Движения физического маятника и его модель в Maple
1. Теоретические основы движения маятника
Математический маятник - осциллятор,
представляющий собой механическую систему, состоящую из материальной точки,
находящейся на невесомой нерастяжимой нити или на невесомом стержне в
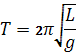
однородном поле сил тяготения. Период малых собственных колебаний
математического маятника длины L неподвижно подвешенного в однородном поле
тяжести с ускорением свободного падения g равен
и не зависит от амплитуды колебаний и
массы маятника.
Рис. 1. Схема движения математического
маятника. Обозначения в тексте
Плоский математический маятник со стержнем
- система с одной степенью свободы. Если же стержень заменить на растяжимую
нить, то это система с двумя степенями свободы со связью. При малых колебаниях
физический маятник колеблется так же, как математический с приведённой длиной.
1.1 Уравнение
колебаний математического маятника
Колебания математического маятника
описываются обыкновенным дифференциальным уравнением вида
где ω ―
положительная константа,
определяемая исключительно из параметров маятника. Неизвестная функция 
― это угол
отклонения маятника в момент 
от нижнего положения равновесия, выраженный в радианах;

где 
― длина
подвеса, 
―
ускорение свободного падения. Уравнение малых колебаний маятника около нижнего
положения равновесия (т. н. гармоническое уравнение) имеет вид:
1.2 Гармонические
колебания
Маятник, совершающий малые колебания,
движется по синусоиде. Поскольку уравнение движения является обыкновенным ДУ
второго порядка, для определения закона движения маятника необходимо задать два
начальных условия - координату и скорость, из которых определяются две
независимых константы:
где 
амплитуда колебаний маятника, 
- начальная фаза колебаний, 
- циклическая частота, которая определяется из уравнения движения.
Движение, совершаемое маятником, называется гармоническими колебаниями.
1.3 Нелинейный маятник
Для маятника, совершающего колебания с
большой амплитудой, закон движения более сложен:

где 
- это синус Якоби. Для 
он является периодической функцией, при малых 
совпадает с обычным тригонометрическим синусом.
Параметр 
определяется выражением

где 
- энергия
маятника в единицах t−2.
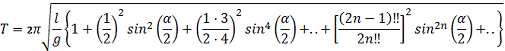
Период колебаний нелинейного маятника

где K - эллиптический интеграл первого рода.
Для вычислений практически удобно разлагать эллиптический интеграл
в ряд:

,
где 
период малых колебаний, 
- максимальный угол отклонения маятника от вертикали.
При углах до 1 радиана (≈60°) с приемлемой точностью (ошибка
менее 1%) можно ограничиться первым приближением:
1.4 Физический маятник
Физический маятник - осциллятор, представляющий
собой твёрдое тело, совершающее колебания в поле каких-либо сил относительно
точки, не являющейся центром масс этого тела, или неподвижной оси,
перпендикулярной направлению действия сил и не проходящей через центр масс
этого тела.
Обозначения:
· θ - угол отклонения маятника от равновесия;
· α - начальный угол отклонения маятника;
· 
- масса маятника;
·
- расстояние от точки подвеса до центра тяжести маятника;
· 
- радиус инерции относительно оси, проходящей через центр
тяжести.
· 
- ускорение свободного падения.
Момент инерции относительно оси,
проходящей через точку подвеса:
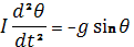
Дифференциальное уравнение движения
физического маятника
Пренебрегая сопротивлением среды,
дифференциальное уравнение колебаний физического маятника в поле силы тяжести
записывается следующим образом:
Полагая 
, предыдущее уравнение можно переписать в виде:
Последнее уравнение аналогично уравнению колебаний математического
маятника длиной 
. Величина 
называется приведённой длиной физического маятника.
Центр качения физического маятника:
Центр качания
- точка, в которой надо сосредоточить всю массу физического маятника, чтобы его
период колебаний не изменился.
Поместим на луче, проходящем от точки подвеса через центр тяжести
точку на расстоянии 
от точки подвеса. Эта точка и будет центром качания маятника.
