Инвестирование в ценные бумаги современных российских организаций

  • Вид работы:
    Курсовая работа (т)
  • Предмет:
    Банковское дело
  • Язык:
    Русский
    ,
    Формат файла:
    MS Word
    327,62 Кб
  • Опубликовано:
    2015-02-09
Вы можете узнать стоимость помощи в написании студенческой работы.
Помощь в написании работы, которую точно примут!

Инвестирование в ценные бумаги современных российских организаций

Оглавление

ценный акция инвестирование доходность

Введение

Глава 1. Теория инвестиций в ценные бумаги

1.1 Показатели качеств ценных бумаг

1.2 Оценка доходности ценных бумаг

.3 Оценка риска инвестиций в ценные бумаги

Глава 2. Вложение инвестиций в акции ОАО "Аэрофлот"

2.1 Оценка доходности и рисков инвестиций в акции ОАО "Аэрофлот"

Заключение

Список использованных источников

Приложение

 

Введение


Тема данной курсовой работы является очень актуальной в современное время в период нестабильных условий работы финансовых рынков. Всегда существует необходимость в формировании прибыли организаций, важнейшим способом является приобретение ценных бумаг из которых формируются портфели бумаг различного назначения. Однако, такие инвестиции способны приносить не только прибыль, но убытки, поэтому деятельность, связанная с приобретением ценных бумаг является весьма рискованной.

Развитие финансового рынка в настоящее время сдерживается различными факторами, поэтому исследование риска и доходности способствует оптимизации серьезных социально-экономических проблем. Повышение капитализации российского фондового рынка способно смягчить последствия финансового кризиса в ней. Чем эффективнее институты фондового рынка будут справляться со своими задачами, тем выше будет экономический рост всей экономики в целом.

Для решения данных задач необходимо изучение доходности ценных бумаг как финансовых инструментов, а также риска вложений в них. Все вышесказанное свидетельствует об актуальности темы курсовой работы.

Тема курсовой работы в достаточной степени освещена. Большой вклад в теорию инвестиций на рынке ценных бумаг были внесены работами следующих зарубежных специалистов: Александера Г.Дж., Марковица Г.М., Мерфи Дж., Моссина Дж, Росса С.А., Сороса Дж., Фамы Э.Ф., Шарпа У.Ф и многих других. В отечественной экономической науке также востребованы проблемы, риска и доходности в инвестиции на рынке ценных бумаг, разрабатываемые в работах: Б.И. Алехина, А.И. Буренина, О.А. Кандинской, А.В. Коланькова, В.И. Колесникова, И.Н. Платоновой, Е.С. Стояновой, В.И. Таранкова, В.А. Тарачева, Е.М. Четыркина и других авторов.

Целью работы является изучение риска и доходности операций на рынке ценных бумаг на примере компании ОАО Аэрофлот.

Цель исследования определила постановку следующих задач:

1)      Изучить теоретические основы функционирования рынка ценных бумаг;

)        Изучить риск и доходность инвестирования на рынке ценных бумаг;

)        Изучение возможности вложений инвестиций в акции ОАО Аэрофлот.

)        Исследовать доходность и риск инвестиций в акции, выбранной компании.

Предметом исследования курсовой работы является методы оценки риска и доходности инвестирования в ценные бумаги современных российских организаций.

Объектом исследования выступает ОАО Аэрофлот.

Теоретико-методологической основой курсового проекта послужили законодательные и нормативно-правовые акты РФ, научные труды отечественных и зарубежных исследователей, посвященных вопросам теории и практики инвестиционной деятельности предприятий на рынке ценных бумаг. В качестве информационной базы использованы материалы ОАО Аэрофлот, опубликованные в открытой печати, в том числе на сайте компании.

Глава 1. Теория инвестиций в ценные бумаги


.1 Показатели качеств ценных бумаг

Оценка ценных бумаг как финансового инструмента, исходит из применения следующих основных критериев:

) Безопасность вложений. Заключается в сохранении вложенного капитала. Безопасность и прибыльность вложений в финансовые инструменты находятся в обратной зависимости.

) Доходность вложений. Возврат вложенных инвестиций и рост прибыли, это определяется рыночной стоимостью финансовых инструментов.

) Ликвидность вложений. Ликвидность финансовых вложений относится к их способности быстро и без потерь превращаться в наличные деньги.

Считается, что если инвестор владеет менее пятой части акций другой компании, это не будет иметь значительное влияние на контроль над компанией, акции которой приобретены.

В случае, обладания инвестором от пятой части до половины акций компании, то этот факт существенно влияет на деятельность предприятия, акции которого приобретены, но инвестор еще не имеет возможность контролировать ее деятельность. Ощутимое влияние появляется тогда, когда инвестору предоставляется возможность формировать состав органов, вырабатывающих управленческие решения на предприятии - объекте инвестирования.

При владении инвестором от половины акций компании, обладатель получает контрольный пакет акций, что дает возможность принимать решения по важнейшим, в том числе и стратегическим, вопросам, влияющим на эффективность деятельности компании.

Как правило, инвестиции вкладываются в ценные бумаги разных компаний, в результате чего формируется набор финансовых вложений - портфель.

Ценные бумаги обладают определенным качеством, зависящим от их вида. Выделяют облигации, которые позволяют сохранить сбережения с фиксированным доходом, интересны тем, что сохраняют вложенный капитал и приносят гарантированный доход. Также существуют акции, при выгодных условиях могут быть реализованы по цене в несколько раз выше, чем цена покупки. Однако ухудшение финансового положения эмитента может оказаться причиной падения не только цены на акции, но и уменьшению или отсутствию дивидендов на них. Акции выбирают те, кто готов рисковать и играть на разнице цен между покупкой и их продажей. Помимо этого следует упомянуть о сертификатах, которые, в свою очередь, являются наиболее надежным средством сохранения капитала в условиях инфляции, так как по ним начисляются относительно высокие проценты.

Инвестиции в ценные бумаги осуществляются путем помещения капитала в предприятия на длительный срок, в первую очередь для сохранения капитала, для получения дополнительной прибыли, чтобы приобрести влияние на другие предприятия, а также в связи с тем, что такой способ вложение средств является наиболее выгодным, в сравнении с организацией собственных операций в этой области.

