Основы построения системы риск-менеджмента на предприятии
Оглавление
Введение
1 Основы построения системы риск-менеджмента
.1 Сущность и функции риск-менеджмента. Стратегия и
тактика
.2 Виды рисков. Методы оценки рисков
.3 Приёмы и способы снижения степени рисков
Анализ рисков в системе финансового менеджмента
.1 Организационно-экономическая характеристика ООО
«Рабочий-1»
.2 Характеристика рисков в управлении финансами
предприятия
.3 Оценка информационных рисков
Заключение
Список использованных источников
Введение
финансы управление риск
менеджмент
Каждая компания стремится к максимизации эффективности своей
деятельности, что требует сознательного принятия набора рисков, вызванных
воздействием как внешних, так и внутренних факторов. Риски являются
неотъемлемой составляющей любой деятельности.
Риск-менеджмент сегодня представляет систематический и последовательный
процесс разработки и реализации мероприятий по предотвращению или уменьшению
негативного воздействия рисков, а также по использованию потенциальных
возможностей с целью повышения финансового благосостояния и эффективности
деятельности компании.
Главной задачей риск-менеджмента является обеспечение руководства
компании информацией о ее бизнес-позиционировании при принятии управленческих
решений, направленных на минимизацию воздействия факторов риска и получение
наиболее стабильных и эффективных результатов.
Актуальность темы исследования обусловлена тем, что эффективное
руководство предприятием в современных условиях невозможно без методов анализа,
базирующихся на теории и практике управления рисками.
Целью является исследование построения системы риск-менеджмента на
предприятии.
Задачи работы:
раскрыть теоретические аспекты риск-менеджмента и сущность рисков;
рассмотреть классификацию рисков и способы минимизации рисков
провести анализ системы риск-менеджмента на предприятии.
Объектом исследования является Строительная компания ООО
"РАБОЧИЙ-1". Предметом исследования - система риск-менеджмента
компании.
1
Основы построения системы риск-менеджмента
1.1 Сущность и функции риск-менеджмента. Стратегия и тактика
Согласно государственному стандарту РФ ГОСТ Р 51897-2002 «Менеджмент
риска. Термины и определения» риск - это сочетание вероятности события и его
последствий. Термин "риск" обычно используют тогда, когда существует
возможность негативных последствий. В некоторых ситуациях риск обусловлен
возможностью отклонения от ожидаемого результата или события. Результатом
события может быть одно или более последствий. Последствия, в свою очередь,
могут быть ранжированы от позитивных до негативных, выражены качественно или
количественно. Критерии риска могут включать в себя сопутствующие стоимость и
выгоды, законодательные и обязательные требования, социально-экономические и
экологические аспекты, озабоченность причастных сторон, приоритеты и другие
затраты на оценку. Менеджментом риска государственный стандарт называет
скоординированные действия по руководству и управлению организацией в отношении
риска. [3]
Система менеджмента риска предприятия предусматривает связь всех
факторов, причин и видов риска, обязательный учет взаимосвязи всех элементов
системы управления рисками: анализ и оценка рисков, мероприятия по снижению их
негативного воздействия, формализация механизмов подготовки управленческих
решений и анализ их эффективности. [1]
В основе риск-менеджмента лежат целенаправленный поиск и организация
работы по снижению степени риска, искусство получения и увеличения дохода
(выигрыша, проигрыша) в неопределенной хозяйственной ситуации. Конечная цель
риск-менеджмента соответствует целевой функции предпринимательства. Она
заключается в получении наибольшей прибыли при оптимальном, приемлемом для
предпринимателя соотношении прибыли и риска. Риск-менеджмент представляет собой
систему управления риском и экономическими, точнее финансовыми, отношениями,
возникающими в процессе этого управления.
Риск-менеджмент как система управления состоит из двух подсистем:
управляемой подсистемы (объекта управления) и управляющей подсистемы (субъекта
управления). Объектом управления в риск-менеджменте являются риск, рисковые
вложения капитала и экономические отношения между хозяйствующими субъектами в
процессе реализации риска. К этим экономическим отношениям относятся отношения
между страхователем и страховщиком, заемщиком и кредитором, между
предпринимателями (партнерами, конкурентами) и т.п. Субъект управления в риск -
менеджменте - это специальная группа людей (финансовый менеджер, специалист по
страхованию, аквизитор, актуарий, андеррайтер и др.), которая посредством
различных приемов и способов управленческого воздействия осуществляет
целенаправленное функционирование объекта управления.
Процесс воздействия субъекта на объект управления, т.е. сам процесс
управления, может осуществляться только при условии циркулирования определенной
информации между управляющей и управляемой подсистемами. В риск-менеджменте
получение надежной и достаточной в данных условиях информации играет главную
роль, так как оно позволяет принять конкретное решение по действиям в условиях
риска. [4]
Риск-менеджмент выполняет два типа функций:
функции объекта управления;
функции субъекта управления.
К функциям объекта управления в риск-менеджменте относится организация:
- разрешения риска;
рисковых вложений капитала;
работы по снижению величины риска;
процесса страхования рисков;
экономических отношений и связей между субъектами хозяйственного
процесса.
К функциям субъекта управления в риск-менеджменте относятся:
прогнозирование;
организация;
регулирование;
координация;
стимулирование;
контроль.
Прогнозирование в риск-менеджменте представляет собой разработку на перспективу
изменений финансового состояния объекта в целом и его различных частей.
Прогнозирование - это предвидение определенного события. В динамике риска
прогнозирование может осуществляться как на основе экстраполяции прошлого в
будущее с учетом экспертной оценки тенденции изменения, так и на основе прямого
предвидения изменений. Эти изменения могут возникнуть неожиданно.
Организация в риск-менеджменте представляет собой объединение людей,
совместно реализующих программу рискового вложения капитала на основе
определенных правил и процедур. К этим правилам и процедурам относятся:
создание органов управления, построение структуры аппарата управления,
установление взаимосвязи между управленческими подразделениями, разработка
норм, нормативов, методик и т.п. [4] В процессе организации риск-менеджмента
должны быть соответствующие регламенты и организационно-распорядительными
документы, что позволит анализировать и контролировать риски, готовить отчеты и
рекомендации в стандартизированной форме. В число основных документов компании
по риск-менеджменту должны входить: «Декларация риск-менеджмента» («Положение
по управлению риском», «Политики управления рисками»), «Руководство по
риск-менеджменту» («Стандарт по управлению рисками»), «Программа управления
рисками».
«Декларация риск-менеджмента» предполагает изложение в письменном виде
ключевых моментов относительно стратегии, целей и принципов управления рисками,
разграничения полномочий между разными структурными подразделениями,
закрепления роли и ответственности по управлению за конкретными лицами.
«Руководство по риск-менеджменту» включает в себя различные нормативные,
инструктивные и рабочие материалы, регулирующие процесс управления рисками с
момента их выявления до момента порядка установления лимитов по выявленным
рискам. «Программа управления рисками» должна носить максимально конкретный
характер, описывая выявленные риски и методы влияния на них. Промежуточные
материалы, возникающие и/или используемые в процессе подготовки программы,
рекомендуется прикладывать в качестве приложений к документу. [13]
Регулирование в риск-менеджменте представляет собой воздействие на объект
управления, посредством которого достигается состояние устойчивости этого
объекта в случае возникновения отклонения от заданных параметров. Регулирование
охватывает главным образом текущие мероприятия по устранению возникших
отклонений.
Координация в риск-менеджменте представляет собой согласованность работы
всех звеньев системы управления риском, аппарата управления и специалистов.
Координация обеспечивает единство отношений объекта управления, субъекта
управления, аппарата управления и отдельного работника.
Стимулирование в риск-менеджменте представляет собой побуждение
финансовых менеджеров и других специалистов к заинтересованности в результате
своего труда.
Контроль представляет собой проверку организации работы по снижению
степени риска. Посредством контроля собирается информация о степени выполнения
намеченной программы действия, доходности рисковых вложений капитала,
соотношении прибыли и риска, на основании которой вносятся изменения в
финансовые программы, организацию финансовой работы, организацию
риск-менеджмента. Контроль предполагает анализ результатов мероприятий по
снижению степени риска.
