Технико-эксплуатационная характеристика скважины Карповского месторождения
Содержание
Введение
.
Геологический раздел
.1
Общие сведения о месторождении
.2
Стратиграфия
.3
Тектоника
.4
Нефтегазоносность
.5
Физико-химические свойства пластовой нефти, газа и воды
.6
Состояние разработки объекта
.
Технико-технологический раздел
.1
Характеристика способа эксплуатации скважин погружными электроцентробежными
насосами
.2
Наземное и подземное оборудование УЭЦН
.3
Контроль работы скважин, оборудованных УЭЦН
.4
Технико-эксплуатационная характеристика скважины
.5
Подбор оборудования для эксплуатации скважин УЭЦН
.6
Факторы, влияющие на нормальную работу установки
.
Охрана труда и противопожарная защита
.1
Техника безопасности при эксплуатации УЭЦН
.2
Противопожарные мероприятия.
.
Охрана недр и окружающей среды
.1
Источники загрязнения окружающей среды в нефтяной промышленности
.2
Мероприятия по защите окружающей среды от загрязнений при эксплуатации скважин
УЭЦН
Список
литературы
скважина месторождение
нефтегазоносность насос
Введение
Состояние нефтяной промышленности России подошло
к такому периоду, когда дальнейшая эксплуатация скважин возможна лишь при
модернизации процесса добычи нефти, из-за существенного ухудшения
эксплуатационных условий. Одним из перспективных методов при этом становится
эксплуатация установками погружных электроцентробежных насосов (УЭЦН). Большой
проблемой при работе в осложненных скважинах является изменение ее
технико-экономических показателей. Факторов влияющих на работу УЭЦН очень
много: начиная от конструкции скважины, до процессов проходящих в самом пласте.
Совокупность всех осложнений приводит к резкому снижению эффективности работы
УЭЦН. В связи с этим становятся актуальным разработки по повышению показателей
работы насоса.
. Геологический раздел
.1 Общие сведения о месторождении
В административном отношении Карповское
месторождение расположено в Бугурусланском районе в 10 км к северо-западу от г.
Бугуруслана Оренбургской области в соответствии с рисунком 2. Через г.
Бугуруслан проходит с запада на восток железная дорога, связывающая города
Самара и Уфа. Связь по району месторождения осуществляется по асфальтированному
шоссе, которое соединяет города Оренбург и Самара и пересекает Карповское
месторождение с севера на юг. Шоссе пригодно для автотранспорта в любое время
года.
Ближайшие разрабатываемые месторождения нефти
расположены в 5 км к юго-востоку - Красноярское, в 2,4 км к югу -
Бугурусланское, в 4 км к юго-западу - Журавлевско-Степановское и в 3,6 км к
северу - Херсонское.
Климат района месторождения - резко
континентальный: характерны значительные амплитуды колебания температур в
течение суток и года, недостаточная увлажненность. В межсезонье нередки туманы,
наблюдаются как приземные, так и приподнятые температурные инверсии.
Среднегодовая температура воздуха положительна и равна плюс 3,6 0. При этом
средняя температура января минус 13,8 0С, июля плюс 20,1 0С. Интенсивность
выпадающих осадков невелика, годовое количество осадков составляет 423 мм.
Среднегодовая температура воздуха на
рассматриваемой территории положительна и равна плюс 4,1 o C. Разность между
средними температурами января (самый холодный месяц) и июля (самый теплый
месяц) составляет 33 oC , при этом средняя температура января - минус 12,7 oC,
а июля - плюс 20,3 oC. Устойчивый переход среднесуточных температур воздуха к
отрицательным значениям осенью происходит в последних числах октября; весной
среднесуточные температуры становятся устойчиво положительными, как правило, в
первой декаде апреля. Переход через плюс 5 oC наблюдается: осенью - во второй
декаде октября, весной - в середине апреля.
Продолжительность солнечного сияния (по МС
Оренбург) составляет в среднем 2198 часов в год. Наибольшая продолжительность
отмечается в июле - 322 часа, наименьшая в декабре - 55 часов. Годовой приход
прямой радиации на горизонтальную поверхность при ясном небе составляет 4707
МДж/м2, а годовая сумма рассеянной радиации равна 1428 МДж/м2. При реальных
условиях облачности многолетний средний годовой приход прямой радиации на
горизонтальную поверхность составляет 2430 МДж/м2, рассеянной - 2040 МДж/м2.
Рисунок 1 - Обзорная карта района работ
.2 Стратиграфия
По данным геологических съемок и
поисково-разведочного бурения осадочный чехол в районе Карповского
месторождения представлен отложениями протерозойского, палеозойского и
кайнозойского возраста.
Проектируемая деятельность связана с
эксплуатацией продуктивных пластов В1 турнейского яруса и Б2 бобриковского
горизонта, кроме того в целях доразведки месторождения планируется пробурить
оценочную скважину со вскрытием отложений девона, поэтому описание разреза
приводится начиная с франского яруса верхнего девона.
Девонская система (D)
Верхний отдел (D3)
Франский ярус (D3f).
Нижнефранский подъярус представлен пашийским и
кыновским горизонтами.
Пашийский горизонт сложен терригенными
образованиями: песчаниками и алевролитами с прослоями аргиллитов.
Толщина горизонта: (32-49) м.
Кыновский горизонт в кровле и основании сложен
известняками, средняя часть разреза представлена пачкой аргиллитов.
Толщина горизонта: (29-37) м.
Отложения средне и верхнефранского подъярусов
франского яруса представлены, в основном, карбонатными породами.
Преимущественным распространением пользуются известняки с прослоями мергелей и
аргиллитов, иногда в разрезе присутствуют доломиты.
Фаменский ярус (D3fm) на рассматриваемой
территории представлен известняками с прослоями доломитов.
Толщина яруса: (333-416) м.
Каменноугольная система (С)
Нижний отдел (С1)
Турнейский ярус (С1t) сложен известняками, в
верхах разреза с прослоями доломитов.
Толщина яруса: (7-28) м.
Визейский ярус (С1v) подразделяется на два
подъяруса: нижний и верхний.
Верхний отдел (С3)
Нерасчлененные отложения верхнего карбона
состоят из переслаивающихся известняков и доломитов, в верхах разреза отмечаются
прослои ангидритов и редко - глин.
Толщина отдела: (110-332) м.
Пермская система (Р)
Нижний отдел (Р1)
Ассельский ярус (Р1a). По литологическим
признакам отложения яруса группируются в три пачки: нижняя - карбонатная
(известняки и доломиты), средняя - карбонатно-сульфатная (переслаивающиеся
ангидриты и доломиты) и верхняя - карбонатная (известняки и доломиты с
преобладанием известняков).Толщина яруса: (38-74) м.
Сакмарский ярус (Р1s) образован ангидритами с
прослоями доломитов и реже известняков. Количество карбонатов плавно
увеличивается в кровле разреза. Толщина яруса: (140-210) м.
Артинский ярус (Р1ar). Отложения яруса залегают
на размытой поверхности сакмарского яруса и представлены двумя пачками: нижней
-
карбонатной и верхней - сульфатно-карбонатной.
Сульфаты представлены ангидритами, изредка гипсо-ангидритами; карбонаты -
доломитами с прослоями известняков.
Толщина яруса: (20-60) м.
Кунгурский ярус представлен в объеме
филипповского и иреньского горизонтов.
Толщина яруса: (42-97) м.
Филипповский горизонт сложен доломитами и
ангидритами с прослоями глин, алевролитов, гипсов.
Толщина горизонта: (97-146) м.
Иреньский горизонт. Отложения горизонта
сгруппированы в два типа разрезов: северный и южный. Условная граница между
этими разрезами проходит вдоль южного борта долины реки Большой Кинель.
Севернее долины реки Большой Кинель главенствующее
положение занимают доломиты, остальной объем
приходится на прослои мергелей, гипсов, и ангидритов, глин и алевролитов.
В южном направлении доломиты замещаются
ангидритами, исчезают прослои известняков и мергелей, сокращается количество
терригенных пород.
Толщина горизонта: (310-395) м.
Верхний отдел (Р2)
Уфимский ярус (Р2u) представлен красноцветными
отложениями бугурусланской свиты. На правобережье реки Бол. Кинель свита
сложена преимущественно песчаниками, алевролитами и глинами с редкими
маломощными прослоями карбонатных и сульфатных пород. Толщина свиты (36-64) м.
К югу от р. Бол. Кинель бугурусланская свита сложена чередующимися песчаниками
и глинами, содержащими мощные (до 7 м), выдержанные по простиранию, пласты
известняков и мергелей.
Толщина яруса: (30-60) м.
Ангидриты и гипсы занимают (10-20) % мощности
свиты и приурочены чаще к ее нижней части. Терригенные породы -
глины, алевролиты и песчаники, имеют подчиненное значение, образуют маломощные
прослои по всему разрезу свиты.
Малокинельская свита представлена чередующимися
пачками ритмично переслаивающихся песчаников, алевролитов, глин и известняков с
мощными линзами косослоистых песчаников.
Кутулукская свита слагает водораздел рек Бол.
Кинель и Мал. Кинель. Представлена свита переслаивающимися глинами и
алевролитами с маломощными прослоями мергелей и песчаников. Редко встречаются
линзы косослоистых песчаников.
Неогеновая система
Плиоцен
Акчагыльский региоярус. Отложения региояруса
выполняют плиоценовые переуглубленные палеодолины рек Бол. Кинель, Мочегай и их
притоков. Палеодолины протягиваются по левобережьям этих рек, ширина их (4-6)
км, глубина (100-150) м. Акчагыльские отложения района подразделяются на
нижне-и среднеакчагыльский подъярусы, верхнеакчагыльские отложения отсутствуют.
Нижнеакчагыльский подъярус залегает
преимущественно в нижней части палеодолин крупных рек и представлен в нижней
части песчано-гравийно-галечными отложениями, в верхней - песчанистыми глинами,
алевритами с линзами косослоистых песков.
Среднеакчагыльский подъярус. Разрезы подъяруса в
центральных и бортовых частях долин редко различаются. В осевых частях
палеодолин он представлен мощной толщей глин и алевритов с редкими линзами
тонкозернистых песков. В прибортовых частях в разрезе увеличивается количество
линз песков, плохо сортированных алевритов с галькой и гравием.
Толщина плиоцена: (15-25) м.
Четвертичная система
Четвертичные отложения на изученной территории
развиты повсеместно. Они покрывают водоразделы, их склоны, слагают террасы и
поймы рек. Представлены они аллювиальными, озерными, делювиальными и
элювиальными образованиями.
Аллювиальные и озерные четвертичные отложения
Плейстоцен
Верхненеоплейстоценовые отложения слагают
аллювиальные комплексы I и II надпойменных террас рек района и делювиальные
шлейфы на склонах речных долин.
Аллювий II надпойменной террасы (α2III)
прослеживается в долинах почти всех рек района. Подошва аллювия трассируется
ниже уреза воды на (5-8) м. В основании залегает русловой аллювий,
представленный галечниками мелкогалечными с песчаным наполнителем и линзами
песков с примесью гравия и мелкой гальки. Мощность руслового аллювия (2-7) м.
Выше лежит пойменный аллювий, представленный суглинками с линзами супесей и
мелкозернистых песков. Мощность пойменного аллювия (5-11) м. Аллювий II террасы
перекрывается верхненеоплейстоценовыми субаэральными отложениями -
погребенной почвой и лессами.
Аллювий I террасы (α1III)
распространен в долинах крупных рек и выполняет нижнюю часть сложной
комплексной I террасы. Верхняя часть террасы сложена голоценовыми отложениями.
Подошва аллювия I террасы прослеживается в (6-11) м ниже уреза воды в реках. В
основании аллювия залегают русловые пески с галькой, мощностью (3-6) м. Выше
лежат пойменные суглинки мощностью (4-5) м.
Еще выше разрез аллювия I террасы наращивается
супесями, песчанистыми глинами, с полуразложившимися и обугленными крупными
фрагментами растений и раковинами пресноводных моллюсков. Первая терраса рек
района низкая, она возвышается над меженным уровнем на (3-5) м и местами
заливается во время интенсивных паводков.
Голоцен
Современные аллювиальные отложения (αН)
широко развиты на рассматриваемой площади. Они представлены отложениями высокой
поймы, старичной фации, русловыми и низкопойменными отложениями в долинах всех
рек и ручьев.
Аллювиальные отложения высокой поймы сложены
преимущественно супесями тонкослоистыми, реже легкими суглинками. Мощность их
(0,5-1,0) м.
Элювиальные образования развиты на плоских
водораздельных пространствах, где процессы сноса почти не проявляются.
Литологический состав их тесно связан с составом
материнских пород. Преимущественно это суглинки содержащие небольшое количество
обломков подстилающих пород, устойчивых к выветриванию - известняков и
песчаников. Очень редко на поверхности элювия на абсолютных отметках (220-240)
м встречаются крупные гальки и валуны кремней и кварцитов из размытого
руслового аллювия миоценовых рек. Мощность его невелика и изменяется от 1 до 4
м.
.3 Тектоника
В геологическом строении месторождения принимают
участие доде-вонские, девонские, каменноугольные, пермские и четвертичные
отложения. Общая мощность осадочных образований составляет в среднем 2000 м.
Неф-тенасыщение выявлено в отложениях нижнего каменноугольного отдела.
Тектоническое строение территории
рассматриваемого района детально изучено по верхнепермским маркирующим
горизонтам.
