Анализ отчета о движении денежных средств. Оценка кредитоспособности и выбор наилучшего варианта кредитования ОАО 'Кондитерское объединение 'Слад@Ко'
Государственное
образовательное учреждение
Высшего
профессионального образования
Московский
государственный университет природообустройства
Институт
выходного дня
КУРСОВАЯ
РАБОТА
По
дисциплине «Деньги, банки, кредит»
НА
ТЕМУ: Анализ отчета о движении денежных средств. Оценка кредитоспособности и
выбор наилучшего варианта кредитования
ОАО
«Кондитерское объединение «Слад&Ко»
Исполнитель:
Студент
Назарова Е.А.
Москва,
2013
Оглавление
Введение
Анализ
отчета о движении денежных средств
Рейтинговая
оценка предприятия-заемщика
Выбор
оптимального варианта кредитования
отчет денежный кредитоспособность
заемщик
Введение
В данной курсовой работе дается представление о
целях составления отчета о движении денежных средств, подходах к составлению отчета
о движении ДС в отечественной и международной практике: раскрываются требования
к классификации денежных потоков от текущей, инвестиционной и финансовой
деятельности; показано, как анализировать денежные потоки и как оценивать
достаточность денежных средств для осуществления текущей и инвестиционной
деятельности организации, а так же способность предприятия генерировать
денежные средства. Рассматриваются основные финансовые коэффициенты,
базирующиеся на расчете чистых денежных потоков. Производится анализ
кредитоспособности предприятия-заемщика с помощью рейтинговой оценки.
Рассматриваются различные варианты кредитования, и выбирается оптимальный для
предприятия-заемщика. Для определения налога на прибыль рассчитываются
сверхнормативные расходы.
Анализ отчета о движении денежных средств
Отчет о движении денежных средств (далее - ОДДС)
- основной источник информации для анализа денежных потоков. Анализ ОДДС
позволяет существенно углубить и скорректировать выводы относительно
ликвидности и платежеспособности организации, ее будущего финансового
потенциала, полученные предварительно на основе статичных показателей в ходе
традиционного финансового анализа.
Основная цель ОДДС состоит в представлении
информации об изменениях в денежных средствах и их эквивалентах для
характеристики способности организации генерировать денежные средства. Денежные
потоки организации классифицируются в разрезе текущей, инвестиционной и
финансовой деятельности. Структура ОДДС представлена в табл.1.
Таблица 1
Структура отчета о движении денежных средств
|
1
|
Итог
раздела I: чистый приток (+) / отток(-) денежных средств от операционной
(текущей) деятельности предприятия
|
Форма
№4 по ОКУД
|
|
2
|
Итог
раздела II: чистый приток (+) / отток(-) денежных средств от инвестиционной
деятельности предприятия
|
Форма
№4 по ОКУД
|
|
3
|
Итог
раздела II: чистый приток (+) / отток(-) денежных средств от финансовой
деятельности предприятия
|
Форма
№4 по ОКУД
|
|
4
|
Изменение
величины денежных средств
|
Стр.1
+/- стр.2 +/- стр.3
|
|
5
|
Величина
денежных средств на начало отчетного периода
|
Форма
№4 по ОКУД
|
|
6
|
Величина
денежных средств на конец отчетного периода
|
Стр.4
+ стр.5
|
Методическая база по составлению отчета о
движении денежных средств в настоящее время определяется в России Приказом
Минфина РФ от 22 июля 2003г. №67н «О формах бухгалтерской отчетности
организаций». Отчет о движении денежных средств представлен в виде формы №4
годовой бухгалтерской отчетности.
Под денежными средствами понимают остаток
денежных средств и денежных эквивалентов на расчетных, валютных и специальных
банковских счетах, в кассе.
Эквиваленты денежных средств - краткосрочные,
высоколиквидные вложения, легкообратимые в определенную сумму денежных средств
и подвергающиеся незначительному риску изменения ценности, со сроком размещения
обычно не более трех месяцев (а также овердрафтного кредитования).
Денежные потоки - это приток и отток денежных
средств и их эквивалентов.
Текущая деятельность - основная, приносящая
доход, и прочая деятельность, кроме инвестиционной и финансовой.
Инвестиционная деятельность - приобретение и
реализация долгосрочных активов и других инвестиций, не относящихся к денежным
эквивалентам.
Финансовая деятельность - деятельность, которая
приводит к изменениям в размере и составе собственного и заемного капитала
организации (без учета овердрафтного кредитования)
В международной практике используются различные
подходы к составлению ОДДС, о чем свидетельствует табл.2.
