Валютний ризик та методи його хеджування
Міністерство
освіти і науки України
Черкаський
національний університет імені Богдана Хмельницького
ННІ
економіки і права
Кафедра
економічної кібернетики
Курсова
робота
Валютний
ризик та методи його хеджування
Зміст
Вступ
Розділ
1. Теоретичні основи управління валютним ризиком банку
.1
Поняття валютного ризику та його види
1.2
Фактори, що впливають на валютний ризик банку
.3
Науково-методичні підходи до побудови системи управління валютним ризиком банку
Розділ
2. Методи страхування валютних ризиків
.1
Валютні застереження
.2
Валютні опціони та форвардні контракти
.3
Інші методи захисту від валютних ризиків
.4
Сучасні інструменти хеджування валютних ризиків
Розділ
3. Прогнозування валютного ризику
Висновки
Список
використаної літератури та джерел
Додатки
Вступ
Висока та непередбачувана волатильність обмінних
курсів на валютному ринку, нестабільність економічного та політичного
середовища функціонування банків в Україні обумовлюють високу складність
управління валютним ризиком в банках нашої країни. Саме тому управління
валютним ризиком є одним з першочергових завдань банківського менеджменту.
Проблеми управління валютним ризиком банку, такі
як визначення його сутності, структури, класифікації, механізму оцінювання,
регулювання та хеджування, розроблялись в роботах Л. Примостки, В. Іфтемічука,
Л. Донець, В. Вітлінського, Е. Уткіна, Р. Пікуса, В. Ющенка, І. Сала, О.
Криклій, О. Лаврушина, Дж. Ф. Маршалла, В. К. Бансала, С. Козьменка, О.
Пернарівського, О. Кириченка, М. Денисенка, Л. Рябініної, М. Ребрика, А.
Волицької, О. Колодізєва, Ф. Банна, П. Ковальова, І. Пашковської, Е. Самолова,
А. Тавасієва.
Однак, незважаючи на суттєві наукові результати,
отримані вище зазначеними та іншими вченими, проблема комплексного дослідження
теоретичних та практичних засад побудови та вдосконалення системи управління
валютним ризиком банків залишається недостатньо дослідженою. Саме це й зумовило
вибір теми дослідження та свідчить про його актуальність.
Об’єктом дослідження є процес управління
валютним ризиком. Предметом дослідження є сукупність теоретичних, методичних та
практичних положень щодо удосконалення системи управління валютним ризиком.
У процесі дослідження використовувалися такі
загальнонаукові методи: пізнання дійсності, як теоретичне узагальнення, порівняння
та систематизація (при дослідженні сутності поняття "валютний ризик",
визначенні факторів, що його обумовлюють, визначенні класифікаційних ознак
валютного ризику); системного аналізу (при визначенні елементів системи
управління валютним ризиком банку); спостереження (під час дослідження ситуації
на валютному ринку України); методи аналізу та синтезу, індукції та дедукції,
метод групувань (для обґрунтування доцільності застосування VaR-методу, на
основі методу "Монте-Карло").
Метою даної роботи є розробка науково-методичних
підходів і практичних рекомендацій щодо удосконалення системи управління
валютним ризиком.
Відповідно до мети були поставлені наступні
завдання:
¾ визначити сутність та види валютного
ризику банку та обґрунтувати склад факторів, що на нього впливають;
¾ охарактеризувати систему управління
валютним ризиком банку;
¾ визначити механізм управляння
валютним ризиком;
¾ вивчення існуючих методів визначення
валютного ризику;
¾ визначити доцільність застосування
VaR-методу для визначення валютного ризику.
Розділ 1. Теоретичні основи управління валютним
ризиком банку
.1 Поняття валютного ризику та його види
Останні тридцять років обсяги міжнародних
торгівельних і фінансових операцій та валютних спекуляцій постійно
збільшуються, внаслідок введення режиму вільного курсоутворення, яке затвердила
Ямайська угода, коливання валютного курсу важко піддаються прогнозуванню. Ці
обставини спричиняють значну залежність кінцевих фінансових результатів
діяльності банків від валютного ризику.
Для досягнення мети дипломної роботи необхідним
є уточнення сутності поняття "валютний ризик", що, зокрема,
передбачає з’ясування сутності поняття "ризик".
За результатами проведеного дослідження нами
з’ясовано, що в науковій літературі вченими наводиться безліч визначень, але
досі не було виокремлено остаточного тлумачення поняття "ризик".
Зокрема, щодо етимології поняття ризику Л.О. Примостка зазначає наступне:
"…існує кілька версій щодо його походження. За однією з них термін
"ризик" іспано-португальського походження, він означає "підводну
прямовисну скелю", за іншою - термін походить від староіталійського
"risicare", що означає "маневрувати поміж", за третьою
версією термін походить від грецького "ridsicon", "ridsa" ¾
утес, скеля" [1, с. 45].
Оскільки банківська діяльність є більш
ризиковою, ніж інші види підприємницької діяльності, вона потребує посиленого
регулювання з боку регулятора. З позиції центрального банку ризик - це
ймовірність того, що події, очікувані або неочікувані, матимуть негативний
вплив на капітал або надходження банку [2].
Узагальнюючи існуючий вітчизняний та світовий
досвід визначення поняття "ризик" визначаємо його як імовірність
настання певних подій, що матимуть небажаний вплив на надходження або капітал
банку.
Слід зазначити, що в науковій літературі не
існує єдиного підходу до визначення поняття "валютний ризик". З метою
уточнення його сутності проведемо дослідження існуючих підходів та визначимо
той, який буде прийнято за основу у межах даного дослідження. Даним питанням
займалися такі вітчизняні та зарубіжні науковці, як Л.О. Примостка [1], Л.І.
Донець [3], В.В. Вітлінський [4], Е.А. Уткін [5], Р.В. Пікус [6], І.В. Сало
[7], В.А. Ющенко [8], О.І. Лаврушин [9], Джон Ф. Маршалл [10], С.М. Козьменко
[11], О.В. Пернарівський [12], М.А. Ребрик [13].
Отже, вивчаючи поняття "валютний
ризик", ми дійшли висновку, що більшість вчених трактує його як
імовірність: наприклад, на думку Л.І. Донець валютним ризиком є
"імовірність фінансових втрат у результаті у період між зміною курсу валют
у період між змінами контракту з фізичними особами та виробництвом і
розрахунків по ньому" [3, с. 178]. Схожої точки зору дотримується Е.А.
Уткін, який вважає, що валютні ризики "представляют собой вероятность
получения валютных доходов или потерь, связанных с изменением курса одной
иностранной валюты по отношению к другой, в том числе национальной валюты при
проведении внешнеэкономических, кредитных операций, а также при проведении
фирмой своей инвестиционной политики в другой стране" [5, с. 204]. Р.В.
Пікус також трактує валютний ризик як "імовірність грошових втрат або
недоотримання прибутку суб’єктів валютного ринку порівняно з запланованими
показниками унаслідок несприятливої зміни значення валютного курсу" [6, с.
441]. І.В. Сало, О.А. Криклій наводять наступне визначення валютного ризику:
"імовірність для банку грошових збитків або зменшення вартості капіталу
внаслідок несприятливих змін валютних курсів у період від придбання до продажу
позицій у валюті" [7, с. 218].
На відміну від розглянутих підходів економістів
щодо сутності поняття "валютний ризик", які висвітлюють дану
дефініцію з позиції імовірності або загрози, В.А. Ющенко під валютним ризиком
розуміє "можливість грошових утрат суб’єктів валютного ринку через
коливання валютних курсів. Під суто економічним кутом зору такий ризик є
наслідком незбалансованості активів і пасивів щодо кожної з валют за термінами
і сумами" [6, с. 9].
У Методичних вказівках з інспектування банків
"Система оцінки ризиків" [6] наводиться наступне визначення:
"Валютний ризик - це наявний або потенційний ризик для надходжень і
капіталу, який виникає через несприятливі коливання курсів іноземних валют та
цін на банківські метали". Дане визначення використовується регулятором у
питаннях оцінки ризиків, що виникають при залученні (надходженнях) та розміщенні
(капітальних вкладеннях) певних грошових вартостей. Коливання валютного курсу
може призводити до зміни попиту на національну валюту, що викличе зміну
процентних ставок на певні фінансові інструменти. Дані зміни вартості можуть
бути несприятливі для банку та характеризуються як такі, що спричинені валютним
ризиком. У Положенні (стандарті) бухгалтерського обліку 13 "Фінансові
інструменти" валютний ризик визначений як "імовірність того, що
вартість фінансового інструмента буде змінюватися внаслідок змін валютного
курсу". Дане формулювання розкриває сутність валютного ризику з
бухгалтерської точки зору, а саме - переоцінка фінансових інструментів,
пов’язана з коливаннями валютних курсів, може бути спричинена проявом валютного
ризику [14].
Таким чином, можна виділити три підходи до
визначення поняття валютного ризику, як: можливості, загрози та ймовірності.
Надалі нами для здійснення аналізу та оцінки валютного ризику під даним
поняттям розумітиметься імовірність того, що коливання курсів іноземних валют
та шокові події в економіці впливають на реальну вартість відкритих валютних
позицій банку. Відповідно, з точки зору управління, валютний ризик надалі
розглядатиметься в якості об’єкта управління у вигляді фінансового результату
банку, отриманого у результаті впливу внутрішніх та зовнішніх факторів.
Важливим для побудови системи управління
валютним ризиком банку є визначення місця валютного ризику в системі
банківських ризиків.
Методичні вказівки щодо інспектування банків
"Система оцінки ризиків" [6] пропонують всі банківські ризики
класифікувати на ризики, які можна кількісно оцінити та ризики, які неможливо
оцінити кількісно.
До ризиків, що можливо оцінити, належать:
кредитний, ліквідності, зміни процентної ставки, ринковий,
операційно-технологічний. До ризиків, що не піддаються кількісній оцінці,
відносять: ризик репутації, юридичний та стратегічний ризики. Дана класифікація
створена, переважно, для цілей банківського нагляду, тому має певні відмінності
порівняно з іншими. Наприклад, згідно з класифікацією західних економістів ,
валютний ризик окремо не виділяється, а входить до складу ринкових ризиків. У
значній кількості наукових джерел валютний ризик відносять до так званих
цінових ризиків. Використавши класифікацію банківських ризиків Л.О. Примостки ,
ми дійшли висновку, що валютний ризик - це внутрішній щодо банку, фінансовий
щодо об’єкту впливу і ціновий за джерелом виникнення.
Управління валютним ризиком банку
диференціюється залежно від його видів й форм, тому завданням даної роботи є
уточнення класифікації валютного ризику.
Трансакційний або операційний ризик пов’язаний з
торговельними операціями, а також із грошовими угодами з фінансового
інвестування та дивідендних платежів. Цей ризик може виникати від час
підписання угод на здійснення платежів або отримання коштів в іноземній валюті
в майбутньому.
Трансляційний ризик пов’язаний з переоцінюванням
активів і пасивів та прибутків закордонних філій в національну валюту, а також
може виникнути за експорту чи імпорту інвестицій. Він впливає на показники
балансу, що відображають звіт про одержані прибутки і збитки після перерахунків
сум інвестицій у національну грошову одиницю. Врахувати трансляційний ризик
можна під час складання бухгалтерської та фінансової звітності. На відміну від
операційного, трансляційний ризик не пов’язаний з грошовими потоками чи
розмірами сплачуваних сум. Ризик збитків чи зменшення прибутків виникає за
складання консолідованих звітів транснаціональних банків та їхніх іноземних
дочірніх філій.
Економічний валютний ризик пов’язаний з
можливістю втрати доходів за майбутніми контрактами через зміну загального
економічного стану як країн-партнерів, так і країни, де розташована банківська
установа. Насамперед, він обумовлений необхідністю здійснення постійних
розрахунків за експортними та імпортними операціями, інтенсивність яких, у свою
чергу, може залежати від коливань валютних курсів.