Разрабатывая инвестиционную финансовую политику, предприятия ставят перед собой различные цели. Выделяют основные из них:

1) сохранение капитала;

) получение процента;

)обеспечение прироста капитала.

Эти цели могут быть разными для чего и формируют различные портфели ценных бумаг. "Агрессивный" портфель, состоящему из высокорискованных бумаг способен в случае хорошего стечения обстоятельств дать высокие проценты. Если же для инвестора важнее сохранность капитала, то в портфель собирают ценные бумаги, обладающие низкой доходностью но зато большей ликвидностью. Этот портфель называется консервативным.

Инвестиции в ценные бумаги дают предприятию прибыль, полученную от основной деятельности. Следовательно, чаще всего предприятия нацелены на получение дохода, поэтому проводят тщательную оценку степени риска.

Основными инвестиционными качествами ценных бумаг выделяют доходность, обращаемость, ликвидность и риск.

Невозможно подобрать ценные бумаги, которые одновременно могут отвечать двум важным качествам - минимум риска и максимум дохода. Так как, чем выше риск, тем большая вероятность получения крупного дохода. Каждый тип ценных бумаг интересен инвестору по-своему. Нужно обратить внимание, что финансовый кризис 2008 года начался в следствии того, что банки недооценили рискованность ипотечных ценных бумаг, из-за чего сильно пострадали.

Различные типы ценных бумаг могут быть перечислены в порядке возрастания риска и, соответственно, в порядке убывания их доходности (рис. 1.1).

Рис. 1.1. Ценные бумаги в порядке убывания риска

Таким образом, инвестиции в ценные бумаги являются доходным, но в тоже время весьма рискованным видом деятельности. Если основной целью инвестиций является получение максимально возможного дохода, то и риск инвестора оценивается вероятностью недополучения планируемого прироста дохода (доходности ценных бумаг). Причем, чем выше ожидаемая доходность вложения, тем больше возможный риск.

.2 Оценка доходности ценных бумаг

Доходность ценных бумаг является отношение дохода по ценной бумаге за период к ее рыночной цене. Данный показатель отражает норму прибыли, получаемую инвестором. Доходность ценных бумаг для каждого вида имеет разные формулы.

Доходность акции - это количественный показатель. Инвестор может получать как дивиденды по акциям так и прирост курсовой стоимости. Прирост курсовой стоимости это есть разница между ценой продажи и покупки. Расчет дохода по акциям зависит от длинны инвестиций.

Акции обладают плавающим доходом. Для определения курса акции пользуются различными моделями. Наиболее распространенной является модель М.Гордона. Данная модель выделяет три варианта расчета текущей рыночной цены:

.При q=0 - модель нулевого роста.

 , (1.1)

Где  - текущая рыночная цена акции;- темп прироста дивидентов;

 - текущий дивидент;- ставка дохода, требуемая инвестором.

.При q=const - модель постоянного роста.

(1.2)

 - величина дивидента на ближайший прогнозируемый период.

. q≠const - модель переменного роста

 (1.3)

Особенность последнего способа заключается в том, чтобы найти период времени N, после которого ожидается рост дивидентов с постоянным темпом q.

Ставку дивидента можно рассчитать по формуле:

(1.4)

- величина, выплачиваемых годовых дивидентов;- номинальная цена акции.

Доходность акций складывается из следующих составляющих:

¾      процентов (купонного дохода);

¾      разницы в курсовой стоимости акции;

¾      дохода от реинвестирования купонного дохода.

Акция характеризуется фиксированным текущим доходом, представляющим постоянные фиксированные выплаты в течение ряда периодов.

Доходность акций можно определить как доход, приходящийся на единицу инвестиций.

Выделяют текущую и конечную доходность акции

Текущая доходность акции:

, (1.5)

D - величина, выплачиваемых годовых дивидентов;

 - цена приобретения акции.

Текущая рыночная доходность:

 (1.6)

- текущая рыночная цена акции

Показатель конечной доходности:

 (1.7)

- цена продажи акции;

 - величина дивидентов, выплаченная в среднем в год (находится как среднее арифметическое).

.3 Оценка риска инвестиций в ценные бумаги

Термин "риск" используется с давних времен, родом от латинского слова - "ridsicare" (означает "маневрировать среди скал"). В древности результат морского похода был покрыт неизвестностью. Поэтому термин "риск" взят для самых разных отраслей деятельности, включая финансовую.

Финансовая деятельность многих коммерческих предприятий связана с предпринимательством. Это значит, что основным по отношению к коммерческому предприятию выделяют предпринимательский риск. Риск - это один из основных признаков предпринимательской деятельности. Предприниматель ведет свою деятельность на удачу, поэтому риск связан с долей вероятности эту "удачу" не получить. В экономическом словаре указываются виды потерь предпринимателя: "Риск предпринимательский - опасность недополучения дохода, возникновения материальных и финансовых потерь в предпринимательской деятельности".

Принимая свои решения в условиях неопределенности, предприниматели зачастую руководствуются интуицией, вкладывают психологические, а не математические мотивы. Очевидно, что все предприниматели одновременно не могут оправдать своих ожиданий в силу ограниченности ресурсов. Члены предпринимательской деятельности действуют на рынке несогласованно, ввиду этого неопределенность только усиливается. Те, кто неправильно оценил шансы на успех предприятия терпят убытки. Психофизическая школа анализа предпринимательского риска считала, что выбор решений в условиях неопределенности в значительной степени зависит от субъективных оценок предпринимателями уровня риска и доходности.

Маржиналисты полагали возможность таких событий, вероятность которых может быть рассчитана и событий, вероятность которых невозможно анализировать. Марксисты принимали риск за важный фактор преодоления ограниченности ресурсов и активного формирования конкурентных преимуществ организации, поэтому прибыль являлась вознаграждением за риск.

В неоклассической школе экономики была разработана "модель неприятия риска", которая подразумевала, что открывая дело, предприниматели не только оценивают риск, а так же стараются принять меры по его снижению. Данное поведение получило название "экономического поведения" предпринимателей в условиях риска.

