Расчет теплообменной установки для подогрева сырья ректификационной колонны

  • Вид работы:
    Курсовая работа (т)
  • Предмет:
    Другое
  • Язык:
    Русский
    ,
    Формат файла:
    MS Word
    432,4 Кб
  • Опубликовано:
    2015-01-20
Вы можете узнать стоимость помощи в написании студенческой работы.
Помощь в написании работы, которую точно примут!

Расчет теплообменной установки для подогрева сырья ректификационной колонны

Министерство образования и науки Российской Федерации
Федеральное агентство по образованию

Государственное образовательное учреждение

высшего профессионального образования

«Самарский государственный технический университет»






КУРСОВОЙ ПРОЕКТ

По дисциплине: « Процессы и аппараты химической технологии»

На тему: «Расчет теплообменной установки для подогрева сырья ректификационной колонны»

Вариант № 15










Самара 2012

Содержание

1.Введение

. Исходные данные и постановка задачи         

.Описание технологической схемы

.Описание конструкции проектируемого аппарата 

.Технологический расчет

.1 Пересчет массовых концентраций компонентов в мольные

.2 Определение неизвестных температур

.3Определение теплофизических свойств индивидуальных веществ и смесей

.4 Определение тепловой нагрузки и расхода горячей воды

.5Выбор ориентировочной поверхности аппарата и конструкции

.6 определение коэффициента теплоотдачи α2 для нагреваемого сырья(трубное пространство)

.7 Определение коэффициента теплоотдачи α1 для горячей воды

.8 Расчет коэффициента теплопередачи для выбранного аппарата

.9 Определение расчетной поверхности теплопередачи и ее запаса

.10 Проверочный расчет аппарата №2

.Расчет гидравлического сопротивления аппарата

.1Определение гидравлического сопротивления трубного и межтрубного пространств

Бланк заказа

Заключение

Библиографический список

теплообменная установка ректификационный

1.  Введение

Целью данного курсового проекта является расчет теплообменного аппарата.

Теплообменные аппараты (теплообменники) применяются для осуществления теплообмена между двумя теплоносителями с целью нагрева или охлаждения одного из них. В зависимости от этого теплообменные аппараты называют подогревателями или холодильниками.

По способу передачи тепла различают следующие типы теплообменных аппаратов:

поверхностные, в которых оба теплоносителя разделены стенкой, причем тепло передается через поверхность стенки;

регенеративные, в которых процесс передачи тепла от горячего теплоносителя к холодному разделяется по времени на два периода

смесительные, в которых теплообмен происходит при непосредственном соприкосновении теплоносителей.

В химической промышленности наибольшее распространение получили поверхностные теплообменники, отличающиеся разнообразием конструкций, основную группу которых представляют трубчатые теплообменники, такие как: кожухотрубчатые, оросительные, погруженные и "труба в трубе".

Одним из самых распространенных типов теплообменников являются кожухотрубчатые теплообменники. Они представляют из себя пучек труб, концы которых закреплены в специальных трубных решетках путем развальцовки, сварки, пайки, а иногда на сальниках. Пучек труб расположен внутри общего кожуха, причем один из теплоносителей движется по трубам, а другой - в пространстве между кожухом и трубами.

Кожухотрубчатые теплообменники могут быть с неподвижной трубной решеткой или с температурным компенсатором на кожухе, вертикальные или горизонтальные. В соответствии с ГОСТ 15121-79, теплообменники могут быть двух- четырех- и шестиходовыми по трубному пространству.

Достоинствами кожухотрубчатых теплообменников являются: компактность; небольшой расход метала; легкость очистки труб изнутри, а недостатками - трудность пропускания теплоносителей с большими скоростями; трудность очистки межтрубного пространства и трудность изготовления из материалов, не допускающих развальцовки и сварки.

Кожухотрубчатые теплообменники могут использоваться как для нагрева, так и для охлаждения.

В качестве греющего агента в теплообменниках часто используется насыщенный водяной пар имеющий целый ряд достоинств:

высокий коэффициент теплоотдачи;

большое количество тепла, выделяемое при конденсации пара;

равномерность обогрева, так как конденсация пара происходит при постоянной температуре;

легкое регулирование обогрева.

2. Исходные данные и постановка задачи

Теплоноситель: горячая вода(ГВ)

Расход ГВ, кг/ч-определить

Температура входа,°С-125

Температура выхода,°С-105

Рабочее давление,МПа-0,35

Хладагент: сырье колонны

Состав: НК-гептан;ВК- октан

Содержание: НК=65%масс; ВК=35%масс.

