Безпека праці в промисловості
Міністерство
освіти і науки, молоді та спорту України
Сумський
державний університет
Кафедра
прикладної екології
КОНТРОЛЬНА
РОБОТА
з
дисципліни «Охорона праці»
Студ. 4 -го
курсу
Гр._СУз -
81с
Балакірєвої
Н.М.
Викладач:
Трунова І. О.
СУМИ
- 2012
Розділ 1. Економічна оцінка заходів
з охорони праці
Задача 1
На підприємстві працює Р=550
чоловік, з них Р1=160 чол. з шкідливими речовинами і Р2 =240 чол. - на роботах
з підвищеної небезпеки.
Розрахуйте кількість працівників М
служби охорони праці.
Рішення:
Кількісний склад працівників служби
охорони праці, чол., розраховуємо за формулою:
де Р - кількість працівників на
підприємстві, Р=550 чол.;
К2 - коефіцієнт, що враховує
шкідливість та небезпечність виробництва;
Ф - ефективний річний фонд робочого
часу спеціаліста з охорони праці, що дорівнює 1820 год., який враховує втрати
робочого часу на можливі хвороби, відпустку.
Коефіцієнт К2 розрахуємо за
формулою:
де Р1 - кількість працівників, що
працюють зі шкідливими речовинами, чол.;
Р2 - кількість працівників, що
працюють на роботах з підвищеною небезпекою, чол.
Підставляючи числові значення,
маємо:
Отже, 
чол.
Відповідь: кількість
працівників служби охорони праці має становити 2 чол.
Задача 2
У цеху середньоспискова
кількість робітників Р = 450 чол. За шість місяців роботи сталося N = 25
нещасних випадків. Втрата працездатності Д = 55 робочих днів.
Визначте коефіцієнт частоти
травматизму КЧ, коефіцієнт тяжкості травматизму КТ і кількість людино-днів
непрацездатності КН.
Рішення:
Коефіцієнт частоти
травматизму:
де 
- кількість постраждалих від
нещасних випадків, чол.
Р - середньоспискова
кількість робітників, чол.
=
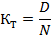
Коефіцієнт тяжкості
травматизму:
де D - число днів втрати
непрацездатності за звітний період:
Кт =
Кількість людино-днів
непрацездатності:
КН =
Відповідь: коефіцієнт частоти
травматизму 55,5, коефіцієнт тяжкості травматизму 2,2, кількість людино-днів
непрацездатності 122,22.
Задача 3
Оцініть: а) загальну
економічну ефективність витрат підприємства на охорону праці 
, грн., загальних витрат; б)
загальноекономічну ефективність капітальних вкладень в охорону праці 
, грн./1 грн. капіталовкладень і
зробити висновок про доцільність впровадження фінансового комплексу заходів
охорони праці. Загальні капіталовкладення в реалізацію комплексу 
= 7200 тис. грн., річні
експлуатаційні (поточні витрати) Р = 130 тис. грн., загальна річна економія за
рахунок поліпшення умов праці від реалізації комплексу Е0 = 1507 грн.
Рішення:
а) Загальна економічна
ефективність витрат підприємства на охорону праці:
де 
- загальна річна економія за
рахунок поліпшення умов праці від реалізації комплексу заходів охорони праці;
Р - річні витрати на
обслуговування і експлуатацію систем забезпечення охорони праці;
ЕН - нормативний коефіцієнт
ефективного капітальних вкладень в охорону праці,
ЕН=0,8;
КЗ - капітальні витрати в
заходи охорони праці.
Підставляючи числові
значення, маємо:
Виходячи з розрахунку (
робимо висновок про неефективність
загальних витрат підприємства на охорону праці.
б) Загальноекономічна
ефективність капіталовкладень в охорону праці:
Оскільки 
, то капітальні витрати підприємств
в охорону праці неефективні.
Відповідь: розрахунок
економічної ефективності загальних витрат та капіталовкладень підприємства на
охорону праці дозволяє зробити висновок про недоцільність впровадження
фінансового комплексу заходів з охорони праці.
Задача 4
Визначте суму компенсації, що
належить до оплати підприємством потерпілому внаслідок травми, а також його
можливий заробіток без втрати компенсації. Нещасний випадок стався з вини
підприємства. Заробіток потерпілого до одержання травми становить А = 170 грн.
Лікарсько-трудова експертиза комісія (ЛТЕК) встановила втрату працездатності на
Б = 55%. З коштів соціального державного забезпечення потерпілому була
призначена пенсія в розмірі В=40 грн.
Рішення:
Підприємство має виплатити
компенсацію потерпілому з урахуванням пенсії, яка призначена внаслідок шкоди,
завданою здоров’ю:
Х1 = А - В = 170 - 40 = 130
грн.
Враховуючи висновки комісії
охорони праці, що встановила розмір провини потерпілого, розмір компенсації
підприємства потерпілому:
Х2 = Х1 - (Х1хВ) = 130 - (130
х 0,55) = 58,5 грн.
Відповідь: підприємство
повинно сплатити потерпілому внаслідок травми працівнику компенсацію в розмірі
58 грн. 50 коп.
Задача 5
Визначте розмір відшкодування
збитку потерпілому з урахуванням його середньомісячного заробітку Г = 210 грн.
Рішення:
Розмір відшкодування збитку
потерпілому з урахування його середньомісячного заробітку:
Х2 = (1 - В)
(Г - Б) =
(1 - 0,35)
(21-50) =
104 грн.
Відповідь: розмір
відшкодування становить 104 грн.
Задача 6
Розрахуйте для харчової
промисловості:
а) витрати ВТ, грн., на
виплату за листками непрацездатності внаслідок травматизму з тимчасовою втратою
працездатності Д = 85500 днів;
б) витрати ВТР, грн., в
результаті недовиробництва продукції через вказану причину.
Середньодобова заробітна
плата одного працівника ЗП = 29,8 грн.
Середньозмінний виробіток
одного працівника ВС = 410,5 грн.
Рішення:
а) Річні витрати на виплату
за листками непрацездатності внаслідок травматизму з тимчасовою втратою
працездатності:
ВТ = ДД
ЗП = 85500
29,8 =
2547900 грн.
б) Річні витрати на виплату
за листками непрацездатності:
ВТР = ДД
ВС = 85500
410,5 =
35097750 грн.
Відповідь: річні витрати на
виплату за листками непрацездатності становлять Вт = 2547900 грн., річні
витрати на виплату за листками непрацездатності Втр = 35097750 грн.
Задача 7
Розрахуйте для харчової
промисловості сумарний річний збиток, нанесений за поточний рік загальною ХЗ,
грн., і виробничо-зумовленими захворюваностями ХВ, грн. Витрати робочого часу
внаслідок загальної захворюваності склали ДЗ = 4322500 днів, а коефіцієнт втрат
від захворюваності, зумовленої умовами праці, 
від загальної. У розрахунках
візьміть середньоденну зарплату одного працівника ЗП = 30,2 грн., а його
середньозмінний виробіток ВС = 416,5 грн.
Рішення:
Сумарний річний збиток,
спричинений загальним захворюванням:
ХЗ = ДЗ
(ЗП + ВС) =
4322500
(30,2 +
416,5) = 1930860750 грн.
Сумарний річний збиток
середньо виробничого зумовленою захворюваністю:
ХВ = ХЗ

