Методы определения относительной фазовой проницаемости
Введение
фазовый проницаемость нефть газ
Фазовые проницаемости являются одной
из важнейших характеристик процесса течения пластовых флюидов в
породах-коллекторах нефти и газа.
Функции относительных фазовых
проницаемостей (ОФП) в зависимости от насыщенности используются при решении
большого числа геологопромысловых задач. Данные о фазовых проницаемостях
необходимы при обосновании кондиционных пределов петрофизических свойств пород,
при промышленной оценке переходных нефтегазовых зон пластов, в газогидродинамических
расчетах технологических показателей разработки, при выборе методов воздействия
на пласт с целью увеличения нефтеотдачи, при анализе и контроле за разработкой
залежей.
Экспериментальное определение
зависимостей ОФП от водонасыщенности - трудоемкий процесс, требующий
использования специальной аппаратуры, поэтому на практике часто применяют
расчетные методы получения ОФП по более доступным данным (промысловым или
экспериментальным) либо используют готовые зависимости ОФП, полученные для
пород аналогичного типа или для простейших пористых сред, какими являются
образцы из насыпного песка. Последний подход не всегда правомерен, поскольку в
действительности характер зависимостей ОФП даже для одного и того же класса
пород определяется большим числом факторов, а форма кривых ОФП существенно
влияет на результаты расчетов.
В последнее время открыто и введено
в разработку большое число месторождений нефти и газа, характеризующихся
многообразием геолого-физических свойств. Естественно, что «классические»
кривые ОФП не могут учесть этого многообразия, в то время как требования к
качеству проектирования возрастают. В связи с этим увеличивается потребность в
надежных данных о фазовых проницаемостях для условий конкретного месторождения.
В связи с возросшим интересом специалистов
к данным об ОФП, необходимо иметь представление о концепции фазовых
проницаемостей, рассмотреть важнейшие факторы, влияющие на характер кривых ОФП,
проанализировать существующие методы получения этих кривых и обосновать
наиболее достоверные методики.
Особое внимание уделено
экспериментальным методам определения ОФП на образцах керна, которые считаются
базовыми среди остальных методов. Предмет изучения ограничен коллекторами
порового типа (терригенными), поскольку определение ОФП для трещиноватых
коллекторов остается практически нерешенной задачей, так же как и моделирование
такого коллектора.
. Концепция фазовых
проницаемостей
Проницаемость коллектора для
однородной фазы, полностью насыщающей поровое пространство и называемой
абсолютной, является свойством коллектора в том случае, если фильтрующаяся фаза
не взаимодействует с породообразующими и цементирующими минералами и не
формирует значительных (по сравнению с размерами поровых каналов) аномальных
слоев на поверхности пор.
В практике разведки и разработки
месторождений нефти и газа коллектор, как правило, насыщен несколькими фазами,
и проницаемость его для каждой из этих фаз называют фазовой либо эффективной.
Поскольку абсолютная и фазовая
проницаемости коллекторов нефти и газа изменяются в широких пределах, более
удобной формой их сопоставления является относительная фазовая проницаемость,
представляющая собой отношение фазовой проницаемости к абсолютной.
Понятие фазовой проницаемости
впервые было введено Виковым и Ботсетом в 1936 г. на основе результатов
экспериментов по совместной фильтрации воды и газа через трубу, заполненную
кварцевым песком. Левереттом это понятие было распространено на случай
совместного течения нефти и воды (1939, 1941 гг.).
Существуют два представления о
механизме совместного течения пластовых флюидов в пористой среде. Согласно
первому представлению, подробно описанному Маскетом (1953 г.), при течении двух
несмешивающихся фаз через пористую среду часть поровых каналов и пространство у
контактов зерен в крупных порах заняты смачивающей жидкостью, а по остальным
каналам полностью или частично осуществляется движение несмачивающей жидкости.
Причем в каналах больших размеров может находиться небольшое количество
смачивающей фазы на поверхности пор, а также в тупиковых порах. Разному
количеству поровых каналов, занятых соответственно первой и второй жидкостями,
образующими непрерывные струи фильтрующихся фаз, соответствуют определенные
величины насыщенности и проницаемости для этих флюидов. При изменении
насыщенности увеличивается доля поровых каналов для движения одной фазы,
насыщенность которой возрастает, и соответственно уменьшается количество
поровых каналов для движения другой фазы.
Предполагается, что для каждой фазы
справедлив закон Дарси:
где
- вектор скорости фильтрации i-ой фазы;
Ki - фазовая проницаемость для i-ой фазы;
мi - вязкость;
сi - плотность;
-
ускорение свободного падения;
Рi - давление.
На основе представления о характере
распределения жидкостей в поровом пространстве Маскет дал физическое объяснение
особенностей кривых фазовых проницаемостей для двухфазных систем, которое
сводится к следующему.
При уменьшении насыщенности
смачивающей фазой ниже единицы проницаемость для смачивающей фазы снижается
сначала резко, а затем медленнее и становится равной нулю при величине
насыщенности 0,15…0,35. Одновременно проницаемость для несмачивающей фазы
быстро увеличивается и достигает максимума до того, как насыщенность
смачивающей фазой достигает нуля. Это объясняется тем, что несмачивающая фаза
заполняет центральные области поровых пустот, которые являются зоной наименьшего
сопротивления течению потока. Поэтому появление даже незначительного количества
несмачивающей фазы приводит к существенному уменьшению проницаемости для
смачивающей фазы.
Дальнейшее увеличение насыщенности
несмачивающей фазой происходит с непрерывно уменьшающейся эффективностью
вытеснения смачивающей фазы, и скорость падения проницаемости для смачивающей
фазы снижается. Наконец, наступает такое состояние, при котором насыщения
смачивающей фазой недостаточно, чтобы создать непрерывное течение по всей пористой
среде. Достигается остаточная насыщенность смачивающей фазой, которую называют
также равновесной или критической.
Необходимо отметить, что величина
остаточной насыщенности несмачивающей фазы, как правило, на 10…15% превышает
так называемую неснижаемую насыщенность смачивающей фазы (связанной воды),
определяемую прямыми или косвенными методами.
При наличии в поровом пространстве
коллектора трех фаз принцип их распределения во многом сходен с двухфазной
системой.
Вода полностью заполняет поры
наименьшего размера, а также находится в местах контакта зерен и в виде пленки
смачивает отдельные участки зерен породообразующих минералов на стенках поровых
каналов, по которым может фильтроваться нефть или газ. Нефть занимает остальные
поры и поровые каналы, а газ - центральные части наиболее крупных пор, занятых
нефтью, и с водой практически не контактирует.
Однако Маскет отмечал, что
взаимодействие двух несмачивающих фаз (нефти и газа) в трехфазной системе
изучено недостаточно, и допускал, что могут существовать крупные поры,
заполненные только газом и остаточной водой.
Такое представление о механизме
совместного течения предполагает возможность использования информации о
распределении пор по размерам для оценки динамики фазовых проницаемостей.
Другое представление о механизме
совместной фильтрации предполагает течение несмешивающихся жидкостей по поровым
каналам в форме четок одной жидкости в другой. При этом в зависимости от
степени диспергирования жидкостей и от того, какая жидкость является дисперсной
фазой или средой, будут различными фильтрационные сопротивления при тех же
величинах насыщенности.
