: 65340 Дж (время решения 20 минут)

5. На аноде электронной лампы за счет кинетической энергии электронов выделилось 54,6 Дж теплоты за 20 минут. Определить в километрах в секунду среднюю скорость движения электронов в лампе, если анодный ток равен 16 миллиамперам. Масса электрона равна

.


Количество теплоты, выделившееся на аноде лампы, равно суммарной кинетической энергии электронов, ударившихся об анод (энергией электронов после удара можно пренебречь):


где v - средняя скорость движения электронов, а N - число электронов, достигших анода за время t. Для числа электронов и выделившегося тепла находим

,

.

Отсюда


Ответ: 1000 км/с (время решения 15 минут)

№768-775 для слабых учащихся. А.П. Рымкевич по готовой формуле.

Измерение силы тока и напряжения

№ этапа

Содержание

Время (мин)

Деятельность учителя

Деятельность учащихся

1

Организация урока

2

Определяет задачи урока


2

Проверка изученного

8

Проводит тестирование. Тест №5

Выполняют задания

3

Изучение нового

15

Выступление подготовленных учащихся

Конспект, дополнения

4

Закрепление

13

Решение задач типа к/р №2 задание 4

Выполняют задание

5

Подведение итогов

2

Д\з

Записывают д\з,


Тепловое действие электрического тока. Закон Джоуля-Ленца

№ этапаСодержаниеВремя (мин)Деятельность учителяДеятельность учащихся





1

Организация урока

2

Определяет задачи урока. Задает д\з

Записывают д\з

2

Изучение нового

15

Беседа по конспекту урока

Участвуют в беседе. Конспект, дополнения

3

Закрепление

15

Решение задач типа к/р №2 задание 5

Выполняют задание

4.

Проверка изученного

7-8

Проводит тестирование. Тест №6

Выполняют задания


Передача мощности электрического тока от источника к потребителю. Электрический ток в растворах и расплавах электролитов

№ этапа

Содержание

Время (мин)

Деятельность учителя

Деятельность учащихся

1

Организация урока

2

Определяет задачи урока.


2

Изучение нового

10

Беседа по конспекту урока. Привлечение подготовленных учащихся.

Участвуют в беседе. Конспект, дополнения

3

Закрепление

15

Решение задач. Подготовка к к\р №2

Выполняют задание

4.

Проверка изученного

7-8

Проводит тестирование. Тест №7

Выполняют задания

5

Подведение итогов урока

5

Проверка результатов тестирования. Д\з

Делают анализ ошибок. Записывают д\з

Контрольная работа №2 «Закон Ома для замкнутой цепи»

Рекомендации к проведению тестирования.

Тест №1

Тест рассчитан на исследование естественно-научного мышления, поэтому с 1 по 5 задание каждый первый ответ оценивается в 1 балл, второй в 2 балла, третий в 3 балла, а с 6 по 10 знание формул и их физический смысл. Каждый правильный ответ оценивается в 2 балла,

0-10

11-19

20-23

24-25

2

3

4

5


Тест №2

Тест рассчитан на знание и применение изученного материала.

Первые три задания (также исследуется естественно-научное мышление), каждый правильный ответ оценивается в 1 балл, 4 и 5 задание с проверкой глубины понимания физической теории оценивается 4 в 2балла и 5 задание в 3 балла. Данные по ответу и по решению каждой задачи можно составить представление о динамике изучения темы.

0-2

3-4

5-6

7-8

2

3

4

5


Тест №3

Тест рассчитан на проверку закрепленных теоретических знаний по теме, поэтому (1-3) вопрос оценивается 1 баллом. 4 и 5 вопросы оцениваются 2 баллами.

