Разработка программного продукта для управления запасами кисломолочной продукции на предприятии ТОО 'МИЛХ'

  • Вид работы:
    Дипломная (ВКР)
  • Предмет:
    Информационное обеспечение, программирование
  • Язык:
    Русский
    ,
    Формат файла:
    MS Word
    985,55 Кб
  • Опубликовано:
    2014-11-19
Вы можете узнать стоимость помощи в написании студенческой работы.
Помощь в написании работы, которую точно примут!

Разработка программного продукта для управления запасами кисломолочной продукции на предприятии ТОО 'МИЛХ'

Содержание

 

Введение

1. Аналитическая часть

.1 Теоретическое обоснование организации производства и сбыта кисломолочной продукции

1.2 Организационно-экономическая характеристика предприятия

1.2.1 Условия производства, размеры и специализация предприятия

.2.2 Технологический процесс производства кисломолочной продукции

1.2.3 Организация сбыта кисломолочной продукции

.3 Расчет оптимального запаса

.3.1 Методы расчета оптимальной величины партии поставок

.3.2 Описание и изучение метода расчёта оптимального запаса

.3.3 Применение метода расчёта оптимального запаса на предприятии

. Проектная часть

.1 Техническое задание

.2 Структура программного комплекса

.3 Программная среда разработки

.4 Программно-аппаратные требования к программному комплексу

. Машинная реализация комплекса задач

.1 Авторизация

3.2 Главная форма программы

3.3 Технологическая схема приема молока

3.4 Теоретические исследования оптимального запаса

4. Техника безопасности

.1 Анализ опасных и вредных факторов при работе с компьютером

.2 Охрана труда

.3 Организация рабочего места оператора

Заключение

Список использованной литературы

Введение

Запасы представляют собой один из важнейших факторов обеспечения постоянства и непрерывности воспроизводства. Непрерывность производства требует, чтобы постоянно находилось достаточное количество сырья и материалов, для полного удовлетворения потребностей производства в любой момент их использования. Поэтому необходимость бесперебойного снабжения производства в условиях непрерывности спроса и дискретности поставок, обуславливает создание на предприятиях материальных запасов. Несмотря на то, что сейчас идет тенденция ускорения оборачиваемости запасов на предприятие, а следовательно и снижение размеров запасов, вплоть до работы с колес, запасы по-прежнему занимают главную роль в обеспечении предприятия нормальными ритмичными условиями работы. Задача управления запасами возникает, когда необходимо создать запас материальных ресурсов или предметов потребления с целью удовлетворения спроса на заданном интервале времени (конечном или бесконечном). Для обеспечения непрерывного и эффективного функционирования практически любой организации необходимо создание запасов. В любой задаче управления запасами требуется определять количество заказываемой продукции и сроки размещения заказа. Спрос можно удовлетворить путём однократного создания запаса на весь рассматриваемый период времени или посредством создания запаса для каждой единицы времени этого периода. Эти два случая соответствую избыточному запасу (по отношению к единице времени) и недостаточному запасу (по отношению к полному периоду времени). При избыточном запасе требуется более высокие удельные (отнесённые к единице времени) капитальные вложения, но дефицит возникает раже и частота размещения заказов меньше. С другой стороны, при недостаточном запасе удельные капитальные вложения снижаются, но частота размещения заказов и риск дефицита возрастает. Для любого из указанных крайних случаев характерны значительные экономические потери. Таким образом, решения относительно размера заказа и момента его размещения могут основываться на минимизации соответствующей функции общих затрат, включающих затраты, обусловленные потерями от избыточного запаса и дефицита.

Проблемы управления запасами возникают на предприятии в самых различных ситуациях. Это могут быть запасы готовой продукции, производимой предприятием. Это могут быть запасы исходного сырья и материалов, инструментов и запчастей. На предприятии возникают и внутренние запасы полуфабрикатов, производимых данным предприятием и используемых здесь же. Все эти различные виды запасов, возникающие по разным причинам в различных многообразных ситуациях, объединяет общая проблематика. Как организовать процесс принятия управленческих решений таким образом, чтобы не возникало перебоев в снабжении товарами? Как при этом добиться минимизации издержек, связанных с запасами? Другими словами, как управлять запасами?

ТОО "МИЛХ" присутствует на рынке Казахстана с 2001 года. За время своей деятельности на базе бывшего молочного завода создан цех по выпуску плавленых сыров и приобретен в собственность Боровской молочный завод. Не меняя профиля ранее существовавших производств, ТОО "МИЛХ" также выпускает молочную продукцию в ассортименте: масло, сыры, творог, пастеризованное молоко, катык, кефир, ряженка, сметана и др. За годы работы сложилась постоянная сырьевая база. В несколько раз увеличен объем производства. За счет этого возникла необходимость в создании автоматизированной системы, позволяющей рассчитать эффективность производства.

Данный проект позволит оценивать этапы производства молочной продукции предприятия и производить необходимые изменения в данный технологический процесс.

Описание дипломной работы состоит из четырех глав, каждая из которых раскрывает отдельные решаемые проблемы. Аналитическая часть теоретически обосновывает организацию производства и сбыта кисломолочной продукции, рассказывает о организационно-экономической характеристики предприятия и о методе расчета оптимального запаса. Проектная часть представляет техническое задание на выполнение программного продукта, его структуру, программную среду и требования к нему. Машинная реализация комплекса задач расскажет пользователю о правилах использования программного продукта. Последняя глава - техника безопасности, в которой раскроются основные безопасные модели работы оператора за компьютером.

Проблемой, решаемой данной дипломной работой, является отсутствие программных продуктов на предприятии для полноценного исследования методов оптимального запаса, что в конечном итоге приводит к излишним расходам на хранение и переработку готовой кисломолочной продукции.

Поэтому целью работы является создание полноценного программного продукта, осуществляющего все необходимые расчеты, с которыми сталкиваются работники пункта приема молока.

Важностью и актуальностью рассматриваемой проблемы, послужило уникальность программного продукта, а также его направленности на одно предприятие с учетом его особенностей.

Объектом исследования выступила оптимальная схема приемки молока для его последующей переработки, хранения и сбыта.

Предметом исследования является разработка программного продукта для управления запасами на конкретном предприятии.

На основе поставленной цели, объекта и предмета исследования были выбраны следующие направления: анализ проблемы; поиск и изучение программных средств для решения подобных задач; разработка собственного программного продукта, осуществляющего решение поставленной задачи.

Теоретико-методологическую основу исследования составили недостаточно исследованная практика решения подобных задач и автоматизация их решений.

Методы исследования направлены на анализ нормативных документов, регламентирующих разработку подобного рода программных продуктов, его структуру и содержание.

Научная новизна работы на лицо, подобных программ для исследования данной проблемы не так много и большинство из них имеют ограниченные способности, не позволяющие их использование на конкретном предприятии.

Теоретическая значимость исследования представляет собой потенциально новые подходы к накоплению и сбыту кисломолочной продукции.

Практическая значимость программного продукта была хорошо оценена на предприятии, ее способность рассчитывать оптимальный размер запасов, хранимых на предприятии с учетом ее производственных мощностей.

1. Аналитическая часть

 

.1 Теоретическое обоснование организации производства и сбыта кисломолочной продукции

 

Для теоретического обоснования организации производства и сбыта кисломолочной продукции возьмем одну абстрактную организацию, занимающуюся производством и сбытом указанных товаров. Не будем просчитывать весь технологический процесс производства кисломолочной продукции и в качестве основных данных возьмем среднестатистические показатели предприятий Костанайской области по данным агентства по статистике.

Допустим, что объем реализации по основному виду деятельности за второе полугодие 2009 года составил 46414,6 тыс. тен. товарооборот по торговле составил без НДС 2366 тыс. тен. Наценка по торговле без НДС - 335 тыс. тен. Объем реализации по всем видам деятельности составил 53615 тыс. тен. Получено валовой прибыли 3848 тыс. тен. Внереализационные доходы составили 54 тыс. тен., а внереализационные расходы - 776 тыс. тен. Балансовая прибыль - 3126 тыс. тен.

Для расчётов с хозяйствами за молоко и на производственные нужды были взяты кредиты в суме 19397,9 тыс. тен., а также использовались собственные средства, полученные от реализации готовой продукции.

Среднесписочная численность работников на предприятии - 153 чел. Начисленный фонд оплаты труда - 1819,5 тыс. тен.

Как известно, каждый товар должен производиться лишь тогда, когда есть платежеспособный спрос на него, подкрепленный заявками или договорами на его поставку.[1]

Таблица 1.

Анализ обеспеченности плана производства продукции договорами (заявками) на поставку

 Вид продукции

Объем поставки по заключенным договорам, тыс. тен.

Остаток готовой продукции на начало года, тыс. тен.

План производства продукции на год, тыс. тен.

Обеспеченность выпуска продукции договорами, %

Масло

112

7

90

115,46

Сыр

126

16

113

97,67

Молоко и кисломолочные продукты

311

17

415

71,99


Как видно из табл. 1, план выпуска масла был полностью обеспечен договорами на поставку продукции.

По сыру и кисломолочным продуктам запланированный выпуск продукции был обеспечен договорами на поставку соответственно на 97,67 и 71,99%.

В результате предприятию пришлось пересмотреть структуру производства, сократив удельный вес первого вида продукции и увеличив долю второго и третьего продукта.

В связи с этим мы можем сделать заключение, что предприятие активно реагирует на конъюнктуру рынка, на изменение спроса, внося соответствующие корректировки в производственную программу.

Чтобы оценить риск невостребованной продукции, проанализируем динамику остатков готовой продукции (табл. 2).

Таблица 2.

Анализ динамики остатков готовой продукции

Вид продукции

Остаток на начало года

Фактический выпуск продукции

Объем реализации продукции

Остаток готовой продукции на конец года

Прирост






Тыс. тен.

%

Масло

7

118

115

15

+3

114

Сыр

16

131

126

37

+5

131

Молоко и кисломолочные продукты

17

311

310

42

+1

147


Из таблицы видно, что за отчетный год значительно возросли остатки нереализованной продукции, особенно по сыру и молоку и кисломолочным продуктам, спрос на которые снизился, что требует от предприятия принятия определенных мер по недопущению убытков от невостребованной продукции, например, снижение цен на данные виды продукции или дополнительные затраты на более привлекательную упаковку, рекламу и т.д. В противном случае, если эта продукция будет невостребована покупателями, предприятие получит убытки в размере фактических затрат на ее производство и хранение.

По данным, приведенным в табл. 3, можно изучить структуру рынков сбыта и уровень их доходности.

Из таблицы видно, что наибольшую прибыль приносят молоко и кисломолочные продукты, имеющие высокие уровень доходности. Незначительно способствуют экономическому росту масло и сыр.

Их рентабельность ниже, но они приносят достаточно большой доход и производство их является еще выгодным для предприятия.

Сравнительный анализ уровня цен (табл. 4) показывает, что анализируемое предприятие проводит более гибкую ценовую политику на внутреннем рынке.

Оно быстрее отреагировало на уменьшение спроса на первые два вида продукции, снизив уровень цены по сравнению с ценой конкурирующего предприятия, одновременно подняв цены на продукцию, которая пользуется повышенным спросом.

Таблица 3.

Анализ структуры рынков сбыта и их доходности

Вид продукции

Структура рынков сбыта, %

Доходность продукции на рынке сбыта, %


Внутреннего

Экспорта

Итого

Внутреннем

Внешнем

Масло

92,8

7,2

100

12,0

25,6

Сыр

100,0

-

100

16,0

-

Молоко и кисломолочные продукты

75,4

24,6

100

23,0

28,5


Таблица 4.

Сравнительный анализ уровня цен на продукцию

Вид продукции

Уровень цены за 1 тонну, тыс. тен.


На внутреннем рынке

в стране импортера


анализируемого предприятия

в среднем по отрасли

конкурирующего предприятия

анализируемого предприятия

Средняя на рынке

Масло

90

92

91,5

--

--

Сыр

92

93,5

91,5

130

160

Молоко и кисломолочные продукты

9

10

9,6

--

--


Затраты на производство продукции отражены в таблице 5.

Как видно из таблицы 5, фактические затраты предприятия выше плановых на 5,3 млн. тен. Перерасход произошел по всем видам и особенно по материальным затратам. Увеличилась сумма как переменных, так и постоянных расходов. [2]

Изменилась несколько и структура затрат: увеличилась доля материальных затрат и амортизации основных средств в связи с инфляцией, а доля зарплаты уменьшилась.

Общая сумма затрат (Зобщ) может измениться из-за объема выпуска продукции в целом по предприятию (VВПобщ), ее структуры (УДi), уровня переменных затрат на единицу продукции (Вi) и суммы постоянных расходов на весь выпуск продукции А (масло):

Вычисление общей стоимости затрат по формуле (1).

Зобщ = S( VВПобщ * УДi * Вi) + А. (1)

Зобщ - Общая сумма затратВПобщ - объем выпуска продукции в целом по предприятию

УДi - объема выпуска продукции в целом ее структуры

Вi - уровень переменных затрат на единицу продукции

А - сумма постоянных расходов на весь выпуск продукции

Данные для расчета влияния этих факторов приведены в таблице 6.

Таблица 5.

Затраты на производство продукции

Элементы затрат

Сумма, млн. тен.

Структура затрат, %


план

факт

+,-

план

факт

+,-

Материальные затраты Заработная плата Отчисления в фонд социальной защиты Амортизация основных средств Прочие расходы

48,9 3,4 3,2 1,6 10,1

52,8 3,6 3,6 1,9 10,6

+3,9 +0,2 +0,4 +0,3 +0,5

72,77 5,05 4,76 2,38 15,04

72,83 4,97 4,97 2,61 14,62

+0,06 -0,08 +0,21 +0,23 -0,42

Полная себестоимость В том числе: · переменные расходы · постоянные расходы

67,2  55,9 11,7

72,5  61,2 11,3

+5,3  +4,5 +0,8

100,0  83,2 16,8

100,0  84,4 15,6

-  +1,2 -1,2

 

Таблица 6.

Исходные данные для факторного анализа общей суммы издержек на производство и реализацию продукции

 Затраты

Сумма, млн. тен.

Факторы изменения затрат

По плану на плановый выпуск продукции: S( VВПiпл * Вiпл) + Апл

67,2

План

План

План

План

По плану, пересчитанному на фактический объем производства продукции при сохранении плановой структуры: S( VВПiпл * Вiпл)* Ктп + Апл

68,4

Факт

План

План

План

По плановому уровню на фактический выпуск продукции при фактической ее структуре: S( VВПiф * Вiпл) + Апл

69,5

Факт

Факт

План

План

Фактические при плановом уровне постоянных затрат: S( VВПiф * Вiф) + Апл

71,3

Факт

Факт

Факт

План

Фактические: S( VВПiф * Вiф) + Аф

72,5

Факт

Факт

Факт

Факт


Из таблицы видно, что в связи с перевыполнением плана по выпуску товарной продукции в условно-натуральном выражении сумма затрат возросла на 1,2 млн. тен. За счет изменения структуры выпуска продукции сумма затрат также возросла на 1,1 млн. тен. Это свидетельствует о том, что в общем выпуске продукции увеличилась доля затратоемкой продукции. Из-за повышения уровня удельных переменных затрат перерасход издержек на производство продукции составил 1,8 млн. тен. Таким образом, общая сумма затрат выше плановой на 5,3 млн. тен., в том числе за счет перевыполнения плана по объему производства продукции и изменения ее структуры она возросла на 2,3 млн. тен., а за счет роста себестоимости продукции - на 3 млн. тен.

Важный обобщающий показатель себестоимости продукции - затраты на одну тенге товарной продукции, который выгоден тем, что, во-первых, очень универсален: может рассчитываться в любой отрасли производства, и, во-вторых, наглядно показывает прямую связь между себестоимостью и прибылью.

Определяется он отношением общей суммы затрат на производство и реализацию продукции к стоимости произведенной продукции в действующих ценах.

Затраты на тенге товарной продукции непосредственно зависят от изменения общей суммы затрат на производство и реализацию продукции и от изменения стоимости произведенной продукции. На общую сумму затрат оказывают влияние объем производства продукции, ее структура, изменение переменных и постоянных затрат. Которые в свою очередь могут увеличиться или уменьшиться за счет уровня ресурсоемкости продукции и цен на потребленные ресурсы.

Влияние факторов на изменение затрат на тенге товарной продукции рассчитывается способом цепной подстановки по данным таблицы 6 и по данным о выпуске товарной продукции.

Товарная продукция млн. тенге показана в таблице 7.

Таблица 7

по плану ∑(VВПiпл * Цiпл)82,66

фактически при плановой

структуре и плановых ценах ∑(VВПiф * Цiпл) ± ∆ТПстр 84,78

фактически по ценам плана ∑(VВПiф * Цiпл)86,88

фактически по фактическим ценам ∑(VВПiф * Цiф)89,84


Аналитические расчеты таблица 8 показывают, что предприятие уменьшило затраты на тенге готовой продукции на 0,61 тиын, в том числе за счет:

увеличения объема производства продукции на 0,62 тиын;

изменения структуры производства на 0,68 тиын;

повышения оптовых цен на продукцию на 2,76 тиын

Остальные факторы (уровень удельных переменных затрат на единицу продукции, увеличение суммы постоянных расходов) вызвали повышение этого показателя соответственно на 2,09 и 1,36 тиын

Чтобы установить влияние исследуемых факторов на изменение суммы прибыли, необходимо абсолютные приросты затрат на тенге товарной продукции за счет каждого фактора умножить на фактический объем реализации продукции, выраженный в плановых ценах (таблица 9).

