Техническое оснащение и технология работы грузовой станции и примыкающих к ней железнодорожных путей необщего пользования
КОМПЛЕКСНЫЙ КУРСОВОЙ ПРОЕКТ
«Техническое оснащение и технология
работы грузовой станции и примыкающих к ней железнодорожных путей необщего
пользования»
СОДЕРЖАНИЕ
ВВЕДЕНИЕ
. АНАЛИЗ ГРУЗОПОТОКОВ И
ВАГОНОПОТОКОВ
.1 Характеристика железнодорожного
узла и промышленного района
.2 Определение технической
нормы загрузки вагона
.3 Выбор рационального типа
подвижного состава
.4 Определение расчетных
суточных грузопотоков и вагонопотоков
.5 Планирование распределения
порожних вагонов по грузовым пунктам
. ВЫБОР И ОБОСНОВАНИЕ СХЕМ
МЕХАНИЗАЦИИ ПОГРУЗКИ И ВЫГРУЗКИ ГРУЗОВ
.1 Выбор механизмов и
характеристика механизации погрузочно-выгрузочных работ на местах общего
пользования
.2 Выбор и характеристика
механизации погрузочно-выгрузочных работ на местах необщего пользования
.ОПРЕДЕЛЕНИЕ ПАРКА
ПОГРУЗОЧНО-ВЫГРУЗОЧНЫХ МАШИН И МЕХАНИЗМОВ
.1 Определение
производительности погрузочно-разгрузочных машин
.2 Расчет числа
погрузочно-разгрузочных машин
. ПРОЕКТИРОВАНИЕ И РАСЧЁТ
ПАРАМЕТРОВ СКЛАДОВ
.1 Основные нормы проектирования
складов
.2 Метод удельных нагрузок
.3 Метод элементарных
площадок
.4Расчет длины фронта
погрузки-выгрузки
.5 Проектирование
транспортно-складского комплекса грузового района
. ТЕХНИКО-ЭКОНОМИЧЕСКИЕ
РАСЧЕТЫ ПО ВЫБОРУ ЭФФЕКТИВНОГО ВАРИАНТА КОМПЛЕКСНОЙ МЕХАНИЗАЦИИ И АВТОМАТИЗАЦИИ
ПЕРЕРАБОТКИ ГРУЗОВ
.1 Капитальные вложения
.2 Эксплуатационные расходы
.3 Выбор оптимального
варианта механизации
. ОРГАНИЗАЦИЯ ТЕХНИЧЕСКОГО
ОБСЛУЖИВАНИЯ ПОГРУЗОЧНО-РАЗГРУЗОЧНЫХ МАШИН
. ЗАКЛЮЧЕНИЕ
ВВЕДЕНИЕ
Железные дороги всегда были одним из основных видов транспорта при
перевозке грузов в нашей стране, поскольку перемещение достаточно значимых
объемов грузов на большие расстояния другими видами транспорта в России было
попросту невозможно.
Грузовая и коммерческая работа занимает важное место в эксплуатационной
деятельности железных дорог и включает комплекс вопросов, связанных с
перевозочным процессом, главным образом, с его начальными и конечными
операциями - погрузкой и выгрузкой.
Грузовая работа включает следующие операции: организация грузового
хозяйства станций; эксплуатация и содержание сооружений и устройств грузовых
районов, складского, весового и холодильного хозяйств; организация
погрузочно-разгрузочной работы в грузовых районах станций; комплексная
механизация и автоматизация погрузочно-разгрузочных работ.
Коммерческая работа включает следующие операции: оперативное планирование
перевозок грузов; подготовка и прием грузов к перевозке; оформление
перевозочных документов; определение и взимание провозной платы; выдача грузов
получателям; обслуживание грузов в пути следования; организация связи между
различными видами транспорта.
К грузовой и коммерческой работе относятся также вопросы использования
вагонов и контейнеров по времени и грузоподъемности, взаимодействия с другими
видами транспорта, разработки и соблюдения условий и Правил перевозок грузов,
обеспечения их сохранности, планирования перевозок, механизации
погрузочно-разгрузочных работ и многие другие.
Целью данного комплексного курсового проекта является описание и
характеристика мест общего и необщего пользования, а также определение
оптимальных технологических параметров их работы.
1. АНАЛИЗ ГРУЗОПОТОКОВ И ВАГОНОПОТОКОВ
1.1
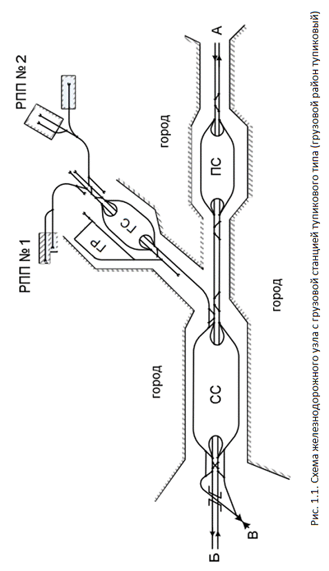
Характеристика железнодорожного узла и промышленного района
Железнодорожный узел - пункт пересечения или примыкания нескольких
железнодорожных линий, ряд связанных соединительными ходами станций и
раздельных пунктов, работающих по единой технологии. Границами железнодорожного
узла могут быть пункты, от которых начинается разветвление и слияние главных
путей по различным направлениям и станциям, а также конечные зоны интенсивного
пригородного движения и пункты расположения промышленных предприятий,
обслуживаемых станциями данного узла.
Кроме того, узлом можно назвать комплекс технологически связанных
станций, расположенных на одной магистрали и совместно обслуживающих крупный
город или промышленный центр.
В состав железнодорожного узла входят:
сортировочные, грузовые и пассажирские станции с их устройствами;
главные и соединительные пути;
посты и обходы;
подъездные пути;
все виды путепроводных развязок, расположенных в границах узла;
самостоятельные производственные единицы железнодорожного транспорта
(заводы, тяговые подстанции, материальные склады и др.)
Границами железнодорожного узла служат границы входных раздельных
пунктов: станций, разъездов, постов.
Для обслуживания грузового движения в узле имеется сортировочная станция.
Сортировочные станции предназначаются для выполнения операций по сортировке
вагонов и формирования поездов в соответствии с планом формирования, передач на
подъездные пути предприятий промышленного транспорта и приема вагонов с
подъездных путей; подборки (группировки) вагонов (передач) на грузовые станции
узла и поездов на портовые и паромные станции, а также сборных и других
многогруппных и групповых поездов местных назначений на прилегающие участки,
осмотра и подготовки составов поездов (вагонов) в техническом и коммерческом
отношениях, выполнения операций по пропуску поездов без переработки, а также с
их частичной переработкой и заменой групп.
Кроме того, на сортировочных станциях выполняется:
ремонт вагонов
смена локомотивов и локомотивных бригад
сортировка грузов и формирование сборных вагонов с контейнерами,
контрейлерами и мелкими отправками.
обслуживание рефрижераторного подвижного состава
местная грузовая работа
в необходимых случаях, ремонт, техническое обслуживание и экипировка
локомотивов, пропуск пассажирских поездов.
Для обслуживания пассажирского движения имеется пассажирская станция,
расположенная ближе к основным жилым районам города и имеющая соответствующие
обустройства. На пассажирских станциях выполняются все виды операций с
пассажирскими поездами, пропуск транзитных поездов, техническое обслуживание
(осмотр и устранение мелких неисправностей, экипировка пассажирских вагонов
водой, углем) и подготовка составов к рейсу (на технической пассажирской
станции, в парке.). Пассажирские станции отправляют дальние (транзитные и
своего формирования) пассажирские поезда, местные и пригородные.
В узле расположена также грузовая станция, которая находится в
промышленном районе и имеет удобную связь с сортировочной станцией и хорошие
подъезды из города.
Грузовые станции проектируются для выполнения следующих операций:
прием к перевозке грузов, взвешивание, хранение, погрузка, выгрузка,
сортировка и выдача грузов, переработка контейнеров;
прием, расформирование, формирование, коммерческий и технический осмотр и
отправление грузовых поездов;
подборка вагонов по местам и специализированным участкам
погрузки-выгрузки, маневровая работа по подаче вагонов к местам
погрузки-выгрузки и уборке их;
оформление перевозочных документов, информирование грузополучателей,
грузоотправителей и экспедиторских организаций о подходе, прибытии, подаче и
уборке вагонов, обслуживание железнодорожных подъездных путей и организация
транспортно-экспедиционного обслуживания клиентуры.
Грузовые станции общего пользования должны обеспечивать:
круглосуточный прием и отправление поездов;
формирование и расформирование составов с подборкой вагонов по грузовым
пунктам и специализированным участкам, подачу и уборку вагонов;
выполнение грузовых и коммерческих операций, осуществляемых на местах
общего пользования или на подъездных путях;
подготовку вагонов под погрузку, экипировку маневровых локомотивов,
выполнение таможенных и других операций.
Грузовые станции на подъездных путях предназначены для обслуживания
предприятий, производящих, добывающих и перерабатывающих отдельные виды грузов
и имеющих специализированные пункты погрузки и выгрузки.
Техническое оснащение грузовых станций определяется их назначением,
объёмом работы, типом и характером поступления и отправления местных
вагонопотоков и их распределением по грузовым пунктам, в том числе, местам
общего и необщего пользования, примыканием железнодорожных путей промышленных
предприятий, баз, пунктов перевалки и их техническим оснащением.
На железнодорожных станциях, предназначенных для производства грузовых и
коммерческих операций предусматривается соответствующее путевое развитие
(приёмо-отправочные, сортировочные и вытяжные пути), а также
погрузочно-разгрузочные сооружения и устройства, крытые и открытые склады и
платформы, площадки для контейнеров, тяжеловесных и других грузов; эстакады,
повышенные пути, устройства для перегрузки из вагонов непосредственно на
автотранспорт или через склад; платформы и площадки для разгрузки навалочных и
сыпучих грузов, колёсной техники и других грузов.
Грузовые устройства и путевое развитие концентрируются в одном грузовом
районе станции вместе со специализированными площадками для переработки
однородных грузов. Иногда в пределах станций сооружается несколько
специализированных грузовых районов для переработки отдельных родов грузов.
Оформление и обработка поездных документов, сбор комплексной информации о
подходе поездов, вагонов и грузов, подготовка данных для оперативного
планирования работы грузовой станции осуществляется в станционном
технологическом центре (СТЦ).
На грузовых станциях имеются устройства СЦБ и связи, освещения и
водоснабжения, иногда имеются устройства для экипировки маневровых локомотивов,
пункты подготовки вагонов под погрузку, пути очистки и промывки вагонов,
очистные сооружения и др.
Работа грузовой станции основана на базе автоматизированной системы
управления грузовой станцией (АСУГС). К ЭВМ подключаются абоненты на рабочих
местах, каждое из которых оборудовано ЭВМ.
Кроме того, на грузовых станциях предусматриваются пункты для
обслуживания и ремонта погрузочно-разгрузочных машин, административно-бытовые и
служебно-технические здания, вагонные весы, габаритные ворота или электронная
система контроля габарита погрузки и другие устройства и сооружения.
Для осмотра крыши вагонов и внутренней части кузова полувагонов
устанавливаются смотровые вышки с прожекторным освещением и устройствами для
обнаружения неисправных вагонов или вагонов с остатками грузов. Для этих целей
могут применяться средства промышленного телевидения с усовершенствованными
конструкциями телевизионных камер, позволяющими получать чёткое изображение с
короткого расстояния до объекта при скоростях 40 км/ч и выше и производить
видеозапись.
Характеристика подъездных путей.
В данном комплексном курсовом проекте район подъездного пути №1 (РПП №1)
обслуживает деревообрабатывающий комбинат, куда прибывает лес круглый, а
отправляются в адрес нескольких получателей плиты древесно-стружечные.
Район подъездного пути №2 (РПП №2) обслуживает обогатительную фабрику и
строительную компанию, куда прибывает бокситная руда, а отправляется в адрес
нескольких получателей цемент в мешках.
.2
Определение технической нормы загрузки вагона
Техническая норма загрузки вагона - количество груза по массе, которое
должно быть погружено в данный тип вагона при полном использовании вместимости
и грузоподъемности.
Для
повагонных отправок величина 
определяется
исходя из массы пакета 
, и числа
ярусов погрузки груза в вагоне.