Карповское поднятие, расположенное в южной части
Рычковской площади сейсморазведочных работ, впервые было выявлено в 1938 году
структурно-геологической съемкой по кровле аманакской свиты татарского яруса, а
в 1951 году было подтверждено структурным бурением по реперу в сокской свите. В
1961 году на поднятии началось глубокое поисково-разведочное бурение, которым
был изучен геологический разрез до рифейвендских отложений.
В региональном тектоническом плане по
поверхности кристаллического фундамента месторождение расположено в пределах
Серноводско-Абдулинского авлакогена, в соответствии с рисунком 3.
Серноводско-Абдулинский авлакоген представляет собой глубоко погруженную
впадину фундамента, простирающуюся в субширотном направлении между Татарским и
Жигулевско-Оренбургским сводами. По данным грави-магнито- и сейсморазведки он
имеет асимметричное строение - крутой (амплитудой в 2,5 км) южный борт и
относительно полого погружающийся по системе тектонических нарушений северный.
Северный борт авлакогена осложнен Пашкинско-Фоминовским выступом фундамента,
который на севере ограничен Бавлин-ским разломом, на юге - Исайкинско-Алпаевским
разломом субширотного простирания. Южная граница авлакогена трассируется по
Большекинельскому разлому субширотного простирания. Карповское поднятие
расположено чуть севернее Большекинельского разлома в пределах внешней
прибортовой зоны Муханово- Ероховского внутриформационного прогиба
Камско-Кинельской системы. Характерной особенностью бортовых зон прогиба
является широкое развитие биогермных построек фаменско-турнейского возраста.
Карповская структура по кровле бобриковского
горизонта на дату составления первого подсчета запасов нефти представляла собой
брахиантиклинальную складку северо-западного направления, осложненную двумя
куполовидными поднятиями: юго-восточным и северо-западным, разделенными
небольшим прогибом. Оба поднятия имели изометрическую форму и оконтуривались
стратоизогипсами минус 1495 м. Каждое из поднятий в свою очередь было осложнено
еще двумя куполами, имеющими направление основной складки. Наиболее высокие
отметки имели скважины № 15, 12, 17, расположенные в юго-восточной части
структуры. Абсолютные отметки кровли бобриковского горизонта в них составляют
минус 1482, минус 1477, минус 1477 м. Общие размеры Карповской структуры по
замкнутой изогипсе минус 1500 м составляли 10х3,4 - 2,4 км, амплитуда 26 м. Юго
- западное крыло наиболее крутое.
В пределах Карповской структуры выявлено было
две залежи нефти, разделенные зоной отсутствия коллекторов в скважинах № 11,
12, 14, 15. Северо-западная залежь имела вытянутую форму и небольшие размеры:
3.125x1,125 км, была вскрыта четырьмя скважинами с эффективными
нефте-насыщенными толщинами пласта от 1,0 до 2,0 м. Юго-восточная залежь была
ограничена с север-запада зоной отсутствия коллектора и была вскрыта тремя
скважинами: 13, 17 и 31. Эффективные нефтенасыщенные толщины в пределах залежи составляли
1,2. 2,3 и 1,2 м. Общий пробуренный фонд скважин составлял 20 скважин.
После бурения новых 23 скважин строение залежей
нефти существенно изменилось. Изменились размеры и конфигурация залежей,
границы изменения эффективных нефтенасыщенных толщин пласта, что и было учтено
при оперативной оценке запасов нефти 1992 года. Юго-восточная залежь
разделилась на две по результатам бурения скважины № 141, в которой пласт
оказался водоносным. В результате был выявлен восточный купол на месторождении,
вскрытый скважинами 31, 144, 143, 140, 142, 145 и 147.
Рисунок 2 - Тектоническая схема северо-западной
части Оренбургской области
Запасы нефти по ней были оценены и приняты на
баланс объединения в 1992 году. ВНК по залежи принят по материалам ГИС
пробуренных скважин на абсолютной отметке минус 1500 м.
Эффективные нефтенасыщенные толщины варьируют в
пределах 1,2 и 3,2 м, водонефтяная зона, в основном, узкая и всего одна
скважина №144 вскрыла нефтенасыщенный пласт в 1,6 м и водонасыщенный - толщиной
в 2,0 м.
На Западном куполе выявлена одна большая залежь
неправильной формы со структурными носами в районе пробуренных скважин № 19 и
14, разделенная на две части зоной замещения коллектора на неколлектор. Этаж
нефтеносности равен 18,1 м. Северная часть залежи оконтурена внешним контуром
нефтеносности на абсолютной отметке минус 1493 м.
Угол падения слоев меняется от 1° до 2 ° на
крутых крыльях и от 0,3 ° до 1° на пологих. Эффективные нефтенасыщенные толщины
изменяются в пределах 0,8 и 4,6 м в соответствии с рисунком 5.
На южной части залежи ВНК принят на утвержденной
абсолютной отметке минус 1497 м. Эффективные нефтенасыщенные толщины пласта
изменяются от 1,0 до 3,2 м.
Размеры залежи составляют 7,0х2,5 км, она
относится к типу пластовых сводовых с литологическим ограничением. Средняя
глубина залегания продуктивных отложений бобриковского возраста, представленных
пластом Б2 составляет на абсолютной отметке минус 1670,9 м. Пласт сложен
песчаниками буровато- и темно-серыми мелкозернистыми, расчлененными глинами и
алевролитовыми прослоями. Пласт характеризуется сложным строением,
невыдержанностью по площади и значительными колебаниями эффективных
нефтенасыщенных толщин от 0,8 до 4,6 м. Среднее ее значение составляет 1,8 м (в
подсчете запасов 1968г. - 1,5 м).
Залежь на Восточном куполе имеет изометричную
форму, вытянутую в северо-восточном направлении и разбуренную в центральной
части. Она оконтурена только с запада скважиной № 141, в которой вскрыты
водонасы-щенные прослои. Для уточнения ее конфигурации и границ контура
нефтеносности рекомендуется провести исследования непродольного вертикального
сейсмопрофилирования методом отраженных волн (НВСП MOB) или наземной скважинной
электроразведки (НСЭ) в скважине № 140 или 143. Эффективные нефтенасыщенные
толщины по скважинам изменяются от 5,8 до 12,8 м (рисунок 6). Этаж
нефтеносности залежи равен 19,6 м. Углы падения пластов на крутых крыльях
структур не превышают 2°, на пологих до 1°.
По турнейскому ярусу по месторождению в целом
общая нефтенасыщенная толщина всех прослоев в среднем составляет 11,9 м, из них
эффективная нефтенасыщенная толщина - 9,7 м (7,8 м по 13 скважинам, вскрывшим
нефтенасыщенные прослои, с подсчета запасов нефти 1968 г.). Количество
проницаемых нефтенасыщенных прослоев в среднем составило 3,727, песчанистость в
эффективной части - 0,846.
Таким образом, можно выделить следующие
особенности геологического строения продуктивных объектов нефтеносность на
месторождении выявлена в терригенных и карбонатных отложениях нижнего карбона залежи
нефти, как и поднятия, контролирующие их, имеют, в основном, средние размеры и
относительно средние этажи нефтеносности (до 16 метров). Наиболее значительной
по размеру является залежь нефти в продуктивных отложениях турнейского яруса,
приуроченная к Западному куполу,которая, в основном, разбурена положительные
структуры, к которым приурочены залежи турнейского яруса, почти полностью
заполнены нефтью, в отличие от вышележащих боб-риковских, которые ограничены
частично зоной замещения коллекторов в зависимости от структурного положения,
литологической характеристики коллекторов, их фациальной изменчивости, на
месторождении отмечаются следующие типы залежей: пластово-сводовый,
пластово-сводовый литологически экранированный и массивный.
Тип коллекторов преимущественно поровый и
порово-трещинный; контуры нефтеносности приняты по абсолютным отметкам,
соответствующим ВНК, подошве нижнего нефтеносного прослоя или нижних дыр
перфорации, из которых получена нефть.
.4 Нефтегазоносность
В Карповской структуре выявлена залежь газа
непромышленного значения в отложениях калиновской свиты. Из скважины № 3 с
абсолютных отметок минус (159,1-163,1) и был найден газ с водой. Абсолютно
свободный дебит газа составляет 5 тыс. м/сут. В скважине № 2 при отметке
верхней части фильтра минус 163,4 м получена вода без признаков газа. Если
учесть, что по кровле газоносного пласта “КС” скважина №3 самая высокая по
структуре, но этаж газоносности должен быть не более 4 м. Статическое давление
газа на устье скважины 28,2 атм, запасы газа исчисляются несколькими млн. м.
Промышленного интереса залежь не представляет. В
отложениях верхнего карбона признаки нефти по керну отличались в скважинах №
12, 13, 20. По геофизической характеристике разрыв верхнего карбона
расчленяется на несколько чередующихся пластов чистых и глинистых разностей
карбонатных пород.
Отложения среднего карбона вскрывались с отбором
керна почти по всей мощности разреза. Признаков нефтегазоносности по керну и
нефтепроявлений в процессе бурения не отличались.
В нижнем карбоне нефтенасыщеные песчаники
бобривского горизонта подняты. Из скважины № 25 в интервале (164-1649) м, по
геофизическим материалам пласт Б2 в этой скважине водоносный. Распространение
песчаников бобриковского горизонта на Карповской площади, как и на всех
площадях рассматриваемого карбона не повсеместное. В восточной части площади
через водные структуры проходит полоса выклинивания коллекторов. Нефтенасыщеные
песчаники по геофизическому материалу вскрыты в скважинах № 17, 13, 19,
частично нефтеносный пласт в скважине № 21. здесь вскрыта максимальная мощность
песчаников-5,2 м.
На Карповской площади в бобриковском горизонте
ожидаются две самостоятельные залежи. Одна из них в работе скважины №№ 13, 17,
структурно литологическая плита, вторая в районе скважин №№ 19, 24, обычная
пластовая сводовая залежь. Первая залежь приурочена к юго-восточной
переклинальной части структуры. На дату подсчета нефть не получена, в настоящее
время ведутся работы по подготовке к опробованию пласта в скважине № 7. Вторая
вероятная залежь пласта Б2 приурочена к местному куполу в районе скважины № 19.
эта залежь, видимо, будет несколько большей по размерам.
Из пласта В1 турнейского яруса нефть получена в
целом ряде скважин, залежь находится в пробной эксплуатации. Дебит нефти по скважинам
измеряется от 4,7 до 30 т/с. залежь массивная, этаж нефтеносности 25 м.
Ниже по разрезу в скважине № 25 подняты
песчаники с признаками нефти, скважина в бурении, каротажный материал не
получен.
.5 Физико-химические свойства пластовой нефти,
газа и воды
По результатам исследований и расчётов плотность
пластовой нефти изменяется от 0,8269 до 0,8507 г/см3, давление насыщения нефти
газом при пластовой температуре от 2,91 до 7,92 мПа, пластовый газовый фактор
от 19,7 до 39,3 м3/т (здесь и далее объём газа приведён к 20 оС и 0,1013 мПа),
динамическая вязкость пластовой нефти от 5,5 до 10,4 мПа.с.
После ступенчатой сепарации в рабочих условиях
плотность нефти 0,8569 г/см3, рабочий газовый фактор 24,2 м3/т, динамическая
вязкость разгазированой нефти 19,81 мПа.с.
По товарной характеристике нефть высокосернистая
(серы от 1,63 до 2,65% мас), смолистая (смол силикагелевых от 9,44 до 17,51 %
мас), парафинистая (парафинов от 2,79 до 6,96 % мас).
Выход светлых фракций при разгонке до 300 оС от
37 до 53 % объём.
В газе, выделившемся из нефти при ступенчатой
сепарации в рабочих условиях, сероводорода 0,65 % мол., метана 25,86% мол.,
высших углеводородов (пропан+высшие) 22,93 % мол., относительная плотность газа
по воздуху 1,041.
Северо-западный купол.
По результатам исследований и расчётов плотность
пластовой нефти изменяется от 0,8337 до 0,8596 г/см3, давление насыщения нефти
газом при пластовой температуре от 2,7 до 6,26 мПа, пластовый газовый фактор от
22,2 до 38,7 м3/т, динамическая вязкость пластовой нефти от 5,56 до 8,22 мПа.с.
После ступенчатой сепарации в рабочих условиях
плотность нефти 0,8691 г/см3, рабочий газовый фактор 27,8 м3/т, динамическая
вязкость разгазированой нефти 20,74 мПа.с.
По товарной характеристике нефть высокосернистая
(серы от 2,24 до 3,94% мас), смолистая (смол силикагелевых от 8,11 до 28,58 %
мас), парафинистая (парафинов от 4,25 до 6,36% мас).
Выход светлых фракций при разгонке до 300оС от
38 до 50% объём.В газе, выделившемся из нефти при ступенчатой сепарации в
рабочих условиях, сероводорода нет, метана 26,70% мол., высших углеводородов
(пропан+высшие) 38,68 % мол., гелия 0,023 % мольных, относительная плотность
газа по воздуху 1,187.
Восточный купол.
По результатам исследований и расчётов плотность
пластовой нефти изменяется от 0,8185 до 0,8400 г/см3, давление насыщения нефти
газом при пластовой температуре от 2,76 до 6,47 мПа, пластовый газовый фактор
от 23,2 до 36,9 м3/т, динамическая вязкость пластовой нефти от 4,87 до 6,92
мПа.с.
После ступенчатой сепарации в рабочих условиях
плотность нефти 0,8572 г/см3, рабочий газовый фактор 28,4 м3/т, динамическая
вязкость разгазированой нефти 17,22 мПа.с.