 


Таблица 8.

Расчет влияния факторов на изменение суммы затрат на тенге товарной продукции

Затраты на тенге товарной продукции, тиын

Фактор


Объем производства

Структура производства

Уровень удельных переменных затрат

Сумма постоянных затрат

Отпускные цены на продукцию

План = 67,2 : 82,66 = 81,30 Усл.1 = 68,4 : 84,78 = 80,68 Усл.2 = 69,5 : 86,88 = 80,00 Усл.3 = 71,3 : 86,88 = 82,09 Усл.4 = 72,5 : 86,88 = 83,45 Факт = 72,5 : 89,84 = 80,69

План Факт Факт Факт Факт Факт

План План Факт Факт Факт Факт

План План План Факт Факт Факт

План План План План Факт Факт

План План План План План Факт

∆общ = 80,69 - 81,3 = - 0,61 тиын.

-0,62

-0,68

+2,09

+1,36

-2,76



Таблица 9.

Расчет влияния факторов на изменение суммы прибыли

 Фактор

Расчет влияния

Изменение суммы прибыли, млн. тен.

Объём выпуска товарной продукции Структура товарной продукции Уровень переменных затрат на единицу продукции Увеличение суммы постоянных затрат на производство и реализацию продукции Изменение уровня отпускных цен на продукцию

-0,62 * 82,66/100 -0,68 * 82,66/100  +2,09 * 82,66/100  +1,36 * 82,66/100  -2,76 * 82,66/100

+0,51 +0,56  -1,73  -1,12  +2,28

Итого


+0,5


Из приведенных данных видно, что увеличению прибыли способствовали рост отпускных цен, объема выпуска продукции и изменение ее структуры.

Отрицательное влияние на прибыль оказали такие факторы, как рост цен на потребленные ресурсы (внешний фактор) и повышение уровня ресурсоемкости продукции (внутренний фактор).

Для более глубокого изучения причин изменения себестоимости, анализируют отчетные калькуляции по отдельным изделиям, сравнивают фактический уровень затрат на единицу продукции с плановым и данными прошлых лет в целом и по статьям затрат.

1.2 Организационно-экономическая характеристика предприятия

 

.2.1 Условия производства, размеры и специализация предприятия

Структура молокозавода (ТОО "МИЛХ") - внутренний устрой, который характеризует состояние подразделений, отраслей как систему связей, последовательность и взаимодействие между ними.

Административно-правовые методы управления предусматривают юридическое (правовое) и административное влияние на отношения людей в процессе производства, поскольку они регулируются правовыми нормами: законодательными актами, инструкциями, положениями и распоряжениями.

Так, как любое предприятие является индивидуальной структурой организации, то не существует единой модели управления. Факторами, которые определяют её выбор является размер фирмы; продукция, которая выпускается; характер среды. Система управления должна быть простой и гибкой, обеспечивать эффективность и конкурентоспособность функционирования предприятия.

Она должна иметь небольшое количество уровней управления, наличие немногочисленных подразделений, которые имеют высококвалифицированных работников; качество продукции и все процедуры работы должны быть ориентированы на потребителя.

Рассматриваемый молокозавод имеет линейно-функциональную структуру управления.

Особое внимание здесь занимает управляющий, который имеет возможность сконцентрировать внимание на текущем управлении. Как видно, из структуры управления основными связующими звеньями являются:

. Отдел по производству, где особое внимание уделяется контролю над основным производственным цехом по производству творога, казеина и масла;

. Отдел бухгалтерии занимается учетом и отчетностью имеющихся основных и оборотных средств предприятия, денежных средств;

Рис. 1.1. Структура управления ТОО "МИЛХ"

3. Инженерная служба, основная задача которой состоит в обеспечении соблюдения техники безопасности на заводе, разработке и осуществлении мероприятий по механизации и автоматизации, направлена на ликвидацию ручного труда на тяжелых работах, а также внедрение более современных конструкций оградительной техники и предохранительных сооружений;

. Служба охраны труда, целью которой является обеспечение неприкосновенности молокозавода;

. Экономический отдел, отвечающий за основное производство по заготовкам, заключение определенных договоров с поставщиками, контроль за механизированной службой;

. Лаборатория качества продукции, задача которой состоит в проведении анализа и проб произведенной молочной продукции, выявление недостатков и повышения качества данной продукции.

При создании рациональной структуры управления необходимо правильно установить численность персонала, занятого в этой сфере. Количество работников функциональных подразделений предприятия определяется на уровне соответствующих нормативов. Чаще всего, количество управленческого персонала устанавливается в процентах к численности всех работников и фиксируется в штатном расписании.

Анализируя таблицу 10, можно сказать, что состав численности штатных работников за 2008 год по сравнению с 2009 годом увеличился на 1 работника, численность специалистов увеличилась на 2 человека, также увеличилась в 2008 году численность непромышленной группы работников и составила 2 человека.

Таблица 10.

Динамика состава численности работников ТОО "МИЛХ"

Категории работников

2007г.

2008г.

2009г.

Отклонение2009 от 2008 г.

Штатные работники

50

55

54

-1

Руководители

12

12

13

1

Специалисты

6

5

7

2

Служащие

22

20

21

1

Итого

90

92

95

3

Непромышленная группа работников

7

6

8

2

Рабочие

13

15

15

-

Руководители

-

-

-

-

Специалисты

3

3

4

1

Служащие

2

2

3

1

25

26

30

4

Всего

115

118

125

6


Предприятие постоянно взаимодействует с внешней средой. В зависимости от характера влияния её разделяют на микро и макросреду. Микросреда является прямым влиянием на предприятие. Её создают потребители, конкуренты, государственные органы. Изменения в деятельности предприятия имеет прямое влияние на все взаимосвязанные с ним элементы среды. Уровень сложности и подвижности микросреды требует оперативной поставки производственных ресурсов. Поставщиками их являются разные субъекты хозяйствования, которые обеспечивают предприятие необходимыми запасами. Так, для молокозавода основными поставщиками сырья являются:

-       ИП "Нусанбаев Р.Т."

-       ИП "Досаев Т.К."

-       ИП "Ковалева Н.В."

-       ИП "Акимжанов Т.К."

-       ИП "Багиров М.А."

-       ИП "Слепцов И.В.."

-       ТОО "Коктем-Плюс", а также население.

Каждая организация имеет право следить за динамикой цен и регулярностью поставок ресурсов, их размерами относительно удовлетворения потребностей производственной программы. За пределами производства важнейшим субъектом микросреды являются посредники, то есть те фирмы или отдельные предприниматели, которые помогают в реализации товаров.

Коммерческого успеха достигает то предприятие, которое всесторонне и систематически изучает своих конкурентов. Причём решающее значение имеет разработка и выполнение действующих рыночных стратегий и тактического поведения, которое влияет на уровень жёсткости конкуренции.

Основной целью завода является: получение максимальной прибыли путем обеспечения постоянства и дальнейшего увеличения производства продукции; всестороннего увеличения производства продукции; всестороннего увеличения его эффективности, создание экспортных ресурсов и необходимых резервов продукции.

Финансы предприятия основываются на принципах их организации и зависят от:

. формы собственности;

. отраслевой зависимости;

. направлений деятельности;

. организационно-правовых форм предпринимательской деятельности;

. плановости;

. чёткого распределения средств;

. сбережения собственных оборотных средств.

Сегодня каждое предприятие самостоятельно выбирает вид деятельности в условиях действующего законодательства, принимает решения по производству и сбыту продукции, организует свои взаимоотношения с контрагентами и работниками.

1.2.2 Технологический процесс производства кисломолочной продукции

Технологический процесс производства кисломолочных напитков

К кисломолочным напиткам относятся простокваша, кефир, кумыс, ацидофильные напитки, кисломолочные напитки с солодовым экстрактом. Кроме того, вырабатывают кисломолочные напитки из пахты и молочной сыворотки.

Все виды кисломолочных напитков вырабатываются путем сквашивания подготовленного исходного сырья заквасками определенных чистых культур. Полученный сгусток охлаждается, а для некоторых продуктов он созревает.

Для получения кисломолочных напитков используют молоко цельное и обезжиренное, сливки, сгущенное и сухое молоко, казеинат натрия, пахту и другое молочное сырье, а также солодовый экстракт, сахар, плодово-ягодные сиропы, джемы, корицу и др.

Существует два способа производства кисломолочных напитков - резервуарный и термостатный.

Резервуарный способ. Технологический процесс производства кисломолочных напитков резервуарным способом состоит из следующих технологических операций: подготовки сырья, нормализации, пастеризации, гомогенизации, охлаждения, заквашивания, сквашивания в специальных емкостях, охлаждения сгустка, созревания сгустка (кефир, кумыс), фасовки.

Для производства кисломолочных напитков используется молоко не ниже второго сорта кислотностью не выше 19 °Т, которое предварительно подвергают очистке. Обезжиренное молоко, пахта, сливки, сгущенное и сухое молоко, казеинат натрия и плодовоягодные наполнители должны быть доброкачественными без посторонних привкусов и запахов и пороков консистенции.

Кисломолочные напитки вырабатывают с различной массовой долей жира: 6; 4; 3,2; 2,5 1,5; 1%. Поэтому исходное молоко соответственно нормализуется до требуемой массовой доли жира. Нормализация молока осуществляется в потоке на сепараторах-нормализаторах или смешением. Нежирные продукты вырабатываются из обезжиренного молока.

При нормализации сырья смешением массу продуктов для смешения определяют по формулам материального баланса или по рецептуре.

Нормализованное сырье подвергается тепловой обработке. В результате пастеризации уничтожаются микроорганизмы в молоке и создаются условия, благоприятные для развития микрофлоры закваски. Наилучшие условия для развития микроорганизмов создаются, если молоко пастеризуется при температурах, близких к 100°С. При этих условиях происходит денатурация сывороточных белков, которые участвуют в построении структурной сетки сгустка, повышаются гидратационные свойства казеина и его способность к образованию более плотного сгустка, хорошо удерживающего сыворотку. Поэтому при производстве всех кисломолочных напитков, кроме ряженки и варенца, исходное сырье пастеризуется при температуре 85-87°С с выдержкой 5-10 мин или при 90-92°С с выдержкой 2-3 мин, ряженки и варенца - 95-98°С с выдержкой 2-3 ч. Кроме того, при выработке варенца используется и стерилизация молока.

Тепловая обработка молока обычно сочетается с гомогенизацией. В результате гомогенизации при температуре 55-60°С и давлении 17,5 МПа улучшается консистенция кисломолочных продуктов и предупреждается отделение сыворотки.

После пастеризации и гомогенизации молоко охлаждается до температуры заквашивания. При использовании закваски, приготовленной на термофильных бактериях, молоко охлаждается до 50-55°С, мезофильных-30-35°С и кефирной закваски- 18-25°С.

В охлажденное до температуры заквашивания молоко должна быть немедленно внесена закваска, соответствующая виду продукта. Наиболее рационально вносить закваску в молоко в потоке. Для этого закваска через дозатор подается непрерывно в молокопровод и в смесителе смешивается с молоком.

Сквашивание молока проводят при температуре заквашивания. В процессе сквашивания происходит размножение микрофлоры закваски, нарастает кислотность, коагулирует казеин и образуется сгусток. Окончание сквашивания определяют по образованию достаточно плотного сгустка и достижению определенной кислотности.

По окончании сквашивания продукт немедленно охлаждается. Кисломолочные продукты, вырабатываемые без созревания, немедленно направляются на охлаждение.

Кефир, вырабатываемый с созреванием, после сквашивания охлаждается до 14-16°С и при этой температуре созревает. Продолжительность созревания кефира не менее 10-12 ч. Во время созревания активизируются дрожжи, происходит процесс спиртового брожения, в результате чего в продукте накапливаются спирт, углекислота и другие вещества, придающие этому продукту специфические свойства.

Технологическая линия производства кисломолочных напитков резервуарным способом представлена на рисунке 1.2. Молоко из емкости для сырого молока подается в балансировочный бачок, откуда направляется в рекуперативную секцию пастеризационно-охладительной установки, где подогревается до 55-57°С.

Рисунок 1.2. Схема технологической линии производства кисломолочных напитков резервуарным способом: 1 - емкость для сырого молока; 2 - насосы; 3 - балансировочный бачок: 4 - пластинчатая пастерпзационно-охладительная установка; 5 - пульт управления; 6 - возвратный клапан; 7 - сепаратор-нормализатор; 8 - гомогенизатор; 9 - емкость для выдерживания молока; 10 - емкость для кисломолочных напитков; Л - смеситель; 12 - заквасочник

Для пастеризации молока используются пастеризационно-охладительные установки для кисломолочных продуктов, в которых можно проводить пастеризацию с необходимой выдержкой и последующим охлаждением до температуры сквашивания. Подогретое молоко направляется сначала в сепаратор-нормализатор, а затем - на гомогенизатор.

Для гомогенизации предназначены гомогенизаторы клапанного типа. Из гомогенизатора молоко сначала поступает в секцию пастеризации, далее через пульт управления - в емкость для выдерживания и возвращается в рекуперативную секцию и. в секцию охлаждения пастеризационно-охладительной установки, где охлаждается до температуры заквашивания. Если по выходе из секции пастеризации молоко не достигло заданной температуры, то оно с помощью возвратного клапана направляется в балансировочный бачок для повторной пастеризации. Охлажденное молоко поступает в емкость для производства кисломолочных напитков, перемешиваясь в смесителе с закваской.

Сквашивание молока проводят в специальных двустенных вертикальных емкостях, оборудованных мешалками с автоматическим устройством. Мешалка устроена таким образом, чтобы не взбалтывала кефир и не резала бы его на пласты и кубики, а равномерно и одновременно перемешивала всю массу кефира. Частичное перемешивание или разрезка сгустка приводит к отделению сыворотки, а взбалтывание мешалкой - к пенообразованию, что в свою очередь вызывает отделение сыворотки.

Автоматическое устройство обеспечивает протекание сквашивания по определенному циклу: перемешивание - покой - перемешивание, а также служит для включения системы охлаждения. Охлаждение осуществляют холодной водой или рассолом, циркулирующим по кольцевому зазору между внутренней и средней емкостями. Средняя емкость снабжена теплоизоляцией, облицованной защитным кожухом.

Для выработки кисломолочных продуктов используются емкости вместимостью 2000, 4000, 6000 и 10000 л.

Заквашенное молоко сквашивается в емкости до требуемой кислотности. Полученный сгусток охлаждается в той же емкости, при этом через каждые 30-40 мин включается мешалка для размешивания сгустка и более быстрого его охлаждения. Если требуется созревание, то сгусток охлаждается до температуры созревания и оставляется в емкости на созревание.

Охлаждение продукта можно проводить в потоке. Для этого молоко заквашивается в емкости, а по достижении заданной кислотности продукт подается на пластинчатый охладитель, где охлаждается в потоке до требуемой температуры и поступает в промежуточную емкость, откуда направляется на фасовку.

Кисломолочные напитки фасуются в термосвариваемые пакеты или в стеклянную тару на автоматах для фасовки жидких молочных продуктов.

Технологический процесс производства сметаны

Сметану получают из нормализованных пастеризованных сливок путем сквашивания их закваской, приготовленной на чистых культурах молочнокислых бактерий, и созревания при низких температурах.

В зависимости от микрофлоры закваски и массовой доли жира сметану выпускают следующих видов (таблице 11).

 

Таблица 11

Виды выпускаемой сметаны

Сметана

Массовая доля жира, %

Кислотность, °Т

Диетическая

10

70-100

15%-ной жирности

15

65-110

20%-ной

20

65-100

Ацидофильная

20

65-100

30%-ной жирности

30

60-100


Сметану вырабатывают двумя способами: резервуарным и термостатным.

Резервуарный способ. Технологический процесс производства сметаны резервуарным способом состоит из следующих технологических операций: приемки и сепарирования молока, нормализации сливок, пастеризации, гомогенизации и охлаждения сливок, заквашивания и сквашивания сливок, перемешивания сквашенных сливок, фасовки, охлаждения и созревания сметаны.

Принятое молоко сепарируется при 40-45°С. Полученные сливки нормализуются цельным или обезжиренным молоком.

Нормализованные сливки пастеризуются при 85-90°С с выдержкой от 15 с до 10 мин или при 90-96°С с выдержкой от 20 с до 5 мин в зависимости от вида сметаны.

Пастеризованные сливки охлаждаются до 60-70°С и направляются на гомогенизацию.

В производстве сметаны с массовой долей жира 15, 20 и 30% допускается осуществлять гомогенизацию сливок при температуре 50-70°С до пастеризации. В производстве ацидофильной сметаны гомогенизацию проводят при температуре 26-30°С и давлении 15-20 МПа после подсквашивания сливок.