(1.1)
Сформируем
пакет и определим техническую норму загрузки вагона при заданной массе и
размерах ящика.
Таблица
1.1 - Исходные данные для формируемого пакета
|
Габаритные размеры поддона,
мм
|
Габаритные размеры ящика,
мм
|
Масса ящика, кг
|
|
длина
|
ширина
|
высота
|
длина
|
ширина
|
высота
|
|
|
1200
|
800
|
130
|
300
|
200
|
400
|
18
|
План размещения ящиков на поддоне.
Способы погрузки:
1)
Погрузка в один ярус 
£ 1900 мм.
)
Погрузка в два яруса 
£ 1350 мм. (для
объёма кузова вагона 120 м2.)

£ 1150 мм. (для
объёма кузова вагона 106 м2.)
)
Погрузка в три яруса 
£ 900 мм.
.
Определим количество рядов на поддоне для всех трёх способов погрузки:
rI = 
= 4,4
принимаем 4 ряда;
rII = 
= 3,05
принимаем 3 ряда;
rIII = 
= 1,9
принимаем 1 ряд.
.
Найдём количество ящиков на поддоне.

= 16 × 4 = 64 (ящ.);

= 16 × 3 = 48 (ящ.);

= 16 × 1 = 16 (ящ.).
.
Находим массу пакета.

= 18 × 64 = 1152 (кг.);

= 18 × 48 = 864 (кг.);

= 18 × 16 = 288 (кг.);
.
Для универсальных крытых вагонов объёмом кузова 106 м3 и 120 м3 количество
пакетов помещаемых в вагон составляет:
при
одноярусной погрузке 32 пакета;
при
двухъярусной погрузке 64 пакета;
при
трёхъярусной погрузке 92 пакета.
Тогда
для нашей задачи техническая норма загрузки составит:

= 1,152 × 32 = 36,9 (т/ваг.);

= 0,864 × 64 = 55,3 (т/ваг.);

= 0,288 × 92 = 26,5 (т/ваг.).
Вывод:
к расчёту принимаем двухъярусную погрузку, т.к. для данного вида погрузки
получилось наибольшее значение технической нормы загрузки.
Pтех = 55,3
т/ваг.
Для
среднетоннажных контейнеров (СТК) техническая норма загрузки вагона
определяется по формуле:

, (1.2)
где

-
количество условных контейнеров, устанавливаемых на платформу (на одну
фитинговую платформу устанавливаются 11 условных контейнеров), конт./ваг;

-
загрузка условного контейнера, т/конт.
Под
условным контейнером понимают контейнерную единицу с определенными объемными и
весовыми габаритами, наиболее часто используемую для транспортировки
железнодорожным транспортом и применяемую в расчетах параметров
контейнеропотоков, складов, отчетных данных и в других случаях. Для
среднетоннажных контейнеров условным принят 3-х тонный контейнер.
Загрузка
условного СТК , т/конт:

, (1.3)
где
- доли в
общем контейнеропотоке соответственно контейнеров грузоподъемностью 3 и 5 т;

, 
-
техническая норма загрузки (грузоподъемность, масса груза) соответственно 3-х и
5-тонного контейнера, т.

; 
; 
; 
;

Для
тяжеловесных грузов техническая норма загрузки вагона определяется по формуле:

(1.4)

(т/ваг.)
1.3 Выбор
рационального типа подвижного состава
Для всех грузов, перерабатываемых на грузовой станции, выбираем
рациональные типы подвижного состава. Для этого приведём характеристику всех
грузов.
Характеристика грузов.
Тарно-штучные грузы.
Тарно-штучные грузы - это наиболее ценные и разнообразные грузы,
представляющие собой продукцию основных отраслей обрабатывающей промышленности
и товары широкого потребления. Наиболее рациональный способ перевозок этих
грузов - в пакетированном виде, на поддонах.
Грузы в контейнерах.
Грузовым контейнером называется единица транспортного оборудования
многократного использования, представляющая полностью или частично закрытую
емкость, предназначенную для размещения в ней груза. Контейнеры используются
для перевозки широкой номенклатуры грузов.
Тяжеловесные грузы.
Тяжеловесный груз - это груз, который, будучи погружен в транспортное
средство, вызывает превышение хотя бы одного из параметров по разрешенной
максимальной массе подвижного состава или осевым нагрузкам, определенных в
нормативных документах. Тяжеловесным считается груз в том случае, если его
фактический вес с транспортным средством превышает 38 т.
Лес круглый.
Лес
круглый - круглый сортимент лесоматериала
<#"732340.files/image036.gif">
Цементами
называют искусственные, порошкообразные вяжущие материалы, которые при
взаимодействии с водой, с водными растворами солей или другими жидкостями
образовывают пластичную массу, которая со временем затвердевает и превращается
в прочное камневидное тело - цементный камень.
По
рассчитанной ранее технической норме загрузки вагонов для грузов грузового
района, выберем наиболее подходящий тип подвижного состава. Выбор подвижного
состава сводим в таблицу 1.2.1.
Таблица
1.2.1 - Технико-эксплуатационная характеристика подвижного состава (грузового
района)
|
Род груза
|
Тип п.с.
|
Модель вагона
|
Vполн
|
qтары
|
Ргр
|
lваг
|
Pтех
|
|
Повагонные отправки
|
КР
|
11-066
|
120
|
22
|
66
|
14,73
|
55,3
|
|
Среднетоннажные контейнеры
|
ПЛ
|
13-Н001
|
-
|
21
|
33
|
13,92
|
22,3
|
|
Тяжеловесные грузы
|
ПЛ
|
13-4085
|
-
|
22
|
72
|
14,62
|
36
|
Для грузов железнодорожных путей необщего пользования выбираем 3 варианта
перевозки. Тип подвижного состава выбираем в соответствии с характеристикой
груза и Правилами перевозок грузов. По каждому выбранному варианту подвижного
состава рассчитываем технические и эксплуатационные показатели использования
вагонного парка. Характеристики подвижного состава для грузов грузового района
сводим в таблицу 1.2.2.
Рассчитываем технические и эксплуатационные показатели использования
вагонного парка.
Технический коэффициент тары:

, (1.5)
где:

- вес
тары, т.