Риск-менеджмент включает стратегию и тактику управления. Под стратегией
управления понимаются направление и способ использования средств для достижения
поставленной цели. Этому способу соответствует определенный набор правил и
ограничений для принятия решения. Стратегия позволяет сконцентрировать усилия
на вариантах решения, не противоречащих принятой стратегии, отбросив все другие
варианты. После достижения поставленной цели стратегия как направление и
средство ее достижения прекращает свое существование. Новые цели ставят задачу
разработки новой стратегии. Тактика - это конкретные методы и приемы для
достижения поставленной цели в конкретных условиях. Задачей тактики управления
является выбор наиболее оптимального решения и наиболее приемлемых в данной
хозяйственной ситуации методов и приемов управления.
.2 Виды рисков. Методы оценки рисков
Выявление и классификация факторов риска является фундаментальным этапом
построения системы риск-менеджмента на предприятии, т.к. именно на результатах
данного этапа основывается вся дальнейшая работа.
Существуют различные виды риска в зависимости от того объекта или
действия, рисковость которого оценивается. [11, с.78]
Политический риск - это возможность возникновения убытков или сокращения
размеров прибыли, являющихся следствием государственной политики. Таким образом,
политический риск связан с возможными изменениями в курсе правительства,
переменами в приоритетных направлениях его деятельности. Учет данного вида
риска особенно важен в странах с неустоявшимся законодательством, отсутствием
традиций и культуры предпринимательства. Политический риск с неизбежностью
присущ предпринимательской деятельности, от него нельзя уйти, можно лишь верно
оценить и учесть. Политические риски можно подразделить на четыре группы:
риск национализации и экспроприации без адекватной компенсации;
риск трансферта, связанный с возможными ограничениями на конвертирование
местной валюты;
риск разрыва контракта из-за действий властей страны, в которой находится
компания-контрагент;
-риск военных действий и гражданских беспорядков.
Технический риск определяется степенью организации производства,
проведением превентивных мероприятий (регулярной профилактики оборудования, мер
безопасности), возможностью проведения ремонта оборудования собственными силами
предпринимательской фирмы. К техническим рискам относятся:
вероятность потерь вследствие отрицательных результатов
научно-исследовательских работ;
вероятность потерь в результате недостижения запланированных технических
параметров в ходе конструкторских и технологических разработок;
вероятность потерь в результате низких технологических возможностей
производства, что не позволяет освоить результаты новых разработок;
вероятность потерь в результате возникновения при использовании новых
технологий и продуктов побочных или отсроченных во времени проявления проблем;
вероятность потерь в результате сбоев и поломки оборудования и т. д.
Технический риск относится к группе внутренних рисков, то есть предприниматель
может оказывать на данные риски непосредственное влияние.
Производственный риск связан с производством продукции, товаров и услуг;
с осуществлением любых видов производственной деятельности, в процессе которой
предприниматели сталкиваются с проблемами неадекватного использования сырья,
роста себестоимости, увеличения потерь рабочего времени, использования новых
методов производства. К основным причинам производственного риска относятся:
снижение намеченных объемов производства и реализации продукции
вследствие снижения производительности труда, простоя оборудования, потерь
рабочего времени, отсутствия необходимого количества исходных материалов,
повышенного процента брака производимой продукции;
снижение цен, по которым планировалось реализовывать продукцию или
услугу, в связи с ее недостаточным качеством, неблагоприятным изменением
рыночной конъюнктуры, падением спроса;
увеличение расхода материальных затрат в результате перерасхода
материалов, сырья, топлива, энергии, а так же за счет увеличения транспортных
расходов, торговых издержек, накладных и других побочных расходов;
рост фонда оплаты труда за счет превышения намеченной численности либо за
счет выплат более высокого, чем запланировано, уровня заработной платы
отдельным сотрудникам;
увеличение налоговых платежей и других отчислений в результате изменения
ставки налогов в неблагоприятную для предпринимательской фирмы сторону и их
отчислений в процессе деятельности;
низкая дисциплина поставок, перебои с топливом и электроэнергией;
физический и моральный износ оборудования отечественных предприятий.
Коммерческий риск - это риск, возникающий в процессе реализации товаров и
услуг, произведенных или купленных предпринимателем. Основные причины
коммерческого риска:
снижение объемов реализации в результате падения спроса или потребности
на товар, реализуемый предпринимательской фирмой, вытеснение его конкурирующими
товарами, введение ограничений на продажу;
повышение закупочной цены товара в процессе осуществления
предпринимательского проекта;
непредвиденное снижение объемов закупок в сравнении с намеченными, что
уменьшает масштаб всей операции и увеличивает расходы на единицу объема
реализуемого товара (за счет условно постоянных расходов);
потери товара;
потери качества товара в процессе обращения (транспортировки, хранения),
что приводит к снижению его цены;
повышение издержек обращения в сравнении с намеченными в результате
выплаты штрафов, непредвиденных пошлин и отчислений, что приводит к снижению
прибыли предпринимательской фирмы. Коммерческий риск включает в себя:
а) риск, связанный с реализацией товара (услуг) на рынке;
б) риск, связанный с транспортировкой товара (транспортный);
в) риск, связанный с приемкой товара (услуг) покупателем;
г) риск, связанный с платежеспособностью покупателя;
д) риск форс-мажорных обстоятельств.
Под финансовым понимается риск, возникающий при осуществлении финансового
предпринимательства или финансовых сделок, исходя из того, что в финансовом
предпринимательстве в роли товара выступают либо валюта, либо ценные бумаги,
либо денежные средства. К финансовому риску относятся: валютный риск, кредитный
риск, инвестиционный риск. Валютный риск - это вероятность финансовых потерь в
результате изменения курса валют, которое может произойти в период между
заключением контракта и фактическим производством расчетов по нему. Валютный
риск включает в себя три разновидности: экономический риск, риск перевода, риск
сделок. Кредитный риск связан с возможностью невыполнения предпринимательской
фирмой своих финансовых обязательств перед инвестором в результате
использования для финансирования деятельности фирмы внешнего займа.
Инновационный риск - это вероятность потерь, возникающих при вложении
предпринимательской фирмой средств в производство новых товаров и услуг,
которые, возможно, не найдут ожидаемого спроса на рынке. Инновационный риск
возникает в следующих ситуациях:
при внедрении более дешевого метода производства товара или услуги по
сравнению с уже использующимися. В данной ситуации фирма сталкивается лишь с
одним видом риска - возможной неправильной оценкой спроса на производимый
товар;
при создании нового товара или услуги на старом оборудовании. В этом
случае к риску неправильной оценки спроса на новый товар или услугу добавляется
риск несоответствия качества товара или услуги в связи с использованием старого
оборудования;
при производстве нового товара или услуги при помощи новой техники и
технологии. В данной ситуации инновационный риск включает в себя: риск того,
что новый товар или услуга может не найти покупателя; риск несоответствия
нового оборудования и технологии необходимым требованиям для производства
нового товара или услуги; риск невозможности продажи созданного оборудования,
так как оно не подходит для производства иной продукции, в случае неудачи.
Отраслевой риск - это вероятность потерь в результате изменений в
экономическом состоянии отрасли и степенью этих изменений как внутри отрасли,
так и по сравнению с другими отраслями. При анализе отраслевого риска
необходимо учитывать следующие факторы:
деятельность фирм данной отрасли, а также смежных отраслей за
определенный (выбранный) период времени;
насколько деятельность фирм данной отрасли устойчива по сравнению с
экономикой страны в целом;
каковы результаты деятельности различных предпринимательских фирм внутри
одной и той же отрасли, имеется ли значительное расхождение в результатах.
Безрисковых операций в бизнесе практически не бывает. Поэтому становятся
актуальными: (а) умение оценить риск и (б) выбор способов противодействия
риску, т. е. выбор стратегии и тактики поведения в отношении потенциально
рисковых операций. [11, с. 83]
Любая финансовая операция может быть охарактеризована с позиции дохода и
(или) доходности, на которые может рассчитывать лицо, инициировавшее эту
операцию. Риск, связанный с операцией, означает вероятность неполучения
желаемых или ожидаемых значений целевых показателей. Хотя отклонение фактических
значений от ожидаемых может быть любым по знаку. Возможны ситуации, когда
фактическое значение дохода (доходности) окажется ниже желаемого значения.
