Исследование комплексообразования некоторых производных пиперидина с b-циклодекстрином
МИНИСТЕРСТВО
ОБРАЗОВАНИЯ И НАУКИ РОССИЙСКОЙ ФЕДЕРАЦИИ
Федеральное
государственное бюджетное образовательное учреждение высшего профессионального
образования
«КУБАНСКИЙ
ГОСУДАРСТВЕННЫЙ УНИВЕРСИТЕТ»
(ФГБОУ
ВПО «КубГУ»)
Кафедра
общей, неорганической химии и информационно-вычислительных технологий в химии
ВЫПУСКНАЯ
КВАЛИФИКАЦИОННАЯ (ДИПЛОМНАЯ) РАБОТА
Исследование
комплексообразования некоторых производных пиперидина с b-циклодекстрином
Работу выполнил К.С.
Шарапов
Научный руководитель
канд. хим. наук, доц.
В.А.Волынкин
Краснодар
2013
Реферат
Дипломная работа: 57 стр., 26 рис.,
16 табл., 53 источника литературы.
Объект исследования:
Комплексообразование некоторых производных пиперидина с β-циклодекстрином.
Цель работы: Целью данной работы
является изучение состава и структуры комплексных соединений включения β-циклодекстрина с
производными 4-этинил-пиперидин-4-ола.
В дипломной работе проводится анализ
структуры и состава полученных соединений методами ЯМР спектроскопии и
квантово-химических расчетов.
Представленные в работе данные
позволяют сделать предположительные выводы о структуре комплексов.
СУПРАМОЛЕКУЛЯРНАЯ ХИМИЯ, ПРОИЗВОДНЫЕ
ПИПЕРИДИНА, АНЕСТЕТИКИ, ЦИКЛОДЕКСТРИНЫ, ИССЛЕДОВАНИЕ СОСТАВА И СТРУКТУРЫ,
КОМПЛЕКС ВКЛЮЧЕНИЯ, ЯМР СПЕКТРОСКОПИЯ, КВАНТОВАЯ ХИМИЯ.
Введение
В связи с активным развитием
супрамолекулярной химии повышенный интерес в настоящее время вызывают
молекулярные комплексы включения типа «хозяин-гость». Важное место среди
веществ, способных выступить в качестве хозяина комплекса типа «хозяин-гость»
занимают циклодекстрины (ЦД). Этим свойством циклодекстрины обладают благодаря
своему строению: их молекулы имеют гидрофильную внешнюю поверхность и сквозную
гидрофобную полость, по своим размерам сопоставимую с величиной многих органических
и неорганических соединений. ЦД связывают молекулу «гостя» главным образом
путем, так называемых, гидрофобных взаимодействий. Использование
циклодекстринов в системах доставки лекарственных препаратов, особенно
сильнодействующих и токсичных - актуальная проблема в современной
фармацевтической химии. Несмотря на огромный арсенал имеющихся лекарств,
проблема изыскания новых высокоэффективных лекарственных средств остается
актуальной. Наиболее актуальной проблемой современной медицины является
создание наиболее эффективного анальгетика, с минимальным наркогенным
потенциалом, так называемого идеального анальгетика. Наиболее известными и
перспективными являются вещества на основе производных пиперидина.
В качестве объектов исследованиябыли
выбраны производные пиперидина, которые выступают в роли «гостей» в
супрамолекулярных комплексах включения, и β-циклодекстрин являющийся в этих соединениях молекулой «хозяином».
Эти соединения представляют интерес как новое высокоэффективное лекарственное
средство, с минимальным наркогенным потенциалом.
Перечисленные выше обстоятельства в
совокупности позволили сформулировать цели и задачи данного исследования.
Целью данной работы является
изучение состава и структуры комплексных соединений включения β-циклодекстрина с производными
4-этинил-пиперидин-4-ола.
Были поставлены следующие задачи:
Получить комплексные соединения β-циклодекстрина с
4-этинил-1-метил-пиперидин-4-олом,
1-(3-н-бутоксипропил)-4-винилацетилен-4-бензоилоксипиперидином,
1-(2-этоксиэтил)-4-этинил-4-бензоилоксипиперидином.
Исследовать состав и структуру
получившихся комплексов методами ЯМР.
Провести сравнительный анализ
возможности координации с вышеуказанными производными β-циклодекстрина на
основании квантово-химических расчетов равновесной геометрии комплексов
различного типа.
1. АНАЛИТИЧЕСКИЙ ОБЗОР
пиперидин циклодекстрин
комплексообразование
1.1 Комплексы включения.
Циклодекстрины
Из множества видов
исследованных супрамолекулярных систем особое внимание исследователей уже
несколько десятилетий привлекают циклодекстрины (ЦД). В последнее время
циклодекстрины, представляющие собой регулярно построенные циклические
олигосахариды, нашли самое широкое применение в различных областях химии,
например, супрамолекулярной химии, тонком органическом синтезе, в различных
междисциплинарных направлениях. Повышенный интерес к циклодекстринам обусловлен
в первую очередь их циклической структурой и способностью за счёт внутренней
полости образовывать многочисленные соединения включения с разнообразными
гидрофобными «гостями». Среди других достоинств циклодекстринов следует
отметить их нетоксичность, биоразлагаемость и относительную дешевизну. Особый
интерес циклодекстрины представляют как вспомогательные вещества в
биохимических исследованиях и фармакологии, где они примененяются, главным
образом, для инкапсулирования различных лекарственных средств. Такое
инкапсулирование (образование супрамолекулярных комплексов типа «гость-хозяин»)
обычно защищает лекарство от биоразложения, способствует повышению его
растворимости в водной среде, а в ряде случаев доставке лекарств в нужное место
эффективно и избирательно. Кроме включения известные успехи были достигнуты и
при ковалентном («химическом») привязывании (коньюгировании) лекарственных
соединений к циклодекстрину, что позволило создать новые, более эффективные
лекарственные средства за счёт пролонгированного и целенаправленного действия.
Причем использование объёмных наноразмерных циклодекстриновых комплексов и
коньюгатов позволяет улучшить биодоступность, уменьшить токсичность и облегчить
прохождение биологических барьеров [1].
Циклодекстрины это -
природные олигосахариды, молекулы которых, в частности первых трех наиболее
изученых представителей этого гомологического ряда, построены из шести, семи
или восьми (n=6,7,8) d-глюкопиранозных звеньев связанных между собой 1,4-
гликозидной связью и, соответственно, имеют названияα-,
β- и γ-ЦД [2,3].
Ниже представлены
ихструктурныеформулы:
Геометрически молекулы
циклодекстринов имеют форму усеченногоконуса (тора), полого внутри, в котором
по окружности нижнего основания расположены 6-8 первичных OH-групп, а по
окружности верхнего основания - 12-16 вторичных гидроксильных групп. Внутренняя
полость ЦД является гидрофобной и способна образовывать комплексы включения с
другими молекулами органической и неорганической природы (Рисунок 1).
Рисунок 1 -
Схематическое изображение молекулы циклодекстрина
На рисунке 2 в качестве
примера схематически представлено образование комплекса включения ЦД с
элементным йодом.
Рисунок 2 - Формирование
клатратного комплекса a-циклодекстрина с йодом.
Образование
циклодекстринами комплексов включения способно радикально изменять
физико-химические и биологические свойства включаемых молекул.
Образуемые
циклодекстринами комплексы включения в воде распадаются на ЦД и исходное
вещество, проявляя основные свойства последнего. При нагревании выше 50-60 °C
комплексы обычно распадаются полностью и восстанавливают свою структуру при
охлаждении.
Благодаря своим
свойствам ЦД широко применяются в пищевых технологиях, фармацевтике, косметике,
биотехнологии, аналитической химии и в процессах очистки воды [24].
Доминирующее количество
лекарственных препаратов вводится в организм в растворе, поэтому большой
интерес вызывает получение новой лекарственной формы на основе β-циклодекстрина
и изучение структурных особенностей.
.2 Анестетики
Несмотря на достижения
современной анестезии, продолжаются поиски менее опасных средств для наркоза,
разработка различных вариантов многокомпонентного избирательного наркоза,
позволяющего значительно снизить дозы используемых средств, уменьшить их
токсичность и побочные отрицательные влияния. Известно, что
местноанестезирующие средства понижают чувствительность окончаний афферентных
нервных волокон, и угнетают проведения возбуждения по нервным волокнам.
Вызывают местную потерю чувствительности. И в первую очередь они устраняют
чувство боли, в связи с чем их используют главным образом для местного
обезболивания (анестезии)[25].