-
грузоподъемность подвижного состава, т.
Для
леса круглого:
Для
остальных грузов расчет аналогичный.
Грузоподъемность
вагона - максимально допустимая конструкцией вагона грузовая загрузка,
установленная Федеральным органом исполнительной власти в области
железнодорожного транспорта для полного обеспечения безопасности движения
поездов.
Погрузочный
коэффициент тары:

, (1,6)
где

-
техническая норма загрузки вагона, т.
Для
леса круглого:
Для
остальных грузов расчет аналогичный.
Коэффициент
использования грузоподъемности вагона:

(1.7)
Для
леса круглого:
Для
остальных грузов расчет аналогичный.
Полный
(геометрический) объем вагона произведение ширины кузова вагона на его длину и
высоту.
Погрузочный
(полезный) объем - та часть полного объема вагона, которая реально может быть
использована для загрузки грузом определенного рода.

(т/м3),(1.8)
где

-
объемная плотность груза, т/
Для
леса круглого:

(т/
)
Для
остальных грузов расчет аналогичный.
Коэффициент
использования вместимости вагона:

,(1.9)
где

-
погрузочный объём кузова, м3;

- полный
объём вагона, м3.
Для
леса круглого:
Для
остальных грузов расчет аналогичный.
На
основании расчетов делаем вывод о наиболее рациональном типе подвижного
состава, который осуществляется по наибольшему количеству минимальных значений 
и 
и
максимальных значений - λ
и 
.
Полученные результаты сведем в таблицу 1.2.2.
Таблица
1.2.2 - Технико-эксплуатационная характеристика подвижного состава (подъездные
пути)
Род
груза Тип п.с. 
,


, т

,
т
,
м
,
|
т/ваг.  λ
|
|
|
|
|
|
|
|
|
|
|
Лес круглый: длинный
|
ПВ
|
88
|
24
|
69,5
|
13,92
|
45
|
0,35
|
0,53
|
1,02
|
0,65
|
|
ПВ*
|
88
|
24,3
|
75
|
13,92
|
45
|
0,32
|
0,54
|
1,02
|
0,6
|
|
ПВ
|
77
|
23,8
|
69,7
|
13,92
|
42
|
0,34
|
0,57
|
1,09
|
0,6
|
|
Плиты древесно-стружечные
|
ПВ*
|
73
|
22
|
69
|
13,92
|
61,6
|
0,32
|
0,36
|
1,69
|
0,89
|
|
ПВ
|
85
|
25
|
75
|
13,92
|
61,6
|
0,33
|
0,41
|
1,45
|
0,82
|
|
ПВ
|
73
|
22,2
|
69
|
13,92
|
61,6
|
0,32
|
0,36
|
1,68
|
0,89
|
|
Бокситная руда
|
ПВ
|
73
|
22
|
69
|
13,92
|
69
|
0,32
|
0,32
|
0,56
|
1
|
|
ПВ
|
74
|
22,5
|
69
|
13,92
|
69
|
0,32
|
0,33
|
0,55
|
1
|
|
ПВ*
|
83
|
21,28
|
71
|
13,92
|
71
|
0,3
|
0,3
|
0,49
|
1
|
|
Цемент в мешках
|
КР
|
138
|
26
|
68
|
16,97
|
68
|
0,38
|
0,38
|
0,49
|
1
|
|
КР
|
104
|
24,5
|
68,8
|
14,73
|
68,8
|
0,36
|
0,36
|
0,66
|
1
|
|
КР*
|
86,4
|
22
|
68
|
68
|
0,32
|
0,32
|
0,79
|
1
|
* Примечание. Прямоугольной заливкой выделен выбираемый
(предпочтительный) тип грузового вагона.
1.4
Определение расчетных суточных грузопотоков и вагонопотоков
Расчетный суточный грузопоток определяем для каждого рода грузов отдельно
по прибытии и отправлении по формуле:
(1.10)
где
- годовое прибытие или отправление груза, т;
-
коэффициент неравномерности перевозок;
-
число дней в году.
Расчет
суточного грузопотока для повагонных отправок:
Для остальных грузов расчет аналогичный. Полученные данные сведем в
таблицу 1.3.
На основании суточных грузопотоков и выбранного типа подвижного состава
определяется суточный вагонопоток по формуле:

(1.11)
где

-
суточный грузопоток;

- норма
технической загрузки вагона.
Определение
суточного вагонопотока для повагонных отправок:

;

