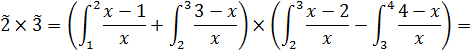
Выполнение операций над нечеткими числами
Выполнение
операций над нечеткими числами
1. Теоретическая часть
1.1 Основные понятия
теории нечетких множеств
Теория нечетких множеств,
развивающаяся после публикации в 1965 г. Основополагающей работы Л. Заде,
представляет собой обобщения и переосмысления важнейших направлений
классической математики. У ее истоков лежат идеи в достижения многозадачной
логики (трехзначной логики Лукасевича, k - значной логики Поста), которая
указала на возможности перехода от двух произвольному числу значений истинности
и поставила проблему оперирования понятиями с изменяющимся содержанием; теории
вероятностей, которая породив большое количество различных способов
статистической обработки экспериментальных данных (например, гистограммы,
функции распределения), открыла пути определения и интерпретации функции
принадлежности; дискретной математики (теории матриц, теории графов, теории
автоматов и т.д.), предложившей инструмент для построения моделей многомерных и
многоуровневых систем, удобный при решении практических задач. [2]
Дальнейшие шаги в этом направлении
связываются с созданием строгих и гибких математических методов исследования
нечетко определенных объектов. При этом нечеткость образов, представлений и
понятий человека вводится в формальные модели различными способами.
Можно выделить следующие основные
классификационные признаки способов формализации нечеткости:
) По виду представления нечеткой
субъективной оценки какой-либо величины (нечеткого множества);
) по виду области значений функции
принадлежности;
) по виду области определения
функции принадлежности;
) по виду соответствия между
областью определения и областью значений (однозначное, многозначное);
) по признаку однородности или
неоднородности области значений функции принадлежности.
Нечеткое множество
образуется путем введения обобщённого понятия принадлежности, т.е. расширения
двухэлементного множества значений характеристической функции 
до континуума [0,1].
Это означает, что переход от полной принадлежности объекта классу к полной его
принадлежности происходит не скачком, а плавно, постепенно, причем
принадлежность элемента множеству выражается числом из интервала [0,1].
Рассматривается
выполнение операций над нечеткими числами с треугольным представлением.
Вследствие того что исходные числа и результат операции задаются только тремя
числами, операции существенно упрощаются.
Краткие сведения о
методе. Приведем основные определения касающиеся нечетких чисел и операций над
ними. [1]
Определение 1. Нечеткое
число 
на действительной
прямой - это нечеткий набор, характеризуемый функцией принадлежности 
. Нечеткое число 
может быть выражено как
где 
степень принадлежности 
множеству 
, 
- объединение по всем 
; 
означает, что степень
принадлежности x множеству 
равна 
.
Определение 2. Нечеткое
число 
на действительной
прямой выпуклой, если для каких-либо реальных чисел x,
y, 

Определение 3. Нечеткое
число 
на действительной
прямой называется нормальным, если 
.
Рисунок 1.1 - Примеры нечетких чисел
На рисунке 1.1 показаны
различные виды нечетких чисел: 
- выпуклое, 
- нормальное, 
- нормальное выпуклое.
Сформируем принцип
обобщения. Пусть 
и 
- нечеткие числа на
действительной прямой R.
Тогда * можно выполнять над нечеткими числами 
и 
, используя соотношение

.
1.2 Свойства нечетких
множеств
а) нечеткое множество 
пустое, т.е. 
, если 
б) нечеткие множества A и 
эквивалентны, т.е. A=B, если 
[3]
в) нечеткое множество 
является подмножеством
нечеткого множества 
, т.е. 
, если 
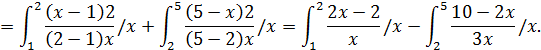
Пример. Пусть 
,
A=0.3/1
+ 0.5/2 + 1/3,
B=0.4/1
+ 0.6/2 + 1/3.
Тогда 
.
Кардинальное число
(мощность) нечеткого множества
находится следующим
образом:
Пример. Если 
и A=0.1/1 + 0.4/2 +
0.7/3 + 1/4, то cardA=2.2.
1.3 Операции над нечеткими
числами на основе принципа обобщения
Заметив гипотетическую
операцию * арифметическими операциями +, -, ×,:,
получим определение этих действий над двумя нечеткими числами:

; (1.1)

; (1.2)

; (1.3)

