Применение аналитической геометрии в экономике

  • Вид работы:
    Курсовая работа (т)
  • Предмет:
    Информационное обеспечение, программирование
  • Язык:
    Русский
    ,
    Формат файла:
    MS Word
    244,56 Кб
  • Опубликовано:
    2014-07-19
Вы можете узнать стоимость помощи в написании студенческой работы.
Помощь в написании работы, которую точно примут!

Применение аналитической геометрии в экономике

ФЕДЕРАЛЬНОЕ ГОСУДАРСТВЕННОЕ бюджетное

ОБРАЗОВАТЕЛЬНОЕ УЧРЕЖДЕНИЕ

ВЫСШЕГО ПРОФЕССИОНАЛЬНОГО ОБРАЗОВАНИЯ

«АМУРСКИЙ ГУМАНИТАРНО-ПЕДАГОГИЧЕСКИЙ

ГОСУДАРСТВЕННЫЙ УНИВЕРСИТЕТ»

(ФГБОУ ВПО «АмГПГУ»)

ФАКУЛЬТЕТ ИНФОРМАЦИОННЫХ ТЕХНОЛОГИЙ МАТЕМАТИКИ И ФИЗИКИ





ПРИМЕНЕНИЕ АНАЛИТИЧЕСКОЙ ГЕОМЕТРИИ В ЭКОНОМИКЕ

Направление: 010200 «Математика и компьютерные науки»

Курсовая работа

Демина Ольга Евгеньевна







 
Комсомольск-на-Амуре, 2013

Работа выполнена на кафедре математики федерального государственного бюджетного образовательного учреждения высшего профессионального образования «Амурский гуманитарно-педагогический государственный университет»

Научный руководитель: Леднёва Е. А. старший преподаватель кафедры математики

Защита курсовой работы состоится: « 28 » мая 2013 г. в 13ч. 20 мин.

Оценка ___________________              __________________________

(подпись руководителя)

ОГЛАВЛЕНИЕ

Введение

Глава 1. Элементы аналитической геометрии

.1 Арифметическое точечное пространство

.2 Прямая в  Отрезок

.3 Различные виды плоскостей в пространстве

Глава 2. Линейное программирование

.1 Общая задача оптимизации. Линейное программирование

.2 Геометрия задачи линейного программирования

.3 Строение множества оптимальных решений

.4 Графический метод решения задачи линейного программирования при малом количестве переменных

Заключение

Библиографический список

Введение

Современная математика характеризуется интенсивным проникновением в другие науки, во многом этот процесс происходит благодаря разделению математики на ряд самостоятельных областей. Язык математики оказался универсальным, и это есть объективное отражение универсальности законов окружающего нас многообразного мира.

Экономика как наука об объективных причинах функционирования и развития общества еще со времен Адама Смита пользуется разнообразными количественными характеристиками, а потому вобрала в себя большое число математических методов. Современная экономика использует специальные методы оптимизации, составляющие основу математического программирования, сетевого планирования, теории массового обслуживания и других прикладных наук.

Изучение математических дисциплин и их экономических приложений, составляющих основу актуальной экономической математики, позволит будущему специалисту не только приобрести необходимые базовые навыки, используемые в экономике, но и сформировать компоненты своего мышления: уровень, кругозор и культуру. Все это понадобится для успешной работы и для ориентации в будущей профессиональной деятельности.

Глава 1. Элементы аналитической геометрии

.1       Арифметическое точечное пространство

Определение 1.

Любую последовательность (, , …, ) из n чисел будем называть арифметической точкой, а сами числа , , …,  - координатами этой точки.

Арифметические точки будем обозначать А, В, … . Например

А=(-1, 6, 7, 0) - арифметическая точка, имеющая четыре координаты. Точку (0, 0, … , 0) будем называть началом координат и обозначать О.

Определение 2.

Пусть А и В - две арифметические точки с одним и тем же числом n координат:

А=(, , …, ), В=(, , …, ).

Будем называть вектором  арифметический вектор

(, , , …, )

И говорить, что точка А есть начало, а точка В - конец вектора

Иначе говоря, координаты вектора  равны разностям между

соответствующими координатами конца и начала вектора. Очевидно, какова бы ни была точка А, координаты вектора  совпадают с координатами самой точки А.

Определение 3.

Множество всех арифметических точек с n координатами, в которым каждым двум точкам А и В указным выше способом сопоставлен вектор , называют n-мерным арифметическим точечным пространством и обозначают  (n-мерное аффинное пространство).