Предполагается, что при четочном
режиме образуются эмульсии с аномально высокими значениями вязкости, что, в
свою очередь, обуславливает высокие фильтрационные сопротивления в зоне смеси.
Прочность эмульсии, продолжительность существования отдельных капель зависят от
прочности межфазных пленок в пластовых условиях, а степень дисперсности
определяется структурными свойствами коллектора и скоростью фильтрации фаз.
Поскольку интенсивность образования
эмульсии и ее свойства зависят от свойств жидкостей и характера взаимодействия
их с породой, то какое-либо гидродинамическое моделирование этого процесса
представляется невозможным. Следовательно, основываясь на втором представлении
о природе ОФП, их определение может быть выполнено только экспериментально из
опытов по совместному течению с воспроизведением пластовых условий. Причем
методика опытов должна строиться таким образом, чтобы образование смеси
происходило непосредственно в пористой среде на начальном участке образца, а
замеры перепада давления проводились за пределами этого участка, т.е. в
условиях течения сформировавшейся смеси.
Второе представление о фазовых
проницаемостях разработано несколько слабее первого, хотя еще Леверетт и Маскет
указывали на возможность существования капельного течения при низких значениях
насыщенности несмачивающей фазой.
По-видимому, в реальных условиях
могут существовать оба механизма течения, причем можно представить
условия, при которых струйное течение может перейти в четочное (капельное) и
наоборот. Так, при совместном течении нефти и воды последняя за счет более
низкого значения вязкости может обогнать и защемить отдельные капли (ганглии)
нефти, которые в последующем могут быть увлечены фильтрующейся водой и,
сливаясь, вновь образовать непрерывную фазу.
. Факторы, влияющие на
фазовые проницаемости коллекторов нефти и газа
На основе результатов первых
экспериментов по определению ОФП, проводимых, как правило, на насыпных моделях
пористой среды, был сделан вывод о том, что ОФП являются однозначными функциями
насыщенности (Леверетт М.С., 1939; Маскет М., 1953). Однако позднее более
тщательно проведенные эксперименты (Березин В.М., 1969) показали, что на
характер ОФП оказывают влияние различные факторы, такие, как свойства
коллектора, жидкостей и системы порода - жидкость.
Свойства коллектора. Среди свойств коллектора, влияющих на характер ОФП, особая роль
принадлежит структуре порового пространства, а также наличию и составу цемента.
Морган и Гордон (1970 г.) установили, что при близких значениях абсолютной
проницаемости по воздуху в коллекторе с большим количеством мелких пор кривые
ОФП смещаются вправо, в область повышенных значений насыщенности смачивающей
фазы, и, кроме того, уменьшаются значения фазовых проницаемостей в крайних
точках: проницаемости для нефти при остаточной водонасыщенности (КНВО)
и проницаемости для воды при остаточной нефтенасыщенности (КВНО).
Коллекторы с преобладанием пор большого размера характеризуются низкими значениями
остаточной водонасыщенности (SВО) высокими значениями и
КНВО и КВНО и более широким диапазоном совместного
течения фаз.
Анализ кривых ОФП, представленных в
нормированных координатах (Иванов В.А., Храмова В.Г., Дияров Д.О., 1974)
показал, что структура порового пространства в основном оказывает влияние на
ОФП смачивающей фазы и в меньшей степени - на ОФП для несмачивающей фазы (рис.
1). Из рисунка также видно, что точка пересечения кривых ОФП для нефти и воды
расположена для песка выше, чем для песчаника.
Значительное различие кривых ОФП для
песка и песчаника говорит о том, что для достоверного отображения процессов,
происходящих в реальных пластах, необходимо использовать ОФП, полученные на
образцах пород из изучаемых пластов, а использование кривых ОФП, полученных на
песке, не вполне правомочно.
Свойства пластовых
флюидов. На характер фазовых проницаемостей
оказывают влияние межфазное и поверхностное натяжение на образцах. Если графики
Кг/Кн=f(SH) и Кв/Кн=f(SH) имеют
одинаковый наклон и расположен в одном и том же интервале насыщенности, то
порода преимущественно гидрофобна.
Таким образом, для получения
достоверных значений ОФП следует проводить их определение в условиях,
моделирующих естественную физико-химическую обстановку пласта. Особое внимание необходимо
соблюдать при отборе, транспортировке, хранении и подготовке керна с целью
воспроизведения пластовых условий.
Температура. Рассмотренные выше факторы в значительной степени зависят от
температуры, следовательно, на вид зависимости ОФП влияет температура.
При изменении температуры могут
меняться коллекторские свойства пород в результате изменения размеров и формы
пор (поскольку зерна минералов, составляющих скелет породы, имеют различные
коэффициенты термического расширения), а также объема цемента и свойств
глинистых минералов.
При повышении температуры меняются
свойства жидкостей: понижается поверхностное натяжение на границе с
поверхностью пор, а межфазное натяжение между жидкостями может как понижаться,
так и повышаться в зависимости от состава жидкостей.
Полярные компоненты нефти, «севшие»
на поверхность пор, могут десорбироваться при высокой температуре.
В большинстве случаев соотношение
подвижностей
уменьшается
с увеличением температуры. Особенно это проявляется в системе нефть-газ, что
приводит к снижению остаточной нефтенасыщенности.
С изменением температуры изменяется
смачиваемость - важнейшая характеристика системы порода - жидкость. С
увеличением температуры возрастает гидрофильность коллекторов нефти и газа, что
в свою очередь влияет на фазовые проницаемости.
Обобщая результаты многочисленных
исследований, можно сделать следующие выводы о влиянии температуры на ОФП:
с повышением температуры ОФП для
нефти растет, в то время как для воды либо медленно возрастает, либо снижается;
с повышением температуры кривые ОФП
смещаются вправо, в сторону повышенных значений водонасыщенности;
ОФП для систем с низким межфазным
натяжением более чувствительны к изменению температуры;
ОФП для газа практически не
изменяются.
Необходимо отметить, что влияние
температуры на ОФП значительно слабее сказывается в несцементированных пористых
средах.
Направление изменения
насыщенности. Влияние смачиваемости
на ОФП также проявляется в направлении изменения насыщенности, реализуемого в
экспериментах.
Как известно, впитывание жидкости -
это процесс вытеснения несмачивающей фазы смачивающей. Этот термин часто
используется для обозначения увеличения насыщенности водой в процессе
эксперимента, что справедливо лишь для случая, когда вода является смачивающей
фазой. Процесс впитывания принципиально отличается от процесса дренирования
(уменьшения насыщенности смачивающей фазы в процессе вытеснения) по
характеристикам вытеснения. Установлено, что в зависимости от таких факторов,
как размер пор, извилистость, топология порового пространства, скорости
вытеснения, для процессов впитывания или дренирования распределение нефти в
поровом пространстве может быть различным.
Для процесса впитывания,
реализуемого в опытах по вытеснению, отмечена зависимость остаточной
нефтенасыщенности Sно от величины начального
нефтенасыщения. Из этого следует, что для получения результатов, отвечающих
реальным условиям, необходимо эксперименты начинать при значениях
водонасыщенности Sво, близких к пластовым.