К анестезирующим
средствам предъявляют определенные требования. Прежде всего они должны иметь
высокую избирательность действия, не оказывая отрицательного влияния ни на
нервные элементы, ни на окружающие ткани. Короткий латентный период, высокая
эффективность при разных видах местной анестезии, определенная
продолжительность действия. Желательно, чтобы они сужали кровеносные сосуды.
Это существенный момент, так как сужение сосудов усиливает анестезию, понижает
кровотечение из тканей, а так же уменьшает возможность токсических эффектов
задерживая всасывание анестетика. Так же к числу важных характеристик относятся
низкая токсичность и минимальные побочные эффекты [26].
В настоящее время в
медицинской практике используется множество местноанестезирующих веществ с
различной степенью активности и разной продолжительностью действия.
Обычно мы имеем дело не
с лекарственным веществом как таковым, а так называемой лекарственной формой.
Например, при введении лекарств с помощью инъекций водорастворимые препараты
вводят в виде изотонических растворов, содержаих местный анестетик, а
жирорастворимые часто вводят подкожно в виде масляного раствора, из капель
которого лекарство медленно переходит в межтканевую жидкость [31]. Как
известно, безвредных лекарств не бывает. Нет их и среди анальгетиков,
анестетиков и многих других препаратов. Просто одни обладают большим числом
побочных действий, другие - меньшим. Лекарственная форма играет важную роль в
отношении токсичности препарата, времени и места его действия, поэтому число
таких форм на мировой арене фармакологии увеличивается с каждым годом.
В последнее время
интенсивно ведутся поиски и разработки новых лекарственных форм в виде
комплексов включения с макроциклами (краун-эфирами, сферандами,
циклодекстринами, каликсаренами, циклотривератриленами и т.д.)[32,33,34,35,36].
Для водорастворимых препаратов наиболее перспективными носителями можно считать
циклодекстрины. Они выступают в роли агентов в системе доставки лекарств.
Система доставки
лекарств - это специально разработанный механизм интродукции агента с целью
повышения его терапевтической эффективности. О перспективах этого сравнительно
нового направления в медицине свидетельствует тот факт, что во всем мире тысячи
исследованных биологически активных соединений не доходят до клинических
испытаний по разным причинам - вследствие плохой растворимости в воде и низкой
биодоступности, высокой токсичности, преждевременной деструкции (например,
кислотной и энзиматической в ЖКТ) и др. Поэтому создание систем, обеспеивающих
стабильность препаратов, улучшение их фармококинетических и фармокодинамических
свойств, а также адресную доставку в нужные органы, является исключительно
важным для медицины и фармакологии [37,38,39].
.3 Пиперидиновый ряд
лекарственных веществ
Среди многообразия
классов органических веществ, обладающих анестетической фармакологической
активностью, ведущее место занимают насыщенные азотистые гетероциклы, в
частности, производные пиперидина [27]. Они составляют структурную основу ряда
природных соединений: алкалоидов, азастероидов, нейротоксинов и т.д.
Исследование пиперидинов в плане их использования в синтезе биологически активных
соединений является важной проблемой, позволяющей наряду с фундаментальными
вопросами стереохимии и конформационного анализа решать прикладные задачи по
созданию новых лекарственных средств [28,29].
Группа важнейших
анальгетиков пиперидинового ряда берет свое начало с 1940 - х годов, после
создания меперидина (петидин, лидол, Рисунок 3). Это обезболивающее
лекарственное вещество, обладающее, кроме того, выраженным спазмолитическим
действием, остается до сих пор широко применяемым препаратом наряду с целым
рядом его близжайших структурных аналогов - анилеридином,морферидином,
карбетидином, фуретидином.
Рисунок 3
-Меперидин(R=Me)
Все пиперидиновые
анальгетики действуют на опиойдные рецепторы мозга и аналогично морфину
вызывают привыкание и болезненное пристрастие. Исследования по синтезу их
аналогов с малой степенью привыкания (малых наркотиков, но сильных
анальгетиков) привели к получению пиперидинов в структуре которых при
Спиперидинового кольца находятся различные заместители. Обнаружение
анальгетической активности у большой серии пиперидинов, синтезированных на
основе идеи упрощения структуры известного природного анальгетика морфина,
привело к правилу Беккета - Кейзи, оказавшемуся, несмотря на свою упрощенность,
полезным на определенном этапе создания фармакологического блока
морфиноподобных анальгетиков, особенно в 1960-1970-х годах. В соответствии с
этим правилом, при «конструировании» потенциального анальгетика опиоидного типа
(взаимодействующего с рецептором морфина) необходимо, чтобы его структура
включала 1) четвертичный атом углерода; 2) ароматическое кольцо при этом атоме;
3) третичный атом азота на растоянии, эквивалентном двум атомам углерода в sp3
-конфигурации, считая от указанного четвертичного атома углерода[30]:
Так, расширение
шестичленного пиперидинового кольца до семичленного или сужение цикла до
пирролидинового не снижает анальгетическую активность. Это правило «работает»
не только в случае алкоксикарбонильного заместителя при С-4гетероцикла, но и
при его замене на такие группы как гидроксильная, ацилоксильная, амидная,
алкильная (хотя есть огромное число примеров, не соответствующих этому
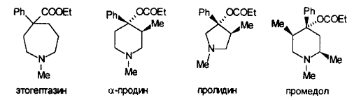
правилу). Так, продин, пролидин и промедол, являются эффективными анальгетиками:
.4 Методы расчетов в
квантовой химии
На сегодняшний день
методы квантовой химии и молекулярной динамики получили широкое распространение
в численном моделировании электронной и атомной структур сложных систем
молекулярных, кристаллических и переходных размеров. Это связано с
технологическим развитием соответствующего математического обеспечения. Сейчас
в мире функционирует достаточно много современных вычислительных комплексов,
реализующих методы квантовой химии и молекулярной динамики.
Расчётные методы
оказывают неоценимую помощь в создании лекарственных средств. Молекулярное
моделирование входит во все области знаний и находит себе применение, порой
играя одну из главных ролей. Некоторые области химии немыслимы без
молекулярного моделирования. В развитых странах моделирование является
современным методом изучения микроструктур.
Преимущественно для
изучения реакционной способности молекул используются приближения PM3,Abinitio,
DFT(densityfunctionaltheory) - метод функционала плотности. В нашем случае для
расчета углов, длин связей и оценки реакционной способности было достаточно
использования полуэмпирических методов, а именно приближения PM3.
Метод PM3 относится к
методам Модифицированного Пренебрежения Двухатомным Перекрыванием (NDDO),
является полуэмпирическим методом Спин-Спинового Перекрывания (ССП) и очень
близок к методу AM1.Он является финальной модификацией полуэмпирических методов
и имеет ряд преимуществ:
По сравнению с INDO
более корректно описывает отталкивание неподеленных электронных пар за счет
учета всех двухэлектронных интегралов, содержащих пары атомных орбиталей одного
и того же атома.
Перекрывание атомных
орбиталей различных атомов игнорируется (пренебрежение двухатомным
дифференциальным перекрыванием).
Параметры метода зависят
только от свойств отдельных атомов, а не от их парных комбинаций.
Метод PM3 применим для
различных органических и неорганических молекул, содержащих s, p-элементы из
второго и третьего периода периодической таблицы и некоторые переходные
металлы.
Вычисляет электронные
свойства, оптимизированные структурные конфигурации, общую энергию и теплоты
образования.
Качество результатов
метода PM3 в большинстве случаев приближается к уровню расчетов abinitio и
превосходит остальные методы схемы MNDO за счет лучшего описания
Ван-дер-Ваальсовых взаимодействия.
Расчет PM3 имеет
преимущество по сравнению с расчетами abinitio, это время расчета, которое на
порядки меньше.
Сравнительное время
расчета различными методами согласно данных[43] приведено в таблице 1.
Таблица 1 - Данные по
методам вычисления
|
Интегралы и время расчета
|
Полуэмпирические методы
|
Метод abinitioв базисе OST - 3G
|
|
CNDO
|
INDO, MINDO
|
MNDO, AM1, PM3
|
|
|
1 - центровые
|
11
|
26
|
173
|
368
|
|
2 - центровые
|
55
|
55
|
568
|
6652
|
|
3 -, 4 - центровые
|
0
|
0
|
0
|
31226
|
|
Общее число
|
66
|
81
|
741
|
38226
|
|
Относительное время расчета
|
1
|
1.2
|
11
|
580
|
Существует множество работ, в
которых уже изучали структуру и реакционную способность супрамолекулярных
комплексов, а именно комплексов, где циклодекстрины выступают в роли молекул
«хозяев» с различными молекулами «гостями».
