Разработка и реализация программного обеспечения, ориентированного на определение вероятностных характеристик надежности элементов по наблюдениям вероятностных характеристик надежности всей системы
МИНИСТЕРСТВО ОБРАЗОВАНИЯ РЕСПУБЛИКИ
БЕЛАРУСЬ
Учреждение образования
«Гомельский государственный
университет
имени Франциска Скорины»
Математический факультет
Кафедра математических проблем
Разработка и реализация программного
обеспечения ориентированного на определение вероятностных характеристик
надежности элементов по наблюдениям вероятностных характеристик надежности всей
системы
Курсовой проект
Исполнитель
студент
группы ПО-31 ____________ Е.В. Зайцев
Научный
руководитель
к.т.н.,
доцент ____________ Е.И. Сукач
Гомель 2013
Содержание
Введение
. Описание предмета исследования
.1 Описание метода вероятностно-алгебраического
моделирования
.2 Примеры определения вероятностных характеристик
функционально-сложной системы в символьном виде
. Описание программных средств
.1 Получение и добавление данных с сервера “Всемирной
организации здравоохранения”
.2 Структура базы данных
.3 Алгоритм вероятностно-алгебраического моделирования
. Теоритическая разработка программного обеспечения
ЗАКЛЮЧЕНИЕ
СПИСОК ИСПОЛЬЗОВАННЫХ ИСТОЧНИКОВ
ПРИЛОЖЕНИЕ
Введение
Объектом исследования являются сложные системы (СС), которые представляют
собой совокупность изменяющихся компонентов, взаимосвязанных между собой и
рассматриваемых как единое целое. Связи между компонентами системы зависят от
решаемой задачи и отличают СС от простого набора частей.
Исследование характеристик таких систем возможно с использованием методов
имитационного моделирования, которые требуют проведения многочисленных
имитационных экспериментов с последующим усреднением полученных результатов.
Имитационные модели позволяют выявить некоторые закономерности функционирования
СС и оценить в динамике изменение их вероятностных характеристик, однако
обновление параметров моделирования требует проведения очередной серии
экспериментов, что замедляет процесс исследования СС и не позволяет составить
общую картину динамического поведения СС.
Естественным подходом, эффективно применяемым при исследовании СС,
является использование логико-вероятностных методов. Классический
логико-вероятностный метод предназначен для исследования характеристик
надёжности структурно-сложных систем (ССС), которые при описании не сводятся к
последовательным, параллельным и древовидным структурам [2]. При этом структура
системы описывается средствами математической логики, а количественная оценка
ее надежности производится с помощью теории вероятностей. Известен ряд
модификаций и расширений возможностей этого метода, целью которых является
решение задач надёжности в различных проблемных областях [3]. Ограничением этих
методов является:
. рассмотрение двух состояний компонентов системы,
. использование строго определённого множества операторов для
определения связей между компонентами системы,
. предположение о независимости состояний компонентов от
изменений, происходящих с остальными компонентами и всей системой в целом во
времени.
Поэтому актуальна разработка метода вероятностно-алгебраического
моделирования (ВАЛМ) сложных систем, позволяющего учесть вероятностный характер
состояний компонентов СС и неопределённость операций, задающих взаимосвязи
между этими компонентами. Рассмотрение совокупности операторов, определяющих
отношения между компонентами системы, позволяет провести исследование
функционально-сложных систем, то есть таких, у которых поведение системы
определяется наличием функциональных связей между её компонентами, вероятностно
изменяющими своё состояние во времени.
В статье даётся формальное описание метода ВАЛМ функционально-сложных
систем, позволяющего решать следующие задачи:
. получать изменяющиеся во времени вероятностные характеристики
рассматриваемых состояний моделируемой системы, которые могут соответствовать
как процессу разрушения, так и процессу развития систем из различных проблемных
областей,
. определять вероятностные характеристики системы в зависимости от
изменения вероятностных характеристик составляющих её компонентов,
. определять вероятностные характеристики одного из элементов
системы по известным вероятностным характеристикам остальных компонентов и всей
системы,
. выявлять зависимые вероятностные характеристики отдельных
компонентов и определять степень их влияния на вероятностные характеристики
всей системы,
. определять структуру модели системы, оптимально описывающую
имеющиеся экспериментальные данные.
