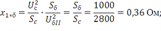
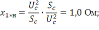
|
U, кВ
|
Р, МВт
|
длина, км
|
|
110
|
25-50
|
50-150
|
Используя выбранное оборудование, составим расчётную схему
(рис.2)
Рисунок 2.
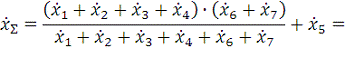
Используя рекомендации, составим схему замещения (рис.3).
Генераторы, трансформаторы, двухцепная линия, автотрансформаторы,
используя принцип симметрии, изображаются одним элементом, а наличие
параллельного элемента учитывается при вычислении сопротивления.
Рисунок 3. Схема замещения энергосистемы
2. Расчёт
токов КЗ в именованных единицах с точным приведением коэффициентов трансформации
Примем за основную ступень (ОС) шины высокого напряжения
трансформаторов Т1 и Т2: Uосн = 220 кВ. При учёте действительных коэффициентов
трансформации получим следующие значения приведённых реактивных сопротивлений:
.1 Сопротивление генератора, приведённое к его номинальным
параметрам:
.2 Сопротивление двух генераторов, приведённое к ОС:
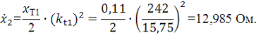
.3 Сопротивление трансформатора Т1, приведённое к его
номинальным параметрам:
трансформатор электрическая станция сопротивление
.4 Сопротивление двух трансформаторов Т1 и Т2, приведённых к
ОС:
.5 Сопротивление одной цепи двухцепной линии Л1:
для ЛЭП с номинальным напряжением до 220 кВ включительно 
≈ 0,7 Ом/км, 
≈ 0,3 Ом/км, поэтому при отсутствии данных о параметрах
линии можно приближенно считать, что 
≈ 0,4 Ом/км.
.6 Сопротивление двухцепной линии Л1:
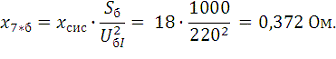
.7 Сопротивление автотрансформатора, приведённое к обмотке
высокого напряжения:
где