В статье [51]проводилось
исследование комплексов включения β-циклодекстрина
и его модификаций с катехином.Для того чтобы подтвердить результаты, полученные
с помощью ЯМР спектроскопии, авторы используют метод молекулярного
моделирования. По результатам расчетов они определяют наиболее предпочтительную
ориентациюциклодекстрина и его модификаций относительно молекулы
«гостя».Первоначальная оптимизация проводилась при помощи метода молекулярной
механики и дала удовлетворительное согласие с результатами полученными при
помощи 2DЯМР ROESYспектров. Окончательная геометрия рассчитывалась
полуэмпирическим методом PM3. Поданным этих двух методов авторы делают выводы о
структуре исследуемых комплексов.
В еще одной статье по
изучению цис и транс изомеровэнаприла, включенных в молекулу
циклодекстрина[52], авторы так же применяют молекулярное моделирование для
определения геометрии трех возможных конформеров циклодекстрина с энаприлом.
Структура зависит от того какая из частей, ароматическая, пролиновая или
эфирная включена в гидрофобную полость циклодекстрина. В работе при выборе
наиболее оптимальной конфигурации авторы руководствуются принципом минимума
энергии. Их результаты также подтверждается 2DROESY.
.5 ЯМР спектроскопия в
исследовании супрамолекулярных объектов
Современные возможности
спектроскопии ЯМР позволяют исследовать не только внутренние свойства вещества,
включая геометрию и пространственное строение, но и свойства, проявляющиеся при
взаимодействии молекул друг с другом, например, такие, как способность
макроциклических систем к комплексообразованию по типу «гость-хозяин»[45]. С
помощью ЯМР спектроскопии можно исследовать возможные факторы, которые влияют
на селективность комплексообразования и стабилизации.
В
исследованияхсупрамолекулярных объектов при помощи спектроскопии ЯМР очень
часто используют вариации одномерных и двумерных методик. Среди прочих методик
двумерного ЯМР, позволяющих решать подобные задачи, наиболее продуктивными являются
HMQC,DOSY,ROESY. Важно было выбрать наиболее удобный подход для получения
количественной информации омежпротонныхрасстояниях для комплекса включения,
ошибка измерения в котором была бы минимальна[46].
С помощью ЯМР
спектроскопии возможно определение координации, а так же изучение
пространственного взаимодействия молекулы «гостя» с молекулой «хозяином».
Например, по протонным спектрам 1D и 2D ЯМР можно определить между какими
протонами идет взаимодействие, и следовательно сделать выводы о структуре комплекса
включения, и возможно предположительное определение состава. Множество статей
посвящено изучению супрамолекулярных соединений, и практически в каждой из них,
если автор использует для изучения спектроскопию ЯМР, то это двумерные методы,
которые более детально позволяют изучить взаимодействия между молекулой гостем
и хозяином[48,49,50].
В статье по изучению
комплекса энаприла с циклодекстрином[52] для исследования пространственного
взаимодействия и трехмерных структур авторы применяют ROESY эксперимент. ROESY
спектры позволяют наглядно оценить расстояния между атомами различных молекул.
В спектре будет виден кросс - пик, если расстояние между протонами менее 3-4Å.
На рисунке 6 представлен
спектр ROESY, в котором выделены два участка рисунок 6bи 6с, где мы можем
наблюдать кросс - пики, образовавшиеся в ходе взаимодействия протонов
бензольного кольца(рисунок 6b) и алкильной цепочки(рисунок 6с), соединяющей
ароматическую часть, с внутренней, гидрофобной, полостью β-циклодекстрина.
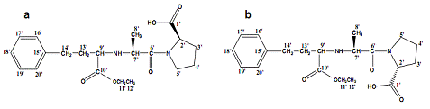
Рисунок 4 - Структурное
изображение цис(а) и транс(b) изомеров энаприла с цифровым обозначением атомов
Рисунок 5 - Структурное
изображение β-циклодекстрина с цифровым обозначением атомов
Рисунок 6 - СпектрROESY
комплекса β-циклодекстрина с энаприлом
В данной статье авторы
делают вывод о структурных особенностях комплекса, основываясь на спектрах ЯМР
и подтвержденных данными молекулярного моделирования.
В своей основе метод
ROESY базируется на тех же принципах, что и метод NOESY, а именно на ЯЭО -
ядерном эффекте Оверхаузера. ЯЭО представляет собой изменение интенсивности
одного сигнала ЯМР при возбуждении другого. Под словом «возбуждение»
подразумевается насыщение перехода, т.е. устранение разностей заселенностей его
уровней при облучении слабым радиочастотным полем, одновременно с наблюдением
других сигналов. Таким образом, ЯЭО - это результат попыток системы в целом
удержаться в состоянии теплового равновесия[46]. Наиболее существенное различие
между этими двумя методами заключается в том, что для молекул с молекулярной
массой 1000 при использовании метода NOESY эффекты практически не детектируются
в связи с тем, что соответствующая скорость кросс - релаксации протонов близка
к нулю из - за получающегося соотношения времени корреляции молекулы и рабочей
частоты спектрометра. В случае применения методики ROESY во всем диапазоне
молекулярных масс (и соответствующих времен корреляции) скорость кросс -
релаксации всегда положительна и интенсивность ROE - сигналов может достигать
20-34% от интенсивности диагонального сигнала[47].
В своих работах по
изучению циклодекстринов и их комплексов[48,49,50] авторы описывают другие
методы, которые рационально использовать при изучении супрамолекулярных
соединений. К таким методам можно отнести COSY(COrrelationSpectroscopy),
который так же хорошо описывает ССВ(спин-спиновые взаимодействия) в молекуле, и
HMQC(HeteronuclearMultipleQuantumCorrelation), который показывает ССВ на разных
ядрах.
2. Экспериментальная
часть
.1 Приборы и материалы.
Спектры 1D и 2D ЯМР (1H,
13C, COSY, HQMC, HMBC, ROESY) водных растворов записаны на спектрометре
JNМ-ЕСА-400 (400 МГц, Япония, «JEOL»). В качестве стандарта использован DSS.
Квантово-химические
расчеты проводили с помощью вычислительного программного продукта HyperChem.
.2 Получение комплексов
-(3-н-бутоксипропил)-4-винилацетилен-4-бензоилоксипиперидин.4-этинил-1-метил-пиперидин-4-ол
и 1-(2-этоксиэтил)-4-этинил-4-бензоил-оксипиперидин были синтезированы в
лаборатории химии лекарственных веществ Института химических наук им. А.Б.
Бектурова.
Комплексsпроизводных с β-циклодекстрином
получали взаимодействием эквимолярных количеств водных растворов
соответствующих веществ и β-циклодекстрина.
Растворы перемешивают на магнитной мешалке при 65°С в течение 15 мин, затем
оставляют при комнатной температуре на 24 ч. Выпавшие осадок отфильтровывают от
маточного раствора, промывают дистиллированной водой и сушат при комнатной
температуре 24 ч; получают комплекс β-ЦД
с производными пиперидина в виде белого порошка.
.3 Исследованиеметодами
ЯМР спектроскопии
.3.1 β-циклодекстрин
В спектрах 1Н ЯМР и 13С
ЯМРβ-ЦД, наблюдается шесть сигналов, соответствующих шести протонам и
шести углеродам глюкопиранозного звена (Рисунок 7-9). Значения химических
сдвигов 1Н и 13С и КССВ протонов, приведены в таблице 2.
Рисунок 7 -
Схематическое представление одного глюкопиранозного звена молекулы β-ЦД
Рисунок 8 - Спектр 13С
ЯМР молекулы β-ЦД
Рисунок 9 - Спектр 1Н
ЯМР молекулы β-ЦД
Таблица 2 - Химические
сдвиги С, Н, гомо и гетероядерные КССВ β-ЦД
|
№ атома
|
СНх
|
δС
|
δН
|
1J(C/H) [Hz]
|
nJ(H/H) [Hz]
|
|
1
|
CН
|
102,03
|
4,94
|
1J (1H/1C), 144,0
|
3J (1H/2H), 3.71
|
|
2
|
CН
|
72,34
|
3,52
|
1J (2H/2C), 145,03
|
3J (2H/1H), 6.79 3J (2H/3H), 3,26
|
|
3
|
CH
|
73,35
|
3,83
|
1J (3H/3C), 148,22
|
3J (3H/4H),9.51
|
|
4
|
CH
|
81,35
|
3,45
|
1J (4H/4C), 143,83
|
3J (4H/5H), 9,23
|
|
5
|
CН
|
72,06
|
3,75
|
1J (5H/5C), 145,83
|
3J (5H/4H), 3,26
|
|
6
|
CН2
|
60,58
|
3,78
|
1J (6H/6C), 169,23
|
3J (6H/5H), 3,26
|
Так же был записанHMQC спектр β-циклодекстрина, на
котором наблюдаются кросс-пики, подтверждающие отнесения сделанные ранее по
спектрам 1Н ЯМР и 13С ЯМР (Рисунок 10).
