|
Участок линии находящийся в ремонте
|
ПС-200 - ПС-53
|
|
Длина участка линии ПС-200 - ПС-30, км
|
89,8
|
|
Питание
|
ПС-200
|
|
ЭДС системы, кВ
|
157,7
|
|
Сопротивление системы «прямой
последовательности», Ом
|
0,004+j6,157
|
|
Сопротивление системы «нулевой
последовательности», Ом
|
0+j5,7
|
|
Место К.З.
|
Вблизи ПС-30
|
|
Стрела провеса провода, м
|
8,3
|
|
Эквивалентное удельное сопротивление земли, Ом∙м
|
5000
|
На участке ПС-200 - ПС-30 построена линия Л-1/2 в двухцепном
исполнении.
2.
Справочные данные
Справочные данные выбираем из «Справочника по
электротехническим установкам высокого напряжения» под редакцией И.А.
Баумштейна, С.А. Бажанова.
Для линии Л-1/2 выбираем промежуточную двухцепную
свободностоящую железобетонную опору ПБ150-2, которая изображена на рисунке 2.
Опора имеет следующие параметры [1, с. 394]:
Рис. 2 - Двухцепная промежуточная свободностоящая опора ПБ150-2
Для удобства расчетов и записи переменных примем, что фаза А
соответствует 1-ой траверсе (индекс 1), фаза В - 2-ой (индекс 2), фаза С - 3-ей
(индекс 3).
) Расстояние от земли до точки крепления гирлянды изоляторов к
нижней траверсе h1Г = 13,5 м;
) Расстояние от земли до точки крепления гирлянды изоляторов к
средней траверсе h2Г = 17,5 м;
) Расстояние от земли до точки крепления гирлянды изоляторов к
верхней траверсе h3Г = 21,5 м;
Для типа провода АС-240/32 из справочника выбираем следующие
параметры [1, с. 441]:
а) Расчетный диаметр провода dпр = 21,6
мм;
б) Сопротивление постоянному току провода r'пр = 0,121 Ом/км.
Выбираем изоляторы типа ПС70-Е для поддерживающей гирлянды [2,
таблица П2.5]. Количество изоляторов в поддерживающих гирляндах на
железобетонных двухцепных опорах класса 150 кВ nиз = 11
штук, длина одного изолятора lиз = 130 мм.
.
Расчет напряжений на проводах лэп в сети с эффективно заземленной нейтралью
Рис. 3 - Электрическая схема сети с эффективно заземленной
нейтралью с однофазным коротким замыканием на землю фазы С.
Напряжение на ремонтируемой линии (РЛ) будет наводиться в
результате электромагнитного взаимодействия с влияющей линией (ВЛ). При этом
наибольший ток во влияющей линии будет протекать при коротком замыкании.
Выполним расчет напряжения на фазах влияющей линии при однофазном
коротком замыкании на фазе, при этом учитывая напряжение смещения нейтрали в
сети с эффективно заземленной нейтралью.
Расчет амплитудного фазного напряжения:
Произведем запись напряжения системы в комплексном виде на
фазе A,
B и C соответственно:
Расчет сопротивления нейтрали:
Напряжение смещения нейтрали рассчитывается по формуле:
(3.1)
где
- сопротивление «прямой последовательности» ВЛ
от системы до точки короткого замыкания, Ом.
Для расчета сопротивления «прямой последовательности» ВЛ от
системы до точки короткого замыкания составим эквивалентную схему замещения
этого участка (Рис. 4). На рисунке 4
и
- полные комплексные
сопротивления «прямой последовательности» линий Л-1 и Л-2 соответственно.
Рис. 4 - Эквивалентная схема замещения
Комплексное погонное сопротивление «прямой
последовательности» линии рассчитываем по формуле:
(3.2)
где μ0 = 4π∙10-4 Гн/км - магнитная постоянная;
f = 50 Гц - промышленная частота тока;
- среднее геометрическое расстояние между фазными проводами
линии, м;
rэ - эквивалентный радиус расщепленной фазы, м;
d12, d13, d23 - попарные расстояния между фазными проводами 1,
2, 3 (номера 1, 2 и 3 соответствуют фазам А, В и С) в вертикальной плоскости
относительно земли, м (Рис. 5).
