Эффективность применения тестовых заданий на уроках математики
ГОУ
Тверской областной институт
усовершенствования учителей
Муниципальное общеобразовательное
учреждение средняя общеобразовательная школа п. Эммаус
КУРСОВАЯ РАБОТА
По теме:
Эффективность применения тестовых
заданий на уроках математики
Учитель математики
Зубцова Галина Константиновна
Тверь - 2010 г.
Содержание
Введение
.
Исторический обзор применения тестов в мировой практике
. Особенности
и научные основы метода тестов
. Достоинство
тестов
. Тесты и
оценка знаний
. Применение
тестов. Виды тестов
.
Практическая часть
Вывод
Литература
Приложения
Введение
Хороших методов существует ровно столько, сколько существует хороших
учителей. (Д. Пойа)
Цели и задачи работы:
1. Формирование важнейших характеристик творческих способностей учащихся
(самостоятельность, независимость, любознательность, оригинальность мышления,
нацеленность на открытие нового)
2. Выработать у ребят готовность к любому виду контроля.
. Частичная подготовка к экзаменам.
. Формирование у учащихся интереса к математике через задачи
разного уровня.
Почему я выбрала для себя такую проблему? Да потому что сегодня в
методической и психолого-педагогической литературе контролю за достижением
уровня обязательных результатов обучения уделяется большое внимание. Процесс
усвоения знаний индивидуальный, поэтому необходимы такие формы
диагностико-контролирующей работы, которые позволяют дать возможность показать
уровень обученности каждого ученика. Это приводит к необходимости отходить от
традиционной формы контроля. Кроме того, проведение итоговой аттестации в новой
форме диктует также эту необходимость. В последнее время в учебной деятельности
весьма активно применяется тестирование как наиболее удобная форма контроля за
усвоением знаний обучающихся. Учителю математики здесь отводится большая роль в
подготовке обучающихся.
Огромная заслуга тестов состоит в том, что они позволяют обычный ответ
ученика «так мне кажется» заменить словами «я это знаю» или «я это не знаю».
(П.П. Блонский)
1. Исторический обзор применения тестов в мировой практике
Метод тестирования широко известен за рубежом. Однако в нашей стране в
силу различных причин тесты разного назначения и качества появились не так
давно. Одним из первых учёных, попытавшихся измерить различия между людьми в
области элементарных психических процессов, был англичанин Френсис Гальтон.
Важным вкладом Ф. Гальтона в развитие теории тестов было определение трёх
основных принципов:
1. Применение серии одинаковых испытаний к большому количеству
испытуемых.
2. Статистическая обработка результатов.
. Выделение эталонов оценки.
Эти принципы используются, и по сей день - на основе проведения серии
испытаний получают различного вида нормы для оценки результатов тестирования,
все современные тесты построены на основе статистической теории измерений, а
идея эталона оценки лежит в основе определения тестов как стандартизированного
инструмента.
Качественный скачок в развитии тестологии связан с деятельностью видного
французского психолога Альфреда Бине. Он может считаться родоначальником
современных тестов, предназначенных для диагностики уровня развития интеллекта.
Важным произошедшим изменением было то, что впервые тесты группировались
по возрастным уровням, что позволило определить нормы для детей разных
возрастов, и вводилось понятие умственного уровня (позднее заменённого на
умственный возраст, а ещё позже на показатель умственного развития IQ).
Достаточно длительное время тесты развивались как инструмент
индивидуальных измерений. Массовый характер тестирования вызвал необходимость
перейти от индивидуальных тестов к групповым. Основные принципы, использованные
при составлении этих тестов, были систематизированы и впоследствии легли в
основу всей методологии групповых тестов:
1. Принцип ограничения во времени.
2. Принцип детализированной инструкции, как в отношении проведения,
так и в отношении подсчёта.
. Введены тесты с выборочным методом формирования ответа с
указанием, подчёркивать наугад в случае незнания или сомнения.
. Подбор тестов после тщательной статистической обработки и
экспериментальной проверки.
С начала XX века
определилось и педагогическое направление в развитии тестологии. Американец
В.А. Макколл разделил тесты на педагогические и психологические - по
определению уровня умственного развития. Основной задачей педагогических
тестов являлось измерение успешности учащихся по тем или иным школьным
дисциплинам за определённый период обучения, а так же успешность применения
определённых методов преподавания и организации. В. Макколл определил цель
использования педагогических тестов - объединение в группы учащихся,
усваивающих равный по объёму материал и усваивающих материал с одинаковой
скоростью. Разработка первого педагогического теста принадлежит американскому
психологу Эдуарду Ли Торндайку. Он считается основоположником педагогических
измерений, ему принадлежат настоящие первые педагогические тесты.