Таблица 2
Сравнительная характеристика отечественного и
зарубежного опыта составления отчета о движении денежных средств
|
Показатели
|
SFAS
#95 США
|
IAS
7 МФСО 7
|
HFA
1/1995 Германия
|
ÖFG
Австрия
|
FFR
6 Швейцария
|
FRS
1 Великобритания
|
Обобщение
зарубежного опыта
|
Форма
№4 Россия
|
|
Структура
денежных средств в ОДДС:
|
|
|
|
|
|
|
|
|
|
Остатки
в кассе, на счетах в банках, чеки
|
Х
|
Х
|
Х
|
Х
|
|
Х
|
Х
|
Х
|
|
Банковские
депозиты сроком не более 3-х месяцев Ценные бумаги сроком погашения не более
3-х месяцев
|
Х
Х
|
Х
Х
|
Х
По выбору
|
Х
По выбору
|
|
Х
Х
|
Х
Х
|
|
|
Банковские
овердрафты
|
|
Х
|
По
выбору
|
|
|
|
Х
|
|
|
Не
определено стандартом
|
|
|
|
|
Х
|
|
|
|
|
Проценты
полученные относятся к деятельности:
|
|
|
|
|
|
|
|
|
|
Текущей
Инвестиционной Финансовой
|
Х
|
Х
Х
|
Х
Х
|
Х
|
|
|
Х1
Х2
|
Х
|
|
Указывается
отдельно Не определено стандартом
|
нет
|
да
|
нет
|
нет
|
Х
|
да
|
|
Да
|
|
Проценты
выплаченные относятся к деятельности:
|
|
|
|
|
|
|
|
|
|
Текущей
Инвестиционной Финансовой
|
Х
|
Х
Х
|
Х
|
|
|
|
Х
Х
|
Х
|
|
Указывается
отдельно Не определено стандартом
|
да
|
да
|
нет
|
нет
|
Х
|
да
|
|
да
|
|
Дивиденды
полученные относятся к деятельности:
|
|
|
|
|
|
|
|
|
|
Текущей
Инвестиционной Финансовой
|
Х
|
Х
Х
|
Х
Х
|
Х
|
|
|
Х
Х
|
Х
|
|
Указывается
отдельно Не определено стандартом
|
нет
|
да
|
нет
|
нет
|
Х
|
да
|
|
да
|
|
Дивиденды
выплаченные относятся к деятельности:
|
|
|
|
|
|
|
|
|
|
Текущей
Инвестиционной Финансовой
|
Х
|
Х
Х
|
Х
|
Х
|
Х
|
|
Х
Х
|
Х
|
|
Указывается
отдельно Не определено стандартом
|
да
|
да
|
нет
|
да
|
нет
|
да
|
|
да
|
|
Перечисление
налогов (на прибыль/доходы) относится к деятельности:
|
|
|
|
|
|
|
|
|
|
Текущей
Инвестиционной Финансовой
|
Х
|
Х
Х Х
|
Х
Х Х
|
Х
Х Х
|
Х
Х Х
|
|
Х
Х Х
|
Х
|
|
Указывается
отдельно Не определено стандартом
|
да
|
да
|
нет
|
да
|
Х
|
Да3
|
|
да
|
|
Неденежные
операции:
|
|
|
|
|
|
|
|
|
|
Текущей
Инвестиционной Финансовой
|
Х
|
Х
|
|
Х
|
|
Х
|
Х
|
|
|
Не
определено стандартом
|
|
|
Х
|
|
Х
|
|
|
Х
|
|
Результаты
чрезвычайных событий относятся к деятельности:
|
|
|
|
|
|
|
|
|
|
Текущей
Инвестиционной Финансовой
|
Х
Х Х
|
Х
Х Х
|
Х
Х Х
|
Х
Х Х
|
|
|
Х
Х Х
|
|
|
Указывается
отдельно Не определено стандартом
|
Нет
Х
|
да
|
Нет
Х
|
да
|
Х
|
|
|
Х
|
|
При
выборе организацией прямого расчета ЧДПТ (раздел I) требуется отдельно
пересчитать чистую прибыль (убыток) в ЧДПТ
|
да
|
нет
|
|
нет
|
|
да
|
|
нет
|
|
Не
определено стандартом
|
|
|
Х
|
|
Х
|
|
|
|
Примечания. ЧДПТ - чистый денежный поток от
текущей деятельности.
-проценты, полученные по краткосрочным
финансовым вложениям.
-проценты, полученные по долгосрочным финансовым
вложениям.
-указывается отдельно от текущей, инвестиционной
и финансовой деятельности.
При всем многообразии подходов в международной
практике общепризнанно самой высокой аналитической ценностью обладает ОДДС,
составленный по Международному стандарту финансовой отчетности №7 (МСФО 7) и
американскому стандарту SFAS № 95. В связи с этим европейские компании,
участвующие в торгах на международных фондовых биржах, обязаны публикова ОДДС в
составе годового отчета не в соответствии со своими национальными стандартами
(например, в Германии - HFA 1/1995, в Австрии - OFG, в Швейцарии - FER 6, в
Великобритании - FRS 1), а согласно МСФО 7 или SFAS № 95.
В настоящее время существуют два основных
подхода к определению величины чистого денежного потока от текущей деятельности
(далее - ЧДПТ). В зарубежной практике данный показатель получил широкую
известность как Cash Flow from Operation - или, сокращенно, CFfO. Первый из них
заключается в расчете ЧДПТ из учетных записей организации, когда используются
данные финансовых форм отчетности (баланса и отчета о прибылях и убытках).
Второй подход состоит, напротив, в привлечении для расчетов ЧДПТ таких
финансовых форм. Следовательно, в первом случае уместно говорить о первичном
характере расчета ЧДПТ, а во втором - о производном (вторичном). Вместе с тем в
практике анализа денежных потоков используются два основных алгоритма расчета
ЧДПТ - на базе баланса и отчета о прибылях и убытках. В соответствии с первым
существенную долю в структуре внутреннего финансирования любого хозяйствующего
субъекта.
