Изучение химических превращений в процессе изготовления теплоизоляционных материалов на основе растительных отходов

  • Вид работы:
    Магистерская работа
  • Предмет:
    Химия
  • Язык:
    Русский
    ,
    Формат файла:
    MS Word
    2,37 Мб
  • Опубликовано:
    2015-03-25
Вы можете узнать стоимость помощи в написании студенческой работы.
Помощь в написании работы, которую точно примут!

Изучение химических превращений в процессе изготовления теплоизоляционных материалов на основе растительных отходов

Министерство образования и науки Российской Федерации

федеральное государственное бюджетное образовательное

учреждение высшего профессионального образования

«Алтайский государственный технический университет

им. И.И. Ползунова»

Факультет пищевых и химических производств

Кафедра химической технологии

Направление 240100.68 – Химическая технология

УДК 674.004.18                

 Допустить к защите в ГЭК

Заведующий кафедрой

__________А.С. Потапов

(подпись) (инициалы, фамилия)

«_____» ___________________201_г.


МАГИСТЕРСКАЯ ДИССЕРТАЦИЯ

МД 240100.68.09 000 ПЗ

(обозначение документа)

ИЗУЧЕНИЕ химическиХ превращениЙ в процессе изготовления теплоизоляционных материалов на основе РАСТИТЕЛЬНЫХ ОТХОДОВ

(тема магистерской диссертации)

Пояснительная записка



Студент группы                                                         Финк Диана  Петровна

                                                                                                                                                                             (фамилия, имя, отчество)

 Научный руководитель доцент, к.х.н.                                       Н. П. Мусько

                                                                         (должность, ученая степень)                                                          (инициалы, фамилия)

 

 

 

 

 

 

Барнаул 2014

Реферат

Магистерская диссертация     с.,     рисунков,     таблиц,    источников.

Ключевые слова: солома пшеницы, ЯМР 13С спектроскопическое исследование,  взрывной автогидролиз, лигнин, целлюлоза, легкогидролизуемые полисахариды, редуцирующие вещества, плитные материалы.

Объектом исследования являются химические превращения в процессе изготовления плитных материалов на основе модифицированной соломы пшеницы.

Целью работы является исследование  химических превращений в процессе изготовления плитных материалов из  активированной методом взрывного автогидролиза соломы пшеницы.

В процессе работы проводились химические и физико-химические исследования активированной методом взрывного автогидролиза соломы пшеницы и плитных материалов, изготовленных на ее основе.

В результате исследования были предложены направления химических превращений, приводящих к образованию сшитых структур в процессе изготовления плитных материалов без использования синтетических связующих веществ.

Содержание

Перечень условных обозначений                                                                5

Введение                                                                                                       6

1 Литературный обзор                                                                                          8

1.1 Химический состав растительного сырья                                   8

1.1.1 Химическое строение целлюлозы                                    9

1.1.2 Химическое строение гемицеллюлозы                             10

1.1.3 Химическое строение лигнина                                         13

1.1.4 Лигниноуглеводный комплекс                                            15

1.2 Применение соломы                                                                               16

1.3 Взрывной автогидролиз как метод активации растительного

 сырья                                                                                                         19

1.4 Применение волокнистой массы взрывного автогидролиза        30

1.5 Теплоизоляционные материалы и изделия                                       32

2 методическая часть                                                                                   36

2.1 Анализ сырья                                                                                 36

2.1.1 Сырье и материалы                                                           36

2.1.2 Определение влажности                                                    36

2.1.3 Определение зольности древесины по стандарту

ТАРРI Т-15m-58                                                                                  37

2.1.4 Экстракция древесины водой по методу

ТАРРI Т-6m-59                                                                           38

2.1.5 Определение массовой доли редуцирующих веществ в гидролизатах по методу Макэна и Шоорля                                       38

2.1.6 Определение легкогидролизуемых полисахаридов         40

2.1.7 Определение целлюлозы по методу Кюршнера и

Хоффера                                                                                    41

2.1.8 Определение лигнина с 72%-ной серной кислотой в модификации Комарова                                                               42

2.1.9 Дериватографические исследования                                  42

2.2 Методика ВАГ                                                                              45

2.2.1 Установка для получения волокнистой массы паровым взрывом                                                                                                 45

2.3 Анализ плитных материалов                                                        48

2.3.1 Определение плотности плитных материалов                49

2.3.2 Определение пористости плитных материалов                        49

2.4 ЯМР 13С – спектроскопическое исследование                           50

2.5  Потенциометрическое определение pH водного экстракта       53

3 Обсуждение результатов                                                                          51

3.1 Химические превращения компонентов соломы пшеницы

 в процессе обработки методом взрывного автогидролиза                51

3.2Химические превращения компонентов модифицированной методом

 ВАГ соломы пшеницы, происходящие в результате

горячего прессования                                                                               68

Заключение                                                                                                   79

Список использованных источников                                                          81













Список используемых сокращений

ВАГ – Взрывной автогидролиз

ДВП – Древесно-волокнистые плиты

ДСП – Древесно-стружечные плиты

ИКС – Инфракрасная спектроскопия

ФПЕ – Фенилпропановая единица

РВ – Редуцирующие вещества

ЯМР – Ядерно-магнитный резонанс

УФ - спектроскопия – Ультрафиолетовая спектроскопия

ФФС – Фенол-формальдегидная смола

Введение

Травянистые растения, имеющие высокое содержание целлюлозы, широко используются как для производства тканей, так и для получения посредством химической переработки волокнистых полуфабрикатов, предназначенных для изготовления различных материалов.

Во многих странах, не древесное сырье, является основным видом сырья, из которого производят целлюлозу. Например, в Китае почти 87 % целлюлозосодержащей продукции производят из соломы [1].

Перспективными видами коротковолокнистого сырья являются отходы сельскохозяйственных растений (солома пшеницы, ржи, овса и других), ежегодные объемы которых очень велики.

Так Алтайском крае ежегодно воспроизводится около 8 миллионов тонн соломы пшеницы. Учитывая тот факт, что солома является перспективным источником лигноцеллюлозного материала, изучение её уникальных свойств представляет особый интерес. Высокомолекулярные компоненты лигноцеллюлозного сырья являются полифункциональными соединениями и содержат карбонильные, карбоксильные и гидроксильные группы. Полифункциональность сырья создает основу для создания новых материалов. Большинство функциональных групп в лигноцеллюлозных материалах находятся в связанном состоянии, и для их высвобождения требуется предварительная обработка растительного сырья [2].

В данной работе модификацию соломы пшеницы проводили методом взрывного автогидролиза. Основным преимуществом высокотемпературного автогидролиза растительного сырья является возможность получить в относительно чистом виде основные химические компоненты — целлюлозу, лигнин, гемицеллюлозы и использовать продукты модификации для дальнейшей переработки.

Цель

Задачи

1 Литературный обзор

1.1 Химический состав растительного сырья

Крупномасштабным лигноцеллюлозным отходом является солома злаковых культур. Ежегодно только в Российской Федерации накапливается более 200 млн т соломы (таблица 1). Частично ее используют для кормления сельскохозяйственных животных, в основном крупнорогатого скота, но большая часть соломы сжигается. Овес в настоящее время – основная зернофуражная культура, и на предприятии по переработке овса мощностью 50 т в сутки образуется 15 т отходов – лузги (шелухи) овса. Поскольку лузга овса имеет низкую плотность (200 кг/м3) и транспортировать её нерентабельно, она сжигается, используется в качестве подстилки животным или для мульчирования почвы [3].

Таблица 1 - Объемы образующихся сельскохозяйственных  отходов в России

Культура

Урожай зерна, млн т

Масса соломы, млн т

Масса зерна/масса соломы

Пшеница

46,9

84,4

1/1,8

Рожь

6,6

13,2

1/2,0

Овес

7,7

11,5

1/1,5

Ячмень

19,5

29,2

1/1,5

Подсолнечник

2,7

7,6

1/2,8

Кукуруза

0,8

2,0

1/2,5

  Таблица 2 - Морфологический состав соломы  различных злаков (масс. %)

Наименование

Стебель

Лист

Колос (метелки)

Солома пшеницы

57,8-73,1

18,1-30,0

1,0-10,2

Солома ржи

65,5-72,5

13,4-29,1

5,1-14,1

Солома риса

32,4-55,7

39,0-49,5

4,4-5,5

Тростник

60,1-82,8

15,9-38,3

0,5-12,6






По химическому составу солома и другие виды недревесного волокнистого сырья имеют определенное сходство с древесиной [4]. (таблица 3).

Таблица 3 - Химический состав недревесных видов растительного сырья
(масс. % от массы сырья)

Вид сырья

Целлюлоза

Лигнин

Пентозаны

Солома пшеницы

34,8-49,2

24,5

19-30

Солома ржи

40,4-49,3

22,9

27,7-28,8

Солома риса

42,9

17,9

27,1

Стебли хлопчатника

37,5-40,0

21,3-24,7

18,2



1.1.1 Химическое строение целлюлозы


Целлюлоза в классификации полимеров относится к полиацеталям. Это линейный гомополисахарид, макромолекулы которого построены из мономерных звеньев ангидро-β-D-глюкопиранозы (остатков β-D-глюкозы), соединенных гликозидными связями 1- 4. Целлюлоза – стереорегулярный полимер: ее цепь имеет регулярное строение и все ассиметрические атомы углерода – строго определенную конфигурацию [5]. Эмпирическая формула целлюлозы (С6Н10О5)n, которую с учетом трех гидроксильных групп в элементарном звене можно представить в виде [C6H7O2(OH)3]n. Строение цепи  молекулы целлюлозы представлено на рисунке 1.

Scan0001

Рисунок 1 – Строение целлюлозы

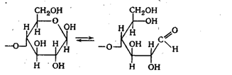
Целлюлоза - полярный полимер. В каждом звене цепи содержится три спиртовых группы: одна первичная и две вторичных, различающиеся по реакционной способности. Концевые звенья макромолекулы целлюлозы отличаются от остальных. У одного концевого звена макромолекулы имеется дополнительный вторичный гидроксил у четвертого атома углерода; у другого концевого звена – свободный гликозидный (полуацетальный) гидроксил. Следовательно, это концевое звено может существовать в таутомерной альдегидной (открытой) форме, как показано на рисунке 2, и сообщать целлюлозе редуцирующую способность.

Scan0002

Рисунок 2 – Таутомерные  формы концевого звена

Целлюлоза как полярный гетероцепной полимер, для которого характерно сильное внутри- и межмолекулярное взаимодействие, относится к жесткоцепным полимерам. Однако цепи целлюлозы не являются абсолютно жесткими. У нее возможны конформационные превращения макромолекул, обусловленные вращением глюкопиранозных звеньев вокруг гликозидных связей и  конформационные превращения звеньев [4].        

  В углеводную часть растительного сырья входит целлюлоза и нецеллюлозные поли­сахариды, именуемые гемицеллюлозами. Всю углеводную часть, которую можно выделить из растительного сырья в виде волокнистого ма­териала, в целом называют холоцеллюлозой.

 





 



 

 


1.1.2 Химическое строение гемицеллюлоз


Гемицеллюлозы – углеводные вещества, которые в отличие от целлюлозы более доступны воздействию разбавленных минеральных кислот, а также слабых растворов щелочей. В состав гемицеллюлоз входят полисахариды, содержащие элементарные звенья из пяти и шести атомов углерода, т.е. звенья пентоз и гексоз. Большая часть гемицеллюлоз представляет собой не однородные (гомополимеры), а смешанные (комбинированные) полисахариды (сополимеры), которые состоят из остатков различных моносахаридов, соединенных гликозидными связями в различных положениях. Чаще всего в главных цепях присутствуют связи 1-4. Боковые ответвления могут присоединяться связями 1-2, 1-3 и 1-6. Цепи многих из них разветвлены. Все они нерегулярны. Это делает невозможной кристаллизацию гемицеллюлоз в древесине и увеличивает их доступность.

Обычно в смешанном полисахариде можно выделить главный моносахарид. Кроме этого главного могут быть звенья других моносахаридов и уроновых кислот,  как в главной цепи, так и в виде боковых ответвлений. Смешанные полисахариды более правильно, поэтому называть с учетом всех составляющих моносахаридов, указывая последним главный моносахарид. Однако в литературе продолжают условно подразделять гемицеллюлозы на пентозаны и гексозаны, а также употреблять, например, термины ксилан, маннан, относя их к неоднородным полисахаридам, содержащим соответственно ксилозу и маннозу в качестве главного моносахарида [5].

Основными функциональными группами гемицеллюлоз, как и целлюлозы, являются гидроксильные (спиртовые) группы. Одно из концевых звеньев линейной цепи будет редуцирующим. Оно содержит свободный гликозидный гидроксил и может существовать в открытой альдегидной форме [6].

Гемицеллюлозы по скорости гидролитического распада в кислой  среде разделяют на две группы: 1) легкогидролизуемые, которые гидролизуются при действии разбавленной кислоты, и 2) трудногидролизуемые, гидролизующиеся вместе с целлюлозой. Такое деление объясняется особенностями надмолекулярной структуры целлюлозы  и гемицеллюлоз [7].

 Целлюлоза, имеющая кристаллическое строение (плотную упаковку), гидролизуется трудно. Большая часть гемицеллюлоз вследствие их аморфной структуры и меньшей длины цепей характеризуются более низкой устойчивостью к разбавленным кислотам, чем целлюлоза, т.е. легкой гидролизуемостью.

Однако некоторую часть гемицеллюлоз очень трудно извлечь из растительного сырья и перевести в раствор с помощью гидролиза.  В целлюлозе, выделенной любым методом, всегда остается часть гемицеллюлоз, т.е. оказывается, что не все гемицеллюлозы легко гидролизуются. Прочно связанная часть гемицеллюлоз (ксилан и маннан), остающаяся в целлюлозе, устойчива к гидролизу разбавленными кислотами, как и целлюлоза. Объясняют это явление следующими предположениями. Степень полимеризации гемицеллюлоз значительно меньше, чем целлюлозы, и составляет 100 - 200. Если эти короткие цепи гемицеллюлоз попадают в кристаллические участки целлюлозного волокна между ориентированными цепями целлюлозы, то эта часть гемицеллюлоз оказывается трудногидролизуемой. Кислота не может проникнуть к ним без разрушения целлюлозных цепей. Легко гидролизуются те гемицеллюлозы, которые в виде аморфной массы находятся или в пространствах между целлюлозными микрофибрилами или в аморфной части целлюлозы.