С 1915 года Йеркс создал свою серию тестов, главное отличие которой -
изменение системы подсчёта. Вместо возрастных долей, предложенных А. Бине,
испытуемый получает за каждый правильно решённый тест известное количество
баллов. Это повысило удобство в отношении проведения и подсчёта результата
теста. Количество полученных баллов переводилось по приложенным стандартам в
коэффициент одарённости или успешности. В 1918 году А. Отис опубликовал серию
групповых тестов для школы.
Интеграционные процессы, характеризующие современную цивилизацию, дали
толчок развитию новых направлений педагогического тестирования. Оценка качества
образования приобретает всё большую значимость по мере увеличения количества
стран, осознающих преимущества сопоставления собственных достижений с
международным контекстом. В связи с этим наибольшую актуальность приобретают
международные сравнительные исследования в области школьной успеваемости.
Проведение международных исследований предоставляет странам возможность
всесторонней оценки эффективности функционирования своих образовательных
систем.
Особым путём шло проникновение тестов в Россию. До 1917 года вопросам
тестирования уделялось недостаточное внимание. Фактически своё практическое
значение тесты получили после 1925 года, когда была создана особая тестовая
комиссия. Она существовала при педагогическом отделе института методов школьной
работы. В её задачи входила разработка стандартизированных тестов для советской
школы. Проблемой разработки тестов вплотную занимались видные российские
психологи и педагоги: С.Г. Геллерштейн, П.П. Блонский, А.П. Болтунов, М.С.
Бернштейн, А.М. Шуберт и другие.
Под руководством П.П. Блонского в педагогическом кабинете Академии
коммунистического воспитания осуществлялась проверка шкалы Бине-Симона,
создание школьных тестов и построение собственных стандартов. В Ленинградском
научно-педагогическом институте имени А.И. Герцена и Детском обследовательском
институте им. А.С. Грибоедова разрабатывались тесты на одарённость и тесты
школьной успешности для массовых обследований детей нормальных школ.
Однако положение вскоре кардинально изменилось. Вышедшее в 1936 году
постановление ЦК ВКП(б) «О педологических извращениях в системе Наркомпросов»
негативно сказалось на развитии педологии в целом и тестологии в частности.
Метод тестов был признан буржуазным орудием для дискриминации учащихся и
«изгнан» из советской школы.
В настоящее время в нашей стране появилось несколько центров, в которых
достаточно профессионально занимаются работой с тестовыми методиками. Среди
наиболее активных следует назвать: Центр оценки качества образования Института
общего среднего образования РАО, Центр тестирования выпускников
общеобразовательных учреждений Российской Федерации, Лаборатория аттестационных
технологий Московского института повышения квалификации работников образования
(МИПКРО) и целый ряд других.
Завершая обзор становления и развития метода теста, хочется подчеркнуть
важность и педагогическую ценность этого метода, дающего возможность
статистически точно анализировать процесс получения образования, искоренять
недочёты и видеть дальнейшие перспективы его развития. Критическое отношение к
тестированию, понимание его закономерностей позволит педагогу адекватно использовать
тесты для улучшения педагогического процесса.
Тест - от английского «test»
- опыт, проба.
Тест - это инструмент, состоящий из квалиметрически
выверенной системы тестовых заданий, стандартизированной процедуры проведения и
заранее спроектированной технологии обработки и анализа результатов,
предназначенных для измерения качеств и свойств личности, изменение которых
возможно в процессе систематического обучения (данное определение было дано большой
группой специалистов из различных регионов России в 1997-1998 гг.)
Дидактический тест - система взаимосвязанных заданий для контроля
усвоения знаний, сформированности умений, навыков учащихся по определённому
учебному материалу или практических знаний.
Педагогический тест - система заданий возрастающей трудности, позволяющих
оценить структуру и измерить уровень знаний по определённой учебной дисциплине.
Тестовое задание (тест-задание) - один из составляющих элементов
структуры дидактического теста, включающий в себя краткую инструкцию для
обследуемого, тестовую задачу, эталон ответа (или описание чёткого алгоритма
выполняемых обследуемым действий).
Тест позволяет с заранее обусловленной степенью вероятности определить
актуальный уровень развития у человека необходимых знаний, умений и навыков,
личностных характеристик.