Рисунок 10 - Спектр HMQC молекулы β-ЦД
.3.2 Комплекс
1-(3н-бутоксипропил)-4-винилацителен-бензоилокси-пиперидинасβ-циклодекстрином
Комплекс1-(3-н.бутоксипропил)-4-винилацетилен-4-бензоилоксипиперидина
с β-циклодекстрином
подлежал более тщательному изучению по причинам описанным в пункте 2.1.В
спектре 1Н ЯМР
1-(3-н-бутоксипропил)-4-винилацетилен-4-бензоилоксипиперидина(Рисунок 11-12)
сигналы протонов пиперидинового цикла вследствие конформационных переходов
проявляются в виде слабо разрешенных мультиплетов. Протоны метиленовых и
метильной группы проявляются при 3,29 (7Н), 3,63 (9Н), 3,53 (10Н), 0,92 (13Н) в
виде триплетов и при 2,06 (8Н), 1,55 (11Н), 1,37 (12Н) м.д. в виде квинтетов.
Протоны при С4 винилацетилена проявляется в виде дублетов при 5,85 (14Н) м.д. и
5,73 м.д.(15Н), а также протоны фенила проявляются в 8,74 (20,24Н) м.д., 7,74
(22Н) м.д. и 7,58(21,23Н) м.д. виде триплетов и дуплета. Сделанные отнесения
подтверждаются также спектрами 2DCOSY, HМQC, HMBC, ROESY.
Значения химических сдвигов 1Н и 13С
и КССВ протонов в растворе D2Oприведены в таблице 3.
Рисунок 11 -
1-(3-н.бутоксипропил) -4-винилацетилен-4-бензоилоксипиперидин
Рисунок 12 -
Схематическое представление расположение протонов молекулы
1-(3-н-бутоксипропил)-4-винилацетилен-4-бензоилоксипиперидина в спектре ЯМР 1Н
Таблица 3 - Химические
сдвиги С, Н, гомо-, и гетероядерные КССВ
1-(3-н-бутоксипропил)-4-винилацетилен-4-бензоилоксипиперидина
|
№ атома
|
СНх
|
δС
|
δН
|
1J(C/H) [Hz]
|
nJ(H/H) [Hz]
|
|
1
|
N
|
-
|
-
|
-
|
-
|
|
2,6
|
CHa
|
50,143
|
-
|
не разр.
|
не разр.
|
|
CHe
|
|
3,519
|
|
не разр.
|
|
3,5
|
CHa
|
33,734
|
3,781
|
не разр.-
|
не разр.
|
|
CHe
|
|
2,524
|
|
не разр.
|
|
4
|
C
|
48,227
|
2,809
|
-
|
-
|
|
7
|
CH2
|
54,787
|
-
|
1J (7H/7C), 142,91
|
3J (7H/8Н), 7,85
|
|
8
|
CH2
|
24,057
|
3,288
|
1J (8H/8C), 131,25
|
3J (8H/9Н), 7,5
|
|
9
|
CH2
|
67,129
|
2,059
|
1J (9H/9C), 142,91
|
3J (9H/8Н), 6,5
|
|
№ атома
|
СНх
|
δС
|
δН
|
1J(C/H) [Hz]
|
nJ(H/H) [Hz]
|
|
11
|
CH2
|
31,036
|
3,538
|
1J (11H/11C), 127,87
|
3J (11H/12Н), 7,5
|
|
12
|
CH2
|
18,927
|
1,568
|
1J (12H/12C), 126,39
|
3J (12H/13Н), 7,5
|
|
13
|
CH3
|
13,359
|
1,365
|
1J (13H/13C), 126,39
|
3J (13H/12Н), 7,5
|
|
14
|
C
|
86,701
|
0,936
|
-
|
-
|
|
15
|
C
|
85,381
|
-
|
-
|
-
|
|
16
|
CH
|
115,474
|
-
|
1J (16H/16C), 164,26
|
2J (16H/17Н), 17,76
|
|
17
|
CH2
|
130,320
|
5,821
|
1J (17H/17C), 167,51
|
2J (17H/16Н), 11,30
|
|
18
|
C
|
166,417
|
5,717
|
-
|
-
|
|
19
|
C
|
129,767
|
-
|
-
|
-
|
|
20,24
|
CH
|
129,328
|
8,027
|
1J (18H/18C), 163,66
|
3J (20,24H/21,23Н),7,5
|
|
21,23
|
CH
|
129,080
|
7,565
|
1J (19H/19C), 163,66
|
3J (21,23H/22Н), 7,5
|
|
22
|
CH
|
134,477
|
7,722
|
-
|
3J (22H/21,23Н), 7,5
|
Таким образом, по спектру ЯМР 1Н с
помощью интегральных кривых, мультиплетности и КССВ наблюдаем наличие
предполагаемых протонов химической формулы (Рисунок 7,11). Резюмируя полученные
экспериментальные данные, мы убеждаемся в соответствии практического строения с
теоритической структурой.
Образование комплекса включения
приводит к изменению химических сдвигов как протонов циклодекстрина, так и
бензоата. Включение
1-(3-н-бутоксипропил)-4-винилацетилен-4-бензоилокси-пиперидина в полость β-циклодекстрина приводит
к существенным изменениям химических сдвигов протонов Н-3 и Н-5 β-ЦД, которые направлены
во внутреннюю полость β-ЦД. В спектре ROESY (Рисунок 14) комплекса бензоата с β-ЦД наблюдаются
кросс-пики, соответствующие межмолекулярным взаимодействиям протонов 3Н и 5Н с
протонами ароматического и пиперидинового кольца молекулы бензоата.
Рисунок 13 - Спектр ЯМР 1Н молекулы
комплекса бензоата с β-ЦД
Наличие кросс-пиков протонов 2,6На,
2,6Не пиперидинового кольца и кросс-пиков протонов А20,24Н, А21,23Н, А22Н
ароматической части с протонами β-ЦД свидетельствует о включении этих частей молекулы бензоата во
внутреннюю полость β-ЦД. Учитывая объем молекул, можно предположить, что комплекс
образуется между одной молекулой бензоата и двумя молекулами β-ЦД (Рисунок 15).
Изменение химических сдвигов в
одномерных спектрах ЯМР 1H дает возможность предположить образование комплекса
между β-ЦД и бензоатом, кроме
того, эти результаты подтверждаются и дополняются двумерным методом ROESY
спектроскопии ЯМР. Вышеизложенный данные показывают, что β-ЦД с бензоатом
образуется комплекс состава 2:1.
Полученная информация необходима для
сопоставления данных чистого β-ЦД и бензоата с данными комплекса включения β-ЦД с бензоатом.
Результаты представлены в таблице 4.