Экономисты из школы институционализма выделяли роль предпринимателей, совершающих инновационную деятельность в условиях риска. Технологические инновации могут оказывать сильное влияние на состояние финансовых рынков. Поэтому, за инновациями в условиях высокого риска следуют серьезные изменения в экономике, влияющие на всю экономическую обстановку.

Экономическая школа кейнсианства отмечала основную роль неопределенности, которая оказывает влияние на экономическое поведение людей. Вследствие этого отмечаются колебания инвестиционной активности, которое порождает новую неопределенность.

Современные теории риска основаны на рассмотрении практических аспектов разных сфер экономической деятельности банковском бизнесе, страховании, инвестициях и т.п. Современный финансовый риск-менеджмента, разработал разнообразные теории риска: портфельную (Марковиц, Тобина и др.), модель оценки стоимости финансовых активов (Шарп, Моссин и др.), модель оценки стоимости опционов (Блэк, Скоулз и др.) и ряд других.

В рыночных условиях хозяйствования инвестиционная деятельность организаций сопряжена с принятием рискованных решений, связанных с неопределенностью большого количества факторов (обстоятельств) их осуществления. При этом в условиях рыночной экономики наибольшую прибыль, как правило, приносят операции с повышенным риском. Не являются исключением и операции с ценными бумагами.

Портфель инвестиций формируют для сохранения капитала, его увеличения за счет роста курсовой стоимости ценных бумаг, для получения наибольшего объема дивидентов. Основное свойство риска характеризуется тем, что его появление возможно только в будущем и тесно связано с прогнозированием и планированием результатов, а следовательно и с принятием инвестиционного решения.

Прибыль, на которую рассчитывает инвестор, совершая инвестиции в ценные бумаги, всегда зависит от величины риска. Надежность вложений зависит от количества различных типов ценных бумаг в портфеле предприятия. Оценка рискованности и эффективности инвестиций находятся в тесной связи.

Инвестиционные риски ведут к снижением уровня доходности предприятия, так как оно может нести убытки.

Инвестиционные проекты, принимаемых в условиях неопределенности, должны содержать учет уровня риска.

Классификацию рисков делают в целях эффективного применения соответствующих методов и приемов управления риском. Каждому риску разрабатывают или полагают свой прием управления риском.

Рассмотрим, приведенную на рисунке 1.2 классификацию рисков, изучим характеристики разновидностей инвестиционных рисков.

Риск потери прибыли - возможный риск финансовых потерь в следствии неосуществления противорисковых мероприятий (страхование, хеджирование и т.д.)

Риск снижения доходности может быть связано с уменьшением суммы процентов (дивидендов) по кредитам, портфельных инвестиций и вкладов. Для инвестиций в ценные бумаги характерны в первую очередь риски прямых финансовых потерь.

Биржевые риски показывают опасность потерь от проводимых биржевых сделок. Селективные риски - это риски неудачного способа инвестиций, формирование убыточного или недостаточно прибыльного инвестиционного портфеля.

Рис. 1.2. Классификация инвестиционных рисков

В итоге, классификация рисков - многовариантна, строится в зависимости от выбранных критериев.

Для осуществления количественной оценки риска вложений в акции, обычно наблюдают за динамикой цен и курсов за определенный период.

Сущность оценки рисков необходима для того, чтобы рассматривать будущий доход, который может реализовать финансовый инструмент, как случайную величину.

Динамику курсов акций представляют в виде конечной выборки (из генеральной совокупности {Рi}, где Рi - курс /цена акции в определенный (i) момент времени. Количественной мерой риска dshf;ftncz дисперсия случайных величин Рi как мера разброса:

 (1.7)

где Рср - выборочная средняя, которая рассчитывается следующим образом:

 (1.8)

где n - кол-во наблюдений или объем выборки.

На практике часто используется статистическая мера вариации или широты распределения - стандартное отклонение σ, а также мера относительной дисперсии - коэффициент вариации.

Данный показатель финансового риска показывает, на сколько процентов от средней ожидаемой доходности можно ошибиться, если вкладывать средства в определенный вид финансового инструмента.

Оценка рисков дополняется оценкой финансовой состоятельности эмитента и инвестиционной привлекательности его акций. Эта комплексная оценка рисков и привлекательности акций лежит в основе стратегии инвестора на рынке ценных бумаг. Факторы риска ценных бумаг выделяется внешней средой (примером служит, риск законодательных изменений, валютные, процентные риски и др.) и внутренней для определенной компании причинами (состояние менеджмента, финансовая устойчивость эмитента, опыт работы персонала с ценными бумагами и т.д.). Поэтому разделяют собственный, субъективно присущий конкретной акции вид риска, и рыночный, или объективно существующий риск, который не зависит от внутренних факторов компании,

(от знаний или подготовки персонала компании). В реальности собственный риск можно свести к незначительной величине правильными действиями инвестора или менеджера, поэтому он обычно называется диверсифицируемым. Рыночный риск неустраним, его конечная величина является систематическим риском.

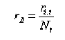
Расчет и анализ показателей риска акций компаний производится следующим образом. Значения доходности акций ri.t могут быть получены как отношение изменения цен к цене покупки акции:

 (1.9)

где Рi.t и Рi.t-1 - рыночные цены i-ой акции в момент продажи t и покупки t - 1 соответственно.

Предположим, что доходность акции за наблюдаемый промежуток времени связана с изменением доходности, отнесенной к рыночному индексу за тот же отрезок времени. Рыночный индекс It - взвешенная по рыночной капитализации средняя арифметическая отношений цен:

 (1.10)

где Mt - общая рыночная капитализация в период t, a Mt-1 - общая рыночная капитализация в период t - 1 соответственно. Общая рыночная капитализация акций Mt составит:

 (1.11)

где mi.t - число i-х акций, котирующихся в момент времени t; Рi.t - средневзвешенная цена i-й акции; Mt - общее количество акций компаний в момент времени t. Относительное изменение рыночного индекса на период наблюдения t можно представить в виде:

 (1.12)

Определим значение доходности на рыночный индекс как средневзвешенную доходностеи акций, котирующихся в период наблюдения на рынке:

 (1.13)

где ri.t - доходность i-й акции; Nt - общее количество акций компаний на рынке в момент t

Рассмотрим зависимость между изменением доходности ri.t i-й акции, котирующейся в период наблюдения t, и доходностью rI.t на рыночный индекс It. Один из методов отражения данной взаимосвязи носит название рыночная модель ("market model"), которая может быть представлена в следующем виде:

 (1.14)

где ri.t - доходность i-й акции за наблюдаемый период t; αIi - коэффициент смещения; βIi - коэффициент наклона; rIt - доходность на рыночный индекс в период t; ЕIi t - случайная погрешность.