Кривые ОФП для одного и того же
образца, полученные при пропитке и дренировании, несколько отличаются друг от
друга (рис. 2). Этому явлению, называемому гистерезисом кривых ОФП, посвящено
значительное число исследований, выявивших следующие закономерности.
Гистерезис кривых ОФП сильнее
проявляется для несмачивающей фазы и особенно при высоких значениях межфазного
натяжения у. Уменьшение и повышение температуры приводят к уменьшению
гистерезиса кривых ОФП.
Исходя из общих представлений о
процессе формирования залежей нефти и газа, в соответствии с которыми УВ
скапливаются в ловушке, первоначально заполненной пластовой водой, наиболее
правильным является следующий порядок экспериментального определения ОФП.
Подготовка эксперимента должна включать насыщение образца пластовой водой,
которая затем вытесняется нефтью (газом). В процессе самого эксперимента
водонасыщенность должна увеличиваться от режима к режиму до прекращения
вытеснения нефти и достижения остаточной нефтенасыщенности.
В случае, когда имеются данные об
иных условиях формирования залежи, их необходимо учитывать при разработке
методики определения ОФП конкретного месторождения.
Скорость фильтрации. Для системы нефть-вода с увеличением скорости фильтрации значения
ОФП увеличиваются как для нефти, так и для воды. Физический смысл механизма
этого явления не совсем ясен, однако его нельзя не учитывать при определении
ОФП на образцах пород-коллекторов. Для получения наиболее достоверных данных об
ОФП эксперимент необходимо проводить при линейной скорости течения, соответствующей
средней скорости перемещения фронта (фактической и проектной) на конкретном
месторождении.
Со скоростью фильтрации связан
вопрос о возникновении концевых эффектов на входном и выходном торцах, а также
на стыках отдельных образцов в случае, когда эксперимент проводится на
составном образце. Концевой эффект проявляется в повышенной насыщенности
смачивающей фазы на выходном торце. С увеличением скорости фильтрации зона
распространения концевого эффекта уменьшается. Кроме регулирования скоростью, имеются
и другие способы исключения влияния концевого эффекта на результаты
лабораторного определения ОФП. Основным методическим приемом, хорошо
апробированным в лабораторной практике, являются использование в экспериментах
составных образцов достаточно большой длины и проведение измерений перепада
давления и насыщенности на серединной части образца (составляющей примерно
треть общей длины и равноудаленной от входа и выхода), где концевой эффект от
входного и выходного торцов не сказывается. Для устранения концевых эффектов на
стыках отдельных образцов их торцы тщательно пришлифовываются друг к другу,
между ними прокладывается слой фильтровальной бумаги или слой тонкоизмельченной
породы.
Описанный методический прием широко
используется и дает надежные результаты как при определении ОФП, так и
коэффициента вытеснения нефти водой.
. Методы определения
относительной фазовой проницаемости
Из всех способов определения ОФП
особое место принадлежит лабораторным методам, поскольку они позволяют
проводить прямые определения ОФП на образцах изучаемого пласта-коллектора.
Основными из них являются методы стационарной фильтрации и вытеснения, которые
широко применяются в нефтепромысловой практике. Общепризнано, что эти методы
дают более достоверные результаты, чем расчетные с использованием промысловых
данных и др.
Условия подобия в
экспериментах
Корректное определение и
использование относительных фазовых проницаемостей требуют соблюдения
условий подобия процессов, реализуемых в эксперименте моделируемым натурным
процессом.
Из анализа условий подобия при
моделировании фильтрации нефти и воды следует, что фазовые проницаемости для
нефти и воды в общем случае являются функциями ряда параметров:

К - абсолютная проницаемость;
m - пористость;
у - поверхностное натяжение;
и - краевой угол смачивания;
ДP - перепад давления на
длине z;
мн, мв - динамические вязкости нефти и воды;
Дс - разность плотностей воды и
нефти;
Pэф - эффективное давление
на скелет породы;
h - толщина пласта;
Qн,в-расходы нефти и воды;
Рк - капиллярное давление;
g - ускорение свободного падения.
Согласно к-теореме (Шенк X.,
1972), имея три независимые размерности (длину к, время Т и массу М),
можно из перечисленных шестнадцати определяющих параметров выделить тринадцать
безразмерных соотношений. Тогда условием подобия натурного и модельного
процессов фильтрации нефти и воды будет равенство выделенных безразмерных
соотношений для модели и пласта.
В предыдущем разделе рассмотрено
влияние различных факторов на ОФП. Сделанные рекомендации по проведению
измерений обеспечивают соблюдение условий подобия в экспериментах по
большинству критериев. Однако соблюдение полного подобия по безразмерному
соотношению:
в экспериментах невозможно, так как
в этом случае длина модели должна быть равна размеру пласта (Эфрос Д.А., 1963).
Тем не менее, в экспериментах по стационарной фильтрации условие (3) может быть
соблюдено, если добиваться подобия по отношению к процессу, происходящему не во
всем пласте, а в его элементе, где существуют такие же условия фильтрации. В
этом случае результаты экспериментов, проведенных при выбранных режимах, будут
соответствовать определенному участку пласта.
В опытах, проводимых в режиме
вытеснения, рекомендуется (Эфрос Д.А., 1963) соблюдать приближенное подобие и
проводить их при таких режимах, когда процесс становится автомодельным по
отношению к указанному критерию. Точное значение скорости вытеснения, при
которой наступает область автомодельности по критерию (3), зависит от
особенностей изучаемого объекта и в каждом конкретном случае может быть
установлено экспериментально на основании опытов, проведенных с различными
скоростями вытеснения.
Метод стационарной
(установившейся) фильтрации
Метод стационарной фильтрации
считается наиболее точным среди методов определения ОФП на образцах горных
пород. Основным преимуществом этого метода является возможность определения ОФП
в условиях, максимально приближенных к пластовым. Метод стационарной фильтрации
позволяет получать ОФП во всем диапазоне изменения насыщенности образца,
изучать влияние различных факторов на фильтрационные характеристики пород.
Анализ влияния различных факторов на
ОФП показывает, что ОФП следует определять на образцах изучаемого пласта-коллектора
с использованием пластовых жидкостей, при термобарических условиях,
соответствующих пластовым.
Определение ОФП включает подготовку
образца и рабочих жидкостей, проведение эксперимента и обработку полученных
результатов.
Подготовка образца и
рабочих жидкостей. Определение ОФП при
совместной установившейся фильтрации нефти и воды следует проводить на
составных образцах породы, монтируемых из отдельных цилиндрических кернов с
ненарушенной структурой. Общая длина составного образца выбирается исходя из условий
подобия и должна быть не менее
где zmin - минимальная длина образца, мм;
К - средняя проницаемость составного образца, мкм2;
m - средняя пористость составного образца, доли единицы;
р1, р2 - критерии подобия Д.А. Эфроса.
Отдельные цилиндрические образцы,
высверленные из керна параллельно напластованию (при малой анизотропии пласта
допускается высверливать образцы перпендикулярно напластованию) экстрагируются
соответствующим образом, чтобы не изменить естественной характеристики
смачиваемости и полностью удалить высокомолекулярные углеводороды. Выбор
экстрагента производится индивидуально в каждом конкретном случае. Основным
требованием является отсутствие реакции экстрагента с породообразующими
минералами и цементирующим веществом. В практике лабораторного изучения
коллекторов нефти и газа наибольшее применение находит спиртобензольная смесь в
соотношении компонентов 1:3, допускается использование четырехкомпонентной
смеси (бензол - этиловый спирт - хлороформ - четыреххлористый углерод в
соотношении 4:1:1:1) и других растворителей.