Таблица 6 - Химические сдвиги ядер С
и Н молекул БВБП, β-ЦД и комплекса БВБП с β-ЦД
|
№ атома
|
группа
|
вне комплекса (δ0)
|
в комплексе (δ)
|
разница хим.сдвигов (δС)
|
разница хим.сдвигов (δН)
|
|
СНх
|
δС
|
δН
|
δС
|
δН
|
Δδ(δ-δ0)
|
Δδ(δ-δ0)
|
|
2,6
|
CHa
|
50,143
|
3,519
|
-
|
-0,18
|
-
|
|
CHe
|
|
3,781
|
|
-
|
|
-
|
|
3,5
|
CHa
|
33,734
|
2,524
|
34,745
|
2,417
|
1,01
|
-0,10
|
|
CHe
|
|
2,809
|
|
2,935
|
|
0,12
|
|
4
|
C
|
48,227
|
-
|
48,656
|
-
|
0,42
|
-
|
|
7
|
CH3
|
54,787
|
3,288
|
54,634
|
3,337
|
-0,15
|
0,07
|
|
8
|
CH2
|
24,057
|
2,059
|
24,391
|
2,136
|
0,33
|
0,07
|
|
9
|
CH2
|
67,129
|
3,630
|
67,477
|
3,697
|
0,34
|
0,06
|
|
10
|
CH2
|
70,957
|
3,538
|
70,814
|
3,589
|
-0,77
|
0,05
|
|
11
|
CH2
|
31,036
|
1,568
|
30,979
|
1,607
|
-0,05
|
0,03
|
|
12
|
CH2
|
18,927
|
1,365
|
18,898
|
1,405
|
-0,03
|
0,03
|
|
13
|
CH3
|
13,359
|
0,936
|
13,378
|
0,945
|
0,02
|
0,008
|
|
14
|
C
|
86,701
|
-
|
86,899
|
-
|
0,19
|
-
|
|
15
|
C
|
85,381
|
-
|
85,955
|
-
|
0,57
|
-
|
|
16
|
CH
|
115,474
|
5,821
|
115,426
|
5,924
|
-0,05
|
0,06
|
|
17
|
CH2
|
130,320
|
5,717
|
130,825
|
5,780
|
0,50
|
0,10
|
|
18
|
C
|
166,417
|
-
|
165,597
|
-
|
-0,82
|
-
|
|
19
|
C
|
129,767
|
-
|
129,452
|
-
|
-0,31
|
-
|
|
20,24
|
CH
|
129,328
|
8,027
|
129,252
|
8,052
|
-0,18
|
0,02
|
|
21,23
|
CH
|
129,080
|
7,565
|
128,899
|
7,578
|
-031
|
0,01
|
|
22
|
CH
|
134,477
|
7,722
|
134,791
|
7,819
|
-0,18
|
0,09
|
|
1Н-ЦД
|
CН
|
102,03
|
4,94
|
102,088
|
5,099
|
0,05
|
0,15
|
|
2Н-ЦД
|
CН
|
72,34
|
3,52
|
72,283
|
3,699
|
-0,05
|
0,17
|
|
3Н-ЦД
|
CH
|
73,35
|
3,83
|
73,513
|
3,917
|
0,16
|
0,08
|
|
4Н-ЦД
|
CH
|
81,35
|
3,45
|
81,321
|
3,614
|
-0,02
|
0,16
|
|
5Н-ЦД
|
CН
|
72,06
|
3,75
|
72,111
|
3,876
|
0,05
|
0,12
|
|
6Н-ЦД
|
CН2
|
60,58
|
3,78
|
60,431
|
3,892
|
-0,14
|
0,11
|
Для подтверждения вывода о
структурных особенностях комплекса включения β-ЦД с
1-(3-н-бутоксипропил)-4-винилацетилен-4-бензоилокси-пиперидиномсделанных при
помощи ЯМР спектроскопии были использованы квантово-химические расчеты.
.3.3 Комплекс
4-этинил-1-метил-пиперидин-4-оласβ-циклодекстрином
Для этого комплекса, так же, как и в
случае с 1-(3-н-бутоксипропил)-4-винилацетилен-4-бензоилоксипиперидином были
записаны спектры отдельно для 4-этинил-1-метил-пиперидин-4-ола и его комплекса
с β-циклодекстрином,
результаты отнесений были организованы в таблицу 5.
Рисунок 16
-4-этинил-1-метил-пиперидин-4-ол
Рисунок 17 - Спектр 1Н ЯМР молекулы
4-этинил-1-метил-пиперидин-4-ола
Рисунок 18 - Спектр 1Н ЯМР комплекса
4-этинил-1-метил-пиперидин-4-ола сβ-циклодекстрином
Таблица 5 - Химические сдвиги
H4-этинил-1-метил-пиперидин-4-ола
|
№ атома
|
группа
|
вне комплекса (δ0)
|
в комплексе (δ)
|
разница хим.сдвигов (δН)
|
|
СНх
|
δН
|
δН
|
Δδ(δ-δ0)
|
|
2,6
|
CHa
|
2,277
|
2,336
|
0,059
|
|
CHe
|
2,512
|
2,62
|
0,108
|
|
3,5
|
CHa
|
1,614
|
1,67
|
0,066
|
|
CHe
|
1,775
|
1,781
|
0,06
|
|
4
|
C
|
-
|
-
|
-
|
|
7
|
CH2
|
2,062
|
2,170
|
0,108
|
|
8
|
C
|
-
|
-
|
-
|
|
9
|
СH
|
3,18
|
3,187
|
0,007
|
|
10
|
CH
|
4,674
|
4,634
|
0,04
|
|
1Н-ЦД
|
CН
|
4,94
|
4,912
|
-0,03
|
|
2Н-ЦД
|
CН
|
3,52
|
3,487
|
-0,03
|
|
3Н-ЦД
|
CH
|
3,83
|
3,798
|
-0,03
|
|
4Н-ЦД
|
CH
|
3,45
|
3,437
|
-0,013
|
|
5Н-ЦД
|
CН
|
3,75
|
3,714
|
-0,03
|
|
6Н-ЦД
|
CН2
|
3,78
|
3,737
|
-0,043
|
.3.4 1-(2-этоксиэтил)-4-этинил-4-бензоилоксипиперидин
Для «казкаина» так же были сняты ЯМР
спектры по которым были сделаны отнесения, которые в свою очередь были
организованы в таблицу 6.
Рисунок 19 -
1-(2-этоксиэтил)-4-этинил-4-бензоилоксипиперидин
Рисунок 20 - Спектр 1Н ЯМР
1-(2-этоксиэтил)-4-этинил-4-бензоилоксипиперидина
Таблица 6 - Химические сдвиги H.
1-(2-этоксиэтил)-4-этинил-4-бензоилоксипиперидина
|
№ атома
|
группа
|
Вне комплекса(δ0)
|
В комплекса(δ)
|
Разница хим.сдвигов (δН)
|
|
СНх
|
δН
|
δН
|
Δδ(δ-δ0)
|
|
2,6
|
CHa
|
2,522
|
-
|
-
|
|
CHe
|
2,687
|
-
|
-
|
|
3,5
|
CHa
|
2,298
|
-
|
-
|
|
CHe
|
2,334
|
-
|
-
|
|
4
|
C
|
-
|
-
|
-
|
|
7
|
CH2
|
2,612
|
-
|
-
|
|
8
|
CH2
|
3.542
|
-
|
-
|
|
9
|
CH2
|
3,463
|
-
|
-
|
|
10
|
1,166
|
-
|
-
|
|
11
|
C
|
-
|
-
|
-
|
|
12
|
CH
|
2.652
|
-
|
-
|
|
15,19
|
CH
|
8,001
|
-
|
-
|
|
16,18
|
CH
|
7,385
|
-
|
-
|
|
17
|
CH
|
7,528
|
-
|
-
|
.4 Квантово-химические расчеты
В результате исследования наших
комплексов при помощи ЯМР спектроскопии было выяснено, что некоторые из
соединений предположительно образовывают комплексы с циклодекстрином состава
2:1. В ранних статьях по изучению циклодекстрина было описано что
циклодекстрины в комплексе могут находится в разных конформациях относительно
друг друга(рисунок 21).
Рисунок 21 - Схематическое
представление возможных конфигураций комплексов ЦД состава 2:1
Вследствие этого, имеет смысл
проводить квантово-химические расчеты, которые предположительно помогут
уточнить конфигурацию получившегося комплекса.
С помощью методик, которые описаны в
пункте 1.4, проводилась оптимизация равновесной геометрии отдельно каждого
составляющего комплекса-включения и самого комплекса включения. После чего
результаты этих расчетов были занесены в таблицу.
Для изучения возможности координации
комплекса β-циклодекстринапроизводными
пиперидина использовали молекулярное моделирование комплексов различного типа
комплекса в программе Hyperchem для оптимизации геометрии молекул.
Построенные молекулярные модели
веществ подтверждают возможность образования комплекса между производными
пиперидина и β-циклодекстрина.
Пространственная «вытянутость» молекул пиперидинов, за исключением
4-этинил-1-метил-пиперидин-4-ола, не исключает образования комплексов со
стехиометрией как 1:1, так и 1:2.
Ранее уже были расчитаны
параметры структуры β-циклодекстрина[53], их примем за данные с которыми будем
сравнивать.
