Методы исследования рынка кредитования

  • Вид работы:
    Дипломная (ВКР)
  • Предмет:
    Банковское дело
  • Язык:
    Русский
    ,
    Формат файла:
    MS Word
    2,15 Мб
  • Опубликовано:
    2015-03-11
Вы можете узнать стоимость помощи в написании студенческой работы.
Помощь в написании работы, которую точно примут!

Методы исследования рынка кредитования

Содержание

кредитование банк кластеризация кохонен

Введение

1. Кредитная система РФ

.1      Сущность кредитования

.2      Краткая история кредитования

.3      Виды и методы кредитования

.4      Проблемы кредитных организаций и способы их решения

. Методы исследования рынка кредитования

.1      Суть и методы кластеризации

2.2    Нейронной сети. Сеть Кохонена

3. Анализ деятельности коммерческих банков с помощью карт Кохонена

.1      Выбор и обоснование исходных данных

.2      Список входных параметров для анализа

3.3    Кластеризация деятельности банков с помощью карт Кохонена с применением пакета статистической обработки данных Deductor компании BaseGroup Labs

3.4    Описание результатов и их анализ

Заключение

Список использованной литературы

Введение

Актуальность темы исследования. В современной экономике кредит является одним из основополагающих критериев и предпосылкой финансового развития страны, также существенной и обязательной частью финансового роста, это все обуславливает развитие системы кредитования физических лиц. Каждый год возрастает размер такого кредитования и расширяется список предоставляемых банками кредитных продуктов физическим лицам. Впрочем, твердые условия межбанковской конкурентной борьбы на рынке кредитования физических лиц РФ принуждают банки отыскивать пути повышения эффективности кредитования. По моему мнению, данный процесс просит не только существенных вложений, широкой и разветвленной сети филиалов банков, передовых банковских технологий, но и основательного познания соучастниками рынка основ кредитных взаимоотношений, понимания сути и роли кредитования физических лиц в самой системе кредитных взаимоотношений.

Кредитование физических лиц распространено во всех государствах мира, считается залогом общественной и финансовой устойчивости. Государство инициирует улучшение нормативно-правовой базы, исполняет на постоянной основе контроль за работой субъектов и объектов системы кредитования физических лиц, оказывает им муниципальную поддержку и предоставляет муниципальные гарантии. Тем самым стимулирует платежеспособный спрос, оказывает воздействие на стабильность банковской системы, содействует развитию и совершенствованию ее инфраструктуры, а еще оберегает интересы покупателей экономических услуг.

До начала кризиса кредитование физических лиц считалось одним из более высокодоходных направлений банковской работы. В отрасли наблюдалась интенсивная конкурентная борьба, итогом которой был постоянный подъем розничного банковского кредитного портфеля. К концу августа 2008 года банки дали физическим лицам более 2,8 трлн. рублей. С началом кризиса подъем кредитного портфеля физических лиц прекратился, и на протяжении 2009 года наблюдалось уменьшение портфеля кредитования примерно на 2% в месяц.

Портфель кредитов, выданных физическим лицам, сократился с 4017,2 миллиардов рублей в 2008 году, до 3573,8 миллиардов рублей на начало 2009 года. При всем этом общий размер просроченной задолженности по кредитам, выданным физическим лицам возрос на 58% и составил на 1 января 2010 года 243 миллиарда рублей. Удельный вес просроченной ссудной задолженности физических лиц повысился за 2008 год с 3,24% до 3,69%, а к концу 2010 года достиг 6,79%.

Несмотря на то, что вопросы кредитования физических лиц рассматриваются довольно обширно, в финансовой литературе не сложилось системного подхода, который разрешил бы совместить теоретические нюансы кредитования, его организационно-практические основы.

Неудовлетворительная разработанность понятийного аппарата, касающегося кредитования физических лиц, трудности, образовавшиеся в банковской практике РФ, связанные с ухудшением качества кредитного портфеля физических лиц, с подъемом просроченной задолженности этой группы заемщиков, определили актуальность темы исследования.

Степень разработанности проблемы. Научные основы исследования теории кредитования, его сути и форм заложили ведущие российские научные работники Л.И. Абалкин, Г.Н. Белоглазова, C.B. Богомолов, Н.И. Валенцева, C.B. Галакая, Л.А. Дробозина, Е.Ф. Жуков, B.C. Захаров, Ю.И. Коробов, Г.Г. Коробова, Л.П. Кроливецкая, О.И. Лаврушин, Г.С. Панова, A.M. Тавасиев, В.М. Усоскин.

За границей в сфере функционирования банковской системы известны труды таких авторов, как Э. Дж. Долан, Б. Дюран, К. Дуотери, Д. Коллинз, Тимоти Усл. Кох, П. Паул, А. Райф, Дж. Синки (мл.), Р. Страйк, А. Харвуд.

Сегодня вопросы становления системы кредитования физических лиц обширно дискутируются на научных конференциях и семинарах, в периодических изданиях. Эти трудности осматривают Д.З. Вагапова, C.JI. Ермаков, И.А. Зарипов, П.П. Ковалев, Н.И. Парусимова, И.Н. Рыкова, В.А. Савинова, В.Г. Садков, М.Б. Тершукова, Г. Торсунян, A.B. Улюкаев, Е.Б. Ширинская, В.В. Янов и прочие исследователи.

Несмотря на веский научный интерес к системе кредитования физических лиц, перечисленные авторы, открывают ее в отдельных аспектах. Кроме того, в научной литературе нет единичного подхода к классификации кредитов, к обсуждению способов оценки кредитоспособности персональных заемщиков.

Объектом исследования является банковская сеть РФ. Предметом исследования является развитие системы кредитования. Цель данной работы - теоретическое объяснение системы кредитованиям физических лиц и изучение развития системы кредитования банков в РФ на примере нескольких банков Ростовской области.

Согласно с поставленной целью сформулированы последующие задачи теоретического и прикладного характера, определившие логику дипломной работы и ее структуру:

уточнить содержание понятия кредитования физических лиц и осмотреть основные принципы кредитования;

дать определение системе кредитования, выявить проблемы кредитных организаций и способы их решения;

рассмотреть методы кластерного анализа:

провести кластеризацию показателей коммерческих банков с помощью карт Кохонена, сделать выводы;

Теоретическая основа исследования. Теоретической базой для исследования являются основательные труды отечественных и иностранных научных работников в сфере кредитования физических лиц, а еще исследования ученых-практиков в данной области, которые отыскали свое отражение в диссертационных и монографических исследованиях, научных заметках, публикациях в финансовой литературе и периодических изданиях.