Важное значение имеет также
температура сушки, которая, как правило, составляет 102…104°С, но для
сильноглинистых пород не должна превышать 80°С.
При компоновке составного образца
проницаемость отдельных кернов не должна отличаться более чем на 50% от
среднего ее значения, а порядок компоновки должен быть таким, чтобы по
направлению течения жидкостей каждый последующий образец имел бы меньшую
проницаемость. Для обеспечения надежного капиллярного контакта между кернами их
торцы тщательно притираются, между ними прокладывается слой фильтровальной
бумаги либо слой измельченной породы толщиной не более 0,3 мм.
Составной образец герметизируется с
помощью манжеты (рис. 3, а) со специальными боковыми отводами для трубок
дифманометра и электродов или эпоксидной шпатлевки (рис. 3, б). Образец
оборудуется двумя трубками на входе, подводящими нефть и воду таким образом,
чтобы обеспечивать перемешивание жидкостей непосредственно в пористой среде, двумя
трубками на серединной (рабочей) части образца для замера перепада давления и
электрического сопротивления и трубкой на выходном торце для сбора выходящей
смеси нефти и воды.
Длина серединной части составляет
примерно одну треть общей длины образца и находится на равном удалении от
входного и выходного торцов образца.
Герметизированный образец помещается
в кернодержатель (КД), в котором за счет гидрообжима создается горное давление,
соответствующее условиям изучаемого пласта. Образец насыщается пластовой водой,
и при пластовых условиях определяется абсолютная проницаемость для воды при
100%-й водонасыщенности. К величине абсолютной проницаемости для воды в
последующем относят величины фазовых проницаемостей при расчете ОФП.
Отнесение фазовых проницаемостей к
величине абсолютной проницаемости для воды, а не к величине абсолютной
проницаемости для газа представляется более правильным с точки зрения
воспроизведения условий образования залежи. Кроме того, абсолютная
проницаемость для воды отражает свойства системы пористая среда - пластовая
жидкость, в то время как абсолютная проницаемость для газа является
характеристикой только пористой среды. Поэтому отнесение фазовых проницаемостей
к величине абсолютной проницаемости для газа не совсем корректно, а форма кривых
ОФП при этом становится неестественной и неудобной.
В экспериментах по определению ОФП
при стационарной фильтрации желательно использовать пробы безводной пластовой
нефти и пластовую воду. Но поскольку это не всегда возможно, допускается
использовать модели нефти, приготовленные разбавлением дегазированной и
очищенной нефти растворителями (керосин, бензин, петролейный эфир и др.) в
количестве не более 30% от объема смеси с целью подбора значения вязкости
модели нефти, соответствующей пластовым условиям. Также допустимо использовать
так называемые рекомбинированные пробы нефти, которые приготавливаются из
дегазированной нефти путем насыщения ее углеводородными газами (метан - бутан).
Важно отметить, что при отборе,
транспортировке и хранении нефти нельзя допускать ее охлаждения ниже +15°С и
контакта с кислородом воздуха. Опыт работы с нефтями показал, что в противном
случае возможно выпадение из нефти твердой фазы, которая не растворяется даже
при нагревании до пластовой температуры, и как следствие затухание фильтрации
нефти, а это в свою очередь приводит к существенным искажениям получаемых
результатов.
В качестве модели воды допускается
использование раствора NaCl в дистиллированной воде,
соленость которого соответствует пластовой воде.
Проведение эксперимента. В общем случае проведение эксперимента начинается с определения
проницаемости образца при 100%-м насыщении пластовой водой после достижения
установившейся фильтрации в условиях, близких к пластовым. Затем в образец
подается нефть практически до полного прекращения вытеснения воды, что
приближенно имитирует процесс формирования залежи, но с конечной
водонасыщенностью больше неснижаемой (связанной) на 10… 18%. С целью достижения
пониженных значений остаточной водонасыщенности допускается последовательно
вытеснить воду маслом, керосином, а затем нефтью, либо использовать метод
капиллярной вытяжки или центрифугирования. После этого образец необходимо
выдержать при пластовых термобарических условиях в течение 16…24 ч для
приведения в состояние равновесия системы пористая среда - пластовые жидкости и
воспроизведения естественной характеристики смачиваемости.
Непосредственно эксперимент по
определению ОФП включает в себя ряд опытов (режимов), при проведении которых
нефть и вода подаются в образец в определенном соотношении, которое от опыта к
опыту меняется при увеличении доли воды в потоке, тогда как суммарный расход
обеих фаз остается постоянным.
Суммарный расход нефти и воды
выбирается исходя из реальной (или проектируемой) промысловой скорости
перемещения фронта вытеснения в данном пласте. Линейная скорость фильтрации
жидкостей при проведении эксперимента вычисляется по формуле
где
- линейная скорость, м/сут;
Q - суммарный расход нефти и воды, см /с;
F - площадь поперечного сечения образца, см;
m - пористость образца, доли единицы;
Sво, Sно - остаточная водо- и нефтенасыщенность, соответствующая пластовым
условиям, доли единицы.
Каждый опыт продолжается до
наступления установившегося стационарного режима фильтрации, который
фиксируется по стабилизации показаний дифференциального манометра и замерам
электрического сопротивления на рабочем участке образца, после чего начинается
новый опыт при другом соотношении нефти и воды в потоке. Число режимов
выбирается в каждом случае индивидуально, но должно быть не менее пяти.
Заканчивается эксперимент при фильтрации пластовой воды до полного исчезновения
нефти в выходящей струе.
Для сокращения времени проведения
эксперимента фильтрацию воды и нефти при заданном соотношении в каждом опыте
можно начинать на высокой скорости, в 5…10 раз превышающей промысловую, и
отключенном дифманометре. После окончания высокоскоростной прокачки жидкостей в
количестве 2…3 объемов пор образца переходят на рабочую скорость, примерно
соответствующую промысловым условиям. После установления стационарного режима
замеряют перепад давления, электрическое сопротивление и объемы закачанных и
вышедших фаз. Как показали специально поставленные эксперименты, насыщенность
на каждом режиме фильтрации устанавливается после прокачки определенного объема
смеси вне зависимости от того, закачивалась ли она первоначально на большой
скорости или фильтрация осуществлялась только на рабочей скорости.
По измеренным значениям перепада
давления для фиксированных соотношений нефти и воды в потоке рассчитываются
фазовые проницаемости по уравнению Дарси:
где Кн, Кв
- фазовые проницаемости для нефти и воды, мкм2;
Qн,вi - расходы нефти и воды
на i-м
режиме при определенном соотношении нефти и воды в потоке, см3/с;
мн,в-вязкость нефти и воды,
мПа·с;
l - длина рабочего участка, на котором производится измерение
давления и электросопротивления, см;
F - площадь поперечного сечения рабочего участка, см2,
ДPi
- перепад давления при установившемся течении на i-м режиме, МПа.