Рассчитывая ЧДПТ косвенным методом, можно
выделить две его составляющие: активное самофинансирование и скрытое
финансирование:
Направления инвестиций (дезинвестиций)
организации. Под активным самофинансированием понимается использование прежде
всего собственных средств (чистой прибыли и амортизационных отчислений), а под
скрытыми финансовыми источниками - те, которые могут быть на определенном
отрезке времени приравнены к собственным, например изменение величины
собственного оборотного капитала, доходы будущих периодов.
Изменение величины собственного оборотного
капитала как основного скрытого финансового источника можно рассчитать как
суммарную величину изменения размера оборотных активов и кредиторской
задолженности.
Рост величины оборотных активов (материальных
оборотных активов и дебиторской задолженности) считают инвестиционными
вложениями (инвестициями), а их снижение - напротив, дезинвестициями (таблица
3).
Таблица 3
Направление инвестиций и виды дезинвестиций
организации
|
Инвестиции
|
Дезинвестиции
|
|
Увеличение
размера материальных оборотных активов (запасов сырья, материалов,
полуфабрикатов, готовых изделий и товаров)
|
Уменьшение
размера материальных оборотных активов (запасов сырья, материалов,
полуфабрикатов, готовых изделий и товаров)
|
|
Увеличение
дебиторской задолженности по поставкам продукции, товаров, услугам
|
Уменьшение
дебиторской задолженности, в том числе авансов выданных
|
Увеличение кредиторской задолженности, в том
числе авансов полученных, принято называть финансированием, а ее снижение -
соответственно дефинансированием (таблица 4).
Таблица 4
Источники финансирования и виды дефинансирования
организации
|
ДефинансированиеФинансирование
|
|
|
Уменьшение
кредиторской задолженности по поставкам продукции, товаров, услугам
|
Увеличение
кредиторской задолженности по поставкам продукции, товаров и услугам
|
|
Уменьшение
авансов полученных
|
Увеличение
авансов полученных
|
Тогда величину скрытых финансовых источников
можно рассчитать как алгебраическую сумму всех денежных притоков в виде
дезинвестиций и финансирования и всех денежных оттоков в виде инвестиций в
текущие активы и дефинансирования.
|
Наименование
показателя
|
Сумма
(тыс.руб)
|
Из
нее
|
Относительные
величины
|
|
|
По
ТД
|
По
ИД
|
По
ФД
|
Всего
%
|
Горизонтальный
анализ %
|
Вертикальный
анализ %
|
|
|
|
|
|
|
ТД
|
ИД
|
ФД
|
ТД
|
ИД
|
ФД
|
|
1
|
2
|
3
|
4
|
5
|
6
|
7
|
8
|
9
|
10
|
11
|
12
|
|
1.
Остаток ДС на начало года
|
36331
|
|
|
|
|
|
|
|
|
|
|
|
2.
Поступило ДС всего
|
9985187
|
4871760
|
241127
|
4872300
|
100
|
48,79
|
2,42
|
48,79
|
100
|
100
|
100
|
|
По
ТД Средства полученные от покупателей, заказчиков
|
4850628
|
4850628
|
|
|
48,58
|
|
|
|
99,57
|
|
|
|
Прочие
доходы
|
21132
|
21132
|
|
|
0,21
|
|
|
|
0,43
|
|
|
|
По
ИД Выручка от продажи объектов основных средств и иных внеобор. активов
|
26096
|
|
26096
|
|
0,26
|
|
|
|
|
10,82
|
|
|
Полученные
проценты
|
31
|
|
31
|
|
0,0003
|
|
|
|
|
0,01
|
|
|
Поступления
от погашения займов, предоставленных другим организациям
|
215000
|
|
215000
|
|
2,15
|
|
|
|
|
89,17
|
|
|
По
ФД Поступление от займов и кредитов, предоставленных другими организациями
|
4872300
|
|
|
4872300
|
48,8
|
|
|
|
|
|
48,79
|
|
3.
(Направлено ДС всего)
|
-9930733
|
-4685817
|
-449371
|
-4795545
|
100
|
47,18
|
4,53
|
48,29
|
100
|
100
|
100
|
|
По
ТД На оплату приобретенных Т/Р/У, сырья и иных обор. активов (150)
|
-3535086
|
-3535086
|
|
|
35,6
|
|
|
|
75,44
|
|
|
|
На
оплату труда (160)
|
-442685
|
-442685
|
|
|
4,46
|
|
|
|
9,45
|
|
|
|
На
выплату дивидендов, процентов (170)
|
-8507
|
-8507
|
|
|
0,09
|
|
|
|
0,18
|
|
|
|
На
расчеты по налогам и сборам (180)
|
-354217
|
-354217
|
|
|
3,57
|
|
|
|
7,56
|
|
|
|
Прочие
расходы
|
-345322
|
-345322
|
|
|
3,48
|
|
|
|
7,37
|
|
|
|
По
ИД Приобретение объектов осн. средств, доходных вложений в мат.ценности и
немат.активы (290)
|
-234371
|
|
-234371
|
|
2,36
|
|
|
|
|
52,16
|
|
|
Займы,
предоставленные другим организациям (310)
|
-215000
|
|
-215000
|
|
2,16
|
|
|
|
|
47,84
|
|
|
По
ФД Погашение займов и кредитов (без %)
|
-4786000
|
|
|
-4786000
|
48,2
|
|
|
|
|
|
99,8
|
-9545
|
|
|
-9545
|
0,1
|
|
|
|
|
|
0,2
|
|
4.