Информационно-эмпирическая база исследования. При исследовании и анализе задач по теме исследования, применялись законодательные и нормативные акты РФ, Федеральной службы статистики, ЦБ (Центрального банка) РФ, Федеральной службы по экономическим рынкам, а еще материалы научно-практических конференций, семинаров, круглых столов, данные монографий, публикаций в периодических изданиях.

Научная новизна работы содержится в развитии комплекса теоретических положений и в исследовании методических и фактических советов, нацеленных на улучшение системы кредитования физических лиц.

Главные выводы и предложения по итогам проведенного исследования ориентированы на развитие методических аспектов улучшения системы кредитования физических лиц.

1. Кредитная система РФ

.1      Сущность кредитования

В современной экономической литературе существует две основные трактовки происхождения слова «кредит». Одни экономисты полагают, что это понятие берет начало от латинского слова credit, что в переводе означает «он верит» (или от слова credо ― верю). Другие связывают его появление с латинским термином creditum, который переводится как ссуда (долг).

На практике кредитные отношения представляют собой передачу в пользование материальных ценностей в денежной или товарной форме на условиях возвратности, срочности и платности, что осуществляется в виде конкретных кредитных сделок, формы и условия которых отличаются значительным многообразием.

Сущность же кредита всегда устойчива и неизменна: кредит - это экономические отношения между кредитором и заемщиком по поводу возвратного движения стоимости в товарной или денежной форме.

Субъектами кредитных отношений являются кредитор и заемщик. Ими могут быть любые юридически самостоятельные лица и дееспособные граждане, которые в состоянии нести материальную ответственность по обязательствам кредитной сделки.

Кредитор - это субъект кредитных отношений, передающий стоимость во временное пользование, а заемщик - субъект, получающий кредит и обязанный возвратить его в установленный срок. В рамках кредитных отношений они могут меняться ролями: кредитор может стать заемщиком, а заемщик - кредитором. Для современного уровня развития товарно-денежных отношений характерно также одновременное функционирование субъектов в качестве и кредиторов, и заемщиков. Так, например, банки в одно и то же время на протяжении всей своей деятельности являются и кредиторами, и заемщиками.

Объектом кредитной сделки выступает ссуженная стоимость, то есть стоимость в денежной или товарной форме, которую кредитор передает во временное пользование заемщику.

К принципам кредитования относятся:

) возвратность и срочность кредитования;

) дифференцированность кредитования;

) обеспеченность кредита;

) платность банковских ссуд.

Рассмотрим подробнее каждый из принципов.

. Возвратность является той особенностью, которая отличает кредит как экономическую категорию от других экономических категорий товарно-денежных отношений. Без возвратности кредит не может существовать, поэтому возвратность является неотъемлемой частью кредита, его атрибутом.

Возвратность и срочность кредитования обусловлена тем, что банки мобилизуют для кредитования временно свободные денежные средства предприятий, учреждений и населения. Главная особенность таких средств состоит в том, что они подлежат возврату владельцам, вложившим их в банк на условиях срочных депозитов. Поэтому "золотое" банковское правило гласит, что величина и сроки финансовых требований банка должны соответствовать размерам и срокам его обязательств. Нарушение этого основополагающего принципа и приводит к банкротству банка.

Срочность кредитования представляет собой необходимую форму достижения возвратности кредита. Принцип срочности означает, что кредит должен быть не просто возвращен, а возвращен в строго определенный срок, т.е. в нем находит конкретное выражение фактор времени. Если нарушается срок пользования ссудой, то искажается сущность кредита, он теряет свое подлинное назначение.

. Дифференцированность кредитования означает, что коммерческие банки не должны однозначно подходить к вопросу о выдаче кредита своим клиентам, претендующим на его получение. Ссуда должна предоставляться только тем клиентам, которые в состоянии его своевременно вернуть. Поэтому дифференциация кредитования должна осуществляться на основе показателей кредитования, под которой понимается финансовое состояние предприятия, дающее уверенность в способности и готовности заемщика возвратить кредит в обусловленный договором срок. Эти качества потенциальных заемщиков оцениваются посредством анализа их баланса на ликвидность, обеспеченность хозяйства собственными источниками, уровень рентабельности на текущий момент и в перспективе.

Уровень кредитоспособности заемщика является показателем индивидуального или частного кредитного риска для банка, связанного с конкретным клиентом, конкретной ссудой, выданной клиенту.

. Обеспеченность кредита закрывает один из основных кредитных рисков - риск непогашения ссуды. Если бы не принимался во внимание этот принцип, то банковское дело превратилось бы в спекулятивное занятие, где высокий риск ведения операций привел бы к резкому росту процентных ставок.

Надо отметить, что решение проблемы обеспеченности кредита зависит от типа кредитования и от субъекта ссуды. Если говорить о большой компании, успешно работающей на протяжении десятилетий, имеющую хорошую и длительную кредитную историю, занимающую лидирующие позиции на рынке, возглавляемую известными профессионалами, то решение вопроса с обеспечением кредитов требует одного подхода. Правда, надо сказать, что российская банковская практика дает примеры проблемных кредитов, приводящих к банкротству крупных банков. Например, Западно-Сибирский металлургический комбинат не вернул кредит Кредобанку, что выразилось в банкротстве старейшего российского банка. Если рассматривать вопрос ссуды для малого предприятия, только зарегистрированного и начинающего свою предпринимательскую деятельность с нуля - то здесь без решения вопроса с обеспечением выдавать кредит нельзя. Интересна позиция с обеспечением при потребительском кредитовании, где возможен статистический подход оценки кредитного риска (например, метод кредитного скоринга для отбора заемщиков) и обеспечением может являться хороший набор определенных критериев ссудополучателя.

Техника кредитного скоринга была впервые предложена американским экономистом Д. Дюраном в начале 40-х г.г. для отбора заемщиков по потребительскому кредиту. Дюран отмечал, что выведенная им формула "может помочь кредитному работнику легко и быстро оценить качество обычного претендента на ссуду, но в экстраординарных случаях ее прогнозные качества ослабевают."

В российских условиях чистое применение коэффициентов Дюрана невозможно.

. Платность банковских ссуд означает внесение получателями кредита определенной платы за временное пользование для своих нужд денежными средствами. Реализация этого принципа на практике осуществляется через механизм банковского процента. Ставка банковского процента - это своего рода "цена" кредита. Платность кредита призвана оказывать стимулирующее воздействие на хозяйственный (коммерческий) расчет предприятий, побуждая их на увеличение собственных ресурсов и экономное расходование привлеченных средств. Банку платность кредита обеспечивает покрытие его затрат, связанных с уплатой процентов за привлеченные в депозиты чужие средства, затрат по содержанию своего аппарата, а также обеспечивает получение прибыли для увеличения ресурсных фондов кредитования (резервного, уставного) и использования их на собственные и другие нужды.