Теорема.

Для любых трех точек А, В, С из  справедливо равенство:

+=

Доказательство.

Имеем:


Теорема доказана.

Одним из важнейших «геометрических» понятий, связанных с

пространством , является операция, называемая «откладывание вектора от точки».

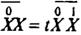
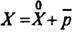
Определение 4.

Пусть А=(, , …, ) точка из  и =(,…, ) - вектор из . Отложить вектор  от точки А означает найти такую точку В, что бы выполнялось равенство =. (Рис. 1)

Рис. 1

Таким образом, имеем:

=+=+

Или в координатах: координаты точки В получаются из координат точки А прибавлением соответствующих координат вектора .

1.2     Прямая в  Отрезок

линейный программирование графический оптимизация

Определение 1.

Пусть - фиксированная точка из  и  - фиксированный вектор из , отличный от 0. Множество точек вида

 (1)

Где t - любое число, называется прямой проходящей через точку  по направлению вектора  или просто прямой.

Если , то равенство (1)

запишется в виде набора равенств

 (2)

Равенства (2) называют параметрическими уравнениями прямой (t -

параметр, t), вектор  - направляющим вектором прямой.


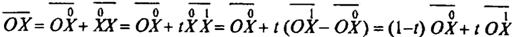
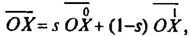
Определение 2.

Пусть две точки из . Отрезком назовем множество точек Х вида:

 (3)

Где t принимает любое значение из промежутка [0 ; 1]

Таким образом, отрезок есть часть прямой, когда в качестве направляющего вектора берется вектор а t изменяется только от 0 до 1 (Рис.2)

Рис. 2

Теорема (об отрезке).

Отрезок состоит из точек Х, для которых справедливо равенство:

 (4)

Где s - любое число из [0 ; 1].

Доказательство.

Из равенства (4) имеем , откуда следует


Полагая, что 1- t=s, приходим к равенству (4), где s [0 ; 1].

Теорема доказана.

1.3     Различные виды плоскостей в пространстве

К числу основных «геометрических» образов в , кроме прямых,

относятся еще и плоскости. Однако если при n=3 имеется лишь один вид плоскостей, то при n>3 возможны плоскости различных типов: одномерные, двухмерные, трехмерные и т. д.

Определение 1.

Пусть k - натуральное число, - фиксированная точка в  и , , …, - фиксированный набор линейно независимых векторов из . Множество точек Х вида:

 (5)

Где , , … ,  - любые числа, называется k-мерной плоскостью в .

К этому определению мы могли бы добавить условие kn.

Действительно, в пространстве  просто не существует линейно независимых систем векторов с числом векторов, большим, чем n. Случай kn тоже не интересен, так как n-мерная плоскость совпадает со всем пространством . Действительно, если , , …,  - линейно независимая система векторов в , то это - базис в  и поэтому любой вектор  может быть представлен в виде + … +. Но тогда имеем где  - любой вектор из , т. е. Х может быть любой точкой из .

Итак в определении k-мерной плоскости в  можно считать

.

Особое значение имеют два вида плоскостей: одномерные (k=1) и

(n-1) - мерные (k=n-1), т. е. плоскости минимально возможной размерности и плоскости максимально возможной размерности. Одномерные плоскости - это прямые в . Плоскости размерности  носят название гиперплоскостей.

Теорема.

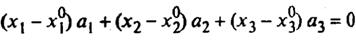
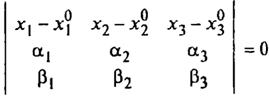
Любая гиперплоскость в пространстве  состоит из точек Х=(, , … , ), координаты которых удовлетворяют некоторому уравнению первой степени:

+…++b=0,

где , … ,, b - фиксированные числа, причем не все , … , равны нулю.

Доказательство. (проведем его для случая n=3)

Пусть Г - гиперплоскость в , т. е. множество точек Х вида:

 (6)

где векторы  и  линейно независимы. Переписав равенство (6) в виде:


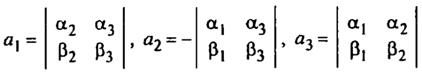
мы видим, что векторы линейно зависимы. Но условием зависимости трех векторов в  является равенство нулю определителя из координат этих векторов. Полагая, что =(,) и =(,), можем записать

 (7)

или

 (8)

где


Раскрывая скобки в (8), приходим к уравнению

++b=0

где , что и требовалось доказать.