Теоретически можно оценивать вероятность недостижения целевого значения,
однако, факторы, влияющие на значение целевого показателя, действуют как в
«положительном», т. е. благоприятном, так и в «отрицательном», т. е.
неблагоприятном, направлениях. В этих условиях задача оценки легко
формализуется следующим образом. Имеется целевое значение некоторого показателя;
требуется дать характеристику отклонения возможных фактических значений от этой
цели. Из курса статистики известно, что подобную характеристику можно получить
с помощью показателей вариации, количественно описывающих вариабельность
оцениваемого признака. Таким образом, в приложении к финансовым операциям речь
идет об оценке вариабельности ожидаемого дохода (доходности), а в качестве
критериев оценки можно использовать такие статистические коэффициенты, как
размах вариации, дисперсия, среднее квадратическое отклонение, называемое
иногда стандартным, и коэффициент вариации. Дадим краткую характеристику
показателям. [11, с. 83]
Рассмотрим ряд статистических величин (это могут быть как абсолютные, так
и относительные величины): X1, Х2, Х3, .., Хn.
Размахом вариации называется разность между максимальным и минимальным
значениями признака данного ряда:
R = Хmaх - Xmin (2.20)
Этот показатель имеет много недостатков. Во-первых, он дает грубую оценку
степени вариации значений признака. Во-вторых, он является абсолютным
показателем и потому его применение в сравнительном анализе весьма ограничено.
В-третьих, его величина слишком зависит от крайних значений ранжированного
ряда.
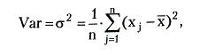
Дисперсия является средним квадратом отклонений значений признака от его
средней и рассчитывается по формуле:

(2.21)
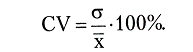
Среднее квадратическое отклонение показывает среднее отклонение значений
варьирующего признака относительно центра распределения, в данном случае средней
арифметической. Этот показатель рассчитывается по формуле:
(2.22)
Все вышеприведенные показатели обладают одним общим недостатком - это
абсолютные показатели, значение которых существенно зависит от абсолютных
значений исходного признака ряда. Поэтому большее применение имеет коэффициент
вариации, рассчитываемый по формуле:
(2.23)
В отношении оценки риска финансовых активов необходимо сделать три
замечания. Во-первых, как отмечалось выше, количественно риск может оцениваться
вариабельностью либо дохода, либо доходности. Поскольку доход в абсолютной
оценке может существенно варьировать при сравнительном анализе различных
финансовых активов, то принято в качестве базисного показателя,
характеризующего результативность операции с финансовым активом, использовать
не доход, а доходность. Распространенность и пригодность в сравнительном
анализе этих статистик в данном случае объясняется тем обстоятельством, что
базисным показателем при расчетах является доходность, т. е. относительный
показатель, сопоставимый как в динамике, так и по различным видам активов.
Поэтому независимо от анализируемых активов соответствующие им показатели
доходности и дисперсии однопорядковы и нет острой необходимости применять в
оценке коэффициент вариации. Приведенные формулы рассчитаны на дискретные ряды.
В приложении к финансовым активам они могут применяться в ретроспективном
анализе. При оценке риска используют модификации формул (2.21) и (2.22), в
которых весами значений ожидаемой (или требуемой) доходности являются вероятности
их появления.
Оценивая риск, следует иметь в виду, что с течением времени риск,
ассоциируемый с данным активом, возрастает. Отсюда можно сделать очень важный
вывод: чем более долговременным является данный вид актива, тем он более
рискован, тем большая вариация доходности с ним связана. [11, с.84]
Оценка рисков организации является наиболее сложным этапом при построении
системы риск-менеджмента. Наиболее рациональным представляется осуществление
оценки рисков в следующей последовательности:
. качественная оценка рисков;
. количественная оценка рисков;
. определение толерантности к рискам;
. составление карты рисков.
Как правило, качественная оценка направлена на выявление взаимосвязи
основных видов, факторов и причин рисков. Она представляет собой оценку условий
и источников возникновения рисков, в ходе которой проводится анализ факторов и
выявляются наиболее рискоопасные области с целью определения количественной
структуры основных рисков компании.
При анализе факторов следует обратить внимание на сферу их проявления,
степень их влияния на достижение поставленных целей, вероятность проявления
отдельных факторов риска, а также их взаимосвязь.
Качественная оценка - это более простой способ, но менее точный и
надежный. Поэтому по возможности компания должна также использовать
количественное измерение степени влияния рисков, которое проводится на основе
их качественного анализа и состоит в определении численных величин отдельных
видов риска и риска деятельности организации в целом.
Выбор того или иного метода зависит от различных факторов, в частности,
от вида оцениваемого риска, от того, с какой позиции рассматриваются сущность
риска, его влияние на результаты деятельности предприятия, от наличия
возможности получения исходной информации и ее объема. В зависимости от полноты
используемой информации методы оценки рисков можно объединить в три группы с
учетом следующих условий:
определенности, когда в наличии имеется полная информация о рисковой
ситуации (например, в виде бухгалтерской отчетности);
частичной неопределенности, когда информация существует в виде частот
наступления рисковых событий;
полной неопределенности, когда информация о выявленных рисках полностью
отсутствует.
В первом случае используют расчетно-аналитические методы оценки рисков
(абсолютные, относительные и средние показатели); во втором -
экономико-статистические и вероятностные (модель Марковица, точечная и
интервальная оценка показателей, метод VaR, метод Risk Metrics, анализ
сценариев развития событий: метод «дерево решений» и метод «Монте-Карло»), а
также рейтинговые и аналоговые методы; в третьем - рейтинговые, аналоговые и
экспертные (индивидуальная экспертная оценка, коллективная экспертная оценка:
метод «мозговой атаки», метод Дельфи и т.д.). В завершении должно быть
произведено разделение рисков на существенные риски, реализация которых может
повлечь за собой серьезные последствия (как отрицательные, так и положительные)
для компании, и несущественные, которые также принимаются во внимание и
подлежат пересмотру в следующем цикле процесса риск-менеджмента, но на данном
этапе не оказывают принципиального влияния на финансовое благосостояние
организации.
После проведения качественной и количественной оценки рисков, следует
определить допустимый размер рисков, к которому компания готова на данном этапе
своего развития, то есть уровень толерантности. В практической деятельности
уровень толерантности к рискам часто определяют как некую фиксированную сумму,
в пределах которой компания готова рисковать (например, в фиксированном
процентном отношении к плановому показателю операционной прибыли на текущий
год, в размере отведенной под это величины резервов и т.п.).
Выявленные и оцененные риски компании следует наносить на карту рисков.
На практике она обычно строится на основании таких параметров, как вероятность
воздействия рисков и величина потерь (ущерба) в абсолютном или относительном
выражении. Она делится на несколько областей таким образом, что риски,
попадающие в одну область, являются одинаково опасными для компании. Основное
значение карты рисков заключается в их расположении по отношению к границам
толерантности. В результате этого разрабатывается стратегия и конкретный план
действий по переводу рисков из зон умеренного и катастрофического рисков в
допустимую зону, что является одним из основных условий повышения стабильности
и эффективности деятельности организации. [7]
Для предпринимателя важно знать действительную стоимость риска, которому
подвергается его деятельность. Под стоимостью риска следует понимать
фактические убытки предпринимателя, затраты на снижение величины убытков или
затраты по возмещению убытков и их последствий. Правильная оценка
риск-менеджером действительной стоимости риска позволяет ему объективно
представить объем убытков и наметить путь по их уменьшению. [10]
Затраты на покрытие ущерба делятся на прямые и косвенные. Прямые затраты
легко оценить. К ним относятся затраты на ремонт поврежденного имущества,
выплаты за ущерб третьим лицам. Косвенные затраты оценить труднее. Они включают
в себя потерю имиджа, потери из-за брака, затраты, связанные с ухудшением
здоровья персонала, потери из-за прерывания деловой активности. Потери, которые
может понести компания при попадании в негативную ситуацию:
экономические;
потеря репутации;
потери времени.