Остаток ДС на конец года
|
90786
|
-
|
-
|
-
|
-
|
-
|
-
|
-
|
-
|
-
|
-
|
Таблица 5. Анализ отчета о движении денежных
средств ОАО «СладКо» за 2010 г.
Вывод к таблице №5
За отчетный период 2010 года сумма поступивших
ДС составила 9985187 тыс. рублей. При этом 48,8% общего валового денежного
потока приходится на поступление от займов и кредитов, предоставленных другими
организациями 4872300 тыс. рублей, 48,58% поступило денежных средств от
заказчиков и покупателей в размере 4850628 тыс. рублей.
Данные вертикального анализа позволяют сделать
вывод о том, что в отчетном периоде 99,57% валового притока денежных средств от
текущей деятельности предприятия обеспечено средствами от покупателей и
заказчиков; 0,43% притока ДС пришлось на поступления от прочих доходов, не
связанных с основной деятельностью.
Для прошлого года структура валового
положительного денежного потока от текущей деятельности выглядит соответственно
48,79% и 4871760 тыс. рублей.
Существенная доля поступлений ДС в виде выручке
от продажи товаров (работ, услуг) в течение 2-ух хозяйственных лет
свидетельствует о том, что в анализируемое предприятие поступает доход, как это
и должно быть, в первую очередь от своей основной деятельности.
,17% притока ДС от инвестиционной деятельности
обсепечено в виде поступлений от погашения займов, предоставленных другим
организациям в размере 215000 тыс.рублей.
Положительный денежный потом в финансовой
области в течение двух лет обусловлен взятыми кредитами у других организаций в
размере 4872300 тыс.рублей (100%).
Отток ДС по всем видам деятельности составляет
за отчетный год 9930733 тыс. рублей (100%) в него включены расходы по всем
основным статьям расходов, но большую долю трат занимает: погашение займов и
кредитов - 4786000 тыс. рублей (48,2%), оплата приобретенных Т/Р/У, сырье и оборотные
средства - 442685 тыс.рублей (35,6%), оплата труда - 442685 тыс.рублей (4,46%)
и прочие расходы по деятельности предприятия (ТД, ИД и ФД) - 1166962 тыс.рублей
(11,76%)
В целом валовой денежный приток отток, что
обусловило прирост ДС за отчетный период на сумму 54454 тыс. рублей.
Текущая деятельность.
Положительный чистый поток денежных средств в
результате текущей деятельности характеризует степень самофинансирования
организации, является предпосылкой гарантии стабильности ее существования в
долгосрочной перспективе.
В результате текущей деятельности может быть
получен и отрицательный ЧДПТ (чистый отток денежных средств). Он покрывается за
счет сокращения инвестиционных вложений и/или источников внешнего
финансирования.
Инвестиционная деятельность
Отдельное рассмотрение денежных потоков в
инвестиционной области деятельности дает представление об инвестиционной
политике, в том числе о размере тех инвестиций, с помощью которых будут
достигнуты будущие поступления денежных средств и их выплаты.
Кроме того можно выявить приток денежных средств
за счет сокращения инвестиций (дезинвестиций) путем высвобождения финансовых
средств омертвленных в отдельных видах имущества.
Финансовая деятельность
Изучение финансовой области позволяет
проанализировать финансовую политику и возможности организации.
Финансовому менеджеру следует иметь в виду, что
финансирование представляет собой сначала приток денежных средств, а в будущем
(как в долгосрочной, так и в краткосрочной перспективе) денежный отток.
Таблица 6
|
Аналитический
отчет о движении денежных средств (прямой метод), тыс.руб.
|
|
|
№
строки
|
Показатели
|
Источники
и направления использования денежных средств организации
|
Приток
денежных средств
|
Отток
денежных средств
|
|
1
|
2
|
3
|
4
|
5
|
|
Денежные
потоки по текущей деятельности
|
|
1
|
а)
Основные виды притоков денежных средств (поступление выручки от продажи,
авансы полученные, полученные проценты, дивиденты т.д.);
|
|
4850628
|
|
|
б)
Прочие поступления в ходе обычной текущей деятельности
|
|
21132
|
|
|
2
|
а)
Основные виды оттоков денежных средств (выплаты по счетам поставщиков и
подрядчиков, авансы выданные, выплата зарплаты, выплаченные проценты,
дивиденды и т.д.);
|
|
|
-4685817
|
|
б)
Прочие выплаты в ходе обычной текущей деятельности
|
|
|
-345322
|
|
3
|
Налоговые
платежи в бюджет
|
|
|
-354217
|
|
4
|
Величина
валового денежного потока (ВДП) по обычной текущей деятельности
|
|
4850628
|
-5031139
|
|
5
|
Величина
чистого денежного потока (ЧДП) по обычной текущей деятельности
|
|
9881767
|
-
|
|
6
|
Чистый
денежный поток по чрезвычайной текущей деятельности
|
|
4871760
|
|
|
7
|
Неденежные
корректирующие статьи по текущей деятельности:
|
|
|
|
|
а)
Переоценка валюты;
|
|
|
|
|
б)
прочее
|
|
4871760
|
|
|
8
|
Величина