.
Для
остальных грузов расчет аналогичный.
Результаты
расчетов по данной формуле сводиться в таблицу 1.3.
Таблица 1.3 - Суточные объемы работы грузовой станции
|
Род груза или вид отправки
|
Тип вагона
|
kн
|
Суточный грузопоток, т
|
Суточный вагонопоток, ваг
|
|
|
|
пр.
|
отп.
|
пр.
|
отп.
|
|
Повагонные отправки
|
КР
|
1,08
|
326
|
355
|
6
|
7
|
|
Среднетон. контейнеры
|
ПЛ
|
1,07
|
440
|
293
|
20
|
14
|
|
Тяжеловесные грузы
|
ПЛ
|
1,1
|
392
|
467
|
11
|
13
|
|
Итого по ГР
|
|
1158
|
1115
|
37
|
34
|
|
Лес круглый: длинный
|
ПВ
|
1,05
|
-
|
2445
|
-
|
55
|
|
Плиты древесно-стружечные
|
ПВ
|
1,3
|
1282
|
-
|
21
|
-
|
|
Итого по району ПП 1
|
|
1282
|
2445
|
21
|
55
|
|
Бокситная руда
|
ПВ
|
1,05
|
-
|
892
|
-
|
15
|
|
Цемент в мешках
|
КР
|
1,05
|
-
|
863
|
-
|
16
|
|
Итого по району ПП2
|
|
-
|
1755
|
-
|
31
|
|
Итого по станции
|
|
2390
|
5315
|
58
|
120
|
1.5
Планирование распределения порожних вагонов по грузовым пунктам
Для обеспечения своевременной погрузки на предприятиях, повышения
производительности вагонов необходимо увеличить число сдвоенных операций,
улучшить организацию порожних вагонопотоков. Поэтому погрузка грузов на станции
и подъездных путях должна по возможности обеспечиваться вагонами,
освобождающимися после выгрузки. Распределение порожних вагонов под погрузку
должно производится с учетом физических свойств грузов и максимального использования
вместимости и грузоподъемности вагонов. Для определения избытка или недостатка
порожних вагонов составляем балансовою таблицу (табл. 1.4). Баланс порожних
вагонов по каждому грузов, типу вагонов, грузовому пункту и в целом по станции
определяют по результатам сопоставления размеров погрузки и выгрузки.
При недостатке вагонов определенного рода нужно предусмотреть подвод их с
сортировочной станции, излишки порожних вагонов также следует отправлять на
сортировочную станцию.
Проверка производится по формуле:
. (1.13)
Проверим
выполнение условия (1.13):
+
62 = 120 + 0
=
120
Таблица 1.4 - Баланс порожних вагонов грузовой станции
|
Вид отправки или род груза
|
Тип вагона
|
Суточное прибытие
|
Суточное отправление
|
Баланс порожних вагонов
|
Суточное регулирование
порожних вагонов
|
|
|
тонн
|
ваг
|
тонн
|
ваг
|
изб
|
нед
|
|
|
Повагонные отправки
|
ПВ
|
326
|
6
|
355
|
7
|
-
|
1
|
1 вагон с СС
|
|
Среднетоннажные контейнеры
|
ПЛ
|
440
|
20
|
293
|
14
|
6
|
-
|
6 вагонов на СС
|
|
Тяжеловесные грузы
|
ПЛ
|
392
|
11
|
467
|
13
|
-
|
2
|
2 вагонов с СС
|
|
Лес круглый
|
ПВ
|
-
|
-
|
2445
|
55
|
-
|
55
|
34 вагона с СС
|
|
ДСП
|
ПВ
|
1282
|
21
|
-
|
-
|
21
|
-
|
21 ваг. под лес круглый
|
|
Бокситная руда
|
ПВ
|
-
|
-
|
892
|
15
|
-
|
15
|
15 вагонов с СС
|
|
Цемент в мешках
|
КР
|
-
|
-
|
863
|
16
|
-
|
16
|
16 вагонов с СС
|
|
Потребность в
дополнительных порожних вагонах
|
|
Приб
|
Отпр
|
|
Всего по станции
|
2390
|
58
|
5315
|
120
|
27
|
89
|
62
|
0
|
|
|
|
|
|
|
|
|
|
|
|
2. ВЫБОР И ОБОСНОВАНИЕ СХЕМ МЕХАНИЗАЦИИ ПОГРУЗКИ И ВЫГРУЗКИ ГРУЗОВ
Под схемой комплексной механизации и складских операций понимается
комплекс машин, устройств и складского оборудования, обеспечивающий переработку
заданного объёма грузов с наименьшим числом операций и минимальными затратами.
При выборе наиболее эффективной схемы необходимо учитывать следующие
положения:
грузоподъёмность механизма (крана, погрузчика) выбирается в зависимости
от массы одного грузового места с учётом массы грузозахвата приспособления;
операции по застропке и отстропке должны выполнятся с минимальными
затратами ручного труда и по возможности быть автоматизированы;
при выгрузке сыпучих грузов должна быть предусмотрена возможность
применения рыхлителей, установок для механизированной очистки вагонов от
остатков груза, устройств для открывания и закрывания люков полувагонов;
производительность должна соответствовать условиям и объему работ,
обеспечивая сокращение простоя транспортных средств под грузовыми операциями;
при производстве погрузочно-разгрузочных и складских работ должна
обеспечиваться сохранность грузов;
должна обеспечиваться экономичность применяемых машин и устройств.
2.1 Выбор
механизмов и характеристика механизации погрузочно-выгрузочных работ на местах
общего пользования
Пакетированные тарно-штучные грузы, требующие защиты от атмосферных
осадков, хранятся в крытом складе и перевозятся в крытых вагонах. Погрузка и
разгрузка пакетированных тарно-штучных грузов производится погрузчиками.
Погрузчики предназначены для работы в стесненных условиях складских помещений и
на открытых площадках с твердым и ровным покрытием. Основными преимуществами
являются мобильность и универсальность. Разновидности погрузчиков: электропогрузчики,
автопогрузчики, погрузчики-штабелеры и др.
Рассмотрим следующие возможные варианты переработки тарно-штучных грузов:
) Автопогрузчик модели 4063 К;
) Электропогрузчик модели ЭП-1003;
) Штабелёр модели Тура Т-Е 1016.
Принимая во внимание то, что масса одного транспортного пакета составляет
864 кг. и то, что погрузочно-разгрузочные работы производятся в крытых складах,
рациональнее всего использовать электропогрузчик модели ЭП-1003.
Электропогрузчик - это машина периодического (циклического) действия для
подъема и перемещения штучных грузов. Электропогрузчики совершают необходимый
для этого рабочий ход, чередующийся с обратным холостым ходом, период действия
их чередуется с паузами на захват и отдачу груза.
Основные преимущества: мобильность и универсальность, которая
определяется большим числом сменных грузозахватных приспособлений. Не требует
рельсовых путей. Технические характеристики электропогрузчика приведены в
таблице 2.1.
Таблица 2.1. - Технические характеристики электропогрузчика модели
ЭП-1003
|
Показатели
|
Модель электропогрузчика
|
|
ЭП-1003
|
|
Грузоподъемность, т
|
1,0
|
|
Размеры, мм: ширина длина с
вилами
|
988 2326
|
|
Наибольшая высота подъема
груза, мм
|
3000
|
|
Наименьший радиус поворота,
мм
|
1250
|
|
Скорость подъема груза,
м/мин
|
22,2
|
|
Наибольшая скорость
передвижения с грузом, км/ч
|
9,5
|
При перегрузке среднетоннажных контейнеров применяются козловые,
мостовые, стреловые краны, автопогрузчики грузоподъемностью от 5 до 10 тонн.
Рассмотрим следующие возможные варианты переработки среднетоннажных контейнеров:
) Стреловой кран модели КДЭ-161;
) Мостовой кран модели КМ 10;
) Козловой кран модели ККС-10.
Для переработки среднетоннажных контейнеров выбираем козловой кран модели
ККС-10. Козловой кран типа ККС-10 - двухконсольный самомонтирующийся кран
грузоподъемностью 10 т, широко применяется для переработки длинномерных и
тяжеловесных грузов, СТК и КТК. Ферма прямоугольная, решетчатая с монорельсом,
по которому передвигается грузовая тележка. Лебедки подъема груза и
передвижения грузовой тележки установлены на ферме над жесткой опорой. Кабина
крановщика перемещается вместе с тележкой или жестко закреплена на опоре.
Сменные секции позволяют изменять пролет крана от 20 до 32 м. Технические
характеристики козлового крана приведены в таблице 2.2.
Таблица 2.2. - Технические характеристики козлового крана модели ККС-10
|
Показатель
|
Тип крана
|
|
ККС-10
|
|
Грузоподъемность, т.
|
10
|
|
База, м.
|
14
|
|
Пролет, м.
|
32
|
|
Вылет консоли, м.
|
8,5
|
|
Высота подъема груза, м.
|
10
|
|
Скорости, м/мин: подъема
передвижения тележки передвижение крана
|
15 40 30
|
|
Мощность установленных
двигателей, кВТ
|
42
|
Специальные площадки для погрузки, выгрузки и хранения тяжеловесных
грузов устраивают аналогично контейнерным и для переработки используют те же
краны, т.е. козловые, мостовые, а также стреловые краны на железнодорожном
ходу.
Рассмотрим следующие возможные варианты переработки тяжеловесных грузов:
) Мостовой кран модели КМ 32;
) Козловой кран модели КДКК-10;
) Стреловой кран модели КДЭ-251.
Для переработки тяжеловесных грузов выбираем козловой кран модели
КДКК-10.
Козловой кран КДКК-10 состоит из фермы, опирающейся на опоры типа
козловых. По ферме перемещается крановая тележка с грузоподъемным механизмом.
Ферма имеет две консоли. Опоры смонтированы на ходовых тележках, перемещающихся
по рельсам подкрановых путей посредством механизма передвижения. Технические
характеристики козлового крана приведены в таблице 2.3.
Таблица 2.3 -Техническая характеристика козлового крана КДКК-10
|
Показатель
|
Тип крана
|
|
КДКК-10
|
|
Грузоподъемность, т.
|
10
|
|
База, м.
|
7
|
|
Пролет, м.
|
16
|
|
Вылет консоли, м.
|
4,2
|
|
Высота подъема груза, м.
|
10
|
|
Скорости, м/мин: подъема
передвижения тележки передвижение крана
|
10 38 90
|
|
Мощность установленных
двигателей, кВТ
|
54,2
|
2.2 Выбор и
характеристика механизации погрузочно-выгрузочных работ на местах необщего
пользования
Для переработки лесоматериалов на открытой площадке используют
автопогрузчики, краны стреловые на железнодорожном ходу, козловые, башенные,
портальные со специальными захватами для леса или без такового.
Рассмотрим следующие возможные варианты переработки леса круглого:
) Козловой кран модели КДКК-10;
) Стреловой кран модели КДЭ-253.
Для переработки леса круглого выбираем козловой кран модели КДКК-10.
Технические характеристики козлового крана приведены в таблице 2.3.
Для переработки плит древесно-стружечных на станции используют козловые
краны, стреловые краны или погрузчики.
Рассмотрим следующие возможные варианты переработки плит
древесно-стружечных:
) Козловой кран модели ККС-10;
) Стреловой кран модели КДЭ-163.
Для данной станции выбираем стреловой кран модели КДЭ-163.
Выбираем стреловой кран модели КДЭ-163. Железнодорожный
дизель-электрический кран, грузоподъемностью 16 т предназначен для
погрузочно-разгрузочных работ со штучными и сыпучими грузами и
строительно-монтажных работ. Кран нормального исполнения изготовляется с прямой
стрелой длиной 15 м и грузоподъемным крюком с соответствующим комплексом
канатов. По заказу кран может быть оборудован грейфером для сыпучих материалов,
грейферным захватом для погрузки леса, грузоподъемным электромагнитом,
Г-образной 15-метровой стрелой, а также вставкой к прямой стреле, которая
удлиняет стрелу до 20 м. Кран имеет многомоторный дизель привод. Это позволяет
осуществлять независимые движения механизмов крана, а также совмещение операций.
Технические характеристики приведены в таблице 2.4.
Таблица 2.4 - Технические характеристики стрелового крана КДЭ-163
|
Показатель
|
Тип крана
|
|
КДЭ-163
|
|
Грузоподъемность, т.
|
16
|
|
Длина нормальной стрелы, м.
|
15
|
|
Вылет нормальной стрелы, м:
минимальный максимальный
|
5 14
|
|
Максимальная скорость
подъема, м/мин.
|
17,8
|
|
Скорость крана, м/мин.
|
173
|
|
Частота вращения стрелы
крана, об/мин.
|
2
|
|
Мощность двигателя, кВт
|
53,1
|
Для погрузки бокситной руды в вагоны на железнодорожных станциях
применяются конвейеры, стреловые краны, козловые краны, экскаваторы или
бункерные погрузчики.
Рассмотрим следующие возможные варианты переработки бокситной руды:
) Стреловой кран модели КДЭ-163;
) Экскаватор модели ЭКГ-5.
Выбираем стреловой кран модели КДЭ-163. Технические характеристики
стрелового крана приведены в таблице 2.4.
Цемент, расфасованный в мешки, грузят на поддоны и перевозят со склада в
вагон при помощи электропогрузчика.
Выбираем следующие возможные варианты переработки цемента в мешках:
) Электропогрузчик модели ЭП-1003;
) Электропогрузчик модели EFG
535.
Технические характеристики электропогрузчика ЭП-1003 приведены в таблице
2.1.
Погрузчик модели EFG
535 является универсальным и обеспечивает комфортные условия работы за счет
отсутствия выхлопных газов и низкого уровня шума двигателя. Небольшой расход
энергии способствует снижению производственных затрат. Технические
характеристики электропогрузчика EFG
535.
Таблица 2.5 - Технические характеристики электропогрузчика EFG 535
|
Показатели
|
Модель электропогрузчика
|
|
EFG 535
|
|
Грузоподъемность, т
|
3,5
|
|
Размеры, мм: ширина длина с
вилами
|
1340 3835
|
|
Наибольшая высота подъема
груза, мм
|
3100
|
|
Наименьший радиус поворота,
мм
|
2300
|
|
Скорость подъема груза,
м/мин
|
22,8
|
|
Скорость опускания вил с
грузом (без груза) м/мин.
|
34,8 (33)
|
|
Наибольшая скорость
передвижения с грузом, км/ч
|
16 (17)
|
Результаты выбранных погрузочно-разгрузочных механизмов сведены в таблицу
2.6.
Таблица 2.6 - Выбор погрузочно-разгрузочных механизмов для грузового
района
|
Грузовой пункт
|
Род груза
|
Род ПС
|
Вид гр. операции
|
Тип ПРМ
|
|
ГР
|
ВО
|
КР
|
погр. выгр.
|
Электропогрузчик ЭП-1003
|
ПЛ
|
погр. выгр.
|
Козловой кран ККС-10
|
|
ТГ
|
ПЛ
|
погр. выгр.
|
Козловой кран КДКК-10
|
Результаты выбранных погрузочно-разгрузочных механизмов сведены в
табл.2.7.
Таблица 2.7 - Выбор погрузочно-разгрузочных механизмов для подъездных
путей
|
Грузовой пункт
|
Род груза
|
Род ПС
|
Вид гр. операции
|
Тип ПРМ
|
|
ПП №1
|
Лес круглый: длинный
|
ПВ
|
погр.
|
Козловой кран КДКК-10
|
|
Плиты древесно-стружечные
|
ПВ
|
выгр.
|
Стреловой кран КДЭ-163
|
|
ПП №2
|
Бокситная руда
|
ПВ
|
погр.
|
Стреловой кран КДЭ-163
|
|
Цемент в мешках
|
КР
|
погр.
|
Электропогрузчик ЭП-1003
Электропогрузчик EFG 535
|
3.
ОПРЕДЕЛЕНИЕ ПАРКА ПОГРУЗОЧНО-ВЫГРУЗОЧНЫХ МАШИН И МЕХАНИЗМОВ
3.1
Определение производительности погрузочно-разгрузочных машин
Для определения количества подъемно-транспортных машин необходимо знать
их производительность.
Производительность машин - это то количество (т, м3, шт.) груза, которое
может быть выработано машиной за определенный промежуток времени.
Техническая производительность характеризует непрерывную работу машины за
1 ч., но с учетом фактической массы груза, перемещаемого машиной.
Эксплуатационная производительность - количество (т, м3, шт.) груза в
час, которое может переработать машина в конкретных производственных условиях
(по времени, по грузоподъемности).
Сменная производительность - количество (т, м3, шт.) груза, которое может
переработать машина в течение смены.
Производительная норма выработки Нвыр учитывает факторы, влияющие на
производительность (вид подвижного состава, род груза, способ выполнения работ,
вид погрузочно-разгрузочных работ, тип механизма, его грузоподъемность).
Производительная норма выработки - это комплексная норма выработки, т.е.
сменная норма выработки всех рабочих (механизатора, стропальщиков или
грузчиков), входящих в бригаду. Таким образом, значения производительности
определяются из следующих выражений:
Нвыр= Псм; (3.1)
где Псм - сменная производительность механизма.
; (3.2)
где
Пэ - эксплуатационная производительность механизма;
-
число часов в смене, час.
; (3.3)
где
Птех - техническая производительность механизма;
kвр -
коэффициент использования механизма по времени (kвр = 0,8).
Результаты
расчетов производительностей и числа механизмов сводим в таблицу 3.1.
Повагонные
отправки
ПРМ:
Электропогрузчик;
Грузоподъёмность:
1 т;
Состав
бригады: 1 водитель погрузчика, 2 грузчика.
Сменная
производительность составит:
Псм
= Нвыр = 126,6 (т/см)
Эксплуатационная
производительность:
Пэ
= 
= 18,1
(т/час)
Техническая
производительность:
Птех
= 
= 22,6
(т/час)
Среднетоннажные
контейнеры:
ПРМ:
Козловой кран;
Грузоподъёмность:
10 т;
Вид
грузозахватного приспособления: автостроп;
Загрузка
условного контейнера: 2,03 т.
Сменная
производительность составит:
Псм
= Нвыр = 149 × 2,03 = 302,5 (т/см)
Эксплуатационная
производительность:
Пэ
= 
= 43,2
(т/час)
Техническая
производительность:
Птех
= 
= 54
(т/час)
Тяжеловесные
грузы:
ПРМ:
Козловой кран;
Грузоподъёмность:
10 т;
Вид
грузозахватного приспособления: 4-стропный захват с крюками;
Состав
бригады: 1 крановщик, 2 стропальщика;
Масса
одного места: 3,8 т.
Сменная
производительность составит:
Псм
= Нвыр = 318,2 (т/см)
Эксплуатационная
производительность:
Пэ
= 
= 45,5
(т/час)
Техническая
производительность:
Птех
= 
= 56,9
(т/час)
Лес
круглый:
ПРМ:
Козловой кран;
Грузоподъёмность:
10 т;
Состав
бригады: 1 крановщик, 3 стропальщика;
Сменная
производительность составит:
Псм
= Нвыр = 387 (т/см)
Эксплуатационная
производительность:
Пэ
= 
= 55,3
(т/час)
Техническая
производительность:
Птех
= 
= 69,1
(т/час)
Плиты
древесно-стружечные:
ПРМ:
Стреловой кран;
Грузоподъёмность:
16 т;
Состав
бригады: 1 крановщик, 3 стропальщика;
Сменная
производительность составит:
Псм
= Нвыр = 187 (т/см)
Эксплуатационная
производительность:
Пэ
= 
= 26,7
(т/час)
Техническая
производительность:
Птех
= 
= 33,4
(т/час)
Бокситная
руда:
ПРМ:
Стреловой кран;
Грузоподъёмность:
16 т;
Ёмкость
грейфера: 2 м3
Сменная
производительность составит:
Псм
= Нвыр = 507 (т/см)
Эксплуатационная
производительность:
Пэ
= 
= 72,4
(т/час)
Техническая
производительность:
Птех
= 
= 90,5
(т/час)
Цемент
в мешках
Время цикла для электропогрузчиков определяется по формуле:

(3.4)
где
t0 - время на захват и освобождение груза;

- время
наклона каретки;

- средняя
высота подъема груза;

-
средняя скорость подъема и опускания груза;

-
среднее расстояние передвижения погрузчика;

- средняя
скорость передвижения крана и тележки.
Техническая
производительность вычисляется по формуле:

, (3.5)
где

- средняя
масса груза, перерабатываемая механизмом за 1 цикл.
Эксплуатационная
производительность вычисляется по формуле:

. (3.6)
где квр - коэффициент использования механизма по времени, (0,8);
кгр - коэффициент использования механизма по грузоподъемности.

; (3.7)
где

-
номинальная грузоподъемность механизма.
Сменная
производительность вычисляется по формуле:
Псм
= 7 × Пэ
Для электропогрузчика модели ЭП-1003:
Время цикла:

= 98,5
(сек.)
Техническая
производительность:

= 21,9
(т/час)
Коэффициент
использования механизма по грузоподъемности:
Эксплуатационная
производительность:

.)
Сменная
производительность:
Псм
= 7 × 10,5 = 73,5 (т/см.)
Для электропогрузчика модели EFG 535:
Время цикла:

= 66,4
(сек.)
Техническая
производительность:

= 108,4
(т/час)
Коэффициент
использования механизма по грузоподъемности:
Эксплуатационная
производительность:

с)
Сменная
производительность:
Псм
= 7 × 31,2 = 218,4 (т/см.)
Таблица 3.1 - Значение производительности и парк ПРМ
|
Род груза
|
Тип ПРМ
|
Птех т/ч
|
Пэ т/ч
|
Псм т/см
|
|
ВО
|
Электропогрузчик ЭП-1003
|
22,6
|
18,1
|
126,6
|
|
СТК
|
Козловой кран ККС-10
|
54
|
43,2
|
302,5
|
|
Тяжеловесные грузы
|
Козловой кран КДКК-10
|
56,9
|
45,5
|
318,2
|
|
Лес круглый
|
Козловой кран КДКК-10
|
69,1
|
55,3
|
387
|
|
Плиты древесно-стружечные
|
Стреловой кран КДЭ-163
|
33,4
|
26,7
|
187
|
|
Бокситная руда
|
Стреловой кран КДЭ-163
|
90,5
|
72,4
|
507
|
|
Цемент в мешках
|
Электропогрузчик ЭП-1003
Электропогрузчик EFG 535
|
21,9 108,4
|
10,5 31,2
|
73,5 218,4
|
3.2 Расчет
числа погрузочно-разгрузочных машин
Минимальное количество погрузочно-разгрузочных машин определяется по
формуле:
Mmin = 
, (3.8)
где
Тр - регламентированный простой каждой машины в течение года (52-80 суток);
SQсут - расчетный фактический объем переработки груза на
складе;
псм
- число рабочих смен в сутки;
Псм
- сменная производительность;
-
число дней в году.
Расчетный
фактический объем переработки груза на складе определяется по формуле:
å
= (2 - 
) × (
) (3.9)
где

- доля
груза, перерабатываемого по прямому варианту;

-
суточный объём прибытия груза;

-
суточный объём отправления груза.
Оптимальное
количество погрузочно-разгрузочных машин определяется по формуле:
Mопт = nсут ×
, (3.10)
где
nсут - суточное количество вагонов;
Y - коэффициент
неравномерности подачи вагонов (принимаем 1,2);
Pтех -
техническая норма загрузки вагона;
aгр - стоимость
одного вагоно-часа простоя в ожидании грузовых операций (aгр =
7,54 руб.);
Z -
среднесуточное количество подач и уборок на грузовые пункты (Z =
4);
Пэ
- эксплуатационная производительность машины;
kв -
восстановительная стоимость машины;
a - доля
амортизационных отчислений (a = 0,16);
e - нормативный
коэффициент эффективности капитальных вложений (e = 0,12).
Общая
стоимость вычисляется по формуле:

= 
× (a + e) + 
Результаты расчётов числа механизмов сводим в таблицу 3.2.
Повагонные отправки:
å
= (2 -
0,2) × (326 + 355) = 1226 (т.)
Mmin = 
= 3,86 =
4 (шт.)
Среднетоннажные
контейнеры:
å
= (2 -
0,1) × (440 + 293) = 1393 (т.)
Mmin = 
= 1,84 =
2 (шт.)
Тяжеловесные
грузы:
å
= (2 -
0,15) × (392 + 467) = 1589 (т.)
Mmin = 
= 1,99 =
2 (шт.)
Лес
круглый:
å
= (2 - 0)
× 2445 = 4890 (т.)
Mmin = 
= 4,96 =
5 (шт.)
Плиты
древесно-стружечные:
å
= (2 - 0)
× 1282 = 2564 (т.)
Mmin = 
= 5,47 =
6 (шт.)
Бокситная
руда:
å
= (2 - 0)
× 892 = 1784(т.)
Mmin = 
= 1,4 =
2 (шт.)
Цемент
в мешках:
Электропогрузчик
ЭП-1003
Минимальное
число машин:
å
= (2 - 0)
× 863 = 1726 (т.)
Mmin = 
= 9,37 =
10 (шт.)
Оптимальное
число машин
Mопт = 16 ×
= 15,63
(шт.)

= 
× (0,16 + 0,12) + 
= 480,15
(руб.)

= 
× (0,16 + 0,12) + 
= 479,87
(руб.)
Принимаем
Mопт = 16, т.к. Cобщ = 479,87
< Cобщ = 480,15.
Электропогрузчик
EFG 535:
Минимальное
число машин:
å
= (2 - 0)
× 863 = 1726 (т.)
Mmin = 
= 1,99 =
2 (шт.)
Оптимальное
число машин
Mопт = 16 ×
= 7,21
(шт.)

= 
× (0,16 + 0,12) + 
= 221,27
(руб.)

= 
× (0,16 + 0,12) + 
= 222,38
(руб.)
Принимаем
Mопт = 7, т.к. Cобщ = 221,27
< Cобщ = 222,38.
Таблица
3.2 - Типы и количество ПРМ
|
Род груза
|
Тип ПРМ
|
∑Qгод
тыс т
|
Мmin, шт
|
Mопт, шт
|
Cобщ, руб.
|
M, шт
|
|
Цемент в мешках
|
Электропогрузчик ЭП-1003
|
300
|
10
|
15
|
480,15
|
16
|
|
|
|
|
16
|
479,87
|
|
|
Электропогрузчик EFG 535
|
300
|
2
|
7
|
221,27
|
7
|
|
|
300
|
|
8
|
222,38
|
|
|
ВО
|
Электропогрузчик ЭП-1003
|
120
|
4
|
|
|
СТК
|
Козловой кран ККС-10
|
150
|
2
|
|
|
Тяжеловесные грузы
|
Козловой кран КДКК-10
|
155
|
2
|
|
|
Лес круглый
|
Козловой кран КДКК-10
|
850
|
5
|
|
|
Плиты древесно-стружечные
|
Стреловой кран КДЭ-163
|
360
|
6
|
|
|
Бокситная руда
|
Стреловой кран КДЭ-163
|
310
|
2
|
|
4.
ПРОЕКТИРОВАНИЕ И РАСЧЁТ ПАРАМЕТРОВ СКЛАДОВ
На опорных грузовых станциях устраивают грузовые районы с соответствующим
путевым развитием, ТСК, складами, сортировочными платформами и площадками,
автопроездами, весами и пр. По характеру работы они разделяются на
специализированные и общего типа.
Переработка и хранение грузов осуществляется на прирельсовых складах.
Склады сглаживают неравномерность производства и потребления сырья, топлива,
материалов и готовой продукции, а также неритмичность работы разных видов
транспорта в пунктах их стыкования. Прирельсовые склады делятся на две группы:
места общего пользования и места необщего пользования принадлежат.
Склады должны удовлетворять следующим технико-эксплуатационным
требованиям:
емкость (вместимость) складов должна соответствовать расчетному объему
грузопереработки;
обеспечивать сохранность грузов и вагонов;
отвечать требованиям производственной эстетики и современного
архитектурного оформления зданий;
удовлетворять правилам безопасности жизнедеятельности, требованиям охраны
окружающей среды и пожарной безопасности.
4.1 Основные
нормы проектирования складов
Параметры складов можно определить, используя различные методики, в том
числе:
метод удельных нагрузок;
метод элементарных площадок;
метод непосредственного расчета.
Метод удельных нагрузок используют при определении параметров складов
большинства грузов. Для грузов, перевозимых в контейнерах, параметры складов
следует определять методом элементарных площадок. Метод непосредственного
расчета может быть применен в случаях, когда невозможно воспользоваться другими
методами (наливные грузы, насыпные грузы).
При расчете параметров складов в отдельных случаях площадь и длина склада
должны быть увеличены на величину противопожарных проездов или поперечных
заездов для автотранспорта.
Для большинства складов противопожарные разрывы шириной 4-5 м
устраиваются через каждые 100 м по длине склада.
Длина склада, оборудованного козловым краном, должна быть увеличена еще и
на длину базы крана.
Условие кратности длин складов:
6-ти метрам должны быть кратны длины складов, выполненных из
железобетонных конструкций (крытые склады ангарного типа, открытые площадки с
мостовыми кранами на железобетонных опорах, склады с повышенными путями);
5-ти метрам кратны длины открытых площадок, кроме названных выше.
4.2 Метод
удельных нагрузок
Емкость склада определяется по формуле:
(4.1)
где
сроки (нормативы) хранения грузов на складах по
прибытию,
отправлению в сутках;
-
суточные объемы грузопереработки;
-
коэффициент, учитывающий прямую переработку груза.
Площадь
склада определяется по формуле:
(4.2)
где
коэффициент проездов и проходов внутри склада;
норматив
удельной нагрузки (на 1 м2 площади склада) т/ м2;
Длина
склада
определяется отношением:
(4.3)
где
Bф - ширина склада, м. (зависит от типа склада и
применяемых средств механизации и автоматизации переработки грузов)
Рассчитаем
ёмкость склада для повагонных отправок:
Ширина
склада Bф определяется по формуле:
Bф = Lпр -
(4,92 + 3,6) (4.4)
где
Lпр - величина пролёта крытого склада, м (принимается
стандартной - 18, 24, 30 или 36 м);
,93;
3,6 - установленные стандартами габаритные расстояния, м.

= 2 сут

= 1,5
сут.
= 0,1
E = (1 - 0,1) × (326 × 2 + 355 × 1,5) = 1066,1 (т.)
Площадь
склада:
kпр = 1,7
p = 0,85 т/ м2
Рисунок 4.1 - Поперечный разрез крытого склада из железобетонных
конструкций
Ширина склада:
Принимаем Lпр = 36 м.
Bф =
36 - (4,92 + 3,6) = 27,5 (м.)
Длина склада:
Lскл = 
= 77,5
(м.)
Из
условия кратности 6-ти принимаем длину склада равной 78 метров.
Рассчитаем
ёмкость склада для тяжеловесных грузов:
Ширина
склада Bф определяется по формуле:
Bф = Lпр -
2× b (4.5)
где
Lпр - величина пролёта крана;
b - габарит для
обеспечения безопасной работы.
Рисунок
4.2 - Поперечный разрез открытой площадки с козловым краном

= 2,5
сут

= 1 сут.
= 0,1
E = (1 - 0,1) × (392 × 2 + 467 × 1,5) = 1336,1 (т.)
Площадь
склада:
kпр = 1,6
p = 0,9 т/ м2
F = 
= 2375
(м2)
Ширина
склада:
Принимаем
Lпр = 32 м.
b = 2 м.
Bф = 32 - 2× 2 = 28 (м.)
Длина
склада:
Lскл = 
= 84,8
(м.)
Т.к.
для переработки груза мы используем козловой кран, то увеличиваем длину склада
на длину базы крана.
Для
данного склада предусматриваем поперечные заезды для автотранспорта через
каждые 40 метров шириной 5 метров.
Определим
количество автопроездов:
N = 
= 2,12 =
2 (проезда)
Увеличиваем
длину склада на 2 × 5 = 10 метров.
Также
исходя из условия кратности 5-ти принимаем длину склада равной:
Lскл = 84,8 + 7
+ 10 = 101,8 = 105 (м)
Рассчитаем
ёмкость склада для леса круглого:
Ширина
склада Bф определяется по формуле:
Bф = Lпр -
2× b
где
Lпр - величина пролёта крана;
b - габарит для
обеспечения безопасной работы.
Рисунок
4.3 - Поперечный разрез открытой площадки с козловым краном