Значения водонасыщенности образца,
соответствующие каждому соотношению нефти и воды в потоке, рассчитываются по
величине измеренного электрического сопротивления и зависимости параметра
насыщения Рн от водонасыщенности Sв, построенной при подготовке эксперимента. В отдельных случаях
вполне приемлемые результаты дает метод определения водонасыщенности (средней
для всего образца) по балансу закачанных и вышедших жидкостей.
После завершения эксперимента
образцы помещаются в аппарат ЛП-4 (Закса) и насыщенность контролируется
экстракционно-дистилляционным методом.
По рассчитанным значениям
относительных фазовых проницаемостей, полученных отнесением к величине
проницаемости для воды при 100%-й водонасыщенности, строятся аналитические
зависимости ОФП от водонасыщенности, используемые для расчета технологических
показателей разработки нефтяных месторождений.
Экспериментальная
техника для реализации метода стационарной Фильтрации. Принципиальная схема лабораторной установки для определения ОФП
при совместной установившейся фильтрации нефти и воды показана на рис. 4.
Установка включает механическую систему прессов (дозирующих насосов) П1 и П2,
обеспечивающую подачу в образец при пластовом давлении нефти и воды в различных
соотношениях при постоянном суммарном расходе.
Кернодержатель (КД) предназначен для
установки в нем исследуемого образца в резиновой манжете или эпоксидной
шпатлевке и должен обеспечивать надежную стыковку отдельных цилиндрических
образцов, действие всестороннего обжима, ввод жидкостей в образец и замер на
серединной рабочей части образца перепада давления и электрического
сопротивления.
Контейнеры жидкостные (К1 - К3)
предназначены для помещения в них рабочих жидкостей. Они оборудуются вентилями
и в некоторых случаях разделительными поршнями.
Сборная бюретка (БС) служит для
создания противодавления и сбора вытесненных из образца нефти и воды. Она
оборудуется вентилями и двумя патрубками в нижней части для ввода жидкостей и
перевода их в мерную бюретку (БМ) после каждого режима.
Кернодержатель, контейнер с рабочими
жидкостями, сборная и мерная бюретки помещаются в воздушном термостате,
обеспечивающем поддержание пластовой температуры с точностью до +1°С. Для
поддержания температуры применяются также системы электроподогрева и жидкостные
термостаты (особенно при пластовых температурах более 75 ˚С).
Перепад давления измеряется
высокоточными дифференциальными манометрами (ДМ), практически не имеющими
«мертвых' объемов и исключающими отток жидкости из образца в систему
дифманометра.
Для определения водонасыщенности
образца наибольшее распространение получил 4-электродный электрометрический
метод, причем в качестве электродов удобно использовать соединительные трубки,
которыми оборудован образец. В этом случае во избежание утечек тока на
гидравлических коммуникациях ставятся электрические изоляторы. Более надежное
измерение тока на рабочем участке образца обеспечивается применением
измерительной электромагнитной катушки, внутрь которой помещаются образец и
калибровочный проводник (рис. 5). Этот способ, разработанный В.В. Покровским
(1974 г.), позволяет определять значение тока на рабочем участке по величине
электромагнитного поля, наводимого в катушке, представляющей собой ферритовое
кольцо с обмоткой (ИК). Предварительно проводится калибровка с помощью
специального проводника (КП), через который подается ток различной величины.
Использование катушки позволяет измерять ток на рабочем участке даже при
наличии шунтирующих утечек тока по гидравлическим соединениям.
Метод вытеснения
Другим способом определения фазовых
проницаемостей на образцах керна является расчет значений ОФП по данным метода
вытеснения (Эфрос Д.А., 1956; Джонсон Е.П., 1959), существенным преимуществом
которого (по сравнению с методом стационарной фильтрации) является быстрота
проведения опыта.
В основе расчетов лежит уравнение
Баклея - Леверетта, описывающее процесс вытеснения нефти водой. При этом
скорость вытеснения должна быть достаточно высокой (для подавления влияния
капиллярных сил) и постоянной во всех сечениях модели. Это означает, что
вытеснение должно проводиться при больших градиентах давления, а фазы должны
быть несмешивающимися.
Разработан также аналитический метод
расчета ОФП на основе экспериментов, проводимых при низких скоростях вытеснения
и учитывающих изменение капиллярного давления при изменении насыщенности.
Использование такого подхода для оценки ОФП дополнительно требует определения
функции капиллярного давления для изучаемых образцов, что в целом усложняет
методику.
Процедура проведения опыта по
вытеснению заключается в следующем. Из нефтенасыщенного образца, содержащего
остаточную воду, нефть вытесняется водой. При этом в процессе вытеснения
регистрируют во времени расход нагнетаемой воды q(t), объем вытесненной
нефти Vн(t) и воды Vв(t) во времени и перепад давления на образце ДP(t). На основании
замеренных параметров по следующим соотношениям рассчитываются фазовые
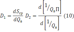
проницаемости и соответствующие им насыщенности. Для заданного момента времени ti с начала вытеснения вычисляют:
среднюю водонасыщенность образца
(доли единицы):
где Sво - начальная остаточная водонасыщенность, доли единицы;
VH - объем вытесненной
нефти, см3;
F - площадь поперечного сечения образца, см2;
z - длина образца, см;
m - пористость, доли единицы;
объем закачанной воды в объемах пор:
параметр течения:
где мн - вязкость нефти, мПа·с;
Кнво - проницаемость по
нефти при остаточной водонасыщенности, мкм2 (замеряется при создании
остаточной водонасыщенности в процессе подготовки опыта);
значения производных:
- относительную проницаемость по
нефти:
относительную проницаемость по воде:
где fв - доля воды в выходящем потоке, доли единицы;
- значения насыщенности выходного участка образца, которому
соответствуют вычисленные проницаемости:
где fн - доля нефти в вышедшей продукции, доли единицы.
Вычисленные таким образом
относительные проницаемости соответствуют фазовым проницаемостям, отнесенным к
проницаемости по нефти при остаточном водонасышении Sво.
Известен также графический способ
решения уравнений с целью расчета относительных фазовых проницаемостей по
данным вытеснения, который является наиболее простым.
Для опытов по вытеснению,
выполненных при постоянной скорости вытеснения, последовательность расчетов
фазовых проницаемостей заключается в следующем.
По формулам (7) и (8) вычисляются
средняя насыщенность образца Sср на различные моменты
времени и соответствующие объемы закачанной воды Qв. По вычисленным
значениям Sср и Qв строится график зависимости Sср=f(Qв).
Касательная, проведенная к
полученной кривой для заданного объема закачки (в данном случае Qв= 0,30), позволяет определить насыщенность на выходном сечении
образца согласно соотношению:
Действительно, точка пересечения
касательной с осью ординат определяет величину насыщенности на выходном сёчении
образца для данного объема закачки. Вертикальный отрезок АВ (рис. 6),
образуемый точкой касания и горизонтальной линией, определяет величину второго
слагаемого в уравнении (14).
Строя таким образом касательные к
зависимости
можно
определить насыщенность выходного сечения образца для различных объемов
закачки.
Следует отметить, что до момента
прорыва воды зависимость
прямолинейна,
и все касательные будут отсекать на оси ординат значение насыщенности выходного
сечения образца, равное начальной неснижаемой водонасыщенности
.