В статье приводятся результаты применения метода ВАЛМ для оценки в
символьном виде вероятностных характеристик функционально-сложной системы по
параметрически заданным векторам вероятностей состояний её элементарных
компонентов.
1.
Описание предмета исследования
1.1 Описание метода вероятностно-алгебраического моделирования
вероятностный алгебраический моделирование сервер
При
ВАЛМ функционально-сложная система представляется в виде множества устройств
, соответствующих элементарным компонентам исследуемой
системы. Устройства
считаются независимыми и описываются однотипным
образом - n-мерным вектором, определяющим их возможные состояния, которые
задаются множеством
. Каждое из состояний
характеризуется
совокупностью значений параметров компонентов исследуемой системы. Нахождение
устройств в каждом состоянии носит вероятностный характер. Вероятности
нахождения устройств
в каждом из состояний определяются векторами
.
Взаимосвязи
между устройствами модели задаются операциями, определяющими композиции
устройств
. Будем говорить, что устройство
является композицией устройств
и
,
, если задано отображение F , однозначно определяющее
состояние
устройства
по
состояниям
и
исходных
устройств
и
, где k
= F(i, j). При этом отображение F однозначно определяет вероятности состояний
результирующего устройства по вероятностям состояний исходных устройств:
.
Операция (*), определённая на этом множестве порождает алгебру А*, то
есть:
и
для операции * справедливы законы дистрибутивности:
,
,
где
a и b- вещественные числа,
.
Алгебра
задаётся структурными коэффициентами
, для
которых выполняются условия
и
.
При
этом элементы результирующего вектора
вычисляются
по формуле:
, где
.
В
том случае, если состояния компонентов детерминированы, они описываются
векторами
, которые являются базисными элементами пространства
(и алгебры). В простейшем случае произведение
базисных векторов
есть базисный вектор, где
При
этом операция, порождающая алгебру, является детерминированной и задаётся
функцией
. Структурные коэффициенты такой алгебры определяются
следующим образом:
.
Алгебра
А*, порождённая детерминированной операцией *, имеет следующие свойства [80].
Свойство
1. Если функция F коммутативна, то алгебра А* является коммутативной, то есть:
.
Свойство
2. Если функция
, задающая операцию *, которая порождает алгебру А*,
ассоциативна, то алгебра А* является ассоциативной, то есть:
.
Свойство
3. Если векторы
и
являются
положительными и нормированными, то и вектор
также
обладает этими свойствами, то есть:
.
Перечисленные
свойства алгебр (ассоциативность и коммутативность) позволяют интерпретировать
их при исследовании вероятностных характеристик СС графовой структуры и сделать
практические выводы для исследуемых систем с использованием отмеченных свойств.
Свойство
4. Если составляющие векторов
и
, определяющие состояния элементов системы являются
детерминированными, то и составляющие результирующего вектора
являются детерминированными.
Использование
n-арных функций, задающих операции на множестве векторов (3.1), порождает
n-арные стохастические алгебры, отображающие n векторов из
множества
в вектор из этого же множества в соответствие с
заданной операцией. Например, в случае тернарной операции, формируются
структурные коэффициенты алгебры
, а
компоненты результирующего вектора вероятностей вычисляются по формуле:

.
Таким
образом, при вероятностно-алгебраическом моделировании исследуемая
функционально-сложная система представляется композицией Z устройств
, то есть
, её
состояние однозначно определяется состоянием устройств, участвующих в
композиции, и вероятность нахождения системы в каждом из состояний может быть
вычислена с учётом введённых операций.