Для проведения оценки рисков необходимо провести описание рисков. Для
этого многими экспертами рекомендуется карта риска - графическое и текстовое
описание рисков организации. Карта рисков делает их очевидными, позволяет
оценить ситуацию и принять решение. С ее помощью легко можно найти путь
достижения целей бизнеса с наименьшим риском. [10, с.23]
Одним из вариантов построения карты рисков является матрица
"вероятность - потери". Наиболее распространенной является матрица
размером 5x5 (то есть состоящая из 5 ячеек вероятности и 5 ячеек потери). По
одной оси указывают силу воздействия риска (ущерб от него), а по другой -
вероятность возникновения. Арабские цифры на карте обозначают риски, которые
были классифицированы по пяти категориям значимости и пяти категориям
вероятности. Выявленный риск размещается в специальную отдельную ячейку.
Каждому интервалу на шкале вероятностей и шкале потерь присваивается значение в
баллах от 1 до 5 на основании Таблицы 1.
Таблица 1 - Классификация рисков по вероятности возникновения
|
Виды рисков
|
Вероятность возникновения
(P)
|
|
Количественный подход
|
Качественный подход
|
|
|
Pq (баллы)
|
P (в долях единицы)
|
|
|
Слабовероятные
|
1
|
0,0 < P <= 0,1
|
Событие может произойти в
исключительных случаях
|
|
Маловероятные
|
2
|
0,1 < P <= 0,4
|
Редкое событие, но, как
известно, уже имело место
|
|
Вероятные
|
3
|
0,4 < P <= 0,6
|
Наличие свидетельств,
достаточных для предположения возможности события
|
|
Почти возможные
|
4
|
0,6 < P <= 0,9
|
Событие может произойти
|
|
Возможные
|
5
|
0,9 < P < 1,0
|
Событие, как ожидается,
произойдет
|
Например, вероятность воздействия риска нарушения графиков поставок сырья
при строительстве была оценена экспертами в 0,9 балла. На основании таблицы 1
данному интервалу вероятности (0,9 < P < 1,0) соответствует 5 баллов.
Аналогично оцениваются и потери. Возможные потери более 90% от плановой прибыли
оцениваются в 5 баллов, а, например, потери от 40% до 60% плановой прибыли по
объекту оцениваются в 3 балла. В этом случае прибегают к Таблице 2. Допустим,
возможные потери были оценены экспертами в 80% от плановой прибыли (что
соответствует 4 баллам).
Таблица 2 - Классификация рисков по величине потерь
|
Виды рисков
|
Величина потерь
|
|
|
I (балл)
|
в % от плановой прибыли
|
|
Минимальные
|
1
|
0% < I <= 10%
|
|
Низкие
|
2
|
10% < I <= 40%
|
|
Средние
|
3
|
40% < I <= 60%
|
|
Высокие
|
4
|
60% < I <= 90%
|
|
Максимальные
|
5
|
90% < I <= 100%
|
Таким образом, для каждого риска определяется величина возможных потерь и
вероятность возникновения в баллах, которые обозначают соответствующую строку и
столбец в матрице.
На их пересечении получаем ячейку с индексом риска (Ir).
Другое его название - ранг риска. Он определяется по формуле:
Ir = P x I
Для предыдущего примера риск нарушения графиков поставок сырья
классифицируется как возможный риск (P = 5 баллов), ожидаемая величина потерь
(I = 4 балла). Следовательно, индекс риска будет равен: Ir = 20.
Это позволяет сделать вывод о том, что уровень данного риска является
непереносимым (таблица 6) , а степень воздействия критической (таблица 5)
Этот риск требует немедленного плана проведения работ по его минимизации
для предотвращения срыва реализации проекта.
Таблица 3 - Классификация рисков по степени воздействия
|
Степень воздействия
|
Индекс риска
|
Описание
|
|
Критические
|
20 <= Ir <= 25
|
Существует очень большая
вероятность приостановления работ по проекту.
|
|
Существенные
|
12 <= Ir <= 16
|
В результате действия этих
рисков увеличивается продолжительность выполнения работ по проекту. Эти риски
недопустимы.
|
|
Умеренные
|
9 <= Ir <= 10
|
Приводят к увеличению работ
по проекту. Требуют проведения мероприятий по снижению.
|
|
Незначительные
|
5 <= Ir <= 8
|
Увеличивают
продолжительность и объем выполнения работ в рамках бюджета и плановых сроков
завершения проекта. Они быстро устранимы, допустимы при реализации проекта.
|
|
Игнорируемые
|
1 <= Ir <= 4
|
Данные риски не оказывают
какого-либо воздействия на реализацию проекта.
|
|
|
|
Таблица 4 - Классификация рисков по уровню воздействия
|
Риски
|
Индекс риска
|
Уровень риска
|
|
Непереносимый
|
12 <= Ir <= 25
|
Риск первичный для
обработки. Должен настойчиво обрабатываться, пока его уровень не снизится до
приемлемого. Должен находиться под постоянным контролем и постоянно
переоцениваться.
|
|
Оправданный
|
6 <= Ir <= 10
|
Риск вторичный для
обработки. Риск с оправданным уровнем должен обрабатываться, пока его уровень
не снизится до приемлемого.
|
|
Приемлемый
|
1 <= Ir <= 5
|
Рассматривается к принятию.
Проводится его постоянная переоценка.
|
Индекс риска дает возможность судить о степени воздействия и уровне
риска. Степень воздействия показывает серьезность негативных последствий в
будущем и показывает будущее развитие событий в процессе реализации проекта.
Уровень риска характеризует степень его приемлемости для компании и
показывает, нуждается ли данный риск в нейтрализации или нет. Если в нашем
проекте выявлены недопустимые риски, то они обрабатываются в первую очередь.
Чтобы оценить вероятные потери, необходимо рассчитать степень воздействия
каждого риска, а чтобы знать о необходимости нейтрализации - уровень каждого
риска.
Рассмотрим процесс построения карты рисков. Он состоит из нескольких
этапов:
. Идентификация рисков - это определение рисков, которые могут оказать
влияние на проект, направление деятельности или компанию в целом. Для
проведения данной процедуры необходимо обладать информацией. Прежде всего, о
конечном продукте. Например, если устанавливаются риски проекта, необходимо
знать его сроки исполнения, его стоимость, потребность в персонале, поставщиков
(их надежность, могут ли они изменить цены). Для составления карты рисков
применяются такие методы, как интервью, формализованные и неформализованные
опросники, обзоры и исследования отрасли, анализ документационного комплекта
компании, численные методы оценки и т.п. Важным моментом при оценке рисков
является количественный анализ финансовой отчетности. Карту рисков можно
построить либо для всей компании, либо для какого-либо подразделения. Кроме
того, карты рисков могут быть составлены для направления деятельности
предприятия или для отдельного проекта. Анализ рисков позволяет оценить общую
картину уязвимости компании, то есть выявить все угрозы непрерывности ее
работы. Подобная процедура в компании должна проводиться регулярно.
. Описание и оценка рисков. На этом этапе команда прибегает к мозговому
штурму. Выявленные риски ранжируются, составляется их письменное описание,
которое заносят в специальную таблицу. Подобная таблица заполняется каждым
экспертом.
Таблица 5 - Экспертная оценка риска
|
N
|
Объект риска
|
Название риска
|
Фактор риска
|
Вероятность возникновения
|
Ущерб от риска
|
Индекс риска (Ir = B x Y)
|
|
1
|
|
|
|
|
|
|
|
…
|
.
|
|
|
|
|
|
|
10
|
|
|
|
|
|
|
Каждому риску присваивают идентификационный номер. Ключевыми моментами
являются такие графы таблицы, как "уязвимость" компании (объект
риска), факторы риска и его последствия (вероятность и ущерб от риска). Как
вероятность риска, так и ущерб могут быть определены как в качественных, так и
в количественных терминах.
Следующий шаг в процессе оценки рисков - составление сводной таблицы на
основании данных всех экспертов. Экспертам может быть присвоен уровень
компетентности, который является конфиденциальным. Например, по пятибалльной
шкале: 5 - экспертам с самым высоким уровнем компетентности и 1 - с самым
низким. Эту таблицу заполняет директор департамента управления рисками.