Глава 2. Линейное программирование

.1 Общая задача оптимизации. Линейное программирование

На практике постоянно встречаются такие ситуации, когда достичь

какого-то результата можно не одним, а многими различными способами. В подобной ситуации может оказаться человек, например, когда он решает вопрос о распределении своих расходов, и целое предприятие или даже отрасль, если необходимо определить, как использовать имеющиеся в их распоряжении ресурсы, чтобы добиться максимального выхода продукции. При большом количестве решений выбирается наилучшее. Математически это обычно сводится к нахождению наибольшего или наименьшего значения некоторой функции, т. е. к задаче: найти max (min) f(x) при условии, что переменная х пробегает некоторое данное множество Х. Пишут так:

f(x) max (min), хХ (1)

Определенная таким образом задача называется задачей оптимизации.

Множество Х называется допустимым множеством данной задачи, а функция f(x) - целевой функцией.

В большинстве случаев точка х задается набором из нескольких чисел:

х=(, ,… ,)

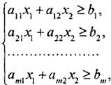
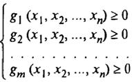
Очень многое зависит от того, в каком виде задается допустимое множество Х. Во многих случаях Х выделяется из  с помощью системы неравенств:

(2)

где , ,… ,  - заданные функции в .

Иначе говоря, Х есть множество точек (, ,… ,),

удовлетворяющих системе неравенств (2).

В этом случае задача оптимизации примет вид:

Даны функция n переменных f(, ,… ,) и система неравенств (2). Требуется найти max (min) f(x) при условиях (2):

f(, ,… ,) max (min) при условиях (2).

Понятно, что следует найти не только само значение max (min) f, но и

точку или точки, если их несколько, в которых это значение достигается. Такие точки называются оптимальными решениями. Множество всех оптимальных решений будем называть оптимальным множеством и обозначать .

Задачи подобного рода получили название задачи математического

программирования. При этом функцию f называют целевой функцией, а неравенства - ограничениями. В большинстве случаев в число ограничений входят условия неотрицательности переменных:

  … ,

или части переменных.

В зависимости от характера функций f, , … ,  различают разные

виды математического программирования. Наиболее простой и часто встречающийся случай - когда эти функции являются линейными, т. е. каждая из них имеет вид:

+…++b=0.

Рассмотрим несколько примеров задач линейного программирования.

.        Задача о банке (пример из книги Дж. Синки «Управление финансами в коммерческом банке»)

Пусть собственные средства в банке в сумме с депозитами составляют 100 млн. долл. Часть этих средств, но не менее 35 млн. долл. должна быть размещена в кредитах. Кредиты являются неликвидными активами банка, так как в случае непредвиденной потребности в наличности обратить кредиты в деньги без существенных потерь невозможно.

Другое дело ценные бумаги, особенно государственные. Их можно в любой момент продать, получив некоторую прибыль. Поэтому существует правило, согласно которому коммерческие банки должны покупать в определенной пропорции ликвидные активы - ценные бумаги, чтобы компенсировать неликвидность кредитов. В нашем примере ликвидное ограничение таково: ценные бумаги должны составлять не менее 30% средств, размещенных в кредитах и ценных бумагах.

Пусть х - средства (млн. долл.), размещенные в кредитах, у - средства, вложенные в ценные бумаги.

Имеем следующую систему линейных ограничений:

)        х + у 100 - балансовое ограничение;

)        х  35 -кредитное ограничение;

)        у  0,3(х + у) - ликвидное ограничение

)        х , у

Цель банка состоит в том, чтобы получит максимальную прибыль от кредитов и ценных бумаг:

f =  +   max при условиях 1) - 4)

где  - доходность кредитов,  - доходность ценных бумаг.

Так как кредиты менее ликвидны, чем ценные бумаги, то обычно . Мы пришли к задаче линейного программирования с ограничениями 1) - 4) и целевой функцией f, которую требуется максимизировать.

2. Задача о диете.

Из имеющихся в нашем распоряжении видов пищи требуется составить такую диету, которая, с одной стороны, удовлетворяла бы минимальные потребности организма в питательных веществах (белках, жирах, углеводах, минеральных солях, витаминах), с другой - требовала бы наименьших затрат.

Рассмотрим простую математическую модель этой задачи.