2. Особенности и научные основы метода тестов
Быстрая обработка результатов
Действительно, метод тестов завоевал в последнее время широкую
популярность. Особенно он привлекает организаторов возможностью быстрой
обработки результатов, а это значительно облегчает проверку ответов
обучающихся. Но любой организатор должен знать, что такая экономия оказывается
возможной, главным образом, в результате существенного ограничения на форму
тестовых заданий - используются задания, предполагающие выбор готового ответа.
Это имеет свои минусы. Например, учащийся не может продемонстрировать глубину
своих знаний, или он просто-напросто списал готовый ответ у своего соседа, или
ответил наугад, методом «тыка» и попал в точку. Можно ввести в тест некоторые
задания, предусматривающие подробное решение задачи, примера, требующих
аргументированного ответа, или даже написать свой ход решения, не
предусмотренный авторами теста. Это возможно усложнит проверку, но позволит
более углубленно проверить знания учащихся.
Тест - не универсальное средство
При тестировании нужно отметить верный ответ на бланке (ответном листе),
в компьютерных тестах нажать определённую клавишу, поэтому неправильно говорить
- «писать тест», нужно говорить - «выполнять тест».
В большинстве тестов на проверку знаний даются 4-5 различных ответов на
одно задание. Важное следствие: тесты предъявляют в целом менее высокие
требования к уровню «активности» и «прочности» усвоения знаний. В некоторых
заданиях можно, не зная материала, просто «отгадать» правильный ответ. Хочу
отметить, что учитель, часто использующий в своей практике тестирование, не
должен рассматривать его как универсальное средство контроля знаний. Тесты
нужно использовать в сочетании с другими методическими приёмами,
активизирующими мыслительную деятельность обучающихся.
Я использую тестирование в начале урока, например, когда провожу входной
контроль. На заключительном этапе урока, как выходной контроль.
В тесте много заданий
Если обычный письменный контроль знаний (например, контрольная работа)
содержит максимум 5-7 заданий, то в тесте всегда счёт заданий идёт на десятки.
Тест, в котором меньше 20 заданий, считается слишком неточным, приближённым
(ненадёжным, как выражаются в тестологии). В профессионально составленном
тесте, как правило, не меньше 30 заданий. Благодаря большому количеству
заданий, тест оказывается надёжным инструментом проверки, защищённым от целого
ряда «побочных факторов», неблагоприятно влияющих на объективность. Это - самая
положительная особенность тестов.
С тестологической точки зрения (то есть с точки зрения теории
психолого-педагогических измерений), обыкновенная контрольная работа - это тоже
тест, но только с малым числом заданий и свободными ответами на них. И если
возможность написать и обосновать свой ответ имеет свои преимущества, то малое
число заданий плохо сказывается на объективности. Чем меньше заданий в тесте,
тем выше вес случайности в проверке знаний, тем больше она напоминает лотерею:
повезло с вопросом (попался тот, редкий, который знает слабый ученик) - получай
«5», не повезло (отличнику попался один из немногих, которые он не знает) -
«2». Чем выше фактор лотерейности, тем, конечно же, менее справедливой является
проверка и оценка знаний.
В отличие от традиционных процедур обилие заданий в тестах снижает фактор
«лотерейности». Иными словами, «невезение» с парой-тройкой отдельных заданий не
может особенно повлиять на итоговую оценку учащихся. Чем больше вопросов в
тесте, равномерно отражающих различные темы, тем точнее тестовый балл
характеризует реальный уровень знаний учащихся по этим темам.
3. Достоинства тестов
Метод тестов имеет ряд важных достоинств:
Высокая объективность и защищённость от возможной предвзятости
экзаменатора.
Оперативность - сбор информации в относительно короткие сроки, проверка
знаний за короткий промежуток времени (закрепление материала в конце урока).
Прицельность - получение информации об определённых качествах личности, о
сформированности определённого круга знаний (усвоение новой темы), умений,
навыков.
Практичность - результаты тестирования объективно предопределяют варианты
выбора средств дальнейшего практического воздействия, если это образовательный,
предметный тест, то его результат показывает учителю, какой материал испытуемым
учащимся не усвоен, где предстоит ещё работать.
4. Тесты и оценка знаний
Несомненно, предметный тест должен быть программно валидным, т.е.
отражать обязательные требования к знаниям и умениям учащихся на обязательном
минимуме по данному предмету. В качестве нижней границы успешности выполнения
теста, соответствующей оценке «3» (или «зачёт»), можно принять 70% правильных
ответов из общего количества заданий.
