Основы построения телекоммуникационных систем

  • Вид работы:
    Реферат
  • Предмет:
    Информатика, ВТ, телекоммуникации
  • Язык:
    Русский
    ,
    Формат файла:
    MS Word
    19,35 kb
  • Опубликовано:
    2009-01-12
Вы можете узнать стоимость помощи в написании студенческой работы.
Помощь в написании работы, которую точно примут!

Основы построения телекоммуникационных систем

                                                       Содержание

1. Введение  _______________________________ 2

2. Техническое задание _____________________ 3

3. Расчет количества линий

коммутируемого доступа                                     

от ТФОП к модемному лупу ______________ 4

4. Расчет требуемой пропускной

способности канала связи к двум

смежным узлам провайдеров Интернет ____ 4

5. Примерный состав оборудования _________  5

6. Схема организации связи ________________  6

                                                       1.   Введение

          По  данным  исследовательских  и  консалтинговых  компаний  совсем  недавно  количество  пользователей  сети  Интернет  превышало  100  млн.  Интернет  предлагает  своим  пользователям  самые  разнообразные  услуги,  производители  оборудования  и  ПО  регулярно  создают  новые  виды  Интернет – приложения.  Благодаря  этому  появляются  новые  группы  пользователей,  для  которых  всемирная  сеть  становится  важным  инструментом  профессиональной   деятельности.  Среди    таких  групп  одной  из  важнейших  и  постоянно  растущих  можно  назвать  категорию  крупных  корпоративных  клиентов,  использующих  Интернет  в  своем  бизнес процессе.  Однако  все  острее  стоит  проблема  доступа  к  сети  Интернет,  поскольку  ее  быстрое  расширение  уже  сильно  отразилось  на  телекоммуникационных  системах.  Очевидно,  что  скоро  возникнет  необходимость  альтернативного  доступа  к  сети  помимо  ТФОП.































                            2.Техническое  задание

                                       N 7  вариант – Е

1.1.   Составить  схему  организации  связи,  примерный  состав  оборудования  городского  узла  Интернет.

1.2.   Выполнить  расчет  количества  линий  коммутируемого  доступа  от  ТФОП  к  модемному  пулу.

1.3.   Исходные  данные: 

Количество  пользователей: 

коммутируемый  доступ – 800  пользователей, 

нагрузка  от  одного  пользователя – 0,01(Эрл).

нагрузка  от  одного  пользователя – 0,01 (Эрл).

среднюю  скорость  передачи  данных  пользователя  принять  12 ( Кбит/с).  Допустимое  снижение  скорости – 5%. 

30%  трафика  пользователя  идет  на  местный  WEB – сервер.

1.4.   Рассчитать  требуемую  пропускную  способность  канала  связи  к  двум  смежным  узлам  провайдеров  Интернет.


























                     3.Расчет  количества  линий  коммутируемого

                          доступа  от  ТФОП  к  модемному  пулу.

Так  как  количество  пользователей  коммутируемого  доступа – 800,  а  нагрузка  от  одного  пользователя – 0,01 (Эрл),  то  можем  найти  суммарную  нагрузку  от  абонентов  коммутируемого  доступа.

                                                      Ак = 800 . 0,01 = 8 ( Эрл ) ;

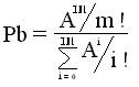
Для  определения  количества  линий  от  ТФОП  к  модемному  пулу  воспользуемся  табулированными  значениями  первой  формулы  Эрланга:

       

                

       Где  А – интенсивность  нагрузки

               m – количество  линий

               Рb – вероятность  блокировки

 При  средней  вероятности  блокировки  Рb = 0,005  количество  линий  будет  равно  m = 16.

      4.Расчет  требуемой  пропускной  способности  канала  связи  к  двум   

                    смежным  узлам  провайдеров  Интернет.

4.1 Расчет  нагрузки  от  пользователей  некоммутируемого  доступа.

Найдем  суммарную  нагрузку  от  абонентов  некоммутируемого  доступа:

         Ан = 100польз х 0,01= 1 ( Эрл ).


4.2  Расчет  суммарной  нагрузки  от  пользователей:

4.3  

В  пункте  3  полученное  значение  линий    от  ТФОП  к  модемному  пулу  получилось  равным  16,  при  средней  скорости  передачи  данных  пользователей  коммутируемого  доступа – 12  кбит/с  суммарная  скорость  будет:

                                             12 х 16 = 192 кбит/с.

Таким  образом  скорость  передачи  данных  пользователей  коммутируемого  и  некоммутируемого  доступа  в  сумме  будет составлять  10  мбит/с + 192 кбит/с = 10,192 мбит/с.

Таким  образом  требуемая  пропускная  способность  канала  связи  к  двум  смежным  узлам  провайдеров  составит:

                                                                                                       10,192 мбит/с

 30%  трафика,  поступающего  на  местный  WEB – сервер = 7,101 мбит/с.

5. Примерный  состав оборудования  для  организации  связи.

Для  организации связи  требуется  примерно  следующее  оборудование:

- Модемы  для  пользователей  коммутируемого  доступа  к  примеру 

     Motorolla  со  скоростью  передачи – 33,6  кбит/с.

- Модемы  для  пользователей  коммутируемого  доступа,  например

     Hponics  PCMS – модем  для  выделенных  линий  со  скоростью 

     передачи – 2048 кбит/с.

- В  качестве  сервера  используется  компьютер,  например

     Intel Pentium-III.

- Так  же  применяется  маршрутизатор,  например  Cisco  2600.























Похожие работы на - Основы построения телекоммуникационных систем

 

Не нашли материал для своей работы?
Поможем написать уникальную работу
Без плагиата!
Без нейросетей!