При рассмотрении вопроса размера платы за кредит, банки должны учитывать следующие факторы:

ставка рефинансирования ЦБ РФ;

средняя процентная ставка привлечения (ставка привлечения межбанковских кредитов или ставка, уплачиваемая банком по депозитам различного вида);

структура кредитных ресурсов (чем выше доля привлеченных средств, тем дороже должен быть кредит);

спрос на кредит со стороны потенциальных заемщиков (чем меньше спрос, тем дешевле кредит);

срок кредита, вид кредита, а точнее степень его риска для банка в зависимости от обеспечения;

стабильность денежного обращения в стране (чем выше темп инфляции, тем дороже должна быть плата за кредит, т.к. у банка повышается риск потерять свои ресурсы из-за обесценивания денег).

Банки, являясь по сути платными предприятиями, накладывают коммерческий нрав на всю систему их работы по кредитованию. Для начала, отталкиваясь от принципа доходности банковского хозяйства, банковские ссуды считаются коммерческими. Хотя дело не только в этом. Банки как торговые компании осуществляют торговлю, прежде всего собственными ресурсами, помещая их в кредитные операции. Непосредственно поэтому в обычном (бескризисном, без инфляционном) хозяйстве для банков, выступающих, прежде всего, как крупные кредитные институты, прибыль от кредитной работы считается основополагающим фактором. В прибыли южноамериканских банков на доходы от кредитных операций приходится подавляющая часть - более 60 %.

Объем кредитного продукта банка зависит не только от размера его собственных средств, но и от завлеченных ресурсов. В прогрессивной рыночной системе осуществлять торговлю большим размером средств возможно только в тех случаях, когда банк вдобавок заинтересовал средства собственных посетителей.

Специфика современной системы кредитования состоит в ее зависимости не исключительно от собственных и завлеченных ресурсов, но и от определенных общепризнанных мерок, которые устанавливает Центральный банк для Коммерческих банков, исполняющих кредитование посетителей. ЦБ РФ, например, регламентирует норму неотъемлемых отчислений в централизованные резервы. Есть и прочие нормативы, в том числе в виде малых валютных запасов, создаваемых в платном банке, в форме регламентации размеров особо больших кредитов, характеристик ликвидности равновесия банка, когда обязательства банка соизмеряются с объемом ликвидных средств.

При всей своей прибыльности кредитная операция в условиях финансового кризиса, спада производства, разорения фирм считается более опасной. В наше время задержка возврата ссуд посетителями банка становится очень нередким явлением. К началу 2010 года просроченная задолженность по банковским кредитам составляла 11,1% по всем кредитам, предоставленным хозяйству, народонаселению и прочим кредитным институтам.

Особенность современной практики кредитования состоит, впрочем, в том, что отечественные банки в ряде случаев не владеют общей методической и нормативной базой организации кредитного процесса. Старые банковские инструкции, регламентирующие кредитные операции и сориентированные на распределительную систему, оказались неприемлемыми для критериев рынка. Обстановка такова, что любой банк вследствие этого, как следует из собственного опыта, производит собственные подходы, собственную систему кредитования, хотя абсолютно очевидно, что есть непреложные совместные организационные основы, отражающие интернациональный и отечественный опыт и позволяющие банкам значимо упорядочить собственные кредитные отношения с клиентом, значительно улучшить возвратность займов.

1.2    Краткая история кредитования

С исторической точки зрения предшественником современного кредита можно считать ростовщический кредит- старейшая форма кредита, характерная для докапиталистических формаций. Предпосылкой возникновения ростовщического кредита послужило деление первобытного общества на богатых и бедных. В античный период ростовщический кредит предлагался в основном ремесленникам и рабовладельцам. В роли кредиторов чаще всего выступали купцы и откупщики налогов. При феодализме ростовщический кредит также предлагался в большинстве случаев мелким товаропроизводителям и феодалам. Именно с этого и начинается история кредитования в России.

Вместе с формированием государства появлялись и банки, которые становились профессиональными участниками кредитного рынка. С появлением религии и государства возрождались монастырские, храмовые и государственные банки, которые привлекали денежные средства для строительства храмов, зданий, а также для содержания армии.

Кредит как экономическое явление появился примерно 4-5 тыс. лет назад, наравне с такими понятиями как налоги. Примерно в то же время появляются своеобразные формы финансового контроля и страхования.

Ростовщики, предоставляющие кредит, подвергались такому же риску, что и современные банки, поскольку купцам, бравшим кредит, не выгодно было полностью соблюдать условия договора.

Любые операции с выдачей кредита или возврата процентов требовали наличия свидетелей. Кроме наличия свидетелей любые операции с выдачей кредита предполагали оформления «документов с печатью». Наличием «имущественных бирок» характеризуется и история кредитования в России. Множество имущественных норм создавало потребность в ведении прихода-расхода даже на уровне домашних хозяйств.

История кредитования в России прошла путь развития от ростовщического кредита до создания банковской системы. Совершенствование кредитной системы способствовало развитию нашего государства.

Современная история кредитной системы в РФ берет свое начало с конца 1988 - начала 1989 года. Это время ознаменовалось переходом от плановой к рыночной экономике, что подстегнуло развитие рынка кредитования. В то время возникло несколько государственных специализированных банков, которые занимались в числе прочего и кредитованием. Однако получение и обслуживание кредита до середины девяностых годов было весьма затруднительным как для предприятий, так и для населения. В 1998 году Сбербанк начал выдавать кредиты населению на неотложные нужды, но грянул кризис, и развитие кредитования замедлилось, немного стабилизировавшись к 2001 году. На современном этапе кредитование в России распространено очень широко. Особенно развита выдача мелких потребительских кредитов. Популярностью у населения пользуются так же жилищные кредиты, ипотека, автокредиты. Краткосрочное, долгосрочное кредитование и многие другие кредитные продукты пользуются спросом у малого и среднего бизнеса. Так, объем предоставленных кредитов этому сектору экономики по состоянию на конец 2013 года составил 4 257 млрд. рублей.

1.3    Виды и методы кредитования

В мировой практике отсутствует единая классификация банковских кредитов, так как распространение их всевозможных форм зависит от уровня экономического развития страны, её традиций, исторически сложившихся способов предоставления ссуд и их погашения и укоренившихся стереотипов в сознании населения.

По назначению использования различаются кредиты:

·        Бюджетные;

·        Промышленные

·        Сельскохозяйственные

·        Инвестиционные

·        Потребительские

По срокам погашения кредиты бывают:

) до востребования

) срочные

Срочные кредиты подразделяются на кратко-, средне- и долгосрочные. Классификация ссуд в соответствии с этим критерием разных стран варьируется. Российские банки занимаются в основном краткосрочным кредитованием.