Количество сырья, кг/ч 26000

Температура входа,°С- 16

Температура выхода,°С- температура начала кипения(рассчитать)

Рабочее давление, МПа - 0,14

3.Описание технологической схемы

Продуктами процесса ректификации являются дистиллят и кубовый остаток. При разделении двухкомпонентной смеси в качестве дистиллята отбирается практически чистый низкокипящий компонент(НКК), в нашем случае гептан, а в качестве кубового остатка-практически чистый октан(ВКК).

Уходящие с верха колонны пары НКК конденсируются в теплообменнике. Образовавшаяся жидкая фаза поступает в рефлюксную емкость, откуда самотеком поступает на прием насоса. После насоса жидкая фаза делится на два потока: один поступает на орошение колонны, а второй охлаждается в холодильнике и отводится в емкость-сборник товарного дисциллята. Паровой поток в колонне создается за счет испарения части кубовой жидкости в кипятильнике.

Второй продукт ректификации - кубовый остаток- охлаждается водой в холодильнике и отводится в емкость сбора остатка. Так как количество отводимой теплоты в холодильнике значительно, с целью его рационального использования можно направить поток кубовой жидкости в рекупиративный теплообменник для нагрева сырья.Это позволит, во-первых, снизить расход хладагента, и во-вторых, уменьшить затраты теплоносителя на нагрев питания.

.Описание конструкции проектируемого аппарата

Кожухотрубчатые теплообменники - наиболее распространенная конструкция теплообменной аппаратуры. В зависимости от назначения кожухотрубчатые аппараты могут быть теплообменниками, холодильниками, конденсаторами и испарителями; их изготовляют одно- и многоходовыми.

Конструктивное оформление машин и аппаратов, применяемых в химической и пищевой промышленности, неразрывно связано с их функциональным назначением и полностью определяется характером и технологическими параметрами протекающих в них процессов. При этом конструкция химического и пищевого оборудования должна не только отвечать требованиям самых совершенных технологий, но и обладать также прочностью, высокой надежностью, быть легкой, эстетичной и требовать как можно меньшего расхода дорогостоящих и дефицитных материалов. Для обеспечения сочетания прочности и надежности пищевой и химической аппаратуры с ее экономичностью и малой материалоемкостью на стадии проектирования необходимо провести подробный механический (прочностной) расчет каждого узла и детали вновь создаваемого оборудования.

Для подвода и отвода рабочих сред (теплоносителей) аппарат снабжен штуцерами. Один из теплоносителей в этих аппаратах движется по трубам, другой - в межтрубном пространстве, ограниченном кожухом и наружной поверхностью труб. Особенностью аппаратов типа Н является то, что трубы жестко соединены с трубными решетками, а решетки приварены к кожуху. В связи с этим исключена возможность взаимных перемещений труб и кожуха; поэтому аппараты этого типа называют еще теплообменниками жесткой конструкции. Трубы в кожухотрубчатых теплообменниках стараются разместить так, чтобы зазор между внутренней стенкой кожуха и поверхностью, огибающей пучок труб, был минимальным; в противном случае значительная часть теплоносителя может миновать основную поверхность теплообмена. Для уменьшения количества теплоносителя, проходящего между трубным пучком и кожухом, в этом пространстве устанавливают специальные заполнители.

.Технологический расчет


Пересчет выполним по формуле:


Где Мк-мольная масса компонента К (кг/кмоль);

Мольная масса гептана- 100,2кг/кмоль;

Мольная масса октана- 114,23 кг/кмоль;


Проверка: =0,68+0,32=1

Расчет выполнен правильно.

.2 Определение неизвестных температур

Температура смеси на выходе из подогревателя(конечная температура ) равна температуре начала кипения t2k. Для нахождения этой температуры воспользуемся уравнением изотермы жидкой фазы:


Необходимые для расчета давления паров возьмем из таблицы.

Температуры кипения при нормальном давлении(101кПа):

Гептан- 98,4°С

Октан- 112°С

Выберем в качестве первого приближения температуры 100°С и 120°С. При этих температурах давления паров указаны в таблице:


100°С

120°С

Гептан,Рг, мм рт.ст.

792

1369

Октан, Рок, мм рт. ст.

350

645


Найдем значение суммы в уравнении изотермы:

117°С

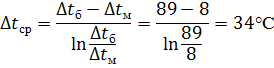
Определим среднюю разность температур между потоками и среднии температуры потоков.

Температурная схема при противотоке:

н=125° t1к=105°к=117° t2н=16°

∆tм=125-117=8° ∆tб=105-16=89°

Средняя разность температур рассчитывается по формуле:


Горячий поток меняет температуру на ∆t1=20°C, а холодный на ∆t2=101°C, поэтому средняя температура горячего потока составит:

ср=С

а средняя температура холодного потока равна:

cр=t1cр-∆tср=115-34=81°С

.3 Определение теплофизических свойств индивидуальных веществ и смесей

Свойства нагреваемого сырья при средней температуре 81°С найдем по таблицам. Учитывать незначительное, на 3÷5°, изменение температуры от указанного в таблице для плотности и теплопроводности нет смысла.

