Инвестиционная деятельность коммерческих банков на рынке ценных бумаг

  • Вид работы:
    Дипломная (ВКР)
  • Предмет:
    Банковское дело
  • Язык:
    Русский
    ,
    Формат файла:
    MS Word
    549,39 Кб
  • Опубликовано:
    2014-10-08
Вы можете узнать стоимость помощи в написании студенческой работы.
Помощь в написании работы, которую точно примут!

Инвестиционная деятельность коммерческих банков на рынке ценных бумаг

МИНИСТЕРСТВО ОБРАЗОВАНИЯ И НАУКИ РОССИЙСКОЙ ФЕДЕРАЦИИ

Федеральное государственное бюджетное образовательное учреждение

высшего профессионального образования

«Уральский государственный экономический университет»








БАКАЛАВРСКАЯ РАБОТА

Тема: «Инвестиционная деятельность коммерческих банков на рынке ценных бумаг»


Выполнила:

Мальцева Я.А.





Екатеринбург, 2014

Содержание

Введение

Глава 1. Российский рынок ценных бумаг

.1 Общая характеристика рынка ценных бумаг

.2 Участники рынка ценных бумаг

.3 Регулирование РЦБ

Глава 2. Деятельность коммерческих банков на рынке ценных бумаг

.1 Коммерческий банк как инвестор

.2 Основные принципы формирования портфеля инвестиций

.3 Управление портфелем инвестиций

Глава 3. Анализ деятельности Сбербанка на рынке ценных бумаг

.1 Деятельность Сбербанка на фондовом рынке

.2 Методика определения стоимости пакета акций

.3 Вексельный кредит инвесторам

Заключение

Список используемых источников и литература

Приложение

Введение

Многие коммерческие банки в настоящее время имеют достаточно большой объем свободных средств, которые возможно как инвестировать в различные виды деятельности, так и направить на приобретение ценных бумаг. При осуществлении инвестирования в ценные бумаги банк, как и любой другой инвестор, сталкивается с различными целями инвестирования.

Именно портфель ценных бумаг является тем инструментом, с помощью которого может быть достигнуто требуемое соотношение всех инвестиционных целей, которое недостижимо с позиции отдельно взятой ценной бумаги, и возможно только при их комбинации.

Операции с ценными бумагами - составная часть рыночной экономики. Глобализация экономики разных стран неизбежно приводит к изменению методов хозяйственной деятельности банка. Деятельность любого банка ориентирована на получение определенных результатов. В результате глобальных воздействий на национальную экономику устанавливаются новые экономические принципы сотрудничества с крупными организациями финансово-банковских групп во главе с коммерческими банками, концентрирующими вокруг себя относительно самостоятельное структурное подразделение инвестиционные фонды, брокерские и консультационные фирмы.

В условиях рыночной экономики залогом выживания коммерческого банка является его конкурентоспособность. В связи с этим коммерческие банки активизируются на фондовом рынке путем создания всевозможных дочерних финансовых копаний и непосредственно участвуя в деятельности брокерских фирм.

Весь спектр котируемых на фондовом рынке финансовых инструментов определяется следующими тремя основными видами:

государственные (муниципальные, федеральные) облигации;

акции предприятий;

деривативные (производственные ценные бумаги).

Поэтому рынок ценных бумаг дополняет систему банковского кредита и взаимодействует с ней. Выпуская ценные бумаги, предприятие может получить финансовые средства на длительный период времени на несколько десятилетий (облигации) или вообще в бессрочное пользование (акции).

Коммерческие банки могут выступать в качестве эмитентов выпуская ценные бумаги, тех, кто желает вложить свои средства в финансирование инвестиционных проектов (инвесторов, владельцев), и в роли профессиональных участников рынка ценных бумаг, осуществляя брокерскую, дилерскую, депозитарную и доверительную деятельность.

Актуальность дипломной работы в том, что инвестиционные портфели активов выполняют ряд важнейших функций, обеспечивая банкам доходность, ликвидность и диверсификацию с целью снижения риска, а также выводя часть доходов банка из-под налогообложения. Такие вложения стабилизируют доходы банка, обеспечивая дополнительные поступления в то время, когда остальные их источники почти истощены.

Основная цель данной дипломной работы - изучить особенности организации инвестиционного процесса отечественными коммерческими банками.

Поставленная цель дипломной работы определила необходимость решения взаимосвязанных задач:

изучить теоретические предпосылки организации инвестиционного процесса коммерческими банками;

исследовать особенности наработки инвестиционной политики коммерческого банка;

проанализировать практические особенности организации инвестиционного процесса действующим отечественным коммерческим банком.

Предметом дипломной работы являются экономические процессы возникающие при проведения коммерческим банком инвестиционного процесса.

В качестве объекта дипломной работы выступает инвестиционная деятельность ОАО "Сбербанк России".

Дипломная работа состоит из вступления, основной части и заключения. Во вступлении обосновывается актуальность темы дипломной работы, определяются цель, задачи, предмет и объект исследования. В основной части анализируется поставленная проблема. В заключении сформулированы основные результаты дипломного исследования.

Информационной базой дипломной работы явились труды российских и зарубежных экономистов в области банковского дела, страхового дела, экономики и статистики; учебные пособия; нормативно-правовые акты и законы, регулирующие рынок ценных бумаг; официальные данные Центрального банка России о инвестиционной и эмиссионной деятельности коммерческих банков в Российской Федерации за 2011-2014 гг. Кроме того, в работе также применялись различные программные продукты, которые в настоящее время широко используются в банковских подразделениях, прямо или косвенно связанных с аналитической работой, а именно, "Excel", "Word" и др.

В дипломной работе использовались экономические и финансовые методы анализа, такие как, графический метод, табличный, индексный анализ, анализ структуры и динамики.

Структура дипломной работы состоит из введения, 3-х глав, заключения и приложений.

Глава 1. Российский рынок ценных бумаг

.1 Общая характеристика рынка ценных бумаг

Рынок ценных бумаг (фондовый рынок) - это составная часть финансового рынка. На фондовом рынке осуществляется обращение специфических финансовых инструментов - ценных бумаг. [15, с. 89]. Целью рынка ценных бумаг является аккумуляция временно свободных денежных средств хозяйствующих субъектов и обеспечение возможности их перераспределения путем совершения различных операций с ценными бумагами между участниками рынка.

Рынок ценных бумаг выполняет следующие задачи:

мобилизация временно свободных денежных средств для осуществления инвестиционной деятельности;

формирование соответствующих объектов рыночной инфраструктуры;

уменьшение инвестиционного риска;

формирование портфельных инвестиций;

развитие вторичного рынка ценных бумаг;

развитие инструментов ценообразования;

прогнозирование перспективных направлений экономического развития на основе анализа динамики продажной стоимости ценных бумаг;

совершенствование рыночного механизма.

Рынок ценных бумаг имеет целый ряд функций, которые условно можно разделить на две группы: общерыночные функции, присущие обычно каждому рынку, и специфические функции, которые отличают его от других рынков.

К общерыночным функциям относятся такие, как:

коммерческая функция, т.е. получение прибыли от операций на данном рынке;

ценообразующая функция, т.е. рынок обеспечивает процесс складывания рыночных цен, их постоянное движение, прогнозирование и т.д.;

информационная функция, т.е. рынок производит и доводит до своих участников рыночную информацию об объектах торговли и ее участниках;

регулирующая функция, т.е. рынок создает правила торговли и участия в ней, порядок разрешения споров между участниками, устанавливает приоритеты, органы контроля или даже управления и т.д.

Рынок ценных бумаг как финансовый рынок со своими особыми инструментами и правилами имеет две основные специфические функции: перераспределение денежных средств от владельцев пассивного капитала к владельцам активного капитала и перераспределение рисков между владельцами любых рыночных активов. И та и другая функции осуществляются в строго заданных временных рамках.

Функция перераспределения денежных средств, осуществляемая посредством выпуска и обращения ценных бумаг, означает перераспределение средств между отраслями и сферами деятельности; между территориями и странами; между населением и предприятиями, т.е. когда сбережения граждан принимают производительную форму; между государством и другими юридическими и физическими лицами, что имеет место, например, в случае финансирования дефицита государственного бюджета на неинфляционной основе.

Итак, перераспределительная функция условно может быть разбита на три подфункции:

перераспределение денежных средств между отраслями и сферами рыночной деятельности;

перевод сбережений, прежде всего населения, из непроизводительной формы в производительную;

финансирование дефицита государственного бюджета на неинфляционной основе, т.е. без выпуска в обращение дополнительных денежных средств.

Функция перераспределения рисков - это использование инструментов рынка ценных бумаг (прежде всего в сочетании с производными инструментами) для защиты владельцев каких-либо активов (товарных, валютных, финансовых) от неблагоприятного для них изменения цен, стоимости или доходности этих активов. Данную функцию можно было бы так и называть - функция защиты (страхования) от риска, или, точнее, функция хеджирования. С помощью рынка ценных бумаг можно попытаться переложить риск на спекулянта, желающего рискнуть. Следовательно, сутью хеджирования на рынке ценных бумаг является перераспределение рисков.

Существуют следующие основные группы участников рынка ценных бумаг в зависимости от их функционального назначения:

) Продавцы - это эмитенты и владельцы ценных бумаг (государство, коммерческие предприятия и организации).

) Инвесторы - это те, кто вкладывают ("инвестируют") свой реальный капитал в ценные бумаги (население, а также коммерческие организации, заинтересованные в увеличении (приросте) свободных денежных средств).

) Фондовые посредники - это торговцы, обеспечивающие связь между эмитентами и инвесторами на рынке ценных бумаг. Это организации, которые осуществляют на рынке ценных бумаг брокерскую или дилерскую деятельность, или деятельность по управлению ценными бумагами.

) Организации, обслуживающие рынок ценных бумаг - это организации, выполняющие все другие функции на рынке ценных бумаг, кроме функции купли-продажи этих ценных бумаг. Они могут включать:

организаторов рынка ценных бумаг (фондовые биржи или небиржевые организаторы рынка);

расчетные центры (расчетные палаты, клиринговые центры);

депозитарии;

регистраторов;

информационные агентства и другие организации, оказывающие услуги участникам рынка.

) Государственные органы регулирования и контроля рынка ценных бумаг в Российской Федерации включают:

высшие органы управления (Президент, Правительство); [1, с. 9].

министерства и ведомства (Министерство финансов Российской Федерации, Комиссия по ценным бумагам при Правительстве Российской Федерации и др.);

Центральный банк Российской Федерации.

Основной мотив, который движет эмитента, - это привлечь капитал (денежные ресурсы). Кроме того, продажа ценных бумаг дает возможность реконструировать собственность, например, государственную в акционерную путем приватизации. Путем выпуска ценных бумаг можно улучшить финансовое планирование или управление финансовыми потоками, сделать более мобильными или ликвидными имеющиеся активы компании и т.п.

На другой стороне рынка - инвестор, покупатель ценных бумаг, основная цель которого - заставить свои средства работать и приносить доход. Кроме того, он может быть заинтересован в получении прав, гарантированных той или иной ценной бумагой (например, права голоса). Аналогично эмитенту инвестор приобретает ценные бумаги и для хеджирования, и для управления ликвидностью и т.д.

Рассмотренная классификация участников рынка ценных бумаг является специфической, т.е. присущей только данному рынку.

К обращению на фондовом рынке России допущены следующие виды ценных бумаг: государственные облигации, облигации, вексель, чек, депозитный и сберегательный сертификаты, банковская сберегательная книжка на предъявителя, простое и двойное складское свидетельство (и каждая его часть), коносамент, акция и приватизационные ценные бумаги, жилищные сертификаты. [25, с. 95].

Рынок ценных бумаг - это многосложная структура, поэтому он может быть классифицирован по большому числу признаков, каждый из которых характеризует его с той или иной стороны, или с точки зрения разных отношений, имеющих на нем место.

В зависимости от стадии кругооборота ценной бумаги различают первичные и вторичные рынки. Первичный рынок - это рынок, обеспечивающий выпуск ценной бумаги в обращение, это ее первое появление на рынке, так сказать, стадия "производства" ценной бумаги. Результатом всех процессов, обеспечивающих выпуск ценной бумаги, должно стать приобретение их первыми владельцами.

Вторичный рынок - купля-продажа ценных бумаг в форме обращения (перехода прав собственности на ценные бумаги), это рынок, на котором обращаются ранее выпущенные ценные бумаги. Это совокупность любых операций с данными бумагами, в результате которых осуществляется постоянный переход прав собственности на них от одного владельца к другому.

По виду ценных бумаг данный рынок подразделяется на относительно самостоятельные рынки каждой отдельной ценной бумаги: рынки акций, облигаций, векселей и т.п. В этом случае под рынком подразумевается как бы само наличие в рыночной практике соответствующей ценной бумаги, выполняющей присущие ей функции, а вовсе не обязательно наличие рынка как сферы торговли конкретной ценной бумагой.

В зависимости от вида эмитента рынок ценных бумаг подразделяется на рынки государственных и корпоративных (негосударственных) ценных бумаг.

Государственные ценные бумаги - это ценные бумаги, эмитентом которых является государство в лице соответствующих органов государственной исполнительной власти. В свою очередь, рынок государственных ценных бумаг в нашей стране делится на рынок федеральных ценных бумаг, рынок ценных бумаг субъектов Федерации и рынок муниципальных ценных бумаг.

Рынок корпоративных ценных бумаг - это рынок ценных бумаг, выпускаемых коммерческими организациями (корпорациями).

Отраслевой рынок ценных бумаг - это рынок всех видов ценных бумаг, которые выпущены коммерческими структурами данной отрасли. Например, рынок ценных бумаг металлургических компаний или нефтяных компаний и т.д.

.2 Участники рынка ценных бумаг

Согласно статье 143 Гражданского кодекса РФ к ценным бумагам относятся: государственная облигация, облигация, вексель, чек, депозитный и сберегательный сертификаты, банковская сберегательная книжка на предъявителя, коносамент, акция, приватизационные ценные бумаги и другие документы, которые законами о ценных бумагах или в установленном ими порядке отнесены к числу ценных бумаг. [4, с. 665].

Ценная бумага обладает определенным набором характеристик, по которым и производится следующая классификация:

. По характеру возникающих в связи с выпуском отношений - долевые (акции) и долговые (облигации, векселя, депозитарные и сберегательные сертификаты, чеки, банковские книжки на предъявителя).

Акция - эмиссионная ценная бумага, закрепляющая права ее владельца, (акционера) на получение части прибыли акционерного общества в виде дивидендов, на участие в управлении акционерным обществом и на часть имущества, остающегося после его ликвидации.

Облигация - эмиссионная ценная бумага, закрепляющая право ее владельца на получение от эмитента облигации в предусмотренный в ней срок ее номинальной стоимости или иного имущественного эквивалента. Облигация также может предусматривать право ее владельца на получение фиксированного в ней процента от номинальной стоимости облигации либо иные имущественные права.

Вексель - ценная бумага, удостоверяющая право ее владельца на получение указанной суммы денег по наступлении предусмотренного векселем срока.

Сберегательный (депозитный) сертификат является ценной бумагой, удостоверяющей сумму вклада, внесенного в банк, и право вкладчика (держателя сертификата) на получение по истечении установленного срока суммы вклада и обусловленных в сертификате процентов в банке, или в любом филиале этого банка.

Чеком признается ценная бумага, содержащая ничем не обусловленное распоряжение чекодателя банку произвести платеж указанной в нем суммы чекодержателю.

По форме размещения - эмиссионные и неэмиссионные.

Федеральный закон РФ "О рынке ценных бумаг" дает следующее определение эмиссионной ценной бумаги:

Эмиссионная ценная бумага - любая ценная бумага, в том числе бездокументарная, которая характеризуется одновременно следующими признакам:

закрепляет совокупность имущественных и неимущественных прав, подлежащих удостоверению, уступке и безусловному осуществлению с соблюдением установленным Федеральным законом формы и порядка;

размещается выпусками

Имеет равные объем и сроки осуществления прав внутри одного выпуска вне зависимости от времени приобретения ценной бумаги.

. По способу удостоверения прав владельца ценной бумаги - именные, ордерные и на предъявителя.

Инвестор - физическое или юридическое лицо, приобретающее ценные бумаги от своего имени и за свой счет и получающее на них право собственности.

Инвестиционный институт - юридическое лицо, созданное в любой предусмотренной законодательством форме.