По товарной характеристике нефть высокосернистая
(серы от 2,12 до 3,26% мас), смолистая (смол силикагелевых от 12,8 до 22,04 %
мас), парафинистая (парафинов от 3,10 до 7,35 % мас).
Выход светлых фракций при разгонке до 300 оС от
38 до 51% объём.
В газе, выделившемся из нефти при ступенчатой
сепарации в рабочих условиях, сероводорода 1,31 % мол, метана 25,08 % мол.,
высших углеводородов (пропан+высшие) 22,75 % мол., относительная плотность газа
по воздуху 1,085.
.6 Состояние разработки объекта
На Карповском месторождении работает 12
добывающих скважин (11,12,13,15,17,19,24,114,125,131,140,147), из них четыре
эксплуатируются пластом В1(11,12,15,147), остальные скважины работают сразу с
двух пластов Б2+В1(13,17,19,24,114,125,131,140).
Закачка воды для ППД осуществляется в пласт В1,
через 12 нагнетательных скважин(142,28,105,127,144,21,115,103,106,126,130,137).
Для контроля за величиной пластового давления
существует пять пьезометрических скважин(143,22,26,29,110).
Четыре скважины на месторождении эксплуатируются
штанговыми насосами. Восемь скважин - электроцентробежными с типоразмерами УЭЦН
от ЭЦН-30 до ЭЦН-80.
Средний дебит одной скважины по нефти 7,2т/сут.
Средняя обводнённость 77,5 %.
. Технико-технологический раздел
.1 Характеристика способа эксплуатации скважин
погружными электроцентробежными насосами
Эксплуатация нефтяных скважин УЭЦН широко
распространенна на нефтяных промыслах Российской Федерации, и, особенно, в
Западной Сибири. В этом регионе 90% всей добываемой нефти поднимается на
поверхность земли с помощью УЭЦН. Особенно широко используются центробежные
насосы при интенсификации добычи нефти.
Установки ЭЦН выпускаются для экплуатации
высокодебетных, обводненных, глубоких и наконных скважин с дебитом 20-1000
м3/сут и высотой подьема жидкости 500-2000 м.
В области больших подач (свыше 80 м3/сут) УЭЦН
имеют самый высокий КПД среи всех механизированных способов добычи нефти. В
интервали подач от 50 до 300 м3/сут КПД УЭЦН превышает 40%, но в области
небольших подач КПД УЭЦН резко падает. Также установки ЭЦН меньше подверженны
влиянию кривизны ствола скважины.
Влияние кривизны ствола скважины у ЭЦН
сказывается о основном при спуско-подьемных операциях из-за опасности
повреждения кабеля и не связанно (до определенной величинны угла наклона
скважины и темпа набора кривизны), как у ШСН, с самим процессом эксплуатации.
Однако ЭЦН плохо работают в условиях коррозийнно-агрессивной среды, при выносе
песка, в условиях высокой температуры и высокого газового фактора.
Обслуживание установок ЭЦН просто, так как на
поверхности размещаются только станция управления и трансформатор, не требующие
постоянного ухода. Работа установок ЭЦН достаточно легко поддаётся
автоматизации и телеуправлению.
При использовании ЭЦН возможно применение
эффективных средств уменьшения отложения парафина в подъемных трубах.
Применяются защитные покрытия НКТ, системы автоматической подачи специальных
химических реагентов в скважину и автоматизированные установки со скребками,
спускаемыми на проволоке. Монтаж наземного оборудования УЭЦН прост, так как
станция управления и трансформатор не нуждаются в устройстве фундаментов. Эти
два узла установки ЭЦН размещают обычно в легкий будках или щкафах.
Межремонтный срок работы установок ЭЦН составляет по Западной Сибири в среднем
около года.Приминение новых конструктивных разработок, а также
усовершенствование способов диагностики, обслуживания и ремонта позволит в
ближайшие годы увеличить межремонтные сроки в 1,5-2 раза.
Бесштанговые насосы содержат скважинный насос и
скважинный привод насоса, непосредственно соединенные между собой. Энергия к
приводу насоса подводится по кабелю ( при электроприводе) или по трубопроводу
(при при гидро- или пневмоприводе). Благодаря отсутствию длинной механической
связи между приводом и насосом, бесштанговые насосы имеют значительно большую
мощность, чем штанговые. Это дает возможность поддерживать большие отборы
жидкости некоторыми видами бесштанговых насосов. В Российской Федерации
установками ЭЦН оснащено более 35% всех нефтяных скважин и добывается более 65%
всей нефти.
Разработка бесштанговых насосов в нашей стране
началась еще в начале 20 века, когда А.С. Арутюнов вместе с В.К. Долговым разработали
скважинный агрегат, в котором центробежный насос приводился в действие
погружным электродвигателем. Впоследствии А.С. Арутюнов создал всемирно
известную фирму REDA - Русский электродвигатель Арутюнова.
Промышленные образцы центробежных насосов с электроприводом
были разработаны в Советском Союзе Особым конструктивным бюро по бесштанговым
насосам (ОКБ БН). В настоящее время многие российские фирмы продолжают работы
по созданию бесштанговых насосов новых типов и типоразмеров и следят за
рациональным применением разработенных конструкции.
В последние годы нефтяная промышленность
получает большое количество новых видов УЭЦН, для изготовления которых чаще
применяются высококачественные материалыи высокие технологи, которые ранее
использовались лишь в аэрокосмических областях.
.2 Наземное и подземное оборудование УЭЦН
К наземному оборудованию относится станция
управления, автотрансформатор, барабан с электрокабелем и устьевая арматура.
Электрооборудование, в зависимости от схемы
токоподвода, включает в себя либо комплектную трансформаторную подстанцию для
погружных насосов (КТППН), либо трансформаторную подстанцию (ТП), станцию
управления и трансформатор.
Электроэнергия от трансформатора (или от КТППН)
к погружному электродвигателю подается по кабельной линии, которая состоит из
наземного питающего кабеля и основного кабеля с удлинителем. Соединение
наземного кабеля с основным кабелем кабельной линии осуществляется в клеммной
коробке, которая устанавливается на расстояние 3-5 метров от устья скважины.
Площадка для размещения наземного
электрооборудования защищается от затопления в паводковый период и очищается от
снега в зимний период и должна иметь подъезды, позволяющие свободно монтировать
и демонтировать оборудование. Ответственность за рабочее состояние площадок и
подъездов к ним возлагается на ЦДНГ.
Станция управления
При помощи станции управления осуществляют
ручное управление двигателем, автоматическое отключение агрегата при
прекращении подачи жидкости, нулевую защиту, защиту от перегрузки и отключения
агрегата при коротких замыканиях. Во время работы агрегата центробежный ток
насос всасывает жидкость через фильтр, установленный на приеме насоса и
нагнетает ее по насосам трубам на поверхность. В зависимости от напора, т.е.
высоты подъема жидкости, применяют насосы с различным числом ступеней. Над
насосом устанавливают обратный и сливной клапан. Обратный клапан используется
для поддерживания в НКТ, что облегчает пуск двигателя и контроль его работы
после пуска. Во время работы обратный клапан находится в открытом положении под
действием давления снизу. Сливной клапан устанавливают над обратным, и
используется для слива жидкости из НКТ подъеме их на поверхность.
Автотрансформатор
Трансформатор (автотрансформатор) используют для
повышения напряжения тока от 380 (промысловая сеть) до 400-2000 В.
У трансформаторов предусмотрено масляное
охлаждение. Они предназначены для работы на открытом воздухе. На высокой
стороне обмоток трансформаторов выполняется по пятьдесят ответвлений для подачи
оптимального напряжения на электродвигатель в зависимости от длины кабеля,
загрузки электродвигателя и напряжения сети.
Переключение отпаек производится при полностью
отключенном трансформаторе.
Трансформатор состоит из магнитопровода, обмоток
высокого ВН и НН напряжения, бака, крышки с вводами и расширителя с
воздухосушителем.
Бак трансформатора заполняется трансформаторным
маслом, имеющим пробивное напряжение не ниже 40кВт.
На трансформаторах мощностью 100 - 200кВт
установлен термосифонный фильтр для очистки трансформаторного масла от
продуктов старения.
На крышке бака смонтирован:
привод переключателя ответвлений обмоток ВН
(один или два);
ртутный термометр для измерения температуры
верхних слоев масла;
съемные ввода ВН и НН, допускающие замену
изоляторов без подъема извлекаемой части;
расширитель с маслоуказателем и
воздухоосушителем;
металлический короб для предохранения вводов от
попадания пыли и влаги.
Воздухоосушитель с масляным затвором
предназначен для удаления влаги и очистки от промышленных загрязнений воздуха,
поступающего в трансформатор при температурных колебаниях уровня масла
Устьевая арматура
Устьевая арматура предназначена для отвода
продукции из скважины в выкидную линию и герметизации межтрубного пространства.
Устьевая арматура скважины, подготовленной к
запуску УЭЦН, оборудуется манометрами, обратным клапаном на линии, соединяющей
затрубное пространство с выкидом, штуцерной камерой {при технологической
целесообразности) и патрубком для исследования. Ответственность за выполнение
этого пункта несёт ЦДНГ.
Устьевая арматура скважины, кроме функций
выполняемых при всех способах добычи должна обеспечить герметичность
перемещающегося в ней возвратно-поступательно полированного штока. Последний
является механической связью между колонной штанг и головкой балансира СК.
Устьевая арматура скважины, манифольды и
выкидные линии, имеющие сложную конфигурацию, усложняют гидродинамику потока.
Находящееся на поверхности прискважинное оборудование сравнительно доступно и
относительно просто очищается от отложений, в основном, термическими методами.
Устьевая арматура скважин, через которые
осуществляется закачка воды в пласт, подвергается гидравлическому испытанию в
порядке, установленном для фонтанной арматуры.
Подземное оборудование УЭЦН
К подземному оборудованию относится НКТ, насосный
агрегат и эклектический бронированный кабель.
Центробежные насосы для откачки жидкости из
скважины принципиально не отличаются от обычных центробежных насосов,
используемых для перекачки жидкостей на поверхности земли. Однако малые
радиальные размеры, обусловленные диаметром обсадных колонн, в которые
спускаются центробежные насосы, практически неограниченные осевые размеры,
необходимость преодоления высоких напоров и работа насоса в погруженном
состоянии привели к созданию центробежных насосных агрегатов специфического
конструктивного исполнения. Внешне они ничем не отличаются от трубы, но
внутренняя полость такой трубы содержит большое число сложных деталей,
требующих совершенной технологии изготовления.
Погружные центробежные электронасосы (ПЦЭН) -
это многоступенчатые центробежные насосы с числом ступеней в одном блоке до
120, приводимые во вращение погружным электродвигателем специальной конструкции
(ПЭД). Электродвигатель питается с поверхности электроэнергией, подводимой по
кабелю от повышающего автотрансформатора или трансформатора через станцию
управления, в которой сосредоточена вся контрольно-измерительная аппаратура и
автоматика. ПЦЭН опускается в скважину под расчетный динамический уровень
обычно на 150 - 300 м. Жидкость подается по НКТ, к внешней стороне которых
прикреплен специальными поясками электрокабель. В насосном агрегате между самим
насосом и электродвигателем имеется промежуточное звено, называемое протектором
или гидрозащитой. Установка ПЦЭН (рисунок 3) включает маслозаполненный
электродвигатель ПЭД 1; звено гидрозащиты или протектор 2; приемную сетку
насоса для забора жидкости 3; многоступенчатый центробежный насос ПЦЭН 4; НКТ
5; бронированный трехжильный электрокабель 6; пояски для крепления кабеля к НКТ
7; устьевую арматуру 8; барабан для намотки кабеля при спуско-подъемных работах
и хранения некоторого запаса кабеля 9; трансформатор или автотрансформатор 10;
станцию управления с автоматикой 11 и компенсатор 12.
Насос, протектор и электродвигатель являются
отдельными узлами, соединяемыми болтовыми шпильками. Концы валов имеют шлицевые
соединения, которые стыкуются при сборке всей установки. При необходимости
подъема жидкости с больших глубин секции ПЦЭН соединяются друг с другом так,
что общее число ступеней достигает 400. Всасываемая насосом жидкость
последовательно проходит все ступени и покидает насос с напором, равным
внешнему гидравлическому сопротивлению.
Рисунок 3 - Общая схема оборудования скважины
установкой погружного центробежного насоса
УПЦЭН отличаются малой металлоемкостью, широким
диапазоном рабочих характеристик, как по напору, так и по расходу, достаточно
высоким к. п. д., возможностью откачки больших количеств жидкости и большим
межремонтным периодом. Следует напомнить, что средняя по России подача по
жидкости одной УПЦЭН составляет 114,7 т/сут, а УШСН - 14,1 т/сут.
Все насосы делятся на две основные группы;
обычного и износостойкого исполнения. Подавляющая часть действующего фонда
насосов (около 95 %) - обычного исполнения.
Насосы износостойкого исполнения предназначены
для работы в скважинах, в продукции которых имеется небольшое количество песка
и других механических примесей (до 1 % по массе). По поперечным размерам все
насосы делятся на 3 условные группы: 5; 5А и 6, что означает номинальный
диаметр обсадной колонны, (в дюймах), в которую может быть спущен данный насос.
Группа 5 имеет наружный диаметр корпуса 92 мм,
группа 5А - 103 мм и группа б - 114 мм. Частота вращения вала насосов
соответствует частоте переменного тока в электросети. В России это частота - 50
Гц, что дает синхронную скорость (для двухполюсной машины) 3000 мин-1. В шифре
ПЦЭН заложены их основные номинальные параметры, такие как подача и напор при
работе на оптимальном режиме. Например, ЭЦН5-40-950 означает центробежный
электронасос группы 5 с подачей 40 м3/сут (по воде) и напором 950 м.