.5 Теорема Гюйгенса
Формулировка. Если физический маятник подвесить за
центр качания, то его период колебаний не изменится, а прежняя точка подвеса
сделается новым центром качания.
Доказательство. Вычислим приведенную длину для нового
маятника:
Совпадение приведённых длин для двух
случаев и доказывает утверждение, сделанное в теореме.
1.6 Периодические
колебания физического маятника
Для того, чтобы найти период колебаний
физического маятника, необходимо решить уравнение качания.
Интегрируя это уравнение, получаем.
где 
произвольная постоянная. Её можно найти из граничного условия,
что в моменты. 
Получаем:.
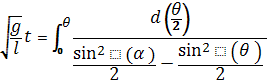
Подставляем и преобразовываем получившееся уравнение:
Отделяем переменные и интегрируем это
уравнение:
Удобно сделать замену переменной, полагая.
. Тогда искомое уравнение принимает вид:
Здесь 
нормальный эллиптический интеграл Лежандра 1-го рода. Для периода
колебаний получаем формулу:
Здесь 
- полный нормальный эллиптический интеграл Лежандра 1-го рода.
Раскладывая его в ряд, можно получить удобную для практических вычислений
формулу:

2.1 Движение математического маятника
Изучение движения математического маятника проведено на
стандартной лабораторной установке. Длина маятника 0.3 м, угол отклонения
изменялся от 0 до 900. В интервале от 0 до 150 угол
изменялся с шагом 1, от 15 до 90 - 5. Для расчета периода использовался
электронный секундомер с точностью 0.01 секунды. Расчет периода производился по
десяти колебаниям.
Результаты экспериментов представлены в таблице 1.
Таблица 1. Расчет периода колебаний нелинейного
математического маятника
|
градус
|
время 10
колебаний
|
Период
|
Амплитуда
отклонения
|
длина нити
|
|
1
|
10,99
|
1,099
|
0,005235722
|
0,3
|
|
2
|
11,13
|
1,113
|
0,010469849
|
|
|
3
|
11,18
|
1,118
|
0,015700787
|
|
|
4
|
11,24
|
1,124
|
0,020926942
|
|
|
5
|
11,11
|
1,111
|
0,026146723
|
|
|
6
|
11,27
|
1,127
|
0,031358539
|
|
|
7
|
11,5
|
1,15
|
0,036560803
|
|
|
8
|
11,26
|
1,126
|
0,04175193
|
|
|
9
|
11,2
|
1,12
|
0,04693034
|
|
|
10
|
11,32
|
1,132
|
0,052094453
|
|
|
11
|
11,37
|
1,137
|
0,057242699
|
|
|
12
|
11,17
|
1,117
|
0,062373507
|
|
|
13
|
11,19
|
1,119
|
0,067485316
|
|
|
14
|
11,33
|
1,133
|
0,072576569
|
|
|
15
|
11,39
|
1,139
|
0,077645714
|
11,23
|
1,123
|
0,102606043
|
|
|
25
|
11,47
|
1,147
|
0,126785479
|
|
|
30
|
11,62
|
1,162
|
0,15
|
|
|
35
|
11,71
|
1,171
|
0,172072931
|
|
|
40
|
11,74
|
1,174
|
0,192836283
|
|
|
45
|
11,77
|
1,177
|
0,212132034
|
|
|
50
|
11,97
|
1,197
|
0,229813333
|
|
|
55
|
11,98
|
1,198
|
0,245745613
|
|
|
60
|
12,22
|
1,222
|
0,259807621
|
|
|
65
|
12,02
|
1,202
|
0,271892336
|
|
|
70
|
12,21
|
1,221
|
0,281907786
|
|
|
75
|
12,41
|
1,241
|
0,289777748
|
|
|
80
|
12,61
|
1,261
|
0,295442326
|
|
|
85
|
12,44
|
1,244
|
0,298858409
|
|
|
90
|
12,74
|
1,274
|
0,3
|
|
На рис. 2.1 приведен график изменения амплитуды колебаний в
зависимости от угла отклонения. Здесь же показана аппроксимирующая кривая
полиномом второго порядка. Коэффициент корреляции кривых 0.99.