= 2,5
сут.
= 0,2
E = (1 - 0) × (2445 × 2,5) = 6112,5
(т.)
Площадь
склада:
kпр = 1,5
p = 2 т/ м2
F = 
= 4584
(м2)
Ширина
склада:
Принимаем
Lпр = 16 м.
b = 0,8 м.
Bф = 16 - 2× 0,8 = 14,4 (м)
Длина
склада:
Lскл = 
= 318,3
(м.)
Для
лесных грузов устраиваются противопожарные разрывы шириной 10 м. через каждые
25-40 м. по длине склада.
Определим
количество противопожарных разрывов:
N = 
= 7,95 =
7 (разрывов.)
Увеличиваем
длину склада на 7 × 10 = 70 метров. Т.к. для переработки груза мы
используем козловой кран, то увеличиваем длину склада на длину базы крана.
Для
данного склада предусматриваем поперечные заезды для автотранспорта через
каждые 40 метров шириной 5 метров.
Определим
количество автопроездов:
N = 
= 7,95 =
7 (проездов)
Увеличиваем
длину склада на 7 × 5 = 35 метров.
Также,
исходя из условия кратности 5-ти, принимаем длину склада равной:
Lскл = 318,3 +
70 + 35 = 423,3 = 425 (м.)
Рассчитаем
ёмкость склада для древесно-стружечных плит:
Ширина
склада Bф определяется по формуле:
Bф = Lmax
- 3,7 (4.6)
где
Lmax - максимальный вылет стрелы крана на железнодорожном
ходу;
,7
- установленный стандартами габарит расстояния.
Рисунок
4.4 - Поперечный разрез открытой площадки со стреловым железнодорожным краном

= 4 сут.
= 0,2
E = (1 - 0) × (1282 × 4) = 5128
(т.)
Площадь
склада:
kпр = 1,3
p = 2 т/ м2
F = 
= 3333,2
(м2)
Ширина
склада:
Принимаем
Lпр = 14 м.
Bф = 14 - 3,7 =
11,3 (м)
Длина
склада:
Lскл = 
= 295
(м.)
Для
лесных грузов устраиваются противопожарные разрывы шириной 10 м. через каждые
25-40 м. по длине склада.
Определим
количество противопожарных разрывов:
N = 
= 7,4 =
7 (разрывов.)
Увеличиваем
длину склада на 7 × 10 = 70 метров.
Для
данного склада предусматриваем поперечные заезды для автотранспорта через
каждые 40 метров шириной 5 метров.
Определим
количество автопроездов:
N = 
= 7,4 =
7 (проездов)
Увеличиваем
длину склада на 7 × 5 = 35 метров.
Также,
исходя из условия кратности 5-ти, принимаем длину склада равной:
+
70 + 35 = 400 = 400 (м.)
Рассчитаем
емкость склада для бокситной руды:
Ширина
склада Bф определяется по формуле:
Bф = Lmax
- 3,7
где
Lmax - максимальный вылет стрелы крана на железнодорожном
ходу;
,7
- установленный стандартами габарит расстояния.
Рисунок
4.5 - Поперечный разрез открытой площадки со стреловым железнодорожным краном

= 5 сут.
= 0,2
E = (1 - 0) × (892 × 5) = 4460 (т.)
Площадь
склада:
kпр = 1,5
p = 3 т/ м2
F = 
= 2230
(м2)
Ширина
склада:
Принимаем
Lпр = 14 м.
Bф = 14 - 3,7 =
11,3 (м)
Длина
склада:
Lскл = 
= 197,3
(м.)
Для
данного склада предусматриваем поперечные заезды для автотранспорта через
каждые 40 метров шириной 5 метров.
Определим
количество автопроездов:
N = 
= 4,9 =
4 (проезда)
Увеличиваем
длину склада на 4 × 5 = 20 метров.
Т.к.
через каждые 100 м. необходимо устраивать противопожарные разрывы шириной 5 м.,
а также исходя из условия кратности 5-ти, длина склада составит:
Lскл = 197,3 + 5
+ 20 = 222,3 = 225 (м)
Рассчитаем
емкость склада для цемента в мешках:
Ширина
склада Bф определяется по формуле:
Bф = Lпр -
(4,92 + 3,6)
где
Lпр - величина пролёта крытого склада, м (принимается
стандартной - 18, 24, 30 или 36 м);
,93;
3,6 - установленные стандартами габаритные расстояния, м.
Рисунок
4.6 - Поперечный разрез крытого склада из железобетонных конструкций

= 4 сут.
= 0,1
E = (1 - 0) × (863 × 4) = 3452 (т.)
Площадь
склада:
kпр = 1,2
p = 1,2 т/ м2
F = 
= 3452
(м2)
Ширина
склада:
Принимаем
Lпр = 36 м.
Bф = 36 - (4,92
+ 3,6) = 27,5 (м.)
Длина
склада:
Lскл = 
= 125,5
(м.)
Из
условия кратности 6-ти принимаем длину склада равной 126 м.
4.3 Метод
элементарных площадок
Этот метод может использоваться при определении параметров складов для
грузов, размеры которых заранее известны. В этом случае площадь склада можно
рассчитать более точно, выделив элементарную (единичную) площадку, которая
затем многократно повторяется на складе.
Методом элементарных площадок используется для определения параметров
складов для контейнеров.
Емкость площадки определяется по формуле:
(4.7)
где
а - коэффициент сгущения подачи вагонов с учетом неравномерности работы, т.е.
увеличения количества подачи и связи с увеличением грузопотока, чтобы успеть
подать все контейнеры на контейнерную площадку и успеть их переработать (при
среднесуточной переработке свыше 10 вагонов а=1,3);
- число
контейнеров, перерабатываемых за сутки, конт;
(4.8)
- число
порожних контейнеров, конт;
(4.9)
- срок
хранения контейнеров по прибытию и отправлению; 0,03 - доля неисправных
контейнеров;
- срок
хранения порожних контейнеров и время на ремонт контейнера, (1 сут.);
Затем
выделяется элементарная площадка со сторонами X и У.
Размеры
элементарной площадки для среднетоннажных контейнеров составят:
X= 1,3
+ 0,1=1,4 (м); (4.10)
Y= 2 × 2,1 + 0,1 + 0,6 = 4,9 (м.) (4.11)
Фактическая ширина склада с двумя грузовыми фронтами:
(4.12)
где
Lпр - величина пролета крана, м;
bг, 3,15, 2,45 -
габаритные расстояния, м.
Далее
рассчитывается число контейнеров, располагающихся по ширине склада:
(4.13)
Так
как величина
может быть только целым числом, то ее округляем (в
меньшую сторону).
Длину
склада в контейнерах (число контейнеров по длине склада) можно определить:
(4.14)
Величину
также округляем (в большую сторону). Длина
контейнерной площадки определяется:
(4.15)
Тогда
площадь контейнерной площадки составит:
(4.16)
Зная
все формулы, произведем расчет для определения контейнерной площадки.
Рисунок
4.7 - Поперечный разрез контейнерной площадки для среднетоннажных контейнеров с
одним грузовым фронтом
Емкость
площадки:
Число
контейнеров перерабатываемых за сутки:
Число порожних контейнеров:
Фактическая
ширина склада:
(м.)
Число
контейнеров, располагающихся по ширине склада:
Емкость
склада определяем по формуле:
Длина
склада в контейнерах (число контейнеров по длине склада):
Длина
контейнерной площадки:
Для данного склада предусматриваем поперечные заезды для автотранспорта
через каждые 40 метров шириной 5 метров.
Определим количество автопроездов:
N = 
= 2,51 =
2 (проездов)
Увеличиваем длину склада на 2 × 5 = 10 метров.
Т.к. склад оборудован козловым краном увеличиваем длину склада на длину
базы крана (14 м), а так же через каждые 100 м длины склада должны
предусматриваться противопожарные проезды (5 м), а длина склада должна быть
кратной 5 м, то:
Lскл =
100,5 + 14 + 5 + 10 = 129,5 = 130 (м)
Площадь контейнерной площадки:
F =
130 × 24,4 = 3172 (м2)
4.4 Расчет
длины фронта погрузки-выгрузки
В каждом проектируемом складе необходимо предусмотреть грузовой фронт
погрузки-выгрузки.
Грузовым фронтом называют часть складских железнодорожных путей,
предназначенных непосредственно для выполнения погрузки и выгрузки грузов из
транспортных средств.
Длина фронта погрузки-выгрузки определяется следующим образом, м:
при использовании передвижных механизмов
Lфр = nпод × lваг + aм,
(4.17)
где nпод - количество вагонов в одной
подаче, ваг/под;
lваг -
длина вагона по осям автосцепок, м;
aм -
удлинение грузового фронта, необходимое для маневрирования локомотивом или
другим маневровым средством (принимается 15-25 м.)
Количество вагонов в одной подаче (округляется до целых вагонов в меньшую
сторону):
nпод = 
, (4.18)
где
Z - число подач вагонов, (принимаем 4 под/сут)
при
использовании стационарных механизмов
Lфр = (1 + 
) × nпод × lваг + aм , (4.19)
где
M - число стационарных погрузочно-разгрузочных
механизмов или устройств, шт.
Для
повагонных отправок:

= 6

= 7

= 
= 1,5 =
1 (ваг.)

= 
= 1,75 =
1 (ваг.)
lваг = 14,73 м
Lфр = 1 × 14,73 + 15 = 29,7 м
Lфр =
29,7 м < Lскл = 78 м.
Для среднетоннажных контейнеров:

= 20

= 14

= 
= 5
(ваг.)

= 
= 3,5 =
3 (ваг.)
lваг = 13,92 м
Lфр = 5 × 13,92 + 15 = 84,6 (м)
Lфр =
84,6 м < Lскл = 130 м.
Для тяжеловесных грузов:

= 11

= 13

= 
= 2,75 =
2 (ваг.)

