Краткосрочное и долгосрочное страхование жизни
МИНИСТЕРСТВО
ОБРАЗОВАНИЯ РЕСПУБЛИКИ БЕЛАРУСЬ
Учреждение
образования
"Гомельский
государственный университет
Имени
Франциска Скорины"
Математический
факультет
Кафедра
экономической кибернетики и теории вероятностей
Краткосрочное
и долгосрочное страхование жизни
Дипломная
работа
Исполнитель
студент
группы ЭК-51 Нестеров О.В.
Научный
руководитель
к.ф.-м.н,
доцент кафедры ЭК и ТВ Якубович О.В.
Гомель
2013
Содержание
Введение
. Основные теоретические сведения по
страхованию жизни
1.1
Нетто-премия
.2
Принципы назначение страховых премий
.3
Основные виды долгосрочного страхования жизни
.4
Актуарная современная стоимость обязательств
.
Примеры расчетов страховых схем
.1
Вычисление премий достаточных для неразорения компании с заданной вероятностью
для разных возрастных групп договоров краткосрочного страхования жизни
.2
Вычисление премий достаточных для неразорения компании с заданной вероятностью
для разных возрастных групп договоров долгосрочного страхования жизни
.3
Вычисление премий достаточных для неразорения компании с заданной вероятностью
для групп договоров смешанного страхования жизни
.4
Вычисление премий с помощью созданной программы
.5
Нахождение общей премии с помощью созданной программы
Заключение
Список
использованных источников
Приложение
А
Введение
Все виды человеческой деятельности и вся жизнь в
обществе сопряжена с риском потерять жизнь, здоровье и имущество, вследствие
изменения рыночной конъюнктуры могут не оправдаться расчеты прибыли. Причем
время и масштабы подобных событий заранее не могут быть оценены. Они
определяются широким набором случайных факторов.
Наличие непредвиденных обстоятельств,
сопровождающих хозяйственную и бытовую деятельность человека, определяет
необходимость в мерах предупреждения или возмещения потерь, возникающих в
результате случайных событий. Разработка, внедрение в практику и повседневное
применение системы подобных мер становятся частью человеческого быта и
культуры.
Страхование - это такой вид необходимой
общественно полезной деятельности, при которой граждане и организации заранее
страхуют себя от неблагоприятных последствий в сфере их материальных и личных
нематериальных благ путем внесения денежных взносов в особый фонд
специализированной организации (страховщика), оказывающей страховые услуги, а эта
организация при наступлении указанных последствий выплачивает за счет средств
этого фонда страхователю или иному лицу обусловленную сумму.
В условиях перехода к рыночным отношениям
страхование становится объективно необходимым элементом всего хозяйственного
механизма. Сфера его применения значительно расширяется, охватывая все формы
собственности, семейные отношения, привлекая широкий круг новых
заинтересованных страхователей.
Страховой рынок предполагает функционирование
различных страховых организаций, конкурирующих между собой и выступающих в
различных организационно-правовых формах: акционерные компании, государственные
и смешанные страховые организации, хозяйственные товарищества, общества
взаимного страхования, совместные предприятия, страховые посредники.
Для того чтобы граждане имели возможность сверх
или помимо выплат и льгот по специальному страхованию удовлетворять свои
социальные потребности, широко проводится личное страхование, страховые взносы
по которому уплачиваются за счет семейных доходов.
Личное страхование представляет собой механизм
защиты от рисков, связанных с общественным производством, стихийными
бедствиями, утраты здоровья и других жизненных обстоятельств, требующих
значительных финансовых средств, которые у конкретного человека могут
отсутствовать.
По личному страхованию оказывается денежная
помощь гражданам и их семьям, позволяющая полностью или частично преодолеть
потери в доходах в связи с утратой здоровья застрахованным лицам или
наступлением смерти члена семьи.
Страхование жизни - подотрасль личного
страхования, включающая в себя совокупность видов страхования, по условиям
которых страховщик выплачивает застрахованному лицу или его правопреемнику
определенную денежную сумму при дожитии застрахованного до определенного
возраста, события или даты, либо в случае его смерти.
К страхованию жизни относятся такие виды:
страхование на дожитие; страхование на случай смерти; страхование жизни
рисковое (например, на случай смерти и утраты трудоспособности);
1. Основные теоретические сведения
по страхованию жизни
В актуарной математике модели страхования жизни
условно делят на две большие группы в зависимости от того, принимается или нет
в расчет доход от инвестирования собранных премий. Если нет, то мы говорим о
краткосрочном страховании; обычно в качестве такого "короткого"
интервала мы будем рассматривать интервал в 1 год. Если же да, то мы говорим о
долгосрочном страховании. Конечно, это деление условное и, кроме того,
долгосрочное страхование связано с рядом других обстоятельств, например,
андеррайтингом.
Простейший вид страхования жизни заключается в
следующем. Страхователь платит страховой компании р руб. (эта сумма
называется страховой премией); страхователем может быть сам застрахованный или
другое лицо (например, его работодатель). В свою очередь страховая компания
обязуется выплатить лицу, в пользу которого заключен договор, страховую сумму (b
руб.) в случае смерти застрахованного в течение года по причинам, перечисленным
в договоре (и не платит ничего, если он не умрет в течение года или умрет по
причине, которая не покрывается договором).
Страховая сумма часто принимается равной 1 или
1000. Это означает, что премия выражается как доля от страховой суммы или на
1000 страховой суммы соответственно.
1.1 Нетто-премия
Величина страховой выплаты, конечно, много
больше, чем страховая премия, и нахождение "правильного" соотношения
между ними - одна из важнейших задач актуарной математики.
Вопрос о том, какую плату страховая компания
должна назначать за то, что принимает на себя тот или иной риск, крайне сложен.
При его решении учитывается большое число разнородных факторов: вероятность
наступления страхового случая, его ожидаемая величина и возможные флуктуации,
связь с другими рисками, которые уже приняты компанией, организационные расходы
компании на ведение дела, соотношение между спросом и предложением по данному
виду рисков на рынке страховых услуг и т. д. Однако основным обычно является
принцип эквивалентности финансовых обязательств страховой компании и
застрахованного.
В рассмотренной выше простейшей схеме
страхования, когда плата за страховку полностью вносится в момент заключения
договора, обязательство застрахованного выражается в уплате премии р.
Обязательство компании заключается в выплате страховой суммы, если наступит
страховой случай. Таким образом, денежный эквивалент обязательств страховщика, X,
является случайной величиной:
X = 
В простейшей форме принцип
эквивалентности обязательств выражается равенством
р = ЕХ,
т. е. в качестве платы за страховку
назначается ожидаемая величина убытка. Эта премия называется нетто-премией.
1.2 Принципы назначения страховых
премий
Пусть капитал U компании складывается из
полученных от клиентов премий.
Если соблюдать принцип эквивалентности,
суммарная величина премий определенных как нетто-премия по формуле р = ЕХ,
и составит капитал компании поскольку