. (1.4)
Эти операции пригодны
для любых нечетких чисел и в частности для дискретных, однако они громоздки.
Для непрерывных нечетких чисел, отличающихся тем, что их функцию принадлежности
можно определить, зная ее границы, применим другой принцип. [4]
Определение 4. Число a называется границей функции принадлежности, если выполняются
следующие соотношения:
Функция принадлежности
имеет две границы: верхнюю и нижнюю. Таким образом, непрерывное нормальное
выпуклое нечеткое число можно записать в виде

, (1.5)
где a, b - нижняя и верхняя
границы функции принадлежности. Например, нечеткое число 
(приблизительно 2)
можно представить в виде
Рисунок 1.2 - Нечеткое число
приблизительно 2
(Рисунок 1.2) Пусть * -
двухместная операция; 
и 
- непрерывные
нормальные выпуклые нечеткие числа:

(1.6)

и 
получают из a, b, 
, 
в зависимости от
конкретной операции. Функция 
определяется в
зависимости от конкретной операции и нормировки µ.
Рассмотрим четыре
арифметические операции:


, (1.7)
C=A+B, 
, 
.
(1.8)
Функцию 
будем искать в виде 
. Исходя из нормировки
имеем для 
≤x≤C
Для C≤x≤
Таким образом,

(2.9)
Аналогично для остальных
арифметических операций получаем

(2.10)
где 
, 
, 
.

, (1.11)
где C=A×B, 
, 
, для операции деления:

(2.12)
где C=A:B, 
, 
.
Замечание. Для операции
умножения функции 
ищем в виде 
, для операции деления -
в виде 
. Например,
Отметим еще одну
особенность непрерывных нормальных выпуклых нечетких чисел: найти нечеткое
число, полученное в результате арифметической операции, можно, не проводя
лингвистического анализа, поскольку точно известно, при каком x функция принадлежности равна единице.
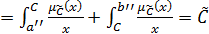
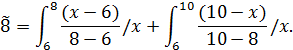
2. Практическая часть
Пример. Возьмем два
нечетких числа приблизительно 6=
и приблизительно 8=
, графически
изображенных на рисунке 1.3:

.
Рисунок 1.3 - Нечеткие числа приблизительно
2, приблизительно 6, приблизительно 8, приблизительно 14
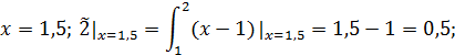
Пусть
x=6
(значение подставляется только в одно из слагаемых) 
Итак, имеем
Аналогично
Пусть
Итак, 
. Графики функций
принадлежности приведены на рисунки 1.3.
В соответствии с
принятыми ранее обозначениями найдем верхние и нижние границы и вершины чисел:
для 
для 

.
Рассмотрим выполнение
арифметических операций над числами 
и 
.
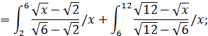
Сложение. Согласно (1.8)
определим границы и вершину результата (суммы нечетких чисел 
и 
)

;

.
Тогда в соответствии с
(1.9) имеем
Вычислим значения
функции принадлежности результата в нескольких точках:
Итак, получили 
. Графическое
изображение приведено на рисунке 1.3.
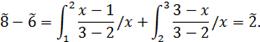
Вычитание. Значение
границ и вершины результата (разности нечетких чисел 
и 
):

.
В соответствии с (1.9)
получим
Определим значения
функции принадлежности в нескольких точках:
Получен результат 
. График приведен на
рисунке 1.3.
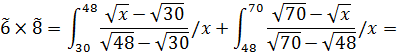
Умножение. Найдем
границы и вершину результата умножения 
на 
: 
;
. Выражение для функции
принадлежности имеет вид
функция нечеткий
операция принадлежность
Рисунок 1.4 - Нечеткое число
приблизительно 48
Вычислим значения функции
принадлежности в промежуточных точках. Пусть
Итак, получили 
.
Список источников
1) Борисов А.Н. Принятие решения на основе нечетких моделей. -
Рига «Зинатне», 1990 г. - 184 с.
2) Аверкин А.Н. Нечеткие множества в моделях управления и
искусственного интеллекта. - М.: Наука, 1986 г. - 312 с.
3) Сайт http://matlab.exponenta.ru/fuzzylogic/book5/1_1.php
4) Сайт
http://matica.org.ua/lineynie-operatori-kvadratichnie-formi/6-3-nech-tkie-mnozhestva-osnovnie-opredeleniya
) Сайт http://sedok.narod.ru/s_files/poland/book1/g1.pdf