Коэффициент наклона βIi или β -коэффициент i-й акции вычисляется следующим образом:

 (1.15)

где σIi - ковариация между доходностью i-й акции и доходностью на рыночный индекс; σI2 - дисперсия доходности на индекс I.

Ковариация показывает, как две случайные величины ведут себя по отношению одна к другой, и вычисляется по формуле:

 (1.16)

Уровень риска ценных бумаг сопоставляется со следующими значениями β-коэффициентов (табл. 1.1).

Таблица 1.1

Уровень риска ценных бумаг

Значение β-коэффициента

Уровень систематического риска

β=1 β>1 β<1

Средний Высокий Низкий


Коэффициент смещения αIi называют безрисковой ставкой доходности по i-й акции, иногда ее называют требуемой ставкой доходности.

Исходя из общего определения меры риска (дисперсии) по i-й акции:

 (1.17)

и уравнения


Можно вывести следующее равенство:

σi2=βIi σI2+ σEi2

где σi2 - полная дисперсия i-й акции или общий риск акции; σI2- дисперсия доходности на рыночный индекс; βIi σI2- систематический риск; σEi2 - дисперсия случайной погрешности ЕIi t или диверсифицируемый риск i-й акции.

Глава 2. Вложение инвестиций в акции ОАО "Аэрофлот"


.1 Оценка доходности и рисков инвестиций в акции ОАО "Аэрофлот"

Оценка доходности и рисков инвестиций в акции всегда проводится с учетом динамики рынка акций. Главный фактор последнего времени - снижение цен на нефть. Влияние нефтяных цен несомненно влияет на российский фондовый рынок. Однако достаточно посмотреть на совместную динамику цен на нефть и фондового индекса ММВБ на рис. 2.1, как видно не совсем прямое взаимодействие этих ключевых показателей. Нефть снижалась в течение всего года. А индекс ММВБ показывал периодическое скачкообразное изменение.

Рис. 2.1. Динамика индекса РТС, пункты

Рис. 2.2. Динамика индекса ММВБ, пункты и цены нефти Brent, долл.      

Такое влияние нефтяных цен осуществляется через изменение рыночной стоимости акций нефтяных компаний, традиционно составляющих значительную долю в российском биржевом индексе. Другим каналом влияния служит изменение сальдо платежного баланса и денежной массы. На фоне крупнейших долгосрочных финансовых кризисов последнего столетия (см. рис. 2.1) финансовый кризис в России 2008-2009 г. является ярко выраженным "V-образным" кризисом.

Анализ динамики темпов роста капиталоемкости ВВП России показывает, что внутренний рынок, также как и у других развивающихся стран, один из наименее капитализованных. В общем, за период 1996-2014 годы отмечалось два резких скачка в темпах роста капиталоемкости ВВП и два были менее значительными: в 1997 и 1999 и 1998 и 2001 соответственно.

Высокая волатильность рынка особенно проявляется в период нестабильности мировых рынков. Волатильность российского рынка выше чем у прочих подобных рынков ценных бумаг: коэффициент вариации, характеризующий уровень волатильности рынка за 2004-2008 гг., равен 45,02% (для сравнения: в США волатильность фондового рынка - 10,4%, в Великобритании - 12,77%).

Высокая волатильность индексов ММВБ и РТС отражает системные риски инвестиций в акции российских компаний.

Рассматривая компания - эмитент акций Аэрофлот является лидером гражданской авиации России. Аэрофлот входит в ассоциацию SkyTeam, крупнейший авиационный альянса в мире. Местом Аэрофлота дислокации является аэропорт "Шереметьево". В активе компании насчитывается более 100 авиалайнеров. Аэрофлот как открытое акционерное общество является эмитентом обыкновенных акций номиналом 1 руб. Количество выпущенных акций - 1110616299 шт. при этом в свободном обращении примерно 32% акций (Free-float). На 12.12.2014 акции Аэрофлот содержатся в котировальном листе Classica ММВБ с тикером AFLT.

Таблица 2.1

Выплаты дивидендов ОАО Аэрофлот

Год

Период

Дата закр. реестра для ОСА

Дата закр. реестра для получения дивидендов

Сумма выплаты





руб

%

2009

год

04.05.2010

04.05.2010

0.35

0.58 %

2010

год

11.05.2011

11.05.2011

1.09

1.58 %

2011

год

10.05.2012

10.05.2012

1.81

3.92 %

2012

год

06.05.2013

06.05.2013

1.16

2.20 %

2013

год

12.05.2014

08.07.2014

2.50

4.21 %


Проведем оценку акции ОАО Аэрофлот исходя из ее доходности. Доход в расчете на одну акцию означает прибыль (за вычетом налога, без учета непредвиденных статей и дивидендов), деленную на количество выпущенных простых акций. В завершившемся году компания ОАО Аэрофлот получила прибыль - 11096946000 руб. Акционерный капитал компании составляет 1993326138 простых акций по 1 руб. каждая.

Следовательно, доход на одну акцию составит:

/ 1110616299 акций = 9,992 руб.

Эти 9,992 руб. представляют собой 9,992 *100/1 =999,2% стоимости акции.

Отношение "цена - доход" (отношение Ц - Д, не менее известное как P/E - Price-Earnings Ratio) представляет собой отношение цены акции к годовому доходу компании на одну акцию.

Акции компании ОАО Аэрофлот котируются на фондовом рынке по курсу 37.4, руб. на 11.12.2014. Рыночная стоимость всех акций на данный момент составляет

.40*1110616299 = 41537049582,6 руб. или 41,5 млрд. руб.