0-23-45-67




2

3

4

5


Тест №4

Тест рассчитан на проверку изученного материала. 1 и 5 задания оцениваются 1баллом, 2,3,4 задания оцениваются 2 балла

0-23-45-67-8




2

3

4

5


Тест №5


0-45-78-1011-12




2

3

4

5


Тест №6

Этот тест позволяет проверить навыки учащихся полученные при изучении темы. 1 и 3 задание оценивается 1 баллом, 2.4 задание оценивается 2 баллами, 3 задание 3 баллами

0-23-45-67-8




2

3

4

5


Тест №7

Задания 1, 5 оцениваются 2 баллами, 2 задание 1 баллом, 3,4 задания 3 баллами

0-45-78-1010-11




2

3

4

5


Педагогический эксперимент по оценке влияния тестового контроля на уровень сформированности обученности учащихся по физике.

Разработанные по данной теме тесты позволяют помочь учащимся в формировании теоретических знаний и практических умений, вопросы и задания составлены таким образом, чтобы усвоить стандарт каждым учеником при изучении данной темы. В школе два класса, один является экспериментальным, другой контрольным.

Результаты педагогической деятельности оцениваются по следующим критериям:

·  Результаты тестирования

·        Результаты самооценки

·        Уровень обученности учащихся

·        Готовность к продолжению образования

Матрица результатов тестирования 11 класс. Тема «Постоянный ток»

№п/п

Фамилия уч-ся

Номера тестов/ кол-во баллов

Максимально возможное кол-во баллов

Полученное кол-во баллов

отметка



1

2

3

4

5

6

7




1


20

5

6

5

6

7

10

79

59

4

2


18

4

4

3

6

8

10


53

3

3


24

7

6

7

11

8

10


73

5

4


17

4

5

5

8

5

8


52

3

5


21

5

5

7

9

6

9


62

4

6


19

6

5

6

5

8

10


59

4

7


19

6

6

7

9

7

10


64

4

8


24

7

6

7

11

6

10


71

5

9


18

4

4

6

8

6

7


53

3

10


17

4

4

6

7

6

8


51

3

11


20

5

6

6

9

6

10


71

5

12


18

6

5

6

8

6

7


56

3

13


18

5

6

6

9

6

10


60

4

14


17

4

6

4

7

6

9


54

3

15


18

5

6

6

10

7

9


61

4

16


23

6

6

6

9

6

10


66

4

17


21

6

6

6

9

6

7


62

4

Суммарное количество баллов по каждому тесту (в числителе - полученная сумма, в знаменателе возможная)

352/450

112/144

99/126

108/144

159/216

120/144

164/198




Уровень затруднений учащихся

3

3

3

3

3

2

2





Результаты тестирования позволяют сделать вывод, что степень трудности тестов составляет 2-3 балла, и уменьшается по мере изучения темы. Качество выполнения контрольной работы выше на 4,7% в экспериментальном, чем в контрольном классе. Результаты позволяют сделать выводы, что тестовые задания помогают на основе образной информации, умения анализировать и оценивать предоставленную информацию расширить уровень знаний учащихся их теоретический и практический потенциал. Анкетирование учащихся и изучение уровня интереса к предмету дополняет данные эксперимента.

Месяц

Высокий

Средний

Низкий

Сентябрь

18

44

38

Январь

22

56

22

Май

22

57

21


Самооценка собственных результатов труда учащихся свидетельствует о повышении качества ЗУН, позволяет объективно судить о процессе обучения. Вырос интерес к предмету, учащиеся более качественно выполняют задания, учатся анализировать результаты своей работы, оценивать, достигать ожидаемых результатов. Следует отметить, что уровень общего развития учащихся вырос не только по данному предмету.

Контрольная работа, проведенная в контрольном классе, имеет более низкие результаты, чем в экспериментальном классе.

1 четверть

2 четверть

класс

Кол-во

Низкий

Средний

высокий

класс

Кол-во

Низкий

Средний

высокий

11экс

19

4

14

1

11экс

18

2

14

2

11контр

24

11

13


11контр

24

11

13



Степень обученности по результатам итогов четверти

Эти результаты получены на основе изучения сформированности основных понятий, физических величин, умений объяснять, умения анализировать, умения применять алгоритм, практических навыков, навыков решения задач.