Рис. 2.1. Зависимость амплитуды отклонения маятника от угла
На рис. 2.2 приведен аналогичный график с тем отличием, что в
качестве горизонтальной координаты выбран натуральный ряд 1,2,3,… 18, который
соответствует равномерному ряду в градусах 0,5,10,…90.
Рис. 2.2. Зависимость амплитуды отклонения маятника от угла
Для проверки качества проведенного эксперимента были
произведены расчеты коэффициентов корреляции между значениями
экспериментального ряда и рассчитанными значениями периода по формуле 1,
среднеквадратическое отклонение и относительная погрешность. Численные значения
указанных величин 0,152010847, 0,128393247 равны соответственно. На уровне 5%
значимости данное различие не существенно. График теоретических и экспериментальных
кривых представлен на рис. 2.3.
Рис. 2.3. Зависимость периода колебаний от угла наклона
2.2 Движение физического маятника
Описание экспериментальной установки. Для изучения движения
нелинейного физического маятника была собрана экспериментальная установка на
основе стальной трубы длиной 0,295 м, толщиной 1 мм, диаметром 25 мм.
2.3 Результаты эксперимента
Результаты экспериментов
|
угол
|
время 10
колебаний
|
Период
|
Амплитуда
отклонения
|
|
1
|
8,93
|
0,893
|
|
|
2
|
8,99
|
0,899
|
0,0104
|
|
3
|
8,24
|
0,824
|
0,015596
|
|
4
|
8,53
|
0,853
|
0,020787
|
|
5
|
8,55
|
0,855
|
0,025972
|
|
6
|
8,8
|
0,88
|
0,031149
|
|
7
|
8,87
|
0,887
|
0,036317
|
|
8
|
8,87
|
0,887
|
0,041474
|
|
9
|
8,87
|
0,887
|
0,046617
|
|
10
|
8,95
|
0,895
|
0,051747
|
|
11
|
8,83
|
0,883
|
0,056861
|
|
12
|
9,06
|
0,906
|
0,061958
|
|
13
|
8,81
|
0,881
|
0,067035
|
|
14
|
9,11
|
0,911
|
0,072093
|
|
15
|
9,1
|
0,91
|
0,077128
|
|
20
|
9,13
|
0,913
|
0,101922
|
|
25
|
0,884
|
0,12594
|
|
30
|
8,75
|
0,875
|
0,149
|
|
35
|
9,39
|
0,939
|
0,170926
|
|
40
|
9,19
|
0,919
|
0,191551
|
|
45
|
9,3
|
0,93
|
0,210718
|
|
50
|
9,42
|
0,942
|
0,228281
|
|
55
|
9,31
|
0,931
|
0,244107
|
|
60
|
9,76
|
0,976
|
0,258076
|
|
65
|
9,48
|
0,948
|
0,27008
|
|
70
|
9,5
|
0,95
|
0,280028
|
|
75
|
9,52
|
0,952
|
0,287846
|
|
80
|
9,82
|
0,982
|
0,293473
|
|
85
|
9,57
|
0,957
|
0,296866
|
|
90
|
9,56
|
0,956
|
0,298
|
|
95
|
9,82
|
0,982
|
0,296866
|
|
100
|
9,99
|
0,999
|
0,293473
|
|
105
|
10,22
|
1,022
|
0,287846
|
|
110
|
10,34
|
1,034
|
0,280028
|
10,56
|
1,056
|
0,27008
|
|
120
|
10,67
|
1,067
|
0,258076
|
|
125
|
10,85
|
1,085
|
0,244107
|
|
130
|
10,9
|
1,09
|
0,228281
|
|
135
|
10,95
|
1,095
|
0,210718
|
Рис. 2.5. Экспериментальная кривая отклонения физического
маятника
Для проверки качества проведенного эксперимента были
произведены расчеты коэффициентов корреляции между значениями
экспериментального ряда и рассчитанными значениями периода по формуле 2.
