Пожарная безопасность многофункционального производственного здания филиала 'Дувангаз'

  • Вид работы:
    Курсовая работа (т)
  • Предмет:
    Безопасность жизнедеятельности
  • Язык:
    Русский
    ,
    Формат файла:
    MS Word
    118,53 Кб
  • Опубликовано:
    2014-02-10
Вы можете узнать стоимость помощи в написании студенческой работы.
Помощь в написании работы, которую точно примут!

Пожарная безопасность многофункционального производственного здания филиала 'Дувангаз'

Содержание

Введение

Глава 1. Краткая характеристика здания

Глава 2. Описание технологического процесса здания

Глава 3. Проверка проектных материалов

.1 Определение требуемой степени огнестойкости

.2 Проверка соответствия строительных конструкций

.3 Экспертиза объёмно-планировочных решений

.4 Экспертиза эвакуационных путей и выходов

.5 Проверка противодымной защиты и систем вентиляции

Глава 4. Разработка технических решений по устранению недочётов, выявленных при проверке проектных материалов

Глава 5. Инженерно-технические расчёты

Глава 6. Оформление документов по результатам проверки проектных материалов

Заключение

Список использованной литературы

Графическая часть: лист 1

Экспликация помещений

Номер помещения

Наименование

Площадь м²

1

2

3


Литер А1


1

Котельная

42,96

2

Магазин

46,79

3

Мастерская

47,0

4

Комната уборочного инвентаря

4,46

Кладовая грязного и чистого белья

15,6

5

Гардеробная мужская на 28 чел.

19,33

Гардеробная мужская на 7 чел.

11,11

Гардеробная женская на 5 чел.

6,69

6

Санузел

16,06

Душевая

1,68

Санузел мужской

9,13

Санузел женский

4,44

7

Коридор

19,77

8

Тамбур

3,64


Литер А3


9

Стоянка грузовых машин

303,25

Тамбур

3,17

10

Склад инвентаря

11,20

10а

Склад инвентаря

18,11

11

Щелочная

10,99

12

Аккумуляторная

24,24

13

Сварочная

55,31

14

Гардеробная верхней одежды

4,00

15

Склад металла

24,22

16

Газовый узел

9,0


Литер А2


17

Элетрощитовая

3,0



Введение

Целью данного курсового проекта является обеспечение пожарной безопасности многофункционального производственного здания филиала «Дувангаз».

Задачи:

-  разработать план эвакуации;

-       определить время эвакуации;

-       провести экспертизу строительных конструкций;

-       провести экспертизу объемно-планировочных решений и разработать комплекс мероприятий по их улучшению;

Эвакуация - процесс организованного самостоятельного движения людей непосредственно наружу или в безопасную зону из помещений, в которых имеется возможность воздействия на людей опасных факторов пожара.

Одним из самых важных вопросов, связанных с охранной безопасности, является эвакуация мест скопления людей. В зависимости от назначения сооружений следует различать два основных вида эвакуации - постепенную и одновременную. Постепенная эвакуация может трансформироваться в одновременную при наличии условий, распространяющих потребность в эвакуации на всех находящихся в здании.

В здании должны быть предусмотрены конструктивные, объёмно планировочные и инженерно-технические решения, обеспечивающие в случае пожара возможность эвакуации людей независимо от их возраста и физического состояния наружу на прилегающую к зданию территорию до наступления угрозы их жизни и здоровью вследствие воздействия опасных факторов пожара.

Обязательное требование нормативных документов - оборудование зданий с массовым пребыванием людей системами оповещения и управления эвакуацией (СОУЭ), разработка планов эвакуации, инструкций о мерах пожарной безопасности.

При этом планы эвакуации должны практически отрабатываться с обслуживающим персоналом не менее, чем один раз в год совместно с подразделениями пожарной охраны.

Глава 1. Краткая характеристика здания

Многофункциональный производственный корпус филиала «Дувангаз» находится по адресу Республика Башкортостан Дуванский район, село Месягутово, улица Промышленная 1, общей площадью 715м2 в том числе: стоянка грузовых машин площадью 303,25 м2, Производственное здание. Стоянка. Ремонтная мастерская машин (РММ) площадью 411,9 м2, выполнено по бескаркасной схеме с несущими наружными стенами из кирпича толщиной 510мм, внутренние несущие стены толщиной 380мм, перегородки кирпичные 120мм. Степень долговечности II, степень огнестойкости II, класс функциональной пожарной опасности Ф5.1, класс конструктивной пожарной опасности С1.