Пусть имеется два вида продуктов: П1 и П2, содержащих питательные вещества А, В, С. Известно, сколько питательного вещества того или иного вида содержится в 1 кг продуктов П1 и П2: эти сведения указаны в таблице


A

B

C

в 1 кг П1

a1

b1

c1

в 1 кг П2

a2

b2

c2


Кроме этих данных, нам известны: а, b, с - ежесуточные потребности организма в А, В, С (соответственно) и s1, s2 - стоимости 1 кг продуктов П1и П2 (соответственно). Требуется рассчитать количество х1 продукта П1 и количество х2 продукта П2 так, чтобы обеспечить необходимое количество питательных веществ при минимальных затратах на продукты.

Так как s1- стоимость одного кг продукта П1, то x1× s1 - стоимость х1 кг продукта П1;

аналогично х2s2 - стоимость х2 кг продукта П2, следовательно общая стоимость продуктов, которую надо минимизировать будет f (х)= sl х1 + s2 х2.

3. Задача об использовании ресурсов.

Предприятие имеет в своем распоряжении определенное количество ресурсов разного рода: рабочую силу, деньги, сырье, оборудование, производственные ресурсы, площади и т.п. Допустим, например, ресурсы трех видов R1, R2, R3 имеются в количестве соответственно b1, b2, b3 условных единиц. Предприятие выпускает два вида товаров T1, T2, причем известно, сколько единиц каждого ресурса требуется для производства одной единицы каждого товара. Пусть аij - число единиц ресурса Ri(i =1, 2, 3), необходимое для производства единицы товара Tj(j= 1, 2).

Известно, что доход, получаемый предприятием от единицы каждого товаров, соответственно равен с1, с2. Требуется при данных ресурсах выпустить такую комбинацию товаров, при которой доход предприятия оказался бы максимальным. Обозначим через х1, х2 соответственно количества товаров Т12. Очевидно, доход предприятия f = с1x12х2.

4. Транспортная задача.

Уголь, добываемый в нескольких месторождениях, отправляется ряду потребителей: заводам, электростанциям и т.п. Известно, сколько угля добывается в каждом месторождений, скажем, за месяц, и сколько его требуется на тот же срок любому из потребителей. Известны расстояния между месторождениями и потребителями, а также условия сообщения между ними; учитывая эти данные, можно подсчитать во что обходится перевозка каждой тонны угля из любого месторождения в любой пункт потребления. Требуется при этих условиях спланировать перевозки угля таким образом, чтобы затраты на них были минимальными.

Примем для простоты, что имеются лишь два месторождения М,,М2 и три потребителя П1, П 2, П 3. Количество угля в М1 и в М2 равно соответственно a1 и а2; запросы потребителей П1, П2, П3 пусть будут соответственно b1, b2, b3. Будем считать, что суммарные запасы равны суммарным потребностям: a12 = b1 +b2 + b3 (такое предположение вполне естественно). Наконец, заданы числа сij (i =1, 2, j= 1,2,3) - стоимости перевозки тонны угля из Mi в Пj. Задача состоит в нахождении шести чисел х11, x12, x13, x21, x22, x23, где xij - количество угля, предназначенное к отправке из Мi в П j.

Для удобства обозрения составим такую таблицу:


П1

П2

П3

Всего отправлено

М1

x11

x12

x13

a1

М2

x21

x22

x23

a2

b1

b2

b3



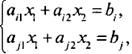
Дадим теперь общую формулировку задачи линейного программирования.

Пусть S - система линейных ограничений (т. е. линейных уравнений или нестрогих линейных неравенств) с n переменными , ,… ,, а f(х) - целевая функция вида:

+…++с.

Требуется решить задачу

f(x) min при условиях S.

Обычно система S включает в себя условия неотрицательности всех переменных:

  … , , (3)

что вытекает из реального экономического смысла чисел , ,… ,. Будем называть эти условия тривиальными ограничениями.

Наиболее часто встречаются две разновидности задачи линейного программирования.

.        Каноническая задача линейного программирования.

В этом случае система S, помимо тривиальных ограничений (3) включает в себя только уравнения. Примером может служить транспортная задача линейного программирования.

.        Стандартная задача линейного программирования.

Это означает, что система S состоит только из неравенств, в число которых входят тривиальные ограничения (3). Примером могут служить задачи о банке, диете, использовании ресурсов.

Указанные две разновидности сводятся одна к другой. Покажем сначала, как свести стандартную задачу к канонической.