Уровень обученности 11 класса

список

понятия

физические величины

Ед. изм.

умения обобщ.

умения анализ.

умения делать вывод

умения решать задачи

умения применалгор.

Практич. навыки

Теорет. навыки

навыки решения задач

1

3

4

4

3

3

3

3

4

4

4

3

2

4

4

4

3

3

3

3

4

4

3

3

3

4

5

5

4

5

5

5

5

4

5

4

4

4

3

3

3

3

3

3

3

3

3

3

5

4

4

4

4

3

3

4

4

4

4

6

4

4

4

4

3

3

3

4

4

4

4

7

4

4

4

3

3

3

4

4

4

4

3

8

5

4

4

4

5

5

4

5

5

5

4

9

3

3

3

3

3

3

3

4

4

3

3

10

2

2

3

3

2

3

2

3

3

3

3

11

4

4

4

4

3

3

3

4

4

4

3

12

3

3

3

4

3

3

2

4

3

4

3

13

4

4

4

4

4

3

3

4

3

3

3

14

2

3

3

2

2

3

2

3

3

3

3

15

4

4

4

3

3

3

3

4

4

4

3

16

4

4

4

4

3

3

3

4

3

4

3

17

4

4

4

4

3

4

3

4

4

4

3


Результаты обученности учащихся по физике с период 2003-2008 гг.

Класс

Количество учащихся

Качество, %

Общая успеваемость, %

Итого, %

2003 учебный год

10а

22

60

100

62,5

10б

24

62

100


11а

19

68

100


11б

21

60

99


2004 учебный год

10а

20

58

100

63,75

10б

23

59

100


11а

19

69

100


11б

21

61

100


2005 учебный год

10а

22

61

100

64,5

10б

23

62

100


11а

20

62

100


11б

23

63

100


2007 учебный год





7

18

42

100

58,75

8

24

68

100


9

28

57

97


11

21

68

100


2008 учебный год





7

26

67

100

66,5

19

63

100


22

62

100


9

24

74

100



Заключение

В заключении представлены основные результаты и выводы исследования.

. Актуальность проблемы развития информационной компетентности обусловлена низкими уровнем развития школьника в - его активность, самостоятельность и способность к саморазвитию и выработке своего индивидуального стиля.

. Специфика изучения проблемы развития компетентности школьника предполагает учет и широкое использование нормативных факторов - требований государственных стандартов - при освоении данной категорий, стандартизирующих и содержательно определяющих программ.

. Информационную компетентность школьника следует понимать как теоретическую и практическую его готовность выполнять задачи, направленные на преобразование учебной деятельности с целью обеспечения развития.

. Методика развития информационной компетентности школьника представлена уровнями готовности к самостоятельной творческой деятельности на основе закономерностей саморазвития.

Условиями эффективности развития информационной компетентности являются:

) мотивационно-ценностное отношение к профессиональной деятельности обеспечивает потребность в саморазвитии;

) методологическая, методическая и практическая подготовки на основе программно-целевого подхода обеспечивают исследовательский характер деятельности в учебном процессе;

В заключение следует отметить, что наше исследование не исчерпывает проблему развития информационной компетентности школьников в системе общеобразовательного и профильного образования.

Список литературы

1. Программа для общеобразовательных учреждений. М. Дрофа, 2006 г.

2.      Физика. Астрономия 7-11 классы. М.: Дрофа. 2001 г.

.        Акуленко В.Л. Формирование ИКТ-компетентности учителя-предметника в системе повышения квалификации [Текст] / В.Л. Акуленко // Применение новых технологий в образовании: Материалы XV Междунар. конф., 29-30 июня 2004 г., г. Троицк Московской обл.: Изд-во "Тровант", 2004. - С.344-346.