Прямим валютним ризиком слід вважати ймовірність
втрат банку внаслідок переоцінки його відкритих позицій. Даний вид ризику
безпосередньо пов’язаний з впливом коливань валютного курсу на валютну позицію
банку.
Непрямий валютний ризик (валютно-кредитний) -
ймовірність втрат банку у разі зниження кредитоспроможності позичальників через
несприятливу зміну валютного курсу. Для його оцінки банку необхідно аналізувати
кожного позичальника та його залежність від курсових коливань [15].
Валютний ризик ліквідності - неможливість банку
вчасно та без додаткових втрат виконувати свої зобов’язання або надавати нові
кредити в іноземній валюті [15].
За можливістю диверсифікації валютний ризик може
бути класифікований як несистемний, який виникає під впливом неочікуваних
подій, але може бути мінімізований шляхом диверсифікації, і системний, тобто
такий, що не піддається мінімізації за допомогою диверсифікації і виникає, зазвичай
під впливом шокових фінансово-економічних подій, які слабо піддаються
прогнозуванню.
Отже, визначено, що для здійснення аналізу та
оцінки під валютним ризиком розуміється імовірність того, що коливання валютних
курсів іноземних валют та економічні шоки впливають на реальну вартість
відкритих валютних позицій банку. Відповідно, з точки зору управління, валютний
ризик надалі розглядатиметься в якості об’єкта управління у вигляді фінансового
результату банку, отриманого у результаті впливу внутрішніх та зовнішніх
факторів. Виділено трансакційну, трансляційну та економічну форми валютного
ризику. Класифікацію валютного ризику пропонуємо здійснювати залежно від
джерела виникнення, масштабу, характеру та розміру впливу, а також за
можливістю диверсифікації.
.2 Фактори, що впливають на валютний ризик банку
Управління будь-яким видом ризику неможливе без
визначення факторів, що впливають на його величину.
Більшість науковців згодні, що головним фактором
валютних ризиків є коротко- та довгострокові коливання обмінних курсів, що
залежать від попиту та пропозиції валюти на національних і міжнародних валютних
ринках. У довгостроковому періоді значну роль відіграє загальний економічний
стан країни, рівень виробництва, збалансованість основних макроекономічних пропорцій,
обсяги зовнішньої торгівлі, а в короткостроковому - збалансованість окремих
ринків і загальний стан ринкового й конкурентного середовищ. Коливання
кількісних показників окремих факторів та їх певне співвідношення відіграють
вирішальну роль у змінах валютних курсів, а тому можуть мати суттєвий вплив на
характер виникнення і рівень валютного ризику [8].
Короткострокові зміни валютних курсів є
наслідком постійних щоденних коливань, зумовлених частою зміною попиту і
пропозиції на ту чи іншу валюту. Оскільки обсяги зовнішньоекономічних операцій,
у тому числі торговельних, постійно зростають, а світовий валютний ринок працює
цілодобово, таким чином коливання є неминучими, що стає постійним джерелом
валютного ризику. Крім того, підприємства та банки, що працюють на валютному
ринку, можуть потерпати від цілеспрямованих валютних спекуляцій.
Л.І. Донець виділяє наступні фактори, що
впливають на валютний курс: стан платіжного балансу; рівень інфляції;
міжгалузеву міграцію короткострокових капіталів [3]. Е.А. Уткін виділяє
наступні фактори, що мають вплив на валютний курс: статистика платіжного
балансу; фінансові рішення; державна фінансова і монетарна політика; зростання
спреду між офіційним і ринковими курсами; наслідки зміни валютних курсів [7].
Дж.Ф. Маршалл і В.К. Бансал виділяють такі фактори, як: темпи росту валового
національного продукту, величина активного сальдо торгового балансу або
дефіциту, потоки капіталів між країнами, інтервенції центрального банку,
рішення по валютній політиці, рішення по фіскальній політиці, рівень безробіття
[10].
За М.А. Ребриком, короткостроковими факторами
впливу на валютний курс є: міжнародна торгівля; спекуляції на валютному ринку;
оперативне втручання держави до валютної кон’юнктури внутрішнього валютного
ринку; психологічні фактори; технічні фактори (закономірності динаміки
валютного курсу в минулому, що чинять вагомий вплив на його рух в майбутньому)
[13, с. 85]. Серед довгострокових факторів науковець виділяє, зокрема: загальну
економічну ситуацію країни; політичну ситуацію; рівень процентних ставок;
рівень інфляції; стан платіжного балансу; систему валютного регулювання [13, с.
86]. Наведені вище фактори є зовнішніми по відношенню до банку та до впливу на
валютний ризик банку.
До групи внутрішніх факторів Д.Ю. Піскулов відносить:
валютну складову балансу банку (питому вагу активів та зобов’язань, виражених в
іноземній валюті, в балансі банку); розмір та тип відкритої валютної позиції
банку; спектр валютних операцій банку; розмір лімітів на проведення валютних
операцій [16, с. 23].
Відповідно до Методичних рекомендацій
"Система оцінки ризиків" [6], факторами валютного ризику, що можуть
бути віднесені до внутрішніх, є:
¾ існування адекватної, ефективної,
доведеної до виконавців внутрішньої нормативної бази (положень, процедур тощо)
щодо управління валютним ризиком, затвердженої відповідними органами банку
виходячи з принципів корпоративного управління, а також відповідної практики
виконання її вимог;
¾ обсяг балансових та позабалансових
статей, які підлягають переоцінці у зв’язку зі змінами поточного валютного
курсу та строкового валютного курсу;
¾ структура балансових та
позабалансових статей за такими факторами (валюта, продукти, строк існування
або очікуваний строк подальшого утримання позицій, розмір і строк неузгоджених
грошових потоків, розмір позицій у валютах, обсяги торгівлі якими є
обмеженими);
¾ наявність своєчасної, точної та
інформативної управлінської інформації;
¾ рівень і кваліфікація керівництва та
персоналу;
¾ наявність відповідних механізмів
контролю для моніторингу точності інформації, належних облікових підходів і
дотримання внутрішніх положень, нормативно-правових актів або законів.
Коливання валютного курсу, породжені попитом та
пропозицією на валютному ринку, є некерованими з боку банку і тому
класифіковані як зовнішній фактор валютного ризику. На стан кон’юнктури на
валютному ринку, у свою чергу, чинять короткостроковий вплив такі фактори, як:
міжнародна торгівля, спекуляції на валютному ринку, валютні інтервенції
центрального банку, психологічні та технічні фактори. Факторами довгострокового
впливу, відповідно до класифікації, є: загальноекономічна та політична ситуація
в країні, рівень інфляції, стан платіжного балансу держави, а також особливості
валютного регулювання.
Внутрішніми факторами впливу на валютний ризик є
ті фактори, якими банк має змогу керувати. Внутрішні фактори валютного ризику
банку пропонуємо поділити на кількісні та якісні. Кількісним фактором є
структура балансових та позабалансових статей банку за валютою, продуктами та
строками. Якісним фактором є характер управління валютною позицією банку, що
залежить від внутрішньої нормативної бази банку, кваліфікованості персоналу,
системи контролю та моніторингу за валютним ризиком, а також рівня та якості
інформованості персоналу банку про стан валютного ризику банку.
.3 Науково-методичні підходи до побудови системи
управління валютним ризиком банку
Одним із завдань даної роботи є формування
системи управління валютним ризиком банку. Для його реалізації слід,
насамперед, визначити та проаналізувати сучасні теорії управління та основні
підходи до структуризації систем відповідно до них; визначити основні складові
управління банківськими ризиками та особливості їх застосування щодо валютного
ризику банку.
Питанням розгляду системи управління валютним
ризиком банку займалися такі вітчизняні та зарубіжні науковці, як: А.В. Ігнатов
[17], О.Г. Королев, Н. Асамбаев, І.Ю. Івченко, П.М. Сорока, Н.Н. Малашихина,
О.С. Белокрлилова, А.О. Старостіна, В.А. Кравченко, Т.Є. Андрєєва, Т.Е.
Петровська, C.N.V. Krishnan, P. Ritchen H., J.B. Thomson, А.В. Шульгин та ін.
На основі проведеного аналізу проблемних
публікацій з управління банківськими ризиками можна зробити висновок, що
вітчизняні науковці приділяють увагу формуванню стратегії, принципів,
напрямків, етапів процесу управління ризиками та методам виявлення та оцінки
ризиків в цілому, на відміну від іноземних науковців, в роботах яких, окрім
методів оцінки ризиків, висвітлюються питання моніторингу та контролю
управління банківськими ризиками.
Поняття управління ризиками І. Івченко трактує
як сукупність методів, прийомів і заходів, що дозволяють певною мірою
прогнозувати настання ризикових подій і вживати заходів їхнього зменшення [18,
с. 252]. Поняття ризик-менеджменту, на думку П. Сороки, - це система оцінки ризику,
управління ризиком і фінансовими стосунками, що виникають у процесі бізнесу
[19, с. 67]. Управління ризиками, як зазначають Т. Андрєєва та Т. Петровська, -
це спеціальний вид менеджерської діяльності, спрямований на пом’якшення впливу
ризику на результати роботи банку [20, с. 3]. Процес управління ризиками, на
думку авторів роботи [21], необхідно розглядати як цілеспрямований розвиток
банку з мінімізацією втрат, який залежить від політики окремо взятого банку на
мікрорівні та від центральних органів управління державою на макрорівні.
На нашу думку, процес прийняття рішень щодо
управління валютним ризиком банку повинен базуватися на наступних принципах:
¾ особам, що приймають рішення, слід
керуватися власним капіталом - не можна ризикувати більшим, ніж може дозволити
власний капітал;
¾ при управлінні необхідно визначати
та оцінювати зони валютного ризику, тобто передбачати та враховувати всі
можливі, особливо його негативні наслідки - від’ємний фінансовий результат;
¾ необхідно якісно та кількісно вимірювати
валютний ризик та прогнозувати майбутні втрати, джерела збитків чи ситуації,
здатні принести збитки;
¾ необхідно побудувати ефективну
систему контролю за валютним ризиком, відокремлену від підрозділів, що їх
генерують, та покликану вчасно ідентифікувати ключові фактори валютного ризику,
визначати відхилення фактичного рівня валютного ризику від встановленого
банком, розробляти заходи щодо повернення показників у межі встановлених або, у
разі неможливості їх виконання внаслідок некерованих факторів, рекомендувати
керівництву їх перегляд;
¾ не можна ризикувати всім заради
отримання малого (необхідно порівнювати очікуваний дохід з можливими втратами
при настанні ризикових подій);
¾ при управлінні валютним ризиком
доцільно враховувати фінансування ризику [22].
Таким чином, проаналізувавши точки зору
вітчизняних та закордонних вчених , ми дійшли висновку, що управління валютним
ризиком являє собою комплексну систему методів, прийомів і заходів щодо
ідентифікації, аналізу та оцінки, регулюванню та контролю ризикової ситуації.
За результатами проведеного дослідження, нами
визначено, що система управління валютним ризиком являє собою вплив суб’єктів
управління на об’єкт за допомогою механізму управління .
Об’єктом управління є фінансовий результат
банку, отриманий у разі реалізації валютного ризику, обумовлений впливом
зовнішніх (некерованих банком) та внутрішніх (керованих банком) факторів.
Суб’єктами управління валютним ризиком є всі
підрозділи банку, що пов’язані з управлінням валютного ризику банку, а саме: спостережна
рада банку; правління банку; служба внутрішнього аудиту; підрозділ
ризик-менеджменту банку; обов’язкові колегіальні органи банку; казначейство;
фронт- та бек-офіси банку [6].
Механізм управління валютним ризиком являє собою
методи управління (ідентифікації, аналізу та оцінки, регулювання, контролю),
які реалізуються за допомогою інформаційного та нормативного забезпечення
відповідно до мети, завдань та принципів управління ним.