Отношение Ц - Д можно вычислить следующим образом:

Общая стоимость всех акций / Общий доход = Рыночная стоимость 1 акции / Доход на одну акцию.

,6 / 11096946000 руб. = 37.40/ 9,99 = 3,7

Отношение Ц - Д равно 3,7. Это значит, что рыночная стоимость акций на данный момент почти в 4 раза превышает годовой доход, который они приносят.

ОАО Аэрофлот имеет небольшую дивидендную доходность среди российских компаний (рис. 2.3).

Рассчитаем доходность акции ОАО Аэрофлот за 2013 год:

Дох2013 = [[2,5 + (59,34 - 58,97)]/ 58,97] x 100%=4,9%

Рассчитаем доходность акции ОАО Аэрофлот на текущий момент без учета дивидендов:

Дох2015 = [(37.40- 58,97)/ 58,97] x 100%= - 36,6%

Если за 2013 год держатель акции получил прибыль 4,9% к цене инвестиций, то в 2014 убыток составил - 36,6%.

Рис. 2.3. Сравнение дивидендной доходности ОАО Аэрофлот с рядом российских компаний

Оценим общие тренды рынка (рис. 2.4).

Рис. 2.4. Динамика индекса ММВБ и цены акций ОАО Аэрофлот    

Рассмотрение динамики кривых на рис. 2.4 свидетельствует о том, что тренд рынка более крутой, чем акций ОАО Аэрофлот. В течение прошедшего года индекс ММВБ испытывал взлеты и падения, в то время как тренд акций ОАО Аэрофлот пологий.

Зависимость доходности акции от доходности индекса можно описать следующей формулой:

,

где ri - доходность акции за данный период;- доходность рыночного индекса за тот же период;

aiI - коэффициент смещения;

b iI - коэффициент наклона;

e iI - случайная погрешность.

Значения регрессионных показателей b и a зависят от глубины расчета, т.е. от размера временного ряда значений доходностей рыночного индекса в рассматриваемой акции. Глубина расчета показателей равна 1 году, доходность была рассчитана исходя из средневзвешенных ежемесячных цен. В случае, когда в течении дня сделок заключено не было, то средневзвешенная цена измеряется формулой:


где best_bid и best_ask - функции лучших котировок на покупку и продажу соответственно.

Для исходных данных взяты котировки акций в ММВБ, под рыночный индекс - индекс ММВБ. Для точного анализа за шаг расчет взяли один месяц. Доходность акций высчитывалась по формуле:


Математическое ожидание (среднемесячная доходность) рассчитывалось как арифметическое среднее на основе исторических данных. Для наглядности в таблицу добавлены акции ведущих компаний России. Результаты сведены в таблицу 2.2. Основываясь на рисунке 2.5, можно сделать вывод о том, что в среднем у выбранных акций степень риска относительно невысока. Об этом свидетельствует, что коэффициент "β", находящийся в пределах от 0 до 1, за исключением акций собственно Аэрофлота, которые как и у Северстали немного превышают грань 1 (единицы). По "β" - коэффициенту лидируют акции "Русгидро".

Коэффициент "альфа" показывает ожидаемый доход на акцию в момент достаточной стабильности цен на акции в целом, когда доход рынка равен нулю. Α-коэффициент акций на рисунке 2.6 свидетельствует о том, что большинство акции, отобранных для рассмотрения были недооценены рынком. Считается, что недооцененные акции будут корректироваться рынком увеличением рыночной цены.

Таблица 2.2

Таблица коэффициентов

Тикеры

β

α

ст.ошибка

ошибка β

ошибка α

R2

Математическое ожидание доходности (среднемесячная доходность), % в месяц

AFLT

1,11

-0,25

2,12

0,09

0,13

0,07

-0,23

RSEA

0,55

0,55

8,35

0,37

0,53

0,14

0,56

LKOH

0,65

0,06

0,89

0,04

0,06

0,58

0,07

HYDR

0,16

0,39

5,47

0,24

0,35

0,17

0,39

SBER

0,79

-0,08

1,58

0,05

0,10

0,19

-0,13

ROSN

0,67

-0,04

0,91

0,04

0,06

0,39

-0,03

SNGSP

0,72

0,02

1,06

0,05

0,07

0,65

0,04

MFON

0,94

-0,09

1,65

0,07

0,10

0,53

-0,04

TATN

0,77

0,08

1,39

0,06

0,09

0,24

0,10

MTSS

0,18

-0,15

2,20

0,10

0,14

0,14

-0,15

CHMF

1,01

0,21

1,86

0,08

0,12

0,20

0,24

NLMK

0,99

0,07

1,37

0,06

0,09

0,58

0,09


Рис. 2.5. Β-коэффициент акций

Принятие решений на основе альфа-коэффициента применяется при оперативном управлении портфеля ценных бумаг.

Рис. 2.6. Альфа-коэффициент акций

Рис. 2.7. Коэффициент R-squared акций

Рис. 2.8. Математическое ожидание доходности акций

Коэффициент R-squared является коэффициентом детерминации и поэтому изменяется в пределах от 0 до 1. Его вычисление показало, что данные акции хорошо коррелируют с рынком. Слабая корреляция наблюдается у акций ОАО Аэрофлот. Неплохо коррелируют с рынком акции "Сургутнефтегаз".

Математическое ожидание доходности акций показывает, как реагирует курс ценной бумаги на рыночные силы: в данном случае мы видим, что математическое ожидание доходности акций Аэрофлота отрицательное. Риск вложений в акции велик. Значение рыночной доходности акции показывает, что ее доходность движется в противоположном направлении (отрицательное значение).

Заключение


Инвесторы стремятся заработать даже в условиях кризиса. Такое стремление выводит их на фондовый рынок. Риск инвестиций в деятельности инвесторов означает снижения прибыли. Но прирост ожидаемой прибыль зависит от величины риска, поэтому инвесторы все же рискуют своими средствами, в расчете хорошо заработать. Тем более, что в условиях кризиса любая деятельность становится рискованной.

В курсовой работе много внимание было уделено инвестиционным доходам и рискам, так как объектом курсовой работы являются инвестиции.