Пусть имеется стандартная задача линейного программирования (задача А):

+…+ min при условиях S,

где S- заданная система линейных неравенств, включающая (3). Обозначим число нетривиальных неравенств в системе S через т и рассмотрим любое из них:

+…++b0. (4)

Введем новую дополнительную переменную и заменим неравенство (4) двумя ограничениями: уравнением

+…++b=

и условием 0.

Если указанную замену произвести с каждым нетривиальным неравенством системы S, то получим новую систему , состоящую из уравнений, а также условий неотрицательности всех переменных: исходных , ,…,, а также дополнительных , ... , . Отметим, что дополнительные переменные , ... ,  обычно называют балансовыми.

Задачу   min при условиях S, назовем задачей В.

Легко убедиться в эквивалентности задач А и В: любое оптимальное решение задачи А дает оптимальное решение задачи В, если к значениям переменных , ,…, добавить значения балансовых переменных. Обратно, любое оптимальное решение задачи В, если отбросить значения балансовых переменных, дает оптимальное решение задачи А.

2.2 Геометрия задачи линейного программирования

Рассмотрим задачу линейного программирования по отысканию максимума (или минимума) линейной функции f(x) = (с, х) на допустимом множестве X, заданном с помощью системы S линейных ограничений (уравнений или нестрогих неравенств).

Напомним, что множество Х , заданное с помощью линейных ограничений в называют выпуклой многогранной областью в . Таким образом, геометрический смысл задачи линейного программирования состоит в отыскании максимума (минимума) заданной линейной функции f(x) на заданном выпуклом множестве X

Будем говорить, что целевая функция в задаче линейного программирования ограничена, если в задаче на максимум целевая функция ограничена на допустимом множестве сверху, а в задаче на минимум - снизу.

Сформулируем без доказательства два основных свойства задачи линейного программирования.

Теорема 1.

Если в задаче линейного программирования допустимое множество не пусто и целевая функция ограничена, то существует хотя бы одно оптимальное решение.

При исследовании задачи линейного программирования важную роль играет понятие угловой точки. Напомним, что точка X называется угловой точкой множества X, если она не является внутренней точкой ни для какого отрезка АВ, целиком содержащегося в X.

Теорема 2.

Если в задаче линейного программирования f(x) max(min) при условии хX допустимое множество X имеет хотя бы одну угловую точку, а целевая функция f(x) ограничена, то угловая точка X, в которой f(x) принимает наибольшее (наименьшее) значение среди всех угловых точек X, является оптимальным решением данной задачи.

Из теоремы 2 вытекает, что задачу линейного программирования с

ограниченной целевой функцией и не слишком большим числом угловых точек, можно решать применяя следующий метод (метод перебора вершин): находятся все угловые точки допустимого множества и среди этих точек находится точка с оптимальным (максимальным или минимальным) значением целевой функции. Найденная точка и есть оптимальное решение (может не единственное).

Указанный способ решения задачи линейного программирования, как правило, требует громоздких вычислений.

Полезна также следующая лемма (без доказательства).

Лемма 1.

Пусть X - множество всех оптимальных решений задачи линейного программирования f(x) = (с, х) max при условии х X. Тогда всякая угловая точка множества X является угловой точкой допустимого множества.

2.3 Строение множества оптимальных решений

Напомним, что допустимое ограниченное множество X в задаче линейного программирования является выпуклым многогранником. Имеет место следующая лемма о строении выпуклых многогранников.

Лемма 1.

Выпуклый многогранник совпадает с выпуклой оболочкой своих угловых точек.

Покажем, что справедлива следующая теорема о строении множества X

Теорема 1.

Если в задаче линейного программирования допустимое множество X не пусто и ограничено, то такая задача разрешима, а множество всех оптимальных решений является выпуклой оболочкой оптимальных угловых точек X.

Доказательство.

В силу ограниченности X найдется такое число М, что для любой точки хX все ее координаты по модулю не превосходят М: ||< М, ||< М, ... , ||< М. Пусть f(x) = (с, х) - целевая функция, а С = max{ ||, ||, ... ,|| } - наибольшее значение модуля ее коэффициентов. Имеем неравенство:


Значит, f(x) ограничена и сверху, и снизу на X. По теореме 1 из параграфа 2.2 имеется хотя бы одно оптимальное решение, т.е. задача линейного программирования разрешима. Пусть - множество всех оптимальных решений. Так как  подмножество X, то - ограниченное множество. По лемме 1 множество совпадает с выпуклой оболочкой своих угловых точек.