чистого денежного потока по текущей деятельности (ЧДПТ)
|
|
19625280
|
|
|
Денежные
потоки по инвестиционной деятельности
|
|
9
|
Внутренние
источники денежных средств, в том числе
|
26096
|
-
|
-
|
|
10
|
а)
Выручка от реализации активов долгосрочного характера использования;
|
|
26096
|
|
|
б)
прочее
|
|
-
|
|
|
11
|
Внутреннее
финансирование организации
|
19742162
|
-
|
-
|
|
12
|
Внутреннее
использование денежных средств, в том числе
|
-234371
|
-
|
-
|
|
13
|
а)Приобретение
активов долгосрочного характера использования;
|
|
|
|
|
б)
прочее
|
|
|
-234371
|
|
14
|
Величина
валового денежного потока (ВДП) по обычной инвестиционной деятельности
|
|
26096
|
-234371
|
|
15
|
Величина
чистого денежного потока по обычной инвестиционной деятельности
|
|
9881767
|
-
|
|
16
|
Чистый
денежный поток по чрезвычайной инвестиционной деятельности
|
|
-
|
-
|
|
17
|
Неденежные
корректирующие статьи по инвестиционной деятельности:
|
|
|
|
|
а)
Переоценка валюты;
|
|
|
|
|
б)
прочее
|
|
|
|
|
18
|
Величина
чистого денежного потока по инвестиционной деятельности (ЧДПТ)
|
|
9881767
|
|
|
19
|
Суммарный
чистый денежный поток по текущей и инвестиционной деятельности (FCF)
|
|
5435753
|
|
|
Денежные
потоки по финансовой деятельности
|
|
20
|
Внешнее
использование денежных средств, в том числе
|
4872300
|
|
|
|
21
|
Уменьшение
величины заемного капитала
|
|
|
4872300
|
|
22
|
Уменьшение
величины собственного капитала
|
|
|
-
|
|
23
|
Излишек/дефицит
денежных средств
|
5263809
|
|
|
|
24
|
Внешнее
финансирование организации, в том числе
|
54455
|
|
|
|
25
|
Рост
собственного капитала
|
|
-
|
|
|
26
|
Рост
заемного капитала
|
|
54455
|
|
|
27
|
Величина
валового денежного потока по обычной финансовой деятельности
|
|
4817845
|
|
|
28
|
Величина
чистого денежного потока по обычной финансовой деятельности
|
|
4763390
|
|
|
29
|
Чистый
денежный поток по чрезвычайной финансовой деятельности
|
|
-
|
|
|
30
|
Неденежные
корректирующие статьи по финансовой деятельности:
|
|
|
|
|
а)
Переоценка валюты;
|
|
-
|
|
|
б)
прочее
|
|
-
|
|
|
31
|
Величина
чистого денежного потока по финансовой деятельности (ЧДПТ)
|
|
4763390
|
|
|
Денежные
потоки в целом по организации
|
|
32
|
Величина
валового денежного потока по всем видам деятельности
|
|
9694569
|
-5265510
|
|
33
|
Величина
чистого денежного потока по всем видам деятельности
|
|
14960079
|
|
|
34
|
Денежные
средства на начало периода
|
1955881
|
|
|
|
35
|
Денежные
средства на конец периода
|
2028117
|
|
|
|
|
|
|
|
|
Вывод к таблице 6
Данная таблица свидетельствует о том, что
увеличение за год денежных средств на 14960079 тыс.рублей произошло за счет
положительного потока от текущей деятельности в размере 9881767 тыс.рублей
(100%), за счет положительного потока от инвестиционной деятельности на сумму
9881767 тыс.рублей и положительного/отрицательного потока от финансовой
деятельности 4763390 тыс. рублей.
Анализ ОАО «Кондитерское объединение «Слад&Ко»
показал, что сформированные в отчетном году положительный денежный поток по
текущей инвестиционной деятельности (ЧДПТ) 9881767 тыс. рублей был полностью
направлен на покрытие дефицита ЧДПИ.
Суммарный же денежный поток от инвестиционной
деятельности (Free Cash Flow - стр. 19), представляющий собой резерв для
свободы действий организаций при принятии в перспективе не только финансовых
решений, но и будущих инвестиций в оборотные и внеоборотные активы составил
положительную величину 5435753 тыс. рублей, есть резерв для возможности
вложения средств.
Анализ показал, что в предыдущем году у
организации в следствии ее дефицитности, ее ЧДПТ не было внутреннего источника
самофинансирования. Величина суммарного чистого денежного потока от текущей
деятельности (FCF) составил (стр.19) положительный вид в размере 5435753
тыс.рублей и организация была вынуждена привлечь внешнее финансирование за счет
роста заемного капитала в размере 54455 тыс. рублей для положительного
внутреннего финансирования организации. О том, что реализация активов
долгосрочного характера (считаем стр.9:стр.11х100%=0,132%)
Данная таблица дает возможность проанализировать
отчет о движении денежных средств не только по видам деятельности, но и в
размере внешних и внутренних источников и направлений использования денежных
средств (3я колонка в таблице №2).
В целом это позволяет в ходе анализа отчета о
движении денежных средств (ОДДС) оценить с одной стороны способность
организации создавать денежные средства и их эквиваленты, а с другой стороны ее
потребности в их использовании.
Общий объем внутренних источников финансирования
за отчетный период 2010 года составил положительный размер 19742162_тыс.рублей.