По видам процентных ставок банковские кредиты можно подразделить на две группы:

·        кредиты с фиксированной процентной ставкой

·        кредиты с плавающей процентной ставкой.

В настоящее время в России используется два метода кредитования.

Первый метод предусматривает индивидуальный подход в каждом конкретном случае и применяется при предоставлении разовых ссуд на определенные цели и на конкретные сроки и называется срочным.

Второй метод предусматривает выдачу ссуд в течение определенного периода в пределах согласованного лимита путем оплаты всех обязательств предприятия, относящихся к составу оборотных средств. Данный метод называется кредитной линией.

При кредитной линии преимущественно используется специальный ссудный счет. Открытие специального ссудного счета предусматривает снижение статуса расчетного счета, так как вся выручка от реализации товаров поступает на ссудный счет, с которого идет процесс регулярного кредитования предприятия и погашение его задолженности.

1.4    Проблемы кредитных организаций и способы их решения

В странах с развитой рыночной экономикой система финансового контроля включает следующие элементы:

государственные органы и специально уполномоченные организации, осуществляющие государственный финансовый контроль;

негосударственные организации, осуществляющие независимый финансовый контроль на коммерческой основе;

службы внутреннего контроля организаций, осуществляющие финансовый контроль максимизации прибыли и защиты интересов собственников.

В сфере банковской деятельности такими элементами являются:

центральный банк или иной специально созданный орган;

аудиторские фирмы;

службы внутреннего контроля кредитных организаций.

В Российской Федерации создание и функционирование коммерческих банков основывается на Федеральном законе Российской Федерации «О банках и банковской деятельности». В соответствии с этим законом:

банк является коммерческим юридическим лицом, то есть таким организационным образованием, деятельность которого направлена на извлечения прибыли;

банк создается в форме хозяйственного общества, то есть акционерного общества или общества с ограниченной ответственностью;

банк действует на основе лицензии, выдаваемой Центральным банком Российской Федерации;

банк обладает специальной компетенцией, то есть извлекает прибыль путем совершения специальных операций;

банк рассматривается законодательными органами Российской Федерации, как один из элементов банковской системы.

В России процесс формирования и развития банковской системы и становления системы ее регулирования и контроля проходят параллельно. Задачи по обеспечению устойчивости и функционирования банковской системы возложены на основной орган регулирования денежно-кредитной политики - Центральный банк Российской Федерации (Банк России). Он выполняет весь комплекс регулирующих и контрольных функций: определение правил и порядка ведения банковской деятельности, лицензирование, камеральный надзор, инспектирование, санацию и ликвидацию кредитных организаций.

Каждая вновь образуемая кредитная организация обязана получить лицензию на осуществление банковских операций в Центральном банке Российской Федерации. Перечень обязательных мероприятий и документов для открытия банка и его филиалов приведен в Инструкции Банка России от 23.07.1998 г. № 75-И «О порядке применения федеральных законов, регламентирующих процедуру регистрации кредитных организаций и лицензирования банковской деятельности».

Контроль за кредитными организациями основан на анализе получаемой отчетности и инспекционных проверках на местах. К документам основной отчетности относятся:

баланс кредитной организации (представляется ежемесячно);

отчет о прибылях и убытках (представляется ежеквартально);

различные формы финансовой отчетности (представляются ежемесячно и ежеквартально).

Инспектирование коммерческих банков как одно из направлений деятельности Центрального банка Российской Федерации ведет свою историю с 19 апреля 1993 г., когда Председатель Банка России В.В.Геращенко подписал приказ ЦБ РФ № 02-55 «Об образовании Главного управления инспектирования коммерческих банков Банка России и управлений (отделов) инспектирования коммерческих банков территориальных органов Банка России». С тех пор банковское инспектирование рассматривается как важнейший компонент регулирования и контроля банковской деятельности. Усилиями руководства Банка России того времени, его территориальных учреждений и самого Главного управления инспектирования коммерческих банков (ГУ ИКБ) была создана система инспекционных подразделений по всей стране и налажена их согласованная работа. В 1996 г. ГУ ИКБ преобразовано в Департамент инспектирования кредитных организаций (ДИКО).

На основании анализа отчетности и результатов инспекционной проверки в случае необходимости органами надзора применяются следующие меры воздействия по отношению к кредитной организации:

взыскание с кредитной организации штрафа до одного процента от размера оплаченного уставного капитала, но не более одного процента от минимального размера уставного капитала;

предъявление требований к кредитной организации, а именно:

а) осуществление мероприятий по финансовому оздоровлению кредитной организации, в том числе изменение структуры активов;

б) замена руководителей кредитной организации;

в) реорганизация кредитной организации;

изменение для кредитной организации обязательных нормативов на срок до шести месяцев;

введение запрета на осуществление кредитной организацией отдельных банковских операций, предусмотренных выданной лицензией, на срок до одного года, а также на открытие филиалов на срок до одного года;

назначение временной администрации по управлению кредитной организацией на срок до шести месяцев.

Также Банк России вправе отозвать у кредитной организации лицензию на осуществление банковских операций по основаниям, предусмотренным Федеральным законом «О Центральном банке Российской Федерации (Банке России)».

Важное место в работе Банка России занимает деятельность, связанная с финансовым оздоровлением кредитных организаций. Именно для эффективного осуществления этих функций в Банке России был создан департамент по организации банковского санирования. Проблема финансового оздоровления кредитных организаций носит макроэкономический характер и связана прежде всего с проблемой создания оптимальной структуры банковской системы России, а именно: оптимальной структуры активов и пассивов кредитной организации, оптимального соотношения крупных, средних и мелких банков и т. д. Планы санации проблемных кредитных организаций имеют смысл только в том случае, когда собственники и кредиторы этих кредитных организаций готовы предоставить им реальную финансовую помощь.

При санации Агентство по страхованию вкладов (АСВ) <#"783973.files/image001.gif">

Рис.1 Идеальная ситуация кластеризации

На рис.2 представлена ситуация кластеризации, которая чаще всего встречается на практике.

Рис.2 Реальная ситуация кластеризации

Применение кластерного анализа в общем виде сводится к следующим этапам:

·        отбор выборки объектов для кластеризации;

·        определение множества переменных, по которым будут оцениваться объекты в выборке. При необходимости - нормализация значений переменных;

·        вычисление значений меры сходства между объектами;

·        применение метода кластерного анализа для создания групп сходных объектов (кластеров);

·        представление результатов анализа.

После получения и анализа результатов возможна корректировка выбранной метрики и метода кластеризации до получения оптимального результата.