Профессиональные участники рынка ценных бумаг - юридические лица, в том числе и кредитные организации, а также граждане (физические лица), зарегистрированные в качестве предпринимателей, которые осуществляют следующие виды деятельности:

брокерская деятельность;

дилерская деятельность;

клиринговая деятельность;

депозитарная деятельность;

регистратор (реестродержатель);

организатор торговли;

деятельность по управлению ценными бумагами.

Приложение 1.

Брокер - это самый главный посредник на рынке ценных бумаг. Он осуществляет связь или обеспечивает большую часть всех отношений многочисленных частных клиентов (инвесторов) с рынком и другими его профессиональными участниками. Именно брокер оказывает всевозможные услуги клиентам рынка, полный перечень которых вряд ли можно привести, так как он часто определяется индивидуальными потребностями каждого конкретного клиента (инвестора).

Брокерской деятельностью является совершение операций с ценными бумагами в интересах клиента по договору поручения или договору комиссии. Операции по купле-продаже ценных бумаг для своих клиентов банк может совершать как на бирже, так и на внебиржевом рынке. Выполняя поручение клиента, банк может удовлетворить его заявку на покупку ценных бумаг за счет собственного портфеля ценных бумаг. В другом случае, исполняя заявку на продажу клиентом ценных бумаг, банк может приобрести предлагаемые ценные бумаги для собственного портфеля. [5, с. 62].

Современные российские банки, как правило, предлагают своим клиентам индивидуальный подбор схем брокерского обслуживания, учитывающих уровень подготовки клиента к взаимодействию с банком. К ним относится, в частности, программа "Эксперт", адресованная клиентам банка, хорошо ориентирующимся в работе рынка ценных бумаг и способным самостоятельно принимать инвестиционные решения.

Программа "VIP" предполагает обслуживание клиента персональным менеджером банка, который будет наблюдать за состоянием портфеля ценных бумаг клиента, оказывать помощь в выработке эффективной стратегии инвестирования с учетом приемлемого для клиента соотношения риск / доходность. Банки брокеры в процессе взаимодействия с клиентом предоставляют также услуги Интернет-трейдинга, который удобен для клиентов активно работающих на фондовом рынке.

Банк-брокер предлагает клиентам следующие виды услуг: Основные услуги:

совершение сделок с ценными бумагами по поручению клиента;

совершение маржинальных сделок;

хранение и учет денежных средств клиентов, предназначенных для инвестирования в ценные бумаги или полученные от продажи ценных бумаг;

совершение сделок с производными инструментами (фьючерсами, опционами);

предоставление услуги в Электронной системе (Интернет-трейдинг);

совершение сделок РЕПО.

Банк осуществляет брокерскую деятельность по поручению и за счет клиента на основе договора об оказании брокерских услуг.

По договору поручения банк-брокер действует в качестве поверенного, т.е. он заключает сделку от имени клиента и за его счет. В данном случае главная задача банка-брокера - на рынке найти для клиента ценные бумаги, которые его устраивали бы по цене, или продать по поручению клиента принадлежащие ему бумаги по указанной цене.

Банк-брокер на основании договора поручения оказывает клиенту услуги по покупке ценных бумаг. Найдя на рынке бумаги, которые нужны клиенту, банк-брокер от имени клиента заключает договор с владельцем ценных бумаг, который поставляет ценные бумаги, а клиент со своего счета оплачивает их приобретение. За свои услуги банк-брокер получает комиссионное вознаграждение. Если клиент дает поручение продать ценные бумаги, то сделка совершается по такой же схеме, только клиент поставляет ценные бумаги покупателю, а последний осуществляет их оплату.

Дилерской деятельностью является деятельность по купле-продаже ценных бумаг юридическим лицом от своего имени и за свой счет путем публичного объявления цен покупки или продажи с обязательством исполнения сделок по этим ценным бумагам по объявленным ценам. Дилером по российскому законодательству может быть только юридическое лицо.

Простую куплю-продажу ценных бумаг за свой счет, т.е. в собственных интересах, а не только в интересах клиентов, могут осуществлять и другие профессиональные участники рынка ценных бумаг, которым такое право предоставлено, например брокеры. Но чтобы выставлять публичные котировки на покупку и продажу какого-то круга ценных бумаг, необходимо получить статус дилера на рынке ценных бумаг.

Следовательно, необходимо различать, во-первых, дилерскую деятельность как профессиональную деятельность на рынке ценных бумаг; во-вторых, дилерскую деятельность как торговую деятельность, осуществляемую за счет своих средств.

Дилерская деятельность представляет собой дальнейшее развитие брокерской деятельности в направлении усиления роли торгового посредника на рынке. К его важнейшим функциям относятся:

функции, которые выполняет брокер на рынке ценных бумаг, включая функции финансового консультанта;

организация и поддержание оборота (ликвидности) рынка определенных ценных бумаг (маркет-мейкерство).

На дилера возлагается выполнение важнейшей функции - поддержание фондового рынка. Принимая на себя обязательства по котировке ценных бумаг, дилеры формируют уровень цен на организованном фондовом рынке, поддерживая его ликвидность. Эти цены подлежат публичной котировке, т.е. они объявляются на бирже или в системе внебиржевой торговли и доступны не только дилерам, но и широкому кругу инвесторов. Такого дилера принято называть маркет-мейкером. Объявляя публичные котировки, дилер может сообщить и другие существенные условия, необходимые для заключения договора купли-продажи: количество покупаемых (продаваемых) ценных бумаг, срок действия объявленных цен и др. Участник рынка, зная условия совершения сделки, оценивает их и, если они его устраивают, заключает сделку с дилером на предложенных условиях. Дилер обязан эту сделку исполнить.

Осуществляя котировки ценных бумаг, дилер, как правило, обладает информацией о финансовом состоянии эмитента. Однако эта информация не всегда доступна широкому кругу участников рынка. На дилера возлагается обязанность раскрывать информацию об эмитенте и консультировать клиентов по вопросам приобретения тех или иных ценных бумаг.

Дилерская деятельность подлежит лицензированию. Для обеспечения гарантий исполнения сделок дилер должен обладать достаточным собственным капиталом. Поэтому для получения лицензии законодательство устанавливает требования к минимальной величине собственного капитала компании, которая ведет дилерскую деятельность, согласно Приказу ФСФР России от 24.05.2011 № 11-23/пз-н (ред. от 24.05.2011) "Об утверждении нормативов достаточности собственных средств профессиональных участников рынка ценных бумаг, а также управляющих компаний инвестиционных фондов, паевых инвестиционных фондов и негосударственных пенсионных фондов". [6, с.18] Дилер имеет право совмещать свою деятельность с брокерской деятельностью, депозитарной деятельностью и доверительным управлением.

Дилер обязан:

действовать исключительно в интересах клиентов;

обеспечивать своим клиентам наилучшие условия исполнения сделок;

доводить до клиентов всю необходимую информацию о состоянии рынка, эмитентов, ценах спроса и предложения, рисках и др.;

не допускать манипулирования ценами и понуждения к совершению сделки путем предоставления умышленно искаженной информации об эмитентах, ценных бумагах, динамике изменения цен и др.;

совершать сделки по купле-продаже ценных бумаг по поручению клиентов в первоочередном порядке по отношению к дилерским операциям, если дилер совмещает свою деятельность с брокерской деятельностью.

Дилерами на рынке обычно выступают крупные банки и компании, располагающие солидным собственным капиталом, без которого просто невозможно поддержание рынка ценной бумаги в "рабочем" состоянии.

Банк-дилер принимает от инвесторов поручения на покупку или продажу ГКО путем заключения с последним договора комиссии и выполняет поручения только после депонирования у себя соответствующих средств инвестора.

Клиринговая организация - это профессиональный участник рынка ценных бумаг, занимающийся определением взаимных обязательств (сбор, сверка, корректировка информации по сделкам и подготовка бухгалтерских документов по ним) и их зачету по поставкам ценных бумаг и расчетам по ним.

Депозитарий - это юридическое лицо, занимающийся оказанием услуг по хранению сертификатов ценных бумаг и (или) учету и переходу прав на ценные бумаги.

Регистратор (реестродержатель) - это юридическое лицо, занимающееся сбором, фиксацией, обработкой, хранением и предоставлением данных, составляющих систему ведения реестра владельцев ценных бумаг. Держателем реестра может быть эмитент или профессиональный участник, на основании поручении эмитента.

Организатор торговли на рынке ценных бумаг - это профессиональный участник рынка ценных бумаг, занимающийся предоставлением услуг, непосредственно способствующих заключению гражданско-правовых сделок с ценными бумагами между участниками рынка ценных бумаг.

.3 Регулирование рынка ценных бумаг

Регулирование рынка ценных бумаг охватывает:

государственное регулирование;

регулирование со стороны профессиональных участников рынка ценных бумаг, или саморегулирование рынка.

Государство может передать часть своих функций по регулированию уполномоченным или отобранным им организациям профессиональных участников рынка ценных бумаг; последние также могут договориться о том, что созданная ими организация получает некие права регулирования по отношению ко всем участникам данной организации:

общественное регулирование, или регулирование через общественное мнение. В конечном счете, именно реакция широких слоев общества в целом на какие-то действия на рынке ценных бумаг является первопричиной тех или иных регулятивных действий государства или профессионалов рынка.

Регулирование рынка ценных бумаг нацелено на:

поддержание порядка на рынке, создание нормальных условий для работы всех участников рынка;

защиту участников рынка от недобросовестности и мошенничества отдельных лиц или организаций, от преступных организаций;

обеспечение свободного и открытого процесса ценообразования на ценные бумаги на основе спроса и предложения;

создание эффективного рынка, на котором всегда имеются стимулы для предпринимательской деятельности, а каждый риск адекватно вознаграждается;

формирование (в определенных случаях) новых рынков, поддержку необходимых обществу рынков и рыночных структур, рыночных начинаний и нововведений;

достижение каких-либо общественных результатов (например, повышение темпов роста экономики, снижение уровня безработицы и т.д.).

Процесс регулирования на рынке ценных бумаг включает в себя:

создание нормативной базы функционирования рынка - разработку законов, постановлений, инструкций, правил, методических положений и других нормативных актов, которые ставят функционирование рынка на общепризнанную и всеми соблюдаемую основу;

отбор профессиональных участников рынка, соответствующих определенным требованиям по знаниям, опыту и капиталу;

контроль за выполнением всеми участниками рынка норм и правил функционирования рынка;

систему санкций за отклонение от норм и правил, установленных на рынке.

Принципы регулирования российского рынка ценных бумаг зависят от существующих в стране политических и экономических условий и при этом отражают проверенную временем историческую практику мирового рынка ценных бумаг.

Государство на российском рынке ценных бумаг выступает в качестве:

инвестора - при управлении крупными портфелями акций промышленных предприятий;

эмитента - при выпуске государственных ценных бумаг;

профессионального участника - при торговле акциями в ходе приватизационных аукционов;

регулятора - при написании законов и подзаконных актов;

верховного арбитра в спорах между участниками рынка - через систему судебных органов.

Государственное регулирование рынка ценных бумаг - это регулирование данного рынка со стороны органов государственной власти.

Система государственного регулирования рынка включает:

государственные и иные нормативные акты;

государственные органы регулирования и контроля.

Государственное управление рынком имеет следующие формы: прямое (административное) управление и косвенное (экономическое) управление.

Прямое, или административное, - это государственное регулирование рынка, основанное на юридических нормах, на праве.

Оно включает:

нормативно-законодательную деятельность;

регистрационную деятельность (ведение реестров юридических объектов - юридических и физических лиц, ценных бумаг и др.);

разрешительную деятельность (лицензирование, аттестацию);

обеспечения гласности и равной информированности всех участников рынка;

поддержания правопорядка на рынке.

Регулирование рынка ценных бумаг по преимуществу является административным, т.е. осуществляется с помощью правовой базы, а не каких-то экономических рычагов.

К основным государственным органам, регулирующим рынок ценных бумаг в России относятся:

государственные органы исполнительной власти;

саморегулируемые организации профессиональных участников рынка ценных бумаг;

общественные организации, отстаивающие интересы владельцев ценных бумаг.

Рис. 1. Органы регулирования рынка ценных бумаг

Федеральный орган исполнительной власти по рынку ценных бумаг - это государственная организация, призванная проводить государственную политику в области рынка ценных бумаг, контролировать деятельность профессиональных участников данного рынка путем определения порядка их деятельности и устанавливать стандарты эмиссии ценных бумаг. Рис. 1.

В настоящее время такой орган регулирования российского рынка ценных бумаг не существует в качестве самостоятельного (обособленного) подразделения государственной исполнительной власти, а все его функции и полномочия сосредоточены в Федеральной службе по финансовым рынкам (ФСФР).

Полномочия федерального органа исполнительной власти по рынку ценных бумаг, а потому и ФСФР, не распространяется на эмиссию долговых обязательств федерального правительства и ценных бумаг субъектов РФ. Поэтому вторым важнейшим органом непосредственного регулирования рынка ценных бумаг является Министерство финансов РФ. Оно не только регулирует, но и управляет рынком государственных ценных бумаг, поскольку в его лице совмещаются функции, как регулятора рынка, так и эмитента ценных бумаг.

Участник рынка ценных бумаг приобретает права (статус) его профессионального участника в том случае, если он получает лицензию на осуществление того или иного вида профессиональной деятельности. Все выпуски ценных бумаг независимо от величины выпусков и количества инвесторов подлежат государственной регистрации в регистрирующем органе - Департаменте лицензирования деятельности и финансового оздоровления кредитных организаций Банка России или территориальных учреждениях Банка России.

Непосредственно в Департаменте лицензирования деятельности и финансового оздоровления кредитных организаций Банка России регистрируются:

Выпуски акций кредитных организаций с уставным капиталом 1000 млн. рублей и более (включая в расчет предполагаемые итоги выпуска) или с долей иностранного участия (в т.ч. физических и юридических лиц из стран СНГ) - свыше 50 %;

выпуски облигаций кредитных организаций на сумму 1000 млн.р. и выше;

выпуски ценных бумаг при реорганизации кредитных организаций;

выпуски опционов кредитных организаций - эмитентов.

Процедура эмиссии включает в себя следующие этапы:

принятие решения о размещении ценных бумаг;

разработка и подготовка проспекта эмиссии;

регистрация выпуска ценных бумаг.

регистрация проспекта эмиссии;

раскрытие информации содержащейся в проспекте;

размещение ценных бумаг;

регистрация отчета об итогах размещения эмиссионных ценных бумаг.

Публикация итогов выпуска должна производится в том же печатном органе, где было опубликовано сообщение о выпуске или на сайте эмитента.

Организационно-правовая форма профессионального участника обычно жестко не регламентируется. Упор в основном делается на возможность его существования в форме коммерческой и/или некоммерческой организации. Общий подход состоит в следующем: если речь идет о торговых посредниках, например, дилерах, то им предписывается быть только коммерческими организациями. Если речь идет о неторговых посредниках, то им разрешается выбирать между коммерческой или некоммерческой формой организации.

Величина собственного капитала профессионального участника рассчитывается по данным его бухгалтерского баланса в установленном порядке. Суть этого расчета сводится к тому, что из общей величины активов по балансу вычитаются заемные средства, нематериальные и труднореализуемые активы, убытки и потери и т.п.

Нормативы по минимально необходимому для получения лицензии размеру собственного капитала устанавливаются раздельно по видам профессиональной федеральным органом исполнительной власти по рынку ценных бумаг.

Указанные нормативы достаточно часто пересматриваются в связи с изменением рыночной конъюнктуры в нашей стране (инфляция и пр.).

Если профессиональный участник совмещает несколько видов профессиональной деятельности, то его собственный капитал должен отвечать требованиям наибольшего норматива из совмещаемых видов деятельности.

Федеральный орган исполнительной власти по рынку ценных бумаг устанавливает минимальную численность специалистов, имеющих квалификационный аттестат соответствующего уровня, для разного уровня управления по всем видам профессиональной деятельности.

Для получения данного аттестата необходимо:

наличие у работника высшего образования;

сдача базового квалификационного экзамена;

сдача специализированного квалификационного экзамена, т.е. экзамена по группам видов профессиональной деятельности.

Совмещение профессиональных видов деятельности. Виды профессиональной деятельности на рынке ценных бумаг могут совмещаться в деятельности одного и того же участника рынка, но только в разрешенных сочетаниях.

К группам таких допускаемых сочетаний можно отнести следующие:

первая группа - профессиональная деятельность по ведению реестра владельцев именных ценных бумаг не может совмещаться ни с какими другими видами профессиональной деятельности на рынке ценных бумаг;

вторая группа - брокерская, дилерская, депозитарная виды деятельности и деятельность по управлению ценными бумагами могут совмещаться между собой в различных сочетаниях;

третья группа - депозитарная, клиринговая деятельность и деятельность по организации торговли на рынке ценных бумаг могут совмещаться между собой.