Пусть
состояние исследуемой системы в момент времени t, а
состояние моделируемой системы в моменты времени
1,..,t-1. Тогда
, где R -
совокупность управляющих правил, описывающих динамику модели системы. Правила,
представленные в предикатной форме, управляют процессом изменения модели во
времени и на каждом шаге моделирования определяют:
. изменение состояний одних устройств модели зависимости от
состояний других,
. однотипные и тождественные устройства модели;
Процесс ВАЛМ реализуется итерационно путём проведения компьютерных
аналитических расчётов на каждом шаге моделирования, однозначно определяющих
вероятности состояний системы по вероятностям исходных устройств. Метод
позволяет проводить расчёты с целью оптимизации и поиска экстремальных
(критических) значений состояний системы, а также решать прямые и обратные
задачи. А именно, для построенной вероятностно-алгебраической модели и заданных
правил функционирования модели возможно получение динамически изменяющихся
векторов вероятностей возможных состояний системы (прямая задача). В том случае,
если исследуются условия, приводящие к возникновению определённых (критических)
состояний системы, решается обратная задача.
1.2 Примеры определения вероятностных характеристик
функционально-сложной системы в символьном виде
Метод ВАЛМ позволяет сделать оценку вероятностных характеристик
исследуемой системы в символьном виде по параметрически заданным векторам
составляющих её компонентов.
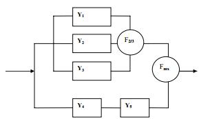
В
качестве примера рассмотрим систему, схема которой представлена на рис. 1.2
Связи между компонентами этой системы описываются тремя операциями: операцией
, операцией
и
тернарной операцией
, взаимодействие между которой определяется функцией
. Соответственно введённым операциям
вероятностно-алгебраическая модель такой системы будет иметь вид
.
.
Рисунок
1.2. Схема вероятностно-алгебраической модели функционально-сложной системы
Предположим,
что устройства
описываются однотипным образом и характеризуются
множеством состояний
, вероятности которых определяются соответственно
векторами
. Значения векторов вероятностей состояний изменяются
во времени и задаются
в
символьном виде выражением
, где
и
. В
качестве исходных векторов выбираются следующие:
и
2.
Описание программных средств
2.1 Получение и добавление данных с сервера “Всемирной организации
здравоохранения”
Всемирная организация здравоохранения (ВОЗ) является специализированным
учреждением Объединенных Наций в области здравоохранения. Она была создана 7
апреля 1948 г. Целью ВОЗ, как указано в ее Уставе, является достижение всеми
народами возможно высшего уровня здоровья. В Уставе ВОЗ здоровье определено как
состояние полного физического, душевного и социального благополучия, а не
только как отсутствие болезней и физических дефектов.
Управление ВОЗ осуществляется 192 Государствами-членами через Всемирную
ассамблею здравоохранения. Ассамблея здравоохранения состоит из представителей
Государств-членов ВОЗ. Основными задачами Всемирной ассамблеи здравоохранения
являются одобрение программы и бюджета ВОЗ на последующие два года и решение
основных вопросов в области политики.- это база данных библиотеки ВОЗ,
доступная в Интернете. В WHOLIS зарегистрированы все публикации ВОЗ начиная с
1948 г., а также статьи из выпускаемых ВОЗ журналов и технические документы
начиная с 1985 г. и до настоящего времени. С помощью карточного каталога,
размещенного на сайте, можно получить доступ и к техническим документам,
выпущенным до 1986 г.
Статистическая информационная система ВОЗ (WHOSIS) - справочник по
эпидемиологической и статистической информации, которой располагает ВОЗ.
Большинство технических программ ВОЗ размещает свою эпидемиологическую и
статистическую информацию в области здравоохранения на вебсайте. WHOSIS поможет
Вам найти ее.
Всемирная организация здравоохранения предоставляет данные относительно
зарегистрированных смертельных случаев по возрастным группам, полу, году и
причиной смерти, чтобы устанавливать и поддерживать статистические услуги и
обеспечивать информацию в области здоровья. Данные являются официальной
национальной статистикой в значении, что они были переданы во Всемирную
организацию здравоохранения компетентными органами заинтересованных стран [18].