(1.1)
Пусть сначала премия по каждому договору
нетто-премией, т.е.

.
тогда капитал

.
В этом случае справедливо равенство:
В этом случае R≈1/2.
Это очень большая вероятность
разорения. Дело здесь в том, что несмотря на одинаковые траты клиента и
компании, клиент ничем не рискует, а компания при этом может не справиться с
выплатой страховки. Поэтому страховая премия всегда включает надбавку 
к нетто-премии 
i , именно

(1.2)
Определив через

(1.3)

. (1.4)
В этом случае вероятность разорения

(1.5)
Отсюда следует, что 
, или

. (1.6)
Эта формула дает суммарную величину
надбавки, обеспечивающую заданную величину Q=1−R неразорения компании.
Величину 
теперь необходимо разделить по
договорам. Например, можно положить

, (1.7)
т.е. надбавку считать пропорциональной
убытку. Тогда из (1.3) и (1.7) следует, что

.
Поэтому , в силу (1.6) получаем

. (1.8)
Можно величину 
определить как

(1.9)
т.е. надбавку считать
пропорциональной дисперсии, или

(1.10)
В первом случае:

, (1.11)
Во втором:

. (1.12)
До сих пор мы нигде не учитывали
фактор времени. Рассматриваемые выше договора страхования мы будем называть
краткосрочными.
При учете фактора времени приходится
учитывать, во-первых, изменение стоимости денег с течением времени, а
во-вторых, то обстоятельство, что сам страховой случай тоже может зависеть от
времени. Перед тем, как заняться долгосрочным страхованием, мы рассмотрим
некоторые вопросы, связанные с теорией процентных ставок.
1.3 Основные виды долгосрочного
страхования
Пожизненное страхование
При этом виде страхования
фиксированная страховая сумма выплачивается в момент смерти. Поскольку человек
рано или поздно умрет, страховая компания совершенно точно выплатит страховую
сумму (если только причина смерти не покрывается условиями договора, например,
если смерть наступила в результате противоправных действий застрахованного).
Если плата за это покрытие полностью
вносится в момент заключения договора, то речь идет о довольно большой сумме,
соизмеримой со страховой суммой. Поэтому обычно премии выплачиваются
периодически в течение всей жизни или вплоть до достижения застрахованным
определенного возраста (скажем, пенсионного, когда его доходы резко снижаются).
Денежные потоки, связанные с
пожизненным страхованием такого рода, условно изображены на рис. 1.1
Рис. 1.1
N-летнее временное
страхование жизни
При этом виде страхования выплата
фиксированной страховой суммы производится в момент смерти, если застрахованный
умер в течение срока действия договора, т. е. на протяжении n лет с
момента заключения договора. Если же застрахованный прожил эти n лет, то
компания не платит ничего.
В типичных случаях вероятность
смерти застрахованного в течение срока действия договора мала, так что премия
по этому виду страхования относительно невелика. Поэтому временное страхование
часто используют в случаях, когда требуется покрытие на большую сумму.
Страхование с переменной
страховой выплатой
В рассмотренных выше примерах
величина страховой выплаты была фиксирована и не зависела от момента выплаты.
Существуют многочисленные виды
страхования, когда страховое возмещение может меняться. В качестве примера
можно привести пожизненное страхование с непрерывно увеличивающимся страховым
возмещением (continuously increasing whole life insurance).
При этом виде страхования компания
выплачивает в момент смерти сумму, равную Тx (мы
считаем, что денежные суммы измеряются у нас некоторой условной единицей).
Страхование с уменьшающейся страховой выплатой возникает в кредитном
страховании жизни.
Пожизненное страхование,
отсроченное на m лет
При этом виде страхования выплата
фиксированной страховой суммы производится в момент смерти застрахованного, но
только если она произошла по истечении m-летнего срока с момента заключения
договора. Если застрахованный умрет раньше, чем через т лет после заключения
договора, страховое возмещение не выплачивается вовсе. По аналогии с
пожизненным страхованием, отсроченным на т лет, можно ввести и другие виды
отсроченного страхования, обобщающие ранее введенные виды обычного страхования.
Дискретные договоры
Во всех описанных выше примерах
страховое возмещение (benefit) выплачивается в виде одиночной суммы (lump sum)
в момент смерти застрахованного (конечно, в реальности как выгодоприобретателю,
так и компании требуется определенное время для подготовки документов) - такие
виды страхования часто называют непрерывными. Однако возможны выплаты и в
другие моменты времени. Наиболее важен (с теоретической точки зрения) случай,