Ідентифікація валютного ризику заснована на
постійному спостереженні внутрішнього та зовнішнього середовища банку, зміни в
яких неодмінно матимуть вплив на фінансовий результат.
Після ідентифікації валютного ризику необхідним
є його аналіз та оцінка з метою визначення величини та факторів впливу на
нього.
Під внутрішнім нормативним забезпеченням
розуміють нормативні документи, які створюються в межах банку: положення про
політику управління ризиками банку; положення про комітет управління активами і
пасивами; порядок встановлення і контролю лімітів за валютними операціями; положення
про казначейство; положення про відділ контролю за ризиками тощо [15].
Таким чином, можна зробити висновок, що система
управління валютним ризиком являє собою вплив суб’єктів управління на об’єкт за
допомогою механізму управління.
Об’єктом управління є фінансовий результат
банку, отриманий у разі реалізації валютного ризику, обумовлений впливом
зовнішніх (некерованих банком) та внутрішніх (керованих банком) факторів.
Суб’єктами управління валютним ризиком є всі
підрозділи банку, що пов’язані з управлінням валютним ризиком банку.
Механізм управління валютним ризиком являє собою
методи управління (ідентифікації, аналізу та оцінки, регулювання, контролю),
які реалізуються за допомогою інформаційного та нормативного забезпечення
відповідно до мети, завдань та принципів управління ним.
Контроль валютного ризику являє собою
діяльність, спрямовану на виявлення фактичного рівня валютного ризику,
порівняння його з вимогами та нормативними значеннями, виявлення допущених
відхилень, аналіз причин цих відхилень та пошук шляхів нівелювання небажаних
наслідків.
Завданнями контролю валютного ризику є:
запобігання прийняттю управлінських рішень, які можуть мати у майбутньому
негативні наслідки для рівня валютного ризику; аналіз виконання управлінських
рішень, дослідження їх впливу на рівень валютного ризику, виявлення та
документальна фіксація фактів невиконання управлінських рішень, які в
майбутньому можуть призвести до збільшення рівня валютного ризику; прийняття за
результатами контролю управлінських рішень, спрямованих на усунення наслідків
невиконання вимог щодо валютного ризику тощо; забезпечення виконання
внутрішньобанківських нормативних обмежень та лімітів за розміром ризикових
операцій та рівнем валютного ризику; постійний аналіз змін основних індикаторів
валютного ризику.
Методичні прийоми контролю валютного ризику
поділяються на загальнонаукові та власні. До загальнонаукових належать
спостереження, моніторинг, порівняння, аналіз, аудит. До власних методичних
прийомів контролю належать: документальні (інформаційне моделювання,
нормативно-правове регулювання, дослідження документів за формою і змістом);
узагальнення і реалізації результатів (групування недоліків, документування
результатів проміжного контролю, тощо).
До процесу контролю за валютним ризиком залучаються
такі структурні підрозділи: фронт-офіси (у межах функцій прийняття валютних
ризиків за окремим контрагентом і затверджених лімітів повноважень); бек-офіси
(у межах своїх функцій контролю валютних ризиків за окремими операціями і
встановлених вимог); підрозділ з ризик-менеджменту (у межах своїх повноважень
щодо виявлення, кількісної оцінки, контролю і моніторингу ризику); колегіальні
органи (у межах своїх повноважень та ступеня відповідальності); правління банку
(в межах функції виконання рішень спостережної ради); спостережна рада (в межах
функції контролю за фінансовим станом банку й оптимізації валютних ризиків, що
приймаються).
Для здійснення управління валютним ризиком банк
використовує внутрішню та зовнішню інформаційні бази, що надає інформацію про
фактори впливу на нього (табл. 1.1.).
Таблиця 1.1. - Інформаційна база управління
валютним ризиком банку та її джерела
|
Вид
інформаційної бази
|
Фактори
впливу на валютний ризик
|
Складові,
що визначають фактори впливу на валютний ризик
|
Джерела
|
|
1
|
2
|
3
|
4
|
|
Зовнішня
|
Попит
і пропозиція на валютному ринку
|
Ставки
залучення (розміщення) коштів в іноземній валюті, обсяги торгів на ринку,
динаміка зміни курсу валюти тощо
|
Дані
Національного банку України, Державного комітету статистики
|
|
Економічна
і політична ситуація в країні
|
Показники
макроекономічного розвитку
|
|
|
Стан
платіжного балансу
|
Національні
рівні споживання та заощадження, інвестицій та розміщення фінансових активів,
стан торгівельного балансу.
|
|
|
Рівень
інфляції
|
Індекс
РРІ, СРІ, дефлятор ВВП, паритет купівельної спроможності, індекс Пааше
|
|
|
Внутрішня
|
Валютна
позиція банку
|
Структура
балансових та позабалансових статей банку
|
Дані
управлінської та статистичної звітності банку, планові дані, що визначають
операції в іноземній валюті
|
Для ефективного управління валютним ризиком
необхідним є актуалізація нормативної бази, яку доцільно поділити на зовнішню
та внутрішню.
З точки зору управління, валютний ризик являє
собою об’єкт управління у вигляді фінансового результату банку, отриманого у
результаті впливу внутрішніх та зовнішніх факторів.
Класифікацію валютного ризику доцільно
здійснювати залежно від джерела виникнення, масштабу, характеру та розміру
впливу, а також за можливістю диверсифікації.
Факторами впливу на валютний ризик банку є
коливання валютного курсу та структура валютної позиції банку, що залежить від
якості управління нею.
Система управління валютним ризиком являє собою
вплив суб’єктів управління на об’єкт за допомогою механізму управління.
Об’єктом управління є фінансовий результат
банку, отриманий у разі реалізації валютного ризику, обумовлений впливом
зовнішніх (некерованих банком) та внутрішніх (керованих банком) факторів.
Суб’єктами управління валютним ризиком є всі
підрозділи банку, що пов’язані з управлінням валютним ризиком банку, а саме:
спостережна рада, правління, служба внутрішнього аудиту, підрозділ
ризик-менеджменту, обов’язкові колегіальні органи, казначейство; фронт- та
бек-офіси.
Механізм управління валютним ризиком являє собою
методи управління (ідентифікації, аналізу та оцінки, регулювання, контролю),
які реалізуються за допомогою інформаційного та нормативного забезпечення
відповідно до мети, завдань та принципів управління ним.
Регулювання валютного ризику відбувається за
допомогою доподійних (диверсифікація активів і пасивів, метод випередження і
відставання, трансферне ціноутворення, лімітування) та післяподійних (неттінг,
хеджування, резервування) методів.
Обов’язковим елементом управління валютним
ризиком банку є контроль.
Інформаційне забезпечення управління валютним
ризиком являє собою сукупність даних із зовнішніх та внутрішніх джерел, що
використовується банком у процесі прийняття управлінських рішень щодо валютного
ризику.
Нормативне забезпечення управління валютним
ризиком включає в себе інформацію нормативно-правових документів державних
регулюючих органів і самого банку.
Розділ 2. Методи страхування валютних ризиків
.1 Валютні застереження
Валютне застереження - умова в
міжнародному контракті, що обмовляє перегляд суми платежу пропорційно зміні
курсу валюти застереження з метою страхування валютного чи кредитного ризику
експортера чи кредитора. Найбільш розповсюджена форма валютного застереження -
розбіжність валюти ціни і валюти платежу. При цьому експортер чи кредитор
зацікавлений у тім, щоб в якості валюти ціни вибиралася найбільш стійка валюта
чи валюта, підвищення курсу якої прогнозується, тому що при проведенні платежу
підрахунок суми платежу проводиться пропорційно курсу валюти ціни. Звідси
випливає, що в умовах нестабільності плаваючих валютних курсів цей метод
страхування валютних ризиків є неефективним. Аналогічний висновок можна
поширити і на іншу форму валютного застереження - коли валюта ціни і валюта
платежу збігаються, а сума платежу ставиться в залежність від більш стабільної
валюти застереження [23, c. 53-54].
Для зниження ризику падіння
курсу валюти ціни на практиці одержали поширення багатовалютні застереження.
Багатовалютне застереження -
умова в міжнародному контракті, що обумовлює перегляд суми платежу пропорційно
зміні курсу кошика валют, які заздалегідь обираються за згодою сторін.
Багатовалютне застереження має переваги перед одновалютним: по-перше, валютний
кошик, як метод виміру незваженого курсу валют, знижує ризик різкої зміни суми
платежу; по-друге, вона найбільшою мірою відповідає інтересам контрагентів
угоди з погляду валютного ризику, тому що включає валюти різної стабільності.
Разом з тим до недоліків
багатовалютного застереження можна віднести складність формулювання
застереження в контракті в залежності від способу розрахунку курсових утрат,
неточність якої приводить до різного трактування сторонами умов застереження.
Іншим недоліком багатовалютного застереження є складність вибору базисного
кошика валют.
Після скасування
золотодевізного стандарту і режиму фіксованих паритетів курсів і переходу до
Ямайської валютної системі і плаваючим валютним курсам, міжнародні валютні
одиниці були прирівняні до визначеного валютного кошика. Існує кілька видів
валютних кошиків. Вони розрізняються за складом валют:
. Симетричний кошик - у ньому
валюти наділені однаковими питомими вагами.
. Асиметричний кошик - у ньому
валюти наділені різними питомими вагами.
. Стандартний кошик - валюти
зафіксовані на визначений період застосування валютної одиниці як валюти
застереження.
. Регульований кошик - валюти
міняються в залежності від ринкових факторів.
Перевагою застосування тієї чи
іншої міжнародної валюти як бази багатовалютного застереження полягає в тім, що
регулярні і загальновизнані їхні котирування виключають невизначеність при
підрахунку сум платежу.
Складними елементами механізму
валютного застереження є:
початок її дії, що залежить від
встановленої в контракті межі коливань курсу
дата базисної вартості
валютного кошика. Датою базисної вартості звичайно є дата підписання контракту
чи попередня їй дата. Іноді застосовується ковзна дата базисної вартості, що
створює додаткову невизначеність.
дата чи період визначення
умовної вартості валютного кошика на момент платежу.
обмеження дії валютного
застереження при зміні курсу валюти платежу проти курсу валюти застереження
шляхом встановлення нижньої і верхньої меж дії застереження (звичайно у
відсотках до суми платежу).
Іншими формами багатовалютного
застереження є:
Використання як валюти платежу
декількох валют з погодженого набору, наприклад: долар, євро, швейцарський
франк і фунт стерлінгів.
Опціон валюти платежу - на
момент укладання контракту ціна фіксується в декількох валютах, а при настанні
платежу експортер має право вибору валюти платежу.
Обмеженість застосування
валютного застереження взагалі (і багатовалютного зокрема) полягає в тім, що
вона страхує від валютного й інфляційного ризику лише в тій мірі, у якій ріст
товарних цін відбивається на динаміці курсів валют. У світовій практиці для
страхування експортерів і кредиторів від інфляційного ризику використовуються
товарно-цінові застереження [23, c. 55-56].
Товарно-цінове застереження -
умова, що включається в міжнародний контракт із метою страхування від
інфляційного ризику. До товарно-цінових застережень відносяться:
. Застереження про змінну ціну,
що підвищується в залежності від ціноутворюючих факторів.
2. Індексне застереження - умова, по якій суми
платежу змінюються пропорційно зміні цін за періоди з дати підписання до
моменту виконання зобов'язання. Індексні застереження не одержали широкого
поширення у світовій практиці через труднощі з вибором і перерахуванням
індексів, що реально відбивають ріст цін.
3. Комбіноване валютно-товарне
застереження використовується для регулювання суми платежу з урахуванням зміни
валютних курсів і товарних цін. У випадку односпрямованої динаміки зміни
валютних курсів і товарних цін підрахунок сум платежу відбувається пропорційно
до фактору, що максимально змінився. Якщо ж за період між підписанням і
виконанням угоди динаміка валютних курсів і динаміка товарних цін не збігалися,
то сума платежу міняється на різницю між відхиленням цін і курсів.