Область применения: IВ подрайон, I климатический район с обычными геологическими условиями. Расчётная зимняя температура воздуха -360С. Вес снегового покрова 320 кгс/м2 . Ветровая нагрузка 38кг/ м2 .

Строительные конструкции.

Конструктивная схема смешенный каркас здания.

Фундаменты ленточный железобетонный из блоков шириной 600мм длинной.

Наружные стены - кирпичные толщиной 510мм, с учётом штукатурного слоя толщина - 540мм.

Внутренние несущие стены кирпичные - толщиной 380мм, с учётом штукатурного слоя - 440мм.

Внутренние перегородки толщиной - 120мм, с учётом штукатурки 140-160мм.

Перекрытие над 1 этажом и чердачного перекрытия - сборные железобетонные многопустотные плиты высотой 220мм шириной 1,5м длинной 6м.

Покрытие выполнено из ребристых плит высотой 300мм шириной 1,5м длинной 6м.

Колонны металлические полые диаметром 230мм.

Балки железобетонные длиной 12м

Балки металлические двутавр 45Б2.

На чердачном перекрытии по плитам уложен слой утеплителя из керамзита.

Кровля выполнена из металkочерепици по деревянной обрешётке по деревянным стропилам.

По периметру здания отмостка.

Санузлы - россыпью.

Полы - бетонные.

Помещение механической мастерской оснащено кран-балкой грузоподъёмностью 2т.

Помещение стоянки грузовой автомобиля оснащено кран-балкой грузоподъёмностью 3,2т.

Инженерное оборудование.

Водопровод - хозяйственной-питьевой водой от поселковой сети.

Канализация - хозяйственная-фекальная в поселковую сеть.

Отопление внутреннее от котельной в здании.

Вентиляция - естественная, вытяжная из санузлов и кухонь.

Электроснабжение - от внешней сети, напряжением 380-220В.

Газоснабжение - от внешней сети.

Оборудование санузлов - унитазы, раковины для умывания.

Душевые - душевые кабины с поддонами.

Водосток наружный по сливным стокам.

Глава 2. Описание технологического процесса здания

Многофункциональное производственное здание филиала «Дувангаз» предназначено для ремонта и обслуживания легковых и грузовых автомобилей, проведения сварочных работ, производство железной арматуры для газовых нужд. Продажи в розницу газового оборудования , счетчиков, котлов. Так же служит для стоянки грузовых машин, и отдельное помещении для хранения металла.

При проектировании зданий и сооружений следует применять такие конструктивные решения, которые в максимальной степени отвечали бы требованиям экономичности, пожарной безопасности и индустриализации строительства - климатические, инженерно-геологические, сейсмические, экологические.

Важное влияние на выбор материалов для строительства оказывает возможность использования местного материала, заполнителей (щебня, гравия, песка) для бетона, а так же наличие и возможности местных предприятий стройиндустрии, оснащённость строительства машинами, энергией, водой, наличие различных коммуникаций, особенно транспортных.

Таким образом, на выбор конструктивных решений влияет большой комплекс факторов, правильный и достаточно полный учёт, которых позволяет на основе вариантного проектирования выбрать лучшее конструктивное решение.

Конструктивное решение и выбор материалов для его реализации во многом определяется габаритами зданий и сооружений, их назначением и функциональными особенностями, требуемой долговечностью и капитальностью.

В здании имеется: магазин площадью 46,79м2, магазин имеет отдельный вход.

Котельная площадью 42,96 м2.

Сан узлы площадью 13,57 м2.

Стоянка грузовых машин площадью 303,25 м2.

В помещении имеется механическая мастерская оснащённая кран-балкой грузоподъёмностью 2т.

Противопожарным инвентарём помещение обеспечивается в соответствии с существующими нормами и правилами.

Температура воздуха в помещениях в отопительный сезон поддерживается не ниже +180С.

Рассмотрим возможные источники воспламенения и пути распространения огня и дыма на 1 этаже здания (таблица №1).