В гомогенизированных сливках увеличивается поверхность жировой фазы. При этом вновь образовавшиеся оболочки жировых шариков дополнительно связывают свободную воду. Белковые вещества оболочек жировых шариков участвуют в структурообразовании при сквашивании сливок. Гомогенизация улучшает условия кристаллизации молочного жира при созревании сметаны, что способствует формированию густой консистенции сметаны.

Сливки охлаждаются до температур заквашивания 20-26°С (для диетической сметаны и сметаны 15%-ной жирности до 28-32°С, а для ацидофильной до 40-44°С).

Сливки заквашиваются закваской в количестве 1-5% (для ацидофильной сметаны 5-7% массы сливок).

Для сметаны 20%-ной и 30%-ной жирности используют закваску, приготовленную на чистых культурах мезофильных молочнокислых стрептококков, для сметаны диетической и 15%-ной жирности - на чистых культурах мезофильных и термофильных молочнокислых стрептококков, а для ацидофильной - на чистых культурах ацидофильной палочки и ароматобразующего стрептококка. Для заквашивания сливок используют также бактериальный концентрат.

В производстве сметаны 15%-ной жирности для получения более плотного сгустка допускается вносить в сливки ферментный препарат.

Сквашивание сливок проводят до образования сгустка и достижения кислотности 68-75°Т (диетическая сметана), 55-75 (сметана 15%-ной жирности), 65-80 (сметана 20%-ной жирности) и 55-70°Т (сметана 30%-ной жирности).

Длительность процесса сквашивания составляет 6-16 ч в зависимости от вида сметаны. При сквашивании, охлаждении и созревании происходят основные процессы структурообразования сметаны, формирующие консистенцию готового продукта. При сквашивании сливок происходит совместная кислотная коагуляция казеина и сывороточных белков. Некоторые сывороточные белки, денатурированные в процессе пастеризации, образуют комплексы с казеином.

При этом улучшаются гидратационные свойства казеина, который лучше связывает воду в период сквашивания, что обеспечивает плотную консистенцию продукта, хорошо удерживающую сыворотку.

Кроме того, при сквашивании происходят частичное отвердевание жира в жировых шариках и некоторая потеря отрицательного заряда на их поверхности в результате повышения кислотности сливок, образуются скопления жировых шариков, участвующие в формировании структуры продукта.

По окончании сквашивания сливки перемешиваются в течение З-15 мин и направляются на фасовку самотеком или насосами. Допускается охлаждение сквашенных сливок в резервуаре до температуры не ниже 18-20°С во избежание излишнего нарастания кислотности.

Сметану выпускают в мелкой упаковке (стеклянной таре, стаканчиках и коробочках из полимерных материалов или картонных с полимерным покрытием) массой по 0,05-0,5 кг.

Для крупной фасовки сметаны используют алюминиевые бидоны вместимостью 10 кг, металлические фляги-до 35 кг и деревянные бочки - 50 кг.

После фасовки сметану направляют на охлаждение и физическое созревание.

Сметана охлаждается до температуры не выше 8°С в холодильных камерах с температурой воздуха 0-8°С.

Одновременно с охлаждением продукта происходит его созревание. Продолжительность охлаждения и созревания сметаны в крупной таре 12-48 ч, а в мелкой-6-12 ч. Созревание проводят для того, чтобы сметана приобрела плотную консистенцию.

Это происходит, в основном, вследствие отвердевания глицеридов молочного жира и некоторых компонентов оболочек жировых шариков.

Степень отвердевания глицеридов зависит от температуры охлаждения и длительности выдержки: с понижением температуры количество отвердевшего молочного жира в сметане увеличивается. При 2- 8°С оно составляет 35-50%.

После созревания продукт готов к реализации.

Технологический процесс производства сметаны резервуарным способом осуществляется на линии, рисунок 1.3.

Рисунок 1.3. Схема технологической линии производства сметаны резервуарным способом.

- емкость для сливок: 2 - насос; 3 - уравнительный бак; 4-пластинчатая пастеризационно-охладительная установка; 5 - гомогенизатор; 6 - выдерживатель; 7 - емкость для выработки кисломолочных продуктов; 8 - автомат для фасовки

Полученные сливки направляются в емкость, в которой проводят нормализацию цельным или обезжиренным молоком. Затем сливки пастеризуются на пластинчатой пастеризационно-охладительной установке для сливок или на трубчатой пастеризационной установке и направляются на гомогенизацию, которая осуществляется в гомогенизаторах клапанного типа. Пастеризованные сливки выдерживаются в выдерживателе, охлаждаются на пастеризационно-охладительной установке, направляются на сквашивание.

Для сквашивания сливок используют емкости для выработки кисломолочных продуктов.

Для подачи сквашенных сливок на фасовку предназначены поршневые, мембранные, винтовые, ротационные и шестеренные насосы.

Фасовка сквашенных сливок осуществляется на автоматах я полуавтоматах, рассчитанных на дозировку вязких молочных продуктов.

Технологический процесс производства сыров

Производство сыра осуществляют традиционным способом и способом с применением ультрафильтрации.

Традиционный способ. В основу этого способа положен принцип концентрирования составных частей молока, главным образом белка и жира, путем отделения сыворотки от молочного сгустка, полученного в результате сычужной или кислотно-сычужной коагуляции. Выделяемая сыворотка содержит молочный сахар, сывороточные белки, жир и минеральные соли. Основным недостатком традиционного способа производства является трудность регулирования влажности и кислотности продукта, поскольку эти показатели зависят от целого ряда факторов. Получение значительного количества сыворотки приводит к снижению выхода готового продукта, так как в сыворотку переходит часть белков и жира исходного сырья.

Технологический процесс производства натуральных сыров традиционным способом включает следующие операции: приемку молока; промежуточное хранение; подогрев; очистку и нормализацию; пастеризацию; охлаждение и созревание; подогрев молока; внесение закваски, хлористого кальция и сычужного фермента; свертывание молока; обработку сгустка; формование сыра; самопрессование и прессование сыра; его посолку и созревание.

Общими операциями в производстве всех групп сыров являются технологические операции по подготовке молока к свертыванию. Некоторые особенности имеют место только при нормализации, пастеризации и созревании молока.

Цель нормализации молока в сыроделии заключается в получении определенного соотношения между жиром и сухим остатком сыра, которое называется жирностью сыра в сухом веществе. Такая жирность принята за стандартную величину, так как в процессе созревания сыра не меняется. Содержание жира в сухом веществе сыра зависит в основном от соотношения жира и белка в нормализованной смеси, степени использования этих компонентов, соотношения между казеином и сывороточными белками, а также от содержания соли. Поэтому в зависимости от состава молока необходимо подбирать определенную жирность смеси для выработки сыра.

При производстве сыров молоко пастеризуется при 71-72°С с выдержкой 20-25 с. В случае высокой бактериальной осемененности допускается повышать температуру до 74-76°С.

При более высоких температурах происходит денатурация сывороточных белков, которые, адсорбируясь на казеиновых частичках, ухудшают их взаимодействие с сычужным ферментом, и получаемый сгусток прочнее удерживает сыворотку. В результате потребуется больше времени для образования и обработки сгустка.

При производстве сыров, которые имеют повышенную влажность, можно применить более высокий режим пастеризации (80-86°С с выдержкой 20-25 с), что будет способствовать повышению выхода сыра в результате удержания в сгустке денатурированных сывороточных белков.

Пастеризацию обычно совмещают с дезодорацией в целях получения сыра высокого качества. После пастеризации молоко подвергается созреванию для повышения его кислотности на 1-5°Т и увеличения растворимости солей кальция. Это необходимо для получения более прочного сычужного сгустка и улучшения условий для развития молочнокислых микроорганизмов. Если молоко имеет уже необходимую кислотность, то его перерабатывают без созревания или подвергают созреванию только часть молока в количестве 25-30%.

Созреванию может подвергаться сырое и пастеризованное молоко. Для созревания сырого молока используют только молоко первого сорта. После очистки на молокоочистителях оно охлаждается до 8-10°С и подвергается созреванию в течение 10-14 ч. Однако в сыром молоке могут развиваться психрофильные микроорганизмы и другая посторонняя микрофлора, что может в дальнейшем повлиять на качество продукта. Поэтому созреванию желательно подвергать пастеризованное молоко, которое охлаждают, вносят закваску в количестве 0,1-0,3% и направляют на созревание. После созревания молоко заквашивают закваской, доза и состав которой зависят от вида вырабатываемого сыра. Основной микрофлорой заквасок для сыра являются молочнокислые стрептококки и палочки, для отдельных групп сыров также используют пропионово-кислые микроорганизмы, культурные плесени и бактерии сырной слизи. Доза закваски обычно составляет 0,3-3% массы нормализованного молока.

Свертывание молока сычужным ферментом является специфичной операцией в производстве сыров.

Перед свертыванием в молоко добавляются закваска, хлорид кальция и сычужный фермент. Хлорид кальция вносят в целях увеличения количества растворимых солей кальция, так как их недостаток приводит к образованию рыхлого сгустка. Обычно используется доза хлорида кальция 10-40 г сухой соли на 100 л молока. Средняя доза сычужного фермента составляет 2-2,5 г фермента на 100 л молока.

Фермент вносят в молоко в виде 1-2,5%-ного раствора, приготовленного на воде или кислой осветленной пастеризованной, сыворотке. Кислотность сыворотки должна составлять 60-70°Т. При растворении фермента температура кислой сыворотки должна быть 35-40°С, а воды - 25-35°С. Более высокие температуры снижают активность фермента. Растворы фермента, приготовленные на кислой сыворотке, можно хранить в течение суток, а приготовленные на воде - не более 2-3 ч, при более длительном хранении активность фермента снижается.

Свертывание молока осуществляется при температуре, оптимальной для развития мезофильной молочнокислой микрофлоры, так как при дальнейшей обработке сгустка очень важным фактором является его кислотность, обусловливаемая молочнокислым брожением. Температура свертывания молока принимается 30-35°С.

Готовность сычужного сгустка оценивают по продолжительности свертывания и плотности сгустка. При разрезании готового сгустка получается ровный раскол и выделяется прозрачная зеленоватая сыворотка. Продолжительность свертывания для различных групп сыров принимается от 15-30 до 40-60 мин.

При обработке сгустка стремятся получить сырную массу с определенными влажностью и кислотностью. Влажность сырной массы в процессе обработки уменьшается в результате выделения сыворотки, которое обусловлено сложным физико-химическим процессом - синерезисом.

Этот процесс представляет собой постепенное сжатие белкового сгустка в результате увеличения связей между белковыми частичками.

Обработка сгустка включает разрезку, постановку, вымешивание, второе нагревание и обсушку зерна.

Разрезка сгустка представляет собой измельчение сгустка с помощью специальных механических ножей-мешалок, режущими элементами которых служит тонкая проволока или тонкие пластинки из нержавеющей стали. Расстояние между режущими элементами составляет 7-8 или 10-12 мм. В результате разрезки сгусток дробится на кубики, размер которых зависит от расстояния между режущими элементами. При разрезке увеличивается удельная поверхность сгустка, что способствует быстрому выделению сыворотки. После разрезки сгустка сливают до 30% сыворотки.

Постановка сырного зерна заключается в дальнейшем дроблении сгустка до определенного размера отдельных кусочков сгустка, которые называют сырным зерном. Размер зерна получают тем меньше, чем ниже требуется получить влажность готового сыра. Необходимо добиться равномерного по величине сырного зерна. Такое зерно равномерно обсыхает. В случае неправильной постановки образуется много мелких частичек сгустка - "сырной пыли". Такие частички при отделении сыворотки удаляются вместе с сывороткой, что приводит к снижению выхода сыра. Для предотвращения образования "сырной пыли" нежный сгусток необходимо дробить медленно, а прочный - быстро. Для постановки мелкого зерна требуется больше времени. Обычно длительность постановки зерна составляет 10-20 мин.

Вымешивание зерна перед вторым нагреванием производят в целях его обсушки и уплотнения, а также развития молочнокислого процесса. При вымешивании объем сырного зерна сокращается, оно приобретает округлую форму. Кислотность сырного зерна и сыворотки повышается. Обычно длительность этой операции для различных сыров составляет 15-50 мин. Готовность сырного зерна ко второму нагреванию определяют путем сжатия комка из зерен в руке. Готовое зерно не продавливается между пальцами.

После вымешивания зерна проводят его второе нагревание, цель которого-ускорить выделение сыворотки. Различают режим низкого второго нагревания, который соответствует температуре 38-42°С, и высокого второго нагревания - 47-60°С.

Перед вторым нагреванием сырного зерна удаляют сыворотку (20-30% массы молока). Для регулирования молочнокислого процесса допускается проводить нагревание путем добавления 5-20% горячей воды, температура которой 65-75°С. В результате снижаются кислотность сыворотки и содержание молочного сахара в отпрессованном сыре. При нагревании сырного зерна повышается его клейкость и оно легко образует комки. Для предупреждения комкования сырного зерна процесс второго нагревания проводят при постоянном вымешивании сырного зерна. Если регулирования кислотности сыворотки не требуется, то процесс второго нагревания осуществляют путем косвенного нагрева смеси сырного зерна и сыворотки паром или горячей водой. Продолжительность нагревания до низкой температуры второго нагревания 10-20 мин, а до высокой температуры второго нагревания - 25-40 мин и более.

После второго нагревания сырного зерна проводят его обсушку, добиваясь определенных влажности и кислотности. Зерно приобретает округлую форму и уменьшается в размере. Клейкость зерна уменьшается. Для получения высококачественного сыра необходимо правильно определить окончание обсушки. Если зерно недостаточно обработано, то сыр получается слишком мягким и предрасположен к вспучиванию. При пересушке зерна оно теряет клейкость, сыр плохо формуется, медленно созревает и имеет твердую консистенцию.

Готовое зерно должно быть упругим, при сжатии в руке зерна должны образовывать комок, который при легком встряхивании должен разламываться, а при растирании между ладонями разъединяться на отдельные зерна. При пережевывании готового зерна ощущается похрустывание.

Одновременно с обсушкой для основных групп сыров рекомендуется проводить частичную посолку в зерне, которая способствует гидратации сырной массы и повышает влажность сыра. Это в дальнейшем стимулирует рост активной кислотности сыра. Для проведения частичной посолки в зерне сливают сыворотку, оставляя приблизительно 30% ее массы, и добавляют концентрированный рассол. Доза соли берется из расчета 200-300 или 300-700 г на 100 кг нормализованного молока. Полная посолка в зерне приводит к резкому торможению молочнокислого процесса невозможности роста вредной микрофлоры.

После обсушки сырного зерна и частичной посолки начинают формование сыра, которое представляет собой процесс объединения сырных зерен в монолит. Соединение зерен достигается путем их слипания и удаления сыворотки, находящейся между зернами. Формование можно осуществлять несколькими способами: из пласта, наливом, насыпью и выкладыванием необработанного сгустка в формы.

При формовании насыпью сыворотка отделяется от зерна на отделителях сыворотки и формы заполняются зерном. В случае формования из пласта и наливом межзерновое пространство остается заполненным сывороткой. При формовании насыпью между зернами попадает значительное количество воздуха и сыр получается с "пустотным" рисунком, т.е. на разрезе сыра обнаруживается большое количество мелких глазков.

Формование выкладыванием необработанного сгустка в формы используется при производстве сыров, для которых не требуется обработки сгустка.

За формованием сыра следуют самопрессование и прессование.

В процессе самопрессования сыр вместе с формами переворачивают, чтобы его уплотнение происходило одинаково с нижней и верхней сторон. Длительность самопрессования для сыров разных групп от 30-60 мин до 3-18 ч.

Прессованию подвергают сыры при различном давлении в целях дальнейшего уплотнения сырной массы, удаления сыворотки из межзернового пространства, придания определенной формы сыру и образования хорошо замкнутого поверхностного слоя. Замыкание поверхности сыра происходит в результате сильной деформации сырных зерен в поверхностном слое сыра: зерна становятся плоскими и своей поверхностью перекрывают межзерновые каналы. На сыре с замкнутой поверхностью значительно хуже развиваются плесень и другие микроорганизмы, попадающие на поверхность из внешней среды. При плохом замыкании поверхности плесень может проникать по межзерновым каналам внутрь сыра, в результате качество продукта снижается.

Отпрессованный сыр подвергают посолке. В результате посолки сыра регулируется развитие микроорганизмов в нем, так как повышается осмотическое давление в водной фракции сыра. Соль является также вкусовым компонентом, а концентрация ее влияет на гидрофильность белков сыра. При содержании 1% соли сырная масса связывает большое количество влаги. С повышением содержания соли гидрофильность белков снижается, что приводит к снижению влажности сыра, и сыр приобретает твердую крошливую консистенцию.

Различают несколько способов посолки сыра: посолка в рассоле, посолка сухой солью, посолка соляной гущей, посолка в зерне.

