Разработка расчетной программы

  • Вид работы:
    Практическое задание
  • Предмет:
    Информационное обеспечение, программирование
  • Язык:
    Русский
    ,
    Формат файла:
    MS Word
    46,35 Кб
  • Опубликовано:
    2015-03-31
Вы можете узнать стоимость помощи в написании студенческой работы.
Помощь в написании работы, которую точно примут!

Разработка расчетной программы

МІНІСТЕРСТВО ОСВІТИ І НАУКИ, молоді та спорту УКРАЇНИ

Національний аерокосмічний університет ім. М.Є. Жуковського

“Харківський авіаційний інститут”

Кафедра комп’ютерних систем та мереж









Лабораторна робота

з дисципліни “Програмування”

Розробка розрахункової програми

Виконав Момот О.О.

Перевірив Шпак О. С.






Оглавление

Задание №1

Цель работы

Ход работы

Алгоритм преобразования градусы - радианы

Тесты для проверки корректности преобразований

Код программы преобразования градусы - радианы

Результат тестов программы на проверку корректности преобразований

Задание №2

Цель работы

Ход работы

Код программы ограничения (максимальные и минимальные значения) для целочисленных и вещественных типов данных

Алгоритм по решению расчетной задачи

Код программы расчета математических выражений на основе вводимых пользователем данных

Вывод

Задание №1

Цель работы


Изучить принципы построения линейных алгоритмов и простых расчетных программ на языке программирования C, а также овладеть навыками создания консольных приложений в среде Microsoft Visual Studio.

Ход работы

1.      Сформулировать задание на разработку программы преобразования единиц измерения градусы - радианы (Вариант №11). Найти и записать формулу (коэффициенты) для преобразования.

.        Разработать в Microsoft Visio алгоритм по решению задачи преобразования единиц измерения.

.        Разработать от 5 до 8 тестов для проверки корректности преобразований, согласно разработанному алгоритму (для расчетов могут использоваться Microsoft Excel и программа Convert). Как минимум 3 теста должны быть направлены на выявление заведомо ошибочного поведения программы (при делении на ноль, при работе с очень большими или очень маленькими числами, при вводе некорректных данных).

.        Разработать программу преобразования единиц измерения согласно номеру варианта. Программа должна содержать комментарии поясняющие операторы или группы операторов программы (желательно наличие комментариев, соответствующих текстовым описаниям из алгоритма).

.        Провести тестирование программы с использованием тестов, разработанных в пункте 3.

.        Оформить отчет в редакторе Microsoft Word, используя для рисования схем редактор Microsoft Visio.

.        Отчет сдать преподавателю.

 

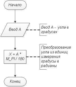
Алгоритм преобразования градусы - радианы


Рисунок 1.Алгоритм преобразования единиц измерения градусы - радианы

 

Тесты для проверки корректности преобразований


Таблица 1.Тесты для проверки корректности преобразований

№ теста

Угол в градусах

Ожидаемый результат в радианах

1

180

3,141592654

2

0

0

3

360

6,283185307

4

1200

20,94395102

5

5000

87,2664626


Код программы преобразования градусы - радианы

#include <locale.h>

#include <stdio.h>

#define _USE_MATH_DEFINES

#include <math.h>

#include <windows.h>main ()

{

//локальные переменные для хранения исходных данныхa, x;

// включить русский язык("M_PI = %.16lf\n", M_PI);(LC_CTYPE, "rus");

// ввод данных("Введите угол в градусах: ");("%f", &a);

// пересчет угла= a * M_PI / 180;

// расчет и вывод результата("%f", x);("pause");0;

}

программирование расчетный линейный консольный

Результат тестов программы на проверку корректности преобразований

Таблица 2.Результат тестов программы на проверку корректности преобразований

Угол в градусах

Ожидаемый результат в радианах

Результат

Вывод

1

180

3,141592654

3,141593

Тест пройден

2

0

0

0

Тест пройден

3

360

6,283185307

6,283185

Тест пройден

4

1200

20,94395102

20,943951

Тест пройден

5

5000

87,2664626

87,2664

Тест пройден

Задание №2

Цель работы


Изучить стандартные типы данных языка С (их диапазоны значений и другие ограничения связанные с объемом выделяемой для хранения памяти), получить навыки разработки расчетных программ с использованием стандартных библиотек языка С (библиотеки ввода-вывода, математических функций и т.д.).