По лемме 1 из параграфа 2.2. угловые точки являются и угловыми точками множества X.

Теорема доказана.

2.4 Графический метод решения задачи линейного программирования при малом числе переменных

Решение задачи линейного программирования в случае двух переменных.

Пусть область допустимых решений X задается системой неравенств вида:


а целевая функция f =  Требуется найти максимум (или минимум) f на множестве X, а также точку, в которой достигается этот максимум (или минимум).

При описании графического метода используется понятие линии

уровня: линией уровня функции f (х, у) называется множество всех точек

(х, у) в которых эта функция принимает некоторое постоянное значение . Для линейной функции f =  все линии уровня являются прямыми, перпендикулярными общему вектору нормали = ().

Графический метод состоит в следующем.

. Строится множество X всех допустимых решений.

. Если X пустое множество, то задача не имеет решения.

. Если множество Х не пусто , то рассматриваются прямые уровня f =  при монотонном изменении  от - до . При увеличении α прямая f =  смещается параллельно в направлении вектора . Если А - первая точка встречи прямой уровня с областью X, f (А)= , то прямая уровня f (х)=  при  <  не имеет общих точек с X. Значит, что  = minf на X. Аналогично, если А - последняя точка пересечения линии уровня с X, то

 (А) = max f на X.

Если первой точки пересечения линии уровня с X не существует, т.е. при всех  из некоторого промежутка вида [-,] прямая f =  пересекает X, то min f = - на X, и задача на минимум не имеет решения.

Таким образом, из чертежа всегда видно, разрешима задача или нет. Из чертежа также видно, имеются ли у допустимого множества X вершины. Отметим, что отсутствие вершины - явление редкое. Непустое допустимое множество X без вершин может быть только двух видов:

) X - полуплоскость;

) Х- область, ограниченная двумя параллельными прямыми.

Если у X имеется хотя бы одна вершина, то при ограниченной целевой функции оптимальное значение можно найти методом перебора вершин. Для вычисления целевой функции в некоторой вершине V допустимого множества X необходимо знать точное значение ее координат. Для определения координат вершины V решаем систему линейных уравнений вида:


где i и j - номера прямых, ограничивающих область X, на пересечении которых находится вершина V.

При использовании графического метода можно избежать полного перебора вершин. Действительно, если из чертежа видно, что А - единственная первая (или последняя) точка пересечения линии уровня с X, то не нужно вычислять координаты других вершин, так как А - единственное оптимальное решение. В некоторых случаях из чертежа не ясно, в какой именно точке линия уровня пересекает в первый раз допустимое множество X. В этом случае нужно найти координаты всех "подозрительных" на оптимальность вершин, вычислить для указанных вершин их значения целевой функции и выбрать из них вершины с оптимальным значением. Заметим, что могут быть две оптимальные вершины А и В. Тогда множество всех оптимальных решений  - весь отрезок АВ.

Пусть  = maxf (или  = minf) - оптимальное значение f на множестве X. Множество  - подмножество линии уровня f = , причем множество выпукло как пересечение выпуклых множеств. Поэтому возможны лишь следующие случаи:

а) - точка на прямой уровня f =;

б) - отрезок на прямой уровня f =;

в) - луч, лежащий на прямой f =;

г) совпадает с прямой уровня f =.

Пример 1.

Задача о банке.

Пусть собственные средства в банке в сумме с депозитами составляют 100 млн. долл. Часть этих средств, но не менее 35 млн. долл. должна быть размещена в кредитах. Кредиты являются неликвидными активами банка, так как в случае непредвиденной потребности в наличности обратить кредиты в деньги без существенных потерь невозможно.

Другое дело ценные бумаги, особенно государственные. Их можно в любой момент продать, получив некоторую прибыль. Поэтому существует правило, согласно которому коммерческие банки должны покупать в определенной пропорции ликвидные активы - ценные бумаги, чтобы компенсировать неликвидность кредитов. В нашем примере ликвидное ограничение таково: ценные бумаги должны составлять не менее 30% средств, размещенных в кредитах и ценных бумагах.

Пусть х - средства (млн. долл.), размещенные в кредитах, у - средства, вложенные в ценные бумаги.