Трудногидролизуемые гемицеллюлозы, прочно связанные с целлюлозой, называют целлюлозанами [8].

Для доступа реагентов к трудногидролизуемым гемицеллюлозам необходима предварительная активация древесины.

Хвойные породы содержат меньше гемицеллюлоз (от 20 % до 25 %) чем лиственные (от 25 % до 35 %). При этом в хвойных породах больше гексозанов и меньше пентозанов, чем в лиственных. Гемицеллюлозы хвойных пород имеют более сложный состав.

Содержание и строение полисахаридов гемицеллюлоз зерновых злаковых культур зависят от ботанических и морфологических особенностей формирующих их тканей. В составе гемицеллюлоз этого сырья найдены ксиланы и в меньшем количестве – арабинаны, галактаны, в минимальном – маннаны. Как правило, эти полисахариды построены из различных моноз.

1.1.3 Химическое строение лигнина


Около 30% растительного сырья состав­ляют вещества ароматической при­роды, известные под названием лигнина.

Лигнин – это ароматическая часть растительного сырья. Она наименее изучена. Точное строение лигнина еще неизвестно, несмотря на то, что он был открыт свыше 150 лет назад.

Лигнин как полимер состоит из фенилпропановых структурных единиц (мономерных составляющих звеньев) – ФПЕ [9], обозначаемых сокращенно С63, или единицы С9. В хвойном лигнине эти единицы являются производными пирокатехина (гваяцилпропановые единицы I), а в лигнине лиственных пород, кроме того, содержатся производные пирогаллола (сирингилпропановые единицы II). В состав лигнинов иногда входят единицы, не содержащие метоксильных групп (n-гидроксифенилпропановые единицы III). У травянистых растений доли сирингильных и гидроксифенильных единиц колеблются в широких пределах. Структурные единицы лигнина представлены на рисунке 3.

Scan0001

Рисунок 3 – Структурные единицы лигнина и родственные им низкомолекулярные ароматические соединения

Пропановые боковые цепи структурных единиц могут иметь различное строение, в зависимости от содержания в них функциональных групп (гидроксильные, карбонильные, карбоксильные, двойные связи). Таким образом, любой лигнин является сополимером. Гидроксильные группы в лигнине неодинаковы – присутствуют фенольные и алифатические в свободном и связанном состоянии. Карбонильные группы могут быть альдегидными и кетонными [10]. Каждая молекула мономерных предшественников лигнина содержит один фенольный гидроксил. Однако в лигнинах массовая доля свободных фенольных гидроксилов невелика (от 1 % до 3 %). Остальные фенольные гидроксилы находятся в связанном состоянии, т.е. участвуют в образовании простых эфирных связей между структурными единицами лигнина и частично связей с гемицеллюлозами.

Фенольные гидроксильные группы относятся к кислым гидроксильным группам, причем кислотность зависит от характера других заместителей в бензольном кольце.

В отличие от полисахаридов в лигнине отсутствует единый вид связи между структурными единицами. Наоборот, для него характерно многообразие связей, в результате чего он имеет макромолекулы с высокой степенью разветвленности. Наряду с углерод-кислородными (простыми эфирными) связями С-О-С присутствуют и углерод-углеродные связи С-С между звеньями. Основная масса природного лигнина в древесине имеет трехмерную сетчатую структуру.

Лигнин – аморфный полимер. В нем благодаря наличию большого числа гидроксильных и других полярных групп значительно развиты водородные связи (внутри- и межмолекулярные).

Хвойные породы содержат больше лигнина (от 27 % до 30 %), чем лиственные (от 18 %  до 24 %). Содержание лигнина в однолетних растениях колеблется от 20 до 30 % [9].

 

1.1.4 Лигноуглеводный комплекс


Вопрос связи лигнина с углеводами в растительном сырье и, в частности, с гемицеллюлозами в лигноуглеводной матрице – один из сложных и полностью еще не решен, хотя имеет многолетнюю историю. Первоначально, на основании результатов микроскопических наблюдений образцов древесины после удаления либо углеводов, либо лигнина, полагали, что лигнин тесно связан с углеводами, но эта связь чисто механическая, и лигнин является инкрустирующим компонентом (инкрустирующая теория).

Однако трудность разделения полисахаридов и лигнина привела к предположению о существовании химических связей между лигнином и углеводами. Установили, что для извлечения лигнина из клеточных стенок органическими растворителями, растворяющими выделенные препараты лигнинов, необходимо присутствие каталитических количеств сильных минеральных кислот или воздействие гидролизующих ферментов. Невозможно ни извлечь углеводы из древесины без удаления некоторого количества лигнина, ни полностью удалить лигнин без разрушения некоторой части углеводов. Препараты выделенных холоцеллюлозы и целлюлозы, а также технические целлюлозы всегда содержат большую или меньшую примесь остаточного лигнина, и, наоборот, препараты выделенных лигнинов всегда содержат примесь углеводов [11].

В настоящее время большинство исследователей пришли к заключению о существовании химических связей лигнина с гемицеллюлозами. Небольшая часть низкомолекулярного лигнина, возможно, находится в свободном состоянии и может извлекаться подходящими растворителями в отсутствии кислотных катализаторов. Основная же часть лигнина может быть выделена только при помощи сравнительно жестких обработок, разрушающих химические связи лигнина с углеводами, но и изменяющих в какой-то степени сам лигнин.

С целлюлозой лигнин, по-видимому, не связан, но вместе с гемицеллюлозами в ходе биосинтеза он может оказаться внутри ее микрофибрилл (в паракристаллической части), и тем самым затруднится отделение лигнина от целлюлозы [11].

1.2 Применение соломы

1) Использование в качестве корма

Солому зерновых культур используют в кормлении, в основном, крупного рогатого скота. Вследствие невысокой питательности и переваримости, солому используют, главным образом, для придания рациону необходимого объёма, или как добавку к рационам с большим количеством сочных кормов. Для улучшения поедаемости соломы применяют различные способы подготовки - измельчение, запаривание, сдабривание, обработку химическими веществами (кальцинированной содойизвестьюаммиаком и др.). Распространено также гранулирование соломы в смеси с концентратами и искусственно высушенной травой [12].

2) Использование в качестве  исходного материала для строительства домов

   Данная технология строительства свою популярность завоевала благодаря низкой стоимости и значительной экономии энергии. Дома из соломы чрезвычайно устойчивые, экологически чистые и энергосберегающие, но есть и еще одно важное преимущество, которым они обладают. Они также устойчивы к землетрясениям. Поэтому они просто идеально подходят для сейсмоактивных регионов [13].

3) Текстильные волокна

Солома льна, конопли и др. прядильных растений - сырьё для получения тресты, из которой выделяют текстильные волокна.

4) Использование в качестве сырья для производства биотоплив

Специалисты сельскохозяйственного университета города Вахининген открыли способ получения  автомобильного топлива из соломы.

Ученые придумали технологию, согласно которой солома нагревается до высокой температуры и к ней добавляют специальные ферменты, благодаря чему образуются сахара. На следующем этапе при помощи бактерий сахара образуется этанол, который используется в качестве топлива для автомобилей. По подсчетам ученых, при переработке 5 тонн соломы по вышеуказанной технологии,  полученного биотоплива хватит автомобилю на год езды [14].

5) Сырьё для производства бумаги

Бумагу для копирования, которая содержит 80% соломенной трухи и 20% древесного волокна, представила канадская компания Prairie Pulp &amp – Paper Inc. По мнению специалистов, внедрение подобных технологий производства позволяют постепенно отказаться от использования древесины и ощутимо снижают цену на экологичную бумагу [15].

6) Солома как конструкционный материал

Специалисты Университета Иллинойса разработали и запатентовали технологию, по которой солому измельчают, смешивают с полимерами, спрессовывают и ламинируют, получая аналог древесной ориентированно-стружечной плиты.

Внедрять разработку в жизнь взялась специально для этого созданная в Техасе компания Corn Board Manufacturing Inc. (CBMI). Соломенные плиты под торговой маркой CornBoard по описанию их производителя прекрасно подходят для всего: облицовки стен, настила полов, кровельных работ, производства дверей, мебели и даже скейтбордов. Причем для обычного двухэтажного дома понадобится солома всего с гектара земли, что существенно экономит древесину – не столь легко возобновляемый ресурс как солома [16].

7) Использование в качестве удобрения

В последние годы, наряду с традиционными видами органических удобрений, стала широко использоваться солома зерновых культур, не предназначенная для нужд животноводства.

Внесение соломы практически исключает потери тонкодисперсной части почвы, а вместе с ней и гумуса от ветровой и водной эрозии [17].

Заблаговременно внесенная в почву солома стимулирует азотфиксирующую способность бобовых культур и существенно повышает их урожай. Органическое вещество соломы служит источником углекислого газа, потребляемого растениями. Внесение соломы предотвращает вымывание растворимого азота, закрепленного в органических соединениях, повышает доступность фосфатов, улучшает условия питания растений. Систематическое применение соломы на кислых почвах постепенно уменьшает их кислотность.

8) Изготовление одноразовой посуды

Главное преимущество данного материала – полное отсутствие в составе химических добавок и вредных для организма человека веществ. Все

чаще солидные рестораны, кафе и сети быстрого питания, которые заботятся о здоровье своих клиентов и состоянии окружающей среды, берут на вооружение именно такую одноразовую посуду и столовые приборы.

Во-первых, с посудой и упаковкой из пшеничной соломы очень легко работать: решается проблема повторного использования, ведь обычные тарелки нужно чистить и мыть. Во-вторых, посуда отличается высокими эксплуатационными характеристиками. И, в-третьих – экопосуду просто утилизировать [18].

1.3 Взрывной автогидролиз как метод активации

растительного сырья


Одним из наиболее перспективных методов физического воздействия на растительное сырье является взрывной автогидролиз, осуществленный впервые в 30-х гг. в США Мейсоном [19,20].

Сущность взрывного автогидролиза заключается в кратковременной (от нескольких секунд до нескольких десятков минут) обработке (пропитке) древесной щепы или опилок перегретым водяным паром и последующим быстрым снижением давления до атмосферного (декомпрессия).

В 40-х годах взрывной автогидролиз был предложен для получения фурфурола. Однако в то время широкого распространения данный метод не получил ввиду отсутствия рыночного спроса на получаемый продукт и соответствующего надежного оборудования, способного длительное время работать в жестких температурно-влажностных условиях [19]. Только с середины 70-х годов паровой взрыв вновь привлек внимание в связи с необходимостью реализации биотехнологических программ по использованию растительной биомассы. В разных странах мира - Канаде, США, Японии, Италии - исследуют и используют технологию взрывного автогидролиза для различных целей [19].

При обработке растительного сырья паром высокого давления происходят химические и структурные превращения, сопровождающиеся деструкцией основных компонентов, и физико-механические изменения, обусловленные разрушением морфологической структуры.

Физическая картина разделения волокнистого материала под действием градиента давления показана на рисунке 4 [21].

1 -  стадия загрузки растительного сырья; 2 - стадия подачи пара; 3 - стадия сброса давления; 4 - стадия выгрузки.

Рисунок 4 – Физическая картина процесса ВАГ

Материал, состоящий из целлюлозы,  гемицеллюлоз и лигнина (позиция 1), помещается в специальный реактор высокого давления, куда подается водяной пар с заданными параметрами. Поскольку начальная температура материала ниже температуры насыщенного пара, происходит  конденсация последнего на поверхности  растительных клеток в виде  тонкой пленки жидкости и выделение теплоты фазового перехода. Одновременно с нагревом материала происходит его увлажнение жидкостью (позиция 2). Перемещение влаги из пленки конденсата внутрь пористого материала осуществляется за счет градиента общего давления, при этом образующийся фронт жидкости формирует две зоны: влажную, где свободное пространство материала целиком заполнено влагой, и условно сухую. При высокотемпературной обработке лигнин подвергается деструкции с образованием низкомолекулярных фрагментов, а полисахариды гемицеллюлоз  практически полностью гидролизуются до простых сахаров.

После выдержки сырья в реакторе при высоких температуре и давлении производится сброс давления. Это вызывает вскипание влаги, содержащейся в измельчаемом материале (позиция 3). Данный процесс сопровождается значительным увеличением количества образующейся паровой фазы, в результате чего в толще материала наблюдается быстрый подъем избыточного давления. Так как давление пара внутри материала превышает внешнее давление, это приводит к возникновению фильтрационного потока, направленного к поверхности частицы. Давление этого потока превышает предел прочности материала при разрыве поперек волокон и вызывает его разволокнение и дефибрирование (позиция 4).

Древесно-волокнистая масса, полученная после обработки методом ВАГ представляет собой деструктированный компаунд, который возможно разделить на условно чистые компоненты, такие как простые сахара, низкомолекулярный лигнин, реакционноспособная целлюлоза, остаточный лигнин и продукты его распада, а также летучие продукты  (главным образом фурфурол, уксусная кислота) [21].

Происходит разрыв меж- и внутримолекулярных связей. Так авторы [22] отмечают такие процессы как разрушение фенольных и эфирных связей в макромолекуле лигнина, гидролиз гликозидных связей в макромолекулах гемицеллюлоз и частично в целлюлозе. Также происходит разрыв существующих лигноуглеводных связей.

Одновременно с вышеуказанными процессами происходит дегидратация образующихся моносахаридов, в результате чего образуются вещества, содержащие альдегидные или кетонные группы, сопряженные с двойными связями такие как фурфурол, метилфурфурол, 5-оксиметилфурфурол, гуминовые вещества и т.д. [23-25]. Судя по всему  наличие данных веществ в волокнистой древесной массе должно быть полезно для поликонденсационных процессов, происходящих при горячем прессовании плитных материалов, без ввода синтетических связующих веществ. Информация о химических превращениях компонентов растительного сырья в процессе ВАГ позволяет оценить возможность использования данного вида материала для производства ДВП. Основываясь на исследованиях авторов [26] становится понятным, что для получения плитных материалов с высокими эксплуатационными характеристиками необходима такая обработка растительной биомассы, при которой в достаточном количестве образовывались компоненты, участвующие в конденсационных процессах при последующем горячем прессовании, без значительных структурных изменений волокон целлюлозы. Однако большинство исследований [27, 19] по данному вопросу направлены на изучение поведения компонентов древесного сырья, а имеющиеся литературные данные [20] по низкокачественным породам древесины, или же растительного сырья не древесной природы сводятся в основном к методам выделения отдельных продуктов растительной клетки.