Рисунок 22 - Структурная
единица(d-глюкопираноза) циклодекстрина с цифровыми обозначениями атомов
Таблица 7 - Длины связей
и углы оптимизированного β-циклодекстрина
|
Длина связи(Å) или валентный
угол(°)
|
Данные PM3
|
Данные для сравнения
|
|
С1-О5
|
1.41
|
1.42
|
|
С1-С2
|
1.548
|
1.52
|
|
С2-С3
|
1.549
|
1.51
|
|
С3-С4
|
1.561
|
1.51
|
|
С4-С5
|
1.551
|
1.52
|
|
С5-С6
|
1.544
|
1.53
|
|
O2-H1
|
0.941
|
0.96
|
|
O3-H2
|
0.941
|
|
|
O6-H3
|
0.941
|
|
|
C5-H4
|
1.11
|
|
|
C1-O1-C4
|
114.25
|
113.88
|
|
C1-C2-C3
|
109.03
|
109.77
|
|
C5-C6-O6
|
112.24
|
110.97
|
Рисунок 23 - Структурное изображение
1-(3-н-бутоксипропил)-4-винилацетилен-4-бензоилоксипиперидина с цифровыми
обозначениями атомов
Таблица 8 - Длины связей и углы
оптимизированного 1-(3-н-бутоксипропил)-4-винилацетилен-4-бензоилоксипиперидина
|
Длина связи(Å) или валентный
угол(°)
|
Данные PM3
|
|
С1-H1
|
1.096
|
|
C2-H2
|
1.095
|
|
C3-H3
|
1.095
|
|
C4-H4
|
1.095
|
|
C5-H5
|
1.096
|
|
C6-H6
|
1.108
|
|
C6-H7
|
1.11
|
|
C7-H8
|
1.108
|
|
C7-H9
|
1.11
|
|
C8-H10
|
1.109
|
|
C8-H11
|
1.11
|
|
C9-H12
|
1.109
|
|
C9-H13
|
1.11
|
|
C1-C2-C3
|
120
|
|
H6-C6-H7
|
105.5
|
|
H8-C7-H9
|
105.5
|
|
H10-C8-H11
|
107
|
|
H12-C9-H13
|
107
|
Таблица 9 - Длины связей и углы
оптимизированного комплекса β-циклодекстринаc1-(3-н-бутоксипропил)-4-винилацетилен-4-бензоил-оксипиперидином
|
Длина связи(Å) или валентный
угол(°)
|
Данные PM3
|
|
β-циклодекстрин
|
|
С1-О5
|
1.411
|
|
С1-С2
|
1.532
|
|
С2-С3
|
1.54
|
|
С3-С4
|
1.537
|
|
С4-С5
|
1.54
|
|
С5-С6
|
1.537
|
|
O2-H1
|
0.941
|
|
O3-H2
|
0.953
|
|
O6-H3
|
0.949
|
|
C5-H4
|
1.11
|
|
C1-O1-C4
|
114.725
|
|
C1-C2-C3
|
112.45
|
|
C5-C6-O6
|
109.91
|
|
1-(3-н-бутоксипропил)-4-винилацетилен-4-бензоилоксипиперидин
|
|
С1-H1
|
1.105
|
|
C2-H2
|
1.109
|
|
C3-H3
|
1.108
|
|
C4-H4
|
1.104
|
|
C5-H5
|
1.109
|
|
C6-H6
|
1.11
|
|
C6-H7
|
1.11
|
|
C7-H8
|
1.11
|
|
C7-H9
|
1.11
|
|
C8-H10
|
1.12
|
|
C8-H11
|
1.11
|
|
C9-H12
|
1.12
|
|
C9-H13
|
1.11
|
|
C1-C2-C3
|
120
|
|
H6-C6-H7
|
102.8
|
|
H8-C7-H9
|
103.9
|
|
H10-C8-H11
|
105.5
|
|
H12-C9-H13
|
105.4
|
|
|
|
Таблица 10 - Длины связей и
углыоптимизированного4-этинил-1-метил-пиперидин-4-ола
|
Длина связи(Å) или валентный
угол(°)Данные PM3
|
|
|
С1-H1
|
1.107
|
|
C1-H2
|
1.108
|
|
C2-H3
|
1.1
|
|
C2-H4
|
1.07
|
|
C5-H6
|
1.06
|
|
C6-H7
|
1.1
|
|
C6-H8
|
1.07
|
|
C7-H10
|
1.108
|
|
C7-H9
|
1.107
|
|
C8-H11
|
1.1
|
|
O1-H5
|
0.95
|
|
H1-C1-H2
|
106.7
|
|
H3-C2-H4
|
105.7
|
|
H7-C6-H8
|
105.7
|
|
H9-C7-H10
|
106.7
|
|
C3-O1-H5
|
106.7
|
|
H11-C8-H12
|
108.2
|
Таблица 11 - Длины связей и углы
оптимизированного комплекса β-циклодекстринаc 4-этинил-1-метил-пиперидин-4-олом
|
Длина связи(Å) или валентный
угол(°)Данные PM3
|
|
|
β-циклодекстрин
|
|
С1-О5
|
1.41
|
|
С1-С2
|
1.55
|
|
С2-С3
|
1.56
|
|
С3-С4
|
1.56
|
|
С4-С5
|
1.55
|
|
С5-С6
|
1.546
|
|
O2-H1
|
0.944
|
|
O3-H2
|
0.95
|
|
O6-H3
|
0.947
|
|
C5-H4
|
1.15
|
|
C1-O1-C4
|
114.25
|
|
C1-C2-C3
|
109.3
|
|
C5-C6-O6
|
112.1
|
|
4-этинил-1-метил-пиперидин-4-ол
|
|
С1-H1
|
1.12
|
|
C1-H2
|
1.12
|
|
C2-H3
|
1.115
|
|
C2-H4
|
1.12
|
|
C5-H6
|
1.06
|
|
C6-H7
|
1.114
|
|
C6-H8
|
1.12
|
|
C7-H10
|
1.12
|
|
C7-H9
|
1.11
|
|
C8-H11
|
1.1
|
|
O1-H5
|
0.95
|
|
H1-C1-H2
|
105.9
|
|
H3-C2-H4
|
104.6
|
|
H7-C6-H8
|
104.9
|
|
H9-C7-H10
|
106
|
|
C3-O1-H5
|
106.7
|
|
H11-C8-H12
|
108.2
|
Таблица 12 - Длины связей и углы
оптимизированного 1-(2-этоксиэтил)-4-этинил-4-бензоилоксипиперидина(«Казкаин»)
|
Длина связи(Å) или валентный
угол(°)
|
Данные PM3
|
|
C1-H3
|
1.11
|
|
C1-H4
|
1.107
|
|
C2-H1
|
1.108
|
|
C2-H2
|
1.109
|
|
C3-H7
|
1.11
|
|
C3-H8
|
1.107
|
|
C4-H5
|
1.108
|
|
C4-H6
|
1.109
|
|
C7-H9
|
1.064
|
|
C10-H10
|
1.096
|
|
C11-H11
|
1.095
|
|
C12-H12
|
1.095
|
|
C13-H13
|
1.095
|
|
C14-H14
|
1.096
|
|
C15-H15
|
1.109
|
|
C15-H16
|
1.109
|
|
C16-H17
|
1.109
|
|
C16-H18
|
1.109
|
|
C17-H19
|
1.108
|
|
C17-H20
|
1.108
|
|
C18-H21
|
1.097
|
|
C18-H22
|
1.098
|
|
C18-H23
|
1.098
|
|
H3-C1-H4
|
106.6
|
|
H1-C2-H2
|
106
|
|
H5-C4-H6
|
106
|
|
H7-C3-H8
|
106.6
|
|
C9-C10-C11
|
120
|
Таблица 13 - Длины связей и углы
оптимизированного комплекса
1-(2-этоксиэтил)-4-этинил-4-бензоилоксипиперидина(«Казкаин») с β-циклодекстрином
|
Длина связи(Å) или валентный
угол(°)
|
Данные PM3
|
|
β-циклодекстрин
|
1.41
|
|
С1-С2
|
1.55
|
|
С2-С3
|
1.55
|
|
С3-С4
|
1.561
|
|
С4-С5
|
1.552
|
|
С5-С6
|
1.546
|
|
O2-H1
|
0.942
|
|
O3-H2
|
0.952
|
|
O6-H3
|
0.951
|
|
C5-H4
|
1.11
|
|
C1-O1-C4
|
112.5
|
|
C1-C2-C3
|
108.7
|
|
C5-C6-O6
|
112.57
|
|
1-(2-этоксиэтил)-4-этинил-4-бензоилоксипиперидин
|
|
C1-H3
|
1.11
|
|
C1-H4
|
1.11
|
|
C2-H1
|
1.109
|
|
C2-H2
|
1.109
|
|
C3-H7
|
1.11
|
|
C3-H8
|
1.11
|
|
C4-H5
|
1.107
|
|
C4-H6
|
1.108
|
|
C7-H9
|
1.065
|
|
C10-H10
|
1.105
|
|
C11-H11
|
1.109
|
|
C12-H12
|
1.108
|
|
C13-H13
|
1.104
|
|
C14-H14
|
1.105
|
|
C15-H15
|
1.115
|
|
C15-H16
|
1.117
|
|
C16-H17
|
1.108
|
|
C16-H18
|
1.11
|
|
C17-H19
|
1.108
|
|
C17-H20
|
1.111
|
|
C18-H21
|
1.096
|
|
C18-H22
|
1.099
|
|
C18-H23
|
1.097
|
|
H3-C1-H4
|
106.7
|
|
H1-C2-H2
|
106.3
|
|
H5-C4-H6
|
106
|
|
H7-C3-H8
|
106.1
|
|
C9-C10-C11
|
120
|
Таблица 14 - Данные по энергиям
комплексов 1-(3-н-бутоксипропил)-4-винилацетилен-4-бензоилоксипиперидина
|
Состав и конформация комплексаTotal Energy(kcal/mol)
|
|
|
2:1a
|
-815161.2832314
|
|
2:1 b
|
-851288.4856759
|
|
2:1 c
|
-827529.2832314
|
|
1:1
|
-474588.3787561
|
Проанализировав данные по суммарным
энергиям можно судить о том что более устойчивым будет комплекс состава 2:1 b
(рисунок 21), исходя из принципа минимума энергии.