Имеем следующую систему линейных ограничений:

)        х + у 100 - балансовое ограничение;

)        х  35 -кредитное ограничение;

)        у  0,3(х + у) - ликвидное ограничение

)        х , у

Цель банка состоит в том, чтобы получит максимальную прибыль от

кредитов и ценных бумаг:

f =  +   max при условиях 1) - 4)

где  - доходность кредитов,  - доходность ценных бумаг.

Так как кредиты менее ликвидны, чем ценные бумаги, то обычно . Мы пришли к задаче линейного программирования с ограничениями 1) - 4) и целевой функцией f, которую требуется максимизировать.

Решение

рис. 1

Областью решений указанных неравенств будет треугольник ABC, изображенный на рис. 1. Построим вектор  и прямую уровня, перпендикулярную вектору  и проходящую через начало координат. Перемещая эту прямую параллельно в направлении вектора , найдем последнюю точку пересечения прямой уровня и допустимого множества X. Это будет точка С и ее координаты получаются при решении следующей системы линейных уравнений:


Итак, оптимальный портфель активов (точка максимума) есть

 ()= (70;30). Максимальная прибыль составит


Пример 2.

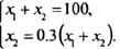
Требуется максимизировать линейную форму при ограничениях:

Решение.

рис. 2

Заменяя знаки неравенств на знаки точных равенств, построим область решений по уравнениям прямых:

(рис. 2).

Областью решений неравенств является треугольник MNP. Построим

вектор  = (2;2). Тогда линия уровня при выходе из треугольника решений пройдет через точку Р(3,  ), а значит в точке Р линейная функция  принимает наибольшее значение, т.е. максимизируется

Случай трех переменных

Для функции f() аналогом линии уровня является поверхность

уровня, т.е. множество всех точек трехмерного пространства , в которых функция f() принимает определенное значение. Для функции вида:

 =++

всякая поверхность уровня - это плоскость с вектором нормали  = (). Будем считать, что допустимое множество не пусто и решение задачи на min (max) существует. Если эту плоскость f =  передвигать параллельно самой себе в положительном направлении вектора , то линейная функция f =++ будет возрастать, а в противоположном направлении убывать. Пусть при движении плоскости f =  в положительном направлении вектора  она впервые встретится с многогранником решений в его вершине, тогда в этом положении , плоскость f =, становится опорной и на этой плоскости функция f принимает наименьшее значение. При дальнейшем движении в том же направлении (положительном) плоскость f =  пройдет через другую вершину многогранника решений, и выходя из области решений, также станет опорной плоскостью f = ; на ней функция f принимает наибольшее значение на многограннике решений. Опорная плоскость может иметь с многогранником решений бесконечное множество общих точек, которые являются ребром или гранью многогранника.

Пример 3.

Найти наибольшее значение функции

при ограничениях:

Решение.

Построим область решений системы неравенств по уравнениям плоскостей: Областью решений будет многогранник MNPQRS (рис. 3).

рис. 3

Построим вектор  = (2;6;6) . При перемещении плоскости f = в

положительном направлении вектора  она выйдет из многогранника решений в точке N(4;3;0) .Поэтому в точке N линейная функция  примет наибольшее значение, т.е.

Заключение

Аналитическая геометрия, как раздел математики, является не только средством решения прикладных задач, но и универсальным языком науки, базисным элементом общей и профессиональной культуры современного экономиста и менеджера. Изучение математических дисциплин должно приводить, в результате, к формированию у студента - будущего специалиста целостного представления о месте и роли математики в современном мире, о ее внутренней структуре, о взаимосвязях ее разделов, моделей и методов, о ее возможностях при решении конкретных прикладных задач экономики и менеджмента.

Библиографический список

·        Математические методы и модели в экономике: Учеб. пособие / Минюк С. А., Ровба Е. А., Кузьмич К. К. - Мн.: ТетраСистемс, 2002. - 432 с. ISBN 985-470-010-0.

·        Математика в экономике: Учебник: В 2-х ч. Ч. 1. Солодовников А. С., Бабайцев В. А., Браилов А. В. - М.: Финансы и статистика, 2000 -224с.: ил. ISBN 5-279-01943-7

·        Математика для экономического бакалавриата: Учебник. - М.: Дело, Красс М. С., Чупрынов Б. П., 2005. - 576 с.

Похожие работы на - Применение аналитической геометрии в экономике

 

Не нашли материал для своей работы?
Поможем написать уникальную работу
Без плагиата!
Без нейросетей!