когда выплата производится не в момент смерти, а в следующий за ним день
рождения застрахованного - такие виды страхования часто называют дискретными.
Если считать (как это обычно делается при актуарных расчетах), что возраст
застрахованного в момент заключения договора - целое число, то дискретные
договоры можно описать как договоры с выплатой страховой суммы в очередную,
после момента смерти, годовщину заключения договора. Например, при пожизненном
страховании с выплатой страховой суммы в конце года смерти страховое возмещение
выплачивается в момомент
где 
- округленное время жизни.
Для каждого из рассмотренных ранее
непрерывных видов страхования существует дискретный аналог с выплатой страховой
суммы в конце года смерти.
В пенсионных схемах центральную роль
играют договора другого типа, когда выплата страховой суммы производится не в
случае смерти, а в случае дожития до определенного момента. В качестве примеров
можно привести
N-летнее чисто накопительное
страхование
При этом виде страхования выплата
страховой суммы фиксированной величины производится в момент n, если
застрахованный дожил до этого момента.
В случае смерти застрахованного до
момента n страховая
сумма не выплачивается (однако обычно такое покрытие предусматривает возврат всех
внесенных премий в случае смерти застрахованного до истечения срока действия
договора).
N-летнее смешанное
страхование
При этом виде страхования выплата
фиксированной страховой суммы производится на следующих условиях. Если смерть
застрахованного наступит до истечения срока действия договора, то страховая
сумма выплачивается в момент смерти.
Если же застрахованный дожил до
окончания срока действия договора, то страховая сумма выплачивается в момент п
окончания срока действия договора.
Нетрудно понять, что этот вид
страхования выполняет функции как собственно страхования (т.е. обеспечивает
доход семье застрахованного в случае его смерти), так и накопления средств
(т.е. обеспечивает самого застрахованного). Иногда при смешанном страховании
страховые суммы, выплачиваемые в случае смерти и в случае дожития, различаются.
1.4 Актуарная современная стоимость
обязательств
С математической точки зрения
долгосрочное страхование (long-term insurance)
характеризуется тем, что при расчетах принимается во внимание изменение
ценности денег с течением времени. Поэтому теория долгосрочного страхования
существенно опирается на теорию сложных процентов.
В частности, сопоставляя
обязательства страхователя и страховщика, мы должны приводить их к одному
моменту времени.
Скажем, для того, чтобы
сформулировать принцип эквивалентности обязательств в момент заключения
договора, мы должны привести обязательства страхователя и страховщика именно к
этому моменту. Их средние значения называются актуарными современными
стоимостями обязательств.
Ниже мы будем предполагать, что
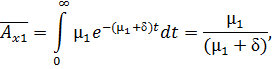
интенсивность процентов 5 не меняется с течением времени; i = еδ - 1 будет
обозначать эффективную годовую процентную ставку, v = 1/(1 + i) -
коэффициент дисконтирования и т. д.
Кроме того, поскольку величина
страховой суммы, как правило, фиксирована, в актуарных расчетах мы будем
принимать ее в качестве единицы измерения денежных сумм.
Величина обязательств страховой
компании по договорам страхования жизни с разовой выплатой единичной страховой
суммы, приведенная на момент заключения договора, обозначается буквой Z с
дополнительными индексами, описывающими структуру покрытия. Во всех случаях
возраст застрахованного на момент заключения договора указывается в виде
индекса внизу слева.
Если страховая сумма выплачивается в
момент смерти ("непрерывный" договор), то сверху ставится черта;
отсутствие верхней черты означает, что договор -"дискретный", т. е.
страховое возмещение выплачивается в конце года смерти.
Срок действия договора указывается
через двоеточие после возраста застрахованного и обрамлен прямым углом (сверху
и справа).
Математическое ожидание приведенной
стоимости обязательств называется их актуарной современной стоимостью и
обозначается бук- буквой Л с теми же индексами, что и переменная Z.
Например, для пожизненного
страхования
Для временного страхования
Для смешанного страхования
Для отложенного страхования
2. Примеры расчетов страховых схем
Пусть портфель страховой компании
состоит из N договоров
краткосрочного страхования жизни. Договора краткосрочного страхования жизни
делятся на m групп с
различным вероятностями смерти, которые зависят от возраста застрахованных:

1 договоров
для людей в возрасте от x1 до x2 лет, 
2 договоров
для людей в возрасте от x2 до x3 лет, …, 
m договоров в
возрасте от xm до xm+1 лет.
Для i-ой группы
людей в возрасте от xi до xi+1 лет
вероятность смерти от естественных причин равна 
, а от несчастного случая 
, где i принимает
значения от 1 до m.
В случае смерти человека от
несчастного случая страховая компания выплачивает сумму равную 
рублей , а в случае смерти от
естественных причин сумму равную S2 рублей.
Необходимо определить премии для
всех групп договоров краткосрочного страхования сроком на 1 год, которые
гарантировали бы заданную вероятность q выполнения
компанией всех своих обязательств.
Найдем премии для краткосрочного
страхования жизни для каждой группы договоров.
Индивидуальный убыток по каждому
договору i-ой группы
равен ξi, где ξi - случайная
величина, которая принимает три значения:

с вероятностью (1-
-
),

с вероятностью (
),

с вероятностью (
),
где i=1,…,m.
Суммарная выплата по портфелю есть
случайная величина S:
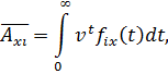
Среднее значения и дисперсии величин
индивидуальных убытков есть

,

,
…

,
…
Среднее значение и дисперсия
суммарных выплат по всему портфелю равны:
Предположим, что суммарная премия
равна 
. Используя гауссовское приближение
для центрированной и нормированной величины суммарных выплат, мы можем
представить вероятность неразорения компании в следующем виде:
Для того, что бы вероятность
неразорения была равна Q, величина 
должна быть равной (1-q)-процентной
точке стандартного нормального распределения x(1-Q)%, т.е. суммарная
премия должна быть равна
где 
- суммарная нетто-премия, а 
- защитная надбавка, обозначим ее 
:

= 
Пусть 
1, 
2 ,…,
m - защитные
надбавки для договоров из каждой группы. Тогда
Рассмотрим три случая выбора
защитной надбавки:
) Защитная надбавка для
индивидуального договора берется пропорциональной нетто-премии;
) Защитная надбавка для
индивидуального договора берется пропорциональной дисперсии выплат по договору;
) Защитная надбавка для индивидуального
договора берется пропорциональной среднему квадратическому отклонению выплат по
договору.
) Относительная страховая надбавка 
одна и та же для всех договоров и
равна
а индивидуальные защитные надбавки
пропорциональны нетто-премиям:

1=
1, 
2=
2 , … , 
m=
m.
Поэтому премии для договоров из
каждой группы будут равны:



.
) Если добавочная
сумма L делится
пропорционально дисперсиям, коэффициент пропорциональности
тогда для договоров из каждой группы
страховые надбавки равны

= k 
,

= k 
,
…

= k 
,
а премии равны
…
3) Если добавочная сумма L делится
пропорционально средним квадратическим отклонениям, коэффициент
пропорциональности
тогда для договоров из каждой группы
страховые надбавки равны

= k 
,

= k 
,

= k 
а премии равны
…
2.2 Вычисление премий достаточных
для неразорения компании с заданной вероятностью для разных возрастных групп
договоров долгосрочного страхования жизни
Пусть портфель страховой компании
состоит из N договоров
долгосрочного страхования жизни. Договора долгосрочного страхования жизни
делятся на r групп с
различными вероятностями смерти, которые зависят от возраста застрахованных:

1 договоров
для людей в возрасте от x1 до x2 лет, 
2 договоров
для людей в возрасте от x2 до x3 лет, …, 
r договоров в
возрасте от xr до xr+1 лет.
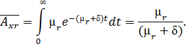
Предположим, что остаточное время
жизни каждого застрахованного из i-ой группы договоров характеризуется
неизменяемой с течением времени интенсивностью смертности µi, где i может
принимать значения от 1 до r, а интенсивность процентов есть
единая для всех групп величина δ.
В случае смерти человека страховая
компания выплачивает сумму равную 
рублей.
Найдем премии для всех групп
договоров долгосрочного страхования жизни, которые гарантировали бы заданную вероятность
q выполнения
компанией всех своих обязательств.
Найдем премии для всех возрастных
групп долгосрочного страхования жизни.
Примем страховую сумму в качестве
единицы измерения денежных сумм.
Подсчитаем вначале нетто-премию:
где 
плотность остаточного времени жизни.
Поскольку интенсивность смертности известна, мы можем найти функцию выживания:
что, в свою очередь, дает следующую
формулу для 
где i может
принимать значения от 1 до r.
Теперь мы можем подсчитать среднее
значение величин индивидуальных убытков для каждой группы договоров
долгосрочного страхования жизни:
Второй момент современной величины
выплат по индивидуальному договору может быть получен по следующей формуле:
тогда дисперсия величин
индивидуальных убытком по всем группам договоров:
Среднее значение и дисперсия
суммарных выплат по всему портфелю равны:
Предположим, что суммарная премия
равна 
. Используя гауссовское приближение
для центрированной и нормированной величины суммарных выплат, мы можем
представить вероятность неразорения компании в следующем виде:
Для того, что бы вероятность
неразорения была равна q, величина 
должна быть равной (1-q)-процентной
точке стандартного нормального распределения x(1-Q)%, т.е.
суммарная премия должна быть равна
где 
- суммарная нетто-премия, а 
- защитная надбавка, обозначим ее 
:

= 
Пусть 
1, 
2 ,…,
r - защитные
надбавки для договоров из каждой группы. Тогда
Рассмотрим три случая выбора
защитной надбавки:
) Защитная надбавка для
индивидуального договора берется пропорциональной нетто-премии;
) Защитная надбавка для
индивидуального договора берется пропорциональной дисперсии выплат по договору;
) Защитная надбавка для индивидуального
договора берется пропорциональной среднему квадратическому отклонению выплат по
договору.
) Относительная страховая надбавка 
одна и та же для всех договоров и
равна
а индивидуальные защитные надбавки
пропорциональны нетто-премиям:

1=
, 
2=
, … , 
r=
,
т.е. относительная страховая
надбавка 
одна и та же для всех договоров и
равна
Поэтому премии для договоров из
каждой группы будут равны:



.
) Если добавочная
сумма L делится
пропорционально дисперсиям, коэффициент пропорциональности
тогда для договоров из каждой группы
страховые надбавки равны

= k 
,

= k 
,
…

= k 
,
а премии равны
…
3) Если добавочная сумма L делится
пропорционально средним квадратическим отклонениям, коэффициент
пропорциональности
тогда для договоров из каждой группы
страховые надбавки равны

= k 
,

= k 
а премии равны
…
2.3 Вычисление премий достаточных
для неразорения компании с заданной вероятностью для групп договоров смешанного
страхования жизни
страховой премия договор актуарный
Пусть портфель страховой компании
состоит из 
договоров
страхования жизни, среди которых 
1 договоров
краткосрочного страхования и 
2 договоров
долгосрочного страхования жизни. Договора краткосрочного страхования делятся на
m возрастных
групп: 
11, 
12, … , 
1m, а договора
долгосрочного страхования жизни делятся на r групп
определенного возраста: 
21, 
22, … , 
2r.
Среди договоров краткосрочного
страхования жизни 
11 договоров
для людей в возрасте от x1 до x2 лет, 
12 договоров
для людей в возрасте от x2 до x3 лет, …, 
1m договоров
для людей в возрасте от xm до xm+1 лет. Среди
договоров долгосрочного страхования 
21 договоров
для людей в возрасте от от x1 до x2 лет, … , 
2r договоров в
возрасте от xr до xr+1 лет.
Для краткосрочного страхования жизни
договоров i-ой группы
людей в возрасте от xi до xi+1 лет
вероятность смерти от естественных причин равна 
, а от несчастного случая 
, где i принимает
значения от 1 до m. Для договоров долгосрочного
страхования остаточное время жизни каждого из застрахованных характеризуется
неизменяемой с течением времени интенсивностью смертности µi, где i может
принимать значения от 1 до r.
Если смертельный случай для
договоров краткосрочного страхования жизни наступил от несчастного случая, то
страховая компания выплачивает 
1 рублей,
если от естественных причин, то 
2 рублей, а
если смертельный случай наступил для договоров долгосрочного страхования жизни,
то страховая компания выплачивает сумму равную 
3 рублей.
Необходимо определить премии для
всех групп договоров, которые гарантировали бы заданную вероятность q выполнение
компанией всех своих обязательств.
Индивидуальный убыток по каждому
договору i-ой группы
краткосрочного страхования равен ξi, где ξi - случайная
величина, которая принимает три значения:

с вероятностью (1-
-
),

с вероятностью (
),

с вероятностью (
),
где i=1,…,m.
Суммарная выплата по портфелю
краткосрочного страхования есть случайная величина S:
Среднее значения и дисперсии величин
индивидуальных убытков есть

,

,
…

.
…
Среднее значение и дисперсия
суммарных выплат по портфелю договоров краткосрочного страхования жизни равны:
Для договоров долгосрочного
страхования жизни подсчитаем вначале нетто-премию:
где 
плотность остаточного времени жизни.
Поскольку интенсивность смертности
известна, мы можем найти функцию выживания:
что, в свою очередь, дает следующую
формулу для 
где i может
принимать значения от 1 до r.
Теперь мы можем подсчитать среднее
значение величин индивидуальных убытков для каждой группы договоров
долгосрочного страхования жизни:
Второй момент современной величины
выплат по индивидуальному договору может быть получен по следующей формуле:
тогда дисперсия величин
индивидуальных убытком по всем группам договоров:
Среднее значение и дисперсия
суммарных выплат по портфелю договоров долгосрочного страхования жизни равны:
Общее среднее значение суммарных
выплат по всему портфелю договоров равно:
а общая дисперсия
Предположим, что суммарная премия
равна 
. Используя гауссовское приближение
для центрированной и нормированной величины суммарных выплат, мы можем
представить вероятность неразорения компании в следующем виде:
Для того, что бы вероятность
неразорения была равна q, величина 
должна быть равной (1-q)-процентной
точке стандартного нормального распределения x(1-Q)%, т.е.
суммарная премия должна быть равна
где 
- суммарная нетто-премия, а 
- защитная надбавка, обозначим ее 
:

= 
Пусть 
11, 
12 ,…,
1m, 
21, 
22 ,…,
2r, - защитные
надбавки для договоров из каждой группы. Тогда
Рассмотрим три случая выбора
защитной надбавки:
) Защитная надбавка для
индивидуального договора берется пропорциональной нетто-премии;
) Защитная надбавка для
индивидуального договора берется пропорциональной среднему квадратическому
отклонению выплат по договору.
) Относительная страховая надбавка 
одна и та же для всех договоров и
равна
а индивидуальные защитные надбавки
пропорциональны нетто-премиям:

11=
1, 
12=
2 , … , 
1m=
m, 
21=
, 
22=
, … , 
2r=
,
поэтому премии для договоров из
каждой группы будут равны:



,



.
) Если добавочная
сумма L делится
пропорционально дисперсиям, коэффициент пропорциональности
тогда для договоров из каждой группы
страховые надбавки равны

= k 
,

= k 
…

= k 
,

= k 
,

= k 
,
…

= k 
,
а премии равны
…
3) Если добавочная сумма L делится
пропорционально средним квадратическим отклонениям, коэффициент
пропорциональности
тогда для договоров из каждой группы
страховые надбавки равны

= k 
,

= k 
…

= k 
,

= k 
,

= k 
,
…

= k 
,
а премии равны

…
2.4 Вычисление премий с помощью
созданной программы
Для вычисления премий групп договоров была
создана программа (рис 1), которая для различных форм страхования и при
заданном количестве застрахованных человек для каждой группы, вычисляет премии
достаточные для неразорения страховой компании с определенной вероятностью.
Пусть портфель страховой компании
состоит из 
договоров
страхования жизни, среди которых 
договоров краткосрочного
страхования и 
договоров
долгосрочного страхования жизни. Договора краткосрочного страхования делятся на
3 возрастные группы, а договора долгосрочного страхования жизни делятся на 4
группы определенного возраста.
Среди договоров краткосрочного
страхования жизни 
договоров для людей в возрасте от
18 до 25 лет, 
договоров
для людей в возрасте от 26 до 45 лет и 
договоров
для людей в возрасте от 46 до 120 лет. Среди договоров
долгосрочного страхования 
договоров для людей в возрасте от
от 18 до 25 лет, 
договоров для людей в возрасте от
от 26 до 35 лет, 
договоров для людей в возрасте от
от 35 до 50 лет 
договоров для людей в возрасте от
51 и больше лет.
Для краткосрочного страхования жизни
договоров группы людей в возрасте от 18 до 25 лет вероятность смерти от
естественных причин равна 
, а от
несчастного случая 
, для договоров людей в возрасте от
26 до 45 лет вероятность смерти от естественных причин равна 0,015, а от
несчастного случая 0,01, а для договоров людей в возрасте от 46 до 120 лет вероятности
смерти равны 0,03 и 0,02 соответственно. Для договоров долгосрочного
страхования остаточное время жизни каждого из застрахованных характеризуется
неизменяемой с течением времени интенсивностью смертности 0,03.
Если смертельный случай для договоров
краткосрочного страхования жизни наступил от несчастного случая, то страховая
компания выплачивает 
рублей, если от естественных
причин, то 
рублей, а
если смертельный случай наступил для договоров долгосрочного страхования жизни,
то страховая компания выплачивает сумму равную
рублей.
Определим премии для всех групп
договоров, которые гарантировали бы вероятность 95% выполнение компанией всех
своих обязательств.
Рис 1
2.5 Нахождение общей премии с
помощью созданной программы
Для расчета премии, мы создали программу
(рис 1), которая при заданной вероятности неразорения и различных случаях
смерти вычисляет необходимую стоимость страховки.
Рис1. Вид программы