Таблица 1

№ п/п

Наименование помещения

Возможные пути распространения огня и дыма

1

Котельная S=42,96м²

Магазин S=46,7м²

2

Магазин S=46,7м²

Котельная S=42,96м² Мастерская S=47м² Санузел мужской S=9,13м2

3

Мастерская S=47м²

Магазин S=46,7м² Санузел S=16,06м²

4

Стоянка грузовых машин S=302,25м²

Склад инвентаря S=11,2м², Тамбур S=3,17м², Сборочная S=55,71м², Склад металла S=24,22м²

5

Электрощитовая S=3,0м²


6

Склад инвентаря S=11,2м²

Стоянка грузовых машин S=302,25м²

7

Щелочная S=10,9м²

Аккумуляторная S=24,24м²

8

Аккумуляторная S=24,24м²

Щелочная S=10,9м² Тамбур S=8,17м²

9

Сварочная S=55.31м²

Гардероб верхней одежды S=4,0м² Стоянка грузовых машин S=302.2м²




Глава 3. Проверка проектных материалов

.1 Определение требуемой степени огнестойкости

Площадь этажа в пределах пожарного отсека S=715м2

Многофункциональное производственный корпус филиала «Дувангаз» относится к производственным зданиям, требуемая огнестойкость II, а класс конструктивной пожарной опасности - С1.

.2 Проверка соответствия строительных конструкций.

В таблице проверки строительных конструкций указаны все конструкции, имеющиеся в здании. Зная требуемую огнестойкость и класс конструктивной пожарной опасности здания, по соответствующим таблицам СНиП 21-01-97* определяем требуемые приделы огнестойкости основных строительных конструкций и их класс пожарной опасности (таблица 2).

Таблица

Проверка строительных конструкций

№ п/п

Наименование конструкций и их краткая характеристика

Принято в проекте

Ссылка на пункты Пособия к СНиП II-2-80

Требуется по нормам

Ссылка на пункты норм

Вывод о соответствии



Пф мин

Кф


Птр мин

Ктр



1

2

3

4

6

7

8

9

1

Наружные стены кирпичные толщиной 510мм

>R 180

К0

Табл. 10

R90

К0

СНиП 21-01-97*

Соответствует.

2

Внутренние стены кирпичные

>R 150

К0

Табл. 10

R15

К0

СНиП 21-01-97*

Соответствует.

3

Внутренние перегородки кирпичные

>R 150

К0

Табл. 10

R15

К0

СНиП 21-01-97*

Соответствует.

4

Колонны металлические Ø230мм

>R 90

К0

Табл. 11

R90

К0

СНиП 21-01-97*

Соответствует.

5

Балки металлические из двутавра 45Б2

>R 18

К0

Табл. 11

R15

К0

СНиП 21-01-97*

Соответствует.

6

Покрытие сборные ж/б ребристые плиты 1,5х6м, H=300мм

>R 180

К0

Табл. 8

R15

К0

СНиП 21-01-97*

Соответствует.


В ходе проверки строительных конструкций выяснено, что все строительные конструкции соответствуют требованиям пожарной безопасности, а так же выполняются условия безопасности здания по огнестойкости и классу конструктивной пожарной опасности согласно формулам Пф≥Птр и Кф≥Ктр.

.3 Проверка объёмно-планировочных решений

В зданиях должны быть предусмотрены конструктивные, объёмно- планировочные и инженерно-технические решения, обеспечивающие в случае пожара:

Возможность эвакуации людей наружу на прилегающую территорию до наступления угрозы их жизни и здоровью вследствие воздействия опасных факторов пожара;

Возможность спасения людей

Возможность доступа личного состава пожарных подразделений и подачи средств пожаротушения к очагу пожара, а также проведения мероприятий по спасению людей и материальных ценностей;

Нераспространение пожара на рядом расположенные здания, в том числе при обрушении горящего здания;

Ограничение прямого и косвенного материального ущерба, включая содержимое здания и само здание, при экономически обоснованном соотношении величины ущерба и расходов на противопожарные мероприятия, пожарную охрану и её техническое оснащение.

В настоящем проекте предусмотрены противопожарные преграды: стены и перегородки. Рассматриваемый многофункциональный производственный комплекс поделён на отсеки, кирпичными стенами и перегородками.

Отсеки отличаются своим функциональным назначением:

Литер А1, А2-Производственное здание, Стоянка, РММ. В здании размещается мастерская, котельная, магазин, бытовые и вспомогательные помещения.