Таблица 6 - Экспертная оценка риска с учетом компетентности эксперта
|
Ф. И.О. эксперта
|
Уровень компетентности
эксперта (баллы)
|
Индекс риска (баллы)
|
Учет компетентности
эксперта
|
|
1
|
2
|
3
|
4
|
|
|
|
(4) = (2) x (3)
|
|
Эксперт 1 - Петров
|
5
|
|
|
|
…
|
|
|
|
|
Эксперт 6
|
|
|
|
|
|
|
|
Заключительный шаг в построении карты - размещение рисков на карту рисков
на основании рангов их воздействия и ранга вероятности. Каждый риск рабочая
группа размещает в соответствующую ячейку. На карте определяют те риски,
которые требуют постоянного контроля. Те угрозы, которые находятся ниже
границы, в настоящее время считаются приемлемыми, но это вовсе не означает, что
ими вовсе не нужно управлять [10].
Главным этапом при построении общей системы риск-менеджмента является
разработка методики непосредственно по управлению рисками, поскольку именно
управление рисками прямо направлено на защиту деятельности организации от их
негативного воздействия.
.3 Приёмы и способы снижения степени рисков
В риск-менеджменте принято выделять несколько ключевых этапов:
выявить риск и оценить вероятность его реализации и масштаба последствий
[5];
разработать риск-стратегию с целью снижения вероятности реализации риска
и минимизации возможных негативных последствий;
выбрать методы и инструменты управления выявленным риском;
непосредственное управление риском;
оценить достигнутые результаты и скорректировать риск-стратегию.
Деятельность предприятия так или иначе связана с риском, и задачей
руководства предприятия является снижение риска. Для этого используются
различные способы.
Диверсификация - это распределение капиталовложений между разнообразными
видами деятельности, результаты которых между собой непосредственно не связаны.
Предприятие, неся убытки по одному виду деятельности, может получить прибыль
по-другому. Диверсификация позволяет повысить устойчивость предприятия к изменениям
в предпринимательской среде.
Страхование - это передача определенных рисков страховой компании. Для
снижения степени риска используются имущественное страхование и страхование от
несчастных случаев. Первое может иметь следующие формы: страхование риска
подрядного строительства, страхование оборудования, страхование грузов и др.
второе включает страхование общей гражданской ответственности и страхование
профессионально ответственности.
Широко используется такой вид страхования, как хеджирование - страхование
цены товара от риска либо нежелательного для производителя ее падения, либо
невыгодного для потребителя увеличения. По целям и технике проведения операции
выделяют: хеджирование продажей, т.е. заключение производителем или
товаровладельцем фьючерсного контракта в целях страхования от снижения цены при
продаже в будущем товара, либо уже имеющегося в наличии, либо еще не
произведенного, но предусмотренного к обязательно поставке в определенный срок;
хеджирование покупкой, т.е. заключение потребителем или продавцом фьючерсного
контракта для страхования от увеличения цены при покупке в будущем необходимого
товара.
Лимитирование предполагает установление лимита - определенных сумм
расходов, продажи товаров в кредит, вложения капитала и т.п.
Резервирование средств на покрытие непредвиденных расходов предполагает
установление соотношения между потенциальными рисками и размерами расходов,
необходимых для преодоления последствий этих рисков. Такой способ обычно
пригоден при выполнении различных проектов. В общем случае резерв используют
для финансирования дополнительных работ, компенсации непредвиденных изменений
материальных и трудовых затрат, накладных расходов и других затрат, возникающих
в процессе осуществления проекта.
Распределение риска предполагает его разделение между участниками
проекта. Рост размеров и продолжительности инвестирования, внедрение новых
технологий, высокая динамичность внешней среды увеличивают риск проекта.
Способом разделения риска является операция факторинга. В практике зарубежных банков
развитие факторинговых операций связано главным образом с потребностью
отдельных поставщиков в ускоренном поступлении платежей, которые представляются
сомнительными. Как правило, в этих ситуациях имеет место риск неуплаты
претензий плательщиком вообще. Банк, выкупивший такие претензии, может понести
убытки. Операции факторинга относятся к операциям повышенного риска. Размер
комиссионного вознаграждения зависит как от степени риска (уровня
«сомнительности» выкупаемого долга), так и от длительности договорной отсрочки.
В некоторых случаях он доходит до 20% суммы платежа.
Любое управленческое решение принимают в условиях, когда результаты не
определены и информация ограничена. Следовательно, чем полнее информация, тем
больше предпосылок сделать лучший прогноз и снизить риск. Стоимость полной
информации рассчитывают как разность между ожидаемой стоимостью какого-нибудь
мероприятия, когда имеют полную информацию, и ожидаемой стоимостью, когда она
неполная.
Можно сделать вывод, что общими в хозяйственной практике являются два
основных принципа снижения риска:
не рисковать больше, чем позволяет собственный капитал,
не забывать о последствиях риска.
Ключевым этапом риск-менеджмента считается этап выбора методов и
инструментов управления риском [8].
Анализ рисков в системе финансового менеджмента
2.1 Организационно-экономическая характеристика ООО «Рабочий-1»
Строительная компания ООО "РАБОЧИЙ-1" была зарегистрирована
Администрацией г. Южно-Сахалинска 13 января 2000 года. Организационно-правовая
форма предприятия - общество с ограниченной ответственностью. Строительная
компания ООО "РАБОЧИЙ-1" действует в соответствии с Гражданским
Кодексом Российской Федерации, Федеральным законом РФ "Об обществах с
ограниченной ответственностью" и иным действующим законодательством РФ в
целях насыщения строительного рынка Сахалинской области, создания новых рабочих
мест, а также получения прибыли.
Основным видом деятельности Общества является - деятельность в области
строительства. Услуги, осуществляемые компанией, в соответствии с Уставом:
Выполнение строительно-монтажных работ;
Подготовка строительной площадки;
Возведение несущих и ограждающих конструкций зданий и сооружений;
Работы по устройству наружных инженерных сетей и оборудования;
Работы по защите конструкций и оборудования;
Отделочные работы;
Транспортное строительство;
Осуществление функций генерального подрядчика, инжиниринг;
Выполнение функций заказчика;
Земляные работы, гражданское строительство;
Выполнение научно-технических, проектно-изыскательских, конструкторских и
монтажных работ;
Разработка градостроительной документации;
Выполнение проектных работ для зданий и сооружений;
Строительство всех видов дорог их оснований и поверхностей, мостов,
строительно-монтажные и ремонтные работы зданий и сооружений и прочих объектов
и др.
Предприятие является успешной, стабильно работающей организацией. Об этом
свидетельствует динамика показателей, представленная в Таблице 7. и
рассчитанных по данным бухгалтерского баланса и отчета о прибылях и убытках за
2009-2011 гг.
Таблица 7 - Основные показатели деятельности ООО "РАБОЧИЙ-1",
тыс. руб.
|
Наименование показателя
|
2009 г.
|
2010 г.
|
2011 г.
|
Изменение 2011 г. к 2009 г.
|
|
|
|
|
абсолютное, тыс. руб.
|
относи тельное, %
|
|
Выручка
|
86975,3
|
83535,5
|
60931,1
|
-26044,2
|
-30
|
|
Себестоимость проданных
работ, услуг, продукции
|
83396,9
|
78238,4
|
55132,6
|
-28264,3
|
-33,9
|
|
Валовая прибыль
|
3578,4
|
5297,1
|
5798,5
|
+2220,1
|
+62
|
|
Прибыль от продаж
|
3578,4
|
5297,1
|
5798,5
|
+2220,1
|
+62
|
|
Внереализационные доходы
|
3700
|
2467
|
10189
|
+6489
|
+175
|
|
Прочие операционные расходы
|
4254
|
3006
|
5744
|
1490
|
+35
|
|
Внереализационные расходы
|
25
|
89
|
164
|
+139
|
+556
|
|
Прибыль до налогообложения
|
2999,4
|
4669,1
|
10079,5
|
+236
|
|
Налог на прибыль
|
719,8
|
1120,6
|
2015,9
|
+1699,2
|
+236
|
|
Чистая прибыль
|
2279,6
|
3548,5
|
8063,6
|
+5380,9
|
+236
|
|
Рентабельность продаж, %
|
2,6
|
4,2
|
13,2
|
+10,6
|
+407,7
|
|
Среднегодовая стоимость ОПФ
|
9778
|
9553,3
|
8992,8
|
-785,2
|
-8
|
|
Фондоотдача, руб.
|
8,9
|
8,7
|
6,8
|
-2,1
|
-23,6
|
|
Фондорентабельность, %
|
36,6
|
55,4
|
64,5
|
+27,9
|
+76,2
|
|
Среднесписочная
численность, чел.
|
109
|
109
|
111
|
+2
|
+1,8
|
|
Производительность, руб.