Поскольку доля нефти
в выходном потоке будет определяться наклоном касательной к
построенной кривой (рис. 6), то для каждого закачанного объема воды
можно вычислить:
Тогда соответственно доля воды:
Еще одним параметром, который
необходим для определения относительной проницаемости, является эффективная
вязкость
выходного сечения образца. Для ее вычисления находят значение
средней эффективной вязкости
из
соотношения:
где
- соответственно
вязкость, перепад давления и расход воды в опыте при определении абсолютной
проницаемости образца.
По рассчитанным значениям средней
эффективной вязкости воды и закачанным объемам воды в долях объема пор строится
график зависимости
Как и при определении насыщенности
выходного сечения образца, проводятся касательные к кривой зависимости
для заданных объемов закачки (рис. 7). Тогда точка пересечения
касательной с осью ординат будет определять значение искомой эффективной
вязкости согласно соотношению:
Также следует отметить, что
эффективная вязкость на выходном сечении образца не изменяется до момента
прорыва воды и остается равной начальному значению средней эффективной
вязкости.
Таким образом, для заданных объемов
закачки
и определенных значений
можно рассчитать относительные проницаемости по формулам:
Относительные проницаемости,
определенные графическим методом, соответствуют фазовым проницаемостям,
отнесенным к проницаемости для воды при 100%-м водонасыщении.
Как уже отмечалось, относительные
проницаемости, вычисленные по данным вытеснения, охватывают не весь диапазон
изменения насыщенности, а только его часть, соответствующую изменению
водонасыщенности с момента прорыва воды до значения
. Это ограничивает применение данного метода определения ОФП. В
какой-то мере преодолеть это ограничение можно, если, например, в экспериментах
использовать вязкие модели нефти и тем самым расширить диапазон изменения
насыщенности, где наблюдается двухфазный поток. Однако в этом случае не будет
соблюдаться подобие по химико-физическому состоянию системы.
Для систем, где гистерезисные
явления при перемене направления в изменении насыщенности проявляются слабо,
можно проводить два опыта - по вытеснению нефти водой и наоборот, что позволит
построить полную кривую ОФП.
Расчетные методы
определения ОФП
Для воспроизведения процессов
совместного течения жидкостей в коллекторах с межзерновой пористостью широкое
распространение получили капиллярные модели, в которых поровое пространство
моделируется совокупностью капиллярных каналов. В зависимости от свойств
моделируемой пористой среды и с целью более точного отражения их разработаны
капиллярные модели различной степени сложности. Наиболее простые из них
представляют поровое пространство горных пород в виде пучка непересекающихся
капилляров.
Рассмотрим простую капиллярную
модель для расчета ОФП по кривой капиллярного давления.
Кривая капиллярного давления может
быть получена способами ртутной порометрии, центрифугирования, полупроницаемой
мембраны, контактной эталонной порометрии и др.
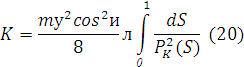
Уравнение, предложенное У. Пурселлом
(1949 г.), устанавливает связь между проницаемостью К, пористостью m и кривой капиллярного
давления
:
где л - литологический множитель,
учитывающий различие форм капилляров и реальных поровых каналов.
Если для получения кривой
капиллярного давления используется метод нагнетания ртути, то, приняв
, формула (20) записывается в виде:
На основании сопоставления
измеренных и расчетных значений коэффициента проницаемости было найдено среднее
значение л, равное 0,216 (Амикс Д., Басс Д., Уайтинг Р., 1962).
Для расчета ОФП по данной
капиллярной модели предполагается, что смачивающая фаза с ростом насыщенности
последовательно заполняет поры от меньших к большим. Тогда формулы для расчета
ОФП, дающие наиболее близкие к экспериментальным значения, имеют вид:
Методика расчета ОФП по кривым
капиллярного давления сводится к следующему. Экспериментально определенные
кривые капиллярного давления
перестраиваются
в функцию вида
(рис.
8). Для выбранных значений насыщенности рассчитывают значения соответствующих
интегралов в формулах (22), (23). Причем значения искомых интегралов соответствуют
площади под кривой
для
заданных пределов интегрирования. Затем, задавая величины начальной
водонасыщенности и остаточной нефтенасыщенности, вычисляют соответствующие
относительные фазовые проницаемости.
Меньшее распространение получили
методы расчета ОФП с использованием промысловых данных. Это вызвано
неопределенностью в оценке распределения насыщенности в пласте, величин
перепадов давления и дренируемых объемов.
Определение ОФП по
данным геофизических исследований скважин
На основании лабораторных
определений ОФП на кернах пород была предложена методика расчета относительных
фазовых проницаемостей по замерам удельного электрического сопротивления
полностью и частично водонасыщенного образца.
Для известных значений остаточной
водо- и нефтенасыщенности относительная проницаемость для воды в системе газ -
вода вычисляется из соотношения:

Соответственно относительная
проницаемость для газа рассчитывается по формуле:
В системе нефть-вода относительная
проницаемость для воды определяется из соотношения:
Соответственно, относительная
проницаемость для нефти вычисляется по формуле:
Следует отметить, что приведенные
соотношения выведены для гидрофильных пород с межзерновой пористостью, когда
реализуется процесс впитывания в процессе фильтрации.
Сопоставление ОФП,
полученных различными методами
В качестве примера на рис. 9
приведены кривые ОФП, полученные по образцам керна из пласта АВ2-3 Самотлорского
месторождения методами стационарной фильтрации и вытеснения. При использовании
метода вытеснения применялись режимы вытеснения нефти водой и воды нефтью.
Как видно из рис. 9, наибольшее
расхождение отмечается между ОФП для нефти. ОФП для воды, полученные методом
вытеснения, характеризуются более высокими значениями в диапазоне насыщенности,
где наблюдается двухфазный поток.
На рис. 10, а приведено
сопоставление кривых ОФП, полученных методом стационарной фильтрации и
рассчитанных по кривой капиллярного давления для образца кварцевого песчаника (m=22,4%, К=0,84мкм2). Отмечается, что экспериментальная
кривая ОФП для нефти хорошо согласуется с рассчитанной по кривой капиллярного
давления, тогда как кривые ОФП для воды существенно различаются.
Причиной расхождения кривых ОФП
является использование осредненных зависимостей (22) и (23) для расчета ОФП по
кривым капиллярного давления.
По-видимому, для данного типа пород
требуется корректировка указанных зависимостей путем подбора соответствующих
коэффициентов в расчетных формулах.
Определение фазовых проницаемостей
при фильтрации нефти, газа и воды
Трехфазная фильтрация нефти, газа и
воды может иметь место при разработке нефтяных месторождений с применением
закачки газа и водогазовых смесей, нефтегазовых месторождений (особенно с
обширными подгазовыми и водонефтяными зонами) и в других случаях, когда в
пласте одновременно находятся нефть, газ и вода. Данные о проницаемости для
трех фаз необходимы для проектирования методов воздействия на продуктивный
пласт - заводнения при давлении ниже давления насыщения, циклической закачки
газа, закачки пара, внутрипластового горения и др.
Совместное течение в пласте
одновременно трех фаз является наиболее сложным вопросом подземной
гидродинамики, его экспериментальное изучение сопряжено с целым рядом
трудностей методического и технического характера.