1930860750
0,3 =
579258225 грн.
Відповідь: сумарний річний
збиток, нанесений за поточний рік загальними захворюваностями, становить
1930860750 грн., виробничо-зумовленими захворюваностями - 579258225 грн.
Розділ 2. Виробнича санітарія
і гігієна праці
Задача 8
У приміщені, площа якого SП =
10 х 2 м3 і висота h = 4,5 м, розміщене джерело шуму з рівнем звукового тиску L
= 86 дБ, з переважною частотою 1000 Гц. Стіни виконані із будівельного
матеріалу Кбуд (цегла, поштукатурена фарбою) з коефіцієнтом звукопоглинання αСТ =
0,015 дБ. Перекриття і підлога бетонні з коефіцієнтом звукопоглинання αп=0,018
дБ. Віконні прорізи мають площу SС = 6 м2. Коефіцієнт звукопоглинання скла αС =
0,027 дБ.
Визначте рівень звукового
тиску в приміщенні після його акустичного оброблення звукопоглинальним
матеріалом М (склотканина) з коефіцієнтом звукопоглинання αСЕР
= 0,69 дБ. Зробіть висновок про доцільність використання звукопоглинального
матеріалу.
Рішення:
. Визначаємо сумарну площу
огороджувальних приміщень конструкцій:
де 
- площа підлоги

м2

- площа стін

м2

- площа перекриття

м2
Отже, 
м2
. Визначаємо середній
коефіцієнт звукопоглинання огороджувальних поверхонь у приміщенні до його
акустичної обробки:

0,02
Оскільки 
то звукопоглинаюча обробка
приміщення є доцільною. Звукопоглинальну облицьовку розміщуємо на стелі і
перекритті.
. Визначаємо середній
коефіцієнт звукопоглинання огороджувальних поверхонь приміщення після
акустичної обробки:
Визначаємо рівень зниження
звукового тиску:

дБ
. Визначаємо рівень звукового
тиску в приміщенні після акустичної обробки:

дБ
Згідно з ГОСТ 12.1.003.83
«Шум. Общие требования безопасности» допустимий рівень звукового тиску з
переважною частотою 1000 Гц складає 75 дБ.
Отже, використання даного
матеріалу для звукопоглинання не дає бажаного результату.
Відповідь: рівень звукового
тиску в приміщенні після акустичного оброблення плитами «Акмініх» становитиме
80,66 дБ. Використовувати плити «Акмініх» для звукопоглинаючої обробки даного
приміщення не є доцільним.
Задача 9
Розрахуйте необхідну площу
віконних прорізів у виробничому приміщенні розміром 

м, для зберігання
мінімально норманованого коефіцієнта природної освітленості для розряду зорових
робіт К=III. Віконні прорізи підприємства не затемняються іншими будівлями.
Рішення:
Площа віконних перерізів
визначається формулою:
де 
- нормановане значення КПО;

- коефіцієнт запасу, 
=1,52;

- світлова характеристика вікон.
При відношенні А/Б = 40/10 =4 приймаємо hB=8

- площа підлоги, S = 40x10 = 400
м2;

- коефіцієнт запилення вікон
будівель, що стоять навпроти, 
=1;

- загальний коефіцієнт світло
пропускання. Для двійкових дерев’яних рам без світлозахисних конструкцій та
втрат світла в несучих конструкціях приймаємо 
= 0,5.

- коефіцієнт, що враховує
підвищення КПО при бічному освітленні за рахунок світла, що відбивається від
поверхонь приміщення та підстелюючого шару. При бічному односторонньому
розташуванні світлових перерізів згідно ДБН В.5-28-2006 приймаємо r1=3.
Мінімальне нормативне
значення КПО визначаємо за формулою:
де 
=1,6% - табличне значення для III
розряду зорової роботи при бічному освітленні
m=0,6 - мінімальний
коефіцієнт світлового клімату (для IV світлового розряду);
c=0,6 - мінімальний
коефіцієнт сонячного клімату (для IV світлового розряду);
Необхідна площа віконних
перерізів:

19 м2
Відповідь: необхідна площа
віконних перерізів складає 19 м2.
Задача 10
Виберіть раціональну схему і
визначте потужність загально обмінної вентиляції для цеху розміром 
м. В цех виділяються шкідливі
речовини (аміл-ацетат) з інтенсивністю N=4,0 кг/г. Вміст шкідливих речовин в
атмосферному повітрі X=0,050 % за об’ємом. Коефіцієнт рівномірності
розподілення вентиляційного повітря по цеху К=0,9.
Рішення:
Потужність загальної
вентиляції для цеху визначаємо за формулою:
де 
- інтенсивність виділення шкідливих
речовин (амілацетату), 

- коефіцієнт рівномірності
розподілення вентиляційного повітря;
С1 - ГДК газу в повітрі, що
надходить в приміщення. Згідно з СН 245-71 для амілацетату С1=100 мг/м3.
С2 - масова концентрація газу
в повітрі, яке видаляється із приміщень:
де Х - об’ємна концентрація
газу в повітрі, %.
Mr - молярна маса
амілацетату, Mr=130,19 мг;
Vm - молярний об’єм, Vm=22,4
м3
Підставляючи числові дані,
маємо:
Об’єм приміщення 
Кратність повітрообміну в
приміщенні:
Відповідь: для незначної
кратності повітрообміну n=0,32 год-1, з урахуванням, що амілацетат відноситься
до IV групи шкідливих речовин, доцільно використовувати природну вентиляцію.
Задача 11
Розрахуйте кратність повітрообміну
у виробничому приміщені об’ємом Vп= 12х103 м3 за надлишком тепловиділення.
Площа тепловиділення поверхні F=9,0 м3; температура нагрітої поверхні 
; нормальна допустима температура
повітря у приміщенні 
; маса нагрітої продукції М=120 кг;
питома теплоємність нагрітої маси 
; температура маси за факичним
заміром 
; кофіцієнт, що враховує
нерівномірність охолодження маси 
Загальна встановлена потужність
електордвигунів Р=45 кВт; ККД електродвигунів взяти таким, що дорівнює 0,6;
температура повітря, що подається 
Рішення:
Для виробничого приміщення з
надлишком тепловиділення кількість приливного повітря визначається із умови
асиміляції цього тепла:
де 
- кількість тепла, яке виділяється
у приміщенні, Вт;
С=
- теплоємкість повітря;