Инвесторы всегда стремятся избегать рисков или хотя бы свести их к минимуму. Это делается в целях сохранения средств клиентов, так как по сути инвесторы часто оперируют чужими деньгами. Роль инвестиций в ценные бумаги скорее вспомогательная.

Так исследование финансового сектора России показало, что в настоящее время все еще перспективен для инвестиций рынок ценных бумаг. А наиболее рискованными в настоящее время являются долгосрочные вложения.

В качестве объекта инвестирования были выбраны акции ОАО Аэрофлот, которые рассмотрены в среде ведущих российских компаний. Рынок акций предполагает более внимательное отношение инвестора к оценки риска и доходности предполагаемых инвестиций. Основные факторы текущей волатильности инструментов рынка ценных бумаг- неопределенность в мировой экономике, большое предложение новых бумаг на российском рынке при низком спросе, угроза новой волны кризиса.

В курсовой работе был проведен анализ механизма расчета ожидаемой доходности и риска при вложениях в ценные бумаги.

В результате был проведен анализ риска и доходности акций ОАО Аэрофлот. Отношение цена - доход равно 3,7. Это значит, что рыночная стоимость акций на данный момент почти в 4 раза превышает годовой доход, который они приносят.

Доходность акции ОАО Аэрофлот за 2013 год: 4,9% а за 2014 год: - 36,6%. Если за 2013 год держатель акции получил прибыль 4,9% к цене инвестиций, то в 2014 убыток составил - 36,6%.

Анализ риска показал, что акции ОАО Аэрофлот движутся скорее в разрез в рынком, а ожидаемая доходность их отрицательная. Это делает их инвестиционное качество невысоким. В долгосрочном периоде все может измениться.

Список использованных источников


1.      Федеральный закон от 22.04.1996 №39-ФЗ "О рынке ценных бумаг" (принят ГД ФС РФ 20.03.1996) // Собрание законодательства РФ, №17, 22.04.1996, ст. 1918.

.        Федеральный закон от 29.11.2001 №156-ФЗ (ред. от 29.06.2004) "Об инвестиционных фондах" (принят ГД ФС РФ 11.10.2001) // Собрание законодательства РФ, 03.12.2001, №49, ст. 4562.

.        Федеральный Закон от 5 марта 1999 г. №46-ФЗ "О защите прав и законных интересов инвесторов на рынке ценных бумаг" // Собрание законодательства РФ, 1999, №10, ст. 1163.

.        Балабанов И.Г, Риск - менеджмент. - М.: Финансы и статистика, 2006

.        Банки и банковское дело. Краткий курс: Учеб. пособие / Под ред. И.Т. Балабанова. СПб.: ПИТЕР, 2005.

.        Бирман. Г., Шмидт. С. Экономический анализ инвестиционных проектов. Пер. с англ. Под ред. Л.П. Белых. М.: Банки и биржи, ЮНИТИ, 2006.

.        Бригхем Ю., Тапенски Л. Финансовый менеджмент. - СПб., Питер, 2007.

.        Варишкина Е.В. Инвестиционно-банковский бизнес: уроки кризиса // http://clck.yandex.ru/

.        Виленский П.А., Смоляк С.А. Как рассчитать эффективность инвестиционного проекта. Расчет с комментариями / Под науч. ред. В.Н. Лившица. - М Информэлектро, 2006.

.        Волков И.М., Грачева М.В. Проектный анализ. // Банки и биржи, ЮНИТИ, 2008.

.        Гудков Ф.А. Инвестиции в ценные бумаги. М.: Инфра-М, 2006 г.

.        Деньги. Кредит. Банки / Под. ред. В.В. Иванова, Б.И. Соколова, - М., Проспект, 2008

.        Жуков Е.Ф. Инвестиционные институты: учебное пособие для вузов. М, 2008.

.        Иванов А.П. Инвестиционная привлекательность акций. М.: Акционер, 2007

.        Иванов А.П. Финансовые инвестиции на рынке ценных бумаг. - М.: ЮНИТИ, 2006.

.        Ковалев В.В. Финансовый анализ: Управление капиталом. Выбор инвестиций. Анализ отчетности.

.        Конрад Карлберг. Бизнес-анализ с помощью Excel. Киев: Диалектика, 2007.

.        Масленченков Ю.С. Финансовый менеджмент в коммерческом банке: Кн. 3: Технология финансового менеджмента клиента. - М.: Перспектива, 2005.

.        Никитина Т.В. Страхование коммерческих и финансовых рисков, - Спб, Питер, 2007

.        Первозванский А.А., Первозванская Т.Н. Финансовый рынок: расчет и риск. - М., Экономика, 2004.

.        Ронова Г.Н. Финансовый менеджмент / М. Московский международный институт эконометрики, информатики, финансов и права. 2003.

.        Ронова Г.Н., Ронова Л.А.Финансовый менеджмент: Учебное пособие, руководство по изучению дисциплины, практикум, учебная программ / Московский международный институт эконометрики, информатики, финансов и права. - М., 2004. С. 68

.        Рынок ценных бумаг и производных финансовых инструментов: Учебное пособие - М.: Федеративная Книготорговая Компания, 2007.

.        Уотшем Дж., Парамоу К. Количественные методы в финансах. М.: ЮНИТИ, 2004.

.        Финансовый менеджмент (под ред. Поляка Г. Б.) - М., ЮНИТИ, 2006.

.        Хазанова Л.Э. Математическое моделирование в экономике: Учеб. пособие. - М.: Изд-во БЕК, 2007

.        Царев В.В. Внутрифирменное планирование. - СПб.: Питер. Серия "Учебники для вузов", 2007.

.        Ценные бумаги: Учебник / Под ред. В.И. Колесникова, В.С. Торкановского. - М.: Финансы и статистика, 2005

.        Шарп У.Ф., Александер Г.Дж., Бейли Д.В. Инвестиции. М.: ИНФРА-М, 2008.

.        Шарп У., Александер Г., Бейли Дж. Инвестиции. - М., Финансы и статистика, 2007.

.        Шим Дж.К., Сигел Дж.Г. Финансовый менеджмент. - М., ИНФРА-М, 2007.

.        Бычков А.П. Мировой рынок ценных бумаг: Институты, инструменты, инфраструктура. М.: Диалог-МГУ, 2005.