4. Гусинский Э.Н. Этапы обретения компетентности [Текст] / Э.Н. Гусинский, Ю.И. Турчанинова // Развитие и оценка компетентности: тез. докл. конф. - Москва, 1996 / Под ред. В.И. Белопольского и И.Н. Трофимовой. - М.: Институт психологии РАН, 1996. - С.29-31.

.   А.Ю. Фадеев, С.А. Старченко. Формирование исследовательских экспериментальных умений у учащихся 5-6 классов посредством компьютерного лабораторного практикума. г. Челябинск. Методические рекомендации, 1996г, - 25 с. 1000 экз.

6.      А.Ю. Фадеев, С.А. Старченко. Формирование исследовательских экспериментальных умений у учащихся 5-6 классов посредством компьютерного лабораторного практикума. Методические рекомендации. Челябинск,1996. -25 с, 1000экз

7. Дзугоева М.Г. Постановка и решение задач - основа информационной компетентности студентов / М.Г. Дзугоева // Проблемы качества образования: Материалы XIII Всерос. совещания: М.: Изд-во Исследовательский центр проблем качества подготовки специалистов, 2003. - Кн.2. - С.31-36.

8.      Зайцева О.Б. Формирование информационной компетентности будущих учителей средствами инновационных технологий [Текст]: Автореф. дис. ...канд. пед. наук. / О.Б. Зайцева.- Брянск, 2002. - 19 с.

.        Семёнов А.Л. Роль информационных технологий в общем среднем образовании [Текст] / А.Л. Семёнов. - М.: Изд-во МИПКРО, 2000. - 12 с.

.        Таирова Н.Ю. Развитие информационно-исследовательской компетентности преподавателя педагогического университета: Автореф. дис. ... канд. пед. наук / Н.Ю. Таирова. - Калинград, 2001. - 19 с.

.        Философский энциклопедический словарь / Гл. редакция: Л.Ф. Ильичёв, П.Н. Федосеев, С.М. Ковалёв, В.Г. Панов - М.: Сов. Энциклопедия, 1983. - 840 с.

.        Хуторской, А.В. Дидактическая эвристика. Теория и технология креативного обучения. [Текст] / А.В.Хуторской. - М-: Изд-во МГУ, 2003. - 416 с.

.        Хуторской А.В. Ключевые компетенции как компонент личностно-ориентированной парадигмы образования [Текст] / А.В. Хуторской // Ученик в обновляющейся школе. - М.: ИОСО РАО, 2002. - С.135-157.

14. Пособие для подготовки к централизованному тестированию по физике.

15.    Автор А.С. Богатин. Издательство «Феникс»: Ростов - на-Дону. 2001г

.        Опорные конспекты и тестовые задания по физике. Г.Д. Луппов. М.: Пр. 1996 г.

.        Единый государственный экзамен. Тестовые задания по физике. М.: Пр. 2001 г.

.        Тесты. Центр тестирования Министерства образования РФ. М. 2001 г.

.        Сборник тестов для тематического и итогового контроля. «Интеллект-Центр» М. 2000 г.

.        Тесты по физике уровень А. В. Стандарт 2000

.        Н.К. Ханнанов, В.А. Орлов, Г.Г. Никифоров Вербум - М, Москва 2001 г.

.        В.А. Касьянов. Тематическое и поурочное планирование. М.: Дрофа 2002г.

.        Физика. Учебное пособие по ЕГЭ. М.: «Барс»2002 г.

.        О.Ф. Кабардин и др. Задания для итогового контроля знаний учащихся по физике в средней школе. М.: Просвещение.1983 г.

.        О.Ф. Кабардин и др. Контрольные и проверочные работы по физике. М.: Дрофа,2000 г.

.        В.А. Касьянов. Физика.11 класс. М.: Дрофа, 2002 г.

.        Балаш. В.А. Задачи по физике и методы их решения. М.: Пр., 1983 г.

.        Эксперимент: требования к уровню подготовки выпускников. М.: Пр, 2001 г.

.        Бабанский Ю.К. Оптимизация учебно-воспитательного процесса. М Пр.,1982 г.