ЭЦН5А-360-600 означает насос группы 5А с подачей 360 м3/сут и напором 600 м.
Рисунок 4 - Типичная характеристика погружного
центробежного насоса
В шифре насосов износостойкого исполнения
имеется буква И, означающая износостойкость. В них рабочие колеса изготовляются
не из металла, а из полиамидной смолы (П-68). В корпусе насоса примерно через
каждые 20 ступеней устанавливаются промежуточные резино-металлические
центрирующие вал подшипники, в результате чего насос износостойкого исполнения
имеет меньше ступеней и соответственно напор.
Торцовые опоры рабочих колес не чугунные, а в
виде запрессованных колец из закаленной стали 40Х. Вместо текстолитовых опорных
шайб между рабочими колесами и направляющими аппаратами применяются шайбы из
маслостойкой резины.
Все типы насосов имеют паспортную рабочую
характеристику в виде кривых зависимостей Н(Q) (напор, подача), η(Q)
(к.
п. д., подача), N(Q) (потребляемая мощность, подача). Обычно эти зависимости
даются в диапазоне рабочих значений расходов или в несколько большем интервале
(рис. 11.2).
Всякий центробежный насос, в том числе и ПЦЭН,
может работать при закрытой выкидной задвижке (точка А: Q = 0; Н = Нmax) и без
противодавления на выкиде (точка В: Q = Qmax; H = 0). Поскольку полезная работа
насоса пропорциональна произведению подачи на напор, то для этих двух крайних
режимов работы насоса полезная работа будет равна нулю, а следовательно, и к. п.
д. будет равен нулю. При определенном соотношении (Q и Н, обусловленном
минимальными внутренними потерями насоса, к. п. д. достигает максимального
значения, равного примерно 0,5 - 0,6. Обычно насосы с малой подачей и малым
диаметром рабочих колес, а также с большим числом ступеней имеют пониженный к.
п. д. Подача и напор, соответствующие максимальному к. п. д., называются
оптимальным режимом работы насоса. Зависимость η(Q)
около своего максимума уменьшается плавно, поэтому вполне допустима работа ПЦЭН
при режимах, отличающихся от оптимального в ту и другую сторону на некоторую
величину. Пределы этих отклонений завесят от конкретной характеристики ПЦЭН и
должны соответствовать разумному снижению к. п. Д. насоса (на 3 - 5%). Это
обусловливает целую область возможных режимов работы ПЦЭН, которая называется
рекомендованной областью (см. рис. 11.2, штриховка).
Подбор насоса к скважинам по существу сводится к
выбору такого типоразмера ПЦЭН, чтобы он, будучи спущен в скважину, работал в
условиях оптимального или рекомендованного режима при откачке заданного дебита
скважины с данной глубины.
Выпускаемые в настоящее время насосы рассчитаны
на номинальные расходы от 40 (ЭЦН5-40-950) до 500 м3/сут (ЭЦН6-500-750) и
напоры от 450 м (ЭЦН6-500-450) до 1500 м (ЭЦН6-100-1500). Кроме того, имеются
насосы специального назначения, например для закачки воды в пласты. Эти насосы
имеют подачу до 3000 м3/сут и напоры до 1200 м.
Напор, который может преодолеть насос, прямо
пропорционален числу ступеней. Развиваемый одной ступенью при оптимальном
режиме работы, он зависит, в частности, от размеров рабочего колеса, которые
зависят в свою очередь от радиальных габаритов насоса. При внешнем диаметре
корпуса насоса 92 мм средний напор, развиваемый одной ступенью (при работе на
воде), равен 3,86 м при колебаниях от 3,69 до 4,2 м. При внешнем диаметре 114
мм средний напор 5,76 м при колебаниях от 5,03 до 6,84 м.
Насосный агрегат состоит из насоса (рисунок 4,
а), узла гидрозащиты (рисунок 4, 6), погружного электродвигателя ПЭД (рисунок
4, в), компенсатора (рисунок 4, г), присоединяемого к нижней части ПЭДа.
Насос состоит из следующих деталей: головки 1 с
шаровым обратным клапаном для предупреждения слива жидкости из НКТ при
остановках; верхней опорной пяты скольжения 2, воспринимающей частично осевую
нагрузку из-за разности давлений на входе и выкиде насоса; верхнего подшипника
скольжения 3, центрирующего верхний конец вала; корпуса насоса 4; направляющих
аппаратов 5, которые опираются друг на друга и удерживаются от вращения общей
стяжкой в корпусе 4; рабочих колес 6; вала насоса 7, имеющего продольную
шпонку, на которой насаживаются рабочие колеса со скользящей посадкой. Вал
проходит и через направляющий аппарат каждой ступени и центрируется в нем
втулкой рабочего колеса, как в подшипнике; нижнего подшипника скольжения 8;
основания 9, закрытого приемной сеткой и имеющего в верхней части круглые
наклонные отверстия для подвода жидкости к нижнему рабочему колесу; концевого
подшипника скольжения 10. В насосах ранних конструкций, имеющихся еще в эксплуатации,
устройство нижней части иное. На всей длине основания 9 размещается сальник из
свинцово-графитовых колец, разделяющий приемную часть насоса и внутренние
полости двигателя и гидрозащиты. Ниже сальника смонтирован трехрядный радиально-упорный
шариковый подшипник, смазываемый густым маслом, находящимся под избыточным, по
отношению к внешнему, некоторым давлением (0,01 - 0,2 МПа).
Рисунок 4 - Устройство погружного центробежного
агрегата
а - центробежный насос; б - узел гидрозащиты; в
- погружной электродвнгателъ; г - компенсатор
В современных конструкциях ЭЦН в узле
гидрозащиты не имеется избыточного давления, поэтому утечки жидкого
трансформаторного масла, которым заполнен ПЭД, меньше, и необходимость в
свинцово-графитовом сальнике отпала.
Полости двигателя и приемной части разделяет
простым торцовым уплотнением, давления по обе стороны которого одинаковые.
Длина корпуса насоса обычно не превьшает 5,5 м. Когда же нужное число ступеней
(в насосах, развивающих большие напоры) разместить в одном корпусе не удается,
их размещают в два или три отдельных корпуса, составляющих самостоятельные
секции одного насоса, которые состыковываются вместе при спуске насоса в
скважину
Узел гидрозащиты - самостоятельный узел,
присоединяемый к ПЦЭН болтовым соединением (на рисунок 4 узел, как и сам ПЦЭН,
показан с транспортировочными заглушками, герметизирующими торцы узлов)
Верхний конец вала 1 соединяется шлицевой муфтой
с нижним концом вала насоса. Легкое торцевое уплотнение 2 разделяет верхнюю
полость, в которой может быть скважинная жидкость, от полости ниже уплотнения,
которая заполнена трансформаторным маслом, находящимся, как и скважинная
жидкость, под давлением, равным давлению на глубине погружения насоса. Ниже
торцевого уплотнения 2 располагается подшипник скользящего трения, а еще ниже -
узел 3 - опорная пята, воспринимающая осевое усилие вала насоса. Опорная пята
скольжения 3 работает в жидком трансформаторном масле.
Ниже размещается второе торцевое уплотнение 4
для более надежной герметизации двигателя. Оно конструктивно не отличается от
первого. Под ним располагается резиновый мешок 5 в корпусе 6. Мешок герметично
разделяет две полости: внутреннюю полость мешка, заполненного трансформаторным
маслом, и полость между корпусом 6 и самим мешком, в которую имеет доступ
внешняя скважинная жидкость через обратный клапан 7.
Скважинная жидкость через клапан 7 проникает в
полость корпуса 6 и сжимает резиновый мешок с маслом до давления, равного
внешнему. Жидкое масло по зазорам вдоль вала проникает к торцевым уплотнениям и
вниз к ПЭДу.
Разработаны две конструкции устройств
гидрозащиты. Гидрозащита ГД отличается от описанной гидрозащиты Г наличием на
валу малой турбинки, создающей повышенное давление жидкого масла во внутренней
полости резинового мешка 5.
Внешняя полость между корпусом 6 и мешком 5
заполняется густым маслом, питающим шариковый радиально-упорный подшипник ПЦЭН
прежней конструкции. Таким образом, узел гидрозащиты ГД усовершенствованной
конструкции пригоден для использования в комплекте с широко распространенными
на промыслах ПЦЭН прежних типов. Ранее применялась гидрозащита, так называемый
протектор поршневого типа, в которой избыточное давление на масло создавалось
подпружиненным поршнем. Новые конструкции ГД и Г оказались более надежными и
долговечными. Температурные изменения объема масла при его нагревании или
охлаждении компенсируются с помощью присоединения к нижней части ПЭДа
резинового мешка - компенсатора.
Для привода ПЦЭН служат специальные вертикальные
асинхронные маслозаполненные двухполюсные электродвигатели (ПЭД).
Электродвигатели насоса делятся на 3 группы: 5; 5А и 6.
Поскольку вдоль корпуса электродвигателя, в
отличие от насоса, электрокабель не проходит, диаметральные размеры ПЭДов
названных групп несколько больше, чем у насосов, а именно: группа 5 имеет
максимальный диаметр 103 мм, группа 5А - 117 мм и группа 6 - 123 мм.
В маркировку ПЭД входит номинальная мощность
(кВт) и диаметр; например, ПЭД65-117 означает: погружной электродвигатель
мощностью 65 кВт с диаметром корпуса 117 мм, т. е. входящий в группу 5А.
Малые допустимые диаметры и большие мощности (до
125 кВт) вынуждают делать двигатели большой длины - до 8 м, а иногда и больше.
Верхняя часть ПЭДа соединяется с нижней частью узла гидрозащиты с помощью
болтовых шпилек. Валы стыкуются шлицевыми муфтами.
Верхний конец вала ПЭДа подвешен на пяте
скольжения 1, работающей в масле. Ниже размещается узел кабельного ввода 2.
Обычно этот узел представляет собой штекерный кабельный разъем. Это одно из
самых уязвимых мест в насосе, из-за нарушения изоляции которого установки
выходят из строя и требуют подъема; 3 - выводные провода обмотки статора; 4 -
верхний радиальный подшипник скользящего трения; 5 - разрез торцевых концов
обмотки статора; 6 - секция статора, набранная из штампованных пластин
трансформаторного железа с пазами для продергивания проводов статора. Секции
статора разделены друг от друга немагнитными пакетами, в которых укрепляются
радиальные подшипники 7 вала электродвигателя 8. Нижний конец вала 8 центрируется
нижним радиальным подшипником скользящего трения 9. Ротор ПЭДа также состоит из
секций, собранных на валу двигателя из штампованных пластин трансформаторного
железа. В пазы ротора типа беличьего колеса вставлены алюминиевые стержни,
закороченные токопроводящими кольцами, с обеих сторон секции. Между секциями
вал двигателя центрируется в подшипниках 7. Через всю длину вала двигателя
проходит отверстие диаметром 6 - 8 мм для прохождения масла из нижней полости в
верхнюю. Вдоль всего статора также имеется паз, через который может
циркулировать масло. Ротор вращается в жидком трансформаторном масле с высокими
изолирующими свойствами. В нижней части ПЭДа имеется сетчатый масляный фильтр
10. Головка 1 компенсатора (см. рис. 11.3, г), присоединяется к нижнему концу
ПЭДа; перепускной клапан 2 служит для заполнения системы маслом. Защитный кожух
4 в нижней части имеет отверстия для передачи внешнего давления жидкости на
эластичный элемент 3. При охлаждении масла его объем уменьшается и скважинная
жидкость через отверстия заходит в пространство между мешком 3 и кожухом 4. При
нагревании мешок расширяется, и жидкость через те же отверстия выходит из
кожуха.
ПЭДы, применяемые для эксплуатации
нефтедобывающих скважин, имеют мощности обычно от 10 до 125 кВт.
Для поддержания пластового давления применяются
специальные погружные насосные агрегаты, укомплектованные ПЭДами мощностью 500
кВт. Напряжение питающего тока в ПЭДах колеблется от 350 до 2000 В. При высоких
напряжениях удается пропорционально уменьшить ток при передаче той же мощности,
а это позволяет уменьшить сечение токопроводящих жил кабеля, а следовательно,
поперечные габариты установки. Это особенно важно при больших мощностях
электродвигателя. Скольжение ротора ПЭДа номинальное - от 4 до 8,5 %, к. п. д.
- от 73 до 84 %, допустимые температуры окружающей среды - до 100 °С.
При работе ПЭДа выделяется много теплоты,
поэтому для нормальной работы двигателя требуется охлаждение. Такое охлаждение
создается за счет непрерывного протекания пластовой жидкости по кольцевому
зазору между корпусом электродвигателя и обсадной колонной. По этой причине
отложения парафина в НКТ при работе насосов всегда значительно меньше, чем при
других способах эксплуатации.
В производственных условиях случается временное
обесточивание силовых линий из-за грозы, обрыва проводов, из-за их обледенения
и пр. Это вызывает остановку УПЦЭН. При этом под влиянием стекающего из НКТ
через насос столба жидкости вал насоса и статор начинают вращаться в обратном
направлении. Если в этот момент подача электроэнергии будет восстановлена, то
ПЭД начнет вращаться в прямом направлении, преодолевая силу инерции столба
жидкости и вращающихся масс.
Пусковые токи при этом могут превысить
допустимые пределы, и установка выйдет из строя. Чтобы этого не случилось, в выкидной
части ПЦЭН устанавливается шаровой обратный клапан, препятствующий сливу
жидкости из НКТ.