Наиболее широко распространена посолка в рассоле, которая осуществляется путем погружения в него отдельных головок сыров или контейнера с сырами. Вместимость контейнера обычно составляет 200-400 кг. Контейнеры устанавливаются в бассейн с рассолом в один или два яруса. Подъем и опускание контейнера осуществляются с помощью тельфера, который передвигается по монорельсу, смонтированному над бассейном, или с помощью передвижного мостового крана.

Посолка сыра в рассоле происходит путем диффузии соли в сыр и проникновения рассола по капиллярам сырной массы.

Температуру рассола обычно поддерживают в пределах 8-12°С. Длительность посолки в рассоле сыров различных групп обычно составляет от 20 мин до 8 суток.

В целях снижения бактериального обсеменения рассола он пастеризуется при 85-90°С с дальнейшем охлаждением до 8-12°С. Пастеризацию рассола проводят не реже 1 раза в месяц, а охлаждение - ежедневно.

Посолка сухой солью или соляной гущей применяется редко и обычно сочетается с посолкой в рассоле. Способ осуществляется путем, посыпания или натирания солью поверхности сыра.

Отпрессованный и посоленный сыр подвергается созреванию, т.е. выдержке при определенном температурно-влажностном режиме. В процессе созревания сыра под действием ферментов микрофлоры и адсорбированного сычужного фермента происходят глубокие биохимические превращения, обусловливающие его вкус, аромат, структуру и цвет.

Молочный сахар сбраживается молочнокислыми и ароматобразующими микроорганизмами с образованием молочной кислоты, ароматических веществ и углекислого газа. Наряду с молочной кислотой образуются в незначительных количествах другие кислоты, например уксусная, пропионовая и масляная.

Белки сыра подвергаются протеолизу в результате действия ферментов молочнокислых микроорганизмов, плесеней (в случае их использования) и сычужного фермента. Распад белка происходит по схеме: белок-пептоны-пептиды-дипептиды-аминокислоты.

Аминокислоты в свою очередь могут превращаться в амины, жирные кислоты, альдегиды, кетоны и различные газы (аммиак, сероводород и т.д.).

Молочный жир в процессе созревания подвергается гидролитическому распаду (липолизу) и окислению под действием ферментов микроорганизмов. Липолиз жира в значительной степени имеет место в сырах (рокфор, камамбер и др.), созревающих с участием культурных плесеней.

Плесени вырабатывают активные липазы, наличие которых приводит к липолизу жира. В сырах, созревающих под действием молочнокислой микрофлоры, липолиз жира имеет место, но в значительно меньшей степени. При липолизе образуются жирные кислоты, придающие сыру своеобразный острый перечный вкус.

Активным регулятором биохимических и микробиологических процессов в сыре является молочная кислота. Наибольшее количество ее накапливается в начале созревания после сбраживания сахара. В этот момент рН сырной массы снижается до 5,1-5,2. При такой кислотности подавляется рост газообразующей и другой посторонней микрофлоры.

Кислотность сырной массы регулируется путем применения различных заквасок и их количеством, а также концентрацией сахара в сыре, от которого зависит выход молочной кислоты при молочнокислом брожении. Для снижения содержания сахара часть сыворотки в процессе второго нагревания заменяют пастеризованной водой. В процессе протеолиза образуются щелочные продукты и рН сыра постепенно повышается.

В процессе созревания сыры требуют определенного ухода, который заключается в переворачивании сыров, мойке для удаления плесени и нанесении покрытий, препятствующих плесневению и усушке сыра. Созревание сыров осуществляется в холодных и теплых, а также в бродильных камерах, температура в которых соответственно составляет 10-12, 13-17 и 20-25°С.

В первые 10-20 суток влажность в камерах поддерживается на уровне 85-90%, а в последующие-80-85%. Сыр созревает на стеллажах или в контейнерах, уложенных в 2-3 яруса.

1.2.3 Организация сбыта кисломолочной продукции

Реализации молочной продукции осуществляется по следующим каналам:

по договорам поставок молокоперерабатывающим предприятиям;

заготовительным организациям;

через сеть общественного питания.

Непосредственная реализация молока осуществляется, как правило, при расположении молочно-товарных ферм вблизи данных предприятий. При этом закупочные цены на свежее молоко значительно выше цен, чем при его реализации конечным организациям. Данный канал реализации молочно-товарной продукции является более эффективным и прибыльным.

Реализация молочной продукции конечным организациям применяется в случаях отдаленного расположения от молокоперерабатывающих заводов. Данный канал сбыта молочной продукции активно применяется ТОО "МИЛХ". При этом закупочные цены на молоко у заготовительных организаций значительно ниже уровня закупочных цен молокоперерабатывающих предприятий.

Кроме того, данный канал сбыта зависим от погодных условий, состояния автотранспорта, наиболее подвержен всевозможным форс-мажорным обстоятельствам и рискам и является одним из нестабильных.

Реализация молока через сеть общественного питания осуществляется молочно-товарными фирмами с малым объемом производства молока, расположенными вдали от городов и молокоперерабатывающих предприятий. Этот канал сбыта продукции используют в основном те молочно-товарные фермы, которые специально созданы для обеспечения свежим молоком санаториев, школ и больниц, расположенных вдали от областных и районных центров. Цены реализации молока при этом могут немного превышать закупочные цены молокоперерабатывающих предприятий. В целом реализация молока через сеть общественного питания и торговую сеть является каналом сбыта готовой продукции молокоперерабатывающих предприятий.

Специфика отрасли создает некоторые особенности формирования цен на продукцию животноводства, которые можно объединить в следующие группы:

. Сезонные колебания цен. Особенности сельскохозяйственного производства накладывают отпечаток на развитие ценовых отношений во времени. Продукция животноводства имеет различные производственные затраты в течение года. Например, цены на продукцию молочного скотоводства по периодам производства меняются в различной степени наиболее высокие они в зимний период и сравнительно низкие в летний.

. Зависимость от природных условий. Сельскохозяйственное производство крайне зависимо от природных условий. Даже в странах с высокой аграрной культурой, применяющих высокоинтенсивные технологии в сельском хозяйстве, результаты аграрного производства по-прежнему остаются непредсказуемыми. Засухи, наводнения, вредители, болезни животных и растений делают аграрный сектор сферой относительно рискованного приложения капитала. Хотя животноводство и не зависит напрямую от природных условий, это влияние проявляется опосредованно через потребляемые скотом корма, производимые отраслью растениеводства, стоимость которых отражается на ценах производимой продукции.

. Структура рынка. Выбор метода ценообразования на продукцию во многом зависит от структуры рынка, характерной для данной отрасли. В аграрном секторе соблюдаются два основных условия совершенной конкуренции: наличие на рынке большого количества продавцов, каждый из которых не обладает достаточным объемом предложения для влияния на цены, и свобода продавцов вступать на рынок и покидать его. Поэтому мы можем заключить, что сельское хозяйство - это отрасль совершенной конкуренции, которая в других отраслях экономики достаточно редкая.

. Ограниченность диверсификации производства. Возможность диверсификации продукции сельского хозяйства весьма ограничена. Несомненно, технический прогресс в этой отрасли сопровождается выведением все более совершенных пород животных. Но селекционная деятельность направлена в основном на совершенствование производственных качеств новых пород животных: на снижение восприимчивости к болезням, неблагоприятным погодным условиям, на повышение продуктивности и технологичности, в том числе приспособленности к механизированной или даже автоматизированной технологии и т.д. Но даже усовершенствованная селекционерами порода животного дает по своим потребительским качествам все ту же продукцию (молоко, мясо, яйца, шерсть), и полезность этих продуктов для потребителей увеличить сложно.

. Неэластичность спроса. Конечным продуктом сельскохозяйственного производства и продовольственного сектора является продовольствие. Но ценовая эластичность спроса на продукты питания, как правило, низка. С другой стороны, спрос на сельскохозяйственные и продовольственные товары является неэластичным и по доходу.

. Иммобильность ресурсов. Так как сельское хозяйство - высоко конкурентная отрасль, казалось бы, что в силу законов рынка параллельно с падением доходов должен происходить отток фермеров из этой отрасли в более прибыльные сферы деятельности. Однако на практике этого не происходит, во всяком случае, с той же скоростью, с какой падают фермерские доходы. Поэтому, даже если цены резко падают, и даже если они падают в течение относительно длительного времени, сельское хозяйство, как правило, не отвечает адекватным сокращением производства. Таким образом, иммобильность ресурсов в сельском хозяйстве создает низкую эластичность предложения, по крайней мере, в краткосрочном периоде. Для рассмотрения вопроса ценообразования на молочную продукцию рассмотрим себестоимость молока, по данным приведённым в таблице 12.

Таблица 12.

Себестоимость производства молока в сельхозформированиях, тенге/тонна

По данным Агентства РК по статистике.

. Требования к молоку и молочной продукции при ее реализации

Реализация молока и молочной продукции осуществляется с соблюдением санитарно-гигиенических нормативов на объектах внутренней торговли, обеспечивающих возможности приемки, контроля, идентификации и хранения пищевой продукции в соответствии с их нормативной документацией.

Основными условиями для реализации молока и молочной продукции являются:

) наличие сопроводительных документов;

) наличие информации о молоке и молочной продукции;

) наличие документа, удостоверяющего безопасность молока и молочной продукции (санитарно-эпидемиологическое заключение, ветеринарно-санитарное заключение, ветеринарное свидетельство, ветеринарный сертификат, ветеринарная справка, сертификат соответствия).

Не допустимо реализация молока и молочной продукции в нарушенной и негерметичной упаковке.

При реализации молока и молочной продукции на розлив или развес должно использоваться специальное оборудование. Взвешивание неупакованной молочной продукции непосредственно на весах без упаковочных материалов не допускается.

Требования к безопасности сырья, используемого для производства молока и молочной продукции

Молоко-сырье, предназначенное для промышленной переработки, должно быть получено от здоровых животных индивидуальных сдатчиков или содержащихся в хозяйствующих субъектах, благополучных по инфекционным заболеваниям в соответствии с законодательством Республики Казахстан в области ветеринарии. Для переработки на молочные и молокосодержащие продукты молоко-сырье передается в сыром виде.

Условия содержания, кормления и доения животных, контроль за состоянием животных, технологические процессы производства сырого молока, включая сбор, охлаждение, хранение и транспортирование сырого молока должны соответствовать требованиям, установленным ветеринарно-санитарными и санитарно-эпидемиологическими правилами и нормами.

Молоко-сырье должно быть профильтровано и подвергнуто охлаждению в хозяйствующих субъектах до температуры (4+2)0С не позднее чем в течение 2 часов после дойки. Молоко-сырье, допускается хранить у производителя не более 24 часов при температуре (4+2)0С, с учетом времени на его транспортирование к месту переработки.

Во время транспортировки на место переработки и вплоть до начала переработки температура молока-сырья не должна превышать 8 0С. Молоко-сырье, не соответствующее при приемке по температуре установленным требованиям, подлежит немедленной переработке. Хранение (резервирование) молока-сырья, в том числе термически обработанного до начала переработки осуществляется в отдельных маркированных емкостях, предназначенных для молока-сырья.

Пригодность молока-сырья для промышленной переработки от здоровых животных из неблагополучных по инфекционным заболеваниям хозяйствующих субъектов, подтверждается ветеринарной справкой и лабораторными исследованиями эффективности термической обработки, характеризуемой отсутствием пероксидазы.

Для хозяйствующих субъектов, неблагополучных по инфекционным заболеваниям, в сопроводительном документе, сопровождающем молоко-сырье обязательна отметка о проведенной термической обработке, с указанием температуры и времени обработки.

Уровень содержания токсичных элементов, микотоксинов, антибиотиков, ингибирующих веществ, пестицидов, радионуклидов, а также микроорганизмов и соматических клеток в молоке и молочной продукции не должен превышать допустимые уровни (нормы), установленные ветеринарно-санитарными и санитарно-эпидемиологическими нормами и правилами.

Подготовка молока-сырья к производству молока и молочной продукции должна обеспечивать безопасность продуктов переработки для жизни и здоровья человека и исключать любые виды их загрязнения.

Требования к упаковке (таре) и маркировке молока и молочной продукции

Упаковка должна быть герметичной и исключать возможность любого загрязнения, обеспечивать сохранность продуктов при транспортировании, хранении и реализации в течение установленных гарантийных сроков хранения и годности. Многоразовая упаковка должна быть прочной, легко очищаться и дезинфицироваться.

В случаях, когда упаковка или упакованное молоко и молочная продукция могут вызвать трудности или потенциальную опасность при открывании и извлечении упакованной продукции, в том числе или исключительно для определенных категорий пользователей (дети, пенсионеры, инвалиды), необходимо обратить внимание на:

наличие доступной для понимания инструкции по вскрытию, размещаемой на упаковке;

наличие дополнительных средств, если невозможно вскрыть упаковку исключительно с помощью рук;

возможность безопасного вскрытия упакованного молока и молочной продукции.

Упаковка молока и молочной продукции осуществляется в соответствии с требованиями технического регламента "Требования к упаковке (таре), маркировке, этикетированию и правильному их нанесению".

Дополнительно к обязательной информации для потребителя на упаковке молока и молочной продукции указывается учетный номер объекта производства, присвоенный в соответствии с законодательством Республики Казахстан в области безопасности пищевой продукции. Маркировка наносится непосредственно на потребительскую, групповую или транспортную упаковку или прикрепляемые к ним ярлыки или этикетки, методами исключающими их утерю или на соответствующие сопроводительные документы.

.3 Расчет оптимального запаса

.3.1 Методы расчета оптимальной величины партии поставок

Оптимальная партия поставки рассчитывается исходя из принципов минимизации двух составляющих - затрат на формирование и хранения запасов и транспортнозаготовительных расходов. Понятие оптимального размера заказа используется в системе с фиксированным размером заказа. Графически оптимальная партия поставки может быть определена по точке, в которой сумма затрат на формирование и хранение запасов и транспортнозаготовительных расходов обращается в минимум. Чтобы должным образом определить оптимальный размер заказа, необходимо рассчитать все связанные с ним затраты. Они могут быть разделены на две группы. Затраты на заказы или затраты на восстановление запасов связаны с приобретением запасов и возникают каждый раз, когда восполняются запасы - это расходы на закупку каждой партии, включающие затраты на контроль наличия, подготовку заказа, высылку заказа, получение товара, проверку количества и качества, раскладку по местам хранения, проверку документов, подготовку рекламаций, постановку на учет, бухгалтерские проводки. Затраты на содержание запасов включают проценты на средства, вложенные в запасы, налоги, страхование, потери от устаревания, износа и порчи, расходы по складированию и хранению. [4]

Некоторые важные принципы, связанные с определением оптимального размера заказа: общая сумма издержек для данного заказываемого количества минимальна тогда, когда затраты по заказу равны затратам на содержание соответствующего запаса; в пределах ±20% объема заказов общая сумма издержек по заказам изменяется незначительно, но вне этих пределов издержки резко растут или снижаются; в большинстве случаев дороже заказывать мало, чем заказывать много; чем чаще заказывать, тем дороже это обходится; изменение затрат на содержание запасов больше влияет на оптимальный объем заказа, чем изменение в затратах на заказы. Задачей расчета величины заказа является определение оптимального с точки зрения цены размера поступления на склад. Подготовительно заключительные процессы вызывают затраты, которые носят название постоянных. Для уменьшения их величины, приходящейся на единицу товара, целесообразно обрабатывать возможно большую партию. [3]

В противоположность им затраты на складирование относятся к переменным и меняются примерно пропорционально величине обрабатываемой партии. При выборе экономической величины партии следует учитывать эти противоположные тенденции и находить минимум суммарных затрат. Наименьшие затраты - это соблюдение бюджета путем размещения заказов по наиболее выгодной системе. Снижение затрат на заказы, получение и хранение партий товаров достигается при следовании рекомендациям поставщиков относительно оптимизации объемов и сроков заказов. Прежде чем решить вопрос о том, сколько данного товара следует иметь в запасе, необходимо определить потребность в этом товаре. Однако потребность не является единственным критерием для обоснования уровня запасов. Главной целью управления движением запасов является определение и поддержание нормы запасов - расчетного минимального количества товаров, которое должно находиться у торгового предприятия для обеспечения бесперебойного снабжения процесса сбыта. При разработке норм запасов используются понятия подготовительных запасов, страховых запасов и текущих запасов. Подготовительные запасы - часть товарных запасов, формирование которой вызвано необходимостью подготовки товаров к потреблению или отпуску (оформление приемки, подсортировка и т.п.). Страховые запасы - часть запасов товаров, формируемая на случай непредвиденных обстоятельств - недопоставок, просроченных поставок. Текущие запасы - основная часть товарных запасов, предназначенная для обеспечения непрерывности процесса реализации товаров в период между поставками. Различают максимальную норму запасов (сумма подготовительного, страхового и текущего запасов), среднюю норму запасов (сумма подготовительного и страхового запасов). В торговых предприятиях нормы запасов зависят от типа магазина (в крупных магазинах запасы обновляются быстрее, чем в небольших), вида товара (продовольственные товары оборачиваются примерно в три раза быстрее непродовольственных), способа хранения товара и других факторов.