Структура внутренних источников анализируемой
организации по данным таблицы свидетельствует о том, (+) что одним из основных
источников для них является (сравнивать 8 и 9 строчку, что больше из них)
реализация активов даже срочного характера за счет притока ДС по текущей
деятельности (считаем %ое соотношение 9:11х100=0,132%) доля денежного потока от
текущей деятельности в анализируемом периоде составила 0,132%
,9% приходится на имеющийся в наличии на начало
отчетного периода ДС.
Безусловно организации следует оценить
оптимальный остаток ДС в кассе и на банковских счетах и уделить особое внимание
росту доли ЧДПТ во внутреннем финансировании.
Рейтинговая оценка предприятия-заемщика
Наиболее важным для оценки кредитоспособности
является коэффициентный анализ кредитоспособности на основе следующих групп
показателей:
Коэффициент ликвидности;
Коэффициент оборачиваемости;
Коэффициент рентабельности.
Используя данные документы, составляется
агрегированный баланс. На базе, которого производится расчет финансовых
коэффициентов.
Следует помнить, что при составлении
агрегированного баланса активы подразделяются на:
Оборотные активы в том числе:
Наиболее ликвидные активы (краткосрочного
финансовые вложения, денежные средства и другие);
Быстрореализуемые активы (дебиторская
задолженность менее 12 месяцев);
медленно реализуемые активы (запасы, НДС по
приобретенным ценностям, дебиторская задолженность более 12 месяцев) и прочие
оборотные активы;
Внеоборотные активы:
Труднореализуемые активы (нематериальные активы,
основные средства, незавершенное строительство, доходные вложения в
нематериальные ценности, отложенные налоговые активы, прочие внеоборотные
активы);
Долгосрочные финансовые вложения.
Все пассивы баланса подразделяются на:
Наиболее срочные обязательства (кредиторская
задолженность);
Краткосрочные обязательства (займы и кредиты,
задолженность перед учредителями по выплате доходов и прочие краткосрочные
обязательства);
Долгосрочные обязательства в том числе:
Доходы будущих периодов;
Резервы предстоящих расходов;
Постоянные немобильные пассивы (уставной
капитал, собственные акции, выкупленные у акционеров, добавочный капитал,
резервный капитал и непокрытый убыток).
Подобная группировка пассивов и активов
предприятия обеспечивает наиболее оптимальный расчет коэффициентов
кредитоспособности.
Таблица 7
Агрегированный баланс предприятия - заемщика ОАО
«Кондитерское объединение «Слад&Ко»
|
Агрегат
|
Наименоваяние
|
Коды
строк
|
Значение
|
|
Активы
|
|
А1
|
Наиболее
ликвидные активы
|
250
|
-
|
|
|
260
|
90786
|
|
А2
|
Быстрореализуемые
активы
|
240
|
912077
|
|
А3
|
Медленно
реализуемые активы
|
210
|
400513
|
|
|
220
|
47202
|
|
|
230
|
-
|
|
|
270
|
-
|
|
А4
|
Труднореализуемые
активы
|
190
|
577539
|
|
Итого
|
|
|
2028117
|
|
Пассивы
|
|
П1
|
Наиболее
срочные обязательства
|
620
|
545693
|
|
П2
|
Краткосрочные
обязательства
|
610
|
148300
|
|
|
630
|
-
|
|
|
660
|
-
|
|
П3
|
Долгосрочные
обязательства
|
640
|
0
|
|
|
650
|
-
|
|
|
590
|
74642
|
|
П4
|
Постоянные
немобильные пассивы
|
490
|
1259482
|
|
Итого
|
|
|
2028117
|
Таблица 8
Агрегированный отчет о прибылях и убытках
|
Агрегат
|
Коды
строк баланса
|
Значение
|
|
П5
|
Выручка
от реализации
|
010
|
4366443
|
|
П6
|
Себестоимость
реализации товаров, продукции, работ и услуг
|
020
|
(3053243)
|
|
П7
|
Прибыль
(убыток) отчетного года
|
140
|
(122792)
|
Наиболее важным для оценки кредитоспособности
заемщика являются показатели ликвидности баланса и обеспеченности заемщика
собственными источниками средств.
В таблице 9 проведем алгоритм расчета финансовых
показателей, а так же их экономический смысл.
Таблица 9
|
Наименование
коэффициентов
|
Обозначение
|
Алгоритм
расчета
|
Экономический
смысл
|
Значение
|
|
Коэффициент
абсолютной ликвидности
|
К1
|
А1/П1+П2
|
Способность
рассчитаться с задолженностью в кратчайшие сроки
|
0,1308
|
|
Коэффициент
строчной ликвидности
|
К2
|
А1+А2/П1+П2
|
Способность
рассчитаться с задолженность в ближайшие сроки
|
1,445
|
|
Коэффициент
текущей ликвидности
|
К3
|
А1+А2+А3/П1+П2
|
Способность
рассчитаться с задолженность в перспективе
|
2,09
|
|
Коэффициент
автономии
|
К4
|
П4/А1+А2+А3+А4
|
Независимость
от внешних источников
|
0,621
|
В зависимости от величины этих коэффициентов
предприятия относят к определенному классу кредитоспособности.
Рейтинговая оценка формируется путем соединения
оценок отдельных показателей согласно их удельным весам. Для этого используются
следующие показатели оценки финансового состояния потенциального заемщика:
Коэффициент абсолютной ликвидности;
Коэффициент срочной ликвидности;
Коэффициент текущей ликвидности;
Коэффициент автономии.