Рис. 5 - Разрез воздушной линии в середине пролета
Эквивалентный радиус расщепленной фазы определяется по формуле:
(3.3)
где n - число составляющих в фазе проводов, для линий напряжением
до 330 кВ n
= 1;
a = 0,4 - расстояние между проводами расщепленной фазы, м;
- радиус провода, м.
Расчет эквивалентного радиуса фазы по формуле (3.3):
Расчет среднего геометрического расстояния между фазными
проводами линии:
Расчет комплексного погонного сопротивления «прямой
последовательности» линии согласно (3.2):
Расчет комплексного полного сопротивления «прямой
последовательности» линии Л-1:
Расчет сопротивления «прямой последовательности» ВЛ:
Расчет напряжения смещения нейтрали по (3.1):
Расчет напряжения на фазах питающей линии при однофазном
коротком замыкании на фазе C:
Расчет абсолютных (модулей) значений напряжений на фазах:
Расчет коэффициента заземления Кз
(3.4)
где Umax - максимальное напряжение на
неповрежденной фазе, кВ;
Uном - номинальное линейное напряжение сети, кВ.
Так как в нашем случае напряжение фазы А больше напряжения
фазы В, то для расчета коэффициент заземления выбираем напряжение фазы А.
4.
Расчет электрической составляющей наведенного напряжения
Электрическая составляющая наведенного напряжения обусловлена
зарядами на фазных проводах влияющей линии от ЭДС системы. Для расчета зарядов
на фазных проводах влияющей линии рассчитаем обратную матрицу потенциальных
коэффициентов.
Рассчитаем собственные потенциальные коэффициенты по формуле:
(4.1)
где ε0 = 8,85∙10-12
- электрическая постоянная, Ф/м;
hi - средняя высота провода на землей, м;
i - номер провода ВЛ;
Расчет средней высоты провода на землей производится по
формуле:
(4.2)
где hiГ - расстояние от земли до точки крепления
гирлянды изоляторов к траверсе, м;
lг - длина гирлянды изоляторов, м
fпр - стрела провеса провода, м.
Расчет длины гирлянды изоляторов:
Расчет средней высоты провода над землей в соответствии с
(4.2):
Расчет собственных потенциальных коэффициентов по формуле
(4.1):
Рассчитаем взаимные потенциальные коэффициенты связи проводов
ВЛ по формуле:
(4.3)
где Dik - расстояние между i-м проводом и зеркальным
изображением в плоскости земли k-го провода (см. Рис. 5), м;
i, k - номер провода (i≠k).
Расчет расстояния между i-м проводом и зеркальным
изображением в плоскости земли k-го провода:
Расчет взаимных потенциальных коэффициентов связи проводов ВЛ
согласно формуле (4.3):
Запишем матрицу потенциальных коэффициентов связи воздушной
линии, которая выглядит следующим образом:

Расчет матрицы значений зарядов на проводах воздушной линии
при однофазном замыкании в сети:
На рисунке 6 представлен разрез ВЛ и одного из проводов РЛ в
середине пролета, на котором указаны геометрические параметры, необходимые для
дальнейших расчетов.
Для определения наведенного электростатического напряжения
нам необходимо рассчитать коэффициенты потенциальной связи влияющей линии и
ремонтируемой линии. Для расчета коэффициентов потенциальной связи
предварительно необходимо рассчитать расстояния от провода ремонтируемой линии
до провода влияющей линии в вертикальной плоскости относительно земли, а также
расстояния между проводом РЛ и зеркальным изображением в плоскости земли
провода ВЛ. Для расчетного случая выбираем провод 3 (фаза С) ремонтируемой
линии.
Расчет расстояний от провода ремонтируемой линии до провода
влияющей линии в вертикальной плоскости относительно земли производим по
формуле
(4.4)
где aрi - расстояние между 3
проводом ремонтируемой линии и проводами 1, 2 и 3 на влияющей линии в
горизонтальной плоскости относительно земли, м;
hр = h3 =14,537 м - средняя высота провода 3 над землей
ремонтируемой линии;
i = 1, 2, 3 - номера провода на влияющей линии,
соответствующие фазам А, В и С.