Полиозы, входящие в состав растительной клетки, частично ацилированы и, в процессе ВАГ, в результате гидролиза сложноэфирных связей (реакция деацилирования) происходит образование уксусной кислоты. А при распаде сахаров  в условиях повышенных температур под действием водяного пара  генерируется муравьиная кислота [20]. Исследования авторов [26] показали, что при баротермической обработке древесины, под действием образующихся органических кислот происходит ускорение гидролиза углеводов и деполимеризация лигноуглеводного комплекса в целом. Таким образом, химические превращения, происходящие с компонентами древесной массы в процессе баротермической обработки, подчиняются закономерностям кислотного гидролиза.

Известно, что наибольшее влияние кислой среды испытывают легкогидролизуемые полисахариды – гемицеллюлозы [28]. Для них характерен легкий переход в водный раствор кислот, где происходит их дальнейший гомогенный гидролиз. Это связано в первую очередь с тем, что гемицеллюлозы имеют аморфную структуру, в результате чего гликозидные связи между остатками пентоз и гексоз, входящих в состав гемицеллюлозных цепей более доступны. Схема по которой происходит гидролиз гемицеллюлоз представлена на рисунке 5.



где R1=H, CH2OH, COOH; R2= R3 = OH

Рисунок 5 – Схема гидролиза гемицеллюлоз

В целом гидролиз гемицеллюлоз можно представить как двустадийный процесс. Такое деление довольно условно, так как вторая ступень начинается практически одновременно с первой.

Первая ступень данного процесса - распад макромолекул гемицеллюлоз на олигомеры. Эта ступень характеризуется гетерогенностью процесса и довольно высокой скоростью. Первая ступень протекает гораздо быстрее, чем вторая. Вторая ступень - это гидролиз перешедших в раствор полисахаридов до моносахаридов. При гидролизе гемицеллюлоз в водном растворе одновременно присутствуют как олигомеры так и моносахариды, так как скорость протекания первой ступени выше скорости протекания второй, а начинаются они практически одновременно [29].

Следует отметить, что влияние кислой среды на протекающие процессы неоднозначно. Так особенностью действия кислой среды на углеводы является то, что она катализирует несколько процессов. А это значит, что одновременно могут протекать процессы инверсии, реверсии сахаров, а так же их деструкции. Схема деструкции моносахаридов представлена на рисунке 6.

Рисунок 6 – Схема процесса разрушения моносахаридов

Продукты таких превращений могут вступать в реакции поликонденсации и полимеризации как между собой, так и с макромолекулами лигнина, с образованием так называемых «гуминоподобных и лигногуминовых веществ» [30]. У исследователей нет единого мнения по поводу строения этих веществ. Так, в работе [30] приводится мнение, где считается, что гуминоподобные вещества являются результатом взаимодействия молекул фурфурола между собой и с продуктами его превращений. Другие исследователи [31,32] считают, что  гуминоподобные вещества являются продуктами  полимеризации фурфурола с молекулами растворенного лигнина. Данное мнение подтверждено эксперементальными исследованиями В.Д. Немировского и В.Г. Костеренко [33]. В своих исследованиях они сравнивали ИК - спектры лигногуминовых веществ с ИК - спектрами продуктов поликонденсации химически чистого фурфурола и оксиметилфурфурола с резорцином в кислой среде. На основании данного сравнения они сделали вывод, что гуминоподобные вещества представляют собой олигомеры, в которых звенья фуранового и метоксильного типа связаны между собой посредством СН и СН2 мостиков в орто- и пара- положениях. С целью избегания путаницы продукты конденсации фурфурола  друг с другом и продуктами его превращений будем называть «гуминоподобные вещества», а продукты взаимодействия молекул лигнина с  фурфуролом «лигногуминовыми».

Итак, в процессе баротермической обработки, в результате химических превращений гемицеллюлоз, образуется целый рад химически активных веществ, способных к химическому взаимодействию с образованием продуктов сетчатой структуры. Помимо этого имеется ряд работ [34-36] по образованию фуранацетонового мономера, способного вступать в реакции взаимодействия с лигнином с образованием прочно связанного комплекса.

Исходя из вышесказанного большой интерес представляет поведение лигнина в условиях парового взрыва. Известно, что лигнин представляет собой аморфные полифункциональные соединения ароматической природы, образующиеся путем ферментативной дегидрогенизационной полимеризации ряда метоксилированных производных оксикоричных спиртов [37]. Данный полимер имеет трехмерную структуру, построенную из олигомерных, димерных, и мономерных арилпропановых структурных единиц, соединенных простыми эфирными и углерод - углеродными связями [38]. Характерная особенность лигнина как полимера ‒ это отсутствие единообразия структурных элементов [37]. Связано это в первую очередь с тем, что в процессе биосинтеза лигнина образуются единицы трех типов: гваяцилпропановые или G - единицы, рассматриваемые как производные пирокатехина, сирингилпропановые или S - единицы ‒ производные пирогаллола, гидроксилфенилпропановые или H - единицы  производные фенола [39]. Во-вторых, из-за наличия нескольких типов межмономерных связей (эфирные, углеводные). В-третьих, причиной отсутствия единообразия в строении лигнина является то, что в образовании межмономерных связей может участвовать практически любой углеродный атом фенилпропановой единицы (ФПЕ) [37].

В условиях ВАГ лигнин также подвержен деструкции, катализируемой образующимися в результате распада гемицеллюлоз органическими кислотами. При паровом взрыве разрыв связей лигнина протекает по механизму гидролитической деструкции. При гидролитической деструкции гидролиз идет по α - эфирным связям структурных фрагментов с образованием фенольных и спиртовых гидроксилов. В общем виде деструкцию лигнина можно представить схемой лигнин à олиголигнолы à фенолы [40].

Однако следует учитывать, что данная схема довольно условна, так как при гидролитической деструкции лигнина могут протекать различные конкурирующие реакции фрагментов лигнина, как между собой, так и с продуктами деструкции полисахаридов. Эти реакции относятся к реакциям нуклеофильного замещения в ФПЕ лигнина в кислой среде. Схема основных конкурирующих реакций представлена на рисунке 7 [39].

Рисунок 7 – Конкурирующие реакции в кислой среде

Присоединение «внутреннего» нуклеофила приводит к реакции конденсации. Присоединение «внешнего» нуклеофила может обеспечить защиту от конденсации. На этой же стадии реакции в отсутствии сильного нуклеофила с реакцией нуклеофильного замещения конкурирует реакция нуклеофильного элиминирования с образованием двойной связи α β, что облегчает сольватическую деструкцию связи β – 0 – 4 [39].

Конкурирующие реакции конденсации ФПЕ и продуктов деструкции гемицеллюлоз приводят к образованию так называемого «псевдолигнина», о чем косвенно свидетельствует увеличение суммарного количества лигнина после баротемической обработки древесной массы [40, 41]. «Псевдолигнин» практически не отличим от истинного лигнина. Он отличается меньшей молекулярной массой и высокой реакционной способностью. Вследствие чего, по мнению авторов [42], он может заменять дорогостоящие фенолы при производстве плитных материалов.

Влияние ВАГ на целлюлозу в литературе описано мало. На наш взгляд это связано с тем, что целлюлоза, как представитель  трудногидролизуемых полисахаридов в наименьшей степени подвергается деструктивным процессам в условиях ВАГ [43]. Так П.П. Эриньш в своих работах [44,45] отмечает, что целлюлоза вообще практически не затрагивается в процессе ВАГ.

Авторы работ [44, 46, 47] отмечают, что при ВАГ как лиственных, так и хвойных пород происходит рост индекса кристалличности и размеров кристаллов целлюлозы. Так, авторы работы [47] приводят результаты рентгенофазного анализа, которые показывают некоторое увеличение кристалличности в древесине. Другие считают, что во время автогидролиза кристалличность не изменяется [48-50]. На наш взгляд это зависит от доступности целлюлозы к действию гидролизующих агентов и от количества гидролизующего агента,  определяющихся породой растительного сырья и  параметрами процесса ВАГ (давление, температура и продолжительность воздействия этих факторов). Некоторое увеличение кристалличности целлюлозы может происходить за счет гидролиза полиоз, вклинивающихся в аморфные участки целлюлозы, в результате чего появляется возможность для их структурирования.

При повышенной температуре процесса ВАГ протекают реакции деацилирования полисахаридов гемицеллюлоз с образованием уксусной кислоты. Так же образуются примеси муравьиной кислоты, очевидно, в результате термических превращений сахаров [51].

Исходя из вышесказанного в процессе ВАГ на целлюлозу оказывают одновременное воздействие температура и кислая среда. Исходя из чего, представляют интерес закономерности поведения целлюлозы в кислой среде. Многочисленные исследования говорят о том, что при гидролизе целлюлоза сначала утрачивает свою волокнистую структуру и превращается в гидратцелюлозу. Гидратцеллюлоза представляет собой смесь неизменной целлюлозы с продуктами различной степени гидролиза. Она характеризуется меньшей степенью полимеризации и более высокой степенью кристалличности по сравнению с исходной целлюлозой. Характерной особенностью кислотного гидролиза является то, что быстрое падение степени полимеризации на начальном этапе, сменяется замедлением снижения степени полимеризации при дальнейшем течении процесса. По-видимому, это связано с особенностью ее надмолекулярной структуры, наличием в макромолекуле целлюлозы аморфных и кристаллических участков. Аморфная часть быстро гидролизуется и распадается на участки плотной упаковки.

Схема гидролиза целлюлозы разбавленными кислотами в общем виде представлена на рисунке 8.

Рисунок 8 - Гидролиз целлюлозы разбавленными кислотами

По данным [52] I реакция протекает быстро уже при мягких условиях гидролиза; II реакция протекает медленно (она определяет скорость гидролиза); III реакция протекает быстро.

Реакция гидролиза целлюлозы катализируется ионами водорода, который в водной среде существует в виде неустойчивого иона оксониевого соединения Н3О+ - иона гидроксония. Следует отметить, что с повышением температуры резко увеличивается диссоциация воды. Этим объясняется более быстрое падение степени полимеризации на начальном этапе при повышении температуры ВАГ . Действие иона гидроксония на кислород ацетальной связи полисахарида представлено на рисунке 9 [38].

Рисунок 9 – Действие иона гидроксония на кислород ацетальной связи полисахарида

Под действием иона гидроксония ацетальный кислород быстро протонируется, ослабленная ацетальная связь рвется с образованием иона карбония, который реагирует с водой, давая концевую группу и протон. Освободившийся протон с водой вновь образует ион гидроксония.

Если в начале ВАГ ионы гидроксония образуются за счет диссоциации воды, то на дальнейших стадиях гидролиза ионы гидроксония образуются также при автоионизации уксусной кислоты, которая образуется в результате отщепления ацетильных групп гемицеллюлоз  (преимущественно полисахаридов - ксиланов и маннанов). Уксусная кислота также является катализатором распада полисахаридов на моносахариды. При таких условиях образование ионов гидроксония из уксусной кислоты является наиболее важным, чем образование  из воды [53]. Роль автоионизации исчерпывает себя в начале реакции. Уроновые кислоты могут также способствовать образованию ионов гидроксония, однако их влияние слабо изучено.

Особенностью обработки целлюлозы в условиях ВАГ является кратковременность воздействия параметров. В связи с чем, невозможно полностью перенести установленные закономерности на поведение целлюлозы при ВАГ, несмотря на схожесть воздействующих параметров

Осуществление взрывного гидролиза может происходить в широком диапазоне температур, причем время выдерживания обрабатываемого материала при заданной температуре тоже может быть различным. разделение и глубина преобразований компонентов растительного сырья зависит от соотношения длительности и температуры паровой обработки.

1.4 Применение волокнистой массы взрывного автогидролиза

Основными заказчиками исследований и совершенствования технологии парового взрыва являются производители целлюлозы и бумаги из древесной массы [21, 46]. Например, шведскими специалистами получена древесная масса методом парового взрыва с целью дальнейшей ее переработки в целлюлозу и бумагу [21]. При этом достигаются преимущества, обусловленные уменьшением повреждения волокна, большей прочностью и эластичностью волокон и бумаги, на 70 % снижаются затраты энергии по сравнению со способами получения термомеханической и химико-термомеханической древесной массы [27].

Лигноцеллюлозная масса после взрывного автогидролиза находит применение и как грубый корм для жвачных животных [28,29]. Высказано мнение о том, что микробиологические аспекты применения взрывного автогидролиза являются доминирующими [10], хотя анализ большого числа литературных источников не позволяет считать данное утверждение справедливым.

Одним из перспективных направлений применения взорванной паром древесины является извлечение органических продуктов, образующихся после её паро-взрывной обработки [25, 26].

В работе [30] обсуждены технологии расщепления древесной щепы паром высокого давления и последующего выделения гемицеллюлоз в виде 10%-ного водного раствора, а также сахаров, лигнина и целлюлозы. Анализируются проблемы химического и биохимического превращения компонентов древесины: получение, очистка и концентрирование ксилоолигосахаридов, производство ферментов, обсахаривающих целлюлозу, выделение термофильных и щелочестойких дрожжей, процессы одновременного осахаривания и ферментации целлюлозы.

В этих и других аналогичных исследованиях использовано основное достоинство взрывного автогидролиза, заключающееся в возможности последующего относительно легкого разделения продукта на отдельные компоненты [26, 16] за счет образования большого количества водо-, диоксан- и щелочерастворимых веществ, каждый из которых затем находит соответствующее применение. Даже лигнин, являющийся неликвидным побочным продуктом обычного гидролизного производства, ввиду своей низкой реакционной способности, в результате взрывного автогидролиза модифицируется и приобретает высокую реакционную способность. Это делает возможным его дальнейшее использование [22-25].