Одной из важнейших задач государственного регулирования фондового рынка является создание эффективной системы контроля и управления за профессиональной деятельностью на рынке ценных бумаг. Для обеспечения доступности информации о ценных бумагах и прозрачности сделок с ними 01.01.2012 г. внесены изменения и дополнения в Федеральный закон "О рынке ценных бумаг", направленные на уточнение перечня существенных фактов деятельности акционерных обществ, подлежащих публичному раскрытию.

Вместе с тем по состоянию на конец 2011 года остаются нереализованными отдельные важные задачи, определенные Стратегией развития финансового рынка Российской Федерации на 2009-2011 годы, в частности:

создание правовых механизмов, направленных на предотвращение инсайдерской торговли и манипулирования на финансовом рынке;

построение системы пруденциального надзора за профессиональными участниками рынка ценных бумаг;

создание условий для секьюритизации финансовых активов;

правовое регулирование осуществления выплат компенсаций гражданам на рынке ценных бумаг;

формирование массового розничного инвестора;

развитие производных финансовых инструментов.

В части определения путей построения инфраструктуры финансового рынка ряд инициатив требует корректировки подходов к их реализации.

В целях реализации задачи по совершенствованию правового регулирования на финансовом рынке необходимо:

повышение эффективности регулирования финансового рынка путем развития системы пруденциального надзора в отношении участников финансового рынка, унификации принципов и стандартов деятельности участников финансового рынка, а также взаимодействия государственных органов с саморегулируемыми организациями;

снижение административных барьеров и упрощение процедур государственной регистрации выпусков ценных бумаг;

обеспечение эффективной системы раскрытия информации на финансовом рынке;

развитие и совершенствование корпоративного управления;

принятие действенных мер по предупреждению и пресечению недобросовестной деятельности на финансовом рынке.

Кроме решения указанных задач необходимо повысить эффективность контрольно-надзорной деятельности Федеральной службы по финансовым рынкам, проводить постоянный анализ применения норм законодательства Российской Федерации и на этой основе совершенствовать нормативную правовую базу.

С количественным ростом и качественным усложнением финансового рынка возникает объективная потребность в развитии функций саморегулирования, для чего необходимо повышение эффективности взаимодействия саморегулируемых организаций и государственных органов. Нормы и правила, разрабатываемые саморегулируемыми организациями, нужны для дополнения и детализации норм государственного регулирования, причем следует стимулировать саморегулируемые организации к установлению более жестких требований к деятельности участников финансового рынка.

Одновременно с усилением роли и значения независимых членов советов директоров необходимо рассмотреть вопрос их объединения в саморегулируемые организации, основными задачами которых станет разработка стандартов и правил поведения независимых директоров, а также контроль за их профессиональной деятельностью.

В общем виде рынок ценных бумаг можно определить как совокупность экономических отношений его участников по поводу выпуска и обращения ценных бумаг. Различают первичный и вторичный, организованный и неорганизованный, биржевой и внебиржевой, традиционный и компьютеризированный, кассовый и срочный рынки ценных бумаг. Кроме того он обладает рядом функций, которые делятся на общерыночные, присущие обычно каждому рынку, и специфические, которые отличают его от других рынков. Существуют следующие основные группы участников рынка ценных бумаг в зависимости от их функционального назначения: продавцы; инвесторы; фондовые посредники; организации, обслуживающие рынок ценных бумаг; государственные органы регулирования и контроля рынка ценных бумаг в Российской Федерации.

Ценная бумага - это документ, определяющий долю собственности в компании - эмитенте и кредиторские взаимоотношения с эмитентом в лице компаний, муниципалитета или государства, а также указывающий на другие права собственности. К обращению на фондовом рынке России допущены следующие виды ценных бумаг: государственные облигации, облигации, вексель, чек, депозитный и сберегательный сертификаты, банковская сберегательная книжка на предъявителя, простое и двойное складское свидетельство (и каждая его часть), коносамент, акция и приватизационные ценные бумаги, жилищные сертификаты.

Регулирование инвестиционной деятельности, связанное с защитой прав инвесторов, базируется на нормах законов "Об акционерных обществах" и "О рынке ценных бумаг". В случае приобретения 2% голосующих акций банк как инвестор приобретает право не просто участвовать в собрании акционеров эмитента, чьи акции он приобрел, но также внести не более двух предложений в повестку дня годового общего собрания акционеров и выдвинуть кандидатов в совет директоров (наблюдательный совет) общества и ревизионную комиссию (ревизора) общества, число которых не может превышать количественного состава этого органа. Кроме того, банк-инвестор должен быть готов к тому, что лицам, владеющим 10 и более процентами акций, станет известна полная информация о количестве и категории (типе) принадлежащих ему акций. В то же время и сам банк в случае приобретения 10% голосующих акций получит право ознакомления с полным списком акционеров, имеющим право на участие в общем собрании акционеров, содержащих имя (наименование) каждого акционера, его адрес (место нахождения), данные о количестве и категории (типе) принадлежащих ему акций.

С целью ограничения рисков, связанных с операциями с ценными бумагами, Банк России для коммерческих банков:

. устанавливает обязательные экономические нормативы, определяет порядок расчета кредитного и рыночного рисков кредитных организаций и ограничивает их размер;

. устанавливает правила переоценки вложений в ценные бумаги и создания резервов под различные виды риска по операциям с ценными бум агами;

. устанавливает требования к организационной структуре банка в части операций с ценными бумагами.

Обязательные экономические нормативы представляют собой количественные лимиты риска, принимаемого на себя кредитными организациями по различным типам рисковых активов, в том числе по ценным бумагам. Предельным случаем лимита риска является установление его на нулевом уровне, т.е. полный запрет на совершение некоторых видов операций кредитными организациями. Обязательные экономические нормативы ограничивают активность банков на рынках ценных бумаг двояко: во-первых, путем установления требований к капиталу (норматива достаточности капитала) по различным видам ценных бумаг (ограничение рисков неплатежеспособности); во-вторых, прямым ограничением размера вложений в ценные бумаги, в том числе одного эмитента (ограничение рисков концентрации)

Исходя из вышесказанного, можно констатировать, что рынок ценных бумаг только развивается, он зависит от мирового рынка ценных бумаг, но также имеет свои отличительные особенности в сфере налогообложения, государственного регулирования, промышленного производства. Необходимо отметить, что сегодня перед российским рынком ценных бумаг стоит ряд проблем, быстрое и эффективное решение, которых послужит толчком к его дальнейшему развитию и повышению активности участников рынка ценных бумаг. Решение этих проблем зависит от политики государства и других органов, которые регулируют рынок ценных бумаг.

Глава 2. Деятельность коммерческого банка на рынке ценных бумаг

.1 Коммерческий банк как инвестор

Эмиссионные операции банка - это деятельность по выпуску банком собственных ценных бумаг. Банк, осуществляющий выпуск ценных бумаг, является эмитентом.

Эмиссия ценных бумаг банками имеет следующие цели:

Привлечение дополнительных денежных ресурсов для размещения их в активы банка, оптимизация структуры привлеченных денежных средств;

Оформление организационно-правового статуса банка в качестве акционерного общества и формирование системы контроля - через владение акциями, участие банка в органах управления;

Предоставление дополнительных услуг клиентам на основе выпуска обращающихся фондовых инструментов, расширяя возможности инвестирования в сравнении с традиционными расчетно-депозитарными операциями;

Содействие снижению неплатежей в хозяйстве организации вексельных взаиморасчетов.

К основным принципам эмиссии ценных бумаг относят:

Соответствие интересам инвесторов - клиентов банка по риску, доходности и ликвидности;

Соответствие интересам банка по объемам и срокам привлекаемых ресурсов, их цене по сравнению с другими видами денежных обязательств, по условиям налогообложения, затратам на размещение, рискам, которые несет банк;

Связь с активами в форме ценных бумаг (контроль маржи между доходами от инвестиций в фондовые ценности и расходами на выплату дивидендов и процентов, формирование относительно замкнутого оборота средств по привлечению ресурсов на основе выпуска ценных бумаг и вложению их в фондовые инструменты);

Конструирование ценных бумаг как финансовых продуктов, новых товаров, сочетающих стандартность с финансовыми инновациями, модифицируемость, индивидуальными качествами;

Плановый характер эмиссии (управление аккумуляцией резервов банка в форме ценных бумаг).

Коммерческий банк может эмитировать эмиссионные ценные бумаги - акции, облигации, а также выпускать инструменты денежного рынка - депозитные и сберегательные сертификаты, векселя. Если на основе эмиссии акций и облигаций формируется собственный и заемный капитал банка, то выпуск сертификатов и векселей можно рассматривать как привлечение управляемых депозитов, или безотзывных вкладов. Далее в последующих параграфах я подробнее буду рассматривать каждый вид ценных бумаг.

Право эмиссии собственных акций и облигаций имеет коммерческий банк, образованный как акционерное общество, и это право обусловлено его формой собственности.

Инвестиционная деятельность банка - вложение инвестиций, или инвестирование, и совокупность практических действий по реализации инвестиций. Инвестиции представляют собой денежные средства, целевые банковские вклады, паи, акции и другие ценные бумаги, технологи, машины, оборудование, лицензии, кредиты, любое другое имущество или имущественные права, интеллектуальные ценности, вкладываемые в объекты предпринимательской и других видов деятельности в целях получения прибыли.

Под инвестиционным процессом понимается последовательность этапов, действий, процедур и операций по осуществлению инвестиционной деятельности. Конкретное течение инвестиционного процесса определяется объектом инвестирования и видами инвестирования (реальные или финансовые инвестиции).

Поскольку инвестиционный процесс связан с долгосрочными вложениями экономических ресурсов для создания и получения выгоды в будущем, то сущность этих вложений заключается в преобразовании собственных и заемных средств инвестора в активы, которые при их использовании создадут новую стоимость.

Субъектами инвестиционной деятельности выступают инвесторы, как физические, так и юридические лица, в том числе банки, а объектами инвестиционной деятельности служат вновь создаваемые и модернизируемые основные и оборотные средства, ценные бумаги, целевые денежные вклады, научно - техническая продукция, другие объекты собственности. Инвестиционная деятельность банков осуществляется за счет собственных ресурсов и заемных, привлеченных средств.

Если есть основания ожидать снижения процентных ставок, то для банка более рационально вложить средства в ценные бумаги. И наоборот, если есть вероятность повышения процентных ставок, то банк должен воздержаться от дальнейшей покупки твердопроцентных ценных бумаг и постараться продать имеющиеся на балансе.

К банковским инвестициям обычно относят ценные бумаги со сроком погашения более одного года. Банки, покупая те или иные виды ценных бумаг стремятся достичь определенных целей, к основным из которых относятся:

безопасность вложений;

доходность вложений;

рост вложений;

ликвидность вложений.

Под безопасностью вложений понимается неуязвимость инвестиций от различных потрясений на фондовом рынке, стабильность получения дохода и ликвидность. Безопасность всегда достигается в ущерб доходности и росту вложений. Оптимальное сочетание безопасности и доходности достигается тщательным подбором и постоянной ревизией инвестиционного портфеля.

Инвестиционный портфель - набор ценных бумаг, приобретаемых для получения доходов и обеспечения ликвидности вложений. Управление портфелем заключается в поддержании баланса между ликвидностью и прибыльностью. Сумма принадлежащих банку ценных бумаг непосредственно связана с умением банка активно управлять инвестиционными бумагами и зависит от размера банка.

Основными принципами эффективной инвестиционной деятельности банков являются:

банк должен иметь профессиональных и опытных специалистов, составляющих портфель ценных бумаг и управляющих им;

банки действуют тем эффективнее, чем больше им удается распределить свои инвестиции между разнообразными видами фондовых ценностей, т.е. диверсифицировать вложения. Вложения целесообразно ограничивать по видам ценных бумаг, отраслям экономики, регионам, сроку погашения и т.д.;

вложения должны быть высоколиквидными, чтобы их можно было быстро переложить в инструменты, которые в связи с изменением конъюнктуры рынка становятся более доходными, а так же чтобы банк мог быстро получить обратно вложенные им средства.

Прямые доходы от вложений в ценные бумаги банк получает в форме дивидендов, процентов или прибыли от перепродажи. Косвенные доходы образуются за счет расширения доли рынка, контролируемой банком, через дочерние и зависимые общества в усиления их влияния на клиентов путем участия в корпоративном управлении на основе владения пакетом их акций.

Объектами банковских инвестиций выступают самые разнообразные ценные бумаги. В российской банковской практике в зависимости от инвестиционных инструментов, используемых для формирования собственного портфеля, в целях учета и отражения в балансе различают вложения в: долговые обязательства; акции.

В настоящее время банковский портфель долговых обязательств формируется, как правило, на основе государственных облигаций, субфедеральных и муниципальных облигаций, облигаций корпораций. Для каждого из этих видов ценных бумаг характерны свои особенности и риски.

При анализе вложений банка в акции следует различать прямые и портфельные инвестиции.

Прямые инвестиции принимают форму вложений в акции в том случае, когда банк приобретает (либо оставляет за собой) контрольный пакет акций той или иной компании, в управлении которой он принимает непосредственное участие, реализуя право голоса по принадлежащим ему акциям.

Деятельность банков как инвесторов предполагает проведение операций по покупке и продаже ценных бумаг; размещение кредитов под залог приобретенных ценных бумаг; операции по реализации банком инвестором прав, удостоверенных приобретенными ценными бумагами: получение процентов, дивидендов и сумм, причитающихся в погашение ценных бумаг; участие в управлении акционерным обществом-эмитентом; участие в процедуре банкротства в качестве кредитора или акционера; получение причитающейся доли имущества в случае ликвидации общества.

Также в рамках инвестиционной деятельности банки осуществляют операции с производными инструментами (фьючерсными и форвардными контрактами, опционами), которые подразделяются на спекулятивные и хеджинговые.

Основные направления участия банков в инвестиционном процессе - предоставление кредитов инвестиционного характера (инвестиционные кредиты и проектное финансирование);

вложения в ценные бумаги, паи, долевые участия (как за счет банка, так и по поручению клиента).

Эти направления тесно связаны друг с другом. Мобилизуя капиталы, сбережения населения, другие свободные денежные средства, банки формируют свои ресурсы с целью их прибыльного использования. Объем и структура операций по аккумулированию средств - основные факторы воздействия на состояние кредитных и инвестиционных портфелей банков, возможности их инвестиционной деятельности.

Банковские инвестиции имеют собственное экономическое содержание. Инвестиционную активность в микроэкономическом аспекте - с точки зрения банка как экономического субъекта - можно рассматривать как деятельность, в процессе которой он выступает в качестве инвестора, вкладывая свои ресурсы на срок в создание или приобретение реальных и покупку финансовых активов для извлечения прямых и косвенных доходов.

Вместе с тем инвестиционная деятельность банков имеет и иной аспект, связанный с осуществлением их макроэкономической роли как финансовых посредников. В этом качестве банки помогают удовлетворить потребность хозяйствующих субъектов в инвестициях. Спрос на них в условиях рыночной экономики возникает в денежно-кредитной форме. Кроме того, банки дают возможность превратить сбережения и накопления в инвестиции.

Инвестиции имеют следующие черты, отличающие их от классического банковского кредита:

кредит предполагает использование средств банка в течение сравнительно небольшого периода времени при условии возврата их к установленному сроку с выплатой ссудного процента. Инвестиции предполагают использование средств в течение длительного времени;

при кредитовании инициатором сделки выступает заемщик. При инвестиционных операциях инициатива принадлежит банку, стремящемуся приобрести активы на рынке ценных бумаг;

в кредитных сделках банк один из главных и немногих кредиторов, при вложении средств в ценные бумаги банк один из многих других инвесторов;

кредитование предусматривает личные отношения и тесный контакт между заемщиком и кредитором. Инвестирование представляет собой обезличенную сделку.

К основным направлениям участия банков в инвестиционном процессе можно отнести:

проведение операций, связанных с государственными инвестиционными ресурсами;

осуществление инвестиций за счет собственных средств;

участие в инвестициях в составе финансово-промышленных групп;

трастовое управление ресурсами (в основном внебюджетными фондами);

привлечение западных инвестиционных ресурсов.

Банки используют следующие инструменты для осуществления инвестиций: простые и привилегированные акции; облигации; государственные долговые обязательства; депозитные сертификаты; векселя и пр.