. Компенсаційна угода для
страхування валютних ризиків при кредитуванні: сума кредиту погоджується з
ціною у визначеній валюті (може використовуватися кошик валют) товару, що поставляється
в рахунок погашення кредиту.
До теперішнього часу валютні
застереження, як метод страхування валютних ризиків експортерів і кредиторів, в
основному на практиці перестали застосовуватися. Замість них з початку 70-х
років стали застосовуватися сучасні методи страхування: валютні опціони,
форвардні валютні операції, валютні ф'ючерси, міжбанківські операції
"своп" [21, c. 64].
.2 Валютні опціони та форвардні
контракти
Валютний опціон - угода між
покупцем опціону і продавцем валют, що надає право покупцю опціону купувати чи
продавати за визначеним курсом суму валюти протягом обумовленого часу за
винагороду, що сплачується продавцю.
Валютні опціони застосовуються,
якщо покупець опціону прагне застрахувати себе від утрат, пов'язаних із зміною
курсу валюти у визначеному напрямку. Ризик утрат від зміни курсу валют може
бути декількох видів.
. Потенційний ризик присудження
фірмі контракту на постачання товарів. Розглянемо даний вид ризику за допомогою
наступного прикладу. Експортер і імпортер уклали контракт, по якому експортер
зобов'язувався поставити партію товарів імпортеру на умовах поновлюваного
акредитива. Після поставки частини товару експортер відмовився допоставити
частину, що залишилась, зіславшись на невиконання імпортером умов постачання.
Імпортер порушив проти свого контрагента судовий процес, вимагаючи завершити
постачання і відшкодувати збитки. Таким чином, експортер ризикує програти
справу і понести збитки через прогнозоване падіння курсу валюти ціни. Прагнучи
убезпечити себе від цього ризику, експортер купує опціон продавця цієї валюти й
у випадку несприятливого для себе результату справи і знецінення іноземної
валюти буде мати можливість продати свій виторг (реалізувати опціон) по
заздалегідь обговореному курсі. Якщо ж він виграє справу чи курс іноземної
валюти не зменшується, то експортер не реалізує опціон, утрачаючи при цьому
виплачену продавцю опціону премію, але все рівно мінімізує свої збитки.
. Хеджування вкладення капіталу
в іншій валюті по більш привабливих ставках. Проілюструємо дану ситуацію
наступним прикладом. У зв'язку з підвищенням ФРС процентної ставки по долару
інвестор з Німеччини придбав долари і розмістив їх на 6-ти місячний депозит в
американському банку. Тимчасово з цим він купує опціон продавця цієї валюти,
тому що побоюється, що за час дії депозитного договору курс долара може упасти
нижче розрахованого їм значення і він реально понесе збитки. У випадку, якщо це
відбудеться, інвестор реалізує опціон і продасть долари за встановленим курсом
(вище ринкового), утративши при цьому премію. Якщо курс долара не опуститься
нижче критичного рівня, інвестор не реалізує опціон і втрачає тільки премію,
сплачену продавцю опціону [24, c. 329].
Крім опціонів на купівлю і
продаж валют використовуються опціони на купівлю цінних паперів. Опціон на
купівлю цінних паперів - угода, при якій покупець опціону отримує право
купувати чи продавати визначені цінні папери за курсом опціону протягом
визначеного часу, сплативши при цьому премію продавцю опціону.
Опціон на купівлю цінних
паперів використовується тоді, коли інвестор бажає застрахуватися від падіння
курсу цінних паперів, у яких він інвестує свої кошти.
Особливістю опціону, як
страхової угоди, є ризик продавця опціону, що виникає внаслідок переносу на
нього валютного ризику експортера чи інвестора. Неправильно розрахувавши курс
опціону, продавець ризикує понести збитки, що перевищать отриману їм премію.
Тому продавець опціону завжди прагне занизити його курс і збільшити премію, що
може бути неприйнятним для покупця.
Форвардна валютна операція -
продаж чи купівля визначеної суми валюти з інтервалом за часом між укладанням і
виконанням угоди за курсом дня укладання угоди.
Форвардні валютні операції
здійснюються поза біржею. Сторонами форвардної угоди звичайно виступають банки
і промислово-торгові корпорації. валютний ризик банк хеджування
Сутність форвардної
валютної операції можна пояснити на прикладі з експортером з України й
американському імпортері. При укладанні контракту на постачання товарів
експортер одночасно укладає із своїм банком угоду про продаж йому свого
валютного виторгу через місяць по визначеному на момент укладання угоди курсу.
При цьому банк приймає на себе валютний ризик експортера і як плату за це
встановлює премію для себе, яка враховується при визначенні курс-форвард.
Форвардні валютні
операції використовують також імпортери. Якщо очікується ріст курсу валюти, у
якій імпортер здійснює платежі за контрактом, то імпортеру вигідно купити цю
валюту сьогодні по форвардному курсу, навіть якщо він вище реального ринкового
курсу, але при цьому убезпечити себе від ще більшого росту курси цієї валюти на
день платежу за контрактом.
Крім валютних
форвардних операцій з 1984 року практикуються форвардні операції з кредитними і
фінансовими інструментами - так називані "угоди про майбутню ставку"
(forward rate agreements), що являють собою міжбанківські термінові угоди про
взаємну компенсацію збитків від зміни процентних ставок по депозитах до 1 року
( як правило, на суми від 1 до 50 млн. доларів).
Форвардні валютні,
кредитні і фінансові операції є альтернативою біржових ф'ючерсних і опціонних
операцій [24, c. 130-131].
2.3 Інші методи
захисту від валютних ризиків
Серед інших методів захисту від
валютних ризиків в першу чергу слід розглянути валютні ф'ючерси. Валютні
ф'ючерси вперше стали застосовуватися в 1972 році на Чикагському валютному
ринку. Валютний ф'ючерс - термінова угода на біржі, що представляє собою
купівлю-продаж визначеної валюти по зафіксованому на момент укладання угоди
курсу з виконанням угоди через визначений термін. Відмінність валютних
ф'ючерсів від форвардних операцій полягає в тім, що:
1. ф'ючерси це
торгівля стандартними контрактами
. обов'язковою
умовою ф'ючерса є гарантійний депозит
. розрахунки між
контрагентами здійснюється через клірингову палату при валютній біржі, що
виступає посередником між сторонами й одночасно гарантом угоди.
Перевагою ф'ючерса
перед форвардним контрактом є його висока ліквідність і постійне котування на
валютній біржі. За допомогою ф'ючерсів експортери мають можливість хеджування
своїх операцій.
Крім валютних
ф'ючерсів у світовій практиці отримали поширення ф'ючерси з золотом (з 1972
р.), з 1975 р. - з векселями, сертифікатами, облігаціями, депозитами; у 1982 р.
з'явилися ф'ючерси, у яких ціною контракту виступають різні фондові індекси.
Для страхування
валютних ризиків використовують також "своп" операції.
"Своп" - операція, що являє собою купівлю-продаж валюти з одночасним
укладанням контругоди на певний строк. Існує кілька типів операцій
"своп": валютні, процентні, боргові, із золотом і їхні різні
сполучення.
Валютна операція
"своп" являє собою купівлю іноземної валюти на умовах
"спот" в обмін на вітчизняну валюту з наступним викупом. Наприклад,
німецький банк, маючи тимчасово зайві долари США, продає їх на євро
американському банку й одночасно купує долари на термін з постачанням через 1
місяць.
Операція
"своп" може бути використана для хеджування. Угоди "своп"
зручні для банків, тому що не створюють непокритої валютної позиції - обсяги
вимог і зобов'язань банку в іноземній валюті збігаються. Цілями
"своп" бувають:
. придбання
необхідної валюти для міжнародних розрахунків
. здійснення
політики диверсифікованості валютних резервів
. підтримка
визначених залишків на поточних рахунках
. задоволення
потреб клієнта в іноземній валюті й ін. [25, c. 22-24].
Сучасні стратегії
захисту від валютного й іншого видів фінансових ризиків досягли такої
досконалості, що самі ці стратегії переросли своє початкове призначення - а
саме - хеджування, захист - і дозволяють на основі згаданих стратегій
отримувати прибуток при мінімізації ризику. Ці стратегії більш складні і
вимагають високого професіоналізму при їхньому виконанні, тому що найменше
відхилення в розрахунках може обернутися значними втратами.
До таких стратегій
відноситься валютний арбітраж, тобто купівля/продаж іноземної валюти з
подальшої зворотною операцією з метою рецепції прибутку від різниці валютних
курсів у часі (валютний арбітраж "у часі"), а також за рахунок
розходжень у курсі валюти на різних валютних ринках (валютний арбітраж "у
просторі"). Валютний арбітраж може відбуватися з двома (простий валютний
арбітраж) і великим числом валюти (складний валютний арбітраж). Валютний
простий (двосторонній) арбітраж припускає укладання валютної операції з метою
рецепції прибутку за рахунок різниці, що існує в даний момент у курсах однієї і
тієї ж валюти на валютних ринках двох країн. Валютний складний (багатобічний)
арбітраж припускає валютні операції з метою рецепції прибутку за рахунок
різниці в курсах декількох валют на різних валютних ринках.
По своєму змісті
арбітраж поділяються на арбітраж "у часі" і арбітраж "у
просторі".
Арбітраж "у
часі" - це операції на одному і тому ж ринку, чинені з метою рецепції
вигоди від різниці в котируваннях з різними термінами постачання (спред,
стредл, стренгл). Ціни на біржові товари при постачанні в різний термін
знаходяться на різних рівнях як під впливом вартісних факторів, так і під
впливом співвідношення попиту/пропозиції і зміни оцінок перспектив розвитку
кон'юнктури.
Арбітраж "у
просторі". - одночасна операція на один товар, чи валюту цінний папір на
різних ринках, яка ґрунтується на різниці чи курсів котирування.
Більш досконалими,
але в той же час небезпечними формами арбітражу є стратегії ігри на спред,
стредл та стренгл.
. Спред - одночасна
купівля і продаж ф'ючерсних контрактів на той самий актив з різними термінами
постачання чи на два різних активи, але взаємозалежних чи одночасна покупка і
продаж опціонів одного типу, але по різних базисних цінах чи з різним періодом
до моменту закінчення опціону чи по різних базисних цінах і з різним періодом.
. Стредл -
з'єднання одночасної покупки однієї валюти з продажем іншої; при операціях по
опціонах - подвійний опціон чи операція, яка дає власнику цінних паперів право
їх купити чи продати за визначеною ціною. Стредли бувають двох видів - довгі і
короткі. Довгий стредл - одночасна купівля опціонів "пут" і
"колл" з однаковими цінами і термінами виконання з розрахунку на
нестійкість кон'юнктури. Короткий стредл - одночасний продаж опціонів "пут"
і "колл" з однаковими цінами і термінами виконання з розрахунку на
прибуток від премії при зменшенні нестійкості кон'юнктури.
. Стренгл -
подвійний опціон з одночасною покупкою чи продажем пут-опціону і колл-опціону з
різними цінами реалізації (при цьому ціна реалізації пут-опціону звичайно нижче
за ціну реалізації колл-опціону).
Вищезгадані
стратегії і методи далеко не вичерпують усі можливості страхування валютного
ризику в сучасній економічній системі, зате дають загальне уявлення про
принципи його здійснення на практиці [26, c. 33].
2.4 Сучасні
інструменти хеджування валютних ризиків
Хеджування - це купівля і продаж
ф’ючерсних контрактів з метою уникнути ризику зміни цін та ризику
готівкових(реальних продаж).
Процес хеджування реалізується за
допомогою похідних фінансових інструментів. Як правило причиною для існування
похідних інструментів - майбуття невизначеність, як основа існування страхового
ринку. Більшість похідних цінних паперів - це угоди на термін, виконання яких
відноситься до визначеного майбутнього терміну операції. Основне призначення
похідних інструментів - хеджування ризику, пов’язаного з непередбаченим
коливанням цін на ринку реальних активів.