Расчет расстояния между 3 проводом ремонтируемой линии и
проводами 1, 2 и 3 на влияющей линии в горизонтальной плоскости относительно
земли:
Рис. 6 - Разрез влияющей линии и одного из проводов ремонтируемой
линии в середине пролета
Расчет расстояний от провода ремонтируемой линии до провода
влияющей линии в вертикальной плоскости относительно земли:
Расчет расстояний между проводом РЛ и
зеркальным изображением в плоскости земли провода ВЛ:
Расчет коэффициентов потенциальной
связи ВЛ и РЛ:
Расчет наведенного электростатического
напряжения (амплитудное значение):
5.
Расчет магнитной составляющей наведенного напряжения на заземленном проводе
линии, выведенной в ремонт в сети с эффективно заземленной нейтралью
Магнитная составляющая обусловлена магнитной связью с токами
«прямой», «обратной» и «нулевой последовательности», протекающими во влияющей
линии. Определяющим в несимметричном режиме будет влияние тока «нулевой
последовательности», так как его контур определяется глубиной проникновения
тока в землю.
Схема замещения участка сети до точки короткого замыкания
представлена на рисунке 4. Схема замещения необходима для расчета токов
короткого замыкания.
Комплексное сопротивление «прямой последовательности» известно
из предыдущих расчетов, поэтому необходимо рассчитать сопротивление «обратной»
и «нулевой последовательности»,
Так как параметры сети
симметричны, сопротивление «обратной последовательности» принимаем равным сопротивлению
«прямой последовательности»:
Комплексное погонное сопротивление
«нулевой последовательности» рассчитываем по формуле:
(5.1)
где ω = 2∙π∙f - круговая частота, рад/с;
Расчет эквивалентной глубины проникновения в землю обратного тока:
Расчет эквивалентного радиуса системы
трех проводов:
Расчет комплексного погонного
сопротивления «нулевой последовательности» производим по формуле (5.1):
Расчет комплексного полного сопротивления «нулевой
последовательности» линии на участке:
Расчет сопротивления «нулевой последовательности» ВЛ:
Для расчета токов короткого
замыкания необходимо включить в расчет параметры элементов сети от ЭДС системы
до точки короткого замыкания, в том числе соответствующее сопротивление
системы. Таким образом, находим полные сопротивления «прямой последовательности»,
«обратной последовательности» и «нулевой последовательности».
Расчет полных сопротивлений
«прямой», «обратной» и «нулевой последовательности»:
Для получения максимально
возможных значений для наведенного напряжения необходимо определить вид
несимметрии, при котором ток «нулевой последовательности» имеет наибольшее
значение.
Ток, протекающий в земле
(составляющая тока короткого замыкания на землю), при однофазном коротком
замыкании рассчитывается по формуле:
(5.2)
где ЕС - фазное ЭДС;
I(1)КЗ0 - ток «нулевой последовательности» в точке
короткого замыкания при однофазном коротком замыкании.
Расчет фазного ЭДС:

Расчет тока, протекающего в земле при однофазном коротком
замыкании по формуле (5.2):
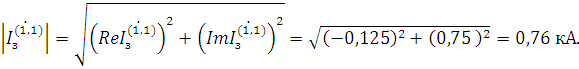
Расчет тока, протекающего в земле при двухфазном коротком
замыкании.
(5.3)
где
- ток «нулевой последовательности» в
точке короткого замыкания при двухфазном коротком замыкании.
Произведем расчет согласно (5.3):
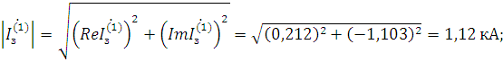
Расчет модулей токов, протекающих в земле при различных видах
коротких замыканий:
Необходимо выбрать наиболее опасный случай, то есть случай, в
котором ток будет иметь наибольшее значение. По данным расчета наиболее опасным
будет являться случай однофазного короткого замыкания.