Плотности ρг=627 кг/м3, ρок=653 кг/м3

Теплоемкость сг=2401 Дж/(кг·К), сок=2252 Дж/(кг·К)

Вязкость μг=0,24·10-3 Па·с, μок=0,291·10-3 Па·с

Теплопроводность λг=0,108 Дж/(кг·К), λок= 0,146Дж/(кг·К)

Определяем свойства смеси углеводородов:

Плотность  кг/м3

Теплоемкость

с2= Дж/(кг·К)

Вязкость

Теплопроводность

 Вт/(м·К)

Все полученные значения сведем в таблицу.

Свойство

размерность

Горячая вода

Нагреваемое сырье




НК

ВК

Смесь

Ср.температура

°С

115

 80

плотность

кг/м3

943

627

636

теплоемкость

Дж/(кг·К)

4230

2401

2252

2349

Вязкость

Па·с

0,231·10-3

0,24·10-3

0,291·10-3

0,255·10-3

теплопроводность

Вт/(м·К)

0,686

0,108

0,146

0,121


.4 Определение тепловой нагрузки и расхода горячей воды

Тепловую нагрузку на аппарат определим из уравнения:


Требуемый расход горячей воды найдем по уравнению:


.5Выбор ориентировочной поверхности аппарата и конструкции

Примем ориентировочное значение коэффициента теплопередачи для нагрева углеводородов водой Кор=340 Вт/(м2·К). Тогда ориентировочная площадь поверхности теплопередачи составит:


≥Fор≥193

По таблице [1, стр.102]выбираем теплообменники, предположительно подходящие в нашем случае.

№варианта

1

2

3

4

5

6

 Трубы,мм

20ˣ2

20ˣ2

25ˣ2

25ˣ2

25ˣ2

25ˣ2

Fтаб,м2

139

116

127

190

121

181

Sт, м2

0,037

0,02

0,03

0,03

0,022

0,022

Sвп , м2

0,041

0,065

0,065

0,065

0,07

0.07

nобщ,шт

370

618

404

404

384

z

2

6

4

4

6

6


Проведем проверочный расчет теплообменника №1 с целью установления его пригодности для проведения процесса теплообмена при заданных расходах и температурах.

.6 определение коэффициента теплоотдачи α2 для нагреваемого сырья (трубное пространство)

Определим объемный расход сырья по уравнению:


Определение средней скорости потока в трубах пучка:

=

Определим режим движения в трубном пространстве. Для этого вычислим по уравнению критерий Рейнольдса:


Следовательно, режим движения в трубах турбулентный.

Определим значение критерия Прандтля по уравнению:


Для определения критерия Нуссельта при турбулентном движении воспользуемся уравнением: 0,25=

=

Тогда значение коэффициента теплоотдачи α2 составит:


.7 Определение коэффициента теплоотдачи α1 для горячей воды

Объемный расход горячей воды и ее скорость в межтрубном пространстве составят:

=

Определим значение критерия Рейнольдса для воды в межтрубном пространстве:


Значение критерия Прандтля для воды при 115°найдем в приложении[1,стр.98]: Pr1=1,45

Определим значение критерия Нуссельта:

 =

Тогда значение коэффициента теплоотдачи α1 от горячей воды к стенкам труб трубного пучка будет равно:


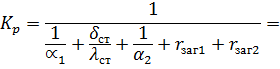
.8 Расчет коэффициента теплопередачи для выбранного аппарата

Считаем, что аппарат выполнен из углеродистой стали, имеющей коэффициент теплопроводности λст=46,5 Вт/(м2·К) [2,стр. 529]. Учтем также появление в процессе эксплуатации аппарата загрязнений как со стороны горячей воды rзаг1=1/1800 Вт/(м2·К), так и со стороны нагреваемого сырья rзаг2=1/5800 Вт/(м2·К).

Тогда коэффициент теплопередачи будет равен:


.9 Определение расчетной поверхности теплопередачи и ее запаса

Рассчитаем величину требуемой поверхности теплопередачи:


Запас поверхности теплопередачи составит:


Что соответствует нормам проектирования.

.10 Проверочный расчет аппарата №2

Аналогично проводим расчет аппарата под вариантом №2.    

=

 0,25=

=


Уточним значение (


Тогда для 100°: С=2484(Дж/кг·К); μ=0,22·10-3( Па·с); λ=0,11705(Вт/К·м)

ст=

(=1,01

Принимаем (=1

 =


Что соответствует нормам проектирования.