.8 Сопротивление двух автотрансформаторов, приведённых к обмоткам
высокого напряжения:
.9 Сопротивление автотрансформатора, приведённое к обмотке низкого
напряжения:
где 
.10 Сопротивление двух автотрансформаторов, приведённых к обмоткам
низкого напряжения:
.11 Сопротивление автотрансформатора, приведённое к обмотке
среднего напряжения:
где 
.12 Сопротивление двух автотрансформаторов, приведённых к обмоткам
среднего напряжения:
.13 Сопротивление системы задано:
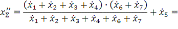
.14 Суммарное сопротивление цепи до точки КЗ с учётом системы,
приведённое к ОС:
.15 Фазное значение ЭДС генератора:
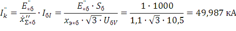
.16 Начальный сверхпереходной ток в точке КЗ:
.17 Ток, приведённый к ступени КЗ:
3. Расчёт
токов КЗ в именованных единицах с приближенным приведением коэффициентов
трансформации
Действительные напряжения элементов схемы заменим
средненоминальными значениями: U1 = 15,75 кВ; U2 = 230 кВ; U3 = 10,5 кВ; U4 = 121 кВ. Приведение
ступени 230 кВ дает следующие значения сопротивлений:
.1 Сопротивление двух генераторов:
.2 Сопротивление двух трансформаторов:
.3 Сопротивление двухцепной линии:
.4 Сопротивление двух автотрансформаторов, приведенное к
обмотке высокого напряжения:
.5 Сопротивление двух автотрансформаторов, приведенное к
обмотке низкого напряжения:
.6 Сопротивление двух автотрансформаторов, приведенное к
обмотке среднего напряжения:
.7 Суммарное сопротивление цепи до точки КЗ с учётом системы,
приведённое к ступени 230 кВ:
.8 Фазное значение ЭДС генератора:
.9 Начальный сверхпереходной ток в точке КЗ:
.10 Ток, приведённый к ступени КЗ:
. Расчёт
токов КЗ в относительных базисных единицах с точным приведением коэффициентов
трансформации
Выбираем базисную мощность -
= 1000 МВА и базисное напряжение -
= 220 кВ.
.1 Относительные базисные напряжения остальных ступеней:
.2 Базисный ток на ступени КЗ:
.3 Сопротивление двух генераторов:
.4 Сопротивление двух трансформаторов Т1:
.5 Сопротивление двухцепной линии Л1:
6 Сопротивление обмоток ВН напряжения двух автотрансформаторов:
.7 Сопротивление обмоток НН напряжения двух автотрансформаторов:
4.8 Сопротивление обмоток СН напряжения двух автотрансформаторов:
.9 Сопротивление системы:
.10 Суммарное сопротивление цепи до точки КЗ с учётом системы,
приведённое к базисным величинам:
.11 ЭДС генератора в относительных базисных единицах:
.12 Начальный сверхпереходной ток в точке КЗ:
.13 Значение тока КЗ в именованных единицах:
5. Расчёт
токов КЗ в относительных базисных единицах с приближённым приведением
коэффициентов трансформации
Базисные напряжения ступеней принимаются равными
средненоминальным напряжениям на соответствующих ступенях:
= 15,75 кВ;
=
=
= 230 кВ;
= 10,5 кВ.
Выбираем базисную мощность 
= 1000 МВА.
Определяем относительные сопротивления элементов схемы,
приведённые к базисным условиям:
.1 Сопротивление двух генераторов:
.2 Сопротивление двух трансформаторов:
.3 Сопротивление двухцепной линии:
.4 Сопротивление двух автотрансформаторов, приведенное к обмотке
высокого напряжения:
.5 Сопротивление двух автотрансформаторов, приведенное к обмотке
низкого напряжения:
.6 Сопротивление двух автотрансформаторов, приведенное к обмотке
среднего напряжения:
.7 Сопротивление системы:
.8 Суммарное сопротивление цепи до точки КЗ с учётом системы,
приведённое к базисным величинам:
.9 Сверхпереходной ток КЗ:
.10 Токи КЗ, рассчитанные при приведении параметров электрической
сети:
Таблица 7
|
именованные
единицы
|
относительные
единицы
|
|
точное
приведение, кА
|
54,602
|
53,638
|
|
приближенное
приведение, кА
|
49,987
|
|
процентное
отношение, %
|
6,727
|
6,807
|
|
общее
процентное отношение, %
|
8,452
|
Контрольная
работа №2
Задача Б
Произвести расчет сверхпереходного тока КЗ для заданного
участка энергосистемы (рис.4) при трехфазном КЗ в точке К в именованных,
относительных именованных и относительных базисных единицах с точным и
приближенным приведением коэффициентов трансформации. Электрические двигатели
до возникновения повреждения работали в номинальном режиме. Параметры элементов
схем приведены таблице 8.
Примечание. Длина кабеля выбирается по напряжению.
Студенты, последняя цифра шифра которых нечетная - расчет производят для точки
К1 (3), четная - для точки К2 (3).
Рис.4
Таблица 8
|
Sc, MBA
|
SТ, MBA
|
РСД,,
МВт
|
SНГ,MBA
|
|
2800
|
260-410
|
3x10,0
|
15
|
Решение:
1. Анализируя представленную схему, можно сделать
предположение о том, что синхронные двигатели имеют номинальное напряжение не
более 6 кВ:
Таблица А.14-Справочные данные по синхронным двигателям серий
СД и СДН (номинальное напряжение 6 кВ, cosφ=0,9)
|
Рн, МВт
|
кратность пускового
тока, k
|
|
10,0
|
0,167
|
Далее, обобщенная нагрузка 
может быть представлена множеством типов электроприёмников и
располагаться на достаточно удалённых расстояниях, поэтому делаем выбор
подходящего к условию поставленной задачи силового трансформатора.
По таблице А.4 - Справочные данные по силовым трансформаторам. -
выбираем трёхобмоточный трансформатор со следующими характеристиками:
|
Тип
|
Sном,
МВА
|
UB,
кВ
|
UС,
кВ
|
UH, кB
|
Uk. ВС,%
|
Uk. ВН,
%
|
Uk. СН,
%
|
|
ТДГН-400000/110-76у1
|
400
|
230
|
38,5
|
6,6
|
12,5
|
22,0
|
9,5
|
Заданная схема является радиальной, поэтому, при расчете
токов трехфазного КЗ, токи отдельных ветвей вычисляются независимо.
В приближенных расчетах при расчёте установившихся режимов КЗ
допускается эквивалентирование комплексной нагрузки с представлением ее в виде
эквивалентного постоянного сопротивления [1, стр.43]:
хн =1,2
. Используя выбранное оборудование, составим расчётную схему
(рис.5)
Рисунок 5.
. Составим схему замещения, согласно выбранному оборудованию.
Схема замещения приведена на рис.6.
Рисунок 6.
. Расчет токов КЗ в именованных единицах с приближенным приведением
коэффициентов трансформации.
В качестве основной ступени принимается ступень напряжения 38,5 кВ
- место повреждения. Действительные напряжения элементов схемы заменим средним
значением 37 кВ. Выразим сопротивления элементов схемы в именованных единицах и
приведем их к основной ступени:
Система:
Обмотка ВН трансформатора:
где 
Обмотка СН трансформатора:
где 
Обобщенная нагрузка:
Суммарное сопротивление цепи до точки КЗ, приведённое к ступени 37
кВ:
Токи в ветвях схемы: система:

Полный ток в месте КЗ равен сумме токов всех присоединений:
. Расчет токов КЗ в именованных единицах с точным приведением
коэффициентов трансформации.
Выразим сопротивления элементов схемы в именованных единицах и
приведем их к основной ступени. В качестве основной ступени принимается ступень
напряжения 38,5 кВ - место повреждения.
Система:
Обмотка ВН трансформатора:
где 
Обобщенная нагрузка:
Суммарное сопротивление цепи до точки КЗ, приведённое к ступени
38,5 кВ:
Токи в ветвях схемы:
система:
обобщенная нагрузка:
Полный ток в месте КЗ равен сумме токов всех присоединений:
. Расчет токов КЗ в относительных базисных единицах с приближенным
приведением коэффициентов трансформации.
Выбираем базисную мощность Sб=1000 МВА и
базисные напряжения ступеней. Базисные напряжения ступеней принимаются равным
средним напряжением на соответствующих ступенях: Uб1 = 37 кВ,
UбII= 230 кВ. Определяем относительные сопротивления
элементов схемы, приведенные к базисным условиям:
Система:
Обмотка ВН трансформатора:
Обобщенная нагрузка:
При приближенном приведении коэффициентов трансформации ЭДС всех
источников тока КЗ равны 1.
Токи в ветвях схемы:
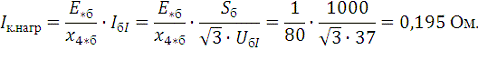
Система (для ветви системы

Обобщенная нагрузка:
Полный ток в месте КЗ равен 23,415 кА.
. Расчет токов КЗ в относительных базисных единицах с точным
приведением коэффициентов трансформации.
Выбираем базисную мощность Sб=1000 МВА и
базисные напряжения ступеней. Базисные напряжения ступеней принимаются равным
средним напряжением на соответствующих ступенях: Uб1 = 38,5
кВ, UбII= 230 кВ. Определяем относительные сопротивления
элементов схемы, приведенные к базисным условиям:
система:
обмотка ВН трансформатора:
обобщенная нагрузка:
При точном приведении коэффициентов трансформации ЭДС всех
источников тока КЗ равны 1.
Токи в ветвях схемы:
Система (для ветви системы

Обобщенная нагрузка:
Полный ток в месте КЗ равен 22,503 кА.
. Расчет токов КЗ в относительных именованных единицах с
приближенным приведением коэффициентов трансформации.
Сопротивления системы и трансформатора приведем к параметрам
системы:
система:
обмотка ВН трансформатора:
При приближенном приведении коэффициентов трансформации ЭДС всех
источников тока КЗ равны 1. Токи в ветвях схемы:
Система (для ветвей системы

Обобщенная нагрузка:
Полный ток в месте КЗ равен 23,497 кА.
. Расчет токов КЗ в относительных именованных единицах с точным
приведением коэффициентов трансформации.
При точном приведении коэффициентов трансформации ЭДС всех
источников тока КЗ равны 1.
Токи в ветвях схемы:

Обобщенная нагрузка:
Полный ток в месте КЗ равен 22,581кА.
. Анализ
Токи КЗ, рассчитанные при приведении параметров электрической сети
к именованным, относительным именованным и относительным базисным единицам с
точным и приближенным приведением коэффициентов трансформации:
Таблица 11
|
именованные
единицы
|
относительные
базисные единицы
|
относительные
именованные единицы
|
|
приближенное
приведение, кА
|
23,415
|
23,415
|
23,497
|
|
точное
приведение, кА
|
23,659
|
22,503
|
22,581
|
|
процентное
отношение, %
|
1,031
|
3,895
|
3,898
|
|
общее
процентное отношение, %
|
4,886
|
Литература
1.
Куликов, Ю.А. Переходные процессы в электрических системах [Текст]: учеб.
пособие / - Новосибирск: Изд-во НГТУ. 2006. - 284 с.
.
Ульянов С.А. Электромагнитные переходные процессы [Текст]: Учебник для вузов /
С.А. Ульянов. - М.: Энергия, 1970. - 519 с.
.
РД 153-34,0-20,527-98. Руководящие указания по расчету токов короткого
замыкания и выбору электрооборудования [Текст] / Под ред. Б.Н. Неклепаева. -
М.: Изд-во НЦ ЭНАС, 2002. - 152 с.