Предложена методика [27] производства композиционных материалов из лигноцеллюлозного сырья без использования синтетических связующих. После баротермической обработки лигноцеллюлозный материал превращается в продукт волокнистой или аморфной формы светло - или темно-коричневого цвета, пригодный после высушивания для горячего прессования волокнистых композиционных плитных материалов без введения каких-либо связующих веществ.

Применение технологии взрывного автогидролиза во всех вариантах способствует более полному использованию различных частей древесины и всевозможных растительных остатков.






1.5 Теплоизоляционные материалы и изделия

Из большинства растительных отходов можно производить теплоизоляционные материалы. При этом их можно разделить на 3 вида:

1) Прошивные маты, скрепленные стальной проволокой

2) Прессованные плиты на основе предварительно разволокненного сырья, при этом в качестве связующих веществ могут выступать как продукты модифицирования растительного сырья, так и введенные из вне минеральные или полимерные вяжущие

3) Прессованные плиты на основе измельченного (рубленого) сырья, с применением органического либо минерального связующего.

Теплоизоляционными называют строительные материалы, которые обладают малой теплопроводностью и предназначены для тепловой изоляции строительных конструкций жилых, производственных и сельскохозяйственных зданий, поверхностей производственного оборудования и агрегатов (промышленные ничей, турбин, трубопроводов, камер холодильников и прочих). Эти материалы имеют небольшую среднюю плотность ‒ не выше 500 кг/м3, которая достигается повышением пористости.

В строительстве тепловая изоляция позволяет уменьшить толщину ограждающих конструкций (стен, кровли), снизить расход основных материалов (кирпича, бетона, древесины), облегчить конструкции и понизить их стоимость, уменьшить расход топлива в эксплуатационный период. В технологическом и энергетическом оборудовании тепловая изоляция снижает потери теплоты, обеспечивает необходимый температурный режим, снижает удельный расход топлива на единицу продукции, улучшает условия труда. Чтобы получить достаточный эффект от применения тепловой изоляции, в инженерных проектах производятся соответствующие тепловые расчеты, в которых принимаются конкретные разновидности теплоизоляционных материалов и учитываются их теплофизические характеристики. Эти мероприятия позволяют успешно решать проблему экономии топливно-энергетических ресурсов.

Теплоизоляционные материалы ‒ разновидность строительных материалов, характеризующихся малой теплопроводностью.

Теплопроводность – это главное качество для теплоизоляции. Оно означает, что материал должен обеспечить требуемое сопротивление теплопередаче при минимальной толщине несущей конструкции.

Чем ниже теплопроводность, тем лучше теплоизоляция. Коэффициент теплопроводности для изолирующих материалов не должен превышать 0,04-0,06 Вт/(м2*К).

Малая теплопроводность теплоизоляционных материалов обусловлена их высокопористым строением, поскольку воздух в порах имеет меньшую теплопроводность, чем окружающее его вещество, в конденсированном состоянии (твердом или жидком). При величине пор 0,1‒2,0 мм воздух имеет в них теплопроводность, равную 0,023‒0,030 Вт/(м*К). Пористость теплоизоляционных материалов может составлять до 90 и даже до 98%, а супертонкое стекловолокно, имеет пористость до 99,5%. Между тем такие конструкционные материалы, как тяжелый цементный бетон, имеет пористость до 9‒15%, гранит, мрамор ‒ 0,2‒0,8%, керамический кирпич ‒ 25‒35%, сталь ‒ 0%, древесина ‒ до 70% [32]. С другой стороны, необходимо стремиться к максимально возможному уменьшению размеров пор и ходов, соединяющих поры, для того чтобы  снизить конвективный перенос теплоты При этом теплоизоляционные материалы должны быть защищены от увлажнения, хорошо противостоять процессам гниения, замораживания и оттаивания, то есть характеризоваться высокими эксплуатационными показателями.

Воздух, заполняющий поры и находящийся в спокойном состоянии, является плохим проводником теплоты и создает вследствие этого большое сопротивление теплопередаче.

Теплоизоляционные материалы широко применяют как в строительстве, так и в промышленности. На основе органического сырья производят довольно большое число разновидностей теплоизоляционных материалов и изделий [31]. Основным сырьем для их изготовления служит древесина, главным образом в виде отходов (опилки, стружка, горбыль, рейка) и другое растительное сырье волокнистого строения (камыш, солома, малоразложившийся верховой торф, костра льна и конопли). Большое количество теплоизоляционных изделий изготавливают на основе различных полимеров и синтетических смол.

Мягкие древесноволокнистые плиты характеризуются достаточно высокой тепловой инерцией. От тепловой инерции утеплителя зависит сохранение тепла в доме.

Показатель тепловой инерции ‒ продолжительность промежутка времени, в течении которого происходит снижение температуры теплового потока, при его прохождении с наружной поверхности материала на внутреннюю поверхность. Чем больше этот промежуток времени, тем дольше нагревается или остывает воздух в помещении[32].

Для снижения интенсивности теплопередачи через строительные ограждающие конструкции необходимо применение теплоизоляционных материалов, оказывающих большое сопротивление конвективному переносу теплоты и характеризующихся малой теплопроводностью. Следовательно, эти материалы должны обладать высокой пористостью, так как воздух, заполняющий поры, ‒ плохой проводник теплоты.

Основным видом применяемых в России утеплителей являются минераловатные изделия, доля которых в общем объеме производства и потребления составляет более 65 %. Около 8 % приходится на стекловатные материалы, 20 % на пенополистирол и другие пенопласты. Доля теплоизоляционных ячеистых бетонов в общем объеме производимых утеплителей не превышает 3 %, вспученного перлита, вермикулита и изделий на их основе - 2-3 % (по вспученному продукту) [33]. Кроме теп­лоизоляционных изделий пористой структуры, изготовленных на базе пластмасс, в строительной практике широко используют теплоизоляционные материалы и изделия, полученные на базе древесины и других видов флоры [34].

В настоящее время объем потребления теплоизоляционных материалов в России является крайне низким. Существующий уровень потребления теплоизоляции в 2,3 меньше необходимого уровня [35].
























2 методическая часть

2.1 Анализ сырья

2.1.1 Сырье и материалы

В качестве сырья в данном исследовании использованы отходы соломы пшеницы длиной до 300 мм. Состав исходного сырья представлен в таблице 1 в сравнении с химическим составом древесины осины  (Pópulus trémula).

Таблица 4 – Состав исходного сырья

Объект исследования

Содержание, %

Целлюлозы

Лигнина

ЛГП

Зольность

Экстрактивные вещества

Древесина осины

46,60

20,50

22,90

0,45

3,50

Солома пшеницы

41,30

21,88

27,70

1,9

2,4

 

2.1.2 Определение влажности

Определение влажности растительного сырья проводили по методике описанной в [108].

Высушивание растительного сырья осуществляли при температуре 100-105 0С, в широких низких бюксах. Для анализа применяли растительное сырье, измельченное до размеров около 10 мм. Чистый, пустой бюкс высушивали в сушильном шкафу при температуре 100-105 0С до постоянного веса, охлаждали в эксикаторе над хлористым кальцием и взвешивали с точностью до 0,0002. В бюкс помещали навеску опилок около 1 г. Сушили бюкс с навеской при температуре 100-105 0С в течение 4 часов, затем, плотно закрыв бюкс крышкой, перед тем как вынуть его из сушильного шкафа, охлаждали в эксикаторе и взвешивали. Повторяли высушивание в течение 1 часа и последующее взвешивание до достижения постоянной массы.

Расчет содержания влаги в образце производили по формуле:

W=[(m1-m2)/(m1-m)]´100,

где       m - масса пустого бюкса (с крышкой), в г;

            m1 – масса бюкса с навеской до высушивания, в г;

            m2 - масса бюкса с навеской после высушивания, в г.

2.1.3 Определение зольности древесины по стандарту                         ТАРРI Т-15m-58

Для определения зольности использовали методику [108].

Зола определялась как остаток после прокаливания растительного сырья при температуре 575±25 0С.

Брали навеску растительного сырья известной влажности - 5 г с точностью до 0,005 г. Чистый фарфоровый тигель с крышкой прокаливали до постоянного веса в муфельной печи при 575±25 0С. После прокаливания, остудив, помещали тигель в эксикатор с безводным глиноземом. После охлаждения до комнатной температуры тигель взвешивали с точностью до 0,0001 г. Помещали навеску в тигель. Сжигали навеску на краю муфельной печи. Когда пламя исчезало, помещали тигель в муфельную печь и прокаливали при температуре 575±25 0С не менее 3 часов до полного удаления всего углерода, о чем свидетельствовало отсутствие черных частичек.

По окончании прокаливания тигель извлекали из муфеля, закрывали крышкой и давали немного остыть. Затем помещали его в эксикатор и охлаждали  до комнатной температуры. Взвешивали с точностью до 0,0001 г и рассчитывали содержание золы в процентах к весу абсолютно сухой навески растительного сырья с точностью до 0,01 %. Расхождение между параллельными определениями не превышало 0,01 %.

 

2.1.4 Экстракция древесины водой по методу ТАРРI Т-6m-59

Определение редуцирующих веществ проводили по методике, описанной в [108].

Экстракцию проводили в аппарате Сокслета. Навеску воздушно-сухого растительного сырья около 5 г взвешенную с точностью до 0,0002 г помещали в гильзу, свернутую из фильтровальной бумаги. Гильзу с навеской помещали в эксикатор, уровень опилок был на 1-1,5 см ниже верхнего уровня сифона. В колбу для экстракции заливали 150 мл воды, собирали аппарат и начинали нагрев колбы. Экстракцию проводили в течение 10 часов. Экстракт переливали в предварительно подготовленную колбу. В полученном экстракте определяли содержание редуцирующих веществ по методике описанной в пункте 2.1.5.

2.1.5 Определение массовой доли редуцирующих веществ в гидролизатах по методу Макэна и Шоорля

Для определения использовали методику, описанную в [108].

Для получения реактива Фелинга готовили два раствора А - 69,3 г CuSO4  в 1 литре воды; Б - 346 г сегнетовй соли и 100 г NaOH в 1 литре водного раствора.

В коническую колбу вместимостью 250 мл вливали пипеткой 10 мл раствора А, затем 10 мл раствора Б и 10 мл гидролизата легкогидролизуемых полисахаридов или редуцирующих веществ. Смесь разбавляли дистиллированной водой до общего объема 50 мл и хорошо перемешивали. Ставили колбу на горячую включенную электроплитку, нагревали смесь до кипения и кипятили точно 2 минуты (по секундомеру), считая с момента появления первого пузырька на поверхности раствора. Для уменьшения испарения в горло колбы вставляли стеклянную воронку.

По окончании кипячения колбу быстро охлаждали холодной водой до температуры 25 0С, добавляли раствор KI (3 г KI 10 мл воды) и 10 мл 25 % H2SO4 и сразу же при непрерывном перемешивании титровали выделившийся йод раствором тиосульфата натрия концентрацией (Na2S2O3) 0,1 моль/л до перехода коричневой окраски в светло-желтую. Затем добавляли 10 мл 1- 0,5 % раствора крахмала и медленно дотитровывали до полного исчезновения синей окраски. Раствор становился окрашенным в кремовый цвет вследствие образования йодида меди (I). В аналогичных условиях, но без добавления раствора сахара, проводили контрольный опыт. По разности расходов раствора тиосульфата натрия (Na2S2O3) в контрольном и рабочем опытах (а, мл) с помощью эмпирической таблицы находили количество сахара в пробе гидролизата, взятой на анализ (b , мг).

При анализе гидролизата легкогидролизуемых полисахаридов расчет вели на маннозу.

Затем рассчитывали концентрацию редуцирующих веществ в гидролизате Сл.:

 С=(b´100)/(v´1000),

где b - количество сахара в пробе гидролизата объемом v, мл, найденное по таблице 5.

Таблица 5 – Соотношения маннозы, мг, для анализа РВ по методу Макэна и Шоорля

Разность расхода 0,1 моль/л раствора Na2S2O3, a мл

Содержание маннозы, b мг

Поправочный коэффициент

1

3,1


2

6,3

3,2

3

9,5

4

12,8

3,3

5

16,1

3,3

6

19,4

3,3

7

22,8

3,4

8

26,2

3,4

9

19,6

3,4

10

33,0

3,4

Продолжение таблицы 5

11

36,5

3,5

12

40,0

3,5

13

43,5

3,5

14

47,0

3,5

15

50,6

3,6

16

54,2

3,6

17

57,9

3,7

18

62,6

3,7

19

65,3

3,7

20

69,2

3,9

21

73,1

3,9

22

77,0

3,9

23

81,0

4,0

24

85,0

4,0

25

89,0

4,0

Далее определяли процентное содержание РВ в экстракте.

2.1.6 Определение легкогидролизуемых полисахаридов

Методика для анализа взята из [108].

Навеску воздушно-сухого растительного сырья массой 5 г помещали в коническую колбу вместимостью 500 мл, добавляли 200 мл  2 % HCI и кипятили с обратным холодильником на электрической плитке в течение 3 часов. Вся навеска должна находиться в кислоте. Для этого после разогрева содержимое колбы осторожно перемешивали. По окончании гидролиза растительное сырье отфильтровывали на воронку Бюхнера с бумажным фильтром с отсосом. Остаток на фильтре промывали горячей водой до отрицательной реакции на кислоту по индикатору метиловому оранжевому. Фильтрат и промывные воды переносили в мерную колбу вместимостью 500 мл, доводили раствор после охлаждения дистиллированной водой до метки и тщательно перемешивали. В полученном растворе определяли массовую долю ЛГП в процентах.

Массовую долю легкогидролизуемых полисахаридов, % к абсолютно сухой навеске, рассчитывали по формуле:

Xл=[(сл ´V´kл)/(g´100)] ´100,

где      сл  -  массовая доля РВ в гидролизате легкогидролизуемых

            полисахаридов, %;

            V - объем гидролизата, V=500 мл;

            kл- коэффициент пересчета моносахаридов в полисахариды;

            g - масса абсолютно сухой навески растительного сырья, г.

Для хвойных пород коэффициент пересчета Kл в гидролизатах древесины хвойных пород принято брать равным 0,89.

2.1.7 Определение целлюлозы по методу Кюршнера и Хоффера

Для определения применяли методику, описанную в [108].