В таблице 1 проведен анализ инструментов инвестиционной деятельности коммерческого банка по ряду показателей, которые имеют непосредственное значение для формирования банковского портфеля инвестиций.

Таблица 1. Сравнительная характеристика инструментов инвестиционной деятельности

Инструменты

Риск изменения стоимости

Срок

Ликвидность

Акции

Высокий

Долгосрочный

Средняя - низкая

Облигации

Очень высокий

Долгосрочный

Средняя - низкая

Государственные ценные бумаги

Незначительный

Краткосрочный- Среднесрочный

Высокая - средняя

Проекты

Средний - высокий

Долгосрочный

Низкая - средняя


2.2 Основные принципы формирования портфеля инвестиций

Безопасность вложений (стабильность дохода, неуязвимость на рынке инвестиционного капитала).

Методом снижения серьезных потерь в инвестировании служит диверсификация финансовых вложений, т.е. приобретение определенного числа разнообразных финансовых активов. (От десяти и выше). Существует определенная зависимость между риском и диверсификацией портфеля. Общий риск портфеля состоит из двух частей:

диверсифицированный риск (не систематический), который поддается управлению

не диверсифицированный, систематический - не поддающийся управлению (но возможно).

Под диверсификацией понимается инвестирование финансовых средств в более чем один вид активов.


РП=Д1Р1+Д2Р2+...+ДnРn,

где - РП норма доходности всего портфеля,

Р1, Р2, Рn - нормы доходности отдельных активов,

Д1, Д2, Дn - доли соответствующих активов в портфеле.

Диверсификация портфеля ценных бумаг снижает риск в инвестиционном деле, но не отменяет его полностью. Последний остается в виде так называемого недиверсификационного риска, т.е. риска, проистекающего из общего состояния экономики.

Существует портфельная теория: т.е. теория финансовых инвестиций, в рамках которой осуществляется наиболее выгодное распределение риска портфеля и оценка его доходности. Основные элементы реализации:

Оценка финансовых активов.

Инвестиционные решения.

Оптимизация портфеля.

Оценка результатов.

Вырабатывается модель взаимосвязи системного риска, дохода и доходности.

Занимаясь инвестициями, необходимо выработать определенную политику своих действий и определить:

основные цели инвестирования (стратегический или портфельный его характер);

состав инвестиционного портфеля, приемлемые виды ценных бумаг;

качество бумаги, диверсификацию портфеля и т. д.

Состояние рынка и возможности инвестора определяют выбор его инвестиционной стратегии. Именно поэтому портфельное инвестирование пока ещё не стало преобладающим на отечественном рынке. Однако наметились определенные подходы, реализуемые, в частности, в учете всех приобретенных в результате инвестиционных операций ценных бумаг. Конкретно, они могут учитываться как балансовая стоимость портфеля, которая периодически подлежит рыночной переоценке и т. д.

На фондовом рынке портфель ценных бумаг - это самостоятельный продукт и именно его продажа целиком или долями удовлетворяет потребность инвесторов при осуществлении вложения средств на фондовом рынке.

Под инвестиционным портфелем понимается некая совокупность ценных бумаг, принадлежащих физическому или юридическому лицу, либо юридическим или физическим лицам на правах долевого участия, выступающая как целостный объект управления. Обычно на рынке продается некое инвестиционное качество с заданным соотношением Риск/Доход, которое в процессе управления портфелем может быть улучшено.

Портфель представляет собой определенный набор из корпоративных акций, облигаций с различной степенью обеспечения и риска, а также бумаг с фиксированным доходом, гарантированным государством, т.е. с минимальным риском потерь по основной сумме и текущим поступлениям. Например, в настоящее время банки исходя из зарубежного опыта, формируя инвестиционный портфель, набирают его в следующем соотношении: в общей сумме ценных бумаг около 70 процентов - государственные ценные бумаги, около 25 процентов - муниципальные ценные бумаги и около 5 процентов - прочие бумаги. Таким образом, запас ликвидных активов составляет примерно 1/3 портфеля, а инвестиции с целью получения прибыли - 2/3. Как правило, такая структура портфеля характерна для крупного банка, мелкие же банки в своем портфеле имеют 90 процентов и более государственных и муниципальных ценных бумаг.

Теоретически портфель может состоять из бумаг одного вида, а также менять свою структуру путем замещения одних бумаг другими. Однако каждая ценная бумага в отдельности не может достигать подобного результата.

Основная задача портфельного инвестирования - улучшить условия инвестирования, придав совокупности ценных бумаг такие инвестиционные характеристики, которые недостижимы с позиции отдельно взятой ценной бумаги, и возможны только при их комбинации.

Только в процессе формирования портфеля достигается новое инвестиционное качество с заданными характеристиками. Таким образом, портфель ценных бумаг является тем инструментом, с помощью которого инвестору обеспечивается требуемая устойчивость дохода при минимальном риске. Балансовая стоимость характеризует издержки на приобретение данного портфеля и рассчитывается нарастающим итогом путем прибавления к балансовой стоимости имеющегося портфеля основной суммы сделки при покупке ценных бумаг и при продаже путем списания средневзвешенной цены на количество проданных ценных бумаг.

Доходы по портфельным инвестициям представляют собой валовую прибыль по всей совокупности бумаг, включенных в тот или иной портфель с учетом риска. Возникает проблема количественного соответствия между прибылью и риском, которая должна решаться оперативно в целях постоянного совершенствования структуры уже сформированных портфелей и формирования новых в соответствии с пожеланиями инвесторов. Надо сказать, что указанная проблема относится к числу тех, для решения которых достаточно быстро удается найти общую схему решения, но которые практически не решаются до конца.

Другим преимуществом портфельного инвестирования является возможность выбора портфеля для решения специфических инвестиционных задач. Для этого используются различные портфели ценных бумаг, в каждом из которых будет собственный баланс между существующим риском, приемлемым для владельца портфеля, и ожидаемой им отдачей (доходом) в определенный период времени. Соотношение этих факторов и позволяет определить тип портфеля ценных бумаг. Тип портфеля - это его инвестиционная характеристика, основанная на соотношении дохода и риска. При этом важным признаком при классификации типа портфеля является то, каким способом и за счет какого источника данный доход получен: за счет роста курсовой стоимости или за счет текущих выплат - дивидендов, процентов.

Портфель роста формируется из акций компаний, курсовая стоимость которых растет. Цель данного типа портфеля - рост капитальной стоимости портфеля вместе с получением дивидендов. Однако дивидендные выплаты производятся в небольшом размере. Темпы роста курсовой стоимости совокупности акций, входящей в портфель, определяют виды портфелей, входящие в данную группу.

Портфель дохода ориентирован на получение высокого текущего дохода - процентных и дивидендных выплат. Портфель дохода составляется в основном из акций дохода, характеризующихся умеренным ростом курсовой стоимости и высокими дивидендами, облигаций и других ценных бумаг, инвестиционным свойством которых являются высокие текущие выплаты. Особенностью этого типа портфеля является то, что цель его создания - получение соответствующего уровня дохода, величина которого соответствовала бы минимальной степени риска, приемлемого для консервативного инвестора. Поэтому объектами портфельного инвестирования являются высоконадежные инструменты фондового рынка с высоким соотношением стабильно выплачиваемого процента и курсовой стоимости.

Портфель регулярного дохода формируется из высоконадежных ценных бумаг и приносит средний доход при минимальном уровне риска.

Портфель доходных бумаг состоят из высокодоходных облигаций корпораций, ценных бумаг, приносящих высокий доход при среднем уровне риска.

Портфель роста и дохода формируется во избежание возможных потерь на фондовом рынке как от падения курсовой стоимости, так и от низких дивидендных или процентных выплат. Одна часть финансовых активов, входящих в состав данного портфеля, приносит владельцу рост капитальной стоимости, а другая - доход. Потеря одной части может компенсироваться возрастанием другой. Охарактеризуем виды данного типа портфеля.

В состав данного портфеля двойного назначения включаются бумаги, приносящие его владельцу высокий доход при росте вложенного капитала. В данном случае речь идет о ценных бумагах инвестиционных фондов двойного назначения. Они выпускают собственные акции двух типов, первые приносят высокий доход, вторые - прирост капитала. Инвестиционные характеристики портфеля определяются значительным содержанием данных бумаг в портфеле.

Сбалансированный портфель предполагает сбалансированность не только доходов, но и риска, который сопровождает операции с ценными бумагами, и поэтому в определенной пропорции состоит из ценных бумаг с быстрорастущей курсовой стоимостью и из высокодоходных ценных бумаг. В состав портфеля могут включаться и высоко рискованные ценные бумаги. Как правило, в состав данного портфеля включаются обыкновенные и привилегированные акции, а также облигации. В зависимости от конъюнктуры рынка в те или иные фондовые инструменты, включенные в данный портфель, вкладывается большая часть средств.

Портфель денежного рынка ставит своей целью полное сохранение капитала. В состав такого портфеля включается преимущественно денежная наличность или быстро реализуемые активы.

Данные экономического анализа подтверждают, что при определенных допущениях желаемый размер денежных средств, предназначаемый на непредвиденные цели, так же, как и желаемый размер денежных средств на трансакционные нужды зависят от процентной ставки. Поэтому инвестор, вкладывая часть средств в денежную форму, обеспечивает требуемую устойчивость портфеля. Денежная наличность может быть конвертируема в иностранную валюту, если курс национальной валюты ниже, чем иностранной. Таким образом, помимо сохранения средств достигается увеличение вложенного капитала за счет курсовой разницы.

Высокой ликвидностью обладают и портфели краткосрочных фондов. Они формируются из краткосрочных ценных бумаг, т.е. инструментов, обращающихся на денежном рынке.

Портфель ценных бумаг, освобожденных от налога, содержит, в основном, государственные долговые обязательства и предполагает сохранение капитала при высокой степени ликвидности. Отечественный рынок позволяет получить по этим ценным бумагам и самый высокий доход, который, как правило, освобождается от налогов. Именно поэтому портфель государственных ценных бумаг - наиболее распространенная разновидность портфеля и, в частности, сформированная по некоторым ценным бумагам. Например, рассматривая ГКО в качестве примера, характеризующего высоконадежные ценные бумаги, отметим, что, покупая краткосрочные облигации, выпущенные Министерством финансов РФ, инвестор тем самым дает в долг правительству, которое оплатит эту облигацию в конце срока с уплатой в виде дисконтной разницы. Фактически это не вызывает дефицита бюджета, так как в эти облигации вкладывается богатство нации. Поэтому государственные ценные бумаги являются, возможно, самыми безопасными, поскольку считается, что государство в принципе обанкротиться не может. Их краткосрочный характер и низкая способность к риску делают данные инструменты одними из самых низко рискованных и реально должны были бы показывать низкую изменчивость дохода. Относительно высокий доход по ГКО и их высокая надежность привлекают инвесторов покупать ценные бумаги, выпущенные государственными органами власти. Портфель ГКО в сущности, - это портфель роста, так как доход образуется как курсовая разница.

Портфель, состоящий из ценных бумаг государственных структур формируется из государственных и муниципальных ценных бумаг и обязательств. Вложения в данные рыночные инструменты обеспечивают держателю портфеля доход, получаемый от разницы в цене приобретения с дисконтом и выкупной ценой и по ставкам выплаты процентов. Немаловажное значение имеет и то, что и центральные, и местные органы власти предоставляют налоговые льготы.

Инвестиционная направленность вложений в региональном разрезе приводит к созданию портфелей, сформированных из ценных бумаг различных сторон; ценных бумаг эмитентов, находящихся в одном регионе; различных иностранных ценных бумаг.

Портфель, состоящий из ценных бумаг различных отраслей промышленности формируется на базе ценных бумаг, выпущенных предприятиями различных отраслей промышленности, связанных технологически, или какой-либо одной отрасли.

Вопрос о количественном составе портфеля можно решать как с позиции теории инвестиционного анализа, так и с точки зрения современной практики. Согласно теории инвестиционного анализа, простая диверсификация ничуть не хуже, чем диверсификация по отраслям, предприятиям и т.д. Кроме того, увеличение различных активов, т.е. видов ценных бумаг, находящихся в портфеле, до восьми и более, не дает значительного уменьшения портфельного риска. Максимальное сокращение риска достижимо, если в портфеле отобрано от 10 до 15 различных ценных бумаг. Дальнейшее увеличение состава портфеля нецелесообразно, т.е. возникает эффект излишней диверсификации, чего следует избегать.

Издержки по управлению излишне диверсифицированным портфелем не дадут желаемого результата, так как доходность портфеля вряд ли будет возрастать более высокими темпами, чем издержки в связи с излишней диверсификацией. Рассматривая вопрос с точки зрения практики отечественного фондового рынка, необходимо, прежде всего, решить проблему: а имеется ли на нем достаточное количество качественных ценных бумаг, инвестируя в которые можно достигнуть вышеприведенных норм. В частности, на отечественном фондовом рынке разновидностей портфелей не так уж и много, и далеко не каждый конкретный держатель, учитывая состояние рынка ценных бумаг, может себе позволить инвестирование в корпоративные акции. Поэтому, рассматривая нижеприведенную схему, приходится констатировать, что на отечественном рынке лишь государственные ценные бумаги являются одним из основных объектов портфельного инвестирования.

2.3 Управление портфелем инвестиций

 

Финансовый анализ проводится на втором этапе процесса управления портфелем ценных бумаг и представляет собой подготовку данных, необходимых для работы менеджера по управлению портфелем.

Проведение финансового анализа связано с необходимостью определения конкретных характеристик ценных бумаг и выявления тех ценных бумаг, которые представляются инвесторам неверно оцененным в настоящем.

При определении основных характеристик рассматриваются главные факторы, влияющие на ценные бумаги, и устанавливается их подверженность этому влиянию. Таким фактором может быть, например, размер налоговых выплат, которые не одинаков для ценных бумаг, представляющих интерес для инвестора.

Существенное влияние на принятие инвестиционных решений оказывает уровень инфляции, с увеличением периода которой доход по акциям меняется. Менеджер должен также учитывать взаимосвязь прибыли, дивидендов и инвестиций.

Выявление неверно оцененных ценных бумаг обычно проводится с помощью методов фундаментального анализа и включает поиск и обнаружение таких ситуаций, когда оценки будущих доходов и дивидендов предприятия либо существенно отличаются от общепринятого мнения, либо являются более точными, либо еще не получили отражения в рыночном курсе ценных бумаг.

В рамках фундаментального анализа выявление неверно оцененных ценных бумаг может осуществляться на основе определения их внутренней (истиной) стоимости.

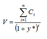
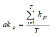
Процедура анализа внутренней стоимости аналогична методу чистой приведенной стоимости и базируется на оценке капитализации дохода. Если применить метод капитализации дохода к оценке облигаций, то суть его будет состоять в сравнении двух значений показателя доходности к погашению: существующей доходности и требуемой (т.е. того значения, которое является, по мнению менеджера, правильным). Внутренняя стоимость облигации (V) может быть вычислена по формуле:


где: Ct - предполагаемый денежный поток (выплаты инвестору) по годам;* - требуемая доходность к погашению;- остаточный срок обращения.

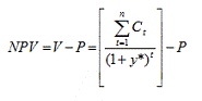
Так как цена покупки облигации - это ее рыночный курс (Р), то для менеджера чистая приведенная стоимость (NPV) равняется разности между стоимостью облигации (V) и ценой покупки:


Если облигация имеет положительное значение NPV, она является недооцененной. Отрицательное - свидетельствует о переоцененности облигации. Наконец, значение NPV, равное нулю, рассматривается как точная оценка облигации.

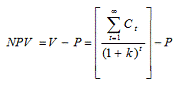
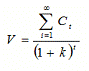
Метод капитализации дохода можно применить и к оценке акций. Внутренняя (истинная) стоимость капитала (V) будет рассчитываться как сумма приведенных стоимостей ожидаемых поступлений и выплат:


Где Ct - ожидаемое поступление (или выплата), связанное с капиталом в момент времени t;- ставка дисконтирования для денежных потоков данной степени риска.

Так как денежный поток ожидается в будущем, то его величина корректируется с помощью ставки дисконтирования, учитывающей не только изменение стоимости денег во времени, но и фактор риска.

В приведенном равенстве ставка дисконтирования предполагается постоянной в течение всего времени инвестирования (до бесконечности).