ВОЗ предоставляет детальные файлы данных, которые включены в базу данных
смертности (Mortality DataBase). Из-за большого размера этих файлов, они
приведены в ASCII формат, чтобы облегчать процесс загрузки. Здесь находятся основные
подробные файлы данных, вместе с необходимыми инструкциями, файловыми
структурами, кодовыми таблицами, ссылки, и т.п. для использования теми, кому
нужен доступ к полному уровню детали для определенных исследований .
Таблица 2.1.1
- Состав файлов импортированных с сайта ВОЗ
|
Файл
|
Описание.
|
|
documentation.zip
|
Содержит информацию о ВОЗ
Mortality DataBase, файловую спецификацию и список причин смерти.
|
|
pop.zip
|
Содержит информацию о
численности населения и рождаемости
|
|
country_codes.zip
|
Содержит названия стран и
их коды
|
|
morticd10.zip
|
Содержит детальные данные
смертности для десятого пересмотра ICD (Международная Классификация Болезней)
|
База данных содержит численность смертей по странам, годам, половой,
возрастной группе и причине смерти. Данные включаются только для стран,
сообщающих, что данные правильно кодировались согласно Международной
Классификации Болезней (ICD).
Преобразование импортированных файлов в базу данных MS Access происходит следующим образом: после того, как файлы
будут загружены, переименовать их с расширением «csv» .
· Открыть Microsoft Access.
· Выбрать «Новая база данных», нажать «ок»
· Выбрать каталог, и напечатать имя файла
· В меню Файл выберете «Внешние данные», нажмите «импорт»
· Выбрать каталог, где первоначально сохранили CSV файлы
данных. В поле " Тип файла" выбирают текстовые файлы (… … *.csv, ….)
· Выбрать «с разделителями», нажать «далее»
· Выбрать " запятая " и поле " Первая строка
содержит имена поля ", нажать «далее»
· Данные необходимо сохранить в новой таблице
· Затем определите тип поля для каждого столбца
· Как задать первичный ключ, выберете «автоматически создать
ключ», нажать «далее»
· «Импорт в таблицу», введите имя для таблицы и нажмите
“Готово”
2.2 Структура базы данных
Созданная база данных включает следующие таблицы. Ниже приведены
подробные описания каждой таблицы базы данных с указанием назначения полей этих
таблиц.
Таблица 2.2.1
- Структура таблицы “country_codes”
|
Имя поля
|
Тип данных
|
Описание
|
|
country
|
Числовой
|
Код страны
|
|
Name
|
Текстовый
|
Название страны
|
Таблица 2.2.2
- Структура таблиц “pop”
|
Имя поля
|
Тип данных
|
Описание
|
|
Country
|
Числовой
|
Код страны
|
|
Admin1
|
Текстовый
|
Определенный регион для
каждой страны. Если это поле пусто, данные относятся к стране.
|
|
Subdiv1
|
Текстовый
|
Категория данных. Если это
поле пусто, данные относятся к стране.