Обратный клапан обычно размещается в головке
насоса. Наличие обратного клапана осложняет подъем НКТ при ремонтных работах,
так как в этом случае трубы поднимают и развинчивают с жидкостью. Кроме того,
это опасно в пожарном отношении. Для предотвращения таких явлений выше
обратного клапана в специальной муфте делается сливной клапан. В принципе
сливной клапан - это муфта, в боковую стенку которой вставлена горизонтально
короткая бронзовая трубка, запаянная с внутреннего конца. Перед подъемом в НКТ
бросается металлический короткий дротик. От удара дротика бронзовая трубка
отламывается, в результате чего боковое отверстие в муфте открывается и
жидкость из НКТ сливается.
Разработаны и другие приспособления для слива
жидкости, устанавливаемые над обратным клапаном ПЦЭН. К ним относятся так
называемые суфлеры, позволяющие измерять межтрубное давление на глубине спуска
насоса скважинным манометром, спускаемым в НКТ, и устанавливающие сообщение
межтрубного пространства с измерительной полостью манометра.
Следует заметить, что двигатели чувствительны к
системе охлаждения, которая создается потоком жидкости между обсадной колонной
и корпусом ПЭДа. Скорость этого потока и качество жидкости влияют на
температурный режим ПЭДа. Известно, что вода имеет теплоемкость 4,1868
кДж/кг-°С, тогда как чистая нефть 1,675 кДж/кг-°С. Поэтому при откачке
обводненной продукции скважины условия охлаждения ПЭДа лучше, чем при откачке
чистой нефти, а его перегрев приводит к нарушению изоляции и выходу двигателя
из строя. Поэтому изоляционные качества применяемых материалов влияют на
длительность работы установки. Известно, что термостойкость некоторой изоляции,
применяемой для обмоток двигателя, доведена уже до 180 °С, а рабочие
температуры до 150 °С. Для контроля за температурой разработаны простые
электрические температурные датчики, передающие на станцию управления
информацию о температуре ПЭДа по силовому электрическому кабелю без применения дополнительной
жилы. Аналогичные устройства имеются для передачи на поверхность постоянной
информации о давлении на приеме насоса. При аварийных состояниях станция
управления автоматически отключает ПЭД.
ПЭД питается электроэнергией по трехжильному
кабелю, спускаемому в скважину параллельно с НКТ. Кабель крепится к внешней
поверхности НКТ металлическими поясками по два на каждую трубу. Кабель работает
в тяжелых условиях. Верхняя его часть находится в газовой среде, иногда под
значительным давлением, нижняя - в нефти и подвергается еще большему давлению.
При спуске и подъеме насоса, особенно в искривленных скважинах, кабель
подвергается сильным механическим воздействиям (прижимы, трение, заклинивание
между колонной и НКТ и т. д.). По кабелю передается электроэнергия при высоких
напряжениях. Использование высоковольтных двигателей позволяет уменьшить ток и,
следовательно, диаметр кабеля. Однако кабель для питания высоковольтного ПЭДа
должен обладать и более надежной, а иногда и более толстой изоляцией. Все кабели,
применяемые для УПЦЭН, сверху покрыты эластичной стальной оцинкованной лентой
для защиты от механических повреждений. Необходимость размещения кабеля по
наружной поверхности ПЦЭН уменьшает габариты последнего. Поэтому вдоль насоса
укладывается плоский кабель, имеющий толщину примерно в 2 раза меньше, чем
диаметр круглого, при одинаковых сечениях токопроводящих жил.
Все кабели, применяемые для УПЦЭН, делятся на
круглые и плоские. Круглые кабели имеют резиновую (нефтестойкая резина) или
полиэтиленовую изоляцию, что отображено в шифре: КРБК означает кабель резиновый
бронированный круглый или КРБП - кабель резиновый бронированный плоский. При
использовании полиэтиленовой изоляции в шифре вместо буквы Р пишется П: КПБК -
для круглого кабеля и КПБП - для плоского.
Круглый кабель крепится к НКТ, а плоский -
только к нижним трубам колонны НКТ и к насосу. Переход от круглого кабеля к
плоскому сращивается методом горячей вулканизации в специальных прессформах и
при недоброкачественном выполнении такой сростки может служить источником
нарушения изоляции и отказов. В последнее время переходят только к плоским
кабелям, идущим от ПЭДа вдоль колонны НКТ до станции управления. Однако
изготовление таких кабелей сложнее, чем круглых (табл. 11.1).
Имеются еще некоторые разновидности кабелей с
полиэтиленовой изоляцией, не упомянутые в таблице. Кабели с полиэтиленовой
изоляцией на 26 - 35 % легче кабелей с резиновой изоляцией. Кабели с резиновой
изоляцией предназначены для использования при номинальном напряжении
электрического тока не более 1100 В, при температурах окружающей среды до 90 °С
и давлении до 1 МПа. Кабели с полиэтиленовой изоляцией могут работать при
напряжении до 2300 В, температуре до 120 °С и давлении до 2 МПа. Эти кабели
обладают большей устойчивостью против воздействия газа и высокого давления.
Все кабели имеют броню из волнистой оцинкованной
стальной ленты, что придает им нужную прочность.
Первичные обмотки трехфазных трансформаторов и
автотрансформаторов всегда рассчитаны на напряжение промысловой электросети, т.
е. на 380 В, к которой они и подсоединяются через станции управления. Вторичные
обмотки рассчитаны на рабочее напряжение соответствующего двигателя, с которым
они связаны кабелем. Эти рабочие напряжения в различных ПЭДах изменяются от
350В (ПЭД10-103) до 2000 В (ПЭД65-117; ПЭД125-138). Для компенсации падения
напряжения в кабеле от вторичной обмотки делается 6 отводов (в одном типе
трансформатора 8 отводов), позволяющих регулировать напряжение на концах
вторичной обмотки с помощью перестановки перемычек. Перестановка перемычки на
одну ступень повышает напряжение на 30 - 60 В в зависимости от типа
трансформатора.
Все трансформаторы и автотрансформаторы
немаслозаполненные с воздушным охлаждением закрыты металлическим кожухом и
предназначены для установки в укрытом месте. Они комплектуются с подземной
установкой, поэтому их параметры соответствуют данному ПЭДу.
В последнее время трансформаторы находят более
широкое распространение, так как это позволяет непрерывно контролировать
сопротивление вторичной обмотки трансформатора, кабеля и статорной обмотки
ПЭДа. При уменьшении сопротивления изоляции до установленной величины (30 кОм)
установка автоматически отключается.
При автотрансформаторах, имеющих прямую
электрическую связь между первичной и вторичной обмотками, такого контроля
изоляции осуществлять нельзя.
Трансформаторы и автотрансформаторы имеют к. п.
д. около 98 - 98,5 %. Масса их в зависимости от мощности колеблется от 280 до
1240 кг, габариты от 1060 х 420 х 800 до 1550 х 690 х 1200 мм.
Работа УПЦЭН управляется станцией управления
ПГХ5071 или ПГХ5072. Причем станция управления ПГХ5071 применяется при
автотрансформаторном питании ПЭДа, а ПГХ5072 - при трансформаторном. Станции
ПГХ5071 обеспечивают мгновенное отключение установки при замыкании токоведущих
элементов на землю. Обе станции управления обеспечивают следующие возможности
контроля и управления работой УПЦЭН.
. Ручное и автоматическое (дистанционное)
включение и отключение установки.
. Автоматическое включение установки в режиме
самозапуска после восстановления подачи напряжения в промысловой сети.
. Автоматическую работу установки на
периодическом режиме (откачка, накопление) по установленной программе с
суммарным временем 24 ч.
. Автоматическое включение и отключение
установки в зависимости от давления в выкидном коллекторе при
автоматизированных системах группового сбора нефти и газа.
. Мгновенное отключение установки при коротких
замыканиях и при перегрузках по силе тока на 40%, превышающих нормальный
рабочий ток.
. Кратковременное отключение на время до 20 с
при перегрузках ПЭДа на 20 % от номинала.
. Кратковременное (20 с) отключение при срыве
подачи жидкости в насос.
Двери шкафа станции управления имеют
механическую блокировку с блоком рубильников. Имеется тенденция к переходу на
бесконтактные, герметически закрытые станции управления с полупроводниковыми
элементами, которые, как показал опыт их эксплуатации, более надежны, не
подвержены воздействию пыли, влаги и осадков.
Станции управления предназначены для установки в
помещениях сарайного типа или под навесом (в южных районах) при температуре
окружающей среды от - 35 до +40 °С.
Масса станции около 160 кг. Габариты 1300 x 850
x 400 мм. В комплект поставки УПЦЭН входит барабан с кабелем, длина которого
определяется заказчиком.
Во время эксплуатации скважины по
технологическим причинам глубину подвески насоса приходится изменять. Чтобы не
рубить и не наращивать кабель при таких изменениях подвески, длина кабеля
берется по максимальной глубине подвески данного насоса и при меньших глубинах
его излишек оставляется на барабане. Этот же барабан используется для намотки
кабеля при подъеме ПЦЭН из скважин.
При постоянстве глубины подвески и стабильных
условиях работы насоса конец кабеля заправляется в соединительную коробку, и
необходимость в барабане отпадает. В таких случаях при ремонтах используют
специальный барабан на транспортной тележке или на металлических санях с
механическим приводом для постоянного и равномерного подтягивания извлекаемого
из скважины кабеля и намотки его на барабан. При спуске насоса с такого
барабана равномерно подается кабель. Барабан приводится в движение
электроприводом с реверсом и фрикционом для предупреждения опасных натяжений.
На нефтедобывающих предприятиях с большим числом УЭЦН используют специальный
транспортировочный агрегат АТЭ-6 на базе грузового вездехода КаАЗ-255Б для
перевозки кабельного барабана и другого электрооборудования, в том числе
трансформатора, насоса, двигателя и узла гидрозащиты.
Для погрузки и разгрузки барабана агрегат
снабжен откидными направлениями для накатывания барабана на платформу и
лебедкой с тяговым усилием на канате 70 кН. На платформе имеется также
гидрокран грузоподъемностью 7,5 кН при вылете стрелы 2,5 м. Кабель спущенного
насосного агрегата пропускают через сальниковые уплотнения устья и
герметизируют в нем с помощью специального разъемного герметизирующего фланца в
устьевой крестовине.
Типичная арматура устья скважины, оборудованной
для эксплуатации ПЦЭН (рисунок 5), состоит из крестовины 1, которая
навинчивается на обсадную колонну.
Рисунок 5 - Арматура устья скважины,
оборудованной ПЦЭН
В крестовине имеется разъемный вкладыш 2,
воспринимающий нагрузку от НКТ. На вкладыш накладывается уплотнение из
нефтестойкой резины 3, которое прижимается разъемным фланцем 5. Фланец 5
прижимается болтами к фланцу крестовины и герметизирует вывод кабеля 4.
Арматура предусматривает отвод затрубного газа
через трубу 6 и обратный клапан 7. Арматура собирается из унифицированных узлов
и запорных кранов. Она сравнительно просто перестраивается для оборудования
устья при эксплуатации штанговыми насосами.
2.3 Контроль работы скважин, оборудованных УЭЦН
В современных условиях работы УЭЦН, зачастую
осложненных многими факторами (наклонно-направленные скважины, высокая обводненность
и химическая активность пластовой жидкости, высокое содержание механических
примесей, высокая температура, давление и газовый фактор), нормальная эксплуатация
оборудования нереальна без использования систем диагностики. Применение систем
диагностики позволяет не только оптимизировать работу системы
"пласт-скважина-насосная установка", но и предотвратить большинство
отказов и аварий со скважинным оборудованием.
Оборудование диагностики работоспособности УЭЦН
является техническим средством контроля рабочих параметров установки и
формирования сигналов для автоматического управления работой УЭЦН.
Термоманометрическая система (ТМС) ТМС-3.
Система обеспечивает:
сигнализацию при достижении заданных значений
давления на приеме скважинного ЭЦН и предельно допустимого значения
температуры (100 °С) ПЭД;
формирование сигналов управления УЭЦН при достижении
заданных значений давления на приеме ЭЦН и предельно допустимого значения
температуры. Система ТМС-3 состоит из скважинного преобразователя, трансформирующего
давление и температуру в частотно-манипулированный электрический сигнал, и наземного
прибора, осуществляющего функции блока питания, усилителя-формирователя
сигналов и устройства управления режимом работы погружным электронасосом по
давлению и температуре.
Скважинный преобразователь давления и
температуры (ПДТ) выполнен в виде цилиндрического герметичного контейнера,
размещаемого в нижней части электродвигателя и подключенного к нулевой точке
его статорной обмотки. Наземный прибор, устанавливаемый в комплектное
устройство ШГС, обеспечивает формирование сигналов на ее отключение и
выключение насоса по давлению и температуре.
В качестве линии связи и энергопитания ПДТ
используется силовая сеть питания погружного электродвигателя.
Система термоманометрическая СКАД-2.
Эксплуатационное назначение системы - контроль
технического состояния УЭЦН в процессе эксплуатации, подконтрольный вывод на
режим и стабилизация работы скважины в заданном режиме.
Функциональное назначение - контроль температуры
масла электродвигателя и давления пластового флюида в зоне подвески УЭЦН с
возможностью автоматического управления установкой по параметрам давления и
температуры совместно с блоком управления комплектного устройства ШГС 5805, ШГС
5806.