/чел.
|
797,9
|
766,4
|
548,9
|
-249
|
-31,2
|
|
Среднегодовой ФОТ, тыс.
руб.
|
74934,5
|
88542,7
|
94999
|
20064,5
|
+26,8
|
|
Рентабельность персонала, %
|
4,8
|
6
|
6,1
|
+1,3
|
+27,1
|
|
Средний остаток оборотных
средств, т.р.
|
17569
|
14535
|
14928,1
|
-2640,9
|
-15
|
|
Коэффициент оборачиваемости
|
20,2
|
17,4
|
24,5
|
4,3
|
21,3
|
|
Продолжительность одного
оборота, дн.
|
18
|
21
|
15
|
-3
|
-16,7
|
ООО "РАБОЧИЙ-1" значительно улучшило результативность своей
деятельности в 2011 г. по отношению к 2009 г. Причем произошло это за счет
снижения себестоимости. Так, например, выручка уменьшилась на 26044,2 тыс. руб.
или на 30 %. В то же время сократилась себестоимость работ на 28264,3 тыс.
рублей или 33,9 %. Вследствие сокращения себестоимости валовая прибыль
увеличилась на 2220,1 тыс. рублей или на 62 %.
Увеличение операционных доходов и расходов, внереализационных доходов
привело к увеличению прибыли в совокупности с прибылью от продаж на 7080,1 тыс.
рублей или на 236 %, т.е. почти в 3,4 раз. В результате чистая прибыль
предприятия увеличилась на 5380,9 тыс. рублей или на 236 %. Рост чистой прибыли
- 5380,9 тыс. руб. или 236 %. В свою очередь рост чистой прибыли при сокращении
выручки вызвал существенное изменение рентабельности продаж, которая
увеличилась с мизерного в 2009 году уровня в 2,6 % до 12,5 % в 2011 году.
Среднегодовая стоимость основных производственных фондов за три года
снизилась - на 8 %, однако за счет того, что выручка сократилась более
существенно - на 30 %, произошло снижение показателя фондоотдачи на 23,8 %.
Однако вследствие роста прибыли от продаж, рентабельность ОПФ увеличилась на
76,2 %.
Производительность персонала за рассматриваемый период сократилась на
31,2 %, что в некоторой степени произошло за счет роста среднесписочной
численности работников со 109 человек до 111, и, в основном, за счет снижения
выручки. Поскольку рентабельность персонала увеличилась в условиях роста фонда
оплаты труда, составившего 26,8 %, на 27,1 %, то эффективность использования
персонала можно как высокую.
Коэффициент оборачиваемости увеличился за счет сокращения среднегодового
остатка оборотных средств, причем, в условиях сокращения выручки, что
свидетельствует о росте эффективности использовании оборотных средств,
высвобождения их излишка и более рациональном использовании. В результате,
продолжительность одного оборота сократилась на три дня с 18 до 15 дней, что
является благоприятной тенденцией. Предприятие в целом можно признать
экономически эффективным, поскольку главный показатель результативности
функционирования предприятия - прибыль, увеличивается.
.2 Характеристика рисков в управлении финансами предприятия
Задачей финансового управления на ООО "Рабочий-1" является не
только определение оптимального соотношения источников капитала, но и создание
условий для сохранения и увеличения финансовой устойчивости предприятия. При
этом необходимо понимать, что финансовая устойчивость ООО "Рабочий-1"
представляет собой такое состояние финансовых ресурсов, при котором
обеспечивается рост прибыли и капитала при условии допустимого финансового
риска.
Риски финансовой деятельности предприятия в целом включают в себя
комплекс различных рисков, которые могут возникнуть при осуществлении
предприятием финансовой деятельности. Данные риски зависят от
организационно-правовой формы предприятия, от структуры его капитала и активов
и других факторов. Например, одной из причин возникновения риска снижения
финансовой устойчивости предприятия ООО "Рабочий-1", является
несовершенство структуры капитала, в результате которого возникает
несбалансированность положительного (входящего) и отрицательного (исходящего)
денежных потоков.
Рассмотрим классификацию рисков данного предприятия. Резкое снижение
выручки указывает на наличие проблем с качеством производства, покупателями и
заказчиками строительной компании.
Опережающее снижение себестоимости услуг указывает на переход компании на
малозатратные работы, что содержит риск сужения строительного сегмента
деятельности компании.
Рост внереализационных доходов и снижение среднегодовой стоимости
основных фондов подтверждает предположение о сокращении строительных работ и
расширении деятельности по сбыту техники и оборудования.
Происходит сокращение персонала за счет ухода квалифицированных и опытных
работников.
Таблица 8 - Основные характеристики персонала ООО "РАБОЧИЙ-1"
|
Показатели, характеризующие
персонал
|
2009
|
2010
|
2011
|
|
Кол-во
|
%
|
Кол-во
|
%
|
Кол-во
|
%
|
|
Среднесписочная численность
персонала, в т. ч.
|
109
|
100
|
109
|
100
|
111
|
100
|
|
руководители
|
16
|
14,7
|
16
|
14,7
|
17
|
15,3
|
|
специалисты
|
25
|
22,9
|
24
|
22
|
27
|
24,3
|
|
служащие
|
6
|
5,5
|
7
|
6,4
|
4
|
3,7
|
|
рабочие
|
62
|
56,9
|
62
|
56,9
|
63
|
56,7
|
|
образование
|
|
|
|
|
|
|
|
Высшее
|
38
|
34,9
|
33
|
30,3
|
29
|
26,1
|
|
Средне-специальное
|
5
|
4,6
|
5
|
4,6
|
3
|
2,7
|
|
Среднее
|
66
|
60,5
|
71
|
65,1
|
79
|
71,2
|
|
возраст
|
|
|
|
|
|
|
|
От 18 до 25
|
15
|
13,8
|
16
|
14,7
|
18
|
16,3
|
|
От 25 до 40
|
55
|
50,4
|
56
|
51,4
|
64
|
57,6
|
|
От 40 и старше
|
39
|
35,8
|
37
|
33,9
|
29
|
26,1
|
|
стаж
|
|
|
|
|
|
|
|
До 1 года
|
6
|
5,5
|
7
|
6,4
|
10
|
9
|
|
От 1 года до 3 лет
|
47
|
43,2
|
33
|
30,3
|
40
|
36
|
|
От 3 лет до 5 лет
|
37
|
33,9
|
44
|
40,3
|
35
|
31,5
|
|
Свыше 5 лет
|
19
|
17,4
|
25
|
22,9
|
26
|
23,5
|
Снижение доходов компании вызвано завершением этапа строительства по
нефтегазовым проектам СРП, ростом конкуренции в строительной отрасли, что
указывает на наличие внешнего фактора риска. Отсутствие специального
структурного подразделения, способного заниматься предупреждением убытков,
вызванных рисками как внутренней, так и внешней среды усугубляет процесс
нарастания кризисных явлений.
Проведем экспертный анализ рисков. Опасность риска будем оценивать по
пятибалльной шкале.
Таблица 9 - Экспертный анализ риска
|
N п/п
|
Наименование риска
|
Опасность
|
Вероятность
|
Важность (уровень риска)
|
|
1
|
2
|
3
|
4
|
5 = 3 x 4
|
|
1
|
риск управления
|
4
|
0,01
|
0,04
|
|
2
|
общий риск бизнеса
|
4
|
0,8
|
3,2
|
|
3
|
риск человеческих ресурсов
|
3
|
0,4
|
1,2
|
|
4
|
риск усиления конкуренции
|
4
|
0,25
|
1
|
|
5
|
риск неправильной оценки
рынка
|
3
|
0,4
|
1,2
|
Проведем оценку приемлемости риска, если предельный уровень риска
составляет 0,2.