Формальная постановка задачи кластеризации

Пусть множество объектов - множество номеров (имён, меток) кластеров. Задана функция расстояния между объектами. Имеется конечная обучающая выборка объектов. Требуется разбить выборку на непересекающиеся подмножества, называемые кластерами, так, чтобы каждый кластер состоял из объектов, близких по метрике, а объекты разных кластеров существенно отличались. При этом каждому объекту приписывается номер кластера. Алгоритм кластеризации - это функция, которая любому объекту ставит в соответствие номер кластера. Множество в некоторых случаях известно заранее, однако чаще ставится задача определить оптимальное число кластеров, с точки зрения того или иного критерия качества кластеризации. Кластеризация (обучение без учителя <#"783973.files/image003.gif">

Рис. 3 Пример дендрограммы

Числа 11, 10, 3 и т.д. соответствуют номерам объектов или наблюдений исходной выборки. Мы видим, что на первом шаге каждое наблюдение представляет один кластер (вертикальная линия), на втором шаге наблюдаем объединение таких наблюдений: 11 и 10; 3, 4 и 5; 8 и 9; 2 и 6. На втором шаге продолжается объединение в кластеры: наблюдения 11, 10, 3, 4, 5 и 7, 8, 9. Данный процесс продолжается до тех пор, пока все наблюдения не объединятся в один кластер.

К другому типу процедур кластеризации относятся неиерархические методы кластеризации. К данному типу относят, например, метод k-средних. Этот метод включает последовательный пороговый метод, параллельный пороговый метод и оптимизирующее распределение. В последовательном пороговом методе выбирают центр кластера и все объекты, находящиеся в пределах заданного от центра порогового значения, группируют вместе. Затем выбирают новый кластерный центр, и процесс повторяют для не сгруппированных точек. После того как объект помещен в кластер с этим новым центром, его уже не рассматривают как объект для дальнейшей кластеризации.

К этому же типу кластеризации относят самоорганизующиеся карты Кохонена. Сети, называемые картами Кохонена, - это одна из разновидностей нейронных сетей, однако они принципиально отличаются от рассмотренных выше методов, поскольку используют неконтролируемое обучение. При таком обучении обучающее множество состоит лишь из значений входных переменных, в процессе обучения нет сравнивания выходов нейронов с эталонными значениями. Можно сказать, что такая сеть учится понимать структуру данных. Самоорганизующиеся карты могут использоваться для решения таких задач, как моделирование, прогнозирование, поиск закономерностей в больших массивах данных, выявление наборов независимых признаков и сжатие информации.

В результате обучения карта Кохонена классифицирует входные примеры на кластеры (группы схожих примеров) и визуально отображает многомерные входные данные на плоскости нейронов. Уникальность метода самоорганизующихся карт состоит в преобразовании n-мерного пространства в двухмерное.

Неиерархические методы выявляют более высокую устойчивость по отношению к шумам и выбросам, некорректному выбору метрики, включению незначимых переменных в набор, участвующий в кластеризации. Ценой, которую приходится платить за эти достоинства метода, является слово "априори". Аналитик должен заранее определить количество кластеров, количество итераций или правило остановки, а также некоторые другие параметры кластеризации. Это сложно начинающим специалистам.

Если нет предположений относительно числа кластеров, рекомендуют использовать иерархические алгоритмы кластерного анализа. Однако если объем выборки не позволяет это сделать, возможный путь - проведение ряда экспериментов с различным количеством кластеров, например, начать разбиение совокупности данных с двух групп и, постепенно увеличивая их количество, сравнивать результаты. За счет такого "варьирования" результатов достигается достаточно большая гибкость кластеризации.

Иерархические методы, в отличие от неиерархических, отказываются от определения числа кластеров, а строят полное дерево вложенных кластеров. Сложности иерархических методов кластеризации: ограничение объема набора данных; выбор меры близости; негибкость полученных классификаций. Преимущество этой группы методов в сравнении с неиерархическими методами - возможность получить детальное представление о структуре данных.

Неиерархическая кластеризация быстрее иерархических методов, и ее выгодно использовать при большом числе объектов или наблюдений.

Кластерный анализ является очень удобным средством для выделения сегментов рынка, особенно в наш век высоких технологий, когда на помощь человеку приходят машины, и столь трудоемкий процесс становиться буквально секундным делом.

2.2 Нейронной сети. Сеть Кохонена

Однослойные искусственные нейронные сети

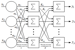
Рис.4. Однослойная нейронная сеть Y=XW.

Нейронная сеть состоит из множества одинаковых элементов - нейронов. Нейрон моделируется как устройство, имеющее несколько входов (дендриты) и 1 выход (аксион). Каждому выходу ставится в соответствие некоторый весовой коэффициент .

Внутри самого нейрона происходит взвешенное суммирование входных сигналов. Получаемые значение являются аргументом оптимизационной функции нейрона.

Простейшая нейронная сеть состоит из групп нейронов, которые образуют некоторый слой. Удобно считать веса w элементами некоторой матрицы w, которая имеет m строк и n столбцов. Т.о. выходом нейронной сети будет вектор y=w*x, где х - вектор входов, w - матрица, указывающая на возможные соединения.


Многослойные искусственные нейронные сети

Рис. 5. Многослойная нейронная сеть

Многослойная нейронная сеть: более крупные и сложные нейронные сети обладают и более мощными вычислительными возможностями. Нейрон передает свой выходной сигнал всем остальным, включая себя, копирует слоистые структуры мозга человека.

Многослойные сети могут привести к увеличению вычислительной мощности по отношению к однослойным сетям.

Вычисления выходного слоя заключаются в умножении входного вектора на первую весовую матрицу. Т.к. умножение матриц ассоциативно, то (в частности) двуслойная нейросеть будет эквивалентна однослойной. Любую многослойную сеть можно заменить эквивалентной однослойной, если функции линейны.

Будучи соединенными определенные обработанные нейроны обрабатывают нейронную сеть. Работа сети разделяется на обучение и адаптацию.

Обучение - процесс адаптации сети, предъявляемый эталонным образом путем модификации весовых коэффициентов между нейронами.

Основным преимуществом нейронных сетей является возможность выразить зависимость входа/выхода на этапе обучения без предварительной аналитической работы.

Недостатком нейронных сетей является то, что невозможно объяснить выходной результат.

Обучение искусственных нейронных сетей

Обучение. Чтобы для некоторого множества входов получить некоторые выходы, в процессе обучения веса становятся такими, чтобы каждый входной вектор вырабатывал нужный выходной вектор.

Обучение с учителем - аналог обучения нейронных сетей.

Обучение с учителем предполагает, что для каждого входного вектора существует целевой вектор, представляющий собой требуемый выход. Эти 2 вектора - обучающая пара. Векторы предъявляются последовательно, пока ошибка не будет на допустимо низком уровне.