Для нахождения необходимой магнитной составляющей наведенного
напряжения необходимо произвести расчет сопротивления между проводами влияющей
и ремонтируемой линии по каналу «нулевой последовательности». Для этого
необходимо найти расстояние между эквивалентным проводом ВЛ и эквивалентным
проводом РЛ в вертикальной плоскости относительно земли, а также расстояние
между эквивалентным проводом ВЛ и зеркальным отображением эквивалентного
провода РЛ с учетом глубины проникновения в землю обратного тока в вертикальной
плоскости относительно земли (см. рисунок 7).
Рис. 7 - Разрез эквивалентного провода ВЛ и РЛ в середине пролета
Расчет расстояния между эквивалентным проводом ВЛ и эквивалентным
проводом РЛ в вертикальной плоскости относительно земли производим по формуле:
(5.4)
где
- средняя геометрическая высота подвеса
трех проводов ВЛ, м;
- средняя геометрическая высота подвеса трех проводов РЛ, м;
aРВ -
расстояние между эквивалентным проводом ВЛ и РЛ в горизонтальной плоскости
относительно земли, м.
Для расчета расстояния aРВ необходимо посмотреть геометрию
расположения эквивалентного провода. Эквивалентный провод расположен в центре
плоской фигуры (см. рисунок 8). Три провода линии на опоре образуют
равнобедренный треугольник, то есть эквивалентный провод будет находиться в
центре тяжести треугольника и на медиане, проведенной из вершины 2 на основание
d13. Центр тяжести делит эту медиану в отношении 2:1 от
вершины. Сама медиана является разницей между длиной траверсы провода 2 и
траверсы провода 1 в горизонтальной плоскости и, соответственно, равна 1,5 м.
Рис. 8 - Расчет расположения эквивалентного провода
Тогда получается, что расстояние между эквивалентным проводом ВЛ и
РЛ в горизонтальной плоскости относительно земли вычисляется как
Расчет средней геометрической высоты подвеса трех проводов ВЛ и
РЛ:
Расчет расстояния между эквивалентным проводом ВЛ и
эквивалентным проводом РЛ в вертикальной плоскости относительно земли согласно
(5.4):
Расчет расстояния между эквивалентным проводом ВЛ и
зеркальным отображением эквивалентного провода РЛ с учетом глубины
проникновения в землю обратного тока в вертикальной плоскости относительно
земли:
Расчет активной составляющей взаимного сопротивления:
Расчет реактивной составляющей взаимного сопротивления:
Расчет комплексного погонного взаимного сопротивления:
Расчет ЭДС индукции:
(5.5)
где lРВ - длина участка сближения линий ВЛ и РЛ, км.
В данном расчетном случае РЛ и ВЛ расположены параллельно и
имеют одинаковую протяженность, следовательно за lРВ принимаем длину участка
линии l
= 89,8 км. Согласно формуле (5.5) получаем:
Расчет модуля ЭДС индукции:
Заключение
В ходе данной курсовой работы был проведен расчет
электрической и магнитной составляющих наведенного напряжения, которое
появляется на ремонтируемой линии в результате электромагнитного взаимодействия
с влияющей линией, проходящей параллельно ремонтируемой. В работе был
рассмотрен наиболее опасный случай работы - случай однофазного короткого
замыкания на землю на влияющей линии.
В результате расчетов получили, что значение
электростатической составляющей наведенного напряжения составляет UРВЭmax=21,38 кВ, значение
магнитной составляющей на заземленном проводе составляет EРВМmax=47,32 кВ. С учетом
величины наведенных напряжений, можно сделать вывод о том, что работа на
ремонтируемой линии представляет существенную опасность и угрозу для жизни и
здоровья обслуживающего персонала.
Список
использованных источников
1
Баумштейн И.А., Бажанов С.А. Справочник по электрическим установкам высокого
напряжения. - 3-е издание, переработанное и дополненное. - М.: Энергоатомиздат,
1989. - 768 с.
.
Инструкция по выбору изоляции электроустановок. РД 34.51.101-90/ Утверждено
Министерством энергетики и электрификации СССР 23.04.90 г.