Рейтинговая оценка предприятия заемщика
определяется в баллах. Сумма баллов рассчитывается путем умножения классности
коэффициента на его долю.
К первому классу относятся заемщики с суммой
баллов от 100 до 150.
Ко второму классу - от 151 до 250 баллов.
К третьему классу - от 251 до 300 баллов.
Первоклассным по кредитоспособности заемщикам
коммерческие банки могут открывать кредитную линию и выдавать ссуды без
обеспечения.
Кредитование второклассных ссудозаемщиков
осуществляется банком в обычном порядке, то есть при наличии соответствующих
обеспечительных обязательств (гарантии, долга, и т.д.). Процентная ставка будет
зависеть от вида обеспечения.
Предоставление кредитов клиентам 3 класса
связана для банка с серьезным риском. Таким клиентам в большинстве случаев
кредитов не выдают. А если и выдают, то размер предоставляемой ссуды не должен
превышать размера уставного фонда. Процентная ставка для таких клиентов
устанавливается на высоком уровне.
отчет денежный кредитоспособность
заемщик
Классификация заемщиков по уровню
кредитоспособности
Таблица 10
|
Коэффициенты
|
1
класс
|
2
класс
|
3
класс
|
4
класс
|
|
К1
|
0,2
и выше
|
0,15
- 0,2
|
Менее
0,15
|
30
|
|
К2
|
1
и выше
|
0,5-1
|
Менее
0,5
|
20
|
|
К3
|
2
и выше
|
1-2
|
Менее
1
|
30
|
|
К4
|
0,7
и выше
|
0,5
- 0,7
|
Менее
0,5
|
20
|
Классификация заемщиков по уровню
кредитоспособности и рейтингу
Таблица 11
|
Коэффициенты
|
Значения
|
класс
|
доля
|
Сумма
баллов
|
|
К1
|
0,1308
|
3
|
30
|
90
|
|
К2
|
1,445
|
1
|
20
|
20
|
|
К3
|
2,09
|
1
|
30
|
30
|
|
К4
|
0,621
|
2
|
20
|
40
|
|
Итого
|
|
|
|
180
|
Из Таблицы 11 видно, что ОАО «Кондитерское
объединение «Слад&Ко» по сумме баллов относится ко 2-ому классу заемщиков.
Соответственно, кредит будет предоставлен при наличии соответствующих
обеспечительных обязательств.
Процентная ставка по кредиту будет зависеть от
качества предоставляемого обеспечения.
В процессе принятия решения о выдаче кредита
помимо рейтинговой оценки целесообразно сделать прогноз возможного банкротства
предприятия - заемщика.
В курсовой работе оценку банкротства будем
проводить с помощью «Z - анализа» по Альтману.
Уравнение пятифакторной Z-оценки
= 1,2*X1+1,4*Х2+3,3*X3+0,6*X4+1,0*X5
< 1,8 - вероятность банкротства очень высока
,81 < Z < 2,7 - вероятность банкротства
средняя
,71 < Z < 2,99 - банкротство возможно>
3,0 - вероятность банкротства очень малая
Х1 = оборотный капитал
Совокупные активы
Об.к.= А1+А2+А3/ А1+А2+А3+А4 = 0,715
Х2 = перераспределенная прибыль отчетного
периода
Совокупные активы
Х2 = 470 стр./ А1+А2+А3 = -0,0076
Х3 = БРУТТО (доход)
Совокупные активы
Х3 = П7/ А1+А2+А3+А4 = 0,0605
Х4 = отношение рыночной оценки капитала
(уставный капитал)
Балансовая оценка суммарной задолженности
Х4 = 410 стр. / П1+П2+П3 = 0,1301
Х5 = объем продаж
Совокупный активы
Х5 = П5 / А1+А2+А3+А4 = 2,1529
= 1,2*0,715 + 1,4*(-0,0076) + 3,3*0,0605 +
0,6*0,1301 + 1,0*2,1529 = 2,98256
,81 < 2,98256 < 2,7 - вероятность
банкротства средняя
Вывод: Пятифакторная модель Z - оценка показала
результат 2,98256 это значит, что вероятность банкротства ОАО «Кондитерское
объединение «Слад&Ко» средняя.
Выбор оптимального варианта кредитования
Рассмотрим различные варианты погашения
процентных платежей с использованием схемы простых и сложных процентов с
равномерным и неравномерным погашением кредитов и процентов.
Условия
Сумма кредита: 4872300 тыс. рублей
Срок: с 13.06.2013 по 31.12.2013 г.