Такой выбор положительной оценки объясняется тем, что, по данным
психологов, до уровня усвоения примерно в 70% от общего объёма знаний и умений учебная
деятельность школьников находится ещё в стадии формирования. В случае её
прекращения на таком уровне в дальнейшем объём знаний и умений со временем
убывает. Если же учащийся овладел более чем 70% объёма знаний и умений, то в
последствие он может успешно пополнять знания, развивать умения и со временем
освоить общественно необходимый минимум знаний и умений полностью.
Оценка «4» может быть использована как показатель полного усвоения
обязательного минимума знаний. Так как при выполнении теста из 20-30 заданий и
вопросов любой человек может сделать 2-3 случайные ошибки, в качестве нижней
границы успешности выполнения можно принять 90% правильных ответов.
Предметный тест повышенного уровня может быть составлен из заданий на
применение знаний в незнакомой ситуации, на творческое использование знаний.
Выполнение такого теста не обязательно для всех школьников, но для получения
оценки «5» учащийся должен выполнять его успешно. Таким образом, оценка «5»
приобретает чёткий смысл: по данному предмету учащийся не только овладел
обязательным минимумом знаний и умений, но и проявил повышенные способности,
обнаружил умения применять полученные знания в нестандартной ситуации.
Чтобы тест повышенного уровня позволял обнаруживать развитие способностей
учащегося решать сложные , неоднозначные проблемы, а на его эрудицию, хорошую
память, все задания должны соответствовать требованиям обязательного минимума
программы, но быть нестандартными, творческими.
5. Применение тестов
Тестирование может быть вводным, перед началом изучения темы. Главная
цель вводного тестирования - выявить имеющиеся знания учащихся и использовать
их для лучшего усвоения новой темы.
Тесты используются и для первичного закрепления знаний при изучении
нового материала.
Немаловажную роль играют тесты, особенно в старших классах, для
самоконтроля и самопроверки учащихся.
Виды тестов
В методической литературе выделяются следующие виды тестовых заданий:
ü закрытой формы;
ü открытой формы;
ü тесты на определение соответствия;
ü тесты на установление правильной последовательности и др.
Хотелось бы отметить целесообразность тестовых заданий в процессе
обработки теоретического материала, поскольку простой фронтальный опрос правил,
свойств и теорем, считаю недостаточно эффективным способом проверки теоретических
знаний учеников. Тесты оживляют процесс обучения, а простота, краткость условий
заданий и однозначность ответа на них не отталкивают учащихся, к тому же
тестовые задания позволяют проверить большой объём изучаемого материала,
экономя время, затрачиваемое на опрос (о чём я говорила выше). По одной и той
же теме в зависимости от поставленной цели можно использовать следующие виды
тестов:
- тест на заполнение пропусков в истинном утверждении направлен на проверку
прочности овладения теорий и понимание смысла изученного на уровне
воспроизведения;
- тест на установление истинности или ложности утверждения
проверяет понимание изученного на продуктивном уровне, т.е. проверяет
готовность учащихся рассуждать, делать выводы;
- тесты на установление соответствия.
Подобные задания вызывают интерес у обучающихся, готовность включаться в
работу с первых минут. Карточки с тестовыми заданиями использую и
непосредственно на уроке для индивидуальной работы с учащимися.
Организация эффективного образовательного процесса невозможна без
входного, текущего и итогового контроля.
В своей работе я использую следующие виды контроля:
1. Входной (он же предварительный, установочный и т.д.) - выявляет
базовый, исходный уровень подготовки учащегося к обучению (по теме, разделу и
т.д.). Проводится обычно до начала обучения.
2. Текущий контроль определяет процессуальный аспект усвоения знаний
и умений, проводится в течение всего учебного процесса в различных формах, при
изучении любой темы.
. Рубежный контроль осуществляется обычно по завершению темы или
самостоятельного раздела курса.
. Итоговый контроль в практике дидактической диагностики
понимается как завершающий полный курс изучения, ступень подготовки, например
на момент завершения учебного курса.
. Практическая часть
Урок-практикум
в 11-м классе по теме: "Решение показательных и логарифмических уравнений
и неравенств"
Цели урока:
. Обобщить и структурировать знания учащихся по данной теме.2. Закрепить
основные методы решения логарифмических и показательных уравнений и неравенств,
предупредить появление типичных ошибок, подготовить к контрольной работе.3.