Показатель выполнения нормы запасов исчисляется как отношение наличных запасов к установленной норме запасов и характеризует излишки (затоваривание) или дефицит товара данного вида. Отклонение от нормы запасов исчисляется в процентах, в стоимостных единицах или днях оборота.

1.3.2 Описание и изучение метода расчёта оптимального запаса

Период исполнения товаром функции товарного запаса может продолжаться от нескольких часов до нескольких месяцев и даже лет. Сверхнормативные товарные запасы, задержавшиеся на складах организаций, приводят к потерям и убыткам, препятствуя высвобождению оборотных средств и занимая полезную торговую и складскую зоны. Одновременно нехватка товарных запасов, вызывающая стабильные "перебои" с одними или другими видами изделий, может отрицательно сказаться на отношении покупателей. В связи с этим маркетолог должен иметь знания расчета оптимального объема товарных запасов, анализа их величины и уровня, а также динамики и оценки поведения запасов товара в условиях изменения рыночной конъюнктуры (например, в условиях сезонности). Это позволит следовать строгому ритму поставок, избирать экономичные линии движения товара и сроков его хранения, вовремя обнаруживать продукцию, имеющую низкий спрос, проводить распродажи и в результате обходить неоправданные утраты.

В зависимости от назначения товарные запасы бывают:

) текущего хранения (для повседневной продажи);

) сезонного накопления (например, картофель, яблоки) или сезонного спроса (летом таковыми будут товары зимнего ассортимента);

) целевого назначения (например, для проведения концерта);

) долгосрочного завоза (формируются в горных и отдаленных районах для удовлетворения спроса потребителей в момент приостановления нормального товароснабжения);

) периодического возобновления (стратегические запасы, резервы государства).

Товарные запасы рассматриваются в общем по предприятию и по отдельной товарной группе по сведениям оперативного учета, а также по сведениям бухгалтерской и статистической отчетности. Главные цели анализа - проверка соответствия фактических товарных запасов принятым нормам и расследование причин несоответствий. По данным, полученным в результате анализа, принимаются соответствующие меры для нормализации товарных запасов.

Величина товарных запасов может исчисляться в натуральном и стоимостном выражениях. На практике рассчитывают 3 вида данного показателя:

) минимально допустимую величину, подтверждающую необходимость пополнения запасов товара;

) максимальную величину, отражающую предельный размер товарных запасов;

) резервный объем, гарантирующий собственнику стабильную работу предприятия в непредвиденных обстоятельствах. Товарные запасы анализируются, рассчитываются и планируются в абсолютных и относительных величинах.

Абсолютные показатели являются стоимостными (денежными) и натуральными единицами, применяются при проведении инвентаризаций в торговых организациях. Основной минус абсолютных показателей - невозможность с их помощью рассчитать уровень соответствия объема запаса товаров потребностям развития товарооборота. Поэтому относительные показатели, дающие возможность сравнивать объем товарного запаса с товарооборотом торговой фирмы, применяются более широко.

Первым относительным показателем, используемым при анализе, является объем товарных запасов, который исчисляется в днях товарооборота по формуле 2.

Утз = ТЗ/(Т/Ободн) или Утз = (ТЗ хД)/(Т/Об), (2)

где У тз - уровень товарных запасов в днях товарооборота;

ТЗ - товарный запас на конец рассматриваемого периода (тенге.);

Т / Ободн- однодневный товарооборот за рассматриваемый период (тенге.);

Т / Об - величина товарооборота за рассматриваемый период (тенге.);

Д - количество дней в рассматриваемом периоде.

Уровень товарных запасов определяет обеспеченность торговой организации запасами на конкретную дату и отражает, на какое число дней торговли (при имеющемся товарообороте) достаточно этого запаса.

Вторым основным показателем, характеризующим товарные запасы, является показатель товарооборачиваемости.

Товарооборачиваемость, являясь одним из показателей эффективности хозяйственной деятельности предприятия, дает возможность оценить и количественно измерить параметры, свойственные товарным запасам: время и скорость их обращения.

Время товарного обращения, или товарооборачиваемость в днях товарооборота, можно выразить через формулу 3.

Обдн= (ТЗ хД)/(Т/Об) или Обдн = ТЗ/(Т/Ободн), (3)

где Обдн- товарооборачиваемость в днях товарооборота;

ТЗ - средний товарный запас за анализируемый период (тенге.);

Т / Ободн- однодневный товарооборот за тот же период (тенге.);

Т / Об - объем товарооборота за рассматриваемый период (тенге.);

Д - число дней в этом периоде.

Средний товарный запас за рассматриваемый период исчисляется по формуле 4, средней хронологической моментного ряда:

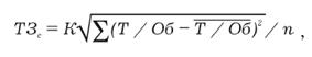
ТЗ = {(ТЗ 1 / 2) + ТЗ 2 + ТЗ 3 +…+(ТЗ n / 2J} / (n-1), (4)

где ТЗ - средний товарный запас за конкретный период (тенге.);

ТЗ1, ТЗ2…, ТЗn - величина товарных запасов на отдельные даты анализируемого периода (тенге.);- количество дат, за которые берется величина запасов. Товарооборачиваемость представляет собой время обращения среднего товарного запаса за конкретный период. Этот процесс характеризуется такими показателями, как скорость товарного обращения (товарооборачиваемость в днях) и время одного оборота.

Товарооборачиваемость в днях товарооборота отражает время, в процессе которого товарные запасы располагаются в сфере обращения, т. е. количество дней, за которое оборачивается средний товарный запас.

Скорость товарного обращения, или товарооборачивае-мость в числе оборотов, исчисляется по формуле 5.

Об р = (Т/ Об)/ ТЗ или Об р = Д /Об дн (5)

где Обр - товарооборачиваемость в числе оборотов;

Обдн - товарооборачиваемость в днях товарооборота;

Т / Об - товарооборот за конкретный период (тенге.);

ТЗ - средний товарный запас за тот же период (тенге.);

Д - число дней в рассматриваемом периоде.

Товарооборачиваемость в числе оборотов отражает количество оборотов среднего товарного запаса за рассматриваемый период времени.

Между временем и скоростью обращения товара имеется постоянная обратно пропорциональная зависимость. Сокращение времени и возрастание скорости товарного обращения дают возможность выполнить больший объем товарооборота при меньших величинах запаса товара, что ведет к уменьшению товарных утрат, уменьшению затрат на хранение продукции, оплате процентов за пользование кредитом и т. п.

Товарооборачиваемость, рассчитанная по данной формуле, отражает, за сколько дней реализован средний товарный запас. Обычно оборачиваемость товаров сложного ассортимента немного меньше, чем оборачиваемость товаров простого ассортимента.

Время одного оборота показывает число дней, в течение которых товар находился в виде запаса со времени его поступления в область товарного обращения и до начала продажи.

Предприятие должно стремиться к повышению товарооборачиваемости, так как вследствие ускорения:

) растет размер товарооборота и спрос потребителя удовлетворяется в большей степени;

) снижаются издержки обращения (затраты на хранение, потери, проценты за кредит) и вырастает прибыль;

) улучшается финансовое состояние предприятия, так как быстрее высвобождаются средства, вложенные в продукцию, которыми можно быстрее рассчитаться с поставщиками, банком, бюджетом;

) возрастает объем производства продукции.

В рознице традиционно используются 3 метода анализа и учета товарных запасов:

) инвентаризация, т.е. общий подсчет всех товаров, которые при надобности могут перевешиваться и перемериваться. Полученные сведения в натуральном выражении оцениваются в действующих ценах и суммируются по товарным группам. Минусами такого метода могут быть большая трудоемкость и невыгодность для фирмы, поскольку во время проведения инвентаризации организация обычно не работает;

) оперативный учет или снятие остатков, т.е. сличение материально ответственными лицами фактического наличия продукции с информацией товарного счета. Причем считают не продукцию, а товарные места (коробки, ящики, и др.). Далее с учетом соответствующих норм осуществляется пересчет, определяется число изделий, которое далее оценивается по действующим ценам. Минус такого метода - наименьшая точность, чем при инвентаризации;

) балансовый метод, основанный на применении балансового расчета товарных запасов. Балансовый метод не так сложен, как рассмотренные выше, и дает возможность обеспечить оперативный учет и проанализировать товарные запасы в соответствии с другими показателями. Минусом этого метода является отсутствие возможности убрать из расчета разного рода неопределенные потери, что способствует кое-каким искажениям суммы запасов. Для устранения этого недочета сведения балансового учета регулярно должны сопоставляться с информацией об инвентаризации и снятии остатков.

Оптимальный размер товарных запасов. Главные задачи, которые необходимо ставить перед оптимизацией товарного запаса: минимизация издержек и максимизация удовлетворения спроса.

При анализе оптимальной величины товарных запасов фактические товарные запасы в днях сопоставляются с нормой и рассчитывается отклонение в днях и в сумме:

) отклонение по запасам (в днях) = фактические запасы (в днях) - норма запасов (в днях);

) отклонение по запасам (в сумме) = однодневный товарооборот х отклонение по запасам (в днях).

Например, если норма запасов - 25 дней, а фактические запасы - 22 дня, то соответственно отклонение составит 3 дня. Такое отклонение со знаком "-" отражает, что товарные запасы необходимо пополнить, в противном случае объем товарооборота в следующем периоде может снизиться. И, наоборот, отклонение со знаком "+" отражает располагающие сверхнормативные товарные запасы. В такой ситуации необходимо выяснить причину их появления. Если продукция поступила в последние дни месяца и ее всего лишь не успели продать, то это означает, что она будет содействовать росту товарооборота в следующем периоде. Если же эта продукция не продается продолжительный период времени, то она занимает торговую зону и увеличивает издержки обращения. В этом случае необходимо разработать программу ее быстрой реализации (например, устроив распродажу). Следует отметить, что неходовые и залежавшиеся товары (низкокачественные, потерявшие товарный вид, вышедшие из моды и т. д.) в общем объеме товарных запасов могут исчисляться по отдельности для более скрупулезного исследования обстоятельств появления такого положения. Выше рассмотренный анализ может осуществляться только по запасам текущего хранения. Если у фирмы есть в наличии товарные запасы сезонного накопления, их долю необходимо минусовать из общей суммы фактических товарных запасов.

Важно отметить, что оценку оптимальной величины товарных запасов стоит проводить не по всем видам продукции. Не обязательно рассчитывать данный показатель для товаров, у которых оборачиваемость в среднем равняется 1 дню (например, хлебу).

Результаты анализа могут применяться для планирования товарных запасов. Обратим внимание, что инструктивного обязательного планирования товарных запасов в торговых организациях не существует. Исходя из объемов деятельности и количества сотрудников малые торговые предприятия совсем не планируют товарные запасы или планируют их весьма приближенно. Средним и крупным предприятиям торговли необходимо наблюдать за динамикой товарооборачиваемости, а значит, планировать и нормировать товарные запасы, что является базой для разработки заказов на закупку продукции в ассортиментном разрезе.

Используются различные способы планирования и нормирования товарных запасов: статистический, нормативный, технико-экономический, экономико-математический.

Статистический способ планирования и нормирования товарных запасов заключается в анализе товарооборачиваемости и фактических товарных запасов текущего хранения, сформировавшихся за последние 3-4 года. Размер товарных запасов считается в днях товарооборота. Анализ и исследование сформировавшихся тенденций осуществляются как по предприятию в целом, так и по товарным группам. Обнаруженные при анализе тенденции переносятся на плановый период с учетом вероятного действия объективных и субъективных причин. Статистический способ планирования и нормирования товарных запасов достаточно прост, но не совершенен. Его главный минус заключается в том, что определившиеся за несколько лет тенденции экстраполируют в перспективу со всеми характерными для них недочетами.

Часто при продажах используют способ технико-экономических расчетов. Это обусловливается тем, что до 1992 г. посредством собственно этого способа исчислялся размер товарных запасов по каждому торговому предприятию и организации. Помимо этого, этот способ остается одним из самых достоверных и точных.

Смысл способа технико-экономических расчетов заключается в том, что вся масса товарных запасов разделяется на отдельные составляющие, соответствующие этапам пути товаров от времени поступления на предприятие торговли до их реализации конечным потребителям. Планируются и нормируются эти составляющие отдельно. Затем вычисляется норматив товарных запасов как сумма отдельных составляющих.

При применении этого метода норма товарных запасов включает в себя следующее:

) время для приемки, проверки и подготовки товаров к продаже;

) время пребывания продукции в виде торгового запаса;

) гарантийный (страховой) запас товаров.

Время для приемки, проверки и подготовки товаров к продаже определяется посредством хронометража, время пребывания товарных запасов в виде товарного запаса считается. При этом учитывают, что торговый запас распределяется на две составляющие: запас товаров, который должен всегда находиться в торговом зале, и запас текущего пополнения, т.е. подготовленный для обеспечения безостановочной продажи.

Для количественного измерения первой части торгового запаса находят число ассортиментных видов и среднюю цену на каждую разновидность товара. Далее к произведению этих 2 величин приплюсовывают среднедневной оборот и полученное количество делят на среднедневной оборот по этой группе продукции. Вторую часть торгового запаса определяют по каждой товарной группе, исходя из частоты поступления. Обычно размер запаса текущего пополнения исчисляется по формуле 6

(6)

где Q - величина оптимальной партии товара;- объем товарооборота;- затраты на транспортировку партии продукции;- затраты по хранению разновидности партии товара.

Размер товарного запаса текущего пополнения должен составлять половину оптимальной партии поставки продукции. Это соотношение является для предприятий торговли традиционным и говорит о том, что во время завоза запасы некоторых товарных единиц колеблются от максимальной (во время завоза) до минимальной величины (накануне завоза).

Гарантийный (страховой) запас товаров необходим для смягчения неравномерности поставок, изменений спроса и т. п.

Формула 7 для расчета размера страхового запаса имеет следующий вид:

(7)

где n - страховой запас товаров;

ТЗс- коэффициент уровня обслуживания (выражает в процентах отношение числа дней, когда товар безостановочно находится в реализации, к общему числу дней в периоде; практически всегда величина известная и задаваемая);

К - товарооборт по кварталам;

Т /Об - среднеквартальный товарооборот;

Т /Об - число рассматриваемых кварталов. При определении нормативов в целом по организации торговли учитывают время пребывания продукци, и в пути (для иногородних поставщиков).

Следовательно, технико-экономический метод планирования и нормирования товарных запасов предоставляет такой вид исчисления норматива товарного запаса, формула 8.

Н = ТЗn+ ТЗт+ ТЗс, (8)

где Н - норматив товарного запаса (по товарной группе);

ТЗn - время на приемку, проверку, подготовку товаров к реализации;

ТЗт - торгово-товарный запас;

ТЗс - страховой товарный запас.

Подобным образом проводят расчет по всем товарным единицам, и общий результат определяет норматив по торговой фирме в совокупности. Тем не менее, в современной повседневной деятельности торговых предприятий ни нормативный, ни экономико-математический метод практически не используются из-за невысокой достоверности и большого объема подсчетов.

Расчет рабочего запаса:

) представительный ассортиментный набор в сумме по товарной группе равен стоимости представленных в торговом зале ассортиментных единиц товара, а в днях оборота исчисляется методом деления его величины в сумме на среднедневной кредитуемый розничный товарооборот товарной группы в планируемом периоде;

) запас товаров в торговом зале в объеме среднедневных продаж устанавливается посредством деления кредитуемого розничного товарооборота планируемого периода на количество дней в периоде;

) запас на время приемки, подготовки продукции к продаже в днях определяется путем хронометрирования времени, затрачиваемого на определенные операции. Время на приемку определяется из времени на внешний осмотр тары, пломб, на разгрузку, проверку по количеству и качеству, перемещение товара к месту продажи и хранения. Время на подготовку товаров к продаже составляет время, затрачиваемое на распаковку, утюжку и выкладку продукции в торговом зале. Запас текущего пополнения занимает наибольший удельный вес в потоварном нормативе запасов. Он формируется для обеспечения безостановочной продажи в период между поступлениями продукции. Для расчета запаса текущего пополнения на планируемый период нужно определить средний промежуток поставки между поступлениями товара. Средний промежуток поставки на планируемый период складывается на базе информации о количестве поставок и их стоимости по ассортиментным позициям, входящим в товарную группу.

Запас текущего пополнения в днях по товарной группе (3тп) равен половине среднего интервала поставки на планируемый период и исчисляется по формуле:

тп = I/2.

В случае, когда ассортиментные разновидности продукции нельзя заменить другими, запас текущего пополнения среднему промежутку поставки по товарной группе вычисляется по формуле:

3тп = I.

Если невозможно по сведениям условий поставки и спецификаций к ним установить средний интервал поставки на планируемый период, можно применить отчетные данные.

Рабочий запас включает только запас на время разгрузки, приемки и подготовки товаров к отгрузке; ассортиментный норматив не предусматривается; в потоварный норматив входят запасы в пути и неоформленные отгрузки. При этом норматив товаров в пути определяется раздельно по товарам и товарным группам.