Для удобства расчетов текущий момент времени принимается равным нулю. Если затраты на приобретение актива в момент времени t=0 составляют P, то его чистая приведенная стоимость (NPV) равна разности между внутренней стоимостью актива и затратами на приобретение:


Расчет NPV дает возможность принимать решение о приобретении актива (акции). Акция рассматривается как приемлемая и считается недооцененной, если ее NPV>0. Акция рассматривается как неприемлемая и считается переоцененной, если ее NPV<0.

Акция является недооцененной, если V>P, и переоцененной, если V<P.

Так как финансовые поступления, связанные с инвестициями в обыкновенные акции, - это дивиденды, которые владелец акций ожидает получить в будущем, то способ стенки акций по методу капитализации дохода называют моделью дисконтирования дивидендов. Для определения внутренней стоимости акций (V) используют равенство:


Где Dt - ожидаемые выплаты по акции в период времени t.

Дополнительные трудности в расчетах возникают в связи с необходимостью прогнозирования бесконечного потока платежей по дивидендным выплатам, так как время обращения обыкновенных акций не ограничено. Решить данную проблему и делать расчеты можно с учетом некоторых предположений относительно роста дивидендов в будущем.

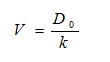
Первое предположение заключается в том, что размер дивидендов остаётся неизменным. Это простейший случай, когда темп роста дивидендов равен нулю, - модель нулевого роста. Внутренняя стоимость акции (V) в этом случае определяется по формуле:


Где D0 - фиксированные дивиденды.

Тогда внутренняя стоимость акции будет равна:


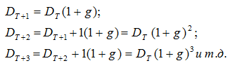
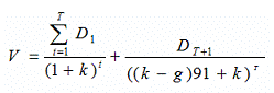
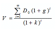
Третье предположение описывается с помощью модели переменного роста. Главная особенность этой модели - период времени в будущем (Т), после которого ожидается, что дивиденды будут расти с постоянным темпом (g).

При этом необходимо составить прогноз дивидендов до периода Т исходя из индивидуального прогноза по величине дивидендов для каждого периода, а также рассчитывать наступления момента Т. После наступления момента Т дивиденды будут расти следующим образом:


Внутренняя стоимость акций в этой модели будет определяться как сумма приведенной стоимости дивидендов, выплачиваемых до периода T1 включительно, и приведенной стоимости всех выплат дивидендов после периода Т2,


Формула расчета внутренней стоимости акций (V) примет следующий вид:


Определенная таким образом внутренняя стоимость акций (V) сравнивается с ее текущим рыночным курсом (Р). Если акция недооценена, то ее внутренняя стоимость выше текущего курса (V>P), и такие акции рекомендуют покупать. В случае превышения текущего курса над внутренней стоимостью (V<P) акция считается переоцененной, что служит сигналом к ее продаже.

На основе тщательного изучения отдельных видов и групп ценных бумаг, выявления возможных случаев их недооценки рынком менеджер определяет конкретные бумаги для инвестирования и суммы вкладываемых и в них средств.

Инвестор выберет свой оптимальный портфель из множества портфелей, каждый из которых:

. Обеспечивает максимальную ожидаемую доходность для некоторого уровня риска;

. Обеспечивает минимальный риск для некоторого значения ожидаемой доходности.

По истечении определенного времени первоначально сформированный портфель уже не может рассматриваться менеджером в качестве оптимального, наилучшего для инвестора в связи с изменением его отношения к риску и доходности, а также инвестиционных предпочтений или изменением прогнозов самого менеджера. В этом случае менеджер должен пересмотреть портфель. Во-первых, он должен определить, каким будет новый оптимальный портфель; во-вторых, выявить те виды бумаг в существующем портфеле, которые необходимо продать, и виды бумаг, которые следует купить взамен; в-третьих, переструктурировать имеющийся портфель.

Пересмотр портфеля связан с определенными дополнительными расходами, например, на комиссионные брокерам, потери от изменения цен на бумаги, разницу между ценами покупки и продажи и т.д. Для того чтобы пересмотр был эффективным, выгоды от пересмотра портфеля должны превышать издержки, обеспечивать увеличение ожидаемой доходности, а также уменьшение стандартного отклонения портфеля. Для снижения издержек многие менеджеры прибегают к стратегии пересмотра не в отношении отдельных бумаг, а целых классов активов, используя рынок свопов.

Свопы в чистом виде представляют собой контракты между двумя сторонами, которые обмениваются денежными потоками в течение определенного периода времени. Рынок свопов не регулируется со стороны государства. Динамичность, появление новых типов и видов свопов и

отсутствие гарантий надежности партнеров являются его основными характеристиками. Участвующие в свопе лица сами несут риск надежности партнера и поэтому должны обращать особое внимание на его кредитоспособность, чтобы уменьшить риск неплатежа по контракту. Нередко дилером по свопам выступает банк, который организует свопы для своих клиентов, выступая стороной контракта.

Наиболее распространенными являются свопы на акции и на процентную ставку. В свопе на акции одна сторона соглашается уплатить другой сумму средств, величина которой зависит от изменения согласованного фондового индекса. Вторая сторона в свою очередь соглашается уплатить первой фиксированную сумму средств исходя из текущей процентной ставки. Оба потока платежей согласно контракту должны быть осуществлены в течение конкретного периода и предполагают выплату определенной ставки процента от номинала, указанного в контракте (ставка процента является плавающей для одной стороны и фиксированной для другой).

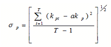
Обычно эффективность управления портфелем оценивается на некотором временном интервале (один года, два года и т.д.), внутри которого выделяются периоды (месяцы, кварталы). Этим обеспечивается достаточно представительная выборка для осуществления статистических оценок.

Для оценки эффективность управления портфелем необходимо измерить доходность и уровень его риска.

Определение доходности не представляет сложности, если на протяжении всего периода владения и управления портфелем он оставался неизменным, т.е. не было дополнительных инвестиций или изъятия средств. В этом случае доходность определяется на основе рыночной стоимости портфеля в начале и в конце рассматриваемого периода:


Где К - доходность портфеля;- конечная стоимость портфеля;- начальная стоимость портфеля.

Рыночная стоимость портфеля вычисляется как сумма рыночных стоимостей ценных бумаг, входящих в портфель в данный момент времени.

Если на протяжении анализируемого периода портфель менялся, важно, в какой момент времени в него вносились изменения (т.е. вкладывались или изымались средства).

Если дополнительные инвестиции (или, наоборот, изъятие средств) осуществлялись непосредственно перед концом анализируемого периода, то при исчислении доходности должна быть скорректирована конечная стоимость портфеля. Она должна быть уменьшена на величину дополнительно внесенной суммы или увеличена на сумму изъятых средств.

Определение годовой доходности портфеля может быть осуществлено двумя способами. Можно использовать обыкновенное суммирование квартальной доходности. Однако более точным значением годовой доходности будет являться ставка, исчисленная по формуле сложных процентов, так как в ней учитывается стоимость одного рубля в конце года при условии, что он был вложен в начале года, и предполагается возможность, реинвестирования как самого рубля. Так и любой прибыли, полученной на него в начале каждого нового квартала:


Для оценки эффективности управления портфелем необходимо также оценить уровень его риска за выбранный временной интервал. Обычно оценивают два вида риска: рыночный с помощью бета-коэффициента, и общий, измеряемый стандартным отклонением. Правильный выбор анализируемого риска имеет большое значение. Если оцениваемый портфель инвестора является его единственной инвестицией, то наиболее подходящей мерой риска будет общий риск, измеряемый стандартным отклонением. Если же инвестор имеет несколько финансовых активов, то правильным будет оценка рыночного риска портфеля, измеряемого бета-коэффициентом, и его влияния на общий уровень риска.

Для оценки общего риска портфеля за выбранный временной интервал используется формула:


Где kpt - доходность портфеля за период t;средняя доходность портфеля;- количество периодов, на которые разбит временной интервал.

Средняя доходность портфеля определяется по формуле:


Мера эффективности управления портфелем, основанная на учете риска, построена таким образом, чтобы показать насколько он эффективен по сравнению с эталонным портфелем и набором других портфелей.

Мерой эффективного управления портфелем, построенной на принципе учета риска, является разность между средней доходностью портфеля (αКр) и доходностью эталонного портфеля (αКbр). Эта разность носит название дифференцированной доходности:


Положительное значение величины αр портфеля означает, что его средняя доходность с учетом риска превосходила доходность эталонного портфеля, а значит, управление было высокоэффективным. Отрицательное значение показывает низкоэффективное управление портфелем, так как средняя его доходность была ниже доходности эталонного портфеля.

Пассивное управление заключается в приобретении бумаг на длительный срок. Инвестор выбирает в качестве цели некий показатель и формирует портфель, изменение доходности которого соответствует динамике данного показателя. После приобретения портфеля ценных бумаг дополнительные сделки с ними (за исключением реинвестирования доходов и некоторой корректировки портфеля для достижения точного соответствия выбранному показателю) совершаются редко. Поскольку выбранный в качестве цели показатель (хотя и не всегда) представляет собой широко диверсифицированный рыночный индекс, пассивное управление иногда называют индексированием, а сами пассивные портфели именуют индексными фондами.

Активное управление включает систематические усилия для получения результатов, превышающих выбранный в качестве цели показатель. Существует большое разнообразие в подходах к активному управлению. Любое активное управление включает поиск неверно оцененных ценных бумаг или групп бумаг. Точное выявление и удачная покупка или продажа таких неверно оцененных бумаг открывает для активного инвестора потенциальную возможность получить лучшие результаты по сравнению с пассивным инвестором.

Сторонники активного управления, оправдывая поиск неверно оцененных бумаг, утверждают, что рынки капитала не являются эффективными. Их мнения могут различаться только в степени оценки неэффективности рынков. Например, специалисты по техническому анализу предполагают, что конъюнктуру рынка определяют предсказуемые и движимые эмоциями инвесторы. Это создает многочисленные возможности получения доходов для творческих и дисциплинированных инвесторов. Напротив, менеджеры, использующие преимущественно количественные инструменты инвестиционного анализа, часто обнаруживают более узкие и менее очевидные возможности для получения доходов. Тем не менее, активные менеджеры считают, что можно постоянно использовать ситуацию неверной оценки стоимости бумаг. В качестве подтверждения они часто указывают на выдающиеся результаты особенно удачливых менеджеров и различные исследования, в которых говориться о неэффективности рынка.

Сторонники пассивного управления не отрицают, что существуют возможности получения дополнительных доходов или, что некоторые менеджеры показали впечатляющие результаты. Они, однако, утверждают, что рынки капитала являются достаточно эффективными, чтобы позволить постоянно получать сверхвысокие доходы только отдельным лицам, которые обладают внутрифирменной информацией. Они утверждают, что примеры прошлых успехов, скорее всего, являются результатом удачи, а не мастерства. Сторонники пассивного управления также утверждают, что ожидаемая доходность в рамках активного управления в действительности ниже, чем получается при пассивном управлении. Комиссионные, взимаемые активными менеджерами, как правило, гораздо выше тех, которые устанавливают пассивные менеджеры (разница в среднем колеблется от 0,30 до 1,00% стоимости активов, находящихся в управлении). Кроме того, пассивное управление портфелем обычно требует небольших транзакционных расходов, в то время как в зависимости от объема операций транзакционные расходы при активном управлении могут быть довольно высокими. Именно из-за разницы в уровне расходов и утверждается, что пассивные менеджеры получают лучшие результаты по сравнению в активными или, другими словами, что пассивное управление дает более высокие, по сравнению со средними, результаты.

Несмотря на быстрый рост активов, которые управляются пассивными менеджерами, при управлении большей частью национальных и международных портфелей акций и облигаций используются методы активного управления. Многие крупные институциональные инвесторы, такие, как пенсионные фонды, выбрали середину, пользуясь услугами как пассивных, так и активных менеджеров.

До недавнего времени банки исходя из зарубежного опыта, формируя инвестиционный портфель, набирали его в следующем соотношении: в общей сумме ценных бумаг около 70 процентов - государственные ценные бумаги, около 25 процентов - муниципальные ценные бумаги и около 5 процентов - прочие бумаги. Таким образом, запас ликвидных активов составляет примерно 1/3 портфеля, а инвестиции с целью получения прибыли - 2/3. Как правило, такая структура портфеля характерна для крупного банка, мелкие же банки в своем портфеле имеют 90 процентов и более государственных и муниципальных ценных бумаг.

Теоретически портфель может состоять из бумаг одного вида, а также менять свою структуру путем замещения одних бумаг другими. Однако каждая ценная бумага в отдельности не может достигать подобного результата.

Российский рынок, хотя и в меньшей степени, но все-таки по-прежнему характеризуется особенностями, препятствующими применению принципов портфельного инвестирования, что в определенной степени сдерживает интерес субъектов рынка к этим вопросам.

. Проблема общего характера - это проблема внутренней организации тех структур, которые занимаются портфельным менеджментом. Как показывает опыт, даже во многих достаточно крупных банках до сих пор не решена проблема текущего отслеживания собственного портфеля, для чего должно быть создано специализированное подразделение, которое и должно заниматься этими вопросами. В таких условиях нельзя говорить о каком-либо более или менее долгосрочном планировании развития банка в целом.

. Большой блок проблем связан с процессом математического моделирования и управления портфелями ценных бумаг. Портфель финансовых активов - это сложный финансовый объект, имеющий собственную теоретическую базу. Таким образом, при прогнозировании встают проблемы моделирования и применения математического аппарата, в частности, статистического. Универсального подхода к решению всех возникающих задач не существует, и специфика конкретного случая требует модификации базовых моделей.

. Уместно вводить также ограничение на ликвидность портфеля (оно вводится на случай возникновения не предусмотренной в договоре необходимости срочного расформирования всего портфеля). Уровень ликвидности определяется как число дней, необходимое для полной конвертации всех активов портфеля в денежные средства и перевода их на счет клиента.

. Следующий блок проблем связан уже непосредственно с решением оптимизационных задач. Необходимо определиться с главным критерием оптимизации в процедуре формирования портфеля. Как правило, в качестве целевых функций (критериев) могут выступать лишь доходность и риск (или несколько видов рисков), а все остальные параметры используются в виде ограничений.

При формировании портфеля возможны три основные формулировки задачи оптимизации:

) целевая функция - доходность, остальные - ограничения;

) целевая функция - надежность, остальные - ограничения;

) двухмерная оптимизация по параметрам "надежность-доходность" с последующим исследованием оптимального множества решений.

Зачастую бывает, что небольшим уменьшением значения одного критерия можно пожертвовать ради значительного увеличения значения другого (при одномерной оптимизации такого рода возможности отсутствуют). Естественно, что многомерная оптимизация требует применения более сложного математического аппарата, но проблема выбора математических методов решения оптимизационных задач - это тема отдельного разговора.

Следующий уровень в модифицировании базовых моделей возникает при переходе от статических задач (формирование портфеля) к динамическим (управление портфелем).

. Разумно полагать, что в течение заранее оговоренного промежутка времени (срока действия договора) инвестор не может изменить инвестиционные приоритеты. Однако возможность уточнения прогноза по ходу реализации задачи вносит в нее определенный динамизм. Кроме того, срок окончательных расчетов может быть однозначно не определен, и тогда с позиций статистического подхода мы имеем дело со случайным процессом.

Суммируя вышесказанное, можно заключить, что портфель агрессивного роста нацелен на максимальный прирост капитала. В состав данного типа портфеля входят акции молодых, быстрорастущих компаний. Инвестиции в данный тип портфеля являются достаточно рискованными, но вместе с тем они могут приносить самый высокий доход.

Портфель консервативного роста является наименее рискованным среди портфелей данной группы. Состоит, в основном, из акций крупных, хорошо известных компаний, характеризующихся хотя и невысокими, но устойчивыми темпами роста курсовой стоимости. Состав портфеля остается стабильным в течение длительного периода времени и нацелен на сохранение капитала.

Портфель среднего роста представляет собой сочетание инвестиционных свойств портфелей агрессивного и консервативного роста. В данный тип портфеля включаются наряду с надежными ценными бумагами, приобретаемыми на тигельный срок, рискованные фондовые инструменты, состав которых периодически обновляется. При этом обеспечивается средний прирост капитала и умеренная степень риска вложений. Надежность обеспечивается ценными бумагами консервативного роста, а доходность - ценными бумагами агрессивного роста. Данный тип портфеля является наиболее распространенной моделью портфеля и пользуется большой популярностью у инвесторов, не склонных к высокому риску.