Валютний ф’ючерс - термінова угода
на ринку, що передбачає купівлю - продаж визначеної валюти по зафіксованому
курсу на момент укладання угоди з виконанням у майбутньому через визначений
термін.
Відмінність валютних ф’ючерсів від
форвардних операцій полягає у тому, що:
. ф’ючерси - це торгівля
стандартними контрактами;
. обов’язковою умовою ф’ючерса є
гарантійний депозит;
. розрахунки між контрагентами
здійснюються через клірингову палату при валютній біржі, що виступає
посередником між сторонами й одночасно гарантом угоди.
Перевагою ф'ючерса перед форвардним
контрактом - це висока ліквідність і постійне котирування на валютному ринку.
При допомозі ф'ючерсів контрагенти мають можливість страхувати свої валютні
операції.
Валютний своп (currency swap) -
валютна операція, яка поєднує купівлю або продаж валюти на умовах
"свот" із одночасним продажем (або купівлею) тієї ж валюти на певний
термін на умовах "форвард", тобто здійснюється комбінація двох
протилежних конверсійних угод на однакові суми, але з різними датами
валютування. Наприклад якщо банк має запаси доларів США, а йому тимчасово (на 6
місяців) потрібні японські єни, то він може продати долари за єни з негайною
оплатою (операція спот) і одночасно укласти угоду про зворотну купівлю такої ж
суми доларів США через 6 місяців у свого партнера.
Розрізняють класичні операції
"своп" та їх різновиди у вигляді опціонних, валютно-відсоткових
свопів, свопи з борговим зобовими зобов’язаннями тощо. Класичні
"свопи" залежно від послідовності виконання операцій "спот"
і "форвард" поділяються на репорт і депорт. Репорт це продаж валюти
на умовах "спот" і одночасна купівля на умовах "форвард".
Депорт - купівля валюти на умовах "спот" і продаж на умовах
"форвард". Операція коли купівля/продаж валюти здійснюється на основі
двох угод за курсом "аутрайт", називається "форвард - форвард
"або "форвардний своп". У разі укладання угоди "своп"
дата виконання ближчої угоди називається датою валютування, а дата виконання
зворотної угоди (віддаленої в часі) - датою завершення свопу (maturity). [27]
У світовій практиці поняття
"валютних свопів" трактується дуже широко, оскільки під час
здійснення угоди "своп" на практиці часто не постачаються обумовлені
суми, а ведеться розрахунок компенсаційних платежів. Покупець, який купив
валюту з вищими відсотковими ставками сплачує своєму контрагентові компенсацію,
визначену різницею у відсоткових ставках за формулою:
де, К - сума компенсаційних
витрат;
В - сума контракту;
Т - стандартний термін дії
угоди;
К1 - розрахункова відсоткова
ставка;
К2 - відсоткова ставка
обумовлена в контракті.
Проте останнім часом
набувають поширення валютні свопи, які не передбачають компенсаційних витрат, а
відбувається залік сум грошових коштів, що передаються контрагентам.
До таких угод відносять:
"валютні опціонні
свопи", за якими один із учасників угоди має право протягом певного
періоду підвищити номінальну вартість свопу (currency option swap);
"амортизовані
свопи", угоди за якими змінюють номінальну вартість конракту (amortizing
swap);
"двовалютні свопи",
за якими номінальні суми й відсоткові ставки виражені в різних валютах.
Угоди "своп" є міжбанківськими
операціями і мають багато спільного з операціями "аутрайт". Вони
використовуються для нейтралізації (мінімізації) валютних ризиків під час
здійснення операції "аутрайт". Вони широко здійснюються не тільки між
комерційними банками, а теж між центральними банками у вигляді угоди про
взаємне кредитування в національних валютах. На цьому сегменті ринку домінують
транснаціональні банки, які виступають посередниками під час здійснення угод.
Необхідність забезпечення надійних методів хеджування валютних ризиків сприяє
пошукові нових видів "свопів", які поєднують форвардні, ф’ючерсні та
опціонні угоди.
Валютний опціон - термінова
угода двох сторін - продавця і покупця опціону, внаслідок якої покупець отримує
право (а не зобов'язання) купити у продавця або продати йому в майбутньому
визначену суму інвалюти за обумовленим валютним курсом чи за курсом визначеним
на день обміну. Такий фіксований курс називають ціною виконання.
Покупець опціону має право
вибору (але не примушує його) реалізувати опціон або ж відмовитись від нього
залежно від того на скільки сприятливими для нього будуть коливання валютного
курсу. За право вибору покупець сплачує продавцю опціонну премію - це плата за
страхування ризику.
Продавець опціону
зобов’язаний виконати валютну операцію за курсом обміну (ціною виконання), та
забезпечити покупцеві виконання умов угоди. [27]
Залежно від характеру прав,
яких може набути покупець опціону розрізняють:
опціон "кол" (call)
- контракт, що надає покупцеві опціону право купити певну суму однієї валюти в
обмін на іншу;
опціон "пут"(put) -
це контракт що надає покупцеві опціону право продати певну суму однієї валюти в
обмін на іншу.
. Покупці опціону
"кол":
імпортери, які зобов’язані
виконати платіж в іноземній валюті;
вкладники, які бажають
вигідно розмістити в банку певну суму грошей.
. Покупці опціону
"пут":
експортери, які очікують
поступлення на рахунок в іноземній валюті
вкладники, які бажають
покрити ризик іноземної валюти власного портфеля цінних паперів.
Якщо опціон виконано, то
продавець опціону "кол" повинен продати валюту власникові (покупцю)
опціону, а продавець опціону "пут" мусить купити валюту у власника
опціону. Це є обов’язковою угодою виконання опціонної угоди.
Якщо опціон завершено, то
результати (прибуток/збиток) визначається за формулою:
Р=(Кп-Кв)Б - П
де, Р - прибуток (збитки);
Кп - поточні курси валюти;
Кв - ціна використання (курс
зафіксований в опціонній угоді);
Б - сума опціонного контракту
(базовий актив) П - вартість опціону (премія).
Загальним правилом визнання
доцільності здійснення опціонної угоди є зіставлення поточного валютного курсу
на день виконання опціону з ціною використання. Якщо спот курс буде нижчим за
ціну використання, то вигідно здійснити опціон "пут", а
"кол" - навпаки, коли поточний курс перевищить ціну використання.
Отже можна вважати, що прибуток і ризик продавця опціону прямо протилежні
прибуткові і ризику покупця.
Для позабіржових опціонів
ціна використання і розмір премії визначається покупцем і продавцем за
домовленістю. Останнім часом з'явилася специфічна форма позабіржових опціонів
із нульовою вартістю - їх називають "циліндром" або
"коларом". Це зумовлено подальшим розвитком ринку опціонів,
посиленням партнерства й довіри між контрагентами та банками, що дозволяє
уникнути в торгівлі опціонами спекулятивних мотивів і зосередити увагу на
головній функції опціонних угод - хеджуванні валютних ризиків.
Похідні фінансові інструменти
- свопи, опціони, форварди та фючерси з’явились на євроринку в 70-х роках і
стали органічним доповненням до основних фінансових інструментів євроринку.
Вони сприяють ефективніше управляти фінансовими ризиками, робити фінансове
посередництво на міжнародному ринку більш безпечним.
Вони дали змогу як
позичальникам, так і кредиторам захиститись від процентного та валютного
ризиків, використати арбітражні можливості євроринків, а при сприятливій
кон’юнктурі ринку реалізувати спекулятивні стратегії.
Валютний арбітраж - це продаж
певної валюти на одному валютному ринку з одночасною купівлею цієї ж валюти на
іншому ринку.
. Арбітраж не передбачає
ризику від спекуляції, оскільки арбітражер (особа, що займається арбітражними
функціями) повністю компенсує продаж на одному ринку купівлею на іншому [27].
. Арбітраж також підтримує
узгодженість крос - курсів між двома інвалютами за допомогою третьої (переважно
долари США). Міжбанківська торгівля через долар США усуває невідповідності між
доларовими котируваннями іноземних валют та їх крос - курсами.
. Арбітраж сприяє формуванню
інтегрованого глобального ринку валют.
. Миттєвий електронний зв’язок
зробив арбітраж більш мобільним і ефективнішим, оскільки арбітражери(головним
чином банки) покладаються на комп’ютерні інформаційні системи і комп’ютерні
програми для проведення арбітражних операцій.
Розрізняють часовий і
просторовий (локальний) валютний арбітраж.
Часовий валютний арбітраж -
це валютна операція з метою одержання прибутку від різниці валютних курсів у
часі.
Просторовий (локальний)
валютний арбітраж передбачає одержання доходу за рахунок різниці курсу валют на
двох різних територіально віддалених ринках.
Кожний з них у свою чергу
може бути простим і складним (крос-курсовим). Простий арбітраж виконується з
двома валютами, складний (крос-курсовий) - з трьома і більше валютами. [27]
Слід підкреслити, що
арбітражні операції мають велике економічне значення для всього фінансового
ринку, оскільки втручання арбітражерів дає змогу забезпечити взаємозв’язок
курсів валют і регулювання ринку, що сприяє тимчасовому вирівнюванню валютних
курсів на регіональних ринках.
Розділ 3. Прогнозування валютного ризику
Висока та непередбачувана
волатильність обмінних курсів на валютному ринку, нестабільність економічного
та політичного середовища функціонування банків в Україні обумовлюють високу
складність управління валютним ризиком в банках нашої країни. Саме тому
управління валютним ризиком є одним з першочергових завдань менеджменту.
Волатильність - статистичний
показник, що характеризує тенденцію ринкової ціни або доходу змінюватися з
часом. Є одним з найважливіших фінансових показників в управлінні фінансовими
ризиками, де становить собою міру ризику використання фінансового інструмента
за заданий проміжок часу. [29]
Очікувана волатильність -
волатильність, яка прогнозується на основі діючої фінансової вартості
інструменту, маючи на увазі, що вартість на ринку цього інструменту фінансів,
відображає прогнозовані ризики.
Історична волатильність - це об’єм,
рівний стандартному відхиленню від вартості фінансового інструменту, за
прогнозований часовий інтервал, розрахований на основі даних історії його
вартості.
Динамічна торгівля на ринку форекс
неможлива без врахування волатильності ринку. Валютний ринок форекс
контролюється трейдерами цілодобово. Форекс трейдер фільтрує розбіжності в
різні часові проміжки доби й використовує це в торгівлі. Валютні пари мають прогнозовану
волатильність, тобто мінливість, що трейдер може використовувати у своїх
інтересах.
Волатильність ділиться на:
. Торгово - сесійну.
. Добову.
Для дослідження прибутковості та
волатильності будемо користуватися даними відношення EUR до UAH згідно з даними
Національного Банку України в середовищі MatLab.
Рис. 3.1. Динаміка змін курсу Евро
відносно українській гривні
Рис. 3.2. Нормалізовані
прибутковості обраного часового ряду
На рис. 3.2. відображено поведінку
нормалізованих прибутковостей. Звернімо увагу, що флуктуації нормалізованих
прибутковостей практично не перевищують величину ± 3σ
, що є цілком нормальним для незалежних подій.
Рис. 3.3. Зміна з часовим рядом
автокореляційних функцій для вихідного ряду x, нормалізованих прибутковостей g
та їх модулів mod(g)
З рисунку можна бачити, що вихідні
дані ряду сильно корельовані між собою. Таке значення можна пояснити сильним
впливом попередніх значень ціни на наступні або досить високою стабільністю
економічного положення.
З рисунку добре видно, що для
прибутковостей пам'ять (як довга, так і коротка) відсутня взагалі, оскільки всі
значення коливаються біля значення 0.
Рис. 3.4. Розрахована волатильність
для модулів прибутковостей
Можемо бачити на рисунку тенденцію
вартісті EUR до UAH змінюватися з часом.