Расчет вариантов №3-6 проводится аналогично. Результаты занесем в таблицу.

1

2

3

4

5

6

w1,м/с

0,488

0,31

0,31

0,31

0,95

0,95

Re1

39827

25122

31628

31628

49995

49995

α1

7364

5585

5134

5134

2542,3

2542,3

w2,м/с

0,308

0,57

0,38

0,38

0,16

0,16

Re2

12295

22746

19903

19903

8529,9

8529,9

α2

702

971

662

662

852

852

Кр

434

505

404

404

428

428

∆F,%

20

16

1,6

52

2,7

53,6

Запас поверхности теплоотдачи по нормам технологического проектирования должен входить в интервал 10÷30%, поэтому мы выбираем аппараты №1 и №2 для дальнейших расчетов.

6.Расчет гидравлического сопротивления аппарата

.1 Определение гидравлического сопротивления трубного и межтрубного пространств

Проводим расчет аппарата №1.

Коэффициент трения для потока в трубном пространстве определим по формуле:


По таблице принимаем следующие диаметры штуцеров и их вылет:

вход и выход углеводородного сырья Dy=200мм, lш=130мм

Уточним значения скоростей в штуцерах:


Гидравлическое сопротивление трубного пространства в соответствии с формулой будет равно:


Гидравлическое сопротивление межтрубного пространства определим по уравнению.Число установленных в аппарате перегородок при длине труб 6м и диаметре кожуха D=600 мм равно m=18.Тогда сопротивление межтрубного пространства будет равно:

=15921Па

По аналогии определяем сопротивление трубного и межтрубного пространства для аппарата №2.

По таблице принимаем следующие диаметры штуцеров и их вылет:

вход и выход горячей воды Dy=250мм, lш=140мм

вход и выход углеводородного сырья Dy=150мм, lш=130мм

Уточним значения скоростей в штуцерах:

=3155Па

Анализируя полученные данные приходим к выводу, что аппарат под номером , является наиболее подходящим по техническим требованиям.


Бланк заказа

Для изготовления стандартного кожухотрубчатого теплообменного аппарата.

Предприятие-потребитель

Расположение аппарата


наименование установки

Тип аппарата


Технологическая позиция

Термообработка


Назначение аппарата

Материал исполнения

углеродистая сталь


Параметр

межтрубное пространство

трубное пространство


вход

выход

вход

выход

наименование рабочей среды





Общий расход,кг/ч





Вода,кг/ч





температура,°С





Рабочее давление,бар





Термическое сопротивление загрязнений,м2·К/Вт





Допускаемый перепад давления,бар





необходимость очистки






 Жидкость

плотность,кг/м3






кинематическая вязкость,м2/c,*106






Теплоемкость,Дж/(м·К)






Теплопроводность, Вт/(м·К)






Поверхностное натяжение,н/м,*103







Характеристики среды

температура кипения при давлении 007 МПа



Химическийсостав среды,%



Вредность по ГОСТ 2.1.007-7



Воспламеняемость по ГОСТ 12.1.004-91



Взрывоопасность по ГОСТ 12.1.011-78



Вызывает среда коррозию, растрескивание




Характеристика аппарата

Отрицательная температура стенки аппарата под давлением,°С


Средняя температура наиболее холодной пятидневки,°С


аппарат устанавливается на бетонном основании/металлоконструкция


наружный диаметр теплообменных труб,мм


Схема размещения труб в трубной решетки

по квадрату

по треугольнику

испытания на МКК основного металла и сварных соединений

нет

Необходимость установки деталей для крепления теплоизлоляции

 да

нет

тип крепления труб в трубной решетки

развальцовка

обварка с развальцовкой

шарниры

правые

левые

нет


Конструкция аппарата подлежит согласованию с Заказчиком

Подпись руководителя проектной Подпись руководителя организации, выполнившей технологический низации «Заказчика»


Заключение

Произведен расчет шести теплообменных аппаратов.По результатам был выбран аппарат №2.


Библиографический список

Расчет теплообменных аппаратов: Учебное пособие/В.Д.Измайлов,В.В.Филиппов;Самар. гос.техн.ун-т.Самара,2006.108 с.

Основные процессы и аппараты химической технологии:Пособ. По курсовому проектированию/Г.С.Борисов,В.П.Брыков,Ю.И.Дытнерский и др.;Под ред.Ю.Дытнерского.М.:Химия,1991.496 с.

Похожие работы на - Расчет теплообменной установки для подогрева сырья ректификационной колонны

 

Не нашли материал для своей работы?
Поможем написать уникальную работу
Без плагиата!
Без нейросетей!