|
|
Year
|
Числовой
|
Год, к которому относятся
данные
|
|
Sex
|
Числовой
|
1-мужской пол, 2-женский
|
|
Frmat
|
Текстовый
|
Возрастные группы для
распределения смертности 0-95 лет
|
|
Pop1
|
Числовой
|
|
Pop2
|
Числовой
|
Численность населения в 0
лет
|
|
Pop3
|
Числовой
|
Численность населения в 1
год
|
|
Pop4
|
Числовой
|
Численность населения в 2
года
|
|
Pop5
|
Числовой
|
Численность населения в 3
года
|
|
Pop6
|
Числовой
|
Численность населения в 4
года
|
|
Pop7
|
Числовой
|
Численность населения в
возрасте 5-9
|
|
Pop8
|
Числовой
|
Численность населения в
возрасте 10-14 лет
|
|
Pop9
|
Числовой
|
Численность населения в
возрасте 15-19 лет
|
|
Pop10
|
Числовой
|
Численность населения в
возрасте 20-24 лет
|
|
Pop11
|
Числовой
|
Численность населения в
возрасте 25-29 лет
|
|
Pop12
|
Числовой
|
Численность населения в
возрасте 30-34
|
|
Pop13
|
Числовой
|
Численность населения в
возрасте 34-39
|
|
Pop14
|
Числовой
|
Численность населения в
возрасте 40-44
|
|
Pop15
|
Числовой
|
Численность населения в
возрасте 45-49
|
|
Pop16
|
Числовой
|
Численность населения в
возрасте 50-54
|
|
Pop17
|
Числовой
|
Численность населения в
возрасте 55-59
|
|
Pop18
|
Числовой
|
Численность населения в
возрасте 60-64
|
|
Pop19
|
Числовой
|
Численность населения в
возрасте 65-69
|
|
Pop20
|
Числовой
|
Численность населения в
возрасте 70-74
|
|
Pop21
|
Числовой
|
Численность населения в
возрасте 75-79
|
|
Pop22
|
Числовой
|
Численность населения в
возрасте 80-84
|
|
Pop23
|
Числовой
|
Численность населения в
возрасте 85-89
|
|
Pop24
|
Числовой
|
Численность населения в
возрасте 90-94
|
|
Pop25
|
Численность населения в
возрасте 95 и старше
|
|
Pop26
|
Числовой
|
Численность населения в
неустановленном возрасте
|
|
Lb
|
Числовой
|
Рождаемость
|
Таблица 2.2.3
- Структура таблицы “Morticd10”
|
Имя поля
|
Тип данных й
|
Описание
|
|
Country
|
Числовой
|
Код страны
|
|
Admin1
|
Текстовы
|
Определенный регион для
каждой страны. Если это поле пусто, данные относятся к стране
|
|
Subdiv
|
Текстовый
|
Категория данных. Если это
поле пусто, данные относятся к стране.
|
|
Year
|
Числовой
|
Год, к которому относятся
данные
|
|
List
|
Текстовый
|
Перечень ICD
|
|
Cause
|
Числовой
|
Причина смерти
|
|
Sex
|
Числовой
|
1-мужской пол, 2-женский
|
|
Frmat
|
Текстовый
|
Возрастные группы для
распределения смертности 0-95 лет
|
|
IM_Frmat
|
Текстовый
|
Возрастные группы для
распределения смертности младенцев
|
|
Deaths1
|
Числовой
|
Общая смертность
|
|
Deaths2
|
Числовой
|
Смертность в возрасте 0 лет
|
|
Deaths3
|
Числовой
|
Смертность в возрасте 1
года
|
|
Deaths4
|
Числовой
|
Смертность в возрасте 2
года
|
|
Deaths5
|
Числовой
|
Смертность в возрасте 3
года
|
|
Deaths6
|
Числовой
|
Смертность в возрасте 4
года
|
|
Deaths7
|
Числовой
|
Смертность в возрасте 5-9
|
|
Deaths8
|
Числовой
|
Смертность в возрасте 10-14
|
|
Deaths9
|
Числовой
|
Смертность в возрасте 15-19
|
|
Deaths10
|
Числовой
|
Смертность в возрасте 20-24
|
|
Deaths11
|
Числовой
|
Смертность в возрасте 25-29
|
Числовой
|
Смертность в возрасте 30-34
|
|
Deaths13
|
Числовой
|
Смертность в возрасте 35-39
|
|
Deaths14
|
Числовой
|
Смертность в возрасте 40-44
|
|
Deaths15
|
Числовой
|
Смертность в возрасте 45-49
|
|
Deaths16
|
Числовой
|
Смертность в возрасте 50-54
|
|
Deaths17
|
Числовой
|
Смертность в возрасте 55-59
|
|
Deaths18
|
Числовой
|
Смертность в возрасте 60-64
|
|
Deaths19
|
Числовой
|
Смертность в возрасте 65-69
|
|
Deaths20
|
Числовой
|
Смертность в возрасте 70-74
|
|
Deaths21
|
Числовой
|
Смертность в возрасте 75-79
|
|
Deaths22
|
Числовой
|
Смертность в возрасте 80-84
|
|
Deaths23
|
Числовой
|
Смертность в возрасте 85-89
|
|
Deaths24
|
Числовой
|
Смертность в возрасте 90-94
|
|
Deaths25
|
Числовой
|
Смертность в возрасте 95 и
старше
|
|
Deaths26
|
Числовой
|
Возраст смерти не определен
|
|
IM_deaths1
|
Числовой
|
Детская смертность в 0 день
|
|
IM_deaths2
|
Числовой
|
Детская смертность в 1-6
день
|
|
IM_deaths3
|
Числовой
|
Детская смертность 7-27
дней
|
|
IM_deaths4
|
Числовой
|
Детская смертность 28-364
|
2.3 Алгоритм вероятностно-алгебраического моделирования
Теоретической основной метода ВАЛМ служит алгебраический аппарат,
центральное место в котором занимают стохастические алгебры. Алгебры
порождаются операциями, описывающими функции взаимодействия выделенных в
процессе формализации элементов исследуемой графовой системы.