Глава 3. Анализ деятельности Сбербанка на рынке ценных бумаг

.1 Деятельность Сбербанка на фондовом рынке

Акционерный коммерческий Сберегательный банк Российской Федерации (Сбербанк России) создан в форме акционерного общества открытого типа в соответствии с ФЗ РФ "О банках и банковской деятельности". Учредителем и основным акционером Сбербанка России является Центральный банк Российской Федерации. По состоянию на 16.04.2010 ему принадлежит 60,3% голосующих акций и 57,6% в уставном капитале Банка. Остальными акционерами являются более 263 тысяч юридических и физических лиц. Высокая доля иностранных инвесторов (более 32%) свидетельствует о его инвестиционной привлекательности.

Рис. 2. Структура голосующих акций Сбербанка

Сбербанк России является крупнейшим банком Российской Федерации и СНГ. Его активы составляют более четверти банковской системы страны (27%), а доля в банковском капитале находится на уровне 26% (1 июня 2011 г.).

Сбербанк России сегодня - современный универсальный банк, удовлетворяющий потребности различных групп клиентов в широком спектре банковских услуг. Сбербанк занимает крупнейшую долю на рынке вкладов и является основным кредитором российской экономики. По состоянию на 1 июня 2011 г., доля Сбербанка России на рынке частных вкладов составляла 49%, а его кредитный портфель включает в себя около трети всех выданных ранее в стране кредитов (33% розничных и 30% корпоративных).

В соответствии с ФЗ РФ от 22 апреля 1996 г. № 39-ФЗ "О рынке ценных бумаг" Сбербанк России выступает в качестве профессионального участника рынка ценных бумаг, имеет лицензии профессионального участника рынка ценных бумаг на осуществление следующих видов деятельности:

брокерская деятельность;

дилерская деятельность;

деятельность по управлению ценными бумагами;

депозитарная деятельность;

деятельность специализированного депозитария инвестиционных фондов и паевых инвестиционных фондов.

По данным таблицы 3 в течении последних лет банк продолжает развиваться. Объем привлеченных средств за период с 01.01.2011 по 01.01.2014 увеличился в 2 раза (на 200,3%). Конечно в условиях финансового кризиса показатели деятельности снизились. Но к 3 кварталу 2014 г. видно что прибыль почти в 2 раза превышает прибыль 2013 года.

Основным направлением размещения привлекаемых ресурсов были операции кредитования юридических и физических лиц, а так же вложения в государственные ценные бумаги, таблица 2.

Таблица 2. Показатели финансово-экономической деятельности

Дата

Уставный капитал, тыс. р.

Собственные средства, млрд. р.

Прибыль, млн. р.

Рентабельность капитала (ROAE)? %

Привлеченные средства

01.01.09

60 000 000

308,5

82 804

30,7

3 158,15

01.01.10

67 760 844

637,2

106 489

22,5

4 291,60

01.01.11

67 760 844

750,2

97 746

14,1

5 985,30

01.01.12

67 760 844

778,9

24 396

3,2

6 326,10

3 к. 2013

67 760 844

915

45 290

20,4

нет информации


В течение последних лет, каждый отчетный период банк заканчивал с положительным финансовым результатом. В 2012 году чистая прибыль превысила показатели 2011 года на 107,8%. За 4 квартал 2013 года размер полученной банком чистой прибыли составил 7 202,9 млн. рублей против 4 987,3 млн. рублей в 3 квартале 2011 года. Рост финансового результата четвертого квартала к третьему (на 44%) обусловлен как увеличением доходов по кредитным операциям за счет роста объемов кредитования корпоративных клиентов и населения, так и увеличением доходов от операций с ценными бумагами за счет их реализации и положительной переоценки торгового портфеля ценных бумаг, полученных в условиях благоприятной рыночной конъюнктуры.

В 2010 году Банк получил убыток от операций с ценными бумагами. Значительная часть отрицательного финансового результата представляет собой нереализованную переоценку долговых ценных бумаг, отражающую в основном существенный рост ставок заимствования на денежных рынках, связанный с экономическим кризисом. В частности, эффект от отрицательной нереализованной переоценки долговых ценных бумаг в 2010 году составил 65,8 млрд. руб., реализованный убыток по долговым ценным бумагам - 4,8 млрд. руб., совокупный отрицательный результат от операций с долевыми инструментами - 9,2 млрд.руб. Доходы от операций с ценными бумагами составили 29,8 млрд. руб. против 76,0 млрд. руб. по итогам 2009 года, их доля в общих доходах банка упала с 13,5 до 3,9%. Снижение доходов от операций с ценными бумагами во многом объясняется низкой доходностью ценных бумаг, сложившейся на рынке в 2010 году в условиях мирового кризиса.

Чистая прибыль Сбербанка России в 2012 году составила 24,4 млрд. руб., что в 4 раза меньше чистой прибыли 2011 года. Снижение прибыли происходило на фоне значительных темпов роста резервов под обеспечение кредитного портфеля. Улучшение ситуации на финансовых рынках в 2012 году позволило получить доход от операций с ценными бумагами в размере 77,2 млрд. руб. - из них 40,7 млрд. руб. это положительная переоценка бумаг, имеющихся в наличии для продажи. Наиболее существенным фактом роста торговых доходов от операций с ценными бумагами в 2009 году является снижение рыночной доходности облигаций, связанное со стабилизаций экономической обстановки, что повышает стоимость портфеля долговых ценных бумаг, которые составляют 96,2% совокупных инвестиций Банка в ценные бумаги.

Чистая прибыль за 9 месяцев 2013 года составила 109,6 млрд. руб. против 9 месяцев 2009 - 10,3 млрд. руб. Отмечается возвращение к нормальному уровню доходности: рентабельность составила 17,3%. Низкий спрос на кредитные продукты и приток средств на счета клиентов обусловил рост портфеля ценных бумаг на 68,9% за 9 месяцев.

Начиная с 1991 года Сбербанком России выпускаются обыкновенные и привилегированные акции. В настоящее время общее количество размещенных акций составляет:

В 2010 г. произошло увеличение номинала акций без увеличения их количества. Все выпущенные обыкновенные акции номинальной стоимостью 50 руб. были конвертированы в обыкновенные акции номиналом 3 000 руб. каждая. А так же все выпущенные привилегированные акции номинальной стоимостью 1 руб. конвертированы в привилегированные акции номинальной стоимостью 60 руб. каждая. Тем самым Сбербанк России увеличил свой уставной капитал до 60 000 000 тыс. руб.

В 1 квартале 2011 г. банк сделал дополнительную эмиссию обыкновенных акций в количестве 2 586 948 шт. с номинальной стоимостью 3 000 руб. каждая, увеличив свой уставной капитал до 67 760 844 тыс.руб.

В 3 квартале 2011 г. произошло дробление номинальной стоимости акций без изменения уставного капитала. Все выпущенные обыкновенные акции номинальной стоимостью 3 000 руб. конвертированы при дроблении в обыкновенные акции номинальной стоимостью 3 руб. каждая (коэффициент дробления 1:1000). Все выпущенные привилегированные акции номинальной стоимостью 60 руб. конвертированы при дроблении в привилегированные акции номинальной стоимостью 3 руб. каждая (коэффициент дробления 1:20).

Привилегированные акции не обладают правом голоса, однако имеют преимущество перед обыкновенными акциями в случае ликвидации банка и уплаты дивидендов. Владельцы привилегированных акций имеют право на получение дивидендов в размере не ниже 15% от номинальной стоимости.

Сбербанк России придерживается политики регулярных выплат дивидендов по акциям банка.

С 1 января 2001 г. банк перешел на ведение учета в соответствии с МСФО 39 и классифицировал часть своего портфеля ценных бумаг как торговые ценные бумаги (такую классификацию получают бумаги, если банк намерен их продать в течение 180 дней с момента приобретения).

Первоначально торговые ценные бумаги учитываются по стоимости приобретения (которая включает затраты по сделке), а затем переоцениваются по справедливой стоимости. Справедливая стоимость торговых ценных бумаг рассчитывается либо на основе их рыночных котировок, либо с применением различных методик оценки с использованием допущения возможности реализации этих ценных бумаг в будущем. При определении рыночных котировок все торговые ценные бумаги оцениваются по цене последних торгов, если данные ценные бумаги котируются на бирже, или по цене последней котировки на покупку, если сделки по ценным бумагам заключаются на внебиржевом рынке.

Изменения справедливой стоимости отражаются в отчете о прибылях и убытках за период, в котором имели место данные изменения, в составе доходов за вычетом расходов по операциям с ценными бумагами. Купонный и процентный доход по торговым ценным бумагам показаны в отчете о прибылях и убытках как процентные доходы по ценным бумагам. Полученные дивиденды отражаются в строке "Прочие операционные доходы".

До перехода на учет в соответствии с МСФО Банк классифицировал торговые ценные бумаги как часть портфеля ценных бумаг для перепродажи. Государственные ценные бумаги и акции компаний учитывались по рыночной стоимости. Стоимость других ценных бумаг рассчитывалась либо на основе рыночных котировок, либо на основе оценки руководством возможности реализовать данные ценные бумаги в будущем.

Далее рассмотрим как меняется структура портфеля ценных бумаг в связи с наступлением мирового кризиса.

В структуре портфеля ценных бумаг 2011 года основная доля - около 77,0% - приходится на государственные ценные бумаги и облигации Банка России (ОБР).

Объем вложений в ОБР значительно возрос в первой половине отчетного года, когда в ОБР и ряд других инструментов были размещены временно свободные денежные средства, полученные Банком в ходе эмиссии обыкновенных акций. По мере освоения привлеченных средств путем размещения их в операции кредитования, вложения в ОБР сокращались и на конец года составили 16,2% портфеля ценных бумаг. Объем вложений Банка в облигации федерального займа (ОФЗ) составляет 55,5% портфеля. Объем вложения в еврооблигации РФ сократился с 51,2 до 24,4 млрд. руб. (4,7%). В целом с учетом невысокой доходности еврооблигаций РФ, ОФЗ и ОБР Банк рассматривает вложения в данные ценные бумаги как инструмент регулирования текущей ликвидности.

Муниципальные и субфедеральные ценные бумаги РФ составляли 49,5 млрд. руб. или 9,6% портфеля ценных бумаг, из которых 34,9 млрд. руб. приходится на облигации г. Москвы и Санкт-Петербурга.

На рынке корпоративных ценных бумаг Банк проводил торговые операции с наиболее ликвидными акциями и облигациями корпоративных эмитентов, остаток которых на конец года составил 68,5 млрд. руб. или 13,4% портфеля ценных бумаг. В том числе вложения в корпоративные облигации составили 8,8 % всего портфеля, а вложения в корпоративные акции - 4,6%. Приложение 2.

Портфель ценных бумаг 2010 года составляет 493,7 млрд. руб., что на 97 млрд. руб. меньше, чем годом ранее. На 97,4% портфель представлен долговыми инструментами, остальные 2,6 % это долевые. Доля государственных ценных бумаг сократилась, в основном за счет выбытия ОБР в 1 квартале 2009 года. Доля субфедеральных ценных бумаг возросла. Приложение 3.

Портфель ценных бумаг 2011 года составил 1064,1 млрд. руб. (включая ценные бумаги заложенные по договорам РЕПО), что на 570,5 млрд. руб. больше чем годом ранее. На 96,2% портфель представлен долговыми инструментами. Доля государственных ценных бумаг на отчетную дату сократилась с 65,8% до 62,5% от портфеля долговых ценных бумаг, несмотря на приобретение ОБР в 4 квартале 2011 года. Снижение доли государственных ценных бумаг связано с ростом доли корпоративных долговых бумаг с 18,1% до 26,4%.

Приложение 4.

Сбербанк России является одним из ведущих операторов на рынке российских государственных ценных бумаг. На текущий момент доля Банка на рынке ОФЗ составляет порядка 25%, на рынке ОВГВЗ - 20%, еврооблигаций - 11%.

Банк является также платежным агентом Министерства финансов РФ по обслуживанию купонных выплат и погашению облигаций государственного сберегательного займа.

Сбербанк России активно работает практически во всех секторах российского финансового рынка.

В 2009 году предвидя ухудшения экономической ситуации в России, связанное с финансовым кризисом, банк внес изменения в политику управления портфелями ценных бумаг. С начала года Сбербанк России постепенно реализовывал торговые ценные бумаги и прочие ценные бумаги. В то же время с начала 2 квартала 2009 года банк начал активно наращивать портфель ценных бумаг, имеющихся в наличии для продажи, в основном за счет высоконадежных долговых инструментов, позволяющих иметь долгосрочный запас ликвидности.

С началом финансового кризиса и последовавшим за ним ухудшением экономической ситуации банк продолжил развивать принятую в 2009 году политику по управлению портфелем ценных бумаг. Сократил доли портфелей торговых ценных бумаг и ценных бумаг, изменение справедливой стоимости которых отражается через счета убытков и прибылей. Одновременно активно наращивал портфель инвестиционных ценных бумаг, имеющихся в наличии для продажи, как за счет высоконадежных долговых инструментов, так и за счет вложений в облигации корпоративных эмитентов.

Динамику изменений портфеля в процентном соотношении ко всему портфелю можно представить в виде таблицы (таблица 4).

Таблица 4. Изменение портфеля ценных бумаг


2009

2010

2011

Инвестиционные ценные бумаги, имеющиеся в наличии для продажи

2,0

57,7

79,8

Ценные бумаги, изменения справедливой стоимости которых отражается через счета прибылей и убытков

49,1

26,4

11,7

Торговые ценные бумаги

48,9

15,9

8,6


.2 Методика определения стоимости пакета акций

Как и во многих остальных отраслях человеческой жизни в инвестиционном процессе очень редко можно встретить чистые инвестиции определенного вида. Одним из наиболее характерных примеров может служить инвестирование коммерческим банком ресурсов на приобретение контрольного пакета акций определенной компании.

В этой связи стратегический подход к вопросу банковского инвестирования с целью приобретения контрольного пакета акций компании может быть основан на пяти основных:

культура деятельности, направленная на всемерное поддержание долгосрочных партнерских отношений с контрагентами банка;

концентрация усилий на наиболее эффективных секторах экономики и инвестиционных ценностях, с которыми имеется опыт работы;

мощное распределение активов и пассивов;

эффективная интеграция различных элементов инвестиционного портфеля;

финансовые возможности, сочетающие новаторские методы структуризации с устойчивым балансом;

глобальный охват.

Данные стратегические посылки позволяют с большой долей уверенности говорить о наличии у ОАО "Сбербанк России" эффективных инструментов инвестирования, особенно в сфере приобретения пакетов акций. В этой связи, для определения стоимости приобретаемого пакета акций коммерческий банк, как правило, использует следующие методы:

анализ дисконтных потоков средств;

сравнительный анализ компаний;

сравнительный анализ операций;

анализ заменяемой стоимости.

В случае с анализом дисконтных потоков средств, в частности, важнейшую роль обычно играет качество информации о поглощаемой компании, как источник исходной информации для обеспечения качества оценки конечной стоимости.

Кроме формальных на рыночную цену влияют и другие факторы:

уровень конкурентного напряжения между группами участников торгов при проведении тендера;

структура процесса продажи, в частности, объем покупаемых акций, а также возможность реструктуризации приобретаемой компании после приобретения;

проблема обеспечения финансовых условий приобретения.

Оценка приобретаемой компании обычно рассматривается с двух позиций:

стоимость как единой организации (совокупная стоимость);

стоимость основных составных частей (пообъектная стоимость).

Метод оценки дисконтного потока средств ("ДПС"). Данная оценочная процедура является общей методологией, используемой при оценке компаний. При наличии соответствующего качества информации рассматриваемый метод обычно является приоритетным для использования корпорацией как потенциальным покупателем.

Для проведения оценки ДПС потребуется, как минимум, следующая информация:

. Общая информация о приобретаемой компании:

наличие и характеристика пакетов акций в основных дочерних предприятиях - с правом голоса и общего капитала;

социальные затраты - текущие и будущие обязательства;

уровень задолженности - дочерние предприятия.

. Объем производства (определяется по каждому виду производимой продукции):

Затраты - структура затрат, информация по которой предоставляется в формате учета начисления (российский стандарт бухучета).

Программа капитальных затрат:

понесенные затраты на введение в эксплуатацию основных средств;

понесенные затраты на маркетинг и продвижение продукции.

. Прогнозы / планы сбыта

Расчеты, пропорции и тенденции по внутреннему рынку, бывшего СССР и экспортному рынку:

неплатежи;

просроченные платежи;

бартерные расчеты.

Данные по структурным подразделениям:

объем производства;

программа по модернизации производства;

программа освоения новых видов продукции.