Для того, чтобы рассчитать все
премии, необходимо указать страховую сумму, которая будет выплачиваться в
случае смерти, количество застрахованных людей для каждой из возрастной групп и
выбрать вероятность неразорения компании. После нажатия на кнопку
"Рассчитать" появятся стоимости страховки для каждой их групп (рис 2).
Рис2. Ввод данных и результат
Коэффициенты вероятности смертей
можно изменить в меню "редактирование коэффициентов" (рис.3).
Рис3. Редактирование коэффициентов
Заключение
В курсовой работе были рассмотрены и рассчитаны
основные модели расчета схем краткосрочного и долгосрочного страхования жизни:
) - Высчитали премии группы
краткосрочного и долгосрочного страхования со страховой суммой равной S
рублей.
) - Определили общие премии, достаточные,
чтобы обеспечить вероятность неразорения компании, при определенном количестве
застрахованных человек различных возрастных категорий.
) - Разработали программу, которые
вычисляет премии для всех групп договоров при заданной страховой сумме и
вероятности неразорения компании.
Список использованных источников
1. Фалин,
Г.И. Математический основы теории страхования жизни и пенсионных схем / Г.И.
Фалин - М.:Изд мех.-мат. Факультета МГУ, 1996. - 221 с.
. Фалин,
Г.И. Математический анализ рисков в страховании / Фалин, Г.И. -
М.:Рос.юр.изд.дом, 1994 - 130 с.
. Бауэрс,
Н. Актуарная математика / Н. Бауэрс и др. - М.:Янус-К., 2001 - 656 с.
. Орлов,
В.П. Основы страхования / В.П. Орлов - Воронеж, 2004. - 43 с.
. Ширяев,
А.Н. Вероятность / А.Н. Ширяев. - М., 1980. - 576 с.
. Севастьянов,
Б.А. Курс теории вероятностей и математический статистики / Б.А. Севастьянов. -
М.: Наука, 1980. - 256 с.
Приложение
А
Unit1;, Messages, SysUtils,
Variants, Classes, Graphics, Controls, Forms,, ExtCtrls, StdCtrls, Menus,
XPMan;= class(TForm): TButton; Edit1: TEdit; Label1: TLabel;: TMainMenu; N1:
TMenuItem;: TMenuItem; Panel1: TPanel; Label2: TLabel;: TComboBox; Label4:
TLabel;: TLabel; Label6: TLabel; Label7: TLabel;: TLabel; Panel2: TPanel;
Edit4: TEdit; Label11: TLabel;: TEdit; Label12: TLabel; XPManifest1:
TXPManifest; Panel3: TPanel;: TEdit; Label13: TLabel; Edit8: TEdit; Edit9:
TEdit; Label17: TLabel;: TLabel; Label19: TLabel;Button1Click(Sender:
TObject);ComboBox1Change(Sender: TObject);N3Click(Sender: TObject);;:
TForm1;TForm1.Button1Click(Sender:
TObject);,pns1,pep1,pdrp1,vozr2,pns2,pep2,pdrp2,,vse,vsdr,A,A1, k1,
k2,m1,m2,d1,d2,summ,sumd,,L,osn, St1,
St2:real;not(Edit1.Text='')then:=strtofloat(Edit1.Text);:=strtofloat(edit3.text);:=strtofloat(edit7.text);:=strtofloat(edit8.text);:=strtofloat(edit9.text);:=strtofloat(edit2.text);:=strtofloat(edit10.text);:=strtofloat(edit11.text);:=strtofloat(edit4.text);:=strtofloat(edit5.text);:=strtofloat(edit6.text);.caption:=combobox1.text;(ComboBox1.Text='95%')
then:=1.645;:=vsn/vse;:=vsn/vsdr;:=pep1+(k1*pns1)+(k2*pdrp1);:=pep2+(k1*pns1)+(k2*pdrp1);:=pep1+(k1*k1*pns1)+(k2*k2*pdrp1)-m1*m1;:=pep2+(k1*k1*pns1)+(k2*k2*pdrp1)-m2*m2;:=0.1397;:=0.8695;:=0.15;:=((1-ve^90)/90*delta)*vozr3;:=((1-ve^60)/60*delta)*vozr4;:=(1-ve^90)/180*delta;:=
(1-ve^60)/120*delta;:=vozr1*m1+vozr2*m2 ;:=vozr1*d1+vozr2*d2
;:=ComboBox*(sqrt(sumd));:=L/summ ;:=m1*(1+osn)*vse ;:=m2*(1+osn)*vse
;:=A1*(1+Var1)*1000000;:=A2*(1+Var2)*1000000;.Caption:=inttostr(round(St1))
;.Caption:=inttostr(round(St2)) ;.Caption:=inttostr(round(St1))
;.Caption:=inttostr(round(St1)) ;;TForm1.ComboBox1Change(Sender:
TObject);.Caption:=combobox1.Text;;TForm1.N3Click(Sender: TObject);;;.