Алгебра
задаётся структурными коэффициентами
, для
которых выполняются условия:
и
.
Алгебру,
структурные коэффициенты которой удовлетворяют этому условию, будем называть
стохастической.
При
этом элементы результирующего вектора
вычисляются
по формуле:
, где
.
Частным
случаем стохастических алгебр является алгебра А*, порождённая
детерминированной операцией *. Такая операция задаётся функцией
, а структурные коэффициенты
определяются следующим образом:
.
На
этапе “определения расчётной вероятностной модели системы” реализуется
расчётная вероятностная форма модели системы, относящейся к ОГС.
На
шаге “преобразования алгебраической модели в вероятностную форму” автоматически
осуществляется преобразование алгебраической модели в вероятностную форму,
представляющую функциональную зависимость f, связывающую
с совокупностью векторов
и определяющую расчёты вероятностных показателей
исследуемого свойства системы:
,
где
- векторы вероятностей состояний элементов системы,
- вектор вероятностей состояний системы,
- алгебраическая модель исследуемой системы.
На
шаге “реализация статического моделирования” статически ВАЛМ реализуется путём
последовательного умножения векторов вероятностей, характеризующих состояния
устройств модели, с учётом уровня вложенности функций и структурных
коэффициентов
по формуле (3.6), где
,
и
вектора
вероятностей состояний устройств
,
и
,
.
Умножение
векторов вероятностей состояний устройств модели с учетом функции их
взаимодействия
называется вероятностно-алгебраическим умножением.
Процесс формирования вектора вероятностей состояний системы по векторам
вероятностей состояний элементов, составляющих систему, с использованием
вероятностно-алгебраического умножения, называется вероятностно-алгебраическим
моделированием.
В соответствии с набором используемых функций в алгебраической модели
разработаны три формы расчётных вероятностных моделей: модель, реализующая детерминированные
функции между устройствами модели (детерминированная форма); расчётная модель,
использующая вероятностные функции между устройствами модели системы
(вероятностная форма); смешанная форма.
Если
отношения между элементами системы определяются детерминированными функциями,
используется детерминированная форма ВАЛМ. В том случае, если отношения между
элементами системы определяются вероятностной функцией, используется
вероятностная форма ВАЛМ. Наконец, в случае рассмотрения сложной композиции элементарных
устройств
алгебраической модели системы, отображающей систему,
включающие как вероятностные связи элементов, так и детерминированные,
используется смешанная форма вероятностно-алгебраической модели.
Примеры
детерминированных функций вероятностно-алгебраического моделирования сложных
систем графовой структуры:
.
В
детерминированном случае отказ происходит в результате отказа двух элементов. В
случае числа состояний
состояние результирующего элемента определяется
состоянием наиболее надежного элемента (параллельное соединение)
Для
каждой из стохастических алгебр, порождённых описанными операциями, отражающими
взаимодействие элементов СС с использованием формулы (3.7) формируется
множество представлений, элементами которых являются стохастические матрицы,
имеющие свои особенности.