Количество работающих: 30 человек (2 женщины и 28мужчин) .

Литер А3, М - стоянка грузовых машин здание предназначено для хранения автомашин предприятие, размещены гараж (боксы), мастерские, склады, вспомогательные помещения.

Число эвакуационных выходов 3шт. - наружу. п. 5.21* по функциональной пожарной опасности Ф5.2.

Таблица 3

Экспертиза объемно-планировочных решений

№ п/п

Что проверяется

Предусмотрено проектом

Требуется нормами

Ссылка на пункты норм

Выводы о соответствии

1

2

3

4

5

6

1

Число эвакуационных выходов

Из Литер А1 и А2 предусмотрено 4 шт.

П. 6.12. не менее 2х эвакуационных выходов должно иметь: помещение класса В - более 25чел.

СНиП 21-01-97*

Соответствует

2

Высота Эвакуационных выходов в свету

Высота 3,43м Ширина 1,6м

П.6.16 высота не менее 1,9м в свету, ширина не менее 1,2м.

СНиП 21-01-97*

Соответствует

3

Открывание дверей

Наружу по пути эвакуации

П. 6.17 двери на путях эвакуации должны открываться по направлению выхода из здания

СНиП 21-01-97*

Соответствует

4

Наличие у дверей запоров

При визуальном осмотре

П. 6.17 двери недолжны иметь запоров, препятствующих их свободному открыванию без ключа.

СНиП 21-01-97*

Соответствует

5

Заполнением дверных проёмов

Деревянные

П. 7.20 Заполнение проёмов в противопожарных преградах должно выполняться, как правило из негорючих материалов.

СНиП 21-01-97*

Соответствует

6

Отделка на путях эвакуации

При визуальном осмотре.

В зданиях всех степеней огнестойкости и классов конструктивной пожарной опасности, кроме зданий V степени огнестойкости и зданий класса С3, на путях эвакуации не допускается применять материалы с более высокой пожарной опасностью.

СНиП 21-01-97*

Соответствует


Вывод: Исходя, из оценки объемно-планировочных решений здания, можно придти к выводу, что здание соответствует СНиП 31-01-2003, СНиП 21-01-97* и СНиП 35-01-2001, ВСН 62-91*, СНиП 31-06-2009

.4 Экспертиза эвакуационных путей и выходов

Технические решения эвакуационных путей и выходов определяем по планам этажей, поперченным и продольным разрезам, по общему виду лестниц, их элементам и узлам, фасадам (таблица № 4).

Таблица 4

Экспертиза эвакуационных путей и выходов

№ п/п

Что проверяется

Предусмотрено проектом

Требуется нормами

Ссылка на пункты норм

Выводы о соответствии

1

2

3

4

5

6

1

Из Литер А1 и А2 предусмотрено 4 шт.

П 9.4.3 С каждого этажа пожарного отсека автостоянок должно быть предусмотрено не менее двух рассредоточенных эвакуационных выходов

СП 1.13130.2009

Соответствует

2

Освещенность эвакуационных путей

Имеется аварийное освещение

П 4.3.1 В зданиях и сооружениях на путях эвакуации следует предусматривать аварийное освещение в соответствии с требованиями

СП 1.13130.2009

Соответствует

3

Открывание дверей

Наружу по пути эвакуации

П. 6.17 двери на путях эвакуации должны открываться по направлению выхода из здания

СНиП 21-01-97*

Соответствует

4

Наличие у дверей запоров

При визуальном осмотре

П. 6.17 двери недолжны иметь запоров, препятствующих их свободному открыванию без ключа.

СНиП 21-01-97*

Соответствует

5

Наличие выступающих конструкции на путях эвакуации

Не имеются

П 4.3.3 В коридорах на путях эвакуации не допускается размещать оборудование, выступающее из плоскости стен на высоте менее 2 м, трубопроводы

СП 1.13130.2009

Соответствует

6

Наличие порогов на путях эвакуации

Не имеются

П 4.3.4 В полу на путях эвакуации не допускаются перепады высот менее 45 см и выступы, за исключением порогов в дверных проемах. В местах перепада высот следует предусматривать лестницы с числом ступеней не менее трех или пандусы с уклоном не более 1:6.

СП 1.13130.2009

Соответствует


Вывод: Для более объективной и точной оценки эвакуационных путей и выходов не хватает данных.