Обучение без учителя. Не нуждается в целевом векторе и, следовательно, не требует сравнения с предопределяемыми идеальными ответами. Подстраивает веса в сети так, чтобы получились согласованные выходные векторы, т.е., чтобы при предъявлении достаточно близких входных векторов, система давала правильные ответы. Процесс обучения выделяет некоторые свойства обучающего множества и загружает векторы в классы. Если на вход предъявили вектор из данного класса, это даст определенный выходной вектор. Но до обучения невозможно предсказать, какой вектор будет производиться данным классом входных векторов.

Алгоритм обучения - такой набор формул, позволяющий по вектору ошибки вычислять требуемые поправки для весов сети.

Если выбрано множество примеров и способов вычисления ошибки, то обучение нейронной сети превращается в задачу многомерной оптимизации (имеющую большую размерность). Для решения этой задачи используются следующие алгоритмы:

) Алгоритм локальной оптимизации с вычислением частных производных 1-го порядка

) Алгоритмы локальной оптимизации с вычислением частичных производных 1-го и 2-го порядка (м-д Ньютона, м-д Гаусса и др.)

) Стохастические методы оптимизации (м-д Монте Карло, поезд в случае направлении и т.д.)

) Алгоритмы глобальной оптимизации (решается с помощью перебора значений переменных)

Классификация нейронных сетей и их свойства.

Как правило передаточные функции всех нейронов фиксированы, а веса являются параметрами сети и могут изменяться.

Подавая числа на входы сети, получаем некоторый набор чисел на выходах сети. В общем следующая работа сети состоит в преображении входящего потока х в выходящий вектор у; это преображение задается весами сети.

Считается, что практически любую задачу распознания можно свести к задаче, решаемой нейронной сетью.

В зависимости от функций, выполненных нейронами сети, можно выделить 3 их этапа:

. Входные нейроны (те, на которые подается входящий вектор или входящий сигнал, кодирующий образ внешней среды). Во входящем нейроне обычно никаких вычислений не происходит, просто информация передается со входа на выход, путем изменения его активации.

. Выходные нейроны (те, значения которых представляют выход сети).

. Промежуточные нейроны (составляют основу искусственных нейронных сетей).

Топология нейронных сетей

Классификация по топологии:

полносвязные сети;

многослойные, или слоистые сети;

слабосвязные сети (нейронные сети с локальными связями).

Полносвязные представляют собой искусственную нейронную сеть, каждый нейрон которой передает свой выходной сигнал остальным нейронам в т.ч. и сам себе, т.е. все выходные сигналы подаются всем нейронам. Выходными сигналами сети могут быть все или некоторый выходные сигналы нейронов после нескольких тактов работы сети.

Многослойные нейроны объединяются в слои. Слой содержит совокупность нейронов с едиными входящими сигналами. Число нейронов в каждом слое может быть любым и это никак не связано с количеством нейронов в других слоях. В общих слоях такая сеть состоит из Q-слоев. Слои нумеруются слева направо. 1-й слой нумеруется нулевым. Кроме входящих и выходящих слоев в многослойной нейронной сети есть 1 или несколько промежуточных (скрытых) слоев. Связи от выходов некоторого слоя q поступают на вход слоя (q+1) - эти связи называются последовательными.

В свою очередь среди слоистых сетей выделяют следующие типы:

. Монотонные.

. Сети без обратных связей.

. Сети с обратными связями.


) Монотонные сети.

Каждый слой, кроме последовательного выходного, разбит на 2 блока: возбуждающий (В) и тормозящий (Т). Связи между блоками тоже разделены на возбуждающие и тормозящие.

Если от блока А к блоку С идут только лишь возбуждающие связи, это означает, что любой выходящий сигнал блока С является монотонной неубывающей функцией блока А. Если, наоборот, эти связи только тормозящие, то любой сигнал блока С является невозрастающей функцией выходящего сигнала блока А.

) Сети без обратных связей.

Нейроны, входящие в слои получают входящие сигналы, преобразовывают их и передают сигналы нейронам 1-го скрытого слоя. Дальше срабатывают нейроны 1-го скрытого слоя, передают сигналы на 2-й скрытый слой и т.д. если не оговорено противное, то каждый выходной сигнал q-го слоя передается на любой нейрон (q+1)-слоя.

Однако, возможны варианты соединения q-слоя с (q+p)-слоем (p).

Одним из классических вариантов слоистых сетей является сети прямого распространения.

) Сети с обратной связью.

У них информация с последующих слоев можно передать на предыдущие.

Сети можно разделить по принципу структуры нейронов:

гомогенные (состоят из нейронов одного вида с единой функцией активации)

гетерогенные (могут входить нейроны с различными функциями активации)

Бывают:

бинарные сети (оперируют только лишь двоичными сигналами; выход каждого нейрона принимает только 2 значения: логичный 0 (заторможенное состояние) и логичный 1 (возбужденное состояние))

аналоговые сети

Сети:

асинхронные (в каждый момент t меняет свое состояние только лишь 1 нейрон)

синхронные (в каждый момент t состояние меняется у группы нейронов (всего слоя))

Существует также классификация по количеству слоев. Теоретически число слоев и число нейронов в каждом слое может быть произвольным количеством.

Чем сложнее нейронная сеть, тем масштабнее задачи, которые могут на ней решатся.

Теорема о полноте.

Любая непрерывная функция на замкнутом ограничении множестве может быть равномерно приближена функциями, вычисленными нейронными сетями.

Нейронные сети являют универсальными аппроксимирующими системами.

Сеть встречного распространения (сеть Кохонена)

В качестве меры близости двух векторов обычно выбирается евклидово расстояние:

(x,y)=S(xi-yi).

Сеть Кохонена (T.Kohonen) состоит из одного слоя нейронов. Число входов каждого нейрона n равно размерности вектора параметров объекта. Количество нейронов совпадает с требуемым числом классов, на которые нужно разбить объекты (меняя число нейронов, можно динамически менять число классов).

Новыми прототипами становятся центроиды векторов. В качестве меры близости выступает евклидово расстояние. Сеть Кохонена обучается без учителя на основе самоорганизации. По мере обучения векторы весов нейронов становятся прототипами классов. На этапе решения информационной задачи сеть относит предъявленный объект к 1 из классов.

Для каждого j-го нейрона (j=1,2,….,m)определяет расстояние от него до входного вектора Х:


Обучение начинается с задания небольшого случайного значения весовой матрицы W. В дальнейшем: процесс самоорганизации: модификация W при предъявлении входного вектора.

Выбирается нейрон с номером k, 1£k£m, для которого это расстояние минимально. На текущем шаге обучения N будут модифицироваться только веса нейронов из окрестности нейрона k:


Темп обучения aN с течением времени уменьшается (a0 =0,9, aN+1 = aN -0,001).