Навеску воздушно – сухого растительного сырья массой 1 г помещали в коническую колбу емкостью 200-250 мл, добавляли 25 мл смеси, состоящей из 1 объема концентрированной азотной кислоты (уд. вес 1,4) и 4 объемов этилового спирта, и кипятили в течение 1 часа в колбе с обратным холодильником на водяной бане. После кипячения твердым частицам давали осесть и осторожно сливали жидкость через стеклянный фильтр, предварительно высушенный и взвешенный. Попавшие на фильтр твердые частицы смывали в колбу 25 мл свежей смеси спирта с азотной кислотой и снова нагревали на водяной бане с обратным холодильником в течение 1 часа. Такую обработку проводили 6 раз. После последней обработки целлюлозу отфильтровывали на стеклянном фильтре, промывали 10 мл свежей азотно-спиртовой смеси, затем горячей водой до нейтральной реакции, высушивали при 100-105 0С до постоянного веса и взвешивали.

Массовую долю целлюлозы, % к абсолютно сухой навеске растительного сырья, рассчитывали по формуле:

 С=[(m1-m)/g] ´100,

где       m1 -  масса фильтра с целлюлозой, г;

            m - масса пустого фильтра, г;

            g – масса абсолютно сухой навески растительного сырья, г.

2.1.8 Определение лигнина с 72%-ной серной кислотой в модификации Комарова

Для определения лигнина использовали методику, взятую из [108].

Навеску растительного сырья массой 1 г, взвешивали с точностью до 0,0002 г, обрабатывали в колбе с притертой пробкой 15 мл 72 % серной кислоты, плотностью 1,64 в течение 2,5 часов при температуре 24-25 0С, периодически размешивали содержимое колбы во избежание образования комков. Затем смесь лигнина с серной кислотой разбавляли 200 мл дистиллированной воды и кипятили в течение 1 часа в колбе с обратным холодильником. Лигнин отфильтровывали на следующий день, когда частицы лигнина достаточно укрупнялись. Фильтр с лигнином сушили в сушильном шкафу при температуре 100-105 0С до постоянной массы, охлаждали и взвешивали.

Массовую долю лигнина, % к абсолютно- сухой исходной растительного сырья, рассчитывали по формуле:

 L= [(m1-m)/g] ´Kэ ´100,

где       m1 -  масса фильтра с лигнином, г;

             m - масса пустого фильтра в г;

             g  - масса абсолютно сухой навески растительного сырья, г;

             Кэ – коэффициент экстрагирования растворителем.

2.1.9 Дериватографические исследования

Термогравиметрический анализ образцов исходной соломы пшеницы проводили на дериватографе системы "Паулик – Паулик - Эрдей" в температурном интервале 20 - 400 0С в атмосфере генерирующихся газов деструкции. Скорость подъема температуры 10 0С в минуту, навеска образца соломы пшеницы – 198 мг. В качестве эталонного вещества был использован оксид алюминия [108].

Суть термогравиметрического анализа – регистрирация изменения массы вещества m в зависимости от температуры Т при нагревании в заданной среде с регулируемой скоростью. В качестве измерительного прибора использовали термовесы, обеспечивающие непрерывное взвешивание образца при его нагревании. Термогравиметрия по производной позволяет получить первую производную кривой массы по температуре или по времени. Оба этих метода связаны с изменением массы в процессе термического разложения (или превращения) древесинного вещества, его компонентов или технических продуктов. Они позволяют установить температуру начала термического разложения вещества, конечную температуру процесса или изучаемой стадии, скорость процесса термического разложения. В методах, основанных на измерении энергий вещества, регистрируют разность температур исследуемого вещества и эталона (стандартного вещества  термически не активного в условиях анализа). В качестве эталонного вещества был использован оксид алюминия.

1 - печь; 2 - тигель с эталоном; 3 - тигель с образцом; 4 - термопара; 5- держатель образца; 6 - оптическая щель; 7 - коромысло равноплечих весов; 8 - источник света; 9 - электромагнитная катушка; 10 - постоянный магнит; 11 - гальванометр; 12 - регистрирующий барабан.

Рисунок 10 - Принципиальная схема дериватографа

Дериватограф системы Паулик‒Паулик‒Эрдей включает ячейку для дифференциального термического анализа и термовесы для термогравиметрии, которые также регистрируют скорость изменения массы. Схема прибора приведена на рисунке 10. Ячейка для ДТА имеет регистратор разности температур ΔТ исследуемого образца и эталона ‒ оксида алюминия(III) АI2О3, и регистратор температуры образца Т. Нагрев ячейки осуществляется с помощью программного регулятора нагрева, обеспечивающего заданную скорость нагрева (обычно 1...10 град/мин) и равномерность повышения температуры. Закрываемые крышкой платиновые тигли с карманами для термопар заполняются исследуемым веществом и эталоном. Термопары подключены к гальванометрам зеркального типа. Нагрев осуществляют с помощью печи. Регистрирующий барабан вращается с постоянной скоростью и обеспечивает развертку записи сигналов во времени. На бумагу наносятся шкалы времени и массы.
Держатель образца соединен с весами, автоматически регистрирующими текущую массу образца. С помощью электромагнитной катушки и магнита регистрируется скорость перемещения коромысла, соответствующая скорости уменьшения массы образца[108].

2.2 Методика ВАГ

Навеска, соломы пшеницы массой 50 г.,  выдерживается в реакторе при температуре 160-220 0С в течение 5-30 минут, после чего происходит резкая декомпрессия системы.

2.2.1 Установка для получения волокнистой массы паровым взрывом

Для эксперимента использовали установку ВАГ, описанную в [109]. Принципиальная схема установки представлена на рисунке 11. Установка состоит из сосуда-парогенератора 1, заполненного паром 2 и дистиллированной водой 3, и внутреннего сосуда - реактора 4. Оба сосуда соединены между собой стальной трубкой - паропроводом 7, снабженной вентилем 8. Генерирование пара осуществляется электронагревателем, работающим от сети переменного тока напряжением 220 В. Принцип работы нагревателя основан на прохождении тока через воду между контактом 5 и корпусом, заземленным посредством соединения 6. Загрузка растительного сырья 13 в реактор осуществляется через горловину 12, герметично закрывающуюся крышкой 11, подвижно прикрепленной к стальной штанге 10. Герметичность узла достигается прижимом штанги винтовым зажимом 15.

Контроль над давлением пара внутри парогенератора и сосуда с лигноцеллюлозным материалом осуществляется посредством манометров 9. Равномерность подачи пара для пропитывания древесины внутри реактора обеспечивается трубчатой насадкой 14, помещенной внутрь реактора и снабженной множеством отверстий.

Подготовка к процессу баротермической обработки начинается с нагревания парогенератора до рабочего давления. После его получения в реактор загружается растительное сырье. Реактор герметично закрывается. Поворотом рукоятки вентиля 8 в него подается пар. С данного момента начинается отсчет времени реакции гидролиза. Подача пара перекрывается. В случае необходимости (при длительной реакции) нужное давление поддерживается дополнительной подачей пара.

Разгрузочная система, расположенная в нижней части установки, позволяет в нужное время освободить внутренний сосуд от гидролизованных продуктов, причем конструкция устройства позволяет осуществлять выгрузку мгновенно. Конический запорный клапан из нержавеющей стали 16 плотно прижат к притертой алюминиевой прокладке 26, чем обеспечивается герметичность реактора при давлении до 2,5 МПа. Прижим обеспечивается посредством стального стержня 21, жестко скрепленного с опорой 23, имеющей в нижней части четыре специальных выступа, опирающихся на аналогичные выступы опоры 28, лежащей ниже. Плотность прилегания клапана к прокладке достигается дополнительным прижимом нижней опоры 28 посредством винта 24.

Декомпрессия реактора происходит при одновременном повороте винта 24 (разблокирование системы) и рукоятки 22. В результате происходит поворот опоры 25 вокруг вертикальной оси и «проваливание» выступов верхней опоры в пазы нижней. Возвращение клапана в первоначальное положение осуществляется вручную, путем вертикального перемещения рукоятки 27 и горизонтального - рукоятки 22. Вся система вновь фиксируется поворотом винта 24, установка снова подготовлена к работе.

Благодаря разности давлений между реактором и атмосферой происходит перемещение содержимого реактора через отводной канал 17 в приемный циклон 18. Циклон снабжен разгрузочным люком 19, привинчивающимся к корпусу посредством шести винтов 20.

Рисунок 11 - Схема экспериментальной установка взрывного гидролиза

2.3 Анализ плитных материалов

2.3.1 Определение плотности плитных материалов

Нахождение плотности плитного материала методом гидростатического взвешивания, проводили согласно методике [116]. Методика основана на нахождении разности в весе плитки в воздухе и в жидкой среде. Эксперимент проведен при комнатной температуре. Плитный материал для измерений имел геометрические размеры ~ 10´10´3 мм3.

Расчетная формула была несколько изменена. Так как часть исследуемых плитных материалов имеет плотность, меньше плотности воды, при измерениях был использован дополнительный груз массой ~1 г. Допущено пренебрежение влиянием воздуха на вес, ввиду его чрезвычайной незначительности. При известном весе плитного материала в воздухе и в жидкости расчет плотности осуществляли по формуле:


 
 


где   r - плотность плитного материала;

    М - масса плитного материала в воздухе, г;

    Мж - масса плитного материала в жидкости, г;

    МГ – масса дополнительного груза, г;

    rж - плотность жидкости, кг/м3.

2.3.2 Определение пористости плитных материалов

Пористость – совокупная характеристика размеров и количества пор в твердом теле. Количественно пористость выражается отношением объема всех пор к общему объему, занимаемому телом (в долях единицы или процентах).

Пористость плитных материалов определяли по формуле :

,


где:

ρср – средняя плотность;

ρи – истинная плотность.

Истинную плотность плитных материалов определяли в соответствии с ГОСТ 7025-91. Исследуемый материал высушивали до постоянной массы. Навеску исследуемого материала помещали в высушенный и взвешенный пикнометр. Взвешивали пикнометр с исследуемым образцом. В пикнометр с исследуемым образцом наливали воду и выдерживали 15 минут при нагревании. Заполняли пикнометр водой до метки и взвешивали. Аналогично получали массу пикнометра с жидкостью.

Среднюю плотность определяли в соответствии с ГОСТ 7025-91.

Объем образцов определяли по их геометрическим размерам. Для определения геометрических размеров образцов использовали пикнометр. Для определения линейных размеров образец измеряли в трех местах – по ребрам и грани. За результат принимали среднее  арифметическое значение  3 – 4 измерений.

2.4 ЯМР 13С – спектроскопическое исследование


Снятие ЯМР-спектров проводили на приборе BRUKER AVANCE III 300WB. Спектры 13С высокого разрешения в твердом теле регистрировались на частоте 75 мГц с использованием стандартной методики кросс поляризации с подавлением протонов и вращением под магическим углом (CPMAS), время контакта 2000 мксек, время накопления FID 40 мсек, задержка между сканами 5 с, образец помещался в циркониевый ротор внешним диаметром 7 мм с крышкой из Kel-F и вращался с частотой 5 кГц. Производилось накопление 1024 сканов при комнатной температуре. Химический сдвиг отсчитывался относительно тетраметилсилана. Интерпретация спектров проводилась при помощи литературных данных [119-126] и данных квантовохимического расчета.

2.5 Потенциометрическое определение pH водного экстракта

Значение pH водных экстрактов модифицированным методом ВАГ древесины осины, соломы пшеницы и коры древесины сосны проводили потенциометром pH – 673.М. Электрод сравнения – ЭСЛ 43-07, индикаторный электрод – ЭВП – 1М3. Точность измерения ± 5%.

3 Обсуждение результатов

3.1 Химические превращения компонентов соломы пшеницы в процессе обработки методом взрывного автогидролиза

В процессе ВАГ под действием температуры и давления в древесине  развиваются химические превращения, сопровождающиеся гидролитическими процессами с образованием веществ, сходных по химической природе с компонентами, участвующими в образовании фенол-формальдегидных смол [9,30,67,109]. Большинство авторов [72,80,90,94]  в публикациях, посвященных химическим превращениям основных компонентов древесины различных пород в процессе ее модификации методом взрывного автогидролиза (ВАГ) отмечают, что процесс модифицирования древесины методом ВАГ сопровождается ослаблением межмолекулярных взаимодействий, нарушением лигноуглеводных связей, разрушением эфирных связей в макромолекулах лигнина и деструкцией полисахаридов, преимущественно по гликозидным связям.

Разрушение в условиях взрывного гидролиза сетки межмолекулярных связей способствует разделению основных компонентов древесины с последующим их гидролизом. Макромолекулы лигнина под действием воды, высокой температуры и давления распадаются на фрагменты фенольного типа с пространственно незатрудненным  и активированным к реакциям электрофильного замещения бензольным кольцом. Гидролитическая деструкция легкогидролизуемых полисахаридов сопровождается  образованием большого количества моно- и олигосахаридов, содержащих альдегидные группы (называемых в дальнейшем редуцирующими веществами).

С целью установления закономерностей поведения основных компонентов соломы пшеницы при модификации ее методом ВАГ, в рамках данной работы, были применены физико-химические методы исследования в комплексе с химическими методами. В качестве основного метода исследования использовался метод ЯМР 13С спектроскопии. Метод ЯМР 13С спектроскопии является информативным при анализе органических соединений и, в комплексе с другими методами исследования, является наиболее перспективным при изучении растительного сырья. Благодаря довольно широкому диапазону химических сдвигов и низкому содержанию изотопа 13С в природном углероде (1,1%) появление двух ядер 13С в соседних положениях молекулы практически невозможно. В результате чего спин-спиновое взаимодействие 13С – 13С практически не оказывает влияния на картину спектров ЯМР 13С [126], что приводит к упрощению спектра, по сравнению с ПМР спектрами.

Модификацию соломы пшеницы, обработку и анализ объектов модифицирования проводили в соответствии со схемой, представленной на рисунке 12.

Рисунок 12 – Схема эксперимента

Для установления закономерностей поведения компонентов соломы пшеницы в процессе модификации методом ВАГ был проведен анализ ЯМР 13С спектров немодифицированных образцов, модифицированных и подвергнутых водной экстракции образцов соломы (рисунки 13-15, соответственно), а также полученных водных экстрактов (рисунок 16).