Предоставить каждому учащемуся возможность проверить свои знания и повысить их
уровень.4. Активизировать работу класса через разнообразные формы работы.5.
Осуществить индивидуальный подход и педагогическую поддержку каждого ребенка
через разноуровневые задания и благоприятную психологическую атмосферу в
классе.
Структура урока (из расчета два урока по 40 мин):
|
№
|
Основные фрагменты урока
|
Время (мин)
|
|
1.
|
Вводная часть
|
4
|
|
2.
|
Устные упражнения
|
11
|
|
3.
|
Самостоятельная работа с
самопроверкой
|
15
|
|
4.
|
Работа по картам
программированного контроля
|
10
|
|
5.
|
Основной практикум
|
38
|
|
6.
|
Подведение итогов урока
|
2
|
урок
1. Сообщение учителем целей, задач и структуры урока, его основных
моментов.
. Фронтальный опрос класса (устные упражнения записаны на доске):
Вычислить:
1. log28
2. lg0,01
. log1/39
. log7 (1/49)
. log16
. logпп
. log3(3 log28)
. log6(3 log24)
. lg(5lg100)2
. log3log3log327
I. Решить уравнения и неравенства:
1. log3x=3
2. log2x>1
. 2x<4
. log3 (x-1)<4
. 3x-1=1/9
. log1/2x>1
. 3x=1/9
. (1/2)x<4
II. Сравнить значения выражения:
1. log215 и log220
2. log0,31,7 и log0,31,9
3. Самостоятельная работа с самопроверкой (ответы записаны на развороте доски
и открываются учителем для проверки самими учащимися через 15 минут).
Возможные критерии оценки:5-нет ошибок;4-допущена 1ошибка; в остальных
случаях работа не оценивается (нерешенные задания предлагается сделать дома).
По желанию учащихся оценки выставляются в журнал.
|
I вариант
|
II вариант
|
III вариант* (повышенный
уровень)
|
|
1.3x=81
2. log1/4 (2x-1)=-1 3.2x>1/4 4.log1/2(2x-1)>-1
5.5x+5x+2=26 6. (1/3)x<81
7.log5(2x+3)> log5(x-1)
|
1.2x=32
2. log1/3 (4x+5)=-1 3.3x>1/27 4.log1/2(2x-1)>-1
5.3x+3x+1=4 6. (1/3)x<1/9
7.log4(5x+1)> log4(3-4x)
|
1.72x-8*7x+7=0
2. log2x+log8x=8 3.(4/5)x>(5/4)3x-4
4.log2(x-3)+log2(x-2) 1 5.2x+3-2x+1=12 6. (0,5)x-2 1/4 7.log1/2(x2+2x-8)
-4
|
. Работа по картам программированного контроля
Учащиеся решают уравнения и неравенства по карточкам, выбирают ответы и
присваивают номер соответствующей колонки, получая, таким образом, трехзначный
шифр (например,1 вариант-231;2 вариант-314). Учитель проверяет задания
индивидуально и сразу сообщает, в каком примере допущена ошибка.
Карта программированного контроля:
|
Вариант
|
Ответы
|
|
I
|
II
|
1
|
2
|
3
|
4
|
|
Реши уравнение
1.4-1*2x=8
|
Реши уравнение
1.9-1*3x=81
|
4
|
5
|
6
|
2
|
|
Реши неравенство 2. log2(x-5)
) 2 3. (1/5)x<25
|
Реши неравенство 2. log3(7-x)>1
3. (1/3)x<25
|
(- ;4) (-2; )
|
(- ;9) (- ;2)
|
(5;9] (2; )
|
(7; ) (- ;-2)
|
|
Вариант
|
Ответы
|
|
III
|
IV
|
1
|
2
|
3
|
4
|
|
Реши уравнение
1.0,8 2x-3=1
|
Реши уравнение
1.27-3x=0,5x-4
|
2
|
5,5
|
4
|
1,5
|
|
Реши неравенство 2. log1/2(2x+1)
>-2 3. 22x-9<1
|
Реши неравенство 2. log1/2(3x-5)
<-3 3. 54x-7>1
|
(- ;13/3) (- ;7/4)
|
(-1/2;3/2) (4,5; )
|
(13/3; ) (- ;4,5)
|
(- ;-1/2) (7/4;8)
|
|
Вариант
(повышенный уровень)
|
Ответы
|
|
VI
|
VII
|
1
|
2
|
3
|
4
|
|
Реши уравнения 1. lg2x-lgx=0
2. 9x-2*3x=63
|
Реши уравнение 1. lg2x+lgx=0
2.4x-3*2x=40
|
2
|
5,5
|
4
|
1,5
|
|
Реши неравенство 2. log0,3(2x+5)
-2 3. 22x-9<1
|
Реши неравенство 2. log1/2(3x-5)
<-3 3. 54x-7>1
|
(- ;13/3) (- ;7/4)
|
(-1/2;3/2) (4,5; )
|
(13/3; ) (- ;4,5)
|
(- ;-1/2) (7/4; )
|
урок
. Практикум
На доске записана следующая таблица:
На каждую парту выдается карточка, которая содержит 10 примеров по
нарастающей степени сложности. Учащиеся нумеруют листки бумаги (от 1 до 10) и
записывают свою фамилию на каждом.