Процентная ставка: 18% годовых
способ. Кредит и проценты возвращаются в конце
срока, начисление процентов ежемесячно (т.е 31 декабря заплатить и сумму
кредита и проценты, а до этого срока ничего не платится)
|
Период
|
Кол-во
дней
|
∑
долга на НП
|
%
начисленные
|
%
погашенный
|
Погашено
долга
|
∑
долга на КП
|
|
①
|
②
|
③
|
④
|
⑤
|
⑥
|
⑦
|
|
15-30.06
|
16
|
4872300
|
38444,44932
|
-
|
-
|
4910744,449
|
|
01-31.07
|
31
|
4910744,449
|
75073,84664
|
-
|
-
|
4985818,296
|
|
01-31.08
|
31
|
4985818,296
|
76221,55094
|
-
|
-
|
5062039,847
|
|
01-30.09
|
30
|
5062039,847
|
74890,45253
|
-
|
-
|
5136930,3
|
|
01-31.10
|
31
|
5136930,3
|
78531,70157
|
-
|
-
|
5215462,002
|
|
01-30.11
|
30
|
5215462,002
|
77160,25976
|
-
|
-
|
5292622,262
|
|
01-31.12
|
31
|
5292622,262
|
80911,8691
|
-
|
4872300
|
5373534,131
|
|
Итого
|
|
35475917,16
|
501234,1299
|
501234,1299
|
|
0
|
способ. Кредит возмещается в конце срока,
проценты начисляются и возмещаются ежемесячно.
|
Период
|
Кол-во
дней
|
∑
долга на НП
|
%
начисленные
|
%
погашенный
|
Погашено
долга
|
∑
долга на КП
|
|
|
①
|
②
|
③
|
④
|
⑤
|
⑥
|
⑦
|
|
15-30.06
|
16
|
4872300
|
38444,44932
|
38444,44932
|
-
|
4872300
|
|
|
01-31.07
|
31
|
4872300
|
74486,12
|
74486,12
|
-
|
4872300
|
|
|
01-31.08
|
31
|
4872300
|
74486,12
|
74486,12
|
-
|
4872300
|
|
|
01-30.09
|
30
|
4872300
|
72083,34
|
72083,34
|
-
|
4872300
|
|
|
01-31.10
|
31
|
4872300
|
74486,12
|
74486,12
|
-
|
4872300
|
|
|
01-30.11
|
30
|
4872300
|
72083,34
|
72083,34
|
-
|
4872300
|
|
|
01-31.12
|
31
|
4872300
|
74486,12
|
74486,12
|
|
4872300
|
|
|
Итого
|
|
34106100
|
480555,6093
|
480555,6093
|
34106100
|
0
|
|
|
|
|
|
|
|
|
|
|
|
|
способ. Кредит погашается равномерно по месяцам,
проценты начисляются и погашаются ежемесячно.
|
Период
|
Кол-во
дней
|
∑
долга на НП
|
%
начисленные
|
%
погашенный
|
Погашено
долга
|
∑
долга на КП
|
|
①
|
②
|
③
|
④
|
⑤
|
⑥
|
⑦
|
|
15-30.06
|
16
|
4872300
|
38444,44932
|
38444,44932
|
696042,857
|
4872300
|
|
01-31.07
|
31
|
4176257,14
|
63845,24614
|
63845,24614
|
696042,857
|
3480214,283
|
|
01-31.08
|
31
|
3480214,283
|
53204,37178
|
53204,37178
|
696042,857
|
2784171,426
|
|
01-30.09
|
30
|
2784171,426
|
41190,48137
|
41190,48137
|
696042,857
|
2088128,569
|
|
01-31.10
|
31
|
2088128,569
|
31922,62305
|
31922,62305
|
696042,857
|
1392085,712
|
|
01-30.11
|
30
|
1392085,712
|
20595,24067
|
20595,24067
|
696042,857
|
696042,855
|
|
01-31.12
|
31
|
696042,857
|
10640,87436
|
10640,87436
|
696042,857
|
0
|
|
Итого
|
19489199,99
|
259843,2867
|
259843,2867
|
|
|
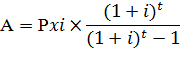
способ. Аннуитет - платежи, вносимые через
ровные промежутки времени и, содержащие как выплату основного долга, так и
процентные платежи за пользование кредитом. Аннуитет - постоянная величина.
- величина кредита = 4872300
% ставка за период = 0,18/12 = 0,015 количество
периодов = 7
А = 738426,055
|
Период
|
Кол-во
дней
|
∑
долга на НП
|
Аннуитет
|
%
погашенный
|
Погашено
долга
|
∑
долга на КП
|
|
①
|
②
|
③
|
④
|
⑤
|
⑥
|
⑦
|
|
15-30.06
|
16
|
4872300
|
736426,055
|
73084,5
|
663341,555
|
4208958,445
|
|
01-31.07
|
31
|
4208958,445
|
736426,055
|
63134,37668
|
673291,6783
|
3535666,767
|
|
01-31.08
|
31
|
3535666,767
|
736426,055
|
53035,00151
|
683391,0535
|
2852275,714
|
|
01-30.09
|
30
|
2852275,714
|
736426,055
|
42784,13571
|
693641,9193
|
2158633,795
|
|
01-31.10
|
31
|
2158633,795
|
736426,055
|
32379,50693
|
704046,5481
|
1454587,247
|
|
01-30.11
|
30
|
1454587,247
|
736426,055
|
21818,80871
|
714607,2463
|
739980,0007
|
|
01-31.12
|
31
|
739980,0007
|
736426,055
|
11099,70001
|
739980,0007
|
0
|
|
Итого
|
|
|
|
297336,0295
|
|
|
Вывод: Проведя анализ различных вариантов выплат
долгосрочного кредита и процентов по нему, можно сказать, что для ОАО «Кондитерское
объединение «Слад&Ко» является кредит который погашается равномерно по
месяцам, проценты начисляются и погашаются ежемесячно.
Сумма переплаты составляет 259843,2867 тыс.
рублей.