Рисунок 13 ‒ ЯМР 13С спектр немодифицированной соломы пшеницы

 

Рисунок 14 ‒ ЯМР 13С спектр модифицированной соломы пшеницы

Относительная интегральная интенсивность сигналов химических сдвигов (ХС) представлена в таблице 6.

Таблица 6 – Значение интенсивностей сигналов химического сдвига для ЯМР 13С спектров

Значение

сигнала

Отнесение сигналов атомов

углерода

Солома

Исходная

Взорванная

Прессованная

178-164

СOOH;COOR

2,26

0,78

0,77

160-110

C Ar

15,79

16,80

16,15

153,0000

CAr-O в S

1,13

0,78

0,77

147 (144)

CAr-O в G

CAr-O-R-СAr

2,63

3,52

3,85

132-129

CH в H стр-рах




105,0000

С1 в β 1- 4 цел-зы

C2 C6 в S

10,53

10,31

8,85

84-83

Cβ  при β-О-4-

10,15

10,55

5,00

75,0000

Cα  при β-О-4-

16,54

17,58

12,69

65,0000

Cα  при Cα-OH

6,39

5,86

5,77

58-52

C в -OCH3

2,63

1,56

2,31

50-20

CАл в СH CH2 CH3

12,78

5,08

10,38


На спектрах модифицированной соломы пшеницы (рисунок 14) наблюдается значительное снижение интенсивности сигнала в области 178-164 м.д, характерного для атомов углерода сложноэфирных или свободных карбоксильных групп по сравнению с интенсивностью аналогичных сигналов на ЯМР спектрах немодифицированного образца (рисунок 13, таблица 6).

Изучение ЯМР 13С спектров модифицированого растительного сырья (рисунок 14), модифицированного и подвергнутого водной экстракции (рисунок 15) и продуктов водной экстракции (рисунок 16)








Рисунок 15 - Спектр взорванной экстрагированной соломы пшеницы

Рисунок 16 - ЯМР 13 С спектр водного экстракта соломы пшеницы


позволяют предположить, что снижение интенсивности данного сигнала может быть связано с гидролизом сложноэфирных связей. Подтверждением этому является присутствие интенсивного сигнала в области 178-164 м.д. на ЯМР спектрах водного экстракта растительного сырья подвергнутого водно-тепловой обработке (рисунок 16) свидетельствующего о появлении карбоксилсодержащих соединений в водном экстракте. Снижение интенсивности сигнала в области 178-164 м.д. на ЯМР спектрах модифицированного и подвергнутого водной экстракции растительного сырья в сравнении с ЯМР спектрами неэктрагированных образцов свидетельствует о частичной адсорбции образующихся карбоновых кислот.

Протекание процесса деацетилирования подтверждается так же изучением кислотности среды лигноцеллюлозной массы, полученной в результате обработки растительного сырья методом ВАГ (рисунок 17).

Условия ВАГ: Температура  – 180 0С

Рисунок 17 – Влияние продолжительности ВАГ на pH среды модифицированного растительного сырья

Как видно из данных, представленных на рисунке 17 при увеличении продолжительности процесса ВАГ наблюдается увеличение кислотности. Значения кислотности среды реакционной массы, полученной при обработке методом ВАГ соломы пшеницы выше, чем для древесины осины, очевидно вследствие более  высокого содержания гемицеллюлоз, содержащих сложноэфирные связи.

Таким образом, химические превращения, протекающие в процессе ВАГ соломы пшеницы как и древесины, являются кислотно-катализируемыми процессами.

Авторами [93-95,105], показано, что в процессе модифицирования древесины различных пород методом ВАГ гидролитические процессы преимущественно развиваются в гемицеллюлозах.

Принимая во внимание тот факт, что физическое и химическое строение основных компонентов соломы пшеницы отлично от компонентов древесины [66], следует предположить, что гидролитические процессы, протекающие при модификации соломы пшеницы будут иметь свои особенности.

Исследования показали, что на спектрах ЯМР 13С водных экстрактов модифицированных образцов (рисунок 14) присутствуют интенсивные сигналы в области 109-90 м.д.. В этой области проявляются аномерные атомы углерода моносахаридов, восстанавливающего звена олигосахаридов, а также С1 атомы углерода, участвующие в образовании гликозидной связи олигосахаридов, свидетельствующие о гидролизе углеводной части растительного сырья [126]. Кроме того, на ЯМР спектрах модифицированного методом ВАГ растительного сырья после водной экстракции, наблюдается интенсивный сигнал в области 105 м.д., характерный, для C1 в β 1- 4 гликозидной связи целлюлозы [126]. Наличие этих сигналов свидетельствует о том, что целлюлоза, входящая в состав соломы пшеницы после ВАГ сохраняет свою полимерную цепь. Сопоставление данных фактов позволяет сделать вывод о том, что при модифицировании соломы пшеницы в условиях повышенной температуры и кислой среды в первую очередь гидролизуются гликозидные связи гемицеллюлоз. Таким образом, поведение углеводной составляющей соломы пшеницы принципиально не отличается от поведения углеводов древесины  [94,95,105 ].

Исследователи отмечают [125], что метод ЯМР 13С спектроскопии  наиболее информативен при исследовании процессов, происходящих в ароматической составляющей растительного сырья. Изучение углеводной части методом ЯМР 13С спектроскопии затруднено вследствие химических и конформационных неоднородностей цепей полисахаридов, вызывающих уширение резонансных линий.

С целью соотнесения химических сдвигов лигнинной части спектров были использованы модели основных фенилпропановых единиц лигнина (рисунок 18) и, на их основе, методом квантовохимического расчета DFT с применением базиса B3LYP 6-311G в программе Gaussian были рассчитаны положения химических сдвигов (ХС) (таблица 7) для атомов углерода соответствующих ФПЕ (рисунок 18).

Структура 1 – Сирингильное звено

Структура 2 – Гваяцильное звено

Структура 3 – п-оксифенильное звено

Рисунок 18 – Модельные соединения ФПЕ лигнина

Таблица 7 – Расчет химических сдвигов в ЯМР 13С спектрах для основных ФПЕ лигнина

Структура 1

Структура 2

Структура 3

атома

Значение ХС

атома

Значение ХС

№ атома

Значение ХС

2

134,85

3

135,00

3

141,80

4

134,44

2

134,91

6

122,87

3

126,13

6

124,61

1

116,39

6

122,28

1

110,96

5

115,01

1

102,83

5

109,55

2

101,80

5

89,66

4

100,79

4

98,82

26

48,79

21

48,98

9

32,77

22

45,36

9

32,72

12

23,83

9

33,41

12

23,85

15

6,88

12

23,91

15

6,89



15

6,89






Применение расчетных значений химических сдвигов атомов углерода основных ФПЕ в совокупности с литературными данными  ЯМР спектроскопического исследования растительного сырья [119-126] позволило более точно отнести сигналы ароматической части исследуемых образцов. На основании этих данных были выявлены основные различия, происходящие в лигнинной части соломы пшеницы при ее модификации методом ВАГ.

Известно [66], что для каждой породы растительного сырья в зависимости от места и условий произрастания характерно преобладание в макромолекулах одной из ФПЕ. Например, лигнин древесины осины представлен в основном сирингильными (S) и гваяцильными (G) ФПЕ, макромолекулы лигнина коры построены преимущественно из п-оксифенилпропаных структур с небольшим содержанием сирингильных и гваяцильных ФПЕ, лигнин соломы пшеницы представлен сирингильными, гваяцильными и п-оксифенилпропановыми единицами с преобладанием гваяцильных либо сирингильных структур [125].

Согласно данным, полученным методом ЯМР 13С спектроскопии для соломы пшеницы, используемой в рамках данной работы, наблюдается незначительное преобладание содержания G ФПЕ над S ФПЕ, о чем свидетельствует более высокая интенсивность сигнала в области 147 м.д., характерного для  G ФПЕ.

Сравнение ЯМР 13С спектров немодифицированной соломы пшеницы и соломы пшеницы после водно-тепловой обработки (рисунок 14) свидетельствует о том, что после ВАГ наблюдается значительное снижение интенсивности сигнала в области 58-52 м.д., свидетельствующее о снижении количества атомов углерода при простых эфирных связях в макромолекуле лигнина, при этом интенсивности сигналов в области 147 и 153 м.д. выравниваются. Происходит снижение интенсивности сигнала в области 153 м.д., указывающих на уменьшение доли сирингильных ФПЕ без образования п-оксифенилпропановых структур.

Очевидно, что в процессе ВАГ протекает реакция деметоксилирования. Отсутствие полосы в области 165-162 м.д. на спектрах модифицированной соломы пшеницы указывает на то, что в процессе ВАГ не происходит образования свободных п-оксифенилпропановых структурных единиц. Основываясь на данных фактах, нами было сделано предположение, что по сравнению с гваяцильными ФПЕ сирингильные ФПЕ лигнина соломы пшеницы легче подвергаются деметоксилированию в кислой среде.

Таким образом, в процессе ВАГ лигнинной части растительного сырья развиваются гидролитические процессы, вызывающие изменения в ее структуре.

Гидролитические процессы, развивающиеся в соломе пшеницы в процессе модифицирования методом ВАГ оценивались так же с использованием химических методов анализа.

Для изучения закономерностей физико-химических превращений основных компонентов, входящих в состав соломы пшеницы в результате  обработки методом ВАГ предварительно была установлена предельная граница нагревания, после которой начинается термическое разложение компонентов. Для этих целей был проведен термогравиметрический анализ.

Дериватограммы неактивированной соломы пшеницы представлены на рисунке 19.

         а – убыль массы образца; б- производная убыли массы по температуре

Рисунок 18 – Дериватограмма соломы пшеницы

Анализ производных убыли массы по температуре показал, что температура 220 0С является температурой, при которой исследуемые образцы теряют 5 % массы. Исходя из полученных данных предельной температурой процесса ВАГ была выбрана  температура 220 ºС.

Изучение значений фактора жесткости для оценки влияния температуры и времени ВАГ на глубину преобразований, происходящих в древесине и ее компонентах при паровом взрыве позволило авторам [9] установить, что на протекание гидролитических процессов оказывают влияние не только температура пара (T), но и время баротермической обработки (t).

Для прогнозирования влияния параметров ВАГ на поведение компонентов растительного сырья был применен метод полного двуфакторного эксперимента (ПФЭ 22) [108,127-128].

Натуральные величины были кодированы  в безразмерные величины и представлены в таблице 8.

Таблица 8 – Условия проведения эксперимента

Натуральные факторы

Температура ВАГ, 0С (Z1)

Время выдержки растительного сырья в реакторе, мин., (Z2)

Основной уровень

190

17,5

Шаг варьирования

60

25,0

Верхний уровень

220

30,0

Нижний уровень

160

5,0


Выходными параметрами оптимизации служили: содержание целлюлозы, лигнина, ЛГП в твердом остатке после водной экстракции и содержание редуцирующих веществ в экстракте.

Получение математической модели проводилось с целью оптимизации процесса ВАГ для соломы пшеницы и коры сосны. Задача оптимизации сводилась к определению параметров, обеспечивающих уменьшение содержания ЛГП в твердом остатке и увеличение редуцирующих веществ в водном экстракте.

Матрица планирования и результаты ее реализации отображены в таблице 9. Натуральные значения фактора Z заменены соответствующим безразмерным X (X(O) – основной уровень) [128].

Таблица 9 - Матрица планирования полного факторного         эксперимента 22   

Номер

Z1

Z2

X1

X2

Y1

Y3

Y4

1

160

5

-

-

59,2

25,8

14,3

13,0

2

220

5

+

-

68,7

28,9

2,3

25,5

3

160

30

-

+

68,2

27,5

4,1

23,1

4

220

30

+

+

66,5

33,2

0,5

27,0

5

190

17,5

0

0

67,2

26,5

6,0

21,5

Где:

X1 – температура модифицирования, 0С;

X2 – продолжительность модифицирования, мин;

Y1 – содержание целлюлозы в твердом остатке, модифицированной соломы пшеницы, %;

Y2 - содержание лигнина в твердом остатке модифицированной соломы пшеницы, %;

Y3 - содержание ЛГП в твердом остатке модифицированной соломы пшеницы, %;

Y4 - содержание редуцирующих веществ в водном экстракте модифицированной соломы пшеницы, %;

Уравнения регрессии, описывающие процесс взрывного автогидролиза соломы пшеницы представлены в таблице 10.

Таблица 10 – Уравнения регрессии, описывающие процесс взрывного автогидролиза соломы пшеницы

Уравнение регрессии

Критерий Фишера по уравнению регрессии

Табличное значение критерия Фишера

Y1=65,6+1,95 X1 -2,8 X1X2

144,5

199,5

Y2=28,8+2,2 X1

66,8

199,5

Y3=5,3 – 3,9 X1 – 3,0 X2

98,0

164,4

Y4=22,1+4,1 X1 + 2.9 X2

102,7

164,4


Применимость уравнений регрессии к описанию поверхности отклика была подтверждена сравнением экспериментальных данных с расчетными значениями параметров оптимизации. Эти данные представлены в таблице 11.

Таблица 11– Таблица сравнения экспериментальных данных с расчетными значениями параметров оптимизации

Отклики

Y

Y*

ΔY

Sb

1

47,2

48,7

1,5

0,21

2

35,7

35,0

0,7

0,07

3

4,8

5,4

0,6

0,07

4

12,2

13,3

1,1

0,18

где, Y - экспериментальное значение;

       Y* - расчетное значение;

       Sb - ошибка воспроизводимости.

Анализ коэффициентов уравнений регрессии показывает влияние условий ВАГ на изменения, происходящие с компонентами соломы пшеницы.

При повышении температуры ВАГ наблюдается уменьшение содержания легкогидролизуемых полисахаридов в твердом остатке и увеличение количества редуцирующих веществ, перешедших в водорастворимое состояние. Влияние температуры ВАГ на развитие гидролитических процессов ЛГП (фактор X1) более значимо, чем влияние продолжительности процесса (фактор X2). Путем повышения температуры можно добиться более полного перевода гемицеллюлоз в водорастворимое состояние при меньшей продолжительности процесса. Так в случае модифицирования соломы пшеницы методом ВАГ при температуре 220 оС и продолжительности процесса 5 минут содержание редуцирующих веществ в водном экстракте достигает величины близкой к максимальной и составляет 25,5 %. Дальнейшее увеличение продолжительности незначительно повышает содержание редуцирующих веществ, перешедших в экстракт. В условиях обработки 160  оС в интервале продолжительности  от 5 до 30 минут происходит увеличение легкогидролизуемых полисахаридов в водном экстракте с 13,0 23,1 %,  и не достигает величины, полученной при температуре 220 оС.