.3.3 Применение метода расчёта оптимального запаса на предприятии

В качестве предприятия возьмем ТОО "МИЛХ". ТОО "МИЛХ" присутствует на рынке Казахстана с 2001 года. За время своей деятельности на базе бывшего молочного завода создан цех по выпуску плавленых сыров и приобретен в собственность Боровской молочный завод. Не меняя профиля ранее существовавших производств, ТОО "МИЛХ" также выпускает молочную продукцию в ассортименте: масло, сыры, творог, пастеризованное молоко, катык, кефир, ряженка, сметана и др. За годы работы сложилась постоянная сырьевая база. В несколько раз увеличен объем производства. Налажен сбыт готовой продукции по всему Казахстану. Тем не менее, в условиях жесткой конкуренции современного рынка, возможности уже существующих производств весьма ограничены. Возникла необходимость строительства нового завода, способного выпускать продукцию с новыми потребительскими качествами при минимальных затратах. Для этого с конца 2007 года начата реализация проекта "Новый завод по переработке молока".

На Боровском молочном заводе производятся кефирные закваски (мезофильные молочнокислые стрептококки, ароматобразующие молочнокислые стрептококки, термофильные молочнокислые палочки) в количестве 200000 штук в месяц. Эти закваски используются для производства кефира на заводе по переработке молока с интенсивностью 52000 пакетов в месяц. По оценкам специалистов компании, издержки хранения составляют 6 тенге в год на одну кефирную закваску. Стоимость производства одной закваски равна 23 тенге, а стоимость на подготовку производства кефира составляет 300000 тенге. Постараемся выяснить, каким должен быть размер партии закваски, производимой на Боровском молочном заводе, с какой частотой следует запускать производство этих партий?

К=300000 тенге, l=200000 штук в месяц или 2400000 штук в год, n=52000 пакетов в месяц или 624000 пакетов в год, s=6 тенге в год. В данной ситуации необходимо использовать модель планирования экономичного размера партии, формула 9.

 (9)

- размер партии закваски

К - стоимость на подготовку производства кефира- количество пакетов в месяц- издержка на хранение одной закваски в год

Частота запуска заквасок в производство вычисляется по формуле 10.

 (10)

Общие затраты на управление запасами вычисляются по формуле 11.

 (11)

2. Проектная часть

.1 Техническое задание

Основание для разработки

Применение программы - исследование метода оптимизации запасов на примере товарищества с ограниченной ответственностью "МИЛХ". Основанием данной работы является запрос вышеназванной организации на разработку развитой системы расчета запасов кисломолочной продукции.

Назначение разработки

Разрабатываемое программное средство предназначено для автоматизации расчета оптимальных запасов предприятия ТОО "МИЛХ". Эксплуатационное назначение программы - сбор, хранение и обработка информации о закупе молока и его переработки на различного рода кисломолочную продукцию. Данный программный комплекс позволит экономисту предприятия наиболее точно и оперативно рассчитать убытки, а также доходы от продажи продукции хранящейся на складе.

Требования к программе.

Требования к функциональным характеристикам.

Функции, выполняемые программой:

-   Отображение интерфейса пользователя в виде вкладок, таблиц, системного меню, набора кнопок, календаря.

-       Автоматический поиск данных в соответствии с указанным днем недели, месяца.

-       Добавление, редактирование или удаление данных в БД с учетом выбранной таблицы.

-       Отображение результатов работы.

Все выходные данные представляются в таблицах. Входные данные - список целевых полей, дальнейшее действие получаются после заполнения клиентом формы, отображенной программой просмотра.

В работе программы временные характеристики несущественны.

Требования к надежности

При аварийном завершении программы система возвращается в первоначальное состояние, данные, введенные до момента аварийного завершения, если не были сохранены, теряются. Были продуманы варианты, когда пользователь при добавлении новой записи по случайности не заполнил поле. В этом случае выходило предупреждение.

.2 Структура программного комплекса

Структура программного комплекса показана на рисунке 2.1.

Рисунок 2.1.

В качестве системы управления базами данных была выбрана СУБД Topaz 8.0, на основе DBaseIV, что в значительной мере упростило задачу с настройкой и обслуживанием данных практически на любом компьютере.

В проекте была использована основная таблица "main.dbf", ее структура показана на рисунке 2.2. Из рисунка видно, что здесь соблюдаются сроки производства, заказа и годности продукции. Статус определяет не продан ли товар.

Рисунок 2.2

2.3 Программная среда разработки      

В роли программной среды разработки выступила визуальная среда программирования Borland Delphi 7.0 с объектно-ориентированным языком программирования Object Pascal.

При выборе среды программирования для исполнения данного дипломного проекта был осуществлен выбор среди их большого количества и Borland Delphi в значительной мере превзошел конкурентов по представленной литературе в глобальной сети Интернет, что конечно же сказалось на выборе этого программного продукта.

Также для разработки систем управления базами данных лучшего средства не найти.

.4 Программно-аппаратные требования к программному комплексу

Для рабочей станции используются следующие системные характеристики (таблица 2.1).

Таблица 2.1

Системные характеристики

Характеристика

Минимальные

Рекомендуемые

Операционная система

Windows 2000 professional + SP4

Windows ХР professional + SP3

Частота процессора

2400 МГц

Core 2 Duo

Объем оперативной памяти

512 Мб

От 1 Гб

Объем жесткого диска

40 Гб

От 80 Гб

Диагональ монитора

17 дюймов

19 дюймов


3. Машинная реализация комплекса задач

.1 Авторизация

После запуска программы на экране монитора отображается форма, изображенная на рисунке 3.1

Рисунок 3.1

Данная форма производит авторизацию пользователя. Здесь использованы лишь две процедуры, позволяющие обнулить поля ввода для последующего ввода логина и пароля пользователя, и закрыть окна, направленной проверки ввода не осуществляется, так как это входит в обязанности главной формы программы. [5]

procedure TForm6.FormActivate(Sender: TObject);.Text:='';.Text:='';;TForm6.sButton1Click(Sender: TObject);

begin;;

3.2 Главная форма программы

На рисунке 3.2 отображены главные сведения о товариществе с ограниченной ответственностью "МИЛХ", а также меню программы с восьмью элементами на выбор. "Главная страница" отображается при загрузке, "О нас" представляет информацию о деятельности компании, "Молочная продукция" представляет изображения основных кисломолочных продуктов, "Сырная продукция" представляет изображения сыров и масел, выпускаемых компанией, "Контакты" отображает контактные данные компании, "Справочная информация" содержит в себе описание производства, а также состав выпускаемых продуктов, "Прием молока" позволяет осуществить распределение закупленного молока, "Запасы" отображает данные о движении продукции компании, "Теоретические исследования" поможет вычислить оптимальный запас молока по формуле Уилсона.

На рисунке 3.3 отображена информация со страницы "О нас", в которой рассказывается интересная информация о деятельности товарищества с ограниченной ответственностью "МИЛХ". [14]

Рисунок 3.2

Рисунок 3.3

Изображения, приведенные на рисунках 3.4 и 3.5, отображают графическое оформление фасовочной продукции, отдельно для кисломолочной и сырной продукции. Данный ряд продукции ежемесячно увеличивается, поэтому здесь отображены лишь те товары, которые присутствовали на момент написания дипломного проекта. Также помимо, представленной продукции, организация выпускает большое количество промежуточной продукции для производства оригинального качества товаров. Данные ингредиенты были скрыты в связи с коммерческой тайной, охраняемой законами республики Казахстан.

На рисунке 3.6 представлены контактные сведения о компании для заключения сделок, да и просто для информации. Фирма заботится о качестве своей продукции и поэтому не стесняется рекламировать ее в средствах массовой информации, а также в глобальной сети Интернет.

На форме, изображенной на рисунке 3.7 приведено описание производства, состав и дополнительная информация по продуктам, выпускаемым товариществом с ограниченной ответственностью "МИЛХ".

Рисунок 3.4

Рисунок 3.5

Рисунок 3.6

Рисунок 3.7

Для реализации главной формы программы были использованы следующие процедуры.

Процедура создания главной формы программы по управлению приема молока. [12]

TForm1.FormCreate(Sender: TObject);:=ParamStr(0);:=ReverseString(PathToMyDir);(PathToMyDir,1,pos('\',PathToMyDir));:=ReverseString(PathToMyDir);:=PathToMyDir+'\';.Navigate(PathToMyDir+'html\main.html');

end;

Процедура описывающая видимость кнопок главного меню, требуется для обеспечения наглядности интерфейса программы. [6]

TForm1.ToolButton1Click(Sender: TObject);.GoBack;.Enabled:=false;;;TForm1.ToolButton2Click(Sender: TObject);.GoForward;.Enabled:=false;

end;;

Процедура осуществляющая запуск внешней программы для определения базы данных. [18]

TForm1.ToolButton3Click(Sender: TObject);('test.exe',sw_shownormal);

end;

Процедура осуществляющая показ главной страницы формы, т.е. отображение материала в веб-браузере. [24]

TForm1.sButton1Click(Sender: TObject);.Navigate(PathToMyDir+'html\main.html');

sLabel1.Caption:='Главная';;

Процедура вывода на экран страницы с информацией о компании ТОО "МИЛХ". [25]

TForm1.sButton2Click(Sender: TObject);.Navigate(PathToMyDir+'html\nas.html');.Caption:='О нас';;

Процедура вывода информации о кисломолочной продукции компании с изображением.

procedure TForm1.sButton3Click(Sender: TObject);.Navigate(PathToMyDir+'html\mol.html');.Caption:='Кисломолочная продукция';;

Процедура вывода информации о сырной продукции компании с изображением. [7]

TForm1.sButton4Click(Sender: TObject);.Navigate(PathToMyDir+'html\sir.html');.Caption:='Сырная продукция';;

Процедура вывода информации о реквизитах и контактных телефонах компании ТОО "МИЛХ".

procedure TForm1.sButton5Click(Sender: TObject);.Navigate(PathToMyDir+'html\kon.html');

sLabel1.Caption:='Контакты';;

Процедура выхода из программы. [25]

TForm1.sButton10Click(Sender: TObject);

begin;

Процедура, позволяющая выводить на экран справочную информацию о компании. [26]

TForm1.sButton6Click(Sender: TObject);.Navigate(PathToMyDir+'html\info.html');

sLabel1.Caption:='Справочная информация';;

Процедура вызова программы приема молочной продукции. [27]

TForm1.sButton7Click(Sender: TObject);

begin.showmodal;

Процедура авторизации, служит для проверки введенных пользователем логина и пароля. [19]

TForm1.FormActivate(Sender: TObject);(form6.sEdit1.Text<>'admin')and(form6.sMaskEdit1.Text<>'pass') then('Логин или пароль не верны', mtError,[mbOk], 0);;end;.TzDbf1.DbfFileName:=PathToMyDir+'data\main.dbf';.TzDbf1.Active:=true;;

Процедура вызова программы вывода запасов компании в полном объеме. [8]

TForm1.sButton8Click(Sender: TObject);.showmodal;

Процедура обработки действующих констант. [28]

Run(App: string);: string;: TStartupInfo;: TProcessInformation;(nil, @App[1], nil, nil, False, NORMAL_PRIORITY_CLASS, nil, nil, PMSI, PMPI);:= 'Fault run process: ''' + App + '''';.MessageBox(@ErrStr[1], 'Failure process', MB_OK + MB_ICONERROR);

end; end;

Процедура запуска аналитической части программного комплекса по расчету оптимального запаса предприятия. [21]

TForm1.sButton9Click(Sender: TObject);('c:\prog');(Handle, nil, 'c:\prog\milh\milh.exe', nil, nil, SW_SHOW);

end;

Процедура, запускаемая при открытии окна. [30]

TForm1.FormShow(Sender: TObject);

begin.showmodal;

.3 Технологическая схема приема молока

На рисунке 3.8, вкратце, разъяснена технологическая схема приемки молока. Обязательным компонентом производства кисломолочной и сырной продукции является молоко. Фирма, закупая молоко у розничных производителей (крестьянские хозяйства и т.д.), принимает его, обрабатывает, пастеризует и сепарирует. Во время этого процесса происходит созревание сливок и сметаны, легко вырабатывает творог. При этом творог и сливки используются для производства сыра, дрожжей и закваски. При заквашивании, сквашивании и необходимом охлаждении получаем Катык, ряженку и кефир. Дополнительные формулы по расчету количества готовой продукции и ее себестоимости были предоставлены товариществом с ограниченной ответственностью "МИЛХ". Программа отлично синхронизирует вновь внесенные данные во всех доступных ячейках, при этом эти изменения не влияют на содержание базы данных, так как данные вносятся туда только при тщательной их подготовки пользователем и только при нажатии на кнопку "Принять". В теоретическом материале описывается метод исследования оптимального запаса. В данной программе он использован для подсчета запаса промежуточной продукции и ее использовании при выработке готовой продукции. Ведь в случае хорошо рассчитанного процесса, количество потерь сокращается на весомые цифры. Вот допустим при обработке молока созревают сливки и сметана, конечно, сметана уже готовый продукт, а вот сливки можно рационально использовать при выработке сыра.

Рисунок 3.8

На рисунке 3.9 показана форма с приведенным списком движения молочной продукции на сегодняшний день. Вы можете просмотреть список только тех товаров, которые находятся на складе, нажав на кнопку "Только на продажу", а нажав на кнопку "Все" снова отобразятся все данные таблицы. Результат этих действий показан на рисунке 3.10.

Процедура позволяющая определить первоначальные значения полей ввода.

procedure TForm4.FormActivate(Sender: TObject);,x: Integer;:=0;I := 1 to 9 do / Iterate(findcomponent('edit'+inttostr(i))).Text:=form1.M1.Lines[i+x];

inc(x);;;

Рисунок 3.9

Рисунок 3.10

Нажав на кнопку "Отпустить товар" у пользователя появляется возможность отпустить или часть товара или же все количество рисунок 3.11. При этом надо не забывать о сроке годности товара и вовремя его удалять.

Процедура сохранения оперативных данных в файл.

procedure TForm4.Button1Click(Sender: TObject);,x: Integer;:=0;I := 1 to 9 do // Iterate.M1.Lines[i+x]:=tedit(findcomponent('edit'+inttostr(i))).Text;(x);; // for.M1.Lines.SaveToFile(GetCurrentDir+'\data\dan.ini');

close;;

Рисунок 3.11

Нажав на кнопку "Статистика" пользователь может просмотреть отчет о проданных товарах по дням для дальнейшей оценки рисунок 3.12.

Рисунок 3.12

Процедура определения основных элементов для дальнейшего подсчета.

procedure TForm1.DBEdit1Change(Sender: TObject);p1,p2,p3,p4,p5,p6,p7,p8,p9,p10,p11,p12,p13:real;: Integer;:integer;:=0;(d2.TzDbf1.State =dsedit) or (d2.TzDbf1.State =dsinsert) thend2.TzDbf1.State =dsinsert then x:=s1.ColCountI := 0 to s1.ColCount - 1 do if s1.Cells[i,0]=datetostr(d2.TzDbf1['data']) then x:=i;;:=d2.TzDbf1['p1'];:=d2.TzDbf1['p2'];:=d2.TzDbf1['p3'];:=d2.TzDbf1['p4'];:=d2.TzDbf1['p5'];:=d2.TzDbf1['p6'];:=d2.TzDbf1['p7'];:=p3*p7;:=(p3+p4)*p7;:=p6-p9;:=p10+p8;.TzDbf1['p8']:= p8;.TzDbf1['p9']:= p9;.TzDbf1['p10']:= p10;.TzDbf1['p11']:= p11;d2.TzDbf1['loc']=false thenx=0 then p12:=p6-p7;x<>0 then p12:=strtofloat(s1.Cells[x-1,12])-p7;x=0 then p12:=p6-p7 else p12:=strtofloat(s1.Cells[x-1,12])-p7+p9;;.TzDbf1['p12']:= p12;;:=inttostr(x); end;

Процедура заполнения промежуточных данных для более быстрого и оперативного рассмотрения при приблизительных расчетах. Оперативность достигается за счет того, что программа постоянно не осуществляет запрос к базе данных, а к оперативной памяти.

procedure TForm1.BitBtn1Click(Sender: TObject);: Integer;.ColCount:=d2.TzDbf1.RecordCount;.TzDbf1.First;I := 0 to d2.TzDbf1.RecordCount - 1 do // Iterate.Cells[i,0]:=datetostr(d2.TzDbf1['data']);.Cells[i,1]:=floattostr(d2.TzDbf1['p1']);.Cells[i,2]:=floattostr(d2.TzDbf1['p2']);.Cells[i,3]:=floattostr(d2.TzDbf1['p3']);.Cells[i,4]:=floattostr(d2.TzDbf1['p4']);.Cells[i,5]:=floattostr(d2.TzDbf1['p5']);.Cells[i,6]:=floattostr(d2.TzDbf1['p6']);.Cells[i,7]:=floattostr(d2.TzDbf1['p7']);.Cells[i,8]:=floattostr(d2.TzDbf1['p8']);.Cells[i,9]:=floattostr(d2.TzDbf1['p9']);.Cells[i,10]:=floattostr(d2.TzDbf1['p10']);.Cells[i,11]:=floattostr(d2.TzDbf1['p11']);.Cells[i,12]:=floattostr(d2.TzDbf1['p12']);.TzDbf1.Next;; // for;