|
№
|
Ф.И. уч-ся
|
1
|
2
|
3
|
4
|
5
|
6
|
7*
|
8*
|
9**
|
10**
|
оценка
|
|
1.
|
Антонова А.
|
+
|
+
|
+
|
+
|
+
|
+
|
+
|
+
|
+
|
- +
|
5
|
|
2.
|
Зникин И.
|
+
|
+
|
-+
|
+
|
--
|
-
|
---
|
|
|
|
3
|
|
3.
|
Клячкин Р.
|
+
|
+
|
+
|
+
|
+
|
+
|
- +
|
-
|
-
|
-
|
4
|
|
…
|
…
|
|
|
|
|
|
|
|
|
|
|
|
На столе перед доской разложены таблички с №1-№10. Как только ученик
решит пример, он несет своё решение и оставляет около таблички с соответствующим
№. Затем возвращается на свое место и приступает к решению следующего примера и
т.д. Если пример решен неверно, то у ученика есть возможность решать его до тех
пор, пока не получится верный ответ. В это время учитель проверяет поступившие
листки с решениями, и результаты сразу отмечает в таблице на доске:
+ пример решен верно;
пример решен неверно;
+ пример перерешен.
Карточка для практикума:
1. log1/5(3x-5)> log1/5(x+1)
2. 16x-17*4x+16=0
. log3(x3-x)-log3x=log33
. (1/3)x-1
1/9
. 2log3x* 5log3x=400
6. log2(x-1/x+4)+
log(x-1)(x+4)=2
7. *.1/(5-lgx)+2/(1+lgx)<1
. * 5x-2=42x-4
9. ** log1-x(3-x)=log3-x(1-x)
10. **. log1/ v5 (6x+1-36x) >-2
. Подведение итогов урока
Учитель
анализирует весь ход урока и его основные моменты, сообщает результаты
практикума, оценивает деятельность каждого ученика на уроке. Дает домашнее
задание для подготовки к итоговой контрольной работе.
Урок-зачет
"Решение квадратных уравнений". (8 класс)
Цель: Проверка знаний, основных умений и навыков обучающихся по теме
“Квадратные уравнения”.
Форма урока. Урок - зачет с использованием рейтинговой системы контроля
знаний.
Зачет проводится на двух уроках в конце изученной темы.
В начале зачетного урока учащиеся получают зачетные листы, в которых
выставляют баллы, полученные за каждый этап урока.
В конце зачета учащиеся подсчитывают сумму набранных баллов и выставляют
оценку и место, которое заняли по данной теме.этап - устная работа.
За каждый верный ответ 1 балл.
· Какие виды квадратных уравнений вы знаете?
· Дайте определение полного квадратного уравнения.
· Какое квадратное уравнение называется приведенным?
· Какое квадратное уравнение называется неполным?
· Назовите виды неполных квадратных уравнений.
· Какие способы решения квадратных уравнений вы знаете?
· От чего зависит наличие действительных корней квадратного
уравнения?
· Сколько корней может иметь квадратное уравнение?
· Как вычислить дискриминант?
· Назовите формулу корней квадратного уравнения?
· Назовите формулу корней квадратного уравнения, в котором
второй коэффициент является четным числом?
· Как можно решить квадратное уравнение, применив свойства
коэффициентов?
· Сформулируйте теорему Виета?
· Сформулируйте теорему обратную теореме Виета?
· Как называются числа а, b, c?
· Назовите вид квадратного уравнения и его коэффициенты.
Решить (устно) квадратное уравнение. Каждый ученик устно решает одно из
уравнений. Работа по принципу “цепочки”. За верно решенное уравнение 3 балла.