.5 Проверка противодымной защиты и систем вентиляции

Противодымная защита зданий представляет комплекс конструктивных, объёмно-планировочных, специальных и организационных решений, направленных на обеспечение гарантированной защиты от задымления путей эвакуации в течение времени, достаточного (необходимого) для эвакуации людей, а также на создание условий для успешной локализации и ликвидации пожара.

В данном здании вентиляция естественная, вытяжная из санузлов и кладовых. Для удаления вредных веществ с целью обеспечения отопительных метеорологических условий и чистоты воздуха в помещениях, обслуживаемой и рабочей зоне предусматривается устройство вытяжной вентиляции с естественным побуждением.

здание огнестойкость вентиляция эвакуационный

Глава 4. Разработка технических решений для повышения пожарной безопасности

Проанализировав результаты проверки проектных материалов, на основании нормативных документов был разработан комплекс по повышению пожарной безопасности:

Рекомендуется произвести замену входных дверей сварочной, марки ДГ 21-9Л, двери мастерской марки ДГ 21-10 на противопожарную дверь с обшивкой из листовой стали толщиной 1-1,5 мм с каркасом из волнистых стальных листов. Внутренние полости заполнены асбестовым картоном, что позволяет повысить предел огнестойкости 0,75-1 ч. согласно СНиП 2.01.02-85*, ГОСТ Р 53307-2009;

Противопожарные перегородки выполнены из глиняного кирпича с герметизацией стыков. Дополнительно применяем оштукатуривание поверхности с двух сторон толщиной слоя 15 мм;

Рекомендую заменить стену между аккумуляторной и сварочной на противопожарную стену первого типа огнестойкость класса REI-150 согласно СНИП 21.01-97*.

5. Инженерно-технические расчеты

Расчет необходимого времени эвакуации из помещения по данным «ГОСТ 12.1.004-91. Пожарная безопасность. Общие требования».

Рассчитываем необходимое время эвакуации из стоянки грузовых машин площадью 303,25 м2 и высотой 3,9 м, пожарной нагрузкой в котором является древесина. Начальная температура в помещении 200С, объем предметов и оборудования - 200 м3.

Исходные данные:

температура - t0=200С;

вид горючего материала - древесина, n=3;

теплота сгорания Q = 13,8 МДж/кг;

удельный расход кислорода LO2=1,15 кг/кг;

удельный выход L СO2 = 1,51кг/кг;

удельный выход L СO = 0,024 кг/кг;

дымовыделение D = 130 Нпм2/кг;

удельная скорость выгорания Ψ0 =0,014 кг/м2с

линейная скорость распространения пламени v = 0,027 м/с

полнота сгорания ГМ η = 0,5;

коэффициент теплопоглощения (теплопотерь) φ = 0,75;

Другие параметры:

коэффициент отражения α = 0,3;

начальная освещенность Е = 50 Лк;

удельная изобарная теплоемкость Ср = 1,32 Дж/кгК;

предельная дальность видимости lпр=20 м;

предельные значения концентрации токсичных газов:

 

1. Определяем свободный объем помещения:

V=0,8*a*b*H, (1)

a - ширина помещения;

b - длина помещения;


V = 0,8*303,25*3,4=824,8м³

. Определяем безразмерный параметр z:

 , (2)

hраб зоны - высота рабочей зоны;

H - высота этажа


. Расчет вспомогательных параметров:

A=1,05*ψ02 (3)

υ -линейная скорость распространения пламени;

ψ - удельная скорость выгорания.

A =1,05*0,014*0,0272=1,07*10-5

 , (4)

Cp - удельная изобарная теплоемкость;

V - свободный объем помещения;

Q - тепла сгорания;

η - полнота сгорания ГМ;

φ - коэффициент теплопоглощения.

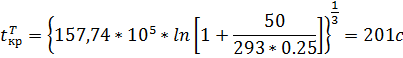
= 157,74*105

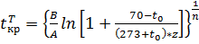
4. Расчет критического времени наступления предельно-допустимых значений ОФП:

по повышенной температуре:

 (5)

t0 - начальная температура в помещение.


по потере видимости:

 (6)

α - коэффициент отражения;

Е - начальная освещенность;

D - дымовыделение.


по пониженному содержанию кислорода:

 (7)

LO2 - удельный выход.