Процедура контрольной сверки данных перед их непосредственным сохранением в базе данных.

procedure TForm1.Button7Click(Sender: TObject);,x: Integer;,p2,p3,p4,p5,p6,p7,p8,p9,p10,p11,p12,p13:real;.TzDbf1.First;I := 0 to d2.TzDbf1.RecordCount - 1 do // Iterate.TzDbf1.Edit;:=d2.TzDbf1['p1'];:=d2.TzDbf1['p2'];:=d2.TzDbf1['p3'];:=d2.TzDbf1['p4'];:=d2.TzDbf1['p5'];:=d2.TzDbf1['p6'];:=d2.TzDbf1['p7'];:=p3*p7;:=(p3+p4)*p7;:=p6-p9;:=p10+p8;.TzDbf1['p8']:= p8;.TzDbf1['p9']:= p9;.TzDbf1['p10']:= p10;.TzDbf1['p11']:= p11;d2.TzDbf1['loc']=false theni=0 then p12:=p6-p7;i>0 then p12:=strtofloat(s1.Cells[i-1,12])-p7;x=0 then p12:=p6-p7;i>0 then p12:=strtofloat(s1.Cells[i-1,12])-p7+p9;;.TzDbf1['p12']:= p12;.TzDbf1.Post;.Cells[i,0]:=datetostr(d2.TzDbf1['data']);.Cells[i,1]:=floattostr(d2.TzDbf1['p1']);.Cells[i,2]:=floattostr(d2.TzDbf1['p2']);.Cells[i,3]:=floattostr(d2.TzDbf1['p3']);.Cells[i,4]:=floattostr(d2.TzDbf1['p4']);.Cells[i,5]:=floattostr(d2.TzDbf1['p5']);.Cells[i,6]:=floattostr(d2.TzDbf1['p6']);.Cells[i,7]:=floattostr(d2.TzDbf1['p7']);.Cells[i,8]:=floattostr(d2.TzDbf1['p8']);.Cells[i,9]:=floattostr(d2.TzDbf1['p9']);.Cells[i,10]:=floattostr(d2.TzDbf1['p10']);.Cells[i,11]:=floattostr(d2.TzDbf1['p11']);.Cells[i,12]:=floattostr(d2.TzDbf1['p12']);.TzDbf1.Next;; // for;

Процедура запускающая форму с первоначальными данными по умолчанию.

procedure TForm1.sLabel2Click(Sender: TObject);

begin.showmodal;

Процедура вывода диаграммы движения товаров на складе.

procedure TForm1.sLabel4Click(Sender: TObject);

begin.showmodal;

Процедура удаления записей, предварительно опрашивающей пользователя об уверенности в их удалении.

procedure TForm1.sBitBtn1Click(Sender: TObject);MessageDlg('Удаляем?',mtConfirmation, [mbYes, mbNo], 0) = mrYes then.TzDbf1.Delete;.TzDbf1.Pack;.TzDbf1.Refresh;Click(Sender);

end;;

Передвижение курсора на запись назад.

procedure TForm1.sBitBtn3Click(Sender: TObject);.TzDbf1.Prior;

Передвижение курсора на запись вперед.

procedure TForm1.sBitBtn2Click(Sender: TObject);.TzDbf1.Next;

Отмена последнего действия пользователя.

TForm1.sBitBtn4Click(Sender: TObject);.TzDbf1.Cancel;Click(Sender);

end;

Процедура сохранения и обновления данных.

procedure TForm1.sBitBtn5Click(Sender: TObject);.TzDbf1.Post;Click(Sender);

end;

Процедура непосредственного копирования оперативных данных в базу данных.

сбыт молоко программный оператор

procedure TForm1.sBitBtn6Click(Sender: TObject);

var x1,x2,x3,x:real;Click(Sender);.TzDbf1.Insert;.TzDbf1['p1']:=strtofloat(m1.Lines[1]);.TzDbf1['p2']:=strtofloat(m1.Lines[3]);.TzDbf1['p4']:=strtofloat(m1.Lines[5]);.TzDbf1['p5']:=strtofloat(m1.Lines[7]);.TzDbf1['p6']:=strtofloat(m1.Lines[9]);.TzDbf1['p7']:=strtofloat(m1.Lines[11]);:=strtofloat(m1.Lines[13]);:=strtofloat(m1.Lines[15]);:=strtofloat(m1.Lines[17]);:=round(sqrt((2*x3*d2.TzDbf1['p1'])/(d2.TzDbf1['p7']*(x1+x2))));.TzDbf1['p3']:=x;;

Вывод страницы помощи.

TForm1.sLabel3Click(Sender: TObject);

begin.showmodal;

3.4 Теоретические исследования оптимального запаса

Переходим к пункту "Теоретические исследования". При выборе данного элемента основного меню, запускается внешний модуль, позволяющий провести столь необходимые расчеты оптимального запаса с использованием формулы Уилсона рисунок 3.13.

Рисунок 3.13

Как видно из вышеуказанного рисунка, пользователь имеет возможность добавлять, редактировать и удалять данные. При добавлении новой записи большинство полей заполняется автоматически исходя из значений по умолчанию. На рисунке 3.14 показана форма, на которой пользователь может изменить исходные значения, используемые для расчетов по формуле Уилсона.

Рисунок 3.14

Для наглядности исследования в программе имеется возможность построения диаграммы движения запасов молока рисунок 3.15 и изучения основ исследования оптимального запаса рисунок 3.16.

Рисунок 3.15

Рисунок 3.16

Процедура расчета оптимального запаса кисломолочной продукции на складе предприятия.

procedure TForm2.sEdit6Change(Sender: TObject);,x2,x3,x4:integer;,y2,y3,y4,y5,y6,y7:real;.Text:=inttostr(100-(strtoint(sEdit2.Text)+strtoint(sEdit3.Text)+strtoint(sEdit4.Text)+strtoint(sEdit5.Text)+strtoint(sEdit6.Text)));.Text:=sedit2.Text;:=strtoint(sEdit1.Text);:=strtofloat(sEdit8.Text);:=strtofloat(sEdit9.Text);:=strtofloat(sEdit10.Text);:=strtofloat(sEdit11.Text);sRadioButton1.Checked=true then.Text:='0';pn2.Text:='0';.Text:='0';pn3.Text:='0';:=0.3*strtofloat(pn4.Text)+0.2*y3;:=0.1*strtofloat(pn4.Text)+y2*1.1+0.2*y3;.Text:=floattostr(y6+y7);.Text:=inttostr(trunc((strtoint(sEdit1.Text)*strtoint(sEdit2.Text))/100));;sRadioButton2.Checked=true then.Text:='0';pn1.Text:='0';.Text:='0';pn3.Text:='0';:=0.2*strtofloat(pn4.Text)+0.2*y3;:=0.1*strtofloat(pn4.Text)+y2*1.1+0.2*y3;.Text:=floattostr(y6+y7);.Text:=inttostr(trunc((strtoint(sEdit1.Text)*strtoint(sEdit2.Text))/100));;sRadioButton3.Checked=true then.Text:='0';pn2.Text:='0';.Text:='0';pn1.Text:='0';:=0.1*strtofloat(pn4.Text)+0.2*y3;:=0.1*strtofloat(pn4.Text)+y2*1.1+0.2*y3;.Text:=floattostr(y6+y7);.Text:=inttostr(trunc((strtoint(sEdit1.Text)*strtoint(sEdit2.Text))/100));;.Text:=inttostr(trunc((strtoint(sEdit1.Text)*strtoint(sEdit7.Text))/100));.Text:=FloatToStrF(0.01*strtoint(sedit11.Text)+1.1*strtofloat(sedit9.Text)+0.2*strtoint(sedit10.Text)+strtofloat(sedit8.Text), ffnumber,2000,2);.Text:=floattostr(0.6*strtofloat(pn4.Text)+y2*1.1+0.2*y3);.Text:=floattostr(0.7*strtofloat(pn4.Text)+y2*1.1+0.2*y3);:=0.5*strtofloat(pn4.Text)+y2*1.1+0.2*y3;.Text:=floattostr(4*(strtofloat(pn5.Text)+y5));.Text:=inttostr(trunc((strtoint(sEdit1.Text)*strtoint(sEdit4.Text))/100));.Text:=inttostr(trunc((strtoint(sEdit1.Text)*strtoint(sEdit5.Text))/100));.Text:=inttostr(trunc((strtoint(sEdit1.Text)*strtoint(sEdit6.Text))/100));

end;

Процедура сохранения расчетных данных в базе данных с учетом уровня хранящейся закваски.

procedure TForm2.sButton1Click(Sender: TObject);sRadioButton1.Checked then.TzDbf1.Insert;.TzDbf1['dzak']:=Date;.TzDbf1['dizg']:=Date+1;.TzDbf1['dgod']:=Date+6;.TzDbf1['pr']:=sLabel19.Caption;.TzDbf1['kol']:=strtoint(sn1.Text);.TzDbf1['stat']:='На продаже';.TzDbf1['seb']:=strtofloat(pn1.Text);.TzDbf1.Post;;sRadioButton2.Checked then.TzDbf1.Insert;.TzDbf1['dzak']:=Date;.TzDbf1['dizg']:=Date+1;.TzDbf1['dgod']:=Date+6;.TzDbf1['pr']:=sLabel21.Caption;.TzDbf1['kol']:=strtoint(sn2.Text);.TzDbf1['stat']:='На продаже';.TzDbf1['seb']:=strtofloat(pn2.Text);.TzDbf1.Post;;sRadioButton3.Checked then.TzDbf1.Insert;.TzDbf1['dzak']:=Date;.TzDbf1['dizg']:=Date+1;.TzDbf1['dgod']:=Date+6;.TzDbf1['pr']:=sLabel22.Caption;.TzDbf1['kol']:=strtoint(sn3.Text);.TzDbf1['stat']:='На продаже';.TzDbf1['seb']:=strtofloat(pn3.Text);.TzDbf1.Post;;sn4.Text<>'0' then.TzDbf1.Insert;.TzDbf1['dzak']:=Date;.TzDbf1['dizg']:=Date+1;.TzDbf1['dgod']:=Date+5;.TzDbf1['pr']:=sLabel23.Caption;.TzDbf1['kol']:=strtoint(sn4.Text);.TzDbf1['stat']:='На продаже';.TzDbf1['seb']:=strtofloat(pn4.Text);.TzDbf1.Post;;sn5.Text<>'0' then.TzDbf1.Insert;.TzDbf1['dzak']:=Date;.TzDbf1['dizg']:=Date+1;.TzDbf1['dgod']:=Date+20;.TzDbf1['pr']:=sLabel24.Caption;.TzDbf1['kol']:=strtoint(sn5.Text);.TzDbf1['stat']:='На продаже';.TzDbf1['seb']:=strtofloat(pn5.Text);.TzDbf1.Post;;sn6.Text<>'0' then.TzDbf1.Insert;.TzDbf1['dzak']:=Date;.TzDbf1['dizg']:=Date+1;.TzDbf1['dgod']:=Date+20;.TzDbf1['pr']:=sLabel25.Caption;.TzDbf1['kol']:=strtoint(sn6.Text);.TzDbf1['stat']:='На продаже';.TzDbf1['seb']:=strtofloat(pn6.Text);.TzDbf1.Post;;sn7.Text<>'0' then.TzDbf1.Insert;.TzDbf1['dzak']:=Date;.TzDbf1['dizg']:=Date+1;.TzDbf1['dgod']:=Date+20;.TzDbf1['pr']:=sLabel26.Caption;.TzDbf1['kol']:=strtoint(sn7.Text);.TzDbf1['stat']:='На продаже';.TzDbf1['seb']:=strtofloat(pn7.Text);.TzDbf1.Post;;.Text:='0';.Text:='0';;;

4. Техника безопасности

.1 Анализ опасных и вредных факторов при работе с компьютером

В связи с научно-техническим прогрессом проблема взаимодействия человека и современной техники стала весьма актуальной. Чрезвычайно велика роль человека-оператора, управляющего иногда не только отдельными машинами и агрегатами, но и целыми системами технических устройств, огромными потоками энергии.

Целью данного раздела является анализ опасных и вредных факторов труда инженера- программиста и разработка мер защиты от них, оценка условий труда.

В разделе также рассматриваются вопросы техники безопасности.

Работа инженера-программиста связана с программным обеспечением.

При этом используется: компьютер, цветной монитор, принтер, сканер.

В процессе использования ПЭВМ здоровью, а иногда и жизни оператора угрожают различные вредные факторы, связанные с работой на персональном компьютере. Типичными ощущениями, которые испытывают к концу дня люди, работающие за компьютером, являются: головная боль, резь в глазах, тянущие боли в мышцах шеи, рук и спины, зуд кожи на лице и т.п. Испытываемые каждый день, они могут привести к мигреням, частичной потере зрения, сколиозу, тремору, кожным воспалениям и другим нежелательным явлениям.

Была также выявлена связь между работой на компьютере и такими недомоганиями, как астенопия (быстрая утомляемость глаза), боли в спине и шее, запястный синдром (болезненное поражение срединного нерва запястья), тендениты (воспалительные процессы в тканях сухожилий), стенокардия и различные стрессовые состояния, сыпь на коже лица, хронические головные боли, головокружения, повышенная возбудимость и депрессивные состояния, снижение концентрации внимания, нарушение сна и немало других, которые не только ведут к снижению трудоспособности, но и подрывают здоровье людей.

Основным источником проблем, связанных с охраной здоровья людей, использующих в своей работе автоматизированные информационные системы на основе персональных компьютеров, являются дисплеи (мониторы), особенно дисплеи с электронно-лучевыми трубками. Они представляют собой источники наиболее вредных излучений, неблагоприятно влияющих на здоровье операторов и пользователей.

Любой производственный процесс, в том числе и работа с вычислительной техникой, сопряжен с появлением опасных и вредных факторов. Опасным называется фактор, воздействие которого на человека вызывает травму, то есть внезапное повреждение организма в результате воздействия внешних факторов.

Вредным называется фактор, длительное воздействие которого на человека, приводит к профессиональным заболеваниям.

Работая за компьютером, необходимо соблюдать правила:

1 Расстояние от экрана до глаз - 70-80 см (расстояние вытянутой руки);

2 Вертикально прямая спина;

3 Плечи опущены и расслаблены;

4 Ноги на полу и не скрещены;

5 Локти, запястья и кисти рук на одном уровне;

Локтевые, тазобедренные, коленные, голеностопные суставы под прямым углом.

.2 Охрана труда

При работе в вычислительном центре следует руководствоваться правилами техники безопасности при работе с электроустановками до 1000 В. Пользователь должен предварительно пройти вводный инструктаж и инструктаж на рабочем месте. К операторам ЭВМ предоставляются следующие требования:

1)  Лица, не достигшие 18-летнего возраста, не допускаются к работам в электроустановках.

2)  Лица не должны иметь увечий и болезней, мешающих производственной работе.

3)  Лица должны после соответствующей теоретической и практической подготовки пройти проверку знаний и иметь удостоверение на допуск к работам в электроустановках.

Перед допуском к работе ответственный руководитель и производитель работ совместно с допускающим проверяет выполнение технических мероприятий по подготовке рабочего места.

На рабочем месте оператора ЭВМ необходимо соблюдать правила внутреннего распорядка, а именно:

· запрещается курить и распивать спиртные напитки;

· выполнять требования по обеспечению пожаро- и взрывобезопасности;

· уведомлять администрацию о случаях травмирования, неисправности оборудования;

· уметь оказывать первую помощь;

· соблюдать правила личной гигиены.

Перед началом работы следует применить средства индивидуальной защиты; подготовить рабочее место к эксплуатации; проверить исправность оборудования.

Убедиться в наличии защитного экрана для монитора, а также токоизоляции проводов.

После чего, включить сеть электропитания (под напряжением 220 В), системный блок и монитор (при этом не следует открывать корпус системного блока, или прикасаться к экрану монитора).

Во время работы необходимо:

¾      выполнять требования по безопасному выполнению работ;

¾      соблюдать правила использования ЭВМ;

¾      вести безопасное содержание рабочего места.

Следует выполнять все требования к организации рабочего места оператора ЭВМ. С момента допуска оператора к работе надзор за ним в целях предупреждения несчастных случаев возлагается на производителя работ или наблюдающего. Они должны все время находиться на месте работы.

В случае обнаружения неисправности:

¾ оборудования, которые могут привести к авариям и несчастным случаям;

¾      необходимо известить администрацию о происшествии;

¾      соблюдать правила техники безопасности;

¾      уметь оказать первую помощь при травмировании, поражении электрическим током.

Не следует оператору касаться проводов, открывать корпус системного блока и монитора; сеть электропитания.

По окончании работы оператор должен безопасно отключить в порядок рабочее место (уборка мусора, отходов производства). По окончании рабочего дня руководитель работ после осмотра места работы расписывается в наряде об ее окончании.

При выполнении работы в течение рабочего дня, а также при переходе от одного вида работ к другому оператору ЭВМ предоставляют перерывы для отдыха, приема пищи.