Оцінка ризику Value at Risk (VaR) за
допомогою історичного моделювання
Всі методи прогнозування валютного
ризику можна умовно розділити на дві групи:
* статистичні методи , в основі яких
лежить кількісний аналіз
* експертні методи, засновані на
якісному аналізі
За основу кількісної оцінки валютних
ризиків прийнято метод Value at Risk (VaR), визначення функціонального зв'язку
ймовірності настання ризику від зовнішніх показників. Методика VAR методу
використовується такими міжнародними інститутами як, Банк міжнародних
розрахунків, банківська федерація Європейського Співтовариства та іншими для
обчислення достатності капіталу. Ця методика використовується багатьма
європейськими банками для вимірювання ринкових ризиків (куди входить і валютний
ризик) банку.- це величина збитків , яка з імовірністю рівня довірчого
інтервалу (наприклад 99%), що не буде перевищена. Відповідно в 1% подій збиток
може скласти величину перевищує VaR. Метод VaR по суті є розвитком класичного
методу вимірювання ризику, заснованому на обчисленні середньоквадратичного
відхилення з подальшим застосуванням нормального закону розподілу.
Переваги оцінки валютних ризиків за
допомогою методу VaR володіє наступними перевагами, тому що він дозволяє:
* розрахувати ризики для всіх
можливих ринків
* розрахувати ризик втрат відповідно
до ймовірністю їх появи
Говорячи загальними словами, VaR
можна визначити як статистичну оцінку максимальних втрат портфеля інвестора при
заданому розподілі факторів ринку за певний проміжок часу майже у всіх випадках
(за винятком малого відсотка ситуацій).
При обчисленні VaR потрібно
визначити базові елементи, які впливають на його величину: імовірнісний
розподіл ринкових факторів, довірчий інтервал, тобто ймовірність, з якою втрати
не повинні перевищувати VaR, період утримання позицій (holding period). Формула
розрахунку VaR:
VAR = k * σ * Y
Де k - коефіцієнт, певного довірчого
інтервалу,- вартісний обсяг активу,
σ - волатильність
курсу валюти.
Волатильність дорівнює квадратному
кореню з дисперсії: заходи розкиду валюти від своєї середньої. Наступний крок у
розрахунку показника VaR - вибір довірчого інтервалу, кількісну характеристику
точності прогнозу. Для кожного довірчого інтервалу існує свій коефіцієнт
(множник k). Найбільш часто використовується - 95% довірчий інтервал
(коефіцієнт 1,65) і 97,5% (коефіцієнт 1,96) і 99% (коефіцієнт 2,33) інтервали.
Зазначені інтервали визначають ймовірність перевищення розрахункового VaR.
Є три методи розрахунку VaR: метод
варіації - коваріації (аналітичний), моделювання на історії, статистичне
моделювання (зване методом Монте -Карло). Для обчислення VaR найчастіше
використовують метод варіації - коваріації (розібраний вище). Його широке
використання пов'язане з тим, що його просто використовувати, а результати
точності розрахунку виявляються на високому рівні. Використовувати цей метод
можливо тільки, якщо досліджувані статистичні дані відповідають нормальному
закону розподілу, що в реальності має означати відсутність будь-яких істотних
відхилень значень цін від середнього рівня. Аналітичний метод розрахунку VaR
можна реалізувати на будь-якому комп'ютері, однак при його використанні треба
рахуватися зі стаціонарним нормальним розподілом , що робить його малопридатним
для російських умов.
Крім стандартного відхилення,
інвестиційні кампанії розраховують такий показник ризику як VaR (Value at
Risk). Цей показник характеризує величину можливого збитку з обраної
ймовірністю за певний проміжок часу. Value - at - Risk розраховується 3-ма
методами:
Варіація / ковариация (або кореляція
або параметричний метод)
Історичне моделювання (дельта
нормальний метод, "ручний розрахунок")
Розробка та впровадження моделей VAR
відбувається стрімким чином. В інвестиційних компаніях і банках методологія VAR
може застосовуватися принаймні в 4-х напрямках діяльності.
. Внутрішній моніторинг ринкових
ризиків. Інституційні інвестори можуть обчислювати і робити моніторинг значень
VAR по декількох рівнях: агрегованим портфеля, по класу активу, по емітенту, по
контрагенту, по трейдеру / портфельному менеджеру і т.д. З точки зору
моніторингу точність оцінювання величини VAR йде на другий план оскільки в
даному випадку важлива величина відносного, а не абсолютного значення VAR,
тобто VAR керуючого або VAR портфеля в порівнянні з VAR еталонного портфеля,
індексу, іншого менеджера або того ж менеджера в попередні моменти часу.
. Зовнішній моніторинг. VAR дозволяє
створити уявлення про ринковий ризик портфеля без розкриття інформації про
склад портфеля (який може бути досить заплутаним). Крім того, регулярні звіти з
використанням цифр VAR, що надаються начальству, можуть служити одним з
аргументів того, що ризик, який взяли на себе керуючі менеджери, знаходиться в
прийнятних рамках.
. Моніторинг ефективності хеджу.
Значення VAR можуть використовуватися для визначення ступеня того, наскільки
хеджирующего стратегія виконує поставлені цілі. Менеджер може оцінити
ефективність хеджу шляхом порівняння величин VAR портфелів з хеджем і без
хеджа. Якщо, наприклад, різниця між цими двома величинами невелика, то виникає
питання про доцільність хеджування або чи правильно хеджування застосовується.
. "Що - якщо" аналіз
можливих трейдів. Методологія VAR дозволяє дати більше свободи і автономії
керуючому персоналу, оскільки стає можливим скоротити всілякі бюрократичні
процедури, пов'язані із затвердженням тих чи інших угод (особливо з похідними
інструментами). Це досягається через моніторинг транзакцій (угод) з
використанням VAR. Наприклад, вище керівництво може просто встановити правило
для своїх брокерів-дилерів подібного роду: "Ніяка операція не повинна
приводити до збільшення значення VAR більш ніж на X% початкового капіталу"
і після цього не вдаватися згодом в подробиці кожного конкретного трейда. [30]
Розрахунок за допомогою методу Монте
-Карло
Метод Монте-Карло полягає у
визначенні статистичних моделей для активів портфеля і їх моделюванні вигляді
генерації випадкових траєкторій. Значення VAR обчислюється з розподілу ставок
зростання капіталу портфеля, отриманого в результаті штучного моделювання.
Для розрахунку параметра ризику
Value at Risk за допомогою дельта нормального методу, необхідно сформувати
вибірку фактора ризику, необхідно, щоб кількість значень вибірки було більше
250 (рекомендація Bank of International Settlements), для забезпечення
репрезентативності. Візьмемо дані за період відношення EUR до UAH з 1 січня
2007 року до 20 грудня 2013 року.
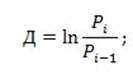
Розрахуємо денну прибутковість за
формулою:
де: Д - денна прибутковість;
Рi - поточна вартість EUR до
UAH;
Рi-1 - вчорашня прибутковість
EUR до UAH.
Правильність використання
методу Value at Risk при дельта нормальному способі розрахунку, досягається при
використанні тільки факторів ризику підлеглим нормальному (гауссова) закону
розподілу. Для перевірки нормальності розподілу доходностей акції можна
скористатися критеріями Пірсона або Колмогорова-Смирнова.
Після цього необхідно
розрахувати математичне очікування дохідності і стандартне відхилення
прибутковості за весь період. (додаток А)
На наступному етапі необхідно
розрахувати квантиль нормальної функції розподілу. Квантиль - це значення
функції розподілу (гауссова функції) при заданих значеннях, при яких значення
функції розподілу не перевищують це значення з певною ймовірністю. [31]
Для розрахунку ціни EUR до
UAH з імовірністю 99% на наступний день, необхідно перемножити останнє
(поточне) значення ціни EUR до UAH на квантиль складений з одиницею.
де: Q-значення квантиля для
нормального розподілу ціни EUR до UAH;значення прибутковості ціни EUR до UAH в
поточний момент часу;+1-значення прибутковості в наступний момент часу.
Для розрахунку ціни EUR до
UAH на кілька днів вперед із заданою вірогідністю, скористаємося такою
формулою.
Де: Q-значення квантиля для
нормального розподілу ціни EUR до UAH;значення прибутковості ціни EUR до UAH в
поточний момент часу;+1-значення прибутковості в наступний момент часу.-
кількість днів вперед.
Отримані значення Х(1) =
10.9222 говорить про те, що протягом наступного дня, ціни EUR до UAH не
перевищать значення в 10.9222 грн. з імовірністю 99%. І Х(5) говорить про те,
що протягом наступних п'яти днів з імовірністю 99% ціни EUR до UAH не
опуститься нижче 10.9199 грн. (додаток А)
Для розрахунку самого Var
(величина можливих збитків), розрахуємо абсолютне значення збитків і
відносне.[31]
Ці цифри говорять наступне:
ціна EUR до UAH з імовірністю 99% не впаде на 0,001825032 грн. на наступний
день і ціна EUR до UAH у з імовірністю 99% не впаде на 0,004080896 грн. за
наступні п'ять днів. (додаток А)
Розрахунок показника Value at
Risk "ручним способом"
Для того що б визначити
значення Value at Risk "ручним способом", необхідно знайти: максимум
доходностей за весь часовий діапазон, мінімум доходностей за весь часовий
діапазон, інтервал угруповання та кількість інтервалів(N = 100).[31]
Далі побудуємо розподілу
доходностей, для 100 інтервалів. (додаток Б)
Після побудуємо гістограму
накопичувальної ймовірності.
Отже, міра ризику Value at
Risk дозволяє оцінити величину можливих збитків у кількісних показниках, що є
ефективним методом управління валютними ризиками. Обчислення величини VaR
проводиться з метою укладення затвердження подібного типу: "Ми впевнені на
X% (з ймовірністю X/100), що наші втрати не перевищать Y протягом наступних N
днів". У даному реченні невідома величина Y і є VaR. [30]
Висновки
З точки зору управління, валютний
ризик банку є його об’єктом у вигляді фінансового результату, отриманого у
результаті впливу зовнішніх та внутрішніх факторів, і може приймати
трансакційну, трансляційну та економічну форми.
Класифікацію валютного ризику банку
доцільно здійснювати залежно від джерела виникнення, масштабу, характеру та
розміру впливу, а також за можливістю диверсифікації.
Факторами впливу на валютний ризик
банку є коливання валютного курсу та структура валютної позиції банку, що
залежить від якості управління нею.
Система управління валютним ризиком
являє собою вплив суб’єктів управління на об’єкт за допомогою механізму
управління.
Об’єктом управління є фінансовий
результат банку, отриманий у разі реалізації валютного ризику, обумовлений
впливом зовнішніх (некерованих банком) та внутрішніх (керованих банком)
факторів.
Суб’єктами управління валютним
ризиком є всі підрозділи банку, що пов’язані з управлінням валютним ризиком
банку, а саме: спостережна рада, правління, служба внутрішнього аудиту,
підрозділ ризик-менеджменту, обов’язкові колегіальні органи, казначейство;
фронт- та бек-офіси.
Механізм управління валютним ризиком
являє собою методи управління (ідентифікації, аналізу та оцінки, регулювання,
контролю), які реалізуються за допомогою інформаційного та нормативного
забезпечення відповідно до мети, завдань та принципів управління ним.
Визначено, що методами оцінки
валютного ризику є коефіцієнтний метод, метод дисбалансів, VaR-методи та
стрес-тестування.метод на сьогоднішній день є основним для оцінки валютного
ризику. Однак, не дивлячись на те, що оцінка величини валютного ризику за його
допомогою має ряд переваг порівняно з іншими методами, в Україні, в умовах
значної волатильності валют та економічної і політичної нестабільності, його
використання не дає змогу адекватно оцінити валютний ризик. Це відбувається
тому, що більшість економічних процесів розвивається не за законом нормального
розподілу, на якому базується VaR.
Отже, міра ризику Value at Risk
дозволяє оцінити величину можливих збитків у кількісних показниках, що є
ефективним методом управління валютними ризиками.