Рисунок 25 - Структурное изображение
предположительного комплекса
1-(3-н-бутоксипропил)-4-винилацетилен-4-бензоилоксипиперидина с β-циклодекстрином
.5 Биологическая активность
Объекты изучения обладают выраженной
анестетической активностью. 1-(2-этоксиэтил)-4-этинил-4-бензоилоксипиперидин,
называемый «казкаин», находится в процессе клинических испытаний и внедрения в
медицинскую практику, более новый препарат
1-(3-н-бутоксипропил)-4-винилацетилен-4-бензоилоксипиперидин, синтезированный в
лаборатории химии лекарственных веществ Института химических наук им. А.Б.
Бектурова, также вызвал больший интерес к изучению. Его комплекс с ЦД (КФДЦ-4)
при исследовании биологической активности, соединение превышало по силе
анестезии новокаин в 1,2 раза. По длительности полной анестезиивызывало более
длительную анестезию, чем новокаин (в испытанных концентрациях составляла 48,0
минут, что в 4,8 раза продолжительнее, чем у новокаина). По общей
продолжительности действия соединение действовало длительнее новокаина (73,3
минут против 22 минут).Исследуемое соединение оказалось менее токсичным, чем
препараты сравнения. Таким образом, препарат обладает пролонгированным
действием, из-за того что носителем действующего вещества является циклодекстрин.
Результаты представлены в таблицах 15 и 16.
Таблица 15 -Местноанестезирующая
активность 0,5% водного раствора. соединений при инфильтрационной анестезии по
методу Бюлбринг-Уэйда
|
Шифр соединения, препарат
|
Индекс анестезии (М±m)
|
Длительность полной анестезии (мин.), (М±m)
|
Общая продолжительность анестезии (мин.), (М±m)
|
|
КФДЦ-4
|
36,0 ± 1,3
|
48,0 ±4,5
|
73,3 ± 2,1
|
|
Тримекаин
|
34,1 ±0,5
|
30,0 ± 1,7
|
54,5 ± 2,3
|
|
Лидокаин
|
32,3 ±2,3
|
25,8 ± 0,8
|
44,1 ± 1,7
|
|
Новокаин
|
30,0 ± 0,2
|
10,0 ± 0
|
22,0 ± 0,1
|
Таблица 16 - Острая токсичность
соединений и эталонных препаратов для белых мышей
|
Шифр соединения, препарат
|
ЛД50, мг/кг
|
|
КФДЦ-4
|
700,0±25,4
|
|
Новокаин
|
480,0 ± 9,8
|
|
Лидокаин
|
248,6 ± 18,4
|
|
Тримекаин
|
378,2 ± 19,4
|
Выводы
Получены комплексные соединения β-циклодекстрина с 4-этинил-1-метил-пиперидин-4-олом,
1-(3-н-бутоксипропил)-4-винилацетилен-4-бензоилоксипиперидином,
1-(2-этоксиэтил)-4-этинил-4-бензоилокси-пиперидином.
Проведено полное отнесение сигналов
в спектрах ЯМР 1Н и 13С дляβ-циклодекстрина, 1-(3-н-бутоксипропил)-4-винилацетилен-4-бензоилоксипиперидина
и их комплекса, а так же отнесения для остальных производных.
Проведен анализ возможности
координации с 1-(3-н-бутоксипропил) - 4-винилацетилен-4-бензоилоксипиперидином
с β-циклодекстрином на
основании квантово-химических расчетов равновесной геометрии комплексов
различного типа.
Анализ изменения химических сдвигов
в спектрах ЯМР дает возможность предположить образование комплекса между β-ЦД и
1-(3-н-бутоксипропил)-4-винилацетилен-4-бензоилоксипиперидином состава 1:2, что
подтверждается данными метода ROESY и квантово - химическими расчетами.
Список использованных источников
1. М.К. Грачев, А.А. Чараев, Г.И. Курочкина, Л.К. Васянина,
В.Н. Шмелёва, Э.Е. Нифантьев / Катионные производные β-циклодекстрина,
содержащие остатки некоторых фармакологически важных кислот // Журнал общей
химии. 2010. Т. 80. Вып. 9. С. 1494-1500.
. Szejtly J. Cyclodextrin Technology / Kluwer Acad. Publ.,
Dordrecht. -1988. P -321.
. Szejtli J. Cyclodextrin properties and applications /
Szejtli J. // Drug Invest. -1990. V. 2. P 11-21.
. Villiers A. Sur la fermentation de la féculeparl'action du
ferment butyrique / Villiers A. // Compt. Rend. Acad. Sci. -1891. -V.112. -
P.536-538.
. Freudenberg K., Jacobi R. ÜberSchardingerDextrineaus Starke / Freudenberg K., Jacobi R. //
Liebigs. Ann. Chem. -1935. -V.518. - P.102-108.
. Cramer Fr. Einschlußverbindungen / Cramer Fr. //Berlin-Göttingen-Heidelberg: Springer-Verlag. -1954. P-115.
. Schardinger,F. Über Thermophile BakterienausverschiedenenSpeisen und Milch,
sowieubereinigeUmsetzungsproduktederselben in kohlenhydrathaltigenNahrlosungen,
darunterkrystallisierte Polysaccharide (Dextrine) aus Starke // Z. Untersuch.
Nahr. Genussm.- 1903.,V- 6, P-865-880.
. Bodor 8. N.,Buchwald P Theoretical Insights into the Formation,
Structure, and Energetics of Some Cyclodextrin Complexes / Bodor N.,1994,P-130.
. BouchemalKawthar. New challenges for pharmaceutical
formulations and drug delivery system characterization using isothermal
titration calorimetry / BouchemalKawthar // Drug Discovery Today.- 2008. -V.
13(21-22). -P. 960-972.
. Comprehensive Supramolecular Chemistry / Eds. Szejtly J,
Osa T. // Elsevier Sci. Oxford. -1996. - V.3. Cyclodextrins., P-178.
. Jun Li. Cyclodextrin-based supramolecular architectures:
Syntheses, structures, and applications for drug and gene delivery / Jun Li and
Xian Jun Loh // Adv. Drug Deliv. Reviews. -2008. -V. 60(9). -P. 1000-1017.
. Frömming Karl-Heinz, Szejtli J. Cyclodextrins in Pharmacy / Frömming Karl-Heinz,
Szejtli J. // Springer Netherlands.-1993. -P.232.
. Jug M. Cyclodextrin based Pharmaceuticals / Jug M.,
Becirevic-Lacan M. // Rad. Medical Sciences. -2008. -P. 9-26.
. Kaneto U. Cyclodextrin Drug Carrier Systems / Kaneto U,
Fumitoshi H, Tetsumi I. // Chem Rev. -2003. -V. 5. -P. 2045-2076.
. Thompson DO. Cyclodextrins (CDS) - excipients by
definition, drug delivery systems by function (part I: injectable applications)
/ Thompson DO, Chaubal MV. // Drug Delivery Technology. -2002. -V. 2(7). -P.34-45.