Содержание лигнина в твердом остатке, полученного после ВАГ с последующим экстрагированием зависит от температуры обработки больше чем от времени. Однако общее увеличение фактора жесткости, по-видимому, не зависимо от вида растительного сырья, приводит к конденсационным процессам лигнинной составляющей, гидролизу гемицеллюлоз и их частичному растворению, вследствие чего наблюдается увеличение содержание лигнина в твердом остатке

Для соломы пшеницы характерной особенностью является то, что увеличение продолжительности процесса ВАГ приводит к снижению содержания целлюлозы, что очевидно вызвано более высокой долей аморфных участков, чем в древесной целлюлозе.

Таким образом, в процессе ВАГ коры сосны и соломы пшеницы как и древесины развиваются гидролитические процессы, сопровождающиеся разрушением сложноэфирных связей в макромолекулах лигнина и гемицеллюлоз, деструкцией полисахаридов, с преимущественным разрушением гликозидных связей гемицеллюлоз. А это значит, что продукты модифицирования данных отходов, как и продукты модифицирования древесины можно использовать для изготовления плитных материалов.

 3.2 Химические превращения компонентов модифицированной методом ВАГ соломы пшеницы, происходящие в результате горячего прессования

На основании результатов химического анализа активированной методов ВАГ древесины и экспериментальных данных, связанных с потерей массы плитных материалов в процессе их изготовления [14] 105], а также, учитывая общие теоретические представления о взаимодействии подобных реакционных систем, авторы [106,107] высказали предположение   о том, что в процессе горячего прессования модифицированной древесины возможно взаимодействие между её компонентами. Схемы возможного взаимодействия компонентов модифицированной древесины представлены на рисунках 19 –21.

В результате взаимодействия лигнина с образующимися в процессе ВАГ РВ подобно взаимодействию фенола с формальдегидом идет реакция образования «лигниноспирта» (рисунок 19), который далее может участвовать в поликонденсационных процессах (рисунок 20) и в реакции О-алкилирования со  спиртовыми группами фенилпропановой структурной единицы (рисунок 21).

Рисунок 19 – Схема образования «лигниноспирта»

Рисунок 20 ‒ Схема реакции образования лигноальдегидной смолы

Рисунок 21 – Схема реакции О-алкилирования

Исходя из химического состава модифицированной соломы пшеницы следовало ожидать, что основными процессами, протекающими при прессовании модифицированной методом ВАГ соломы пшеницы, как и в случае прессования модифицированной древесины будут реакции поликонденсации и О-алкилирования, протекающие через стадию образования «лигниноспирта».

Для подтверждения механизма взаимодействия компонентов модифицированной соломы пшеницы в процессе горячего прессования было проведено ЯМР 13С спектроскопическое исследование плитных материалов в сравнении с ЯМР 13С спектрами модифицированной соломы пшеницы (рисунок 14).

На спектрах прессованной соломы пшеницы наблюдается увеличение интенсивности сигнала в области 65 м.д., ответственных за α-углеродные атомы, связанные с гидроксильной группой, что может свидетельствовать о протекании в процессе прессования реакции представленной на рисунке 19.

Предполагается, что данная реакция протекает преимущественно по второму и шестому углеродным атомам ФПЕ, о чем свидетельствует значительное снижение интенсивности сигнала в области 105 м.д. В области 105 м.д. проявляются сигналы второго и шестого атомов углерода сирингильных структур и аномерные атомы углерода восстанавливающего звена олигосахаридов. Снижение интенсивности сигнала может быть связано с замещением по второму и шестому атомам углерода, а так же вследствие взаимодействия карбонильной составляющей пресс-массы с макромолекулами лигнина. Следует отметить, что реакция образования «лигниноспирта» является общей как для схемы поликонденсации, так и для схемы О-алкилирования.

Возможность участия «лигниноспирта» в конденсационных процессах следует из сравнения ЯМР 13С спектров полученных плитных материалов со спектрами ФФС.

Известно, что при взаимодействии фенола с формальдегидом сначала идет образование фенолоспиртов, которые далее последовательно реагируют с фенолом и с формальдегидом. Таким образом, рост цепи происходит в результате протекания реакции  конденсации, с образованием метиленовых мостиков (рисунок 22) [129].

Рисунок 22 – Схема взаимодействия фенола с формальдегидом

 

Метиленовые мостики на спектрах ЯМР 13С фенол-формальдегидных смол проявляются в области 32 м.д., 35 м.д. и 42 м.д., что соответствует трем  изомерным положениям метиленовых мостиков, связывающих соседние фенольные ядра (орто-орто', орто-пара', пара-пара') [130,131].

Область сигналов, ответственных за метиленовые мостики в плитных материалах на основе модифицированной соломы пшеницы имеет широкий диапазон 50-5 м.д. (рисунок 14). Это может быть связано с большой неоднородностью макромолекул лигнина в лигноуглеводной массе, полученной обработкой соломы пшеницы методом ВАГ. Положение метиленовых мостиков в сшитых структурах, образующихся при горячем прессовании модифицированной соломы пшеницы имеет большое количество вариаций (2-2, 2-3, 2-5, 2-6, 3-5, 3-6, 5-6).

Рисунок 23 – Основные ФПЕ лигнина

1 – п-оксифенилпропановая, 2 – гваяцильная, 3 – сирингильная

Возможность превращения фенолоспирта, образующегося на 1 стадии, (рисунок 19) в направлении реакции О-алкилирования (рисунок 22) подтверждает тот факт, что на ЯМР 13С спектрах прессованной соломы пшеницы возрастает интенсивность сигнала в области 147 м.д., что, по мнению авторов работ [120], соответствует сигналу углеродного атома *С-O-R' в О-алкилированных сирингильных и гваяцильных структурах лигнина.

Принимая во внимание сложность пространственного строения лигнина, можно предположить, что реакция образования «лигниноспирта» протекает легче, чем последующие реакции поликонденсации и О-алкилирования. В связи с чем, в плитном материале после горячего прессования может оставаться значительное количество «лигниноспирта», что подтверждается наличием интенсивного сигнала в области 65 м.д.

На ЯМР 13С спектрах прессованной соломы пшеницы (рисунок 24)

наблюдается увеличение интенсивности сигнала в области 56-55 м.д., свидетельствующее об участии алифатического радикала ФПЕ лигнина в конденсационных процессах с образованием структур, представленных на рисунке 25 [130,131].


Рисунок 25 – Димерные фрагменты макромолекулы лигнина










Рисунок 24 - ЯМР 13С спектр прессованной соломы пшеницы

Анализ ЯМР 13С спектров показал, что наряду с образованием сшитых структур в процессе горячего прессования происходят конкурирующие реакции деструкции. Уменьшение интенсивности сигнала в области 84-83 м.д., где проявляются β-углеродные атомы алифатического радикала ФПЕ, связанного с ароматическим кольцом соседней ФПЕ посредством кислородного мостика, свидетельствует о протекании деструктивных процессов преимущественно по β-0-4 связи. Подтверждением этому является снижение интенсивности сигнала в области 75 м.д., ответственного за присутствие α-углеродного атома при β-0-4 связи (рисунок 14).

Таким образом, процесс прессования модифицированной соломы пшеницы, сопровождается образованием сшитых структур. Основным отличием поведения компонентов модифицированный соломы пшеницы является преимущественное протекание реакции поликонденсации.

Косвенным подтверждением протекания реакции взаимодействия лигнина с РВ будет являться изменение содержания последних в плитных материалах, по сравнению с содержанием их в волокнистой массе взрывного автогидролиза (рисунок 26 – 29). Причем как условия изготовления пресс-массы, так и условия прессования будут влиять на участие РВ в реакциях их взаимодействия с лигнином.

Продолжительность и температура баротермической обработки определяют степень дисперсности получаемой волокнистой массы и глубину протекающих гидролитических процессов. Следовательно, можно предположить, что условия изготовления пресс-массы будут влиять и на химические превращения, протекающие в модифицированной соломе пшеницы в процессе прессования. Влияние температуры взрывного автогидролиза и продолжительности воздействия водяного пара на количество редуцирующих веществ, участвующих в реакции образования «лигниноспирта» представлены на рисунках 26, 27.

Продолжительность ВАГ – 15 минут;

Условия прессования: Давление – 0,65 МПа; продолжительность  - 20 минут; температура – 140 0С

Рисунок 26 – Влияние температуры ВАГ на участие РВ в химических превращениях

Температура ВАГ – 180 0С;

Условия прессования: Давление – 0,65 МПа; продолжительность  - 20 минут ; температура – 140 0С

Рисунок 27 – Влияние продолжительности ВАГ на участие РВ в химических превращениях

Анализ данных, представленных на рисунках 26, 27 показал, что увеличение продолжительности и температуры ВАГ соломы пшеницы увеличивают способность компонентов к химическому взаимодействию. По-видимому, это связано с тем, что при увеличении продолжительности и температуры ВАГ гидролитические процессы в растительной биомассе протекают более полно. Вследствие чего наблюдается увеличение содержания РВ в пресс-массе (таблица 10) и повышение вероятности протекания химических взаимодействий.

Основными технологическими параметрами на стадии изготовления плитных материалов являются температура и давление прессования (рисунок 28–29).

Температура ВАГ – 180 0С; продолжительность ВАГ – 15 минут

Условия прессования: продолжительность - 20 минут; температура – 140 0С

Рисунок 28 – Влияние давления прессования на участие РВ в химических превращениях

Исследования показали, что повышение давления прессования увеличивает количество редуцирующих веществ, участвующих в образовании «лигниноспирта» (рисунок 28). Это может быть связано с особенностью химических превращений протекающих в гетерогенных системах. Для более глубокого протекания реакции необходимо увеличение площади контакта между участниками реакции, что, очевидно, и происходит, при увеличении давления прессования.

Следует отметить, что реакция образования связующих веществ развивается во времени. Следовательно, на степень взаимодействия РВ с ФПЕ будет оказывать влияние не только площадь контакта, но и продолжительность процесса прессования. Исследования показали, что увеличение продолжительности процесса прессования приводит к росту редуцирующих веществ, участвующих в реакции (рисунок 29).

Температура ВАГ – 180 0С; Продолжительность ВАГ – 15 минут

Условия прессования: Давление – 0,65 МПА ; температура – 140 0С

Рисунок 29 – Влияние продолжительности воздействия прессующего усилия на участие РВ в химических превращениях

Увеличение давления и продолжительности  процесса прессования увеличивают количество РВ участвующих в химических превращениях. Анализируя параметр времени воздействия прессующего усилия следует отметить, что максимально возможное участие редуцирующих веществ в образовании сшитых структур достигается за 15 минут и дальнейшее увеличение продолжительности процесса не приводит к значительному увеличению количества РВ вступивших в реакцию.

Таким образом, на основании данных ЯМР 13С спектроскопического исследования и данных химического анализа было показано, что при изготовлении плитных материалов из модифицированной методом ВАГ соломы пшеницы возможно взаимодействие между компонентами модифицированого растительного сырья.

На основании данных ЯМР 13С спектроскопии были установлены особенности химических превращений компонентов  растительной биомассы в результате ее горячего прессования. При прессовании модифицированной соломы пшеницы преимущественным направлением взаимодействий компонентов является образование лигниноальдегидной смолы (рисунок 21).

Процессы протекающие при прессовании модифицированной методом ВАГ соломы пшеницы способствуют образованию сложной сетчатой структуры, способной выполнять роль связующего в композите.

Основные результаты и выводы 

·   Изучено поведение основных компонентов соломы пшеницы  при модифицировании методом ВАГ. С использованием методов ЯМР 13С спектроскопии, потенциометрии, а так же методов химического анализа показано что:

- основными реакциями, протекающими в углеводной части соломы пшеницы, в процессе ВАГ являются гидролиз гликозидных связей легкогидролизуемых полисахаридов, с сохранением полимерной цепи целлюлозы. Легкогидролизуемые полисахариды гидролизуются до водорастворимого состояния;

- основной реакцией лигнинной составляющей  соломы пшеницы в процессе ВАГ является реакция деметоксилирования, вызывающая изменение соотношения H, G и S ФПЕ. Соотношение сигналов атомов углерода для G и S ФПЕ соответственно меняется с 2,3:1, до 4,5:1.

• Получена модель оптимизации параметров модифицирования соломы   пшеницы методом ВАГ. Показано, что модификация может осуществляться при температуре 160 – 220 ºС и продолжительности 5 -30 минут. Температура процесса ВАГ является наиболее значащим фактором, влияющим на  протекание гидролитических процессов ЛГП.

·   Изучены химические превращения основных компонентов модифицированной методом ВАГ соломы пшеницы в процессе  горячего прессования. Показано, что образование сшитых структур преимущественно происходит за счет реакции поликонденсации.

Список используемой литературы - эта литература относится к 2 разделам лит. Обзора, я их выделю зел. цветом

1.   Древесно-плитные материалы: общие характеристики // [Электронный ресурс] : портал лесопромышленника. – Электрон. текст. дан. – [М.], 2001. – Режим доступа: #"735464.files/image035.jpg">

(вместо ЯМР спектры внеси – Химические и физико-химические исследования )   1 - Схема эксперимента

(Показывая на схеме расскзываешь) Для установления закономерностей поведения компонентов соломы пшеницы в процессе модификации методом ВАГ было изучено исходное сырье,  модифицированное, модифицированное и подвергнутое водной экстракции, а также водные экстракты.

Для установления закономерностей поведения компонентов пресс-массы на основе модифицированной соломы пшеницы в процессе прессования изучены плитные материалы.

 

С целью установления закономерностей поведения основных компонентов соломы пшеницы при модификации ее методом ВАГ и при изготовлении плитных материалов были применены физико-химические методы исследования в комплексе с химическими методами. В качестве основного метода исследования использовался метод ЯМР 13С спектроскопии.