- питома густина повітря.
У виробничому приміщенні є
три джерела тепловиділення:
а) поверхні, що виділяють
тепло:
де 
- коефіцієнт тепловіддачі від
поверхні обладнання в повітря приміщення;

Вт
б) тепловиділення від
поверхонь, що охолоджуються:
де М=120 кг - маса нагрітої
продукції;
С=0,23 
- питома теплоємкість нагрітої
маси;

- температура маси за фактичним
заміром;

=1,5 - коефіцієнт, що враховує
нерівномірність охолодження маси.

Вт
в) електродвигуни, що при
роботі виділяють тепло:

Вт
Сумарне тепловиділення у
виробничому приміщенні:

Вт
Отже,
Кратність повітрообміну:

год-1
Відповідь: кратність
повітрообміну у виробничому приміщені становить 1,7 год-1.
Задача 12
Розрахуйте кратність
повітрообміну у виробничому приміщені об’ємом Vn=700 м3 для виділення
надлишкової вологи, якщо: площа поверхні випаровування води F=12 м2; швидкість
руху повітря над витоком випаровування V=0,2 м/с; фактор гравітації рухливості
навколишнього середовища беремо 
; тиск водяної пари в навколишньому
середовищі повітря Р1=22,61 гПа; тиск водяної пари, що насичує повітря
приміщення Р2=42,27 гПа. Кількість водяної пари в повітрі, що видаляється з
приміщення, dвид=22,56 г/м3; кількість водяної пари у повітрі, що надходить у
приміщення, dвх=15,96 г/м3.
Рішення:
Для видалення надлишкової
вологи із приміщення продуктивність вентиляції, м3/год, розраховують за
формулою:
де 
- питома густина повітря; 
;

- маса водяної пари, яка
виділяється в приміщенні;

г/год
Кратність повітрообміну:

год-1
Відповідь: кратність
повітрообміну у виробничому приміщені становить 0,52 год-1.
Задача 13
Приміщення площею АхВ=40х16 м
освітлюється світильниками, в яких установлено лампи типу ЛБ-80. Підрозряд
зорової роботи IVв; розрахункова висота підвісу світильників Нс=2,0м;
коефіцієнти відбиття: стелі ρс=50 %, стін
ρст=30
%. Коефіцієнт нерівномірності освітлення Z=1,1; коефіцієнт запасу Кз=2,0.
Визначте методом коефіцієнта
використання світлового потоку необхідну кількість світильників.
Рішення:
де 
- нормована освітленість.
Згідно ДБН В.5-28-2006 для
використання робіт зоряного розряду IV в приймаємо
комбіноване освітлення з
Е=400 лк

- площа приміщення, 

- коефіцієнт запасу; 
;

- коефіцієнт нерівномірності
освітлення; 
;

- світловий потік однієї лампи. Для
світильника ЛБ-80 згідно з ГОСТ 6825-91

лм;

- коефіцієнт використання
світлового потоку, визначається в залежності від
індексу приміщення 
та коефіцієнтів відбиття світла
від стелі 
і стін 
Приймаємо η=0,67.
n - кількість ламп у
світильнику, n=2 шт.
Отже,
Приймаємо 
шт.
Відповідь: необхідно 81
світильник.
Задача 14
Визначте кратність
повітрообміну загально обмінної вентиляції в приміщенні розміром АхВхН=48х10х6
м, в якому виділяється діоксид вуглецю з інтенсивністю М=1,3 кг/год. Його вміст
в атмосферному повітрі дорівнює Х=0,1 % за об’ємом. Коефіцієнт рівномірності
розподілення вентиляційного повітря по цеху k=0,55.
Рішення:
Потужність загально обмінної
вентиляції визначається за формулою:
де 
- кількість шкідливих виділень, 
;