Система обеспечивает постоянный контроль
избыточного давления пластовой жидкости, окружающей ПЭД, а также температуры
статорных обмоток в зоне нижней лобовой части ПЭД. При выходе за установленные
граничные значения контролируемого давления и температуры оборудование
автоматически отключает УЭЦН.
Система СКАД-2 позволяет фиксировать граничные и
текущие значения контролируемых параметров, количества отключений УЭЦН
раздельно по каждому из условий, а также текущего и предельно допустимого
количества отключении УЭЦН за последние календарные сутки. Обеспечивается также
визуальное представление в цифровой форме текущих и граничных значений
контролируемых параметров, светодиодная индикация режимов работы системы,
самотестирование системы, возможность включения в многоуровневую систему управления
технологическим процессом нефтедобычи на правах контрольного пункта нижнего
уровня.
Импульсная система телеметрии ИСТ-1.
Импульсная система телеметрии ИСТ-1
предназначена для контроля технического состояния УЭЦН в процессе эксплуатации,
подконтрольного вывода на режим и стабилизации работы скважины на заданном
режиме за счет управления работой УЭЦН.
Система ИСТ-1 обеспечивает контроль давления
жидкости в зоне подвески УЭЦН, температуры масла в электродвигателе, уровня
вибрации погружного оборудования и автоматическое управление работой УЭЦН по
давлению, температуре и виброускорению совместно с блоком управления устройства
комплектного ШГС 5805.
Система ИСТ-1 может использоваться в составе
автоматизированных систем управления технологическими процессами нефтедобычи.
.4 Технико-эксплуатационная характеристика
скважины
Месторождение - Карповское
пласт
глубина скважины,
-дебит скважины по жидкости, 
- текущее пластовое давление,
давление насыщения нефти газом,
давление у устья скважины,
газовый фактор,
плотность попутной нефти,
плотность нефти,
диаметр эксплуатационной колонны,
обводненность жидкости,
кинематическая вязкость,
коэффициент продуктивности,
.5 Подбор оборудования для эксплуатации скважин
УЭЦН
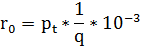
.Определяем коэффициент продуктивности:
,
где
- пластовое
давление в МПа;- дебит скважины в т/сут;
- коэффициент
продуктивности в т/сут МПа
. Выбираем диаметр труб согласно рекомендациям ,
приведенным в учебнике, стр 137 (3)
.Определяем глубину спуска насоса на условия
обеспечения минимально необходимого ( оптимального) давления на приеме насоса
,
Где
- забойное давление
в МПа;
- глубина скважины
в м;ускорение свободного падения
;
-плотность смеси
,
определяется по формуле:
,
Где
-обводненность
жидкости в долях;
-плотность воды и
нефти в
-оптимальное
давление на приеме насоса выбирается в зависимости от обводненности и газового
фактора по промысловым данным или по кривым газосодержания. В этом случае
задаются допускаемым газосодержанием на приеме насоса в пределах
0,1-0,15
и определают:
.Выбор насоса.
Для выбора насоса определяют требуемое давление
насоса, равное потерям давления в скважине в (МПа):
,
Где
-устьевое давление,
МПа
-потери давления на
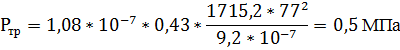
преодоление сил трения, Па, определяется по следующей формуле:
,
Гдеглубина спуска насоса , м;
- коэффициент
гидравлического сопротивления определяется в зависимости от числа Рейнольдса и
относительной гладкости труб
,
Гдевнутренний
диаметр труб в м;кинематическая вязкость жидкости в
При
полученным значениям Re находят из графика учебника ( 3 ) стр.139 значения
- работа
газа определяется по формуле:
,
Где
-внутренний
размер НКТ, мм
-газовый
фактор,
-давление на
устье, МПа,
-давление
насыщения, МПа,
-обводненность
продукции, %
.1
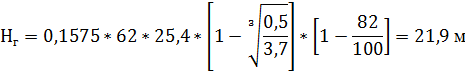
Определяют требуемый напор насоса :
.2
Определяем группу насоса ( диметр ) в зависимости от диаметра эксплуатационной
колонны , руководствуясь следующей таблицей:
Группа
насоса
|
Диаметр
насоса, мм
|
|
140(121,7)
мм
|
5
|
92
|
|
146(130)
мм
|
5А
|
103
|
|
168(144,6)
мм
|
6
|
123
|
|
|
|
В нашем случае :
Диаметр эксплуатационной колоны D (
)
=146 (130) мм;
Группа насоса: 5А;
Диаметр насоса: 103 мм.
.3 Выбирают тип насоса по напору и
производительности.
Для этого по таблицам характеристик насоса ( 5 )
стр. 92 - 93 задаются двумя, тремя насосами , удовлетворяющими в первом
приближении условиям , и по их рабочим характеристикам ( см. каталог ) выбирают
окончательный насос с максимальным к.п.д.
Выбираем насос УЭЦНМ5-80-1550
. Гидрозащиту и электродвигатель выбирают
согласно комплектности поставки установки стр. 382 - 385 (4).
Двигатель ПЭДУ45-103В5 I=37A
Гидрозащита 1МГ-5
6. Проверяют соответствие мощности двигателя
условиям откачки , для чего определяют необходимую мощность и сравнивают с
мощностью выбранного двигателя согласно комплектности в (кВт).
. Выбор кабеля.
По выбранному двигателю выбирается плоский и
круглый кабель стр. 85 - 90 (5) или стр. 382-385 (4). От длины и сечения кабеля
зависят потери электроэнергии в нем к.п.д. установки.
Мы выбираем плоский кабель 3
16.
. Потери электроэнергии в кабеле КПБК длиной 100
м определяются по формуле в ( кВт ) :
,
Гдесила тока в статора электродвигателя , А
;сопротивление в кабеле , Ом
Сопротивление в кабеле длиной 100 м можно
определить по формуле в (Ом) :
Где
-удельное
сопротивление кабеля при температуре
,
Ом*
площадь
сечения жилы кабеля ,
Удельное сопротивление кабеля при
определяется
:
,
,
Где
=0,0175
-
удельное сопротивление меди при Т=293К
-температурный
коэффициент меди
Потери электроэнергии в кабеле в (кВт) составят:
Гдеглубина спуска насоса , м ;
-расстояние от скважины до станции управления ,
м
. Проверяют возможность спуска агрегата в
скважину , для чего определяют максимальные габариты агрегата и сравнивают их с
внутренним диаметром эксплуатационной колонны.
Наружный диаметр двигателя , насоса и подъемных
труб выбирают с учетом размещения их вместе с кабелем в эксплуатационной
колонне данного диаметра. При этом имеют в виду , что погружной агрегат и
ближайшие к агрегату трубы составляют жесткую систему , и расположение их в
скважине должно рассматриваться совместно. Зная глубину спуска , искривленность
скважины и состояние эксплуатационной колонны , выбирают допустимый зазор между
агрегатом и колонной. От зазора зависят основные размеры насоса и двигателя ,
связанные с мощностью погружного агрегата.
Для сохранности кабеля и устранения опасности
прихвата агрегата в эксплуатационной колонне диаметральный зазор для скважин с
диаметром колонн до 219 мм принимают равным 5 - 10 мм.
Основной диаметр агрегата с учетом плоского
кабеля в ( мм ) :
,
Где
-наружный диаметр
электродвигателя , мм ;
-наружный диаметр
насоса , мм ;
-толщина плоского
кабеля , мм ;=1,0 мм - толщина металлического пояса , крепящего кабель , мм
Основной размер агрегата с учетом насосных труб
и круглого кабеля в ( мм ) :
Где
-диаметр муфты , мм
;
-диаметр круглого
кабеля , мм
Если
,
что может иметь место при большом диаметре насосных труб , то выше агрегата
следует установить 100 - 150 м насосных труб меньшего диаметра , при котором
.
В нашем случае
,
120,5 мм < 140,5 мм, то следует установить 100 - 150 м насосных труб
меньшего диаметра.
. Выбор трансформатора
Автотрансформатор служит для подачи
необходимого напряжения к электродвигателю с компенсацией падения напряжения в
кабеле от станции управления до электродвигателя.
Для выбора автотрансформатора и определения
величины напряжения во вторичной его обмотке необходимо найти падение
напряжения U в кабеле в ( В ) .
Где
-активное удельное
сопротивление кабеля ,
;
- индуктивное
удельное сопротивление кабеля ,
; приближенно
равно 0,1
;
- коэффициент
мощности установки ( 3 ) ( 5 ) ;
- коэффициент
реактивной мощности ;
- рабочий ток
статора , А ; ( 3 ) ( 5 ) ;
- длина кабеля от
электродвигателя до станции управления , м
Активное удельное сопротивление кабеля
определяют по формуле в ( Ом ) :
Где
-удельное
сопротивление кабеля
смотри пункт 7.
Напряжение на вторичной обмотке трансформатора
равно сумме напряжения электродвигателя
и
потерь напряжения в кабеле ΔU
:
11. Определение удельного расхода электроэнергии
, приходящейся на 1 тонну добытой жидкости.
Характерным энергетическим показателем работы
электронасосной установки служит расход электроэнергии на 1 т добытой жидкости.
Он определяется по формуле в (
) :
Гдевысота подачи жидкости , м ;
-общий к.п.д.
установки , равный ;
Где
-к.п.д. труб = 0,92
- 0,99 ;
-к.п.д. насоса ;
-к.п.д. двигателя
при неполной его загрузке ;
= 0,72 - 0,75 ;
-к.п.д. кабеля ,
который в зависимости от сечения кабеля , длины , силы тока и температуры
изменяется ;
;
- к.п.д.
автотрансформатора = 0,96
Для сравнительной оценки удельного расхода
электроэнергии , чтобы исключить влияние высот подъема , иногда определяют
расход электроэнергии на подъем 1т жидкости на 1 м ,
:
.6 Факторы, влияющие на нормальную работу установки
Все факторы, влияющие на работу УЭЦН можно
разделить на группы. Геологические (газ, вода, отложение солей и парафина,
наличие мех примесей в добываемой из пласта жидкости), поскольку своим
происхождением они обязаны условиям формирования залежи. И факторы,
обусловленные конструкцией скважины или УЭЦН (диаметр эксплуатационных колонн,
кривизна скважин, большая глубина подвески, исполнение узлов и деталей УЭЦН). В
зависимости от того, какое воздействие они производят на технико-экономические
параметры эксплуатации скважин, каждая группа в свою очередь делится на факторы
с положительным и с отрицательным действием.
Прежде чем рассматривать методы по борьбе с
осложнениями, следует разобраться в сущности процессов приводящих к снижению
эффективности работы скважин, эксплуатируемых УЭЦН.
Вследствие того, что безводный период
эксплуатации скважин занимает малую часть от общего периода, влияние воды на
работу УЭЦН начинается практически с начала работы скважины. Появление в нефти
пластовой воды приводит к целому ряду осложнений при эксплуатации УЭЦН.
По своему химическому составу нефть склонна к
образованию эмульсий, так как в ее состав входят активные эмульгаторы-
асфальтены и смолы. Процессу образования эмульсий также способствуют глина и
песок, принесенные с поверхности или из пласта. Так как вязкость и устойчивость
эмульсии зависит от дисперсности водонефтяных смесей, а УЭЦН является одним из
лучших диспергаторов, то в процессе прохождения жидкости через рабочие колеса
образуется эмульсия, вязкость которой может повышаться в десятки раз по
сравнению с чистой нефтью. В работах Максимова В.П., Мищенко И.Т. и т. д.
отмечено, что максимальные значения вязкости характерны для эмульсий с
обводненностью 40-60%. Увеличение вязкости негативно отражается на рабочих характеристиках
УЭЦН. В качестве критерия для оценки изменения параметров работы насоса в
работе Л.С. Каплана, были предложены коэффициент подачи насоса и межремонтный
период работы. При работе насоса в интервале обводненности 40-60 % коэффициент
относительной подачи насоса в среднем уменьшился примерно в 1,6 раза, а
продолжительность безотказной работы насоса сократилась в 1,5 раза. Кроме этого
было установлено, что влияние высоковязкой эмульсии на насосы с большей подачей
выражено меньше.
Другой формой осложнения является появление
высокоминерализованной пластовой воды, что приводит к сильной коррозии и
активному солеотложению в органах насоса. Это связано с высокой коррозионной
активностью пластовой воды. Сочетание воздействия высокоминерализованной воды и
электрического тока приводят к возникновению электрохимической коррозии
металла. Если этим факторам добавляется низкое забойное давление, то происходит
активное солеотложение в рабочих органах насоса.
Другим постоянным спутником нефти при ее добыче
является газ. При попадании газа в рабочие органы насоса образуются газовые
каверны, величина которых соизмерима с размерами канала ступени. При этом
происходит ухудшение энергообмена между рабочим колесом и жидкостью. Кроме
этого при конденсации пузырьков газа давление внутри пузырьков остается
постоянным и равным давлению насыщения пара, давление же жидкости по мере
продвижения пузырька. Частицы жидкости, окружающие пузырек, находятся под
действием все возрастающей разности давления жидкости и давления внутри пузырька
и движутся к его центру ускоренно. При полной конденсации пузырька происходит
столкновение частиц жидкости, сопровождающиеся мгновенным местным повышением
давления, достигающих сотен мегапаскаль. Это приводит к разрушению рабочей
поверхности насоса. Все это приводит к ухудшению рабочих характеристик насоса.
Исследования движения газожидкостных смесей в
каналах рабочего колеса УЭЦН проводил П. Д. Ляпков. Он установил, что при
газосодержании Г>0,06 в насосе происходит резкое ухудшение характеристик.