Рассчитанный коэффициент корреляции получился на уровне 0.952. График
теоретических и экспериментальных кривых представлен на рис. 2.6.
Проведенные экспериментальные исследования по изучению
движения нелинейного маятника показали следующее:
Рис. 2.6. Зависимость периода колебаний от угла наклона
Моделирование движения математического маятника на слегка
растяжимой нити вызывало отклонение маятника от движения в заданной плоскости.
Для малых углов отклонения погрешности в определении расчетного периода и
теоретических значений незначительно, при увеличении начального угла отклонения
от 45 до 90 градусов, расхождение между экспериментальными и теоретическими
значениями периода скорее всего связаны с продольной и поперечной деформацией
нити.
При моделирование физического маятника основная трудность
состояла в разработке конструкции маятника. Для расчета момента инерции
использовалась формула тонкостенного цилиндра. Однако, в результате расчетов
была обнаружена систематическая погрешность при сравнении экспериментальных и
теоретических периодов, что может быть связано с недоучетом оси подвеса
маятника. В результирующую экспериментальную кривую была введена корректировка,
равная величине систематической погрешности, в результате чего сходимость
результатов составила 95%.
3. Моделирование физического и математического
маятника в среде Maple 17
3.1 Описание среды Maple 17
- программный пакет, система компьютерной алгебры. Является
продуктом компании Waterloo Maple Inc., которая с 1984 года выпускает
программные продукты, ориентированные на сложные математические вычисления,
визуализацию данных и моделирование. Система Maple предназначена для символьных
вычислений, хотя имеет ряд средств и для численного решения дифференциальных
уравнений и нахождения интегралов. Обладает развитыми графическими средствами.
Имеет собственный язык программирования, напоминающий Паскаль.
3.2 Построение модели математического маятника
в системе Maple
> restart:with(DEtools):
> x1:=l1*sin (q1 (t)):
> y1:=-l1*cos (q1 (t)):
> T:=m1/2*((diff (x1, t)^2+diff (y1,
t)^2))+1/2*I1*(diff (q1 (t), t)^2);
> I1:=2/5*m1*R1^2:
> T:=simplify(T);
> U:=m1*g*(y1+l1):
> U:=simplify(U);
> L1:=T-U:
> L3:=eval (L1, diff (q1 (t), t)=w1 (t)):
> L2:=eval (eval(L1, diff (q1 (t), t)=w1), q1
(t)=q1):
> L:=unapply (L2, q1, w1):
> Lw1:=diff (L(q1, w1), w1)::=diff (L(q1, w1),
q1):
> Lq1:=eval (eval(Lq11, w1=w1 (t)), q1=q1
(t)):
> Lw1:=eval (eval(Lw1, w1=w1 (t)), q1=q1 (t)):
> Lw1t1:=diff (Lw1, t):
> Lw1t:=eval (Lw1t1, diff (q1 (t), t)=w1 (t)):
> F1:=-k1*l1*w1 (t):
> m1:=0.003; l1:=0.3; g:=9.8; k1:=0.0002;
R1:=0.005;
> sys:= simplify (Lw1t-Lq1=F1), w1 (t)=diff
(q1 (t), t):
> funcs:={q1 (t), w1 (t)}:
> nys:=q1 (0)=Pi/4, w1 (0)=0;
> sol:=dsolve({sys, nys}, funcs, numeric,
output=listprocedure):
> r1:=subs (sol, q1 (t)):
> plot (r1 (t), t=0..12);
> x[1] (t):=l1*sin (r1 (t)):
> y[1] (t):=-l1*cos (r1 (t)):
> with(plots): with(plottools):
> animate (anim, [x[1] (t), y[1] (t)],
t=0..30, scaling=constrained, frames=500);
3.3 Построение модели физического маятника в
системе Maple
> restart:with(DEtools):
> x1:=l1/2*sin (q1 (t)):
> y1:=-l1/2*cos (q1 (t)):
> T:=1/2*I1*(diff (q1 (t), t)^2);
> I1:=1/3*m1*l1^2:
> T:=simplify(T);
> U:=m1*g*(y1+l1);
> U:=simplify(U);