Определение фазовых
проницаемостей при совместной установившейся фильтрации нефти, газа и воды. Методика определения фазовых проницаемостей для системы
нефть-газ-вода разработана на основе анализа результатов опубликованных работ и
собственных исследований авторов обзора с учетом современного уровня развития
экспериментальной техники и представлений о процессах, происходящих при течении
флюидов в реальных пластах.
Методика определения ОФП при
совместном течении нефти, газа и воды основывается на тех же положениях, что и
методика для случая двухфазной фильтрации. Поэтому ниже рассматриваются лишь
характерные особенности методики при трехфазной фильтрации.
Как и в случае двухфазной
фильтрации, определение ОФП при совместной установившейся фильтрации нефти,
газа и воды проводится с использованием составных образцов из кернов изучаемого
месторождения, причем подготовка образца к эксперименту совершенно аналогична.
Важной особенностью подготовки
рабочих флюидов является предварительное насыщение нефти и воды пластовым газом
(или его моделью), что исключает массообмен газом между нефтью и водой в
процессе фильтрации через образец.
В качестве модели газа могут
использоваться индивидуальные углеводородные газы и азот.
Поскольку нефть и вода насыщены
газом, возникают определенные трудности с определением их вязкости в пластовых
условиях. Для этой цели необходимо использовать вискозиметры высокого давления
либо применять расчетные методы.
При подготовке эксперимента
определяется растворимость газа в нефти и воде, которая учитывается в
последующем при определении объемов вышедших флюидов.
Более сложную, по сравнению с
двухфазной, конструкцию имеет лабораторная установка, принципиальная схема
которой показана на рис. 11.
В состав механической системы,
обеспечивающей подачу флюидов в образец, входит еще один пресс (дозировочный
насос), который служит для закачки в образец газа. На выходе из кернодержателя
имеется система сепарации и замера объема нефти, воды и вышедшего газа (в том
числе выделившегося из жидкостей).
На гидравлических линиях, по которым
нефть, газ и вода подаются из прессов непосредственно в образец,
устанавливаются обратные клапаны для предотвращения возможных перетоков фаз по
линиям.
Поскольку при трехфазной фильтрации
необходимо определять насыщенность как минимум двух фаз, то компоновка образца
предусматривает замер не только перепада давления и электрического
сопротивления, но и скорости продольных ультразвуковых волн, которая тесно
связана с насыщенностью газом исследуемого участка. При этом акустические
датчики располагаются в выбранном сечении образца на том же участке, где
замеряются другие параметры.
Газонасыщенность можно также
определить снятием PV - диаграмм, повышая или снижая давление в образце, когда он
изолирован от других систем. В ряде случаев хорошие результаты дает метод
определения насыщенности по балансу закачанных и вышедших жидкостей.
Предпочтительнее в экспериментах
использовать оба метода контроля газонасыщенности в комплексе, поскольку они
дополняют друг друга и тем самым повышается точность определения.
Особенностью методики определения
ОФП для трехфазной системы нефть-газ-вода является проведение эксперимента при
давлении не ниже 5,0 МПа, что позволяет не учитывать изменение объема газа при
течении через образец, поскольку перепад давления не превышает 10% от рабочего
давления (Кундин С.А., 1960).
Линейная скорость течения фаз в
эксперименте для трехфазного течения рассчитывается по формуле
где Sго - остаточная газонасыщенность,
соответствующая пластовым условиям, доли единицы (остальные обозначения
приведены выше).
При проведении эксперимента по
определению ОФП для системы нефть-газ-вода число опытов (режимов) существенно
возрастает и может быть различным в зависимости от задач исследований.
Значения фазовых и относительных
проницаемостей определяются из уравнения Дарси как и для случая двухфазной
фильтрации, причем расчеты значительно упрощаются, если расходы фаз замеряются
при рабочем давлении по показаниям прессов.
Для качественной оценки полученных
результатов строят тройные диаграммы, а для дальнейшего использования данных об
ОФП в технологических расчетах результаты представляются в виде
двухпараметрических таблиц.
Оценка ОФП для системы
нефть-газ-вода по данным о двухфазной фильтрации
Экспериментальное определение
фазовых проницаемостей по керну для случая трехфазного насыщения позволяет
получить наиболее достоверные результаты, однако этот процесс является сложным
и трудоемким. Вместе с тем для оценки ОФП при трехфазном насыщении можно
воспользоваться данными о двухфазной фильтрации, полученными для систем
нефть-вода и газ-вода, экспериментальное определение которых значительно проще.
Известен рад эмпирических
зависимостей, позволяющих оценивать относительные фазовые проницаемости для
нефти, газа и воды при различном их соотношении. Наилучшее согласие с
известными экспериментальными данными дают расчеты, выполненные по модели,
предложенной Х.Л. Стоуном (1973 г.).
При этом предполагается, что при
трехфазном насыщении породы фазовая проницаемость для воды (смачивающая фаза) и
фазовая проницаемость для газа (несмачивающая фаза) являются функциями только
их собственных насыщенностей, поскольку они занимают в поровом пространстве
коллектора соответственно наименьшие и наибольшие поры. Данное предположение
подтверждается результатами экспериментов, проведенных на образцах песчаников.
Вследствие этого значения
относительных проницаемостей для воды и газа как функции их собственных
насыщенностей будут одинаковыми как при двухфазном, так и при трехфазном
насыщении порового пространства. Относительная проницаемость для нефти в случае
трехфазного насыщения будет зависеть не только от собственной насыщенности, но
и от соотношения насыщенностей газом и водой.
Определение ОФП для нефти при
трехфазном насыщении по данным об ОФП для двухфазного течения сводится к
следующему.
Для системы нефть-вода определяются
соответствующие зависимости ОФП:
Верхний индекс «в' в формуле
означает, что величина ОФП для нефти определялась для системы нефть - вода.
Определяются также ОФП для системы
газ - нефть при остаточном неизменяемом насыщении водой:
Тогда зависимость ОФП для нефти от
насыщенности водой и газом можно рассчитать по формуле:
где Кнво - относительная
проницаемость для нефти в системе нефть - вода при остаточном водонасыщении;
Sно - параметр остаточной нефти.
Поскольку количество остаточной
нефти будет различным в зависимости от того, чем будет вытесняться нефть (водой
или газом), то необходимо коррелировать величину Sно в зависимости от степени газонасыщения. В первом приближении
можно воспользоваться следующим уравнением:
где
- остаточное нефтенасьпцение, полученное соответственно для
систем нефть-вода и нефть-газ.
При Sг = 0°С б= 1, при Sв = Sвo б= О; в связи с этим
.
Таким образом, на основании
экспериментальных данных по двухфазной фильтрации для систем нефть-вода и
нефть-газ, используя соотношение (31) можно рассчитать относительную
проницаемость для нефти при трехфазном насыщении.
3. Использование данных
о фазовых проницаемостях нефти и газа
Как уже отмечалось, данные об ОФП
находят применение при решении широкого круга нефтепромысловых задач (оценки
кондиций переходных зон пластов, анализа разработки, расчета технологических
схем и методов контроля разработки нефтяных пластов, прогнозирования характера
притока при испытании скважин и обоснования кондиционных пределов
петрофизических свойств коллекторов и др.). Остановимся на рассмотрении
некоторых из них.