.        Волович В.Г. и др. Не мучить, а учить. М.: Изд-во Российского университета,1992 г.

.        Гальперин П.Я., Кабыльницкая С.В. Экспериментальное формирование внимания. М.: МГУ,1974 г.

.        Гузеев В.В. Планирование результатов образования и образовательные технологии. М.: Народное образование, 2001 г.

.        Еремеев А.М. Организация обучения школьников с учетом их работоспособности // Гигиена и санитария,1980, №11.

.        Ляудис В.Я. Память в процессе развития. М.: МГУ,1976 г.

.        Талызина Н.Ф. Управление процессом усвоения знаний. М.: МГУ, 1975 г.

.        Концепция модернизации российского образования на период до 2010 года МО приказ от 11 февраля 2002 Москва №393

.        Стратегия модернизации содержания общего образования. Материалы для разработки документов по обновлению общего образования. - М., 2001.

.        Орлов А.А. Мониторинг инновационных процессов в образовании// Педагогика, 1996 г.

39.    Беспалько В.П. Мониториг качества обучения - средство управления образованием //Мир образования ,1996 г., №2 с. 31-36

.        Рябченко А.М., Кульпина Т.И., др. Педагогический мониторинг эффективности воспитательной системы школы. Ростов на Дону,1997 г.

.        Майоров А.Н. и др. Элементы педагогического мониторинга и региональных стандартов в управлении. С-Петербург,1992 г.

.        Беспалько В.П. Педагогика и прогрессивные технологии обучения М.,1995 г.

.        Витлин Ж.Л. Общие проблемы установления уровней подготовки и способов итогового контроля при аттестации обученности// ИЯШ. 1997 г. №2 с. 15-20.

.        Антипова В.М. Система внутришкольного педагогического мониторинга. Ростов на Дону,1996 г.

.        Уровневая система требований к знаниям и умениям учащихся и ее использование в учебном процессе по физике в средней школе.

46.    Hutmacher Walo. Key competencies for Europe//Report of the Symposium Berne, Switzerland 27-30 March, 1996. Council for Cultural Co-operation (CDCC) //Secondary Education for Europe Strasburg, 1997.

47.    Берулава Г.А. Диагностика мышления подростков. Бийск,1993 г.

.        Тулькибаева Н.Н., Старченко С.А., Фадеев А.Ю, Старченко В.А. Мониторинг оценки развития учащихся естественно-научного лицея. Челябинск,1997 г.

.        Разумовский В.Г. Проверка и оценка уровня знаний учащихся по физике. М. Пр 1997 г.

.        Тулькибаева Н.Н., Пронина И.И. Диагностика уровня достижения знаний в условиях стандартизации образования.

51. Опроненко О.В. Проверка знаний, умений и навыков учащихся по физике в средней школе. М. Пр, 1988 г С.А. Старчеко, В.А. Старченко. Развитие естественнонаучного мышления учащихся лицея. - Челябинск: ЧГПУ, 2005. - 61 с.

52.    С.А. Старченко, Н.Р. Шталева. Методические основы осуществления дидактического синтеза содержания естественнонаучного образования. Челябинск: ЧГПУ, 2005.-30 с.

.        С.А. Старченко, О.Е. Епимахова, О.Л. Байзулаева. Основы формирования учебно-исследовательских умений. Троицк, УГАВМ, ISDN 5 -8816-82 -17 -32c.

.        Сборник тезисов докладов 5 Российской конференции "Проблемы методологии и методики внедрения компьютерной графики в учебные дисциплины"

.        Тенденции развития информационных технологий. Мир ПК, 5/96, c. 132-134.

.        У.Б. Еслямова. Методические рекомендации по комплексному использованию средств новых информационных технологий и традиционных технических средств обучения в процесс физике. Челябинск, 2005г., -с. 52.100 экз.


Не нашли материал для своей работы?
Поможем написать уникальную работу
Без плагиата!
Без нейросетей!