В работе О. Г. Гафурова экспериментально
исследовно влияние структуры газожидкостной смеси на характеристику насоса.
Было получено, что повышение степени дисперсности газовой фазы увеличивает
величину критического газосодержания до Г=0,25. Это достигается при помощи
применения диспергаторов.
Исследования по совместной работе ступеней в
многоступенчатом погружном насосе велись группой ученых под руководством Н.Н.
Репина. Ими было установлено, что напор, развиваемый ступенью, растет по мере
роста его порядкового номера. Это обусловлено изменением
физико-химических свойств газожидкостного потока по мере его продвижения, в
первую очередь дисперсностью газовой фазы.
Однако появление газа в водонефтяных смесях,
обладающими повышенными вязкостями, а также в нефтях с неньютоновскими
свойствами приводит к увеличению показателей работы насоса. Это обуславливается
разрушением структурных связей в жидкости за счет выделения газа и как
результат повышение текучести жидкости.
В добываемой жидкости находятся различные
механические примеси. Это могут быть соли, продукты разрушения пласта и
механические примеси, принесенные с дневной поверхности при ремонтах скважин.
Создание на забое скважины перепада давления приводит к частичному разрушению
скелета горной породы. Мелкие частицы породы вместе с жидкостью попадают в
насос и абразивно изнашивают поверхности рабочих колес.
Для предупреждения осложнений, связанных с
содержанием механических примесей в продукции скважины, необходимо
контролировать содержание механических примесей для этого техническими
условиями регламентируется предельное содержание механических примесей в
добываемой жидкости: 0,1-0,5 г/л.
Рисунок 6
К другой группе факторов влияющих на работу УЭЦН
относятся осложнения, связанные с конструкцией скважины, а также с компоновкой
насосного агрегата. Рассмотрим некоторые из них.
Для создания форсированного отбора жидкости из
скважины необходимо увеличить перепад давления. Это достигается спуском
насосного агрегата на большую глубину. Для того чтобы продукция скважины могла
преодолевать более высокое давление, создаваемое столбом жидкости, находящейся
в НКТ, насосу придется повысить напор. Но повышение напора приведет к изменению
рабочей характеристики насоса. Посмотрим на характеристику насоса. На ней
выделяется рабочая область - это область, в которой имеют места максимальные
значения КПД. Если насос до спуска работал в рабочей области, то после спуска
произойдет перемещение рабочего режима насоса по кривой H-Q влево (из точки 1 в
точку 2). Вместе с этим произойдет уменьшение КПД. Снижение КПД установки
обусловлено уменьшением величены полезно затраченной работы. А как показывает
практика нефтедобычи разность равная уменьшению полезной работы насоса идет на
создание новых осложнений при эксплуатации УЭЦН.
Другой проблемой является повышение температуры
откачиваемой жидкости, с возрастанием глубины спуска насоса. Долговечность
материала изоляции кабеля и обмоточного провода погружного электродвигателя
(ПЭД) уменьшается с увеличением температуры, что может привести к пробоям в
изоляции и выхода из строя ПЭД.
Использование кустового способа бурения привело
к целому ряду осложнений при спуске и эксплуатации УЭЦН. Выявлено, что в
интервалах набора кривизны, составляющих 2 градуса и более на 10 м ствола
возрастает количество отказов оборудования, чаще происходит падение установок
на забой скважины. Причина заключается в возникновение изгибающих и сминающих
сил, воздействующих на силовой кабель и корпуса узлов УЭЦН. Также проблемой при
эксплуатации наклонных скважин при помощи УЭЦН, является искривление ротора,
что приводит к повышению вибрационного воздействия. Повышенные виброперемещения
вызывают знакопеременные напряжения в области соединения узлов УЭЦН между собой
и с НКТ, стимулируя их разрушение в месте соединения. Кроме искривления ротора
причинами вибраций может стать изменение геометрических параметров рабочих
колес, вследствие износа.
Для защиты кабеля при спуско-подъемных работах
применяют центраторы. Но к сожалению, и они обладают рядом недостатков.
Установка центраторов производится на НКТ через
каждые 30 метров. При этом собственная вибрация
насоса передается практически на всю длину эксплуатационной колонны. В
результате цементный камень за обсадной колонной, пол действием вибрации, разрушается.
Герметичность колонны пропадает, а следовательно появляются межколонные
перетоки. В местах установки центраторов также могут произойти нарушения
целостности обсадной колонны.
Усугубляет ситуацию тот факт что, осложнения не
встречаются по отдельности. Чаще всего эксплуатируемые скважины имеют целый
набор осложнений, которые снижают эффективность работы УЭЦН. Один вид
осложнения может привести к появлению новых проблем при эксплуатации.
Выбор оптимального режима работы насоса может
предотвратить появление некоторых осложнений. Для этого, на стадии подбора
УЭЦН, необходимо оценить в какой области рабочей характеристики будет работать
насос. Делается это пересечением двух линий (рис. 2):
. напорная характеристика скважины,
графически отображает запасы энергии, накопленные в самой скважине.
. зависимость производительности насоса
от его напора, эта линия характеризует сам насос.
Точка пересечения А характеризует совместную
работу пласт-скважина-насос.
Для оптимальной работы системы
пласт-скважина-насос необходимо еще одно условие - выбор соответствующего
режима работы пласта. Если посмотреть на индикаторную линию в координатах
Q-Рзаб, то можно выделить две зоны. Зона с нормальными условиями работы пласта
(зона 1 на рисунке 7) и зона с пониженными забойными давлениями Рза6 < Р^”
(зона 2 на рисунке 7). Ртбп выбирается из условия рТ = 0,75' Р«ас. Во вторую
зону чаще всего попадают при форсировании отборов жидкости из скважины. При
этом возникает целый ряд проблем связанный с добычей нефти из пласта.
Рисунок 7
Итак, оптимальным режимом работы системы
пласт-скважина- насос является такой совместный режим, при котором работа УЭЦН
происходит в рабочей зоне (т.е. с максимальными КПД), а пласт по возможности
эксплуатируется в зоне 1 рисунок 8 (при условии Рза6 > Р^”).
Следить за режимом работы системы
пласт-скважина-насос необходимо не только на стадии подбора оборудования для
эксплуатации скважины, но и после проведения различных мероприятий по изменению
фильтрационно-емкостных параметров. Все методы воздействия на ПЗП влияют на
коэффициент продуктивности пласта. Причем он может, как увеличиваться после
обработки, так и уменьшаться. На рисунке 7 наклон напорной характеристики
скважины характеризуется коэффициентом продуктивности, т.е. при обработке
пласта мы изменяем наклон индикаторной линии в ту или другую сторону. 1ак как
насос в скважине остается прежним (его характеристика не меняется), то точка А
(см. рис. 2) будет перемещаться. В результате может возникнуть такая ситуация,
что новый режим работы выйдет из рабочей зоны. Для стабильной работы системы
пласт-скважина-насос необходимо контролировать существующий режим работы
системы.
Проанализируем, как изменяется режим совместной
работы пласта и насоса при обработках ПЗП, на примере воздействия состава
УНИ-4.
Состав УНИ-4 - это обратная микроэмульсия,
обладающая гидрофобизирующим действием. Технология этого метода заключается в
том, что в ПЗП производят закачку состава УНИ-4 в пропорции 1 м3 состава на 1 м
эффективной толщины пласта. Механизм действия состава УНИ-4 основан на
изменении природы смачиваемости поверхности каналов фильтрации. Гидрофильные
каналы, содержащие воду после взаимодействия с составом УНИ-4 становятся
частично гидрофобными, что приводит к возникновению дополнительных
фильтрационных сопротивлений и ограничению движения водной фазы. Одновременно
происходит вовлечение в работу низкопроницаемых пропластков содержащих нефть.
Работы по внедрению технологии обработки ПЗП с
применением состава УНИ-4 были проведены на ОАО «Самотлорнефтегаз» на 54
добывающих скважинах, эксплуатируемых при помощи УЭЦН. Практически все скважины
характеризовались высокими значениями скиин-фактора, что свидетельствует о
высокой степени загрязненности пород ПЗП. Анализ эффективности проведенной
обработки оценивался по изменению коэффициента продуктивности, а также по
приросту дебита нефти. Результаты расчетов показали различное изменение
коэффициента продуктивности скважин по жидкости в разных пластах (по пластам
1+2А1, А2+3, Б8-произошло небольшое уменьшение коэффициента продуктивности, а
по пластам 1+2Б 10,3 А 1-практически не изменился). Но при анализе дебитов
скважин, прослеживается тенденция уменьшения дебитов скважин по жидкости и
увеличение дебитов скважин по нефти. Это свидетельствует о взаимодействии
состава УНИ-4 с пластовой системой в ПЗП.
Рисунок 8
Рассмотрим изменение коэффициента относительной
подачи насоса (отношение действительной производительности насоса к
номинальной) до и после обработки по всем скважинам. Зона с оптимальным режимом
работы находится в окрестности точки с координатами (1;1). Из графика видно,
что многие скважины работают с отличными от 1 коэффициентами относительной
подачи насоса.
Кроме того, наблюдается тенденция прямо пропорционального
изменения коэффициента относительной подачи насоса. У скважин лежащих на прямой
режим работы не изменился. Но как видно не все скважины лежат на линии, что
свидетельствует об изменение режима работы скважины. Причем замечено как
увеличение производительности по жидкости, так и ее уменьшение. Это можно
объяснить изменением коэффициента продуктивности скважины.
Так как при проведении обработки ПЗП
производится подъем подземного оборудования, а после обработки спуск обратно
как правило того же типа размера насоса, то можно порекомендовать следующие
советы. Перед проведением обработки следует проводить гидродинамические
исследования с вычислением коэффициента продуктивности скважины. Это поможет
определить технологический эффект от применяемой технологии воздействия на ПЗП.
Кроме этого можно определить режим работы системы пласт-скважина-насос (как
показано на рис.2). Если перед проведением обработки рабочий режим находится
вне рабочей зоны насоса, то следует произвести расчеты по выбору новой УЭЦН, с
учетом возможного изменения коэффициента продуктивности, обеспечивающей
оптимальный режим работы системы пласт-скважина-насос.
Обобщая все выше сказанное можно сделать
следующие выводы:
. Анализ условий эксплуатации скважин с
ЭЦН на
Самотлорском
месторождении позволил определить основные виды и интенсивность
проявления осложнений.
Наиболее
распространенными
являются засорение приема насоса механическими примесями, коррозия оборудования
и несовершенство конструкции скважины.
. Условия работы системы пласт-скважина-насос
постоянно изменяются. Причина - изменение фильтрационных параметров пород ПЗП,
гидродинамических условий вокруг скважины и характеристики ЭЦН. Одним из
направлений совершенствования процессов эксплуатации скважин с ЭЦН является
проведение специальных видов обработок пород ПЗП с целью улучшения условий
фильтрации нефти. Обычно это связано с применением гидрофобизирующих составов
(в нашем случае - состава УНИ-4).
Результатом проведения обработок 54 скважин
составом УНИ-4 стало уменьшение обводненности продукции, улучшение режима
работы насоса. Соответственно произошло увеличение показателя “наработка на
отказ”. В тоже время по ряду скважин наблюдался небольшой отрицательный эффект,
что свидетельствует о необходимости более четкого выбора скважин для проведения
обработок.
. Охрана труда и
противопожарная защита
.1 Техника безопасности при эксплуатации УЭЦН
Все работы по монтажу, демонтажу и эксплуатации
установок погружных центробежных насосов необходимо выполнять в строгом
соответствии с Правилами безопасности в нефтегазодобывающей промышленности,
Правилами технической эксплуатации электроустановок, Правилами техники
безопасности при эксплуатации электроустановок и требованиями инструкций.
Специальные требования по безопасному ведению
работ предусматривают выполнение следующих правил.
. Проверку надежности крепления аппаратов,
контактов наземного электрооборудования и другие работы, связанные с
возможностью прикосновения к токоведущим частям, осуществлять только при
выключенной установке, выключенном рубильнике и со снятыми предохранителями.
. Корпуса трансформатора (автотрансформатора) и
станции управления, а также броня кабеля должны быть заземлены.
. Обсадная колонна скважины должна быть
соединена с заземляющим контуром или нулевым проводом сети 380 В.
. Установка включается и выключается нажатием на
кнопки "Пуск" и "Стоп" или поворотом пакетного
переключателя, расположенных на наружной стороне двери станции управления,
персоналом, имеющим квалификацию I группы и прошедшим специальный инструктаж.
. Работы по монтажу, проверке, регулировке,
снятию на ремонт и установке измерительных приборов и релейных аппаратов в
станции управления, а также переключение ответвлений в трансформаторах
(автотрансформаторах) необходимо проводить только при выключенной установке,
выключенном блоке "рубильник-предохранитель", со снятыми
предохранителями двумя лицами с квалификацией одного из них не ниже III группы.
. Кабель от станций управления до устья скважины
прокладывается на специальных опорах на расстоянии не менее 400 мм от
поверхности земли.
. Запрещается прикасаться к кабелю при
работающей установке и при пробных пусках.
. Сопротивление изоляции установки измеряется
мегомметром напряжением до 1000В.
. Менять блок
"рубильник-предохранитель" и ремонтировать его непосредственно на
станции управления можно только при отключении напряжения сети 380В от станции
управления (отключение осуществляется персоналом квалификации не ниже III
группы на трансформаторной подстанции 6/0,4 кВ).
. При соединении узлов погружного агрегата
запрещается держать руками шлицевую муфту.
. Устье скважины оборудуется в соответствии с
требованиями. Проходное отверстие для силового кабеля должно иметь герметичное
уплотнение.