Список використаної літератури та
джерел
1. Примостка
Л.О. Банківські ризики: теорія та практика управління [Teкст]: монографія /
Л.О. Примостка, О.В. Лисенюк, О.О. Чуб. - К.: КНЕУ, 2008. - 456 с. - ISBN
978-966-483-132-8.
. Шодо
організації та функціонування систем ризик-менеджменту в банках України
[Електронний ресурс]: рекомендації, затверджені Постановою Правління
Національного банку України від 02.08.2004 №361. - Режим доступу:
http://www.bank.gov.ua/Bank_supervision/Risks/361.pdf. - Назва з екрана.
. Донець
Л.І. Економічні ризики та методи їх вимірювання [Teкст]: навч. посіб. / Л.І.
Донець. - К.: Центр навчальної літератури, 2006. - 312 с. - ISBN 966-364-279-3.
. Вітлінський
В.В. Ризик у менеджменті [Teкст]: навч. посіб. / В.В. Вітлінський, С.І. Наконечний.
- К.: ТОВ "Борисфен", 1996. - 336 с. - ISBN 966-327-45-18.
. Уткин
Э.А. Риск-менеджмент [Текст]: учебник / Э.А. Уткин; Ассоциация авторов и
издателей "Тандем". - М.: Экмос, 1998. - 288 с. - ISBN 5-88124-020-0.
. Пікус
Р.В. Управління фінансовими ризиками [Teкст]: навч. посіб. / Р.В. Пікус. - К.:
Знання, 2010. - 598 с. - ISBN 978-966-346-789-4.
. Сало
І.В. Фінансовий менеджмент банку [Текст]: навч. посіб. / І.В. Сало, О.А.
Криклій. - Суми: Університетська книга, 2007. - 314 с. - ISBN
978-966-680-312-5.
. Ющенко
В.А. Управління валютними ризиками [Текст]: навч. посіб. / В.А. Ющенко, В.І.
Міщенко. - К.: Товариство "Знання", КОО, 1998. - 444 с. - ISBN
966-7293-29-7.
. Джон
Ф. Маршалл, Финансовая инженерия [Текст]: Учебник / Джон Ф. Маршалл, Викул К.
Бансал: Полное руководство по финансовым нововведениям: Пер. с англ. - М.:
ИНФРА-М, 1998. - 784 с. - ISBN 5-86225-576-1.
. Козьменко
С.М. Стратегічний менеджмент банку [Текст]: навч. посіб. / С.М. Козьменко, Ф.І.
Шпиг, І.В. Волошко. - Суми: Університетська книга, 2003. - 734 с. - (Майстер
клас). - ISBN 966-680-086-1.
. Пернарівський
О.В. Аналіз, оцінка так способи зниження банківських ризиків [Текст] / О.В.
Пернарівський // Вісник Національного банку України. - 2004. - №4. - С. 44-58.
. Ребрик
М.А. Фактори валютного ризику банку [Tекст] / М.А. Ребрик // Вісник Української
академії банківської справи. - 2009. - №2. - С. 84-88.
. Положення
(стандарт) бухгалтерського обліку 13 "Фінансові інструменти"
[Електронний ресурс]: Наказ Міністерства фінансів України від 30.11.2011 №559.
- Режим доступу: http://zakon2.rada.gov.ua/laws/show/z1050-01.
. Кириченко
О.А. Казначейство банку [Текст]: навч. посіб. / О.А. Кириченко, М.П. Денисенко.
- К.: Центр учбової літератури, 2010. - 461 с. - ISBN 978-611-01-0065-6.
. Пискулов
Д.Ю. Теория и практика валютного дилинга [Текст]: учебник / Д.Ю. Пискулов. -
4-е изд., перераб. и доп. - М.: Финансист, 2002. - 325 с. - ISBN 5-86225-148-0.
. Игнатов
А.В. Оценка и управление банковскими рисками: дис. канд. экон. наук: 08.00.10 /
Игнатов Алексей Витальевич. - Абакан, 2002. - 153 с.
. Івченко
І.Ю. Моделювання економічних ризиків і ризикових ситуацій [Текст]: навч. посіб.
/ І.Ю. Івченко. - К.: Центр учбової літератури, 2007. - 344 с. - ISBN
5-25-001440-7.
. Сорока
П.М. Економічні та фінансові ризики [Текст]: навч. посіб. для дистанційного
навчання / П.М. Сорока, Б.П. Сорока; за наук. ред. О.Д. Гудзинського. - К.:
Університет "Україна", 2006. - 266 с. - ISBN 456-167-240-2.
. Андрєєва
Т.Є. Ризик у ринковій економіці [Текст]: навч. посіб. / Т.Є. Андрєєва, Т.Е.
Петровська. - Харків: Бурун Книга, 2005. - 128 с. ISBN 966-638-405-1.
. John
H. Boyd The Theory of Bank Risk Taking and Competition Revisited [Теxt] / John
H. Boyd, Gianni De Nicolo // The Journal of Finance. - 2005. - №3. - Р.
1329-1343.
. Васюренко
О.В. Современные методы управления банковскими ресурсами [Текст]: монография /
О.В. Васюренко. - Х.: Гриф, 1997. - 392 с. - 5-85173-052-8.
. Наговицин
А.Г. Валютная политика. Москва: "Экзамен", 2000, 512 с.
. Киреев
А.П. Международная экономика. Международная макроэкономика: открытая экономика
и макроэкономическое программирование. Москва: Международные отношения, 2000,
488 с.
. Ершов
М.В. Валютно-финансовые механизмы в современном мире (кризисный опыт конца
90-х). Москва: ОАО "НПО "Издательство "Экономика", 2000,
319 с.
. Бункина
М.К., Семенов А.М. Основы валютных отношений. Москва: Юрайт, 2000, 192 с.
. Сучасні
інструменти хеджування валютних ризиків //
http://studentam.net.ua/content/view/4562/132
. http://uk.wikipedia.org
. Соловйов
В.М. Математична економіка: Навчально-методичний посібник для самостійного
вивчення. - Черкаси:Вид. від.ЧНУ ім. б. Хмельницького,2008.-136с ISBN
978-966-353-091-8
. http://buzdalin.ru/text/banks
. http://beintrend.ru
Додатки
Додаток А
|
Дата
|
EUR до UAH
|
Дохідність
|
|
Математичне очікування
|
Стандартне відхилення
|
|
01.01.2007
|
6,65085
|
|
|
0,000281%
|
0,007302%
|
|
02.01.2007
|
6,65085
|
0,000000%
|
|
|
|
|
03.01.2007
|
6,65085
|
0,000000%
|
|
Квантиль
|
|
|
04.01.2007
|
6,65085
|
0,000000%
|
|
-0,000167066
|
|
|
05.01.2007
|
6,65085
|
0,000000%
|
|
|
|
|
06.01.2007
|
6,65085
|
0,000000%
|
|
X(1)
|
10,92220797
|
|
07.01.2007
|
6,65085
|
0,000000%
|
|
X(5)
|
10,9199521
|
|
08.01.2007
|
6,65085
|
0,000000%
|
|
|
|
|
09.01.2007
|
6,60742
|
-0,006551%
|
|
Var(1)
|
0,001825032
|
|
10.01.2007
|
6,57409
|
-0,005057%
|
|
Var(5)
|
0,004080896
|
|
11.01.2007
|
6,55894
|
-0,002307%
|
|
|
|
|
12.01.2007
|
6,55692
|
-0,000308%
|
|
|
|
|
15.01.2007
|
6,510965
|
-0,007033%
|
|
|
|
|
16.01.2007
|
6,535205
|
0,003716%
|
|
Максимум
|
0,065551%
|
|
17.01.2007
|
6,541265
|
0,000927%
|
|
Мінімум
|
-0,047354%
|
|
18.01.2007
|
6,519045
|
-0,003403%
|
|
N
|
100
|
|
19.01.2007
|
6,52561
|
0,001007%
|
|
Int
|
1,12905E-05
|
|
22.01.2007
|
6,54379
|
0,002782%
|
|
|
|
|
23.01.2007
|
6,53268
|
-0,001699%
|
|
№
|
Интервал
|
|
24.01.2007
|
6,5852
|
0,008007%
|
|
1
|
-0,047354%
|
|
25.01.2007
|
6,567525
|
-0,002688%
|
|
2
|
-0,046225%
|
|
26.01.2007
|
6,55389
|
-0,002078%
|
|
3
|
-0,045096%
|
|
29.01.2007
|
6,515005
|
-0,005951%
|
|
4
|
-0,043967%
|
|
30.01.2007
|
6,525105
|
0,001549%
|
|
5
|
-0,000428382
|
|
31.01.2007
|
6,55086
|
0,003939%
|
|
6
|
-0,000417092
|
|
01.02.2007
|
6,54177
|
-0,001389%
|
|
7
|
-0,000405801
|
|
02.02.2007
|
6,5751
|
0,005082%
|
|
8
|
-0,00039451
|
|
05.02.2007
|
6,5751
|
0,000000%
|
|
9
|
-0,00038322
|
|
06.02.2007
|
6,527125
|
-0,007323%
|
|
10
|
-0,000371929
|
|
07.02.2007
|
6,542275
|
0,002318%
|
|
11
|
-0,000360639
|
|
08.02.2007
|
6,558435
|
0,002467%
|
|
12
|
-0,000349348
|
|
09.02.2007
|
6,560455
|
0,000308%
|
|
13
|
-0,000338058
|
|
12.02.2007
|
6,568535
|
0,001231%
|
|
14
|
-0,000326767
|
|
13.02.2007
|
6,54278
|
-0,003929%
|
|
15
|
-0,000315477
|
|
14.02.2007
|
6,57611
|
0,005081%
|
|
16
|
-0,000304186
|
|
15.02.2007
|
6,60641
|
0,004597%
|
|
17
|
-0,000292896
|
|
16.02.2007
|
6,634185
|
0,004195%
|
|
18
|
-0,000281605
|
|
19.02.2007
|
6,625095
|
-0,001371%
|
|
19
|
-0,000270314
|
|
20.02.2007
|
6,63166
|
0,000990%
|
|
20
|
-0,000259024
|
|
21.02.2007
|
6,638225
|
0,000989%
|
|
21
|
-0,000247733
|
|
22.02.2007
|
6,638225
|
0,000000%
|
|
22
|
-0,000236443
|
|
23.02.2007
|
6,61853
|
-0,002971%
|
|
23
|
-0,000225152
|
|
26.02.2007
|
6,63267
|
0,002134%
|
|
24
|
-0,000213862
|
|
27.02.2007
|
6,6458
|
0,001978%
|
|
25
|
-0,000202571
|
|
28.02.2007
|
6,68115
|
0,005305%
|
|
26
|
-0,000191281
|
|
01.03.2007
|
6,671555
|
-0,001437%
|
|
27
|