Ход работы


.Ознакомится с возможностями форматированного ввода и вывода данных с применением функций scanf и printf. Под руководством преподавателя подготовить программу шаблон для вывода различных числовых значений в различных форматах.

.Изучив пример данный в листинге 1, создать программу, которая выводит заданные в заголовочных файлах limits.h и float.h ограничения (максимальные и минимальные значения) для целочисленных и вещественных типов данных.

Номер варианта

Целочисленные типы данных

Вещественный тип данных

11

short, unsigned short, int

double


. Вывод информации организовать в виде двух таблиц, формируемых с использованием функции printf(). Для целочисленных типов данных в таблице должны отражаться размер в байтах, минимальные и максимальные значения в десятичной и шестнадцатеричной системе. Вторая таблица для чисел с плавающей точкой показывает длину переменной в байтах, минимальные и максимальные ее значения в десятичной системе счисления.

. Разработать в Microsoft Visio алгоритм по решению расчетной задачи.

Номер варианта

Вычисляемые функции

Формат вывода результатов

11       

Форма представления чисел:

Десятичное с плавающей точкой

Точность:

знаков после десятичной точки



. Разработать программу расчета математических выражений на основе вводимых пользователем данных (задание из таблицы 2). За основу программы можно взять пример приведенный в листинге 2. Для хранения данных в программе нужно использовать только локальные переменные.

Код программы ограничения (максимальные и минимальные значения) для целочисленных и вещественных типов данных


#include <stdio.h>

#include <limits.h>

#include <float.h>

#include <locale.h>

#include <windows.h>main()(LC_CTYPE, "rus");("Таблица для целочисленных типов данных\n");("+--------------+-----+-----------+---------+-----------+-----------+\n");("|Type |Bytes| Min DEC | Min HEX | Max DEC | Max HEX |\n");("+--------------+-----+-----------+---------+-----------+-----------+\n");("|short");(" |%d |%d |%x |%d |%x |\n", sizeof(short), SHRT_MIN, SHRT_MIN, SHRT_MAX, SHRT_MAX);("+--------------+-----+-----------+---------+-----------+-----------+\n");("|unsigned short");("|%d | | |%u |%x |\n", sizeof(unsigned short), USHRT_MAX, USHRT_MAX);("+--------------+-----+-----------+---------+-----------+-----------+\n");("|int");(" |%d |%d|%x |%d |%x |\n", sizeof(int), INT_MIN, INT_MIN, INT_MAX, INT_MAX);0;

}

Алгоритм по решению расчетной задачи

Рисунок 2.Алгоритм по решению расчетной задачи

Код программы расчета математических выражений на основе вводимых пользователем данных

#include <locale.h>

#include <stdio.h>

#define _USE_MATH_DEFINES

#include <math.h>

#include <windows.h>main()

{

// локальные переменные для хранения исходных данныхa; // угол в градусахx; // угол в радианахz, w;

// включить русский язык(LC_CTYPE, "rus");("M_PI = %.16lf\n", M_PI);

// ввод данных("Введите угол в градусах: ");("%if", &a);

// пересчет угла= a * M_PI / 180;

}

Вывод

Я изучил принципы построения линейных алгоритмов и простых расчетных программ на языке программирования C, а также овладел навыками создания консольных приложений в среде Microsoft Visual Studio, стандартные типы данных языка С (их диапазоны значений и другие ограничения связанные с объемом выделяемой для хранения памяти), получить навыки разработки расчетных программ с использованием стандартных библиотек языка С (библиотеки ввода-вывода, математических функций и т.д.).

Ограничения изученных типов данных и проблем (ошибок в расчетах), которые могут возникнуть в следствие этих ограничений:

)        вещественные типы данных в языке С не могут быть без знаковыми.

)        при выполнении арифметических операций и присваиванья целых значений возможен выход за приделы значений. Такое нарушение в работе называется целочисленным переполнением.

)        числам с плавающей точкой свойственно округление значений при вычислениях. В некоторых случаях могут быть получены некорректный результат вычислений по причине переполнения и потери значимости.

)        ошибки в программе могут возникнуть при явном и не явном преобразовании типов.

Похожие работы на - Разработка расчетной программы

 

Не нашли материал для своей работы?
Поможем написать уникальную работу
Без плагиата!
Без нейросетей!