Первоначально в окрестности любого из нейронов находятся все нейроны сети, но с каждым шагом уменьшается. В конце подстраивается под вектор весов k.

Алгоритм обучения сети Кохонена

Шаг 1. Инициализация сети. Весовым коэффициентам сети wij, i=1,2…,n, j=1,2,…,m присваиваются малые случайные значения. Задаются значения a0 -начальный темп обучения и Do - максимальное расстояние между весовыми векторами (столбцами матрицы W).

Шаг 2. Предъявление сети нового входного сигнала X.

Шаг 3. Вычисление расстояния от входа X до всех нейронов сети:


Шаг 4. Выбор нейрона k, 1£k£m с наименьшим расстоянием dk.

Шаг 5. Настройка весов нейрона k и всех нейронов, находящихся от него на расстоянии, не превосходящем DN:


Шаг 6. Уменьшение значений aN, DN

Шаг 7. Шаги 2-6 повторяются до тех пор, пока веса не перестанут меняться (или пока суммарное изменение всех весов станет очень мало).


а также если после каждой итерации процесса обучения осуществлять нормировку весов каждого нейрона (столбцов матрицы W), то в качестве меры близости входных векторов и весовых векторов нейронов сети можно рассматривать скалярное произведение между ними.

3. Анализ деятельности коммерческих банков с помощью карт Кохонена

.1 Выбор и обоснование исходных данных

Показатели рентабельности характеризуют финансовые результаты и эффективность деятельности предприятия. Они измеряют доходность предприятия с различных позиций и группируются в соответствии с интересами участников экономического процесса, рыночного обмена. Показатели рентабельности являются важными характеристиками факторной среды формирования прибыли предприятий. Поэтому они обязательны при проведении сравнительного анализа и оценке финансового состояния предприятия.

Основные показатели рентабельности коммерческого банка можно объединить в следующие группы:

·        показатели рентабельности капитала (активов),

·        показатели рентабельности собственных средств;

·        показатели рентабельности заемных средств;

·        показатели рентабельности комиссионных операций;

Рентабельность активов (РА) - финансовый коэффициент, характеризующий отдачу от использования всех активов организации. Коэффициент показывает способность организации генерировать прибыль без учета структуры его капитала, качество управления активами. В отличие от показателя "рентабельность собственного капитала <#"783973.files/image014.gif">

Карта Кохонена состоит из ячеек прямоугольной или шестиугольной (рис. 6) формы.

Рис. 6. Шестиугольные ячейки сети Кохонена

Каждой ячейке соответствует нейрон сети Кохонена. Обучение нейронов производится точно так же, как и нейронов сети Кохонена. Объекты, векторы признаков которых близки, попадают в одну ячейку или в ячейки, расположенные вблизи. Следовательно, двумерная карта Кохонена отражает на плоскости близость многомерных векторов признаков. Ячейки, как уже было сказано, могут быть прямоугольными или шестиугольными. Шестиугольные ячейки более корректно отображают расстояние между объектами на карте, т. к. для этих ячеек расстояние между центрами смежных ячеек одинаковы (рис. 7).

Рис. 7. Шестиугольные и прямоугольные ячейки

Карта Кохонена отражает близость многомерных векторов признаков, то есть сходство объектов. Но обычно требуется анализировать, по каким конкретно параметрам проявляется сходство объектов. Для этого используется раскраска карт Кохонена. Для этого строится столько карт, сколько параметров анализируется. Каждая карта соответствует одному параметру объекта. Ячейки карты раскрашиваются в разные цвета (или оттенки серого цвета) в зависимости от значения параметров, соответствующих каждой ячейке. В каждую ячейку в общем случае попадает несколько объектов. Поэтому вычисляется или среднее значение параметра объектов каждой ячейки или минимальное или максимальное значение. Если в ячейку не попал ни один объект (ячейке соответствует мертвый нейрон), то в качестве значения ячейки берется вес нейрона, соответствующий рассматриваемому параметру. Выделяются диапазоны значений параметра. Каждому диапазону ставится в соответствие цвет (или оттенок серого), и ячейки карты "раскрашиваются" соответствующими цветами.

Проведем кластеризацию 18 ведущих банков РФ (2013 г.) по подобранным переменным. С помощью самоорганизующихся карт Кохонена можно посмотреть зависимости между различными показателями банков и выделить сегменты банков, объединив их по схожим признакам. Результаты отображаются на картах. Каждому показателю соответствует своя карта.

Исследуем фрагмент карты, состоящий из четырех входов, который приведен на рисунке:


На одной из карт выделяем область с наибольшими значениями показателя. Далее имеет смысл изучить эти же нейроны на других картах.

На первой карте наибольшие значения имеют объекты, расположенные в верхнем правом углу. Рассматривая одновременно все карты, мы можем сказать, что эти же объекты имеют наибольшие значения показателя, изображенного на второй и третьей картах. Можно сказать, что это банки преуспевающие и прибыльные. Также по раскраске этих карт можно сделать вывод, что существует взаимосвязь между этими показателями.


Также мы можем определить, например, такую характеристику: кластер, расположенный в верхнем левом углу, характеризуется низкими значениями показателей РА (рентабельность активов), РСС (рентабельность собственных средств), РЗС (рентабельность заемных средств) и РКО (рентабельность комиссионных операций)


Эта информация позволяет так охарактеризовать кластер: это банки с низкими показателями рентабельности, т.е. банки менее прибыльные по сравнению с остальными.

Здесь мы видим сформированные кластеры, каждый из которых выделен отдельным цветом.


К примеру, в один и тот же кластер (первый) были сгруппированы банки с средней рентабельностью активов и собственных средств, с низкой рентабельностью заемных средств и с более высоким доходом от комиссионных операций.


Рассмотрим теперь оставшиеся кластеры.

кластер характеризуется высокой рентабельностью активов, собственных и заемных средств, но низкими показателями рентабельности комиссионных операций.



кластер характеризуется высокими значениями по всем четырем показателям. В этом кластере находится всего один банк.


И, наконец, последний кластер-третий. В него входит наибольшее количество банков. В данный кластер входят банки с относительно высокой рентабельностью активов и собственных средств, но низкими значениями заемных средств и комиссионных операций.



В результате кластеризации банки со схожими характеристиками попали в один кластер, и поэтому для них можно применять одинаковые нормы и правила, позволяющие улучшить финансовое состояние нескольких банков сразу.

На мой взгляд, двумерное представление финансовой информации является более мощным средством, чем обычное одномерное ранжирование банков. Оно дает гораздо больше информации для финансовых аналитиков и облегчает выявление неравномерностей в больших массивах финансовых данных.