Таблица 10 - Оценка приемлемости риска
|
N п/п
|
Наименование риска
|
Уровень риска
|
Предельный уровень риска
|
Заключение (приемлем/ не
приемлем)
|
|
1
|
2
|
3
|
4
|
5
|
|
1
|
риск управления
|
0,04
|
0,2
|
приемлем
|
|
2
|
общий риск бизнеса
|
3,2
|
0,2
|
неприемлем
|
|
3
|
риск человеческих ресурсов
|
1,2
|
0,2
|
неприемлем
|
|
4
|
риск усиления конкуренции
|
1
|
0,2
|
неприемлем
|
|
5
|
риск неправильной оценки
рынка
|
1,2
|
0,2
|
неприемлем
|
|
Средний уровень риска
|
1,928
|
|
|
Общий риск бизнеса считается непреодолимым, т.к. обусловлен общим
состоянием строительных компаний в регионе. Исправить положение может только
государство путем участия в софинансировании жилищного строительства и
транспортной инфраструктуры.
Поэтому в целях минимизации риска по вышеуказанным факторам необходимо
разработать мероприятия по снижению риска человеческих ресурсов, риска
неправильной оценки рынка, противостоянию риску усиления конкуренции.
Основной проблемой предприятия является нарастающее снижение объема работ
и услуг, простоительной техники и, как следствие уход квалифицированных кадров.
На предприятии отсутствует структурное подразделение, занимающееся
развитием новых направлений деятельности и аналитикой внутренних ресурсов и
факторов внешней среды. Необходимо учесть, что рассматриваемое предприятие
функционирует в активно развивающейся в регионе отрасли. Это связано с ростом
благосостояния населения. Практически можно констатировать бум строительства и
ремонтов в Сахалинской области. На это указывают не только быстро возводящиеся
новостройки, но и рост конкуренции среди магазинов строительной техники.
Данная отрасль стремительно растет.
При этом ООО "РАБОЧИЙ-1" намерено остаться на рынке
ремонтно-строительных работ. Поэтому наиболее оптимальной здесь будет стратегия
развития рынка, заключающаяся в поиске новых рынков для уже производимого
продукта.
Если придерживаться в качестве основной стратегии развития новых услуг
(например дизайнерских), то реализация требует переориентации и изменения
состава, пересмотра системы контроля и анализа используемых ресурсов. Такая
стратегия не реализуема без внедрения процессно-ориентированного
бюджетирования. Оно может не только определить объем потребляемых ресурсов, но
и, используя соответствующие показатели результативности, осуществить контроль за
владельцами процессов, оценить и проанализировать эффективность отдельно
взятого процесса в достижении стратегических целей. И здесь могут возникнуть
информационные риски связанные:
с отсутствием системы учета работ по видам
с прогнозированием объема работ из-за отсутствия практики анализа влияния
рекламы и других факторов на изменение спроса на услуги
с отсутствием стандартов оперативной отчетности руководителю предприятия
по объемам выполненных работ и отклонений по срокам и затратам
с использованием в качестве единственных плановых документов сметной
документации.
2.3 Оценка информационных рисков с помощью методов количественного и
качественного анализа
Информационное обеспечение функционирования риск - менеджмента состоит из
разного рода и вида информации: статистической, экономической, коммерческой,
финансовой и т. п. Эта информация включает осведомленность о вероятности того
или иного страхового случая, страхового события, наличии и величине спроса на
товары, на капитал, финансовой устойчивости и платежеспособности своих
клиентов, партнеров, конкурентов, ценах, курсах и тарифах, в том числе на
услуги страховщиков, об условиях страхования, о дивидендах и процентах и т.п.
Полноценная информация позволяет сделать лучший прогноз и снизить риск.
Для того чтобы выпустить на рынок новую услугу, строительной компании
необходимо провести маркетинговое исследование, изучить спрос и потребности
потребителей, рассчитать примерные объемы продаж в зависимости от конъюнктуры
рынка. Руководство ООО "РАБОЧИЙ-1" на текущий момент не знает, в
каком объеме планировать дизайнерские услуги и какой парк машин и техники
необходим при проведении работ в муниципальных образованиях Сахалина при
принятии решения об экспансии компании. Таким образом, для более точного
прогноза необходимо получить дополнительную информацию о спросе на строительные
услуги.
Как уже отмечалось, теория и практика выработали множество методов для
определения величины информационных рисков. Все эти методы можно объединить в
две группы:
) качественные методы анализа риска;
) количественные методы анализа риска.
Качественный анализ информационных рисков в инновационной деятельности
предприятия позволяет создать структуру рисков. Качественный анализ риска
заключается в выявлении источников и причин риска, этапов и работ по проекту,
при выполнении которого возникает риск. Он состоит из ряда этапов: определение
потенциальных зон риска; выявление рисков; прогнозирование практических выгод и
возможных негативных последствий проявления выявленных рисков.
Результаты качественного анализа, в свою очередь, служат исходной базой
для проведения количественного анализа.
Выделяют следующие методы качественного анализа рисков:
. Метод экспертных оценок.
. Метод рейтинговых оценок.
. Контрольные списки источников рисков.
Количественные методы анализа в самом общем виде делят на статистические
и аналитические.
Величина риска, или степень риска, измеряется двумя критериями:
) средним математическим ожиданием;
) колеблемостью (изменчивостью) возможного результата (дохода).
Средняя величина представляет собой обобщенную количественную
характеристику и не позволяет принять решения в пользу какого-либо варианта
вложения капитала.
Колеблемость возможного результата представляет степень отклонения
ожидаемого значения от средней величины. Для этого на практике обычно применяют
два близко связанных критерия: дисперсию и среднее квадратическое отклонение.
Дисперсия - средняя взвешенная из квадратов отклонений действительных
результатов от средних ожидаемых.
Дисперсия и среднее квадратическое отклонение служат мерами абсолютной
колеблемости. Для анализа обычно используют коэффициент вариации, который
показывает колеблемость признака в относительной величине
Коэффициент вариации может изменяться от 0 до 100%. Чем больше
коэффициент, тем сильнее колеблемость. В экономической статистике установлена
следующая оценка различных значений коэффициента вариации:
до 10% - слабая колеблемость;
10 - до 25% - умеренная колеблемость;
свыше 25% - высокая колеблемость.
Использование статистического метода анализа относительно информационных
рисков на данном предприятии невозможно.
Аналитические методы анализа риска зависят от той области деятельности, в
которой производятся оценочные мероприятия. В силу отсутствия системы учета по
видам работ, срокам их исполнения.
В бизнес-практике используются следующие методы анализа рисков:
метод корректировки нормы дисконта;
метод достоверных эквивалентов (коэффициентов достоверности);
точка безубыточности;
анализ чувствительности критериев эффективности и платежеспособности
компании;
метод сценариев;
анализ вероятностных распределений потоков платежей;
дерево решений;
метод Монте-Карло (имитационное моделирование) и др.
Для проведения анализа информационных рисков с помощью вышеуказанных
методов необходимо создать базу данных риска. Она представляет собой хранилище
текущей и исторической информации, связанной с рисками, и используется при
идентификации, оценке, обработке и контроле рисков, а также для создания
отчетов. Для данного предприятия использование вышеуказанных методов невозможно
из-за отсутствия такого хранилища данных. Мы проводили оценку рисков
предприятия методом экспертной оценки с использованием мнения одного
компетентного эксперта - аудитора. Риск неправильной оценки рынка напрямую
связан с информационным риском. Представленный уровень риска признан
неприемлемым.
Проведем оценку информационного риска при развитии новой маркетинговой
стратегии, направленной на развитие дизайнерских услуг и филиалов в регионе с
помощью другого качественного метода оценки - метода рейтинговых оценок.
Метод рейтинговых оценок основан на формализации полученных оценок. Если
для этого привлекаются специалисты, то данный метод считается разновидностью
метода экспертных оценок. Однако в последнее время нередко используются
полуформализованные процедуры, поэтому данный метод считается самостоятельным.
Одной из самых простых форм рейтинговой оценки является ранжирование.