. Разрабатываемые установки погружных
электронасосов необходимо оснащать датчиками для получения информации на
станции управления о -давлении на приеме насоса и температуре масла в
электродвигателе.
. Кабельный ролик должен подвешиваться на
кронштейне при помощи цепи или на специальной канатной подвеске.
. При свинчивании и развинчивании труб кабель
следует отводить за пределы рабочей зоны с таким расчетом, чтобы он не был
помехой работающему персоналу.
. Скорость спуска (подъема) погружного
оборудования в скважину не должна превышать 0,25 м/с.
. Намотка и размотка кабеля на барабан должны
быть механизированы. Витки кабеля должны укладываться на барабан правильными
рядами.
. При ремонте скважины барабан с кабелем следует
устанавливать так, чтобы барабан, кабельный ролик и устье скважины находились в
одной вертикальной плоскости.
. Ствол скважины, в которую погружной
электронасос спускается впервые, а также при смене типоразмера насоса, должен
быть проверен шаблоном в соответствии с требованиями инструкции по эксплуатации
погружного электронасоса.
. Устье скважины, эксплуатирующейся насосами,
должно быть оборудовано сальниковым устройством.
. Системы замера дебита скважины, пуска,
остановки и показания нагрузки электродвигателя должны иметь выход на
диспетчерский пункт нефтепромысла.
. Погружной агрегат на устье скважины следует
собирать с приме¬нением специальных хомутов.
. При спуске и подъеме погружного агрегата на
устьевом фланце
скважины следует устанавливать приспособление,
предохраняющее кабель от повреждения.
.2 Противопожарные мероприятия
Ответственность за пожарную безопасность,
своевременное выполнение противопожарных мероприятий и исправное содержание
средств пожаротушения возложена на мастеров бригады, а также
инженерно-технических работников подразделения. Лица, ответственные за пожарную
безопасность, обязаны знать соответствующие правила и ежегодно проводить
проверку знаний и каждый квартал проводить инструктажи в бригадах и требовать
строгого выполнения их всеми работниками.
Все производственные, подсобные, бытовые объекты
должны иметь хорошие подъезды, располагаться на определенном расстоянии от
складов горючих материалов и" должен иметь противопожарное оборудование.
Бригада должна быть обеспечена химическими
огнетушителями (пенными и углекислотными ОХП-10, ОП-50, ОУ-2, У-5), ящиком с
песком 0,5 м , кошмой, бочками с водой - 250 литров и комплектом инструмента
(лопаты - 2 шт, ломы - 2 шт, багры - 2 шт, топор - 1 шт), ведрами. В радиусе
50м вокруг скважины должна быть выкошена трава, территория очищена от валежника
и листьев.
Запрещается: хранить бензин и другие
легковоспламеняющиеся материалы, а также кислоты в стеклянной посуде в
вагончиках, где размещаются люди; загромождать проходы и подъезды к зданиям,
источникам воды, средствам пожаротушения; курить и применять открытый огонь в
хранилищах ГСМ, гаражах; хранить горючие жидкости в открытой посуде и в
стеклянной таре, а также держать их запас в производственных помещениях в
количествах, превышающих сменную потребность; мыть детали керосином и бензином
в неприспособленных для этого помещениях; применять воду для тушения горячих
жидких углеводородов при наличии в помещении карбида кальция.
Обтирочные материалы следует хранить в закрытых
металлических ящиках. Использованные материалы по окончании работы должны быть
убраны в безопасное место или уничтожены.
На рабочих местах должны быть вывешены: схема
оповещения при пожаре с номерами пожарной части и диспетчерской службой,
инструкции плакаты, предупредительные надписи по технике безопасности. На
каждом объекте должен быть журнал замечаний по технике безопасности, куда
заносятся результаты проверки состояния техники безопасности руководителями
работ или лицами, отвечающими за безопасность работ. Лица, виновные в нарушении
правил по технике безопасности несут дисциплинарное или уголовное наказание.
. Охрана недр и окружающей
среды
.1 Источники загрязнения окружающей среды в
нефтяной промышленности
Воздействие нефтяной и газовой промышленности на
основные компоненты окружающей среды (воздух, воду, почву, растительный,
животный мир и человека) обусловлено токсичностью природных углеводородов,
большим разнообразием химических веществ, используемых в технологических
процессах, а также все возрастающим объемом добычи нефти и газа, их подготовки,
транспортировки, хранения, переработки и широкого разнообразного использования.
Все технологические процессы в нефтяной
промышленности (разведка, бурение, добыча, сбор, транспорт, хранение и
переработка нефти и газа) при соответствующих условиях могут нарушить
естественную экологическую обстановку.
Нефть, углеводороды нефти, нефтяной и буровой
шламы, сточные воды, содержащие различные химические соединения в больших
количествах проникают в водоемы и другие экологические объекты:
)при бурении и аварийном фонтанировании
разведочных нефтяных и газовых скважин;
) при аварии транспортных средств;
) при разрывах нефте- и продуктопроводов;
) при нарушении герметичности колонн в скважинах
и технологического оборудования;
) при сбросе неочищенных промысловых сточных вод
в поверхностные водоемы.
1) Для некоторых районов характерны естественные
выходы нефти на поверхность земли. Один из береговых пунктов в Южной
Калифорнии, например, был назван по этому признаку Нефтяным мысом. Такие выходы
обычны в Карибском море, Мексиканском и Персидском заливах. В нашей стране они
наблюдаются для ряда месторождений республики Коми (г. Ухта) и др. Нередко эти
выходы проявляются на поверхности морей и океанов или на донных или береговых
участках рек.
Фонтаны, возникающие в процессе добычи нефти и
газа, делят на нефтяные и газовые. При этом за нефтяные принимают фонтаны с
большим дебитом (суточная производительность) нефти (1500-2000 т/сут и более) и
меньшим количеством газа (750 тыс. м3/сут); газонефтяные ‑
с содержанием газа более 50 %, газовые ‑ с 90-100 %
газа. Во всех случаях огромный экологический вред и опасность фонтанов для
основных объектов природной среды (атмосферы, водоемов, почвы, недр и т. д.)
очевидны.
Отрицательные последствия каждого из фонтанов в
одних и тех же условиях неодинаковы. Фонтан в штате Риверс залил нефтью
поверхность земли площадью около 607 тыс. м2. В пределах аварийного участка
земли были выделены четыре зоны с разной степенью загрязнения: глубина
проникновения нефти в сильно загрязненной зоне достигла 90 см.
2) Все возрастающее потребление нефти и
нефтепродуктов в мире обусловило в последние годы значительный рост танкерного
флота. В последние годы наметилась тенденция к резкому увеличению вместимости
нефтеналивных судов. Эксплуатация супертанкеров выгодна экономически, но
создает большую потенциальную опасность для загрязнения окружающей среды, т.к.
при аварии в воду выливаются десятки и сотни тысяч тонн нефти. Очень часто
нефтепродукты выбрасываются за борт судов со сточной водой, которая
используется в качестве балласта или для промывки танков. Загрязнение морей при
использовании танкеров происходит во время загрузки и разгрузки нефти на
конечных пунктах, за счет переливов при загрузке, при аварийном столкновении и
посадке судов на мель. Вся поверхность Мирового океана покрыта в настоящее
время нефтяной пленкой толщиной 0,1 мкм.
) Большую опасность для окружающей среды
представляют и трубопроводы.
Строительство трубопроводов, особенно в северных
районах, оказывает влияние на микроклимат тундры и лесотундры. Проходка траншей
локально изменяет режим питания растительного покрова влагой, нарушает
теплофизическое равновесие, растопляет вечномерзлые грунты, приводит к гибели
чувствительный к механическому воздействию растительный покров тундры.
При эксплуатации трубопроводов утечки нефти,
газа, конденсата, сточной воды, метанола и других загрязняющих веществ на
участках трубопроводов, расположенных под судоходными трассами морей и рек,
наиболее подверженных механическим повреждениям, нередко остаются незамеченными
в течение длительного времени и наносят большой ущерб всем экологически значимым
объектам окружающей среды. Подсчитано, что в среднем при одном порыве
нефтепровода выбрасывается 2 т нефти, приводящей в непригодность 1000 м2 земли.
) В процессе бурения и добычи непрерывное
загрязнение окружающей природной среды вызвано утечками углеводородов через
неплотности во фланцевых соединениях (сальниках, задвижках), разрывами
трубопроводов, разливами нефти при опорожнении сепараторов и отстойников.
Основная часть нефти и сточных вод на территории
промысла накапливается и поступает в водоемы из устья скважин и прискважинных
площадок. Разлив нефти в этих случаях возможен через неплотности в сальниках;
при ремонтных работах и освоении скважин; из переполненных мерников; при
очистке мерников и трапов от грязи и парафина; разлив нефти происходит при
спуске сточной воды из резервуаров; при переливе нефти через верх резервуара и
др.
Наиболее типичные утечки нефти из резервуаров
обусловлены коррозией их днища под действием воды. Постоянный автоматический
контроль содержимого в резервуаре позволяет своевременно обнаруживать даже
небольшие утечки нефти и нефтепродуктов и устранять их. Большинство хранилищ не
исключают испарения нефти, газа, конденсата.
Характерными остаются разливы нефти в результате
аварий на нефтегазосборных коллекторах и технологических установках, ликвидация
которых нередко затягивается и выполняется некачественно.
) Наиболее тяжелым и опасным по последствиям
является загрязнение подземных и наземных пресных вод и почвы. К основным их
загрязняющим веществам относятся нефть, буровой и нефтяной шламы, сточные воды.
Образующийся при бурении скважин буровой шлам
может содержать до 7,5 % нефти и до 15 % органических химических реагентов,
применяемых в буровых растворах.
В относительно большом объеме нефтяной шлам
накапливается при подготовке нефти. В этом случае шламы могут содержать до
80-85 % нефти, до 50 % механических примесей, до 67 % минеральных солей и 4 %
поверхностно-активных веществ.
Основное же загрязнение природной среды при
бурении и эксплуатации скважин дают буровые и промысловые сточные воды. Объем
их во всех развитых нефтедобывающих странах мира быстро растет и намного
превышает объем добываемой нефти. Из-за отсутствия системы канализации
промысловые стоки сбрасывают в близлежащие водоемы или болота, значительно
загрязняя их и грунтовые воды.
.2 Мероприятия по защите окружающей среды от
загрязнений при эксплуатации скважин УЭЦН
Очищение почв и грунтов от нефти
микроорганизмами происходит путем биологического и химического окисления.
Скорость этих реакций возрастает при введении в почву нитратов и фосфатов.
С целью предотвращения загрязнения недр, сточные
воды должны подвергаться максимальной очистке. При поддержании пластового
давления в закачиваемую в нефтяные пласты воду, добавляются щелочи, ПАВ,
полимеры. Эти химические реагенты способствуют более полному вытеснению нефти
из пласта. Но при этом основными противопоказаниями к применению этих реагентов
является увеличение жесткости пластовой воды, взаимодействие щелочей с
пластовой породой, адсорбция реагентов породой. Эти факторы способствуют
загрязнению пластов, а в случае разлива этих вод на поверхности загрязняют
почву и водоемы.
Рекультивация земель заключается в ликвидации
или блокировании источника загрязнения, в очистке территории от продуктов
загрязнения (отходов производства) и проведения приведения территории в
состояние, пригодное для применения по назначению. Рекультивацию обычно
производят в два этапа, на первом из которых планируется поверхность земли и
возвращается плодородный слой, а на втором этапе ведутся работы по улучшению
земель биологическими и биохимическими методами.
Земли, загрязненные химическими веществами,
рекультивировать чрезвычайно сложно и дорого. В нашей стране восстановление
таких почв только начинается.
Устранение загрязнений атмосферы, почв, недр,
водообъектов осуществляется в соответствии с разработанным комплексом
мероприятий. Совместная работа экологов различных регионов России может
способствовать снижению отрицательного влияния нефтедобывающей промышленности
на окружающую природную среду. Результаты многочисленных натурных экспериментов
и промышленного использования методик, способов могут в значительной степени
помочь в решении проблемы охраны окружающей среды и очистке от загрязнений при
добыче нефти и газа.
Список литературы
1.Андреев
В.В. Уразаков К.Р. «Справочник по добыче нефти и газа»-1998г
.
Основы нефтегазового дела: Учебник. Е.О. Антонова, Г.В. Крылов, А.Д. Прохоров,
О.А. Степанов -М.: 2003.-307с.: ил.
.
Коршак А.А., Шаммазов А.М. Основы нефтегазового дела: Учебник.-2-е изд., доп, и
испр. -Уфа: Дизайн Полиграф Сервис, 2002.-544с.
.
Мищенко И.Т. Скважинная добыча нефти. Учебное пособие для вузов. - М.: ФГУП
Изд-во «Нефть и газ» РГУ нефти и газа им. И.М. Губкина, 2003.
.
Молчанов Г.В., Молчанов А.Г. Машины. Буровое оборудование. Справочник в 2-х
томах. /Абубакиров В.Ф., Архангельский В.Л. и др./ -- М.: Н
. Эксплуатация
осложненных скважин центробежными Электронасосами под ред. Л.С. Каплан, 1994
. Габдуллин
Р.Ф. Эксплуатация скважин оборудованных УЭЦН в осложненных условиях // Нефтяное
хозяйство, 2002 -№4.- с.62-64
. В.Н.
Иванов, Ю. В. Левин Основные задачи развития и совершенствования установок
электроприводных центробежных насосов // УКАНГ, 2004- №1 стр. 33