-0,00017999
|
|
02.03.2007
|
6,678625
|
0,001059%
|
|
28
|
-0,0001687
|
|
03.03.2007
|
6,647315
|
-0,004699%
|
|
29
|
-0,000157409
|
|
05.03.2007
|
6,647315
|
0,000000%
|
|
30
|
-0,000146118
|
|
06.03.2007
|
6,606915
|
-0,006096%
|
|
31
|
-0,000134828
|
|
07.03.2007
|
6,6155
|
0,001299%
|
|
32
|
-0,000123537
|
|
12.03.2007
|
6,633175
|
0,002668%
|
|
33
|
-0,000112247
|
|
13.03.2007
|
6,64378
|
0,001598%
|
|
34
|
-0,000100956
|
|
14.03.2007
|
6,67509
|
0,004702%
|
|
35
|
-8,96657E-05
|
|
15.03.2007
|
6,657415
|
-0,002651%
|
|
36
|
-7,83751E-05
|
|
16.03.2007
|
6,67913
|
0,003256%
|
|
37
|
-6,70846E-05
|
|
19.03.2007
|
6,729125
|
0,007457%
|
|
38
|
-5,5794E-05
|
|
20.03.2007
|
6,718015
|
-0,001652%
|
|
39
|
-4,45035E-05
|
|
21.03.2007
|
6,71448
|
-0,000526%
|
|
40
|
-3,32129E-05
|
|
22.03.2007
|
6,712965
|
-0,000226%
|
|
41
|
-2,19224E-05
|
|
23.03.2007
|
6,742255
|
0,004354%
|
|
42
|
-1,06319E-05
|
|
26.03.2007
|
6,730135
|
-0,001799%
|
|
43
|
6,58693E-07
|
|
27.03.2007
|
6,698825
|
-0,004663%
|
|
44
|
1,19492E-05
|
|
28.03.2007
|
6,740235
|
0,006163%
|
|
45
|
2,32398E-05
|
|
29.03.2007
|
6,74074
|
0,000075%
|
|
46
|
3,45303E-05
|
|
30.03.2007
|
6,74276
|
0,000300%
|
|
47
|
4,58209E-05
|
|
02.04.2007
|
6,72559
|
-0,002550%
|
|
48
|
5,71114E-05
|
|
03.04.2007
|
6,74983
|
0,003598%
|
6,8402E-05
|
|
04.04.2007
|
6,74579
|
-0,000599%
|
|
50
|
7,96925E-05
|
|
05.04.2007
|
6,74276
|
-0,000449%
|
|
51
|
9,09831E-05
|
|
06.04.2007
|
6,753365
|
0,001572%
|
|
52
|
0,000102274
|
|
10.04.2007
|
6,753365
|
0,000000%
|
|
53
|
0,000113564
|
|
11.04.2007
|
6,78013
|
0,003955%
|
|
54
|
0,000124855
|
|
12.04.2007
|
6,77609
|
-0,000596%
|
|
55
|
0,000136145
|
|
13.04.2007
|
6,800835
|
0,003645%
|
|
56
|
0,000147436
|
|
16.04.2007
|
6,83366
|
0,004815%
|
|
57
|
0,000158726
|
|
17.04.2007
|
6,84275
|
0,001329%
|
|
58
|
0,000170017
|
|
18.04.2007
|
6,842245
|
-0,000074%
|
|
59
|
0,000181307
|
|
19.04.2007
|
6,856385
|
0,002064%
|
|
60
|
0,000192598
|
|
20.04.2007
|
6,868505
|
0,001766%
|
|
61
|
0,000203889
|
|
23.04.2007
|
6,87103
|
0,000368%
|
|
62
|
0,000215179
|
|
24.04.2007
|
6,846285
|
-0,003608%
|
|
63
|
0,00022647
|
|
25.04.2007
|
6,85891
|
0,001842%
|
|
64
|
0,00023776
|
|
26.04.2007
|
6,892745
|
0,004921%
|
|
65
|
0,000249051
|
|
27.04.2007
|
6,86598
|
-0,003891%
|
|
66
|
0,000260341
|
|
28.04.2007
|
6,889715
|
0,003451%
|
|
67
|
0,000271632
|
|
03.05.2007
|
6,889715
|
0,000000%
|
|
68
|
0,000282922
|
|
04.05.2007
|
6,874565
|
-0,002201%
|
|
69
|
0,000294213
|
|
07.05.2007
|
6,848305
|
-0,003827%
|
|
70
|
0,000305503
|
|
08.05.2007
|
6,875575
|
0,003974%
|
|
71
|
0,000316794
|
|
10.05.2007
|
6,84679
|
-0,004195%
|
|
72
|
0,000328085
|
|
11.05.2007
|
6,831135
|
-0,002289%
|
|
73
|
0,000339375
|
|
14.05.2007
|
6,81043
|
-0,003036%
|
|
74
|
0,000350666
|
|
15.05.2007
|
6,842245
|
0,004661%
|
|
75
|
0,000361956
|
|
16.05.2007
|
6,83669
|
-0,000812%
|
|
76
|
0,000373247
|
|
17.05.2007
|
6,85487
|
0,002656%
|
|
77
|
0,000384537
|
|
18.05.2007
|
6,82558
|
-0,004282%
|
|
78
|
0,000395828
|
|
21.05.2007
|
6,805885
|
-0,002890%
|
|
79
|
0,000407118
|
|
22.05.2007
|
6,78922
|
-0,002452%
|
|
80
|
0,000418409
|
|
23.05.2007
|
6,79427
|
0,000744%
|
|
81
|
0,000429699
|
|
24.05.2007
|
6,81245
|
0,002672%
|
|
82
|
0,00044099
|
|
25.05.2007
|
6,79124
|
-0,003118%
|
|
83
|
0,000452281
|
|
29.05.2007
|
6,787705
|
-0,000521%
|
|
84
|
0,000463571
|
|
30.05.2007
|
6,822045
|
0,005046%
|
|
85
|
0,000474862
|
|
31.05.2007
|
6,7771
|
-0,006610%
|
|
86
|
0,000486152
|
|
01.06.2007
|
6,793765
|
0,002456%
|
|
87
|
0,000497443
|
|
04.06.2007
|
6,78518
|
-0,001264%
|
|
88
|
0,000508733
|
|
05.06.2007
|
6,80841
|
0,003418%
|
|
89
|
0,000520024
|
|
06.06.2007
|
6,83366
|
0,003702%
|
|
90
|
0,000531314
|
|
07.06.2007
|
6,824065
|
-0,001405%
|
|
91
|
0,000542605
|
|
08.06.2007
|
6,80235
|
-0,003187%
|
|
92
|
0,000553895
|
|
11.06.2007
|
6,741245
|
-0,009024%
|
|
93
|
0,000565186
|
|
12.06.2007
|
6,744275
|
0,000449%
|
|
94
|
0,000576477
|
|
13.06.2007
|
6,739225
|
-0,000749%
|
|
95
|
0,000587767
|
|
14.06.2007
|
6,709935
|
-0,004356%
|
|
96
|
0,000599058
|
|
15.06.2007
|
6,71852
|
0,001279%
|
|
97
|
0,000610348
|
|
16.06.2007
|
6,72357
|
0,000751%
|
|
98
|
0,000621639
|
|
18.06.2007
|
6,72357
|
0,000000%
|
|
99
|
0,000632929
|
|
19.06.2007
|
6,76902
|
0,006737%
|
|
100
|
0,00064422
|
|
20.06.2007
|
6,768515
|
-0,000075%
|
|
|
|
|
21.06.2007
|
6,780635
|
0,001789%
|
|
|
|
|
22.06.2007
|
6,765485
|
-0,002237%
|
|
|
|
Додаток Б
|
Карман
|
Частота
|
Интегральный %
|
|
-0,047354%
|
1
|
0,06%
|
|
-0,046225%
|
0
|
0,06%
|
|
-0,045096%
|
0
|
0,06%
|
|
-0,043967%
|
0
|
0,06%
|
|
-0,042838%
|
0
|
0,06%
|
|
-0,041709%
|
0
|
0,06%
|
|
-0,040580%
|
0
|
0,06%
|
|
-0,039451%
|
0
|
0,06%
|
|
-0,038322%
|
0
|
0,06%
|
|
-0,037193%
|
1
|
0,11%
|
|
-0,036064%
|
0
|
0,11%
|
|
-0,034935%
|
0
|
0,11%
|
|
-0,033806%
|
0
|
0,11%
|
|
-0,032677%
|
1
|
0,17%
|
|
-0,031548%
|
0
|
0,17%
|
|
-0,030419%
|
0
|
0,17%
|
|
-0,029290%
|
1
|
0,23%
|
|
-0,028160%
|
0
|
0,23%
|
|
-0,027031%
|
0
|
0,23%
|
|
-0,025902%
|
2
|
0,34%
|
|
-0,024773%
|
0
|
0,34%
|
|
-0,023644%
|
0
|
0,34%
|
|
-0,022515%
|
2
|
0,45%
|
|
-0,021386%
|
2
|
0,57%
|
|
-0,020257%
|
1
|
0,62%
|
|
-0,019128%
|
2
|
0,74%
|
|
-0,017999%
|
4
|
0,96%
|
5
|
1,25%
|
|
-0,015741%
|
5
|
1,53%
|
|
-0,014612%
|
10
|
2,10%
|
|
-0,013483%
|
8
|
2,55%
|
|
-0,012354%
|
15
|
3,40%
|
|
-0,011225%
|
26
|
4,87%
|
|
-0,010096%
|
25
|
6,29%
|
|
-0,008967%
|
28
|
7,87%
|
|
-0,007838%
|
39
|
10,08%
|
|
-0,006708%
|
45
|
12,63%
|
|
-0,005579%
|
70
|
16,59%
|
|
-0,004450%
|
59
|
19,93%
|
|
-0,003321%
|
84
|
24,69%
|
|
-0,002192%
|
101
|
30,41%
|
|
-0,001063%
|
115
|
36,92%
|
|
0,000066%
|
229
|
49,89%
|
|
0,001195%
|
139
|
57,76%
|
|
0,002324%
|
145
|
65,97%
|
|
0,003453%
|
120
|
72,76%
|
|
0,004582%
|
104
|
78,65%
|
|
0,005711%
|
94
|
83,98%
|
|
0,006840%
|
68
|
87,83%
|
|
0,007969%
|
42
|
90,20%
|
|
0,009098%
|
50
|
93,04%
|
|
0,010227%
|
25
|
94,45%
|
|
0,011356%
|
19
|
95,53%
|
|
0,012485%
|
18
|
96,55%
|
|
0,013615%
|
10
|
97,11%
|
|
0,014744%
|
15
|
97,96%
|
|
0,015873%
|
5
|
98,24%
|
|
0,017002%
|
6
|
98,58%
|
|
0,018131%
|
3
|
98,75%
|
|
0,019260%
|
2
|
98,87%
|
|
0,020389%
|
2
|
98,98%
|
|
0,021518%
|
4
|
99,21%
|
|
0,022647%
|
0
|
99,21%
|
|
0,023776%
|
1
|
99,26%
|
|
0,024905%
|
2
|
99,38%
|
|
0,026034%
|
0
|
99,38%
|
|
0,027163%
|
0
|
99,38%
|
|
0,028292%
|
0
|
99,38%
|
|
0,029421%
|
1
|
99,43%
|
|
0,030550%
|
1
|
99,49%
|
|
0,031679%
|
0
|
99,49%
|
|
0,032808%
|
0
|
99,49%
|
|
0,033938%
|
3
|
99,66%
|
|
0,035067%
|
0
|
99,66%
|
|
0,036196%
|
0
|
99,66%
|
|
0,037325%
|
1
|
99,72%
|
|
0,038454%
|
0
|
99,72%
|
|
0,039583%
|
0
|
99,72%
|
|
0,040712%
|
2
|
99,83%
|
|
0,041841%
|
0
|
99,83%
|
|
0,042970%
|
1
|
99,89%
|
|
0,044099%
|
0
|
99,89%
|
|
0,045228%
|
0
|
99,89%
|
|
0,046357%
|
0
|
99,89%
|
|
0,047486%
|
0
|
99,89%
|
|
0,048615%
|
0
|
99,89%
|
|
0,049744%
|
0
|
99,89%
|
|
0,050873%
|
0
|
99,89%
|
|
0,052002%
|
1
|
99,94%
|
|
0,053131%
|
0
|
99,94%
|
|
0,054260%
|
0
|
99,94%
|
|
0,055390%
|
0
|
99,94%
|
|
0,056519%
|
0
|
99,94%
|
|
0,057648%
|
0
|
99,94%
|
|
0,058777%
|
0
|
99,94%
|
|
0,059906%
|
0
|
99,94%
|
|
0,061035%
|
0
|
99,94%
|
|
0,062164%
|
0
|
99,94%
|
|
0,063293%
|
0
|
99,94%
|
|
0,064422%
|
0
|
99,94%
|
|
Еще
|
3
|
100,00%
|