диагностический тестовый задача математика
II этап - тестовый контроль
Тест №2 (тест альтернативных ответов)
За каждый верный ответ 1 балл. Если утверждение истинно, ставят цифру 1,
если ложно - 0.
Тест №3 (тест соответствия). Указать букву, под которой указано решение
уравнения.
За каждый верный ответ 2 балла.
III этап - практикум по решению квадратных уравнений .
Задание 1
Учащиеся сами выбирают уравнение любого уровня. За уравнение уровня В
получают еще дополнительно 2 балла ,за уровень С - 3 балла.
Задание 2. Решить уравнения и заменить найденные корни соответствующей
буквой из таблицы.
IV этап - Подведение итогов
Зачетный лист ученика 8 класса, Ф.И.
|
Работа
|
Максимальное количество
баллов
|
Количество набранных баллов
|
Оценка
|
|
Устная работа
|
0т2 баллов
|
|
|
|
Тест №1
|
10 баллов
|
|
|
|
Тест №2
|
7 баллов
|
|
|
|
Тест №3
|
10 баллов
|
|
|
|
Задание 1
|
|
|
|
Задание 2 Карточка 1
|
11 баллов
|
|
|
|
Карточка 2
|
14 баллов
|
|
|
|
Карточка 3
|
8 баллов
|
|
|
|
Карточка 4
|
6 баллов
|
|
|
За зачет каждый ученик получает две оценки.
За 1 и 2 этап от 27 до 30 баллов оценка “5”
От 20 до 26 баллов оценка “4”
От 13 до 19 баллов оценка “3”
За 3 этап от 50 до 56 баллов оценка “5”
От 35 до 49 баллов оценка “4”
Обобщающий
урок-зачет "Корень п-й степени. Степень с рациональным показателем и его
свойства" (9 класс)
Цели:
o Восстановить, обобщить и закрепить знания учащихся по
указанной теме;
o Развивать мыслительные способности учащихся, их речевую
культуру, умения применять теоретические знания к решению задач; работать над
четкостью и лаконичностью ответов;
o Воспитывать у учащихся внимательность, сосредоточенность,
настойчивость, уверенность в своих знаниях.
В результате изучения темы учащиеся должны знать:
o Определение корня n-й степени и арифметического корня n-й
степени;
o Основные свойства корня n-й степени;
o Понятие о степени с дробным показателем.
уметь:
o Применять основные свойства корня n-й степени;
o Выполнять простейшие преобразования и вычисления выражений,
содержащих корни;
o Применять основные свойства степени с рациональным
показателем;
o Выполнять простейшие преобразования выражений, содержащих
степени с дробным показателем.
План урока:
1. Математическая разминка
а) устная работа по теме “Корень n-й степени”; приложение №1б)
графический диктант по теме (самопроверка); приложение №2в) устная работа по
теме “степень с рациональным показателем”; приложение №3г) тестированное
задание по теме; (взаимопроверка); приложение №4
2. Дифференцированные контрольные задания (контроль учителя)
Вариант 1-слабый, Вариант 2-средний, Вариант 3-сильный; (Приложение 5)
Подготовка к уроку:
. Заранее готовятся каждым учащимся три карточки разного цвета, на
которых выставлены отметки за каждый вид работы, выполнены графический диктант
и тестовые задания; (приложение 6)
. Печатаются на альбомных листах:
а) текст графического диктанта;
б) рисунок-ответ на вопросы диктанта; (приложение 7)
в) результаты теста; (приложение 8)
Комментарий к уроку:
Тексты устных заданий, задания текста, дифференцированные контрольные
задания заранее пишутся на доске цветными мелками.
После выполнения графического диктанта учащиеся сами проверяют задания, в
итоговую карточку выставляют оценку.
Выполнив тестированное задание, учащиеся, сидящие рядом, меняются
тетрадями и выполняют работу своего товарища, затем выставляют друг другу
оценку в итоговую карточку.
Контрольное задание проверяет учитель, выставляет каждому ученику в
итоговую карточку отметку и подводит итог за всю выполненную работу.
Урок - зачет рассчитан на два урока, на первом идет повторение по каждой
теме, на втором выполняется контрольная работа. За работу на уроке - зачете
можно выставить три отметки (за каждый вид работы), можно одну итоговую.