. Переработка и транспортировка (определяется по каждому дочернему предприятию):

мощности по переработке сырья и полуфабрикатов;

объемы давальческого сырья;

инвестиционная программа, изменения в рентабельности производства;

источники сырья, программа логистики;

сбыт продукции, доля оптовой, розничной. Данные за прошлые периоды;

активы материально-технического обеспечения;

торговые представительства - количество, месторасположение, тенденции.

. Расчеты, пропорции и тенденции:

неплатежи;

просроченные платежи;

бартерные расчеты

Алгоритм расчета стоимости компании при использовании метода ДПС включает:

прогнозирование свободных операционных потоков средств, которые компания намеревается накопить за определенный период времени ("прогнозируемый период");

оценку стоимости компании по окончании прогнозируемого периода ("конечная стоимость");

определение соответствующей степени дохода, отражающей рисковый профиль компании и страны в целом ("дисконтная ставка").

Алгоритм расчета стоимости компании приведен на рис. 3.

Рис. 3. Этапы оценки стоимости пакета акций компании

Вычисление свободного потока средств. Свободный операционный поток средств представляет собой средства, накопленные компанией до стоимости долговых обязательств (выплаченных процентов и амортизации) и акций (дивидендов). Свободный поток средств затем прогнозируется на будущее, обычно на период до 10 лет.

Прибыль, получаемая держателями акций и долговых обязательств, представляет собой стоимость долгового обязательства, зависящую от рыночной стоимости этого обязательства, а также стоимость акции, зависящую от рыночной стоимости этих акций. Среднее значение, определенное в соответствии с рыночной стоимостью, называется Средневзвешенной Стоимостью Капитала (ССК). Прогнозируемые свободные потоки средств дисконтируются в соответствии с ССК.

Основная формула для определения ССК выглядит следующим образом:

Где Rd - стоимость долгового обязательства до уплаты налогов;- маргинальные налоговые ставки для компании;- рыночная стоимость долгового обязательства;- рыночная стоимость акций;- стоимость акций до налогов.

Стоимость акций может определяться при помощи Модели Оценки Капитальных Активов ("МОКА"). Данная модель строится на том основании, что разница в прибыли представляет собой необходимую степень риска, однако вознаграждению подлежит лишь та часть этой разницы, которая не подвержена диверсификации. Модель определяет разницу, не подверженную диверсификации, и связывает ожидаемую прибыль с данной степенью риска. Основную формулу модели МОКА можно представить так:


В данном случае Rf представляет ставку, свободную от риска (обычно это государственные облигации или другие виды правительственных долговых инструментов на развивающихся рынках); β - степень риска, не подверженного диверсификации; а Rm - рыночный риск. Премия по рыночному риску представлена разницей между значениями Rf и Rm. Риск, не подверженный диверсификации, то есть β, может быть определен путем деления коварианта компании с рынком на общую вариацию самого рынка.


Где Covim - ковариация приобретаемой компании с рынком;

σ2m- общая вариация рынка.

Конечная стоимость (КС) обычно определяется с использованием формулы роста до бесконечности или терминальной кратности.

Формула роста до бесконечности является следующей:

представляет потоки средств по окончании прогнозируемого периода, а g - ожидаемую степень роста этих потоков. Данная формула должна быть нормализована для использования в полных циклах деятельности в тех отраслях промышленности, которые имеют цикличную структуру. Основной недостаток оценки конечной стоимости заключается в предположении того, что компания достигла стадии устойчивого функционирования.

Оценку компании также необходимо проводить путем анализа некоторых показателей компаний, которые могут сравниться с анализируемой. Например, при анализе пакета нефтяной компании можно воспользоваться данными по нескольким гипотетическим компаниям: Компания 1, Компания 2, Компания 3, Компания 4, Компания 5.

Показатели, которые будут рассматриваться:

. Стоимость компании к запасам.

. Рыночная капитализация к запасам.

. Цена к потоку средств.

Опять-таки, анализ показателя цены к потоку средств будет зависеть в основном от качества полученной информации.

Соотношения стоимости к запасам и рыночной капитализации к запасам компании будут рассчитываться в отношении общих запасов и тех, на которые у нее имеются права (то есть, после поправки на мелкие пакеты акций в производственных объединениях). Запасы, на которые у компании имеются права, рассчитываются на основании коммерческого (без права голоса) пакета акций.

В ходе дальнейших исследований также является целесообразным анализ схожих случаев приобретения акций на российском рынке. Основанием к использованию данного метода является то, что он обеспечивает надлежащую степень реализма в отношении случаев приобретения акций российских компаний российскими банками. Другие методики оценки могут привести к получению определенных показателей стоимости акций. Однако, эти показатели могут оказаться нереальными в контексте:

а) текущей ситуации на российском рынке;

б) цен, которые потенциальные покупатели (среди которых, наверняка, окажется много российских) могут или хотят предложить в обычных условиях.

Если акции поглощаемой компании не котируются на фондовом рынке, то определение рыночной стоимости можно проводить с использованием следующих исходных данных:

бухгалтерская отчетность анализируемой компании;

бухгалтерская отчетность компаний отрасли, акции которых имеют рыночную стоимость (котируются на рынке);

значения рыночных котировок по акциям этих компаний.

Тогда прогнозируемая стоимость акций анализируемой компании может быть рассчитана по следующему алгоритму:

. Рассчитывается совокупная балансовая стоимость (S) компаний, акции которых котируются:


Где n - общее количество компаний, акции которых котируются.

. Для каждой компании рассчитывается удельный вес (q) ее валюты баланса в общей корзине:


. Для каждой компании рассчитывается коэффициент превышения (k) расчетной капитализации над рыночной:


Где КапРЫН - рыночная капитализация компании;

КапРАС - расчетная капитализация компании, равная стоимости ее собственных средств.

. Рассчитывается генеральный коэффициент превышения (К):


. Рассчитывается прогнозная рыночная капитализация (s) анализируемой компании:


С помощью этих методов появляется возможность приобретения пакета акций компании, в которой заинтересована корпорация по цене, максимально близкой к рыночной и с наименьшими затратами, то есть с максимальной эффективностью.

3.3 Вексельный кредит инвесторам

Сбербанк России выпускает простые процентные и дисконтные векселя, номинированные в рублях и иностранной валюте.

Простой вексель Сбербанка России может служить его владельцу для:

получения дохода, выплачиваемого банком при наступлении срока платежа по векселю;

быстрого и удобного расчета со своими контрагентами и партнерами за товары работы и услуги;

передачи Банку и его филиалам, а также другим коммерческим банкам в качестве высоколиквидного средства обеспечения получаемого кредита.

Векселя Сбербанка России выдаются и принимаются к оплате в любом регионе Российской Федерации - всеми филиалами банка (территориальными банками и отделениями Банка), а также уполномоченными дополнительными офисами.

Векселя Сбербанка России выписываются на бланках, имеющих высокую степень защиты от подделки и отпечатанных на МПФ ГОЗЗНАКА.

Банк выдает следующие виды простых векселей:

процентный вексель с номиналом в рублях и иностранной валюте;

дисконтный вексель с номиналом в рублях и иностранной валюте;

Банк выдает процентные векселя со следующими сроками платежа:

"по предъявлении, но не ранее определенной даты и не позднее определенной даты";

"по предъявлении, но не ранее определенной даты".

Банк выдает также простые конвертируемые векселя (процентные и дисконтный) - это векселя, номинированные в долларах США и евро, содержащие оговорку об оплате платежа в валюте РФ.

В зависимости от вида срока платежа, установленного по векселю, происходит исчисление начальной даты наступления срока платежа по векселю. Начало отсчета срока платежа, оговоренного в векселе, начинается со дня, следующего за днем составления векселя. Срок отсчитывается в календарных днях. Срок платежа важен, прежде всего, при определении дохода, получаемого по векселю.

Доходы векселедержателя по процентному векселю формируются за счет процентов, начисляемых на вексельную сумму (номинал).

При расчете суммы процентов используется следующая формула:


Где S - сумма процентов;- вексельная сумма (номинал векселя);срок с даты, следующей за датой составления векселя, по дату погашения векселя включительно (точное число календарных дней). Т не может превышать срок, допустимый для предъявления векселя к оплате (банки выдают процентные векселя со сроками платежа "по предъявлении, но не ранее определенной даты и не позднее определенной даты" и "по предъявлении, но не ранее определенной даты");

В случае если дата составления векселя приходится на календарный год с количеством дней 365, расчет производится по первому варианту, в других случаях - по второму.

В связи с тем, что при оформлении процентного векселя не может быть заранее определен точный срок его предъявления к платежу, расчет дохода производится на момент погашения векселя, включая дату погашения (день перечисления средств на счет векселедержателя), с учетом указанной в векселе процентной ставки и в пределах срока платежа.

Доходы векселедержателя по дисконтному векселю формируются за счет дисконта - разницы между вексельной суммой (номиналом) и ценой реализации векселя.

При расчете номинала дисконтного векселя используется следующая формула:


Где N - вексельная сумма (номинал векселя);

С - цена реализации векселя (сумма, которую векселеприобретатель перечислил в Банк на покупку векселя);

Т - срок с даты, следующей за датой составления векселя, по дату начала наступления срока платежа (банки выдают простые дисконтные векселя со следующими сроками платежа: "на определенный день", "по предъявлении, но не ранее определенной даты", "по предъявлении", "через столько-то дней от предъявления");

Р - процентная ставка привлечения ресурсов под векселя на сумму С и срок Т (в процентах годовых).

Основанием для выдачи (реализации) векселя является Договор выдачи векселя СБ РФ, в том числе вместе с приложениями и Дополнениями (далее - договор). Вексель составляется на основании договора, подготовленного в соответствии с типовой формой, заключенного между банком и первым владельцем векселя. Договор подготавливается уполномоченными работниками и визируется юридической службой Банка.

Приобретателями векселей Банка могут быть - как юридические, так и физические лица, в том числе предприниматели без образования юридического лица.

Предприятие-инвестор для расчетов с поставщиками может прибегнуть к вексельному кредиту. Вексельный кредит может быть предъявительским и векселедательским. Первая форма присуща предприятиям, широко предоставляющим коммерческий кредит своим покупателям и заказчикам, и, следовательно, имеющим солидный вексельный портфель, часть которого и предъявляется банку для учета (продажи). Предприятия же, не обладающие сколько-нибудь значимым вексельным портфелем могут пользоваться вексельным кредитом в форме векселедательского.

Предоставление кредитов с использованием векселей производится в соответствии с "Регламентом предоставления кредитов юридическим лицам с применением векселей Сбербанка России", "Регламентом предоставления кредитов юридическим лицам Сбербанком России и его филиалами", "Положением о простых векселях Сбербанка России", а также с другими действующими нормативными актами Сбербанка России.

Предприятие может учесть вексель в банке до наступления срока платежа по нему, то есть передать банку все права на вексель(продать) по индоссаменту, получив вместо него вексельную сумму, уменьшенную на учетный процент (дисконт) за досрочное получение денег (так называемый учетный или предъявительский кредит). В этом случае к банку переходит и возможный риск неполучения платежа, но следует помнить, что предприятие в этом случае вместе с другими ответственными по векселю лицами несет перед банком солидарную ответственность. Однако банки, как правило, принимают к учету только надежные векселя. Это означает, что ответственными по векселю лицами должны быть лица с надежной с точки зрения банка платежеспособностью, с которых может быть взыскан долг в случае неплатежа.

Банки предъявляют особые требования к векселям для учета. Эти требования призваны препятствовать экономически необоснованному расширению кредита. Основными требованиями являются:

. Вексель должен быть юридически надежен (правильно оформлен, подписи подлинны, полномочия подписавших достаточны).

. Учитывающий банк должен проверить кредитоспособность клиента, а также проанализировать экономическое положение индоссантов.

. Вексель должен иметь товарное происхождение, которое может быть подтверждено договором поставки продукции, выполнения работ, оказания услуг, отгрузочными документами.

. Векселедатель не допускал ранее свои векселя до протеста.

Для проверки кредитоспособности банк требует от предприятия анкету о хозяйственном положении, последний баланс и годовой отчет, производственно-хозяйственный план, устав и некоторые другие документы, а также может провести рейтинговую систему оценки клиента.

Векселя Сбербанка России могут быть предъявлены к эквивалентному обмену на несколько векселей меньшего номинала (либо несколько векселей можно обменять на вексель большего номинала). При этом:

рублевые векселя могут быть разменяны только на рублевые векселя;

валютные векселя могут быть разменяны только на валютные векселя;

операции размена производятся при наступлении срока платежа по векселю. До наступления срока платежа по векселю подлежат обмену только векселя с нулевым дисконтом.

Банк принимает к досрочной оплате (размену) только те векселя, последний индоссамент на которых бланковый, на предъявителя или оформлен на Банк.

Банк предоставляет клиентам платные услуги, связанные с подтверждением факта выдачи векселя и его оплаты. Указанные справки могут быть выданы векселедержателю любым филиалом Банка, совершающим операции с векселями, независимо от места выдачи векселя.

Справка о факте выдачи удостоверяет только сам факт выдачи Банком векселя с определенными реквизитами и не является заключением о подлинности векселя.

Векселя Банка активно используются в кредитных операциях Банка:

Банк принимает от юридических и физических лиц как рублевые, так и валютные векселя в качестве обеспечения по выдаваемым кредитам;

юридическое лицо может получить кредит для приобретения векселей Сбербанка России, номинальная стоимость которых равна общей сумме кредита. Кредит предоставляется под более низкую ставку процента, по сравнению с обычным кредитованием.

Выданный вексель может быть передан другому лицу, посредством передаточной надписи (индоссамента). Индоссамент проставляется за подписью векселедержателя или поверенного по доверенности на обороте векселя или на присоединенном к оборотной стороне векселя (по нижнему краю) добавочном листе (аллонже). Каждый индоссамент должен иметь порядковый номер.

Рублевый вексель может быть передан первым векселедержателем по индоссаменту любому другому лицу - юридическому или физическому, в том числе предпринимателю без образования юридического лица. Юридическое лицо или физическое лицо, в том числе предприниматель, получившее вексель по индоссаменту, в свою очередь может передать вексель другому юридическому или физическому лицу, в том числе предпринимателю. Частичный индоссамент недействителен.

Передача валютного векселя по индоссаменту производится в соответствии с требованиями законодательства.

Конвертируемый вексель Сбербанка России. Данный вексель номинирован в долларах США и содержит оговорку платежа в рублях Российской Федерации.

Первый векселедержатель приобретает вексель за рубли Российской Федерации.

Вексель может быть приобретен как физическими, так и юридическими лицами и предпринимателями без образования юридического лица. Денежные средства за приобретаемый вексель перечисляются юридическими лицами со своих рублевых счетов. Физические лица и предпринимателя могут перечислить денежные средства со своего счета или внести их наличными.

Доход по конвертируемому векселю Сбербанка России может быть в форме процентов или дисконта.

Преимуществом данного векселя является то, что он позволяет защитить рублевые средства от обесценения. Особенно интересен этот вексель для юридических лиц, не имеющих возможности в соответствии с действующим валютным законодательством конвертировать имеющиеся рублевые денежные средства в доллары США. Доход, полученный ими при вложении рублевых средств в конвертируемый вексель, превысит темп роста курса доллара на величину процентной ставки дохода, предложенной Сбербанком России по указанному векселю.

Кроме того, вексель, содержащий оговорку платежа в рублях и с местом платежа в Российской Федерации, не является валютной ценностью, и режим валютных операций не распространяется на сделки между резидентами, связанные с такими векселями. Поэтому конвертируемые векселя, в отличие от валютных ценностей, могут служить инструментом расчетов для физических лиц. Данный банковский продукт позволяет проводить расчеты с контрагентами (юридическими и физическими лицами, резидентами и нерезидентами) за товары, работы, услуги без специального разрешения Банка России.

С приобретателей конвертируемых векселей не удерживается налог на покупку иностранных денежных знаков.

Этот финансовый инструмент реализуются:

для юридических лиц на срок до полутора лет;

для физических лиц на срок до двух лет.

Оплатить конвертируемые векселя можно во всех филиалах Сбербанка России, совершающих операции с векселями банка.

Организация оборота векселей представляется следующей схемой:

-договор на передачу векселей;

- перечисление денег на сумму: номинал-дисконт или номинал;

- передача векселей;

- вексель в оплату (номинал или номинал + проценты);

- выполнение обязательств;

- вексель к погашению;

- погашение векселя по номиналу или номинал + проценты.