. Захаров А.Г. Научные основы химической технологии
углеводов. 2008, Москва, С.257-259.
. Ceschel GC., Bergamante V., Maffei P., Borgia S.,
Calabrese V., Biserni S., Ronchi C. Solubility and Transdermal Permeation
Properties of a Dehydroepiandrosterone Cyclodextrin Complex from Hydrophilic
and Lipophilic Vehicles //Drug Delivery. - 2005. - Vol. 12, № 5. - Р. 275-280.
. Pedersen M., Bjerregaard S., Jacobsen J., Mehlsen
Sorensen A. A genuine clotrimazole -cyclodextrin inclusion complex-isolation,
antimycotic activity, toxicity and an unusual dissolution rate //Intern. J. of
Pharmaceutics. - 1998. - Vol. 176, № 1. - Р. 121-131.
. Беликов В.Г., Компанцева Е.В., Гаврилин М.В., Краник Л.И.
Влияние β-циклодекстрина на
растворимость некоторых стероидных гормонов в воде //Фармация. - 1991. - № 2. -
С. 35-36.
. Клочков С.В., Компанцева Е.В., Бердник Е.Н.,
Ботезат-Белый Ю.К., Бабилев Ф.В. Исследование клатратообразования β-циклодекстрина с
метапрогеролом // Хим.-фарм. журн. - 1991. - Т. 25(11). - С. 67-69.
. Ghorab MK. Enhancement of ibuprofen dissolution via wet
granulation with beta-cyclodextrin / Ghorab MK., Adeyeye MC. // Pharm Dev
Technol. -2008. -V.6. -P.305-314.
. ArunRasheed. Cyclodextrins as drug carrier molecule: a
review / ArunRasheed, Ashok Kunar C.K, Sravanth V.V. // Sci Pharm. -2008. -V.
76. -P. 567-598.
. Brewster M.E. Cyclodextrins as pharmaceutical
solubilizers / Brewster M.E., Loftsson T. //Adv.DrugDeliv.Reviews -2007.
-V.-59. - P.645-666.
. Чайка Л.А., Хаджай Я.И., Либина В.В. Фармакотоксилогические
аспекты применения циклодекстринов в качестве носителей лекарственных средств
//Хим.-фарм. журн. - 1990. - Т. 24(7). - С. 19-23.
. Кудрин А. Н. Фармакология, Москва “Медицина”, 1991, 213с.
. Лоуренс Д. Р., Беннетт П. Н. Браун М. Дж. Фармакология. Издание
второе. Москва, 2002, С. 184-192.
. Патент RU2232753 С2 «4-Замещенные пиперидины,
фармацевтическая композиция на их основе и способ лечения заболеваний
центральной нервной системы», Автор- ОрхалесВенероАурелиоЗаявл. 2008148941/04,
12.04.2002,опуб. 20.07.2004,с.11.
. Николаева Т.Г., Кривенько А.П., Харченко В.Г., Решетов
П.В. Азагетероциклы на основе 1,5-дикетонов, 2,6-циклокетолов и этаноламина. //
Химия гетероцикл. соед.- 1983.-№ 10.-С 1370 - 1372
. ПатентRU226503 С2 «3-Замещенные 4(фенил-N-алкил)-пиперидины,
фармацевтическая композиция на их основе и способы лечения»,Автор -
МоскераПестаньяРамон, заявл. 200836341/04,4.11.2006,опуб. 27.02.2009, с.6.
. Солдатенков А.Т., Колядина Н.М., Шендрик И.В. Основы
органической химии лекарственных веществ. - М Химия, 2001 - 192с.
. Батырбеков Е.О., Искаков Р.М., Ю В.К., Пралиев К.Д,
Жубанов Б.А. Полимерные лекарственные формы местных анестетиков. Алматы 2008,
стр 9-37.
. Давыдова С.Л. Удивительныемакроциклы. Л.: Химия, 1989,
с.72.
. Стид Дж. В., Этвуд Дж. Л. Супрамолекулярная химия. М.:
Академкнига, 2007,с.132.
. ОвчинниковЮ.А., ИвановВ.Т., ШкробА.М. Мембранно-активные
комплексоны. М. 1974, с.238.
. Lehn J.M. Supramolecular Chemistry, Concepts and
Perspectives. Weinheim, 1995. Русский перевод: Лен Ж.-М. Супрамолекулярная
химия. Концепции и перспективы. Новосибирск, 1998, с.334.
. Szejtli, J.; Osa, T. (eds.); Comprehensive Supramolecular
Chemistry, Cyclodextrins, Pergamon: Oxford, 1996. - Vol. 3, - P. 693
. Drug Delivery Research Advances / Ed. by Mashkevich B.O.
// Nova Science Publ. -2008. -P. 259.
. Nanotechnology in Drug Delivery. / Ed. by Villiers M.M.,
Aramwit P., Kwon G.S. // AAPS PRESS. -2009. - 662P.
. TiwariGaurav. Cyclodextrins in delivery systems:
Applications / TiwariGaurav, TiwariRuchi, RaiAwani K // J Pharm Bio Sci. -2010.
-V. 2(2). -P. 72-79.
. Поройков В.В. Компьютерное предсказание биологической
активности веществ: пределы возможного. Химия в России, 1999, том № 2, С.8-12.
. Немухин А.В. Компьютерное моделирование в химии. 1998,
Химия, 132 с.
. Валуев А.А., Норман Г.Э., Подлипчук В.Ю. Метод
молекулярной динамики: Теория и приложения // Математическое моделирование:
Физико-химические свойства вещества. М.: Наука, 1989. С. 5-40.
. Блатов В.А., Шевченко А.П., Пересыпкина Е.В.
Полуэмпирические расчетные методы квантовой химии: Учебное пособие. Изд. 2-ое
Самара: Изд-во «Универс-групп», 2005, С. 32.
. Белащенко Д.К. Компьютерное моделирование
некристаллических веществ. Соросовский образовательный журнал, том 7, №8, 2001,
С. 44.
. Гадиев Тимур Артурович. Двумерная спектроскопия ЯМР NOESY
в изучении пространственной структуры мономерных и димерных производных
каликс[4]аренов в растворах: диссертация... кандидата физико-математических
наук: 01.04.07 / Гадиев Тимур Артурович; [Место защиты: Казан.гос. ун-т].- Казань,
2007.- 120 с.: ил. РГБ ОД, 61 07-1/1719
. Дэроум Э. Современные методы ЯМР для химических
исследований: Пер. с англ. - М.: Мир, 1992. -403 с., ил.
. Е.В. Вязовкина, И.В. Энгельс, А.В. Лебедев. Исследование
диастереомеровнеионных аналогов олигонуклеотидовVIII*. Определение абсолютных
конфигураций при атоме фосфора диастереомеровдизоксидинуклеозидметилфосфанатов
методом двумерной спектроскопии ROESY. Биоорганическая химия, том 19, №2, 1993,
С. 197-210.
. SaradaSagiraju, BrankoS.Jursic. NMR spectroscopic study
of cyclodextrin inclusion complexes with A-007 prodrugs. ELSEVIER, Carbohydrate
Research, 2008, V-343, P-1180-1190.
. Giani Andrea Linde, Antonio Laverde Junior, ElieteVaz de
Faria, Nelson Barros Colauto, FlavioFaria de Moraes, Gisella Maria Zanin. The
use 2D NMR to study b-cyclodextrincomplexation and debittering of amino acids
and peptides. ELSEVIER, Food Research International. 2010,V-43, P-187-192.
. Hans-Jorg Schneider, Frank Hacket, Volker Rudiger,
Hiroshi Ikeda. NMR Studies of Cyclodextrins and Cyclodextrins Complexes.
Chem.Rev. 1998, V-98, P-1755-1785.
. Carolina Jullian, Sebastian Miranda, Gerald Zapata -
Torres, Fernando Mendizabal, Claudio Olea - Azar.Studies of inclusion complexes
of natural and modified cyclodextrin with catechin by NMR and molecular
modeling. Bioorganic and Medicinal Chemistry. 2007, V-15, P-3217-3224.
. ArianaZoppi, Mario A. Quevedo, Marcela R. Longhi.
Specific binding capacity of b-cyclodextrin with cis and transenapril:
Physicochemical characterization and structural studies by molecular modeling.
Bioorganic and Medicinal Chemistry, 2008, V-16, P-8403-8412.
. Mohsen Tafazolli, Mina Ghiasi. Structure and conformation
of cyclodextrins in solution: Theoretical approaches and experimental
validation. Carbohydrate Polymers, 2004,V-4, P-11-15.