.3 Организация рабочего места оператора

Санитарно-гигиенические требования.

Помещения должны иметь естественное и искусственное освещение в соответствии с СанПиН 2.2.2.542-96.

Основной поток естественного света должен быть слева. Ориентация оконных проемов должна быть на север или на северо-восток. Не допускается направление основного светового потока естественного света сзади и спереди работающего на ПЭВМ. При двухстороннем освещении при глубине помещения кабинета более 6м обязательно устройство правостороннего подсвета, высота которого должна быть не менее 2,2м от пола.

В осветительных установках в помещении должна быть использована система общего освещения, выполненная потолочными или подвесными люминесцентными светильниками, равномерно размещенными по потолку рядами в виде сплошных линий с двух сторон о рабочего стола с ПЭВМ или ВДТ. Светильники, а также оконные светопроемы не должны отражаться на экранах ПЭВМ или ВДТ.

Освещенность поверхности ученических столов при искусственном освещении должна быть в пределах 300-500 лк. Светильники должны иметь светорассеивающую арматуру.

В качестве источников света рекомендуется использовать люминесцентные лампы мощностью 40Вт, 58Вт или энергоэкономичные мощностью 36Вт типа ЛБ, ЛХБ как наиболее эффективные и приемлемые с точки зрения спектрального состава.

Для помещений с ПЭВМ и ВДТ следует применять светильники серии ЛП036 с высокочастотными пускорегулируемыми аппаратами (ВЧПРА). Можно допустить применение светильников без ВЧПРА в модификации "кососвет".

В помещениях с ПЭВМ по причине загрязнения воздуха антропогенными веществами органической природы и диоксидом углерода рекомендуется иметь приточно-вытяжную вентиляцию, обеспечивающую оптимальный температурно-влажностный режим для всех климатических зон.

При отсутствии приточно-вытяжной вентиляции можно организовать кондиционирование воздуха с помощью бытовых кондиционеров. Расчет кондиционеров должен быть проведен инженером по вентиляции в зависимости от их производительности, количества теплоизбытков от машин, людей, солнечной радиации и источников искусственного освещения.

Помещение должно быть оборудовано умывальником с подводкой горячей и холодной воды.

Электроснабжение кабинета должно быть выполнено в соответствии с требованиями ГОСТ 28139-89 и ПУЭ.

Подводка электрического напряжения к столам сотрудников учреждения должна быть стационарной и скрытой.

Расположение электрощита и Устройства защитного отключения должно давать сотруднику возможность мгновенного отключения системы электроснабжения.

Для обеспечения пожарной безопасности помещение должен быть укомплектован 2-мя углекислотными огнетушителями (типа ОУ-2).

Для окраски стен и панелей должны быть использованы светлые тона красок (р=0,5-0,6). Состав красок должен исключать возникновение известковой пыли.

Поверхность пола должна быть ровной, без выбоин, нескользкой, удобной для очистки и влажной уборки, обладать антистатическими свойствами.

Содержание вредных химических веществ в воздухе помещений с использованием видеодисплейных терминалов (ВДТ) и персональных электронно-вычислительных машин (ПЭВМ) не должно превышать среднесуточных концентраций для атмосферного воздуха.

Для внутренней отделки интерьера помещений с ПЭВМ и ВДТ не разрешается применять синтетические материалы, выделяющие в воздух вредные химические вещества и соединения. К ним можно отнести древесно-стружечные плиты, слоистый бумажный пластик, моющиеся обои, рулонные синтетические покрытия и др.

Уровень шума на рабочем месте во всех учебных помещениях с ВДТ и ПЭВМ не должен превышать 50 дБА. (Санитарные нормы допустимого шума в помещениях жилых и общественных зданий и на территории жилой застройки N 3077-84, п.7.2).

Требования к комплекту мебели.

Помещение, кабинет должны быть оснащены определенным комплектом специализированной мебели, отвечающей требованиям ГОСТ 22046-89, имеющей сертификат соответствия технической документации и гигиенический сертификат.

Кабинет должен иметь мебель для:

организации рабочего места сотрудника;

для рационального размещения и хранения средств;

для организации использования аппаратуры.

Мебель для организации рабочего места сотрудника учреждения должна включать стол с местом для аппаратуры и компьютера, тумбу для принтера, стул.

Мебель для рационального размещения и хранения учебного оборудования должна состоять из комбинированного шкафа по ГОСТ 18666-95.

Высота рабочей поверхности стола для взрослых пользователей должна регулироваться в пределах 680-800 мм.

Рабочий стол должен иметь пространство для ног (600*500*450 мм).

Рабочий стул (кресло) должен быть подъемно-поворотным и регулируемым по высоте и углам наклона сиденья и спинки.

Рабочее место должно быть оборудовано подставкой для ног (300*400*150 мм).

Требования безопасности перед началом работы.

До включения используемого на рабочем месте оборудования оператор обязан:

осмотреть и привести в порядок рабочее место, убрать с рабочего места все посторонние предметы, которые могут отвлекать внимание и затруднять работу.

проверить правильность установки стола, стула, подставки под ноги, пюпитра, угол наклона экрана монитора, положение клавиатуры и, при необходимости, произвести их переустановку в целях исключения неудобных поз и длительных напряжений тела.

проверить правильность и надежность заземления оборудования.

защитный экранный фильтр должен быть надежно заземлен на корпус системного блока ПЭВМ (например, под винт крепления встроенного источника питания системного блока); не допускается заземление защитного фильтра к винтам крепления разъемов связи системного блока с периферийными устройствами и к винтам крепления кожуха системного блока;

при наличии дополнительного проводника для заземления ПЭВМ (в случае питании ПЭВМ через двухконтактную вилку питания либо от трехконтактной розетки, но с незаземленным третьим контактом), заземляющий проводник должен быть надежно подсоединен под винт крепления встроенного источника питания системного блока ПЭВМ. Проверить правильность расположения оборудования:

кабели электропитания ПЭВМ и другого оборудования (включая переноски и удлинители) должны находиться с тыльной стороны рабочего места;

источник бесперебойного питания для исключения вредного влияния его повышенных магнитных полей должен быть максимально возможно удален от оператора.

Проверить надежность подключения к системному блоку разъемов периферийного оборудования. Убедиться в отсутствии ярко освещенных предметов в поле зрения при переносе взгляда с экрана монитора на документ. Убедиться, что освещенность документов достаточна для четкого различения их содержания. При возможности, отрегулировать освещение и принять меры к исключению бликов и засветок на экране и в поле зрения. Убедиться в отсутствии пыли на экране монитора, защитном фильтре и клавиатуре, при необходимости, протереть их специальной салфеткой. Включить оборудование рабочего места в последовательности, установленной инструкциями по эксплуатации на оборудование с учетом характера выполняемых на рабочем месте работ. После включения оборудования и запуска используемой программы оператор обязан:

убедиться в отсутствии дрожания и мерцания изображения на экране монитора;

установить яркость, контрастность, цвет и размер символов, фон экрана, обеспечивающие наиболее комфортное и четкое восприятие изображения.

Оператору ПЭВМ запрещается приступать к работе в случае обнаружения несоответствия рабочего места установленным в данном разделе требованиям, а также при невозможности выполнить указанные в данном разделе подготовительные к работе действия.

Требования безопасности при выполнении работ.

Оператор во время работы обязан:

в течение рабочего дня содержать в порядке и чистоте рабочее место;

не закрывать вентиляционные отверстия ПЭВМ;

при необходимости временного прекращения работы корректно закрыть все активные задачи;

соблюдать правила эксплуатации оборудования и требования настоящей инструкции;

при работе с каждой программой выбирать наиболее оптимальное сочетание визуальных параметров (цвет и размер символов, фон экрана, яркость, контрастность и др.);

соблюдать установленные режимом рабочего времени регламентированные перерывы в работе, выполнять рекомендованные физические упражнения.

Режимы труда и отдыха при работе с ПЭВМ и ВДТ должны организовываться в зависимости от вида и категории трудовой деятельности. Виды трудовой деятельности разделяются на 3 группы : группа А - работа по считыванию информации с экрана ВДТ или ПЭВМ с предварительным запросом, группа Б - работа по вводу информации, группа В - творческая информация в режиме диалога с ЭВМ.. Продолжительность обеденного перерыва определяется действующим законодательством о труде и правилами внутреннего трудового распорядка предприятия. При наличии ионизаторов, их использование допускается только во время перерывов в работе и при отсутствии людей и помещении.

Требования безопасности в аварийных ситуациях.

Обо всех неисправностях в работе оборудования и аварийных ситуациях сообщать непосредственному руководителю. При обнаружении обрыва проводов питания или нарушения целости их изоляции, неисправности заземления и других повреждений электрооборудования, появления запаха гари, посторонних звуков в работе оборудования и тестовых сигналов, индицирующих о его неисправности немедленно прекратить работу и отключить питание. При поражении работника электрическим током принять меры по его освобождению от действия тока путем отключения электропитания и до прибытия врача оказать потерпевшему первую медицинскую помощь.

Инструкция. Первая помощь человеку, пораженному электрическим током.

Первую доврачебную помощь пораженному человеку током должен уметь оказывать каждый работающий с электроустановками. Она состоит из двух этапов:

а) Освобождение пострадавшего от действия тока.

б) Оказание ему медицинской помощи.

Освобождение можно осуществить несколькими способами:

а) Отключить электроустановку, которой касается человек, от источник питания.

б) Оттянуть пострадавшего. При напряжениях до 1000В допускается оттягивание пострадавшего, взявшись за его одежду и предварительно изолировав руки (перчатками, шарфом, рукавицами …). Действовать необходимо одной рукой. Изолировать себя от пола можно став на резиновый коврик, сухую доску или одежду.

в) Перерубить провода. Перерубать провода до напряжения 1000В можно топором с сухой деревянной ручкой или другим инструментом с изолированными ручками. Каждый провод нудно перерубать отдельно, чтобы не вызвать короткого замыкания.

Сразу после освобождения пострадавшего ему оказывается первая доврачебная помощь. Для определения ее вида и объема необходимо выяснить состояние пострадавшего (проверить пульс, дыхание, реакцию зрачков на свет).

1 Если пострадавших находится в сознании, у него нормальное дыхание и сердцебиение, то его все же нельзя считать здоровым. Его следует удобно уложить в сухое место, расстегнуть одежду и обеспечить полный покой до прибытия врача. Отрицательное воздействие эл. тока на организм человека может сказаться не сразу, а спустя некоторое время.

2 Если пострадавших находится без сознания, но с нормальным дыханием и пульсом, его следует удобно уложить, обеспечить приток свежего воздуха и начать приводить в сознание (подносить к носу вату смоченную нашатырем, обрызгивать лицо холодной водой, растирать и согревать тело).

3 В случае отсутствия у пострадавшего дыхания и (или) пульса ему необходимо производить искусственное дыхание и непрямой массаж сердца. Никогда не следует отказываться от оказания помощи пострадавшему и считать его мертвым из-за отсутствия дыхания, сердцебиения и других признаков жизни. Однако попытки оживления эффективны лишь, когда с момента остановки сердца прошло не более 5-6 минут.

4 Длительное отсутствие пульса при появлении дыхания и других признаков оживления организма указывает на наличие фибрилляции сердца. В этом случае необходимо провести дефебрилляцию. Достигается она путем кратковременного воздействия большого тока не сердце пострадавшего. В результате происходит одновременное сокращение всех волокон сердечной мышцы, которые до того сокращались в разное время. Дефибрилляция производится с помощью специального прибора - дефибриллятора. Ее может производить только врач.

Требования безопасности по окончании работы.

По окончании работы оператор обязан соблюдать следующую последовательность отключения оборудования:

произвести закрытие всех выполняемых на ПЭВМ задач;

отключить питание в последовательности, установленной инструкциями по эксплуатации на оборудование с учетом характера выполняемых работ.

Убрать со стола рабочие материалы и привести в порядок рабочее место.

Заключение

Для обеспечения непрерывного и эффективного функционирования практически любой организации необходимо создание запасов. Правильное и своевременное определение оптимальной стратегии управления запасами, а также нормативного уровня запасов дает возможность высвободить значительные оборотные средства, замороженные в виде запасов, что (в конечном счете) повышает эффективность используемых ресурсов.

Здесь была рассмотрена структура и элементы системы управления запасами. Выявлены преимущества и недостатки различных стратегий управления запасами. Более подробно рассмотрен математический метод расчета оптимальных параметров стратегии управления запасами при детерминированном стационарном спросе при поставках с постоянной интенсивностью.

Известные стратегии управления запасами редко точно описывают реальную систему. В ряде сложных случаев приходится прибегать к методам имитационного моделирования системы, чтобы получить достаточно надежное решение.

В большинстве моделей управление запасами осуществляется оптимизацией функции затрат, включающей затраты на оформление заказов, закупку и хранение продукции, а также потери от дефицита. Потери от дефицита обычно наиболее сложно оценить т.к. они могут быть обусловлены такими нематериальными факторами, как, например, ухудшение репутации. С другой стороны, хотя оценку затрат на оформление заказа получить нетрудно, включение в модель этой статьи расходов существенно усложняет математическое описание задачи, а это не входило в список заданий ТОО "МИЛХ" на разработку автоматизированной системы.

Выполненный программный проект в рамках дипломной работы был в значительной мере оценен ТОО "МИЛХ" и успешно внедрен в производство.

Список использованной литературы

1.      Е. Фирон "Управление снабжением и запасами" ЗАО "Бизнес Микро" 1999 г.

2.      Е.С. Голик "Математические методы системного анализа и теории принятия решений" Северо-Западный государственный заочный технический университет 2005 г.

.        Ю.А. Львов "Экономика и организация бизнеса" ГМП "Формика" 1992г.

.        Петухова Г.Л. Секреты создания "золотого" запаса. Кое-что о методах расчета оптимальной величины товарных запасов // Маркетолог. 2000. №11.

.        Александровский А.Д. Разработка корпоративных приложений. Delphi 5, Москва, 2000 (508).

.        Александровский А.Д. Delphi 4.0. Учебный курс, Москва, 1998 (450).

.        Котенок, Дарахвелидзе, "Delphi 5 для профессионалов" С-П 2000.

.        П. Шурманов, В. Фаронов, "Delphi 4, руководство пользователя баз данных", Москва, "Нолидж" 1999.

.        Стивен Хольцнер, "Dynamic HTML. Руководство разработчика", Москва 2000.

.        "Обмен многоязыковой информацией через World-Wide Web", Тошихиро Такада, Компьютерные сети и системы ISDN, том 27, № 2, стр. 235-241, ноябрь 1994 г.

.        "Практическое руководство по SGML", Э. ван Хервайнен, Kluwer Academic Publishers Group, Norwell and Dordrecht, 1990.

.        "Интернационализация языка разметки гипертекстов", Ф. Ерго, Ж. Николь, Г. Адамс и М. Дюрст, январь, 1997 г.

.        "Выгрузка файлов на базе форм в HTML", Э. Небель и Л. Масинтер, ноябрь 1995 г.

.        "Язык разметки гипертекстов 2.0", Т. Бернерс-Ли и Д. Коннолли, ноябрь 1995 г.

.        "Спецификация языка разметки гипертекстов, версия 3.0", Дейв Рэгетт, сентябрь 1995 г.

.        "Универсальные идентификаторы ресурсов (URI): Общий синтаксис и семантика", Т. Бернерс-Ли, Р. Филдинг, Л. Масинтер, 18 ноября 1997 г.

.        А.Я. Архангельский. Программирование в Delphi 7.- М.:ООО "Бином-пресс", 2004.-1152 с.:ил.

.        Фаронов В.В. Система программирования Delphi.- СПб.: БХВ - Петербург, 2003.-912 с.: ил.

.        Turbo Pascal учебник Немнюгин С.А. - М.: ООО "Бином-Пресс", 2002.

.        "Шаг за шагом". Фарнов В.В.- М.: АО "Учебник пресс", 2000.

.        Сизов А.В. Справочник по Turbo Pascal 6. - С.-П. "Литиздат", 1995.

.        Гаевский А. Разработка программных приложений на Delphi 6 - М.: Киев, 2000.

.        Немнюгин С.А. Программирование - М.: Питер, 2000.

.        Ремизов Н. Delphi - М.: Питер, 2000.

.        Т.А. Ильина. Программирование на Delphi 6 - М.: Питер, 2000.

.        Епанешников А.М. Программирование в среде Delphi 6.0. - С-П.: Питер. 2000. - 231 с.

.        Гофман В.А., Хомоненко А.В. Delphi 6. - С-П.: БХВ-Петербург. 2002. 520 с.

.        Дейт К. Объектно-ориентированное программирование. - М.: Hаука. 2002. - 483 с.

.        Корзун А.М. Программирование в среде Delphi 6.0. - С-П.: Питер. 2003.

.        Кулибин В.А., Delphi 7 в примерах.- М.: Питер, 2000. 2004. - 450 с.

Похожие работы на - Разработка программного продукта для управления запасами кисломолочной продукции на предприятии ТОО 'МИЛХ'

 

Не нашли материал для своей работы?
Поможем написать уникальную работу
Без плагиата!
Без нейросетей!