.        http://stocks.investfunds.ru

Приложение


Данные по рынку акций за 2013 год (с 08.07.2013 по 08.07.2014)

Дата

Цена закрытия

Индекс ММВБ

08.07.2014

 59,34

 1 495,48

07.07.2014

 58,26

 1 475,22

04.07.2014

 57,30

 1 481,27

03.07.2014

 57,09

 1 529,20

02.07.2014

 57,10

 1 582,08

01.07.2014

 56,68

 1 606,84

30.06.2014

 56,43

 1 583,12

27.06.2014

 55,60

 1 578,38

26.06.2014

 56,44

 1 533,68

25.06.2014

 56,75

 1 531,69

24.06.2014

 58,49

 1 537,43

23.06.2014

 56,38

 1 529,57

20.06.2014

 55,68

 1 529,54

19.06.2014

 55,64

 1 538,93

18.06.2014

 55,30

 1 530,40

17.06.2014

 55,06

 1 517,97

16.06.2014

 56,89

 1 519,61

11.06.2014

 58,74

 1 507,10

10.06.2014

 58,85

 1 500,76

09.06.2014

 58,84

 1 492,27

06.06.2014

 57,59

 1 513,83

05.06.2014

 57,57

 1 514,78

04.06.2014

 57,20

 1 515,36

03.06.2014

 57,80

 1 497,11

02.06.2014

 57,04

 1 497,46

30.05.2014

 55,15

 1 495,26

29.05.2014

 55,30

 1 491,19

28.05.2014

 54,00

 1 488,47

27.05.2014

 53,32

 1 440,20

26.05.2014

 53,99

 1 439,58

23.05.2014

 53,89

 1 415,51

22.05.2014

 53,11

 1 394,27

21.05.2014

 54,20

 1 380,39

20.05.2014

 53,61

 1 372,92

19.05.2014

 53,55

 1 374,19

16.05.2014

 52,65

 1 383,35

15.05.2014

 52,24

 1 376,36

14.05.2014

 53,00

 1 384,72

13.05.2014

 52,80

 1 360,33

12.05.2014

 51,61

 1 377,09

08.05.2014

 51,49

 1 394,16

07.05.2014

 52,17

 1 383,93

06.05.2014

 50,55

 1 364,24

05.05.2014

 50,25

 1 384,33

02.05.2014

 50,35

 1 379,76

30.04.2014

 50,92

 1 403,48

29.04.2014

 50,95

 1 418,15

28.04.2014

 50,46

 1 384,66

25.04.2014

 49,25

 1 376,35

24.04.2014

 50,64

 1 399,99

23.04.2014

 51,76

 1 411,07

22.04.2014

 52,34

 1 408,28

21.04.2014

 53,65

 1 434,20

18.04.2014

 53,75

 1 436,05

17.04.2014

 53,00

 1 441,83

16.04.2014

 51,80

 1 429,45

15.04.2014

 49,68

 1 412,83

14.04.2014

 52,85

 1 431,58

11.04.2014

 53,40

 1 448,63

10.04.2014

 54,15

 1 449,37

09.04.2014

 53,85

 1 477,31

08.04.2014

 53,39

 1 454,19

07.04.2014

 53,45

 1 458,52

04.04.2014

 56,02

 1 449,63

03.04.2014

 55,80

 1 468,55

02.04.2014

 55,78

 1 468,17

01.04.2014

 55,97

 1 464,76

31.03.2014

 55,20

 1 474,71

28.03.2014

 53,85

 1 457,34

27.03.2014

 53,11

 1 449,29

26.03.2014

 55,35

 1 400,35

25.03.2014

 54,24

 1 392,40

24.03.2014

 53,74

 1 400,71

21.03.2014

 55,15

 1 423,78

20.03.2014

 56,45

 1 447,91

19.03.2014

 53,89

 1 443,32

18.03.2014

 48,60

 1 454,67

17.03.2014

 46,62

 1 446,60

14.03.2014

 47,29

 1 461,75

13.03.2014

 52,80

 1 447,50

12.03.2014

 58,55

 1 437,60

11.03.2014

 59,38

 1 425,18

07.03.2014

 61,08

 1 417,82

06.03.2014

 62,40

 1 407,53

05.03.2014

 62,18

 1 398,85

04.03.2014

 60,60

 1 374,19

03.03.2014

 59,00

 1 372,45

28.02.2014

 70,61

 1 348,21

27.02.2014

 72,71

 1 333,53

26.02.2014

 77,60

 1 334,66

25.02.2014

 77,39

 1 357,89

24.02.2014

 76,90

 1 378,98

21.02.2014

 77,88

 1 374,83

20.02.2014

 77,80

 1 379,61

19.02.2014

 78,10

 1 382,14

18.02.2014

 80,00

 1 369,83

17.02.2014

 80,75

 1 361,94

14.02.2014

 80,28

 1 388,41

13.02.2014

 80,60

 1 408,80

12.02.2014

 82,02

 1 406,58

11.02.2014

 1 405,97

10.02.2014

 79,51

 1 384,50

07.02.2014

 79,50

 1 422,53

06.02.2014

 78,90

 1 440,63

05.02.2014

 76,12

 1 474,72

04.02.2014

 76,65

 1 475,77

03.02.2014

 80,00

 1 483,41

31.01.2014

 83,00

 1 499,82

30.01.2014

 81,44

 1 494,92

29.01.2014

 81,38

 1 513,38

28.01.2014

 81,75

 1 516,75

27.01.2014

 81,90

 1 513,72

24.01.2014

 78,70

 1 489,53

23.01.2014

 79,79

 1 514,47

22.01.2014

 78,78

 1 514,33

21.01.2014

 81,35

 1 482,92

20.01.2014

 85,46

 1 476,38

17.01.2014

 84,25

 1 477,32

16.01.2014

 84,80

 1 473,18

15.01.2014

 83,90

 1 481,95

14.01.2014

 84,96

 1 518,83

13.01.2014

 87,87

 1 486,30

10.01.2014

 82,83

 1 486,30

09.01.2014

 82,90

 1 495,09

08.01.2014

 83,41

 1 494,28

06.01.2014

 83,24

 1 486,38