> L1:=T-U:
> L3:=eval (L1, diff (q1 (t), t)=w1 (t)):
> L2:=eval (eval(L1, diff (q1 (t), t)=w1), q1
(t)=q1):
> L:=unapply (L2, q1, w1):
> Lw1:=diff (L(q1, w1), w1)::=diff (L(q1, w1),
q1):
> Lq1:=eval (eval(Lq11, w1=w1 (t)), q1=q1
(t)):
> Lw1:=eval (eval(Lw1, w1=w1 (t)), q1=q1 (t)):
> Lw1t1:=diff (Lw1, t):
> Lw1t:=eval (Lw1t1, diff (q1 (t), t)=w1 (t)):
> F1:=-k1*l1*w1 (t):
> m1:=0.175; l1:=0.295; g:=9.8; k1:=0.005;
> sys:= simplify (Lw1t-Lq1=F1), w1 (t)=diff
(q1 (t), t):
> funcs:={q1 (t), w1 (t)}:
> nys:=q1 (0)=0.99*Pi, w1 (0)=0;
> r1:=subs (sol, q1 (t)):
> plot (r1 (t), t=0..10);
> x[1] (t):=l1*sin (r1 (t)):
> y[1] (t):=-l1*cos (r1 (t)):
> with(plots): with(plottools):
> anim:= proc (x_1, y_1) local line1;:=curve([[0,
0], [x_1, y_1]], color = «DarkBlue», thickness = 50);(line1);proc:
> animate (anim, [x[1] (t), y[1] (t)],
t=0..30, scaling=constrained, frames=500).
Заключение
имитационный maple маятник гюйгенс
В результате выполненных исследований разработаны структура,
алгоритмы и программные решения моделирования движения нелинейного маятника.
. Предложенная тема по движению физического маятника выходит
за рамки учебного процесса. На основании этого была поставлена и решена задача
по изучению движения нелинейного математического и физического маятников. Был
подобран теоретический материал и расчетные формулы для аппроксимации движения
маятника в нелинейном случае.
. Проведены экспериментальные исследования по изучению
движения нелинейного маятника. Отсутствие лабораторного оборудования привело к
необходимости разработки конструкции физического маятника на основе
тонкостенного цилиндра. Для математического маятника использовалась капроновая
нить и шариком в качестве пробной массы.
. Установлено, что период движения математического маятника
на слегка растяжимой нити зависит от начального угла отклонения, что
согласуется с теоретической формулой. Совпадение теоретических и расчетных
периодов при углах отклонения от 45 до 90 градусов составило 5%.
. При моделировании физического маятника для расчета момента
инерции использовалась формула тонкостенного цилиндра. С учетом систематической
погрешности сходимость результатов составила 95%.
. В программной среде Maple с использованием
встроенных функций была разработана имитационная модель математического и
физического маятников. Изменяемыми параметрами модели были определены начальный
угол отклонения и коэффициент затухания. Программа предназначена для работы под
управлением Windows xp и Windows 7.
Список литературы
1. Вавилов
К., Щербина С. Web-интеграция // Открытые системы. №1. 2001.
. Гмурман,
В.Е. Теория вероятностей и математическая статистика: учеб. пособие для вузов.
- М.: Высшая школа, 1997. - 479 с.
3. Красс
М.С., Чупрынов Б.П. Математические методы и модели для магистрантов экономики.
- СПб.: Питер, 2006. - 496 с.
. Черемисина
Е.Н., Прогулова Т.Б. Информатика: Учебное пособие. - Дубна: Междунар. ун-т
природы о-ва и человека «Дубна», 2006. - 175 с.
5. http://ru.wikipedia.org/wiki/Maple - электронный ресурс
. http://ru.wikipedia.org/wiki/Математический_маятник
- электронный ресурс
. http://ru.wikipedia.org/wiki/Физический_маятник
- электронный ресурс
. http://chem-otkrit.ru/soft/Microsoft_Excel
- электронный ресурс, описание программы