Как правило, надежность банка напрямую зависит от величины его активов. Справедливость этого тезиса доказывает хотя бы то, что из публикуемого далее рейтинга банков с самыми большими активами в России на февраль 2014 года, лишь считанные единицы не попали в прошлогодний рейтинг самых надежных банков <#"783973.files/image027.gif">В результате применения самоорганизующихся карт многомерное пространство входных факторов было представлено в двухмерном виде, в котором его достаточно удобно анализировать.

Банки были классифицированы на 18 групп, для каждой из которых возможно определение конкретных характеристик, исходя из раскраски соответствующих показателей.

Но нужно еще добавить, что после проведенного кластерного анализа, нет оснований считать, что полученное решение является адекватным. Результаты кластерного анализа обязательно требуют проверки с помощью формальных и неформальных методов.

Неформальная проверка результатов кластерного анализа включает в себя такие процедуры как

. анализ результатов кластеризации, полученных на определенных выборках набора данных;

. кросс-проверка;

. проведение кластеризации при изменении порядка наблюдений в наборе данных;

. проведение кластеризации при удалении некоторых наблюдений;

. проведение кластеризации на небольших выборках;

Один из вариантов проверки качества кластеризации - использование нескольких методов и сравнение полученных результатов. Отсутствие подобия не будет означать некорректность результатов, но присутствие похожих групп считается признаком качественной кластеризации.

В этой главе мы рассмотрели такую парадигму нейронных сетей как карты Кохонена. Основное отличие этих сетей от других моделей состоит в наглядности и удобстве использования. Эти сети позволяют упростить многомерную структуру, их можно считать одним из методов проецирования многомерного пространства в пространство с более низкой размерностью. Интенсивность цвета в определенной точке карты определяется данными, которые туда попали: ячейки с минимальными значениями изображаются темно-синим цветом, ячейки с максимальными значениями - красным.

Другое принципиальное отличие карт Кохонена от других моделей нейронных сетей - иной подход к обучению, а именно - неуправляемое или неконтролируемое обучение. Этот тип обучения позволяет данным обучающей выборки содержать значения только входных переменных. Сеть Кохонена учится понимать саму структуру данных и решает задачи кластеризации.

Заключение

Наступивший XXI век стал этапным для проникновения новых информационных технологий и создаваемых на их основе высокопроизводительных компьютерных систем во все сферы человеческой деятельности - управление, производство, науку, образование и т.д.

Кластерный анализ параллельно развивался в нескольких направлениях, таких как биология, психология, др., поэтому у большинства методов существует по два и более названий. Это существенно затрудняет работу при использовании кластерного анализа. Кластеризация служит для объединения больших объемов данных в группы (кластеры), которые характеризуются тем, что элементы внутри каждой группы имеют больше «сходства» между собой, чем между элементами соседних кластеров. В целом, все методы кластеризации можно подразделить на иерархические и неиерархические. Последние чаще всего используются при анализе больших объемов данных, т.к. они обладают большей скоростью.

Кластерный анализ не накладывает ограничения на представление исследуемых объектов, позволяет анализировать показатели различных типов данных (интервальным данным, частотам, бинарным данным). При этом нужно помнить, что переменные должны измеряться в сравнимых шкалах.

В ходе дипломной работы мною были рассмотрены методы кластерного анализа, их виды, подробно был рассмотрен метод кластерного анализа-самоорганизующиеся карты Кохонена.

Итогом проделанной работы стали следующие выводы и практические результаты:

§  Задача кластеризации состоит в разделении исследуемого множества объектов на группы похожих объектов, называемых кластерами;

§  Для определения «похожести» объектов вводится мера близости, называемая расстоянием;

§  Результаты кластеризации могут быть представлены разными способами;

§  Базовые методы кластеризации делятся на иерархические и неиерархические;

Кластерный анализ - один из наиболее интересных и действенных способов обработки информации.

Список использованной литературы

1.      О кредитных ситуациях (Текст.: федер. закон от 30.12.2004 грам. № 218-ФЗ // Подрастал. газ.-2005.-№2.)

2.      Банковское дело. Под ред. Лаврушина О.И., М.: Финансы и статистика, 2003. с. 251.

3.      Адамова, К.Р. Финансовый сектор РФ в 2001-2002 гг. // Бизнес и банки. 2002.-№36.

4.      Гражданский кодекс РФ (часть 3-я) от 26.11.2001 грам. [принят ГД ФС РФ 01.11.2001 г.: ред. от 03.06.2006 г.].

5.      А.И. Галушкин.Нейронные сети. Основы теории 2010.

6.      Введение в искусственные нейронные сети Анил К. Джейн, Жианчанг Мао, К.М. Моиуддин.

7.      Нейронные сети: обучение, организация и применение В.А.Головко

8.      Интеллектуальные технологии управления. Искусственные нейронные сети и нечеткая логика Усков А.А., Кузьмин А.В.

9.      Гаскаров Д.В. Интеллектуальные информационные системы. Учеб. для вузов. - М.: Высш. шк., 2003.

10.    Н. Нильсон. Искусственный интеллект. Методы поиска решений. М.: Мир, 1973.

11.    Воронцов, И. Банковская система на шаге финансового подъема Текст. / И Воронцов // Банковское дело. 2002. -№11

12.    Работа банков Текст. : учеб. пособие / под ред. проф., д-ра экон. наук А.В. Калтырина. Ростов на дону н/Д: Феникс, 2004

13.    Калтырин, A.B. Трудности и возможности становления банковского системы Текст. / A.B. Калтырин. Подъемов н/Д: Изд-во СКНЦ ВІД 2000

14.    Ключников, М.В. Отечественные банки как отражение крупных банковских систем Текст. / М.В. Ключников // Деньги и кредит. 2003. - № 7

15.    Лаврушин, ОМ. Трудности изменения банковской системы Рф Текст. / О.И. Лаврушин // Бизнес и банки. 2001. - № 1-2

16.    http://www.basegroup.ru/library/methodology/data_mining/

17.    http://www.basegroup.ru/download/movies/edu/edu_som/

18.    И.А. Чубукова. Лекция: Методы кластерного анализа. Итеративные методы.

19.    Мандель И.Д. Кластерный анализ.- М.: Финансы и статистика. 1988. - 176 с.

20.    Алгоритмы кластеризации на службе Data Mining- (http://www.basegroup.ru/library/analysis/clusterization/datamining).

21.    Нейронная сеть Кохонена (<http://ru.wikipedia.org/wiki/Нейронная_сеть_Кохонена>).

22.    Самоорганизующиеся карты Кохонена - математический аппарат - (http://www.basegroup.ru/library/analysis/clusterization/som).

Похожие работы на - Методы исследования рынка кредитования

 

Не нашли материал для своей работы?
Поможем написать уникальную работу
Без плагиата!
Без нейросетей!