30.12.2013

 83,70

 1 493,93

27.12.2013

 82,50

 1 501,18

26.12.2013

 84,54

 1 490,81

25.12.2013

 85,05

 1 485,39

24.12.2013

 85,00

 1 484,94

23.12.2013

 81,56

 1 470,70

20.12.2013

 79,23

 1 475,79

19.12.2013

 78,00

 1 472,83

18.12.2013

 77,17

 1 464,47

17.12.2013

 79,24

 1 432,03

16.12.2013

 79,66

 1 447,39

13.12.2013

 76,75

 1 425,95

12.12.2013

 73,65

 1 417,32

11.12.2013

 73,09

 1 449,36

10.12.2013

 74,10

 1 438,98

09.12.2013

 72,48

 1 430,54

06.12.2013

 68,80

 1 439,90

05.12.2013

 66,72

 1 425,58

04.12.2013

 67,46

 1 413,85

03.12.2013

 63,12

 1 392,30

02.12.2013

 62,69

 1 381,99

29.11.2013

 60,42

 1 389,11

28.11.2013

 58,44

 1 385,29

27.11.2013

 57,19

 1 375,31

26.11.2013

 57,57

 1 371,42

25.11.2013

 58,26

 1 363,48

22.11.2013

 58,29

 1 318,57

21.11.2013

 57,78

 1 298,29

20.11.2013

 57,60

 1 304,84

19.11.2013

 58,68

 1 306,01

18.11.2013

 59,81

 1 304,78

15.11.2013

 59,88

 1 299,13

14.11.2013

 59,51

 1 280,12

13.11.2013

 57,83

 1 300,54

12.11.2013

 57,88

 1 329,11

11.11.2013

 57,47

 1 335,62

08.11.2013

 57,10

 1 345,04

07.11.2013

 58,45

 1 357,89

06.11.2013

 57,40

 1 329,67

05.11.2013

 56,85

 1 322,60

01.11.2013

 57,38

 1 311,01

31.10.2013

 57,40

 1 344,86

30.10.2013

 56,89

 1 362,40

29.10.2013

 57,60

 1 367,71

28.10.2013

 57,18

 1 348,85

25.10.2013

 57,02

 1 352,33

24.10.2013

 57,14

 1 349,79

23.10.2013

 56,05

 1 382,41

22.10.2013

 55,68

 1 366,04

21.10.2013

 55,50

 1 373,33

18.10.2013

 55,41

 1 375,73

17.10.2013

 55,31

 1 369,29

16.10.2013

 55,29

 1 344,12

15.10.2013

 55,20

 1 331,93

14.10.2013

 55,29

 1 349,39

11.10.2013

 55,05

 1 324,44

10.10.2013

 55,17

 1 297,91

09.10.2013

 55,00

 1 307,34

08.10.2013

 55,14

 1 320,50

07.10.2013

 55,20

 1 319,02

04.10.2013

 55,20

 1 335,86

03.10.2013

 55,25

 1 283,70

02.10.2013

 54,56

 1 237,43

01.10.2013

 55,35

 1 248,56

30.09.2013

 54,44

 1 274,21

27.09.2013

 54,64

 1 308,70

26.09.2013

 54,27

 1 339,36

25.09.2013

 55,40

 1 337,98

24.09.2013

 54,78

 1 351,11

23.09.2013

 54,96

 1 356,54

20.09.2013

 54,97

 1 288,81

19.09.2013

 54,33

 1 444,71

18.09.2013

 53,52

 1 448,70

17.09.2013

 53,90

 1 469,51

16.09.2013

 52,87

 1 478,64

13.09.2013

 51,24

 1 489,01

12.09.2013

 51,10

 1 487,64

11.09.2013

 51,51

 1 480,99

10.09.2013

 50,77

 1 485,60

09.09.2013

 50,10

 1 504,24

06.09.2013

 49,47

 1 507,49

05.09.2013

 49,38

 1 494,32

04.09.2013

 47,74

 1 478,77

03.09.2013

 47,71

 1 496,03

02.09.2013

 48,50

 1 483,57

30.08.2013

 48,82

 1 476,28

29.08.2013

 50,51

 1 478,48

28.08.2013

 52,17

 1 465,18

27.08.2013

 52,61

 1 456,00

26.08.2013

 53,60

 1 442,02

23.08.2013

 54,00

 1 442,52

22.08.2013

 1 453,55

21.08.2013

 52,86

 1 463,60

20.08.2013

 53,97

 1 463,03

19.08.2013

 54,19

 1 468,34

16.08.2013

 53,91

 1 478,87

15.08.2013

 55,22

 1 492,86

14.08.2013

 56,10

 1 494,68

13.08.2013

 56,51

 1 498,73

12.08.2013

 56,50

 1 504,68

09.08.2013

 55,96

 1 495,94

08.08.2013

 56,00

 1 486,88

07.08.2013

 55,39

 1 480,73

06.08.2013

 56,00

 1 486,51

05.08.2013

 56,13

 1 470,65

02.08.2013

 57,01

 1 477,56

01.08.2013

 58,40

 1 469,19

31.07.2013

 57,36

 1 465,74

30.07.2013

 56,41

 1 462,67

29.07.2013

 56,00

 1 466,15

26.07.2013

 55,11

 1 504,08

25.07.2013

 55,07

 1 504,08

24.07.2013

 55,49

 1 494,83

23.07.2013

 56,65

 1 501,47

22.07.2013

 56,99

 1 501,12

19.07.2013

 57,03

 1 507,87

18.07.2013

 57,55

 1 507,83

17.07.2013

 57,71

 1 497,31

16.07.2013

 57,80

 1 499,42

15.07.2013

 58,59

 1 488,17

12.07.2013

 57,90

 1 479,39

11.07.2013

 58,08

 1 470,22

10.07.2013

 58,63

 1 452,76

09.07.2013

 58,89

 1 462,67

08.07.2013

 58,97

 1 463,78


Похожие работы на - Инвестирование в ценные бумаги современных российских организаций

 

Не нашли материал для своей работы?
Поможем написать уникальную работу
Без плагиата!
Без нейросетей!