по каждому из газообразных токсичных продуктов горения:

(8)


Так как под знаком логарифма отрицательное число, то диоксид углерода и оксид углерода в данном случае не представляет для человека опасность, и в расчет не берется.

 (9)

tкр j={201; 68; 187}= 121с

Критическая продолжительность пожара обусловлена временем наступления предельно-допустимого значения дальности видимости (менее 20 м).

Необходимое время эвакуации людей из помещения:

tнб= 0,8 * t кр j (10)

tнб = 0,8*68= 54 с

6. Оформление документов по результатам проверки проектных материалов

Письмо в адрес проектной организации

Директору проектного института

Иванову И.И.

Копия: Начальнику отдела ГПН

Петрову П.П.

Рассмотрев архитектурно-проектную часть проекта здания дома-интерната для престарелых и инвалидов, сообщаю, что в проекте не в полной мере учтены противопожарные требования действующих строительных норм и правил пожарной безопасности, и предлагает внести в проект следующие изменения и дополнения:

Рекомендуется произвести замену входных дверей сварочной, марки ДГ 21-9Л, двери мастерской марки ДГ 21-10 на противопожарную дверь с обшивкой из листовой стали толщиной 1-1,5 мм с каркасом из волнистых стальных листов. Внутренние полости заполнены асбестовым картоном, что позволяет повысить предел огнестойкости 0,75-1 ч. согласно СНиП 2.01.02-85*, ГОСТ Р 53307-2009;

Противопожарные перегородки выполнены из глиняного кирпича с герметизацией стыков. Дополнительно применяем оштукатуривание поверхности с двух сторон толщиной слоя 15 мм;

Рекомендую заменить стену между аккумуляторной и сварочной на противопожарную стену первого типа огнестойкость класса REI-150 согласно СНИП 21.01-97*.

Студент Лихачёв Д.Н.

Заключение

Была проведена проверка соответствия требованиям пожарной безопасности объекта Многофункциональное производственный корпус филиала «Дувангаз». В ходе проведенной работы был разработан план эвакуации первого этажа и выявлен ряд нарушений при проектировании.

В адрес проектной организации было направлено письмо, котором указаны основные рекомендации по повышению пожарной безопасности объекта:

Рекомендуется произвести замену входных дверей сварочной, марки ДГ 21-9Л, двери мастерской марки ДГ 21-10 на противопожарную дверь с обшивкой из листовой стали толщиной 1-1,5 мм с каркасом из волнистых стальных листов. Внутренние полости заполнены асбестовым картоном, что позволяет повысить предел огнестойкости 0,75-1 ч. согласно СНиП 2.01.02-85*, ГОСТ Р 53307-2009;

Противопожарные перегородки выполнены из глиняного кирпича с герметизацией стыков. Дополнительно применяем оштукатуривание поверхности с двух сторон толщиной слоя 15 мм;

Рекомендую заменить стену между аккумуляторной и сварочной на противопожарную стену первого типа огнестойкость класса REI-150 согласно СНИП 21.01-97*.

Список использованной литературы

1. ГОСТ 12.1.004-91. Пожарная безопасность. Общие требования. - М.: Государственный комитет по стандартам, 1999. -77 с.

. СП 1.13130.2009 Системы противопожарной защиты. Эвакуационные пути и выходы.

. СНиП 2.01.02-85*. Противопожарные нормы / Госстрой России. - М.: ФГУ ЦПП, 2002. - 12 с.

4. СНиП 21-01-97*. Пожарная безопасность зданий и сооружений / Госстрой России. - М.: ФГУ ЦПП, 2002. - 16 с.

6. Пожарная профилактика в строительстве / под ред. В.Ф. Кудаленкина. - М.: ВИПТШ МВД России, 2009.- 352 с.

. Грушевский, Б.В. Пожарная профилактика в строительстве / Б.В Грушевский и др. - М.: ВИПТШ МВД России, 2008. - 321с.

. Здания, сооружения и их устойчивость при пожаре: Учебник / В.Н. Демехин, И.Л. Мосалков, Г.Ф. Плюснина, Б.Б. Серков. - М.: Академия ГПС МЧС России, 2003.- 656 с

Похожие работы на - Пожарная безопасность многофункционального производственного здания филиала 'Дувангаз'

 

Не нашли материал для своей работы?
Поможем написать уникальную работу
Без плагиата!
Без нейросетей!