Выводы
После многих лет работы над этой проблемой, изучения литературы,
результатов ЕГЭ, я пришла к выводу, что ЕГЭ решает круг важных задач в системе
образования. Анализ результатов ЕГЭ по математике показал, что отводимое на
выполнение заданий единого государственного экзамена время невелико. Ученик
должен привыкнуть к жёсткому постоянному контролю времени, уметь в течение
всего экзамена плодотворно работать, умело распределять время и силы. Выдержать
такой график может тот, кто приучен заниматься математикой подряд 3-4 урока,
выполнять на уроках и во время домашних заданий большой объём работы.
Большинство обучающихся сдают работы уже через час-полтора после начала экзамена.
Отсутствие привычки напряжённо трудиться продолжительное время - одна из причин
низкого качества написания ЕГЭ. Поэтому учителям математики необходимо
проводить тематические, итоговые, полугодовые и годовые контрольные работы в
форме тестирования с большим количеством разнообразных по содержанию и уровню
сложности заданий, близких по структуре заданиям ЕГЭ и ГИА, рассчитанные на 3-4
часа. На любых этапах урока необходимо использовать тесты, приучать детей к
современной форме контроля знаний.
Использование тестов на уроках математики дает возможность осуществлять
реальную индивидуализацию и дифференциацию обучения; вносить своевременную
коррекционную работу в процесс преподавания; достоверно оценивать и управлять
качеством обучения. Использование этой технологии позволяет проводить
коррекционную работу прямо на уроке или задавать дополнительные задания
учащимся по вопросам, с которыми они не справились при написании теста.
В классах, где использовалась данная технология, качество обучения
повысилась.
Использованная литература
1. Аванесов
В.С. Основы научной организации педагогического контроля в высшей школе. - М.,
1989.
2. Кабардин
О.Ф., Земляков А.Н. Тестирование знаний и умений учащихся //Советская
педагогика. 1991, №12 - с.28-30
. Корешкова
Т.А. и др. Математика: ЕГЭ // Методическое пособие. М., 2006.
. Майоров
А.Н. Теория и практика создания тестов для системы образования. М: Народное
образование, 2000.
. Михайлычев
Е.А. Дидактическая тестология. М: Народное образование, 2001.
. Ресурсы
Интернет.
Приложение 1
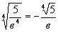
1. Доказать, что



2. Имеют ли смысл выражения?



3. Вычислить:






4. Решить уравнение:
х4 - 16 = 0; х2 + 1 = 0;
Х3 = -7; х6 = 17
5. Упростить выражения:



6. Вынести множитель из-под знака корня:



7. Внести знак множителя под знак корня:


. Найти значение выражения:


*
;
*
;
Приложение 2
Если “да” 
, если “нет”
.
1. Имеет ли смысл выражение?

2. Верно, ли что:
(
)3 = 15 (-
)6 = -15
3. “Я считаю, что эти уравнения имеют корни”:
х5 = -32; х = -2; х9 = 8; х =
,
“Согласны ли вы со мной?”
4. Есть ли здесь ошибка?


(в<0)
5. Верно ли выполнены преобразования?
=
;
=
Приложение 3
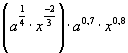
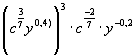
1. Представить степень с дробным показателем в виде корня:

а0,5; у-1,5;
;
; (3х)0,5
2. Представить арифметический корень в виде степени с дробным
показателем:


; 







. Вычислить:

;
0,00810,5.
. Сравнить:
и 
и 
и 
и 60,4
. Выполнить действия:




Приложение 4
Приложение 5
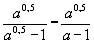
Вариант 1:
1. Сократить дробь:
2. Найти значение выражения:
. Упростить выражение:
. Упростить выражение и найти его значение при а = 3:
Вариант 2:
1. Сократить дробь:
2. Найти значение выражения:
3. Упростить выражение:
3. Упростить выражение и найти его значение при в =
Вариант 3:
. Сократить дробь:
. Найти значение выражения:
. Упростить выражение:
. Упростить выражение и найти его значение при n =
:
Дополнительно: упростить выражение:
Приложение 6:
Итоговая карточка:
|
№ п/п
|
Фамилия учащегося
|
Оценка
|
|
1
|
Графический диктант
|
|
|
2
|
Тест
|
|
|
3
|
Контрольное задание
|
|
|
4
|
Итог
|
|
Карточка для теста:
Приложение 7
Приложение 8
Вариант 1
|
а
|
б
|
в
|
|
1
|
х
|
|
|
|
2
|
|
|
х
|
|
3
|
|
х
|
|
|
4
|
х
|
|
|
|
5
|
|
|
х
|