Относительная интегральная интенсивность сигналов химических сдвигов (ХС) представлена на листе 2.

2. Значение интенсивностей сигналов химического сдвига для ЯМР 13С спектров

Значение

сигнала

Отнесение сигналов атомов

углерода

Солома

Исходная

Взорванная

Прессованная

178-164

СOOH;COOR

2,26

0,78

0,77

160-110

C Ar

15,79

16,80

16,15

153,0000

CAr-O в S

1,13

0,78

0,77

147 (144)

CAr-O в G

CAr-O-R-СAr

2,63

3,52

3,85

132-129

CH в H стр-рах




105,0000

С1 в β 1- 4 цел-зы

C2 C6 в S

10,53

10,31

8,85

84-83

Cβ  при β-О-4-

10,15

10,55

5,00

75,0000

Cα  при β-О-4-

16,54

17,58

12,69

65,0000

Cα  при Cα-OH

6,39

5,86

5,77

58-52

C в -OCH3

2,63

1,56

2,31

50-20

CАл в СH CH2 CH3

12,78

5,08

10,38


На спектрах модифицированной соломы пшеницы (лист 2) наблюдается значительное снижение интенсивности сигнала в области 178-164 м.д, характерного для атомов углерода сложноэфирных или свободных карбоксильных групп по сравнению с интенсивностью аналогичных сигналов на спектрах немодифицированного образца.

Изучение ЯМР 13С спектров модифицированого растительного сырья, модифицированного и подвергнутого водной экстракции) и продуктов водной экстракции позволяют предположить, что снижение интенсивности данного сигнала может быть связано с гидролизом сложноэфирных связей. Подтверждением этому является присутствие интенсивного сигнала в области 178-164 м.д. на ЯМР спектрах водного экстракта растительного сырья подвергнутого водно-тепловой обработке (рисунок 16) свидетельствующего о появлении карбоксилсодержащих соединений в водном экстракте. Снижение интенсивности сигнала в области 178-164 м.д. на ЯМР спектрах модифицированного и подвергнутого водной экстракции растительного сырья в сравнении с ЯМР спектрами неэктрагированных образцов свидетельствует о частичной адсорбции образующихся карбоновых кислот.

Протекание процесса деацетилирования подтверждается так же повышением кислотности среды лигноцеллюлозной массы до pH 4,7.

Таким образом, химические превращения, протекающие в процессе ВАГ соломы пшеницы являются кислотно-катализируемыми процессами.

Сравнение спектров твердого остатка (наблюдается интенсивный сигнал в области 105 м.д., характерный, для C1 в β 1- 4 гликозидной связи целлюлозы) со спектрами водных экстрактов модифицированных образцов (лист1) (присутствуют интенсивные сигналы в области 109-90 м.д.. В этой области проявляются аномерные атомы углерода моносахаридов, восстанавливающего звена олигосахаридов, а также С1 атомы углерода, участвующие в образовании гликозидной связи олигосахаридов, свидетельствующие о гидролизе углеводной части растительного сырья) позволяет утверждать, что в условиях повышенной температуры и кислой среды в первую очередь гидролизуются гликозидные связи гемицеллюлоз а целлюлоза сохраняет свою полимерную цепь. Таким образом, поведение углеводной составляющей соломы пшеницы принципиально не отличается от поведения углеводов древесины  [94,95,105 ].

Интерпретацию сигналов, относящихся к ароматической составляющей соломы пшеницы проводили на основе сравнения расчетных значений химических сдвигов атомов углерода основных ФПЕ в совокупности с литературными данными  ЯМР спектроскопического исследования растительного сырья.

Снижение интенсивности сигнала в области 58-52 м.д., свидетельствующее о снижении количества атомов углерода при простых эфирных связях в макромолекуле лигнина, и выравнивание интенсивности сигналов в области 147 и 153 м.д. свидетельствует о  протекании реакции деметоксилирования. Отсутствие полосы в области 165-162 м.д. на спектрах модифицированной соломы пшеницы указывает на то, что в процессе ВАГ не происходит образования свободных п-оксифенилпропановых структурных единиц. Основываясь на данных фактах, нами было сделано предположение, что по сравнению с гваяцильными ФПЕ сирингильные ФПЕ лигнина соломы пшеницы легче подвергаются деметоксилированию в кислой среде.

Гидролитические процессы, развивающиеся в соломе пшеницы в процессе модифицирования методом ВАГ оценивались так же с использованием химических методов анализа.

Для прогнозирования влияния параметров ВАГ на поведение компонентов растительного сырья был применен метод полного двуфакторного эксперимента (ПФЭ 22)

Уравнения регрессии, описывающие процесс взрывного автогидролиза соломы пшеницы представлены на листе .

– Уравнения регрессии, описывающие процесс взрывного автогидролиза соломы пшеницы

Уравнение регрессии

Критерий Фишера по уравнению регрессии

Табличное значение критерия Фишера

Y1=65,6+1,95 X1 -2,8 X1X2

144,5

199,5

Y2=28,8+2,2 X1

66,8

199,5

Y3=5,3 – 3,9 X1 – 3,0 X2

98,0

164,4

Y4=22,1+4,1 X1 + 2.9 X2

102,7

164,4


Применимость уравнений регрессии к описанию поверхности отклика была подтверждена сравнением экспериментальных данных с расчетными значениями параметров оптимизации (лист ).

– Таблица сравнения экспериментальных данных с расчетными значениями параметров оптимизации

Отклики

Y

Y*

ΔY

Sb

1

47,2

48,7

1,5

0,21

2

35,7

35,0

0,7

0,07

3

4,8

5,4

0,6

0,07

4

12,2

13,3

1,1

0,18

где, Y - экспериментальное значение;

       Y* - расчетное значение;

       Sb - ошибка воспроизводимости.

Пока оставляем,будем ориентироваться по времени- Анализ коэффициентов уравнений регрессии показывает влияние условий ВАГ на изменения, происходящие с компонентами соломы пшеницы.

При повышении температуры ВАГ наблюдается уменьшение содержания легкогидролизуемых полисахаридов в твердом остатке и увеличение количества редуцирующих веществ, перешедших в водорастворимое состояние. Влияние температуры ВАГ на развитие гидролитических процессов ЛГП (фактор X1) более значимо, чем влияние продолжительности процесса (фактор X2). Путем повышения температуры можно добиться более полного перевода гемицеллюлоз в водорастворимое состояние при меньшей продолжительности процесса. Так в случае модифицирования соломы пшеницы методом ВАГ при температуре 220 оС и продолжительности процесса 5 минут содержание редуцирующих веществ в водном экстракте достигает величины близкой к максимальной и составляет 25,5 %.

Содержание лигнина в твердом остатке, полученного после ВАГ с последующим экстрагированием зависит от температуры обработки больше чем от времени. Однако общее увеличение фактора жесткости, по-видимому, не зависимо от вида растительного сырья, приводит к конденсационным процессам лигнинной составляющей, гидролизу гемицеллюлоз и их частичному растворению, вследствие чего наблюдается увеличение содержание лигнина в твердом остатке

Характерной особенностью для соломы пшеницы является снижение содержания целлюлозы с увеличением продолжительности термической обработки. (что очевидно вызвано более высокой долей аморфных участков, чем в древесной целлюлозе).

Таким образом, в процессе ВАГ соломы пшеницы как и древесины развиваются гидролитические процессы, сопровождающиеся разрушением сложноэфирных связей в макромолекулах лигнина и гемицеллюлоз, деструкцией полисахаридов, с преимущественным разрушением гликозидных связей гемицеллюлоз. А это значит, что продукты модифицирования соломы пшеницы можно использовать для изготовления плитных материалов.

На основании результатов химического анализа активированной методов ВАГ древесины было высказано предположение   о возможных направлениях взаимодействия между её компонентами. Схемы предполагаемых реакций представлены на листах….

В результате взаимодействия лигнина с образующимися в процессе ВАГ РВ подобно взаимодействию фенола с формальдегидом идет реакция образования «лигниноспирта» (лист..), который далее может участвовать в поликонденсационных процессах (лист…0) и в реакции О-алкилирования со  спиртовыми группами фенилпропановой структурной единицы (лист..).

 – Схема образования «лигниноспирта»

‒ Схема реакции образования лигноальдегидной смолы

– Схема реакции О-алкилирования

Для подтверждения механизма взаимодействия компонентов модифицированной соломы пшеницы в процессе горячего прессования было проведено ЯМР 13С спектроскопическое исследование плитных материалов в сравнении с ЯМР 13С спектрами модифицированной соломы пшеницы (лист  2).

Увеличение интенсивности сигнала в области 65 м.д., ответственных за α-углеродные атомы, связанные с гидроксильной группой может свидетельствовать о протекании в процессе прессования «лигниноспирта» (лист..).

Возможность участия «лигниноспирта» в конденсационных процессах (лист..) следует из сравнения ЯМР 13С спектров полученных плитных материалов со спектрами ФФС.

Известно, что при взаимодействии фенола с формальдегидом сначала идет образование фенолоспиртов, которые далее последовательно реагируют с фенолом и с формальдегидом. Таким образом, рост цепи происходит в результате протекания реакции  конденсации, с образованием метиленовых мостиков (рисунок 22) [129].

Рисунок 22 – Схема взаимодействия фенола с формальдегидом

 

Метиленовые мостики на спектрах ЯМР 13С фенол-формальдегидных смол проявляются в области 32 м.д., 35 м.д. и 42 м.д., что соответствует трем  изомерным положениям метиленовых мостиков, связывающих соседние фенольные ядра (орто-орто', орто-пара', пара-пара') [130,131].

Область сигналов, ответственных за метиленовые мостики в плитных материалах на основе модифицированной соломы пшеницы имеет широкий диапазон 50-5 м.д. (рисунок 14). Это может быть связано с большой неоднородностью макромолекул лигнина в лигноуглеводной массе, полученной обработкой соломы пшеницы методом ВАГ. Положение метиленовых мостиков в сшитых структурах, образующихся при горячем прессовании модифицированной соломы пшеницы имеет большое количество вариаций (2-2, 2-3, 2-5, 2-6, 3-5, 3-6, 5-6).

 

 

Рисунок 23 – Основные ФПЕ лигнина

1 – п-оксифенилпропановая, 2 – гваяцильная, 3 – сирингильная

Возможность превращения фенолоспирта, (лист…) в направлении реакции О-алкилирования (лист…) подтверждает тот факт, что на ЯМР 13С спектрах прессованной соломы пшеницы возрастает интенсивность сигнала в области 147 м.д., что, по мнению многих исследователей, соответствует сигналу углеродного атома *С-O-R' в О-алкилированных сирингильных и гваяцильных структурах лигнина.

Принимая во внимание сложность пространственного строения лигнина, можно предположить, что реакция образования «лигниноспирта» протекает легче, чем последующие реакции поликонденсации и О-алкилирования. В связи с чем, в плитном материале после горячего прессования может оставаться значительное количество «лигниноспирта», что подтверждается наличием интенсивного сигнала в области 65 м.д.

Увеличение интенсивности сигнала в области 56-55 м.д., свидетельствует об участии алифатического радикала ФПЕ лигнина в конденсационных процессах.

Уменьшение интенсивности сигнала в области 84-83 м.д., где проявляются β-углеродные атомы алифатического радикала ФПЕ, связанного с ароматическим кольцом соседней ФПЕ посредством кислородного мостика, свидетельствует о протекании деструктивных процессов преимущественно по β-0-4 связи. Подтверждением этому является также снижение интенсивности сигнала в области 75 м.д., ответственного за присутствие α-углеродного атома при β-0-4 связи (лист 2).

Косвенным подтверждением протекания реакции взаимодействия лигнина с РВ является изменение содержания последних в плитных материалах, по сравнению с содержанием их в волокнистой массе взрывного автогидролиза (лист …). (таблицы по 2 на лист)

Продолжительность ВАГ – 15 минут;

Условия прессования: Давление – 0,65 МПа; продолжительность  - 20 минут; температура – 140 0С

– Влияние температуры ВАГ на участие РВ в химических превращениях

Температура ВАГ – 180 0С;

Условия прессования: Давление – 0,65 МПа; продолжительность  - 20 минут ; температура – 140 0С

– Влияние продолжительности ВАГ на участие РВ в химических превращениях

Исследования показали, что увеличение продолжительности и температуры ВАГ соломы пшеницы, а также повышение давления и времени прессования увеличивают способность компонентов к химическому взаимодействию.

Температура ВАГ – 180 0С; продолжительность ВАГ – 15 минут

Условия прессования: продолжительность - 20 минут; температура – 140 0С

– Влияние давления прессования на участие РВ в химических превращениях

Температура ВАГ – 180 0С; Продолжительность ВАГ – 15 минут

Условия прессования: Давление – 0,65 МПА ; температура – 140 0С

– Влияние продолжительности воздействия прессующего усилия на участие РВ в химических превращениях

Таким образом, процессы протекающие при прессовании модифицированной методом ВАГ соломы пшеницы способствуют образованию сложной сетчатой структуры, способной выполнять роль связующего в композите.

Основные результаты и выводы 

·   Изучено поведение основных компонентов соломы пшеницы  при модифицировании методом ВАГ. С использованием методов ЯМР 13С спектроскопии, потенциометрии, а так же методов химического анализа показано что:

- основной реакцией лигнинной составляющей  соломы пшеницы в процессе ВАГ является реакция деметоксилирования, вызывающая изменение соотношения H, G и S ФПЕ. Соотношение сигналов атомов углерода для G и S ФПЕ соответственно меняется с 2,3:1, до 4,5:1.

• Получена модель оптимизации параметров модифицирования соломы   пшеницы методом ВАГ. Показано, что модификация может осуществляться при температуре 160 – 220 ºС и продолжительности 5 -30 минут. Температура процесса ВАГ является наиболее значащим фактором, влияющим на  протекание гидролитических процессов ЛГП.

·   Изучены химические превращения основных компонентов модифицированной методом ВАГ соломы пшеницы в процессе  горячего прессования. Показано, что образование сшитых структур преимущественно происходит за счет реакции поликонденсации.

Похожие работы на - Изучение химических превращений в процессе изготовления теплоизоляционных материалов на основе растительных отходов

 

Не нашли материал для своей работы?
Поможем написать уникальную работу
Без плагиата!
Без нейросетей!