- коефіцієнт нерівномірності
розподілення вентиляційного повітря в цеху,


- концентрація СО2 в повітрі;
де 
- об’ємна концентрація СО2

- молярна маса СО2, 

- молярний об’єм СО2, 
Отже,
Кратність повітрообміну:
Відповідь: кратність
повітрообміну загально обмінної вентиляції складає 0,42 год-1
Задача 15
У батарею циклонів надходить
для очищення Q=8000 м3 повітря, що містить N=1200 г борошняного пилу.
Концентрація пилу в повітрі після фільтру К=12 мг/м3. ГДК борошняного пилу в
повітрі робочої зони в мг/м3.
Визначте ККД повітроочисника
і допустиму концентрацію пилу, що викидається в атмосферу. Дайте висновок.
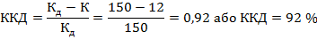
Рішення:
Концентрація пилу в повітрі
до повітря очисника складає:
ККД повітроочисника (батареї
циклонів):
Допустима концентрація
борошняного пилу в повітрі, що надходить в атмосферу при 
:
де А - коефіцієнт, який залежить
від ГДК. Згідно з ГОСТ 12.1.005-88 для борошняного пилу ГДК=6 мг/м3, отже
А=1,0.
Концентрація борошняного пилу
в повітрі, очищеному батареєю циклонів, нижче допустимої.
Відповідь: ККД
повітроочисника становить 92 
, а допустима концентрація
борошняного пилу в повітрі, що надходить в атмосферу, 
Задача 16
У виробничому приміщенні
розміром АхВ=50х18 м з нормальним середовищем за запиленістю виконуються
роботи, що потребують розрізнення предметів розміром 0,8-1,0 мм на світлому
фоні. Контраст об’єкта розрізнення з фоном малий. Приміщення освітлюється n=30
світильниками розсіюваного світла з лампами розжарювання потужністю Р=130 Вт.
Висота підвішування світильників над рівнем підлоги h=6 м. Висота робочої
поверхні hп=0,8 м. Коефіцієнти відбиття: стелі ρс=50
%, стін ρст=30
%, робочої поверхні ρп=10 %.
Визначте за методом коефіцієнта
використання світлового потоку ступінь освітленості.
Рішення:
Основне розрахункове рівняння
методу світлового потоку:
де 
- нормована освітленість. Згідно
ДБН В.5-28-2006 для використання робіт що потребують розрізнення предметів
розміром 0,8…1,0 мм на світловому фоні при малому контрасту об’єктів
розрізнення з фоном при загальному штучному освітленні Е=200 лк

- площа приміщення, 

- коефіцієнт запасу. Згідно ДБН
В.5-28-2006 для виробничих приміщень з концентрацією пилу та диму менше 
для експлуатаційної групи
світильників 1-4 приймаємо 
;

- коефіцієнт нерівномірності
освітлення, для ламп розжарювання 
;

- кількість світильників, n=30 шт;
n - кількість ламп у
світильнику n=1 шт,

- коефіцієнт використання
світлового потоку. Визначається по таблиці в залежності від індексу приміщення
та коефіцієнтів відбиття
світла від стелі 
, стін 
і робочої поверхності 
. Для світильників типу «Універсаль»
η=0,59.
Отже,
Лампа розжарювання типу
«Універсаль» потужністю 130 Вт має світловий потік Fл=1800 лм.
Коефіцієнт використання
світлового потоку:
Відповідь: ступінь
освітленості виробничого приміщення становить 10