Рис. 4. Схема выпуска банком дисконтного и процентного векселей

Достоинства векселя Сбербанка России:

Высокая ликвидность - вексель оплачивается в денежной форме в любом отделении или ОПЕРУ Сбербанка России;

Возможность использования во взаиморасчетах с контрагентами, высокий уровень доверия со стороны получателя векселя;

Возможность сокращения сроков расчетов, удобство в расчетах - независимо от состояния расчетного (текущего) счета;

Надежная форма вложения временно свободных денежных средств для получения дохода (процентного или дисконтного);

Минимизация рисков инвестора - высокая степень защиты и высокотехнологичная процедура идентификации выданных векселей;

Удобство в расчетах - возможность получения векселя любой вексельной суммы в рамках действующих лимитов;

Возможность передачи векселя другому физическому или юридическому лицу при помощи передаточной надписи (индоссамента). Количество индоссаментов не ограничено.

В пределах срока обращения векселей возможен эквивалентный обмен одного векселя на несколько векселей меньшего номинала, либо эквивалентный обмен нескольких векселей на один вексель большего номинала, либо эквивалентный обмен нескольких векселей на несколько аналогичных векселей, либо эквивалентный обмен одного векселя на аналогичный вексель.

Проанализировав деятельность Сбербанка России можно увидеть, что банк изменяет свою политику управления портфелем ценных бумаг в зависимости от состояния рынка.

В кризис банк сократил доли торговых портфелей и стал наращивать портфель инвестиционных ценных бумаг, для продажи. По сравнению с 2007 годом инвестиционный портфель вырос в 84 раза.

Разворачивающийся мировой кризис оказала сильное влияние на российский фондовый рынок и банковский сектор. Сбербанк оказался в числе российских компаний, чьи котировки в 2008 году существенно снизились. Цена обыкновенных акций банка упала на 77%, привилегированных на 87%. В результате рыночная капитализация банка уменьшилась.

Как видно из анализа Сбербанк России благополучно пережил кризисное время, благодаря правильно вовремя выбранной стратегии инвестирования денег в нужное русло финансового рынка.

Заключение

Рынок ценных бумаг на сегодняшний день является одним из динамично развивающихся, что обуславливает рост денежного оборота в данном сегменте экономики и привлечения профессиональных участков рынка.

Коммерческие банки на рынке ценных бумаг играют одну из важнейших ролей. Деятельность банков на рынке ценных бумаг можно разделить на четыре вида, которые отражают различную роль, выполняемую банками при проведении определенных операций с ценными бумагами:

деятельность банков как эмитентов;

деятельность банков как инвесторов;

профессиональная деятельность банков на рынке ценных бумаг;

традиционные банковские операции, связанные с обслуживанием рынка ценных бумаг.

Каждый вид деятельности включает в себя широкий спектр разнообразных операций, опосредующих как движение самих ценных бумаг, так и реализацию прав, вытекающих из этих ценных бумаг.

Особенность деятельности российских банков на рынке ценных бумаг заключается в том, что они осуществляют операции на этом рынке по общим правилам, действующим для всех участников рынка ценных бумаг, но при этом должны соблюдать еще и дополнительные правила, устанавливаемые Банком России.

Наиболее разработаны в методическом отношении и наиболее регламентированы операции коммерческих банков по эмиссии собственных ценных бумаг: акций, облигаций, векселей, депозитных и сберегательных сертификатов.

Деятельность банков как инвесторов предполагает проведение операций по покупке и продаже ценных бумаг; привлечение кредитов под залог приобретенных ценных бумаг; операции по реализации банком инвестором прав, удостоверенных приобретенными ценными бумагами; получение процентов, дивидендов и сумм, причитающихся в погашении ценных бумаг; участие в управлении акционерным обществом - эмитентом; участие в процедуре банкротства в качестве кредитора или акционера; получения причитающейся доли имущества в случае ликвидации общества.

Ведущую позицию на российском рынке ценных бумаг в части инвестиционной деятельности занимает Сбербанк России.

Также хорошее развитие получила профессиональная деятельность банков на рынке ценных бумаг. Банки предлагают своим клиентам широкий спектр услуг на фондовом рынке, которые пользуются популярностью.

Коммерческие банки являются не только участниками рынка ценных бумаг в качестве его рядовых покупателей и продавцов, но часто они занимаются и многими видами профессиональной деятельности. Коммерческие банки могут выполнять пять из семи существующих на российском рынке ценных бумаг видов профессиональной деятельности, т.е. по сути, они являются совершенно уникальным участником этого рынка. Уникальность состоит, во-первых, в том что банк сам по себе есть главный профессиональный участник кредитного рынка, но одновременно может быть и профессиональным участником рынка ценных бумаг, что в общем не свойственно большинству профессиональных участников других рынков.

Во-вторых, банк может выполнять почти все профессиональные виды деятельности на рынке ценных бумаг, кроме оказания услуг по ведению реестров их владельцев, которая по закону не сможет совмещаться ни с какими другими видами деятельности на рынке в целях недопущения незаконных манипуляций с реестрами, а также функции организатора торговли.

Все виды профессиональной деятельности на рынке ценных бумаг осуществляются на основании специального разрешения - лицензии, которая выдается федеральной комиссией по рынку ценных бумаг.

Такая высочайшая степень вовлеченности банка в обслуживание операций на рынке ценных бумаг вытекает из единой экономической природы современных (кредитных) денег и ценных бумаг как невещественных товаров или таких товаров, которые не могут быть употреблены человеком ни как средства производства, ни как потребительские блага, но представляют собой источник рыночных доходов.

Банк не просто может работать на рынке ценных бумаг, он должен быть его активным участником, поскольку существенную часть своих пассивов вынужден вкладывать в покупку доходных ценных бумаг.

Главные причины, по которым необходимы операции с ценными бумагами:

потребность в получении дополнительных доходов. Ввиду того, что кредитные операции банков часто по разным причинам не позволяют получать им достаточную норму прибыли, банки вынуждены заниматься прибыльной деятельностью на других рынках, прежде всего на рынке ценных бумаг;

повышение ликвидности банковских активов. Выдавая кредиты, банк ограничивает свои возможности по своевременному выполнению текущих обязательств перед владельцами расчетных счетов и депозитов. Вложение части банковских средств в ценные бумаги позволяет банку в случае необходимости быстро их вернуть, продав ценные бумаги, а вырученные средства направить на выплаты владельцам банковских счетов.

Особенность кредитной организации - профессионального участника рынка ценных бумаг - состоит в том, что изначально кредитная организация создавалась для осуществления банковской деятельности, и, получив статус профессионального участника фондового рынка, осталась кредитной организацией с той же организационно-правовой формой, уставным капиталом и ограничениями по его формированию и другими особенностями. Можно даже утверждать, что такой хозяйствующий субъект и с точки зрения законодателя, и с позиции контролирующего органа будет прежде всего рассматриваться как кредитная организация, а не как профессиональный участник рынка ценных бумаг.

Банковская деятельность достаточно жестко контролируется Центральным банком РФ и является объектом тщательного анализа других заинтересованных организаций. Банки постоянно публикуют результаты своей финансовой деятельности, отчетные балансы, отчитываются перед ЦБ РФ по широкому кругу показателей. Это позволяет проводить объективную рейтинговую оценку их работы, что повышает надежность банковских операций.

Эмиссии банковских облигаций в России пока широко не практикуются. Это объясняется тем, что инвесторы пока не способны на долгосрочное инвестирование средств, но с развитием рынка ценных бумаг и стабилизацией экономики в целом банковские облигации займут значительное место на финансовом рынке.

Банковские векселя в настоящее время уже пользуются большой популярностью. Многие банки выпускают не только финансовые векселя (как аналог депозитного займа) но и используют векселя для совершения разнообразных торгово-финансовых операций. Вексельное обращение в России имеет весьма хорошие перспективы развития.

События последних лет показали, что российский рынок ценных бумаг по степени интегрированности в мировое финансовое сообщество уже является частью мирового рынка. Соответственно наш рынок испытывает на себе в той или иной степени все основные тенденции развития, которые отмечаются на мировых фондовых рынках, что способствует качественно новому этапу развития всей системы.

банк ценный бумага инвестиция

Список используемой литературы

1. Федеральный закон от 27.06.2002 № 86-ФЗ "О Центральном банке Российской Федерации" (ред. от 19.10.2011, с изм. от 21.11.2011) "О Банке Российской Федерации" (Банке России)

. Федеральный Закон РФ от 22.04.1996 г. № 39-ФЗ (ред. от 30.11.2001) "О рынке ценных бумаг" с изм. и доп, вступающими в силу с 01.01.2012)

. Федеральный закон от 02.12.1990 № 395-1 "О банках и банковской деятельности" (ред от 06.12.2011)

. Гражданский кодекс Российской Федерации: Части первая, вторая, третья и четвертая. - М: Омега Л, 2008. - 665 с. - (Кодексы Российской Федерации).

. Постановление ФКЦБ от 11.10.1999 № 9 (ред.от 16.03.05) "Об утверждении правил осуществления брокерской и дилерской деятельности на рынке ценных бумаг РФ" (Зарегистрировано в Минюсте РФ 05.01.2000 № 2040)

. Приказ ФСФР России от 24.04.07 № 07-50/пз-н (в редакции от 11.02.2010 № 10-7/пз-н) "Об утверждении нормативов достаточности собственных средств профессиональных участников рынка ценных бумаг, а также управляющих компаний инвестиционных фондов, паевых инвестиционных фондов и негосударственных пенсионных фондов"

. Приказ ФСФР России от 24.05.2011 № 11-23/пз-н (ред. от 24.05.2011) "Об утверждении нормативов достаточности собственных средств профессиональных участников рынка ценных бумаг, а также управляющих компаний инвестиционных фондов, паевых инвестиционных фондов и негосударственных пенсионных фондов" (Зарегистрировано в Минюсте РФ 21.06.2011 № 21073)

. Проект Федерального закона № 47538-6 "О внесении изменений в части первую, вторую, третью и четвертую Гражданского Кодекса Российской Федерации, а также отдельные законодательные акты Российской Федерации" (в ред., принятой ГД ФС РФ в I чтении 27.04.2012)

. Распоряжение Правительства РФ от 29.12.2008 № 2043-р "Об утверждении стратегии развития финансового рынка Российской Федерации на период до 2020 года"

. Указание банка России от 07.04.2000 № 771-У "О внесении изменений и дополнений в Положение Банка России от 23.10.97 № 1-П "Об особенностях лицензирования профессиональной деятельности кредитных организаций на рынке ценных бумаг"

. Федеральный закон "О рынке ценных бумаг" от 22.04.1996 № 39-ФЗ (с изм. и доп, вступающими в силу с 1.01.2012)

. Адамова К.Р. Депозитарные операции кредитной организации.

. Апрелев К.Н. Организация и осуществление межрегиональных сделок с коммерческой недвижимостью при развитии региональных сетей: опыт работы с банками / К.Н. Апрелев // Имущественные отношения в РФ. - 2008. - № 3. - С. 34-38.

. Адамова К.Р. Экономические основы и международный опыт. / К.Р. Адамова. - GUMER-INFO, 2010. - 256 с.

. Бабичева Ю.А. Банковское дело / Ю.А. Бабичева - М.: Экономика, 2009. - 144 с.

. Банковское дело: Учебник / Под ред. Г.Г. Коробовой. - М.: Юристъ, 2009. - 276 с.

. Банковское дело: Учебник / Под ред. Г.Н. Белоглазова, Л.П. Кроливецкой. - 5-е изд. перераб. и доп. - М.: Финансы и статистика, 2009. - 326 с.

. Богатырев А.Г. Инвестиционное право / А.Г. Богатырев. - М.: Российское право, 2009. - 218 с.

. 20. Боровкова В.А. Рынок ценных бумаг / В.А. Боровкова. - СПб.: Питер, 2010. - 312 с.

. Вавулин Д.А. Комментарий к Федеральному закону "О рынке ценных бумаг" (постатейный) / Д.А. Вавулин - М.: ЗАО "Юстицинформ", 2011. - 274 с.

. Виноградов В.А. Инвестиционная политика российских банков / В.А. Виноградов. - М.: Афон, 2008. - 250 с.

. Воронин В.Г. Организация и финансирование инвестиций / В.Г. Воронин. - Омск, Омский дом печати, 2008. - 112 с.

. Губин Е.П. Предпринимательское право Российской Федерации / Е.П. Губин. - М.: Юристъ, 2009. - 408 с. Денисов А.Ю. Инвестиции и инновации / А.Ю. Денисов. - М.: ЛИС, 2009.- 61 с.

. Деньги, кредит, банки: Учебник / Под ред. О.И. Лаврушина. - М.: Финансы и статистика, 2009. - 348 с.

. Инвестиции. Организация управления и финансирования: Учебник для вузов / Н.В. Игошин. - М.: Финансы, ЮНИТИ, 2010.- 108 с.

. Инюшин С.В. Эффективное развитие сети кредитующих подразделений коммерческого банка / С.В. Инюшин // Банковское дело. - 2010. - № 5. - С.15.

. Логвинова Н. Купить? Арендовать? Построить? / Н. Логвинова // Банковское обозрение. - 2009. - № 4. - С. 34-37.

. Никонова И.А., Шамгунов Р.Н. Стратегия и стоимость коммерческого банка / И.А.Никонова, Р.Н. Шамгунов. - М.: Бератор-Пресс, 2011. - 366 с.

. Операции банков с ценными бумагами (векселями). Учет и налогообложение /. Сборник статей. - М.: "Парфенов.ру", 2008. - 430 с.

. Раланов В.А., Басов А.И. Рынок ценных бумаг / В.А. Раланов, А.И. Басов. - М: Финансы и статистика, 2007. - 428 с.

. Ручкина Г.Ф. Инвестиционная деятельность: проблемы и перспективы развития / Г.Ф. Ручкина. - М.: Российский государственный гуманитарный университет, 2009.- 190 с.

. Рынок ценных бумаг и фондовая биржа. Курс лекций / А.А. Мишарев. - Петрозаводск, ПетрГУ, 2010. - 218 с.

. Рынок ценных бумаг: теория и практика: Учебник // под ред. В.А. Галанова.- М.: Финансы и статистика, 2008. - 327 с.

. Рынок ценных бумаг: Учебник для студентов вузов, обучающихся по экономическим специальностям / Е.Ф. Жукова. - 3-е изд.,перераб.и доп. - М.: ЮНИТИ-ДАНА, 2010. - 383 с.

. Рынок ценных бумаг: Учебное пособие / В.Д. Никифорова. - СПб.: Изд-во СПбГУЭФ, 2010. - 286 с.

. Рынок ценных бумаг и биржевое дело: Учебное пособие / Т.Б. Бердникова. - М.: ИНФРА, 2009. - 290 с.

. Рынок ценных бумаг: Учебное пособие / А.Г. Ивасенко, Я.И Никонова. - М.: ИНФРА-М, 2010. - 459 с.

. Рынок ценных бумаг: Учебно-методический комплекс / Под ред. В.М. Аскинадзи. - М.: Изд. центр ЕАОИ, 2011. - 211 с.

. Рынок ценных бумаг и его участники: Учебник / М.В. Астахов. - М.: Бератор-Пресс, 2010. - 346 с.

. Рынок ценных бумаг: Учебное пособие / А.И. Иванов. - М.: Статус ЛТД, 2010. - 407 с.

. Рынок ценных бумаг и биржевое дело: Учебник / Под ред. О.И. Дегтярева [и др.]; М.: Бератор-Пресс, 2009. - 350 с.

. Фельзенбаум В. Иностранные инвестиции в России / В. Фельзенбаум. - М.: Экономика, 2008. - 216 с.

. Ценные бумаги: Учебник / В.И. Колесникова -2-е изд., перераб. и доп.-М.: Финансы и статистика, 2009.- 448 с.

. Ценные бумаги и фондовый рынок: Учебник / Я.М. Миркин - М.: Дело и сервис, 2011. - 468. с.

. Шеремет В.В., Павлюченко В.М., Шапиро В.Д. Управление инвестициями / В.В. Шеремет [и др.]; - М.: Высшая школа, 2008. - 257 с.

Приложение 1

Участники рынка ценных бумаг

Приложение 2

Структура портфеля ценных бумаг ОАО "Сбербанк России" 2009 года.

Приложение 3

Структура портфеля ценных бумаг ОАО "Сбербанк России" 2010 года.

Приложение 4

Структура портфеля ценных бумаг ОАО "Сбербанк России" 2011 года.

Похожие работы на - Инвестиционная деятельность коммерческих банков на рынке ценных бумаг

 

Не нашли материал для своей работы?
Поможем написать уникальную работу
Без плагиата!
Без нейросетей!