Качественный анализ риска инновационной деятельности проводится на основе
ключевых факторов. Оценка риска проводится экспертами, которые проставляют
баллы от единицы до трех, в зависимости от того, как оценен риск: если он
высок, то проставляется 1, средний - 2, низкий - 3. Затем рассчитывают общую
оценку риска по формуле:общ = (S/i)/F,
где R - коэффициент риска;- баллы по каждому фактору; i - количество
баллов; F - количество оцененных факторов. В результате оценки можно получить
величину коэффициента риска, которая располагается в интервале от 1 до 3.
Если коэффициент риска находится в интервале [1; 1,7], то стратегия обеспечения
доходности инновационной деятельности разрабатывается в условиях высокого
риска. Если значение коэффициента входит в интервал [1,7; 2,4], то стратегия
разрабатывается в ситуации среднего риска. Если величина коэффициента принимает
значение [2,4; 3], то риск минимален. В результате приведенных значений
получают интегральную оценку инновационного риска.
Таблица 11 - Оценка информационных рисков в инновационной деятельности
|
п/п
|
Факторы информационного
риска, влияющие на ухудшение инновационной деятельности
|
Бухгалтерия
|
Производственная служба
|
Отдел снабжения
|
|
1.
|
Информация об инновационной
деятельности компании
|
1
|
2
|
2
|
|
2.
|
1
|
1
|
2
|
|
3.
|
Прогнозы развития рынка
новых услуг
|
1
|
1
|
1
|
|
4.
|
Условия финансирования
инновационной деятельности
|
1
|
1
|
1
|
|
5.
|
Состояние трудовых ресурсов
компании
|
2
|
3
|
3
|
|
6.
|
Процессы взаимодействия
структурных подразделений при реализации инновационной деятельности
|
2
|
2
|
2
|
|
Итого
|
8
|
10
|
11
|
Проведем расчет коэффициента риска по структурным подразделениям:
=8/6=1,33,
=10/6=1,67
=11/6=1,83
Найдем общую интегральную оценку информационных рисков инновационной
деятельности: Rобщ = (1,33 + 1,67 + 1,83) / 3 = 1,61.
В результате оценки получена величина коэффициента информационного риска
инновационной деятельности, которая располагается в интервале от 1 до 1,7. Это
означает, что информационное обеспечение инновационной деятельности содержит
высокие риски. Оценка посредством данной методики подтверждает необходимость
разработки мероприятий по уменьшению риска связанного с информацией в
инновационной деятельности.
Проведенное исследование показывает, потеря сегментов рынка и
инновационная пассивность предприятия при наличии реальных возможностей и
сильных сторон, характеризующихся устойчивостью и рентабельностью хозяйственной
деятельности, объясняется в первую очередь отсутствием информационных ресурсов
как регламентного характера, так и аналитического содержания. Это приводит к
росту риска принятия неадекватных управленческих решений.
Заключение
Риск присутствует в любом бизнесе. Риски проявляются самым разнообразным
образом: риски связанные с экономической и политической ситуацией,
организационные риски (риски менеджмента) и т.д.
Если же риски не учитывать или ими не управлять, то вероятность оказаться
в экономически безрадостной ситуации или банкротстве весьма высокая!
Риск - менеджмент представляет собой систему управления риском и
экономическими, финансовыми отношениями, возникающими в процессе этого
управления, а так же последовательный процесс разработки и реализации мероприятий
по предотвращению или уменьшению негативного воздействия рисков, а также по
использованию потенциальных возможностей с целью повышения финансового
благосостояния и эффективности деятельности компании. Главной задачей
риск-менеджмента является обеспечение руководства компании информацией о ее
бизнес-позиционировании при принятии управленческих решений, направленных на
минимизацию воздействия факторов риска и получение наиболее стабильных и
эффективных результатов.
Наиболее действенный механизм минимизации всех видов риска является
создание эффективной системы организации риск-менеджмента на предприятии. Такая
система должна обеспечивать:
) своевременное выявление и оценку рискообразующих факторов, путём
разработки внутренних положений, определяющих общие принципы и методики
управления риском, необходимые лимиты и ограничения;
) единство системы внутреннего и внешнего контроля, достигающегося
разработкой процедуры контроля для всех бизнес-процессов и основывающейся на
таких процедурах контроля как подготовка итоговых отчётов за период, мониторинг
совершаемых операций на уровне всех подразделений, соответствие имеющимся
требованиям и положениям, процедуры проверок и сверок;
) гарантировать наличие достоверной, точной, своевременной, доступной и
полноценной информации для принятия решений и оценки текущей деятельности, что
достигается наличием надёжных каналов связи и разработкой эффективных схем
передачи информации ответственным лицам;
) непрерывный мониторинг текущей деятельности, который означает постоянный
контроль за наиболее важными рисками.
Эффективность системы управления рисками периодически должна проверяться
компетентными специалистами в рамках внутреннего аудита. При этом должно
обеспечиваться своевременное оповещение руководства предприятия о её
недостатках, которые должны немедленно устранятся.
Усиление конкурентных позиций предприятия через управление всеми видами
рисков его деятельности возможно за счёт построения грамотной организационной
структуры и внутренних процедур с опорой на экспертное знание. Таким образом,
именно полноценная организации риск-менеджмента является основным критерием
выбора используемых приоритетов и подходов менеджмента предприятия, а значит,
определяет его способность выживать в условиях острой конкурентной борьбы.
Основами риск-менеджмента компании как направления управленческой
деятельности признаются критерии классификации наиболее актуальных рисков для
компании, их оценка на основе различных методов.
Служба риск-менеджмента может быть представлена как самостоятельным
структурным подразделением, так руководителями отделов, которым предоставляют
полномочия по управлению как оперативными, так и стратегическими рисками.
Типичными проблемами для таких компаний, как ООО «Рабочий-1» является
нарастающая конкуренция, потери клиентов, низкий уровень видового разнообразия
услуг, узость связей с покупателями и поставщиками при сохранении достаточно
высокой рентабельности и финансовой устойчивости предприятия. Причинами таких
проблем являются, как правило, отсутствие плана инновационного развития,
отсутствие агрегированной оперативной аналитической информации по всем
структурным подразделениям. Разрывы в информационном обмене всегда возникают
при отсутствии главного связующего звена-директора.
Многогранность понятия «риск» обусловлена разнообразием факторов,
характеризующих как особенности конкретного вида деятельности, так и
специфические черты неопределенности, в условиях которой эта деятельность
осуществляется. В работе были исследованы сущность, содержание и виды рисков,
рассмотрены теоретические основы управления рисками, проведен анализ системы
риск-менеджмента на предприятии.
Список использованных источников
Нормативно-законодательные
документы
. Концепция
управления рисками организации (Enter
- prise risk management framework). COSO, 2004.
2. Об
аудиторской деятельности: Федеральный закон Российской Федерации от 30.12.2008
№ 307-ФЗ
. ГОСТ
Р 51897-2002. Менеджмент риска. Термины и определения: Постановления
Госстандарта России от 30.05.2002 № 223-ст.
Учебники и
учебные пособия
. Балдин
К.В. Управление рисками: учебное пособие. - М.: ЮНИТИ-ДАНА, 2005. 511 с.
5. Богоявленский
С.Б. Управление рисками на предприятии: учебное пособие. - СПБ: изд-во СПБГУЭФ,
2010. 147 с.
. Бурцев
В.В. Риск-менеджмент: учебное пособие. - М.: Гардарики, 2005. 285 с.
7. Виханский О.С. Стратегическое
управление: учебное пособие. - М.: Гардарика, 2008. 286 с.
8. Глызина
М.П. Современный менеджмент: учебное пособие. - Ростов на Дону: Феникс, 2009.
350 с.
9. Ефимов
В.С. Стратегия бизнеса: учебное пособие. - М.: «ДИС», 2008. 522с.
10. Попова
Л.В. Экономический анализ: учебное пособие. - М.: Дело и Сервис, 2013. 336 с.
11. Ковалев
В.В. Финансы организаций (предприятий): учебник / В.В. Ковалев, Вит.В. Ковалев.
Москва: - Проспект, 2013. 352 с.
. Савицкая
Г.В. Анализ хозяйственной деятельности предприятия: учебник / Г.В. Савицкая -
5-е изд., перераб. И доп. - М.: ИНФРА-М, 2009. 536 с.
. Хохлов
Н.В. Управление риском: учебное пособие для вузов. - М.: ЮНИТИ-ДАНА, 2001. 239
с.