Задача 17
У мережу з ізольованою
нейтралью підключено n=10 електродвигунів. Опір ізоляції кожного відгалуження
до електродвигуна Rіз=0, 5 мОм.
Визначте струм, який пройде
через людину за наявності і відсутності захисного заземлення , якщо опір
заземлення Rз=3, 2 Ом; опір людини Rл=5000 Ом; напруга мережі 380/220 В.
Накресліть схему і зробіть висновок
Рішення:
За відсутності захисного
заземлення при пошкоджені однієї фази (замикання на корпус), людина потрапляє
під дію фазної напруги.
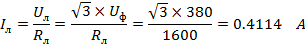
За законом Ома струм, що
протікає через людину:
де 
- загальний опір ізоляції,
Отже
За наявності захисного
заземлення:
Загальний струм 
розподіляється між опором
заземлення і людиною обернено пропорційно опором. Струм, що протікає через
людину при наявності захисного заземлення:
Висновок: за відсутності
захисного заземлення при пошкоджені однієї фази через тіло людини проходитиме
струм 44 мА, при наявності захисного заземлення теж 44 мА. В даній ситуації
захисне заземлення не ефективне.
Задача 18
Визначте силу струму, що
проходить через людину при двофазному ввімкнені в електричну мережу, а також у
разі доторкання її до фазного провідника напругою U=380 В для двох режимів
мережі: нейтраль ізольована і нейтраль заземлена.
Покажіть, в яких випадках
доторкання небезпечніше. В розрахунках прийняти опір тіла людини Rл=1600 Ом,
опір ізоляції провідників Rіз=85 кОм, опір ділянки кола, на якій стоїть людина
Rк=60 кОм, опір взуття людини Rвз=50 кОм. Опір заземлення нейтралі Rн=4 Ом. Ємкісний
опір ізоляції мережі беремо таким, що дорівнює нулю.
Рішення:
А) При двофазному дотику
людини в трифазній мережі через її тіло проходить струм:
охорона праця
санітарія повітрообмін
Таке значення струму з
частотою 50Гц є смертельним для людини.
Б) При однофазному дотику до
струмоведучих частин в мережі з ізольованою нейтралью, за умови малого
ємкісного опору ізоляції мережі, через тіло людини проходить струм:
Такий струм є відчутним для
людини, але не небезпечним.
В) При однофазному дотику в
мережі із заземленою нейтралью можливі два варіанти:варіант - людина
дотикається до нульового провідника. В цьому випадку струм через тіло людини не
проходить (
) і дотик безпечний для людини.
варіант - людина дотикається до
фазного провідника. В цьому випадку через тіло людини проходить струм:
Такий струм також є відчутним для
людини, але не небезпечним.
Відповідь: сила струму, що проходить
через людину при двофазному дотику становить 411,4 мА, при однофазному дотику
до струмоведучих частин в мережі з ізольованою нейтраль 2,5 мА, а в мережі із
заземленою нейтраль 3,4 мА. Найнебезпечнішим є випадок двофазного дотику людини
в трифазній мережі.
Задача 19
На паровому котлі встановлено два
запобіжних клапана з умовним проходом d=55 мм. Продуктивність котла Gк=3000
кг/год, за тиском насиченої пари Р=0,3 МПа і при температурі t ºС.
Визначте пропускну здатність
клапана, порівняйте її з продуктивністю котла і визначте, чи мають клапани
достатню пропускну здатність. Коефіцієнт витрати пару α=0,50.
Рішення:
Площа прохідного перетину клапана:
Пропускна здатність запобіжного
клапана:
Пропускна здатність двох клапанів:
Продуктивність котла, за умовою
задачі,
Отже, клапани мають достатню
пропускну здатність.
Відповідь: пропускна здатність
клапана складає 2374,625 кг/год. Клапани мають достатню пропускну здатність.
Задача 20
У виробничому приміщенні розмірами
АхВхН=45х25х4,5 м розміщено виробництво категорії Д; ступінь вогнестійкості
будівлі IV.
Визначте запас води на зовнішнє і
внутрішнє тригодинне пожежогасіння, а також мінімальний діаметр труб для
пропускання пожежної витрати води. Швидкість руху води в трубах V=2,0 м/с.
Рішення:
Розрахункові витрати води на
зовнішнє та внутрішнє 3-х годинне пожежогасіння:
де 3600 та 1000 - перевідні
коефіцієнти відповідно годин в секунду і літрів у метри кубічні;

- витрати води на внутрішнє
пожежогасіння, приймаємо 

- витрати води на зовнішнє
пожежогасіння. Для IV ступеня вогнестійкості будівлі об’ємом 
, категорії виробництва Д згідно з
СНиП 2.04.02-84 приймаємо 
Отже,
Витрати води за годину:
Мінімальний діаметр труб для
пропускання пожежної витрати води
Відповідь: запас води на
зовнішнє і внутрішнє тригодинне пожежогасіння складає 
, а мінімальний діаметр труб для
пропускання пожежної витрати води 126 мм.
Список використаної
літератури
Безпека
праці в промисловості. Довідник. (К.Н. Ткачук, П.Я. Галушко та інші)/ Під ред.
К.Н.Ткачука. Київ: "Техніка", 1982. 231 с.
Нікітін
В.С., Бурашников Ю.М. Охорона труда на підприємствах харчової промисловост. М.:
"Агропроміздат", 1991. 350 с.
Князевский
Б.А., Долин П.А., Марусова Т.П. та інші. Охорона праці /Під ред.
Б.А.Князевского. М.: " Вища школа ", 1982. 311 с.
Сегеда
Д.Г., Дашевський В.І. Охорона праці в харчовій промисловості. М.: Легка і
харчова промисловість, 1983. 344 с.