Данные об ОФП характеризуют объем
порового пространства, обеспечивающий проницаемость. Они позволяют оценить
величину динамической пористости, т.е. объем пор, в котором осуществляется
фильтрация.
Актуальным является использование
данных об ОФП для установления геофизических критериев продуктивного коллектора
и прогнозирования характера притока из пластов.
На основании изучения образцов керна
получают значения ОФП, отображающие конкретные свойства исследованных образцов.
Если изучаемый пласт рассматривается как однородный, то необходимо произвести
осреднение значений ОФП, полученных по керну.
Одним из приемов осреднения может
служить следующий подход (Крейг Ф.Ф., 1974). Для получения средней кривой ОФП
по семейству кривых определяют среднеарифметические значения насыщенности для
одинаковых значений относительных проницаемостей и с учетом средних значений
насыщенности остаточной водой и остаточной нефтью строят кривую ОФП для средней
проницаемости пласта.
Часто в экспериментах не удается
достичь значения остаточной водонасыщенности, соответствующей пластовому
значению. Для корректировки экспериментальных данных ОФП служит способ,
предложенный в работе Оуэнса и Арчера.
При этом считается, что ОФП для
нефти достигает значения 1,0 при пластовом значении Sво. Значения ОФП для воды и остаточной нефтенасыщенности (Sно), полученные экспериментально, соответствуют пластовым значениям.
Откорректированные кривые ОФП для пласта по форме подобны экспериментальны м.
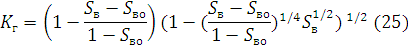
Другой способ сравнения данных ОФП,
полученных для различных литологических типов пород, предложен Р. Коллинзом
(1964 г.). Согласно этому методу кривые ОФП строятся в нормированных
координатах. Нормированные значения водонасыщенности определяются из выражения:

где Kнво и Kвно - относительные
проницаемости для нефти и воды соответственно при остаточной водо- и
нефтенасыщении.
Тогда ОФП, полученные для образцов,
обладающих подобной структурой порового пространства, в нормированных
координатах будут описываться единой кривой.
На рис. 3 а) приведены зависимости
ОФП от водонасыщенности для образцов песчаника из пластов АБ2-3
Самотлорского месторождения. Положение кривых ОФП для нефти на графике
определяется абсолютной проницаемостью образцов. Зависимости ОФП для воды
характеризуются одной кривой.
Перестроив полученные кривые в
нормированных координатах
(рис.
15,6) можно отметить, что в этом случае экспериментальные точки,
характеризующие ОФП различных образцов, аппроксимируются едиными кривыми как
для нефти, так и для воды. Это свидетельствует о том, что структуры порового
пространства исследованных образцов подобны.
Последнее обстоятельство позволяет
использовать зависимости ОФП, построенные в нормированных координатах, для
расчета ОФП образцов с абсолютной проницаемостью, отличных от исследованных и
обладающих подобной структурой порового пространства.
Зависимости ОФП от насыщенности
являются исходными данными при расчете технологических показателей разработки
месторождений нефти и газа. В частности, при многофазной фильтрации необходимы
ОФП для системы нефть - газ - вода либо ОФП для нефти и газа при остаточной
водонасыщенности в комплексе с ОФП для нефти и воды в присутствии остаточного
газа.
При использовании ОФП в
гидродинамических расчетах показателей разработки необходимо учитывать
неоднородность пласта.
Наиболее правильно определять ОФП
для условий каждого пропластка (объекта разработки). Однако это требует больших
затрат времени на экспериментальные работы и, кроме того, необходимого
количества представительного керна из всех пропластков.
Заключение
Наиболее достоверные данные об ОФП
коллекторов позволяет получить метод стационарной фильтрации с использованием
естественных кернов пород, проведенный при пластовых условиях, поскольку в этом
случае в процессе опыта имеется возможность контролировать все переменные,
оказывающие влияние на фазовые проницаемости. Этот метод следует рассматривать
как базовый по сравнению с другими. Однако определение ОФП по керну в условиях,
моделирующих пластовые, требует создания сложных лабораторных установок, и,
кроме того, это трудоемкий и длительный процесс.
Целесообразность использования того
или иного метода определения ОФП диктуется необходимой точностью решения
конкретной задачи.
На данный момент не разработано
универсальной математической модели для расчета технологических показателей
разработки. На различных стадиях изученности месторождения целесообразно
применять математические модели, соответствующие уровню изученности и
обеспечивающие необходимую точность. Так, на этапе проектирования разработки и
на первых стадиях освоения месторождения, когда используются модели одномерной
фильтрации, достаточную информацию о пласте несут ОФП, рассчитанные по
результатам испытания скважин.
На разбуренных участках, когда
имеется возможность создания достоверной геологической модели, для расчетов
показателей разработки предпочтительнее использовать трехмерные модели
фильтрации, особенно при сложном геологическом строении и сильной изменчивости
свойств коллекторов. В этом случае для модельных расчетов должны применяться
ОФП, измеренные на представительном керне, отображающем по возможности все
литологические типы коллекторов.
Наименее изученным остается вопрос
об относительных фазовых проницаемостях при фильтрации нефти, газа и воды. Это
определяет направление дальнейших исследований в изучении фазовых
проницаемостей коллекторов.
Список литературы
1. Добрынин В.М.,
Ковалев А.Г., Кузнецов А.М., Черноглазов В.Н. Фазовые проницаемости коллекторов
нефти и газа. - М.: ВНИИОЭНГ, 1988.
. Ковалев А.Г., Кузнецов
А.М., Юрчак В.П., Иванова Л.Б. ОСТ 39-235-89 Нефть. Метод определения фазовых
проницаемостей в лабораторных условиях при совместной стационарной фильтрации.
- Москва, 1989.
3. А.с. 602827 СССР.
Методика оценки смачиваемости горных пород по краевому углу смачивания.
4. Абасов М.Т., Таиров
Н.Д., Алиева Ш.М. Влияние температуры на относительные фазовые проницаемости
для нефти и газа // Азерб. нефт. хоз-во. - 1986. - №6.
5. Колмогоров В.Ф.
Методика и аппаратура для определения относительных фазовых проницаемостей //
Вопросы интенсификации разработки нефтяных месторождений Западной Сибири. -
Тюмень, 1986.
6. Ковалев А.Г.,
Кузнецов А.М., Покровский В.В. Методика экспрессного определения фазовых
проницаемостей при установившемся совместном течении нефти и газа // Нефт.
хоз-во. - 1984. - №11.
7. Кропотов О.Н., Ручкин
А.В., Яценко Г.Г. Методика оценки характера насыщенности пластов и
прогнозирования состава притока по данным каротажа // Геология нефти и газа. -
1983. - №2.
8. Оганджанянц В.Г.,
Балова Л.В., Баишев А.Б. Влияние соотношения физико-химических и
гидродинамических сил на фазовые проницаемости полимиктовых пород - М., 1985.
9. Батурин Ю.Е.
Особенности проектирования разработки нефтяных месторождений Западной Сибири, -
М., 1983.
10. Ромм Е.С.
Структурные модели порового пространства горных пород. - Л.: Недра, 1985.
11. Гиматудинов Ш.К.,
Борисов Ю.П., Розенберг М.Д. Справочное руководство по проектированию
разработки и эксплуатации нефтяных месторождений. - М.: Недра, 1983.