Вид
стохастических матриц, являющихся элементами представлений стохастических
алгебр, определяется операциями, порождающими алгебры. Например, стохастические
матрицы
, полученные для стохастической алгебры АÙ, порожденной операцией
,
имеют вид верхней треугольной матрицы, элементы которой структурно связаны с
исходным вектором вероятностей
следующим
образом:
.
Для
алгебры АÚ, порожденной операцией
,
стохастические матрицы
имеют следующий вид:
.
Для
алгебры А
, порождённой операцией
стохастические
матрицы также связаны с вектором вероятностей состояний исходного элемента
и имеют вид:
.
Общим
свойством стохастических алгебр является их связь с цепями Маркова, позволяющая
сделать выводы об изменении состояний исследуемых систем с учётом введенных
операций и свойств этих операций.
Пусть
вектора
и
определяют
вероятности состояний элементов СС
и
соответственно, а вектор
определяет вероятности состояний системы, включающей
элементы
и
,
взаимодействие которых описывается операцией *, порождающей стохастическую
алгебру А*. Тогда, умножение структурных коэффициентов стохастической алгебры
на элементы вектора
даёт
матрицу
, где
,
умножение
на элементы вектора
даёт
матрицу
, где
, а
умножение
на элементы вектора
даёт
матрицу
, где
.
Очевидно,
эти матрицы будут стохастическими, описывающими соответственно случайные
процессы, которые представляются цепями Маркова. Вид их будет определяться
операцией, порождающей алгебру.
3.
Теоритическая разработка программного
обеспечения
При запуске разработанного приложения появится следующее окно (Рисунок
3.1)
Рисунок 3.1 Основная форма
В Edit нужно ввести название страны и
нажать вычислить. Например Seychelles (Рисунок 3.2)
Рисунок 3.2 График построения векторов для “ Seychelles ”
Рисунок 3.3 График построения векторов для “ Azerbaijan ”
Программа подключена через ADOConnection к базе данных, в которой
хранятся данные скаченные с сайта who.int. ADOQuery подключается к ADOConnection и через запросы данные с базы данных
присваиваются массивам и обрабатываются по кнопке “Вычислить”. Результаты
вычисления отображаются в StringGrid и на графике.
ЗАКЛЮЧЕНИЕ
Предложенный метод вероятностно-алгебраического моделирования оперирует
над вероятностными состояниями компонентов. Для их композиции используются
произвольные функции: детер-минированные/вероятностные, бинарные/n -арные,
позволяющие отразить при исследовании связи между компонентами, образующими
систему. Метод имеет алгебраическую основу, позволяющую единым образом описать
связи между компонентами. Данный подход позволяет использовать методы
компьютерной алгебры для проведения символьных вычислений. Практическое
применение метода в различных проблемных областях позволит оценить изменение
вероятностных характеристик системы во времени с учётом управляющих воздействий
на каждом шаге моделирования..
СПИСОК
ИСПОЛЬЗОВАННЫХ ИСТОЧНИКОВ
1 Гаврилов,
Л. А. Биология продолжительности жизни. Количественные аспекты: 2-е изд. / Л. А
Гаврилов, Н. С. Гаврилова. - М.: Наука, 1991. - 280с.
Сукач, Е.И.
Вероятностно-алгебраическое моделирование сложных систем графовой структуры /Е.
И. Сукач; М-во образования РБ, Гомельский государственный университет имени Ф.
Скорины. - Гомель: ГГУ им. Ф. Скорины, 2012.-224 с.
3 Андреев Е.
М. Анализ дожития с использованием данных о причинах смерти // Популяционная
геронтология / Под ред. Е.Б. Бурлаковой, Л.А. Гаврилова. - М.: ВИНИТИ, 1987. С.
190-229.
Бауэрс Н.,.
Актуарная математика. / Х. Гербер, Д. Джонс, С. Несбитт, Дж. Хикман - М.:
Янус-К, 2001.
5 who.int -
всемирная организация здравоохранения [Электронный ресурс] // URL:http://www.who.int/en/
ПРИЛОЖЕНИЕ
«Unit1.pas»
//---------------------------------------------------------------------------
#include <vcl.h>
#pragma hdrstop
#include "Unit1.h"
//---------------------------------------------------------------------------
#pragma package(smart_init)
#pragma resource "*.dfm"*Form1;
//---------------------------------------------------------------------------
__fastcall TForm1::TForm1(TComponent* Owner)
: TForm(Owner)
{->ColCount=26;->RowCount=4;->DefaultColWidth=30;->ColWidths[0]=140;->Rows[1]->Text
= "Вектор
1";->Rows[2]->Text = "Вектор 2";->Rows[3]->Text = "Полученный вектор";(int i = 1; i < SG1->ColCount;
i++)->Cells[i][0]=IntToStr(i);
}* rec(float *P){i;(i=1; i<26; i++){[i] =
P[i]*P[0];(P[i]-int(P[i])>=0.5)[i] = int(P[i]+1);[i] = int(P[i]);
}P;
}max(int i,int j){(i<j)i;j;
}* Zapr0(float *P0, AnsiString
Cntr){i;->ADOQuery1->Active =
false;->ADOQuery1->SQL->Clear();->ADOQuery1->SQL->Add("SELECT
* FROM Morticd10,Country_codes
");->ADOQuery1->SQL->Add("where Morticd10.Country=Country_codes.country
and Year=2001");->ADOQuery1->SQL->Add("and Cause=1026 and
Country_codes.name=Pr1 and
Sex=1");->ADOQuery1->Parameters->ParamByName("Pr1")->Value=Cntr;->ADOQuery1->Active
= true;->ADOQuery1->Open();[0] = Form1->ADOQuery1->Fields->FieldByNumber(11)->AsInteger;(i=1;
i<26; i++)[i] =
Form1->ADOQuery1->Fields->FieldByNumber(i+11)->AsInteger*1.0/P0[0];->ADOQuery1->Close();P0;
}* Zapr1(float *P1, AnsiString
Cntr){i;->ADOQuery1->Active =
false;->ADOQuery1->SQL->Clear();->ADOQuery1->SQL->Add("SELECT
* FROM Morticd10,Country_codes
");->ADOQuery1->SQL->Add("where
Morticd10.Country=Country_codes.country and
Year=2001");->ADOQuery1->SQL->Add("and Cause=1000 and
Country_codes.name=Pr1 and Sex=1");->ADOQuery1->Parameters->ParamByName("Pr1")->Value=Cntr;->ADOQuery1->Active
= true;->ADOQuery1->Open();[0] =
Form1->ADOQuery1->Fields->FieldByNumber(11)->AsInteger;(i=1;
i<26; i++)[i] =
Form1->ADOQuery1->Fields->FieldByNumber(i+11)->AsInteger*1.0/P1[0];->ADOQuery1->Close();P1;
}
//---------------------------------------------------------------------------__fastcall
TForm1::B1Click(TObject *Sender)
{i,j,k, a[26][26][26];*P0 = new float[26], *P1 = new
float[26], *P2 = new float[26];(E1->Text != ""){=
Zapr0(P0,E1->Text);= Zapr1(P1,E1->Text);
}{("Введите страну");;
}[0] = P0[0]*P1[0];(i=1; i<26; i++){[i]=0;(j=1; j<26;
j++)(k=1; k<26; k++)[i][j][k]=0;
}(i=1; i<26; i++)(j=1; j<26; j++)(k=1; k<26;
k++)[i][j][max(i,j)]=1;(i=1; i<26; i++)(j=1; j<26; j++)(k=1; k<26;
k++)[k] += a[i][j][k]*P0[i]*P1[j];(int i=1; i<26;
i++){->Cells[i][1]=P0[i];->Cells[i][2]=P1[i];->Cells[i][3]=P2[i];
}->Clear();->Clear();->Clear();(i=1; i<26;
i++){->Add(P0[i],i,clRed);->Add(P1[i],i,clGreen);->Add(P2[i],i,clPurple);
}
}
//---------------------------------------------------------------------------