= 
= 3,25 =
3 (ваг.)
lваг = 14,62 м
Lфр = 3 × 14,62 + 15 = 58,9 (м)
Lфр =
58,9 м < Lскл = 105 м.
Для леса круглого:

= 55

= 
= 13,75
= 13 (ваг.)
lваг = 13,92 м
Lфр = 13 × 13,92 + 15 = 196 (м)
Lфр =
196 м < Lскл = 425 м.
Для плит древесно-стружечных:

= 21

= 
= 5,25 =
5 (ваг.)
lваг = 13,92 м
Lфр = 5 × 13,92 + 15 = 84,6 (м)
Lфр =
84,6 м < Lскл = 400 м.
Для бокситной руды:

= 15

= 
= 3,75 =
3 (ваг.)
lваг = 13,92 м
Lфр = 3× 13,92 + 15 = 56,8 (м)
Lфр =
56,8 м < Lскл = 225 м.
Для цемента в мешках:

= 16

= 
= 4
(ваг.)
lваг = 14,73 м
Lфр = 4× 14,73 + 15 = 73,9 (м)
Lфр =
73,9 м < Lскл = 126 м.
Таблица 4.1 - Параметры складов
|
Род груза
|
Тип склада
|
Е, т (конт)
|
F, м2 (м3)
|
Lскл, м
|
Lфр, м
|
|
МО
|
Крытый склад ангарного типа
|
1066,1
|
2132
|
78
|
29,7
|
|
СТК
|
Открытая площадка
|
691
|
3172
|
130
|
84,6
|
|
ТГ
|
Открытая площадка
|
1336,1
|
2375
|
105
|
58,9
|
|
Лес круглый
|
Открытая площадка
|
6112,5
|
4584
|
425
|
196
|
|
ДСП
|
Открытая площадка
|
5128
|
3333,2
|
400
|
84,6
|
|
Бокситная руда
|
Открытая площадка
|
4460
|
2230
|
225
|
56,8
|
|
Цемент в мешках
|
Крытый склад ангарного типа
|
3452
|
3452
|
126
|
73,9
|
4.5
Проектирование транспортно-складского комплекса грузового района
Транспортно-складской комплекс - грузовой район, представляющий собой
часть станционной территории, на которой находится комплекс сооружений и
устройств и путевое развитие, предназначенные для приема, погрузки, выгрузки,
выдачи, сортировки и временного хранения грузов, а также для непосредственной
их передачи с одного вида транспорта на другой.
Комплекс грузовых операций, выполняемых на ТСК и отдельно на каждом
складе:
прием груза на склад;
размещение груза на хранение в склад ТСК;
погрузка груза;
выгрузка груза;
выдача груза;
комплектование и упаковка;
внутрискладские перемещения;
сортировка грузов.
При проектировании грузового района особое внимание должно быть уделено
рациональному размещению грузовых устройств, путей и подъездов автомобилей к
фронтам погрузки, обеспечивающему:
минимальное количество маневровых передвижений и времени, затрачиваемое
на маневры;
независимость погрузочно-разгрузочных операций;
независимость передвижений автотранспорта от маневровой работы с
вагонами;
компактность расположения погрузочно-выгрузочных устройств и путей их
обслуживания в целях сокращения территории, занимаемой путевым развитием и
автомобильными проездами.
Для обеспечения маневровой работы на грузовом районе необходимо
предусмотреть: выставочные пути для приема, отправления и подсортировки подач;
погрузочно-разгрузочные пути; ходовые пути для перемещения подвижного состава
на территории грузовом районе; соединительные пути, служащие для уборки вагонов
с погрузочно-разгрузочного пути; весовой путь.
Ширина проезжей части дорог двустороннего движения автомобилей 7-8 м,
одностороннего 4 м.
вагон погрузка склад
5.
ТЕХНИКО-ЭКОНОМИЧЕСКИЕ РАСЧЕТЫ ПО ВЫБОРУ ЭФФЕКТИВНОГО ВАРИАНТА КОМПЛЕКСНОЙ
МЕХАНИЗАЦИИ И АВТОМАТИЗАЦИИ ПЕРЕРАБОТКИ ГРУЗОВ
При проектировании транспортно-складских комплексов (ТСК), грузовых
пунктов возникает проблема выбора и обоснования того или иного варианта схемы
переработки грузов с учетом технологии и возможных средств механизации. При
этом следует учитывать, что один и тот же груз можно перерабатывать различными
машинами, механизмами, устройствами или их комплексами. К тому же среди машин
одного типа имеется значительное число разновидностей и модификаций.
Определение эффективного варианта можно условно разделить на три этапа:
. В начале решается задача отбора из всех возможных вариантов наиболее
приемлемых.
. На 2-м этапе производятся расчеты по каждому отобранному или заданному
варианту.
. После завершения расчетов путем сопоставления показателей выбирается
оптимальный вариант переработки. При этом приоритет отдается следующим
показателям: приведенные строительно-эксплуатационные расходы, эксплуатационные
расходы, капитальные вложения.
Приведенные строительно-эксплуатационные расходы определяются по формуле:
Eпр = Sэ + Eн × K, (5.1)
где Sэ - годовые эксплуатационные расходы,
тыс. руб/год;
Eн -
нормативный коэффициент эффективности капитальных вложений (принимаем равным
0,15)
K -
капитальные вложения в каждом варианте механизации, руб.
5.1
Капитальные вложения
Капитальными затратами считаются затраты на создание новых и
реконструкцию действующих основных фондов.
Основные фонды - это средства труда (машины и оборудование, здания и
сооружения, вспомогательное оборудование)
Полные капиталовложения определяются по формуле:
К = Кмех+ Кстр; (5.2)
где Кмех - капиталовложения в механизацию;
Кстр - капиталовложения в строительные сооружения и устройства.
Капиталовложения в механизацию определяется по формуле:
Кмех = М × Смех; (5.3)
где М - количество механизмов, необходимое для переработки суточного
объема грузопереработки данного груза, шт;
Смех - стоимость механизмов с учетом расходов на транспортировку и
монтаж, которые принимаются в размере 10-15% от оптовой цены механизма, руб.
Для первого варианта переработки груза:
Кмех= 16 × 245000 = 3920000 руб;
Для второго варианта переработки груза:
Кмех= 7 × 550000 =
3850000 руб;
Капиталовложения в строительные сооружения и устройства:
Кстр= Кскл + Кжд+ Кавт+ Клэп (5.4)
Кж.д. - капиталовложения в сооружение железнодорожных путей, руб;
Кавт - капиталовложения в сооружение автопроездов, руб;
Клэп - капиталовложения в сооружение линий электропередач, руб;
Капиталовложения в сооружение склада:
Кскл=Сскл × Fскл × kинд (5.5)
где Сскл - стоимость строительства 1 м2 площади склада, руб;
Fскл -
площадь склада, м2;
kинд -
коэффициент индексации (на 2013 год kинд = 6,97).
Для обоих вариантов переработки груза:
Кскл=1200 × 3452 × 6,97 =
28872528 (руб.)
Капиталовложения в сооружение железнодорожных путей:
Кж.д.=Сж.д.× nж.д.× Lж.д × kинд; (5.6)
где Сж.д - стоимость строительства 1 м железнодорожного пути, руб;
nж.д -
число железнодорожных путей (зависит от числа грузовых фронтов), шт;
Lж.д -
длина железнодорожного пути, м (Lж.д=Lфр).
Для обоих вариантов переработки груза:
Кж.д.= 2500. × 1. × 73,9 × 6,97 = 1287707,50 (руб);
Капиталовложения в сооружение автопроездов:
Кавт= Савт× Вавт× Lавт× nавт × kинд; (5.7)
где Вавт - ширина автопроездов ,м;
Lавт -
длина автопроездов, м;
Савт - стоимость 1 м2 автопроезда,руб.
Для обоих вариантов переработки груза:
Кавт = 750 × 6 × 27,5 × 3 × 6,97 = 2587612,50 (руб);
Капиталовложения в сооружение линий электропередач:
Клэп=Слэп × Lлэп × kинд; (5.8)
где Слэп - стоимость строительства 1 м линий электропередач,р.;
Lлэп -
длина линий электропередач,м (Lлэп=Lскл).
Клэп= 300 × 126 × 5,13 =
193914 (руб).
Капиталовложения в строительные сооружения и устройства равны:
Кстр= 28872528 + 1287707,50 + 2587612,50 + 193914 = 32941762 (руб.)
Полные капиталовложения равны:
Для первого варианта переработки груза:
К= 3920000 + 32941762 = 36861762 (руб.)
Для второго варианта переработки груза:
К= 3850000 + 32941762 = 36791762 (руб.)
Таблица 5.1 - Ориентировочная смета капитальных вложений на строительство
ТСК для первого варианта переработки груза
|
Наименование
|
Еденица измерения
|
К инд
|
Количество едениц
|
Единичная стоимость, руб.
|
Суммарная стоимость, руб.
|
|
1.Электропогрузчик ЭП-1003
|
шт
|
-
|
16
|
245000
|
3920000
|
|
Итого
|
|
|
|
|
3920000
|
|
2.1. Сооружение склада
|
м2
|
6,97
|
3452
|
1200
|
28872528
|
|
2.2. Сооружение ж.д. пути
|
пог.м
|
6,97
|
73,9
|
2500
|
1287707,50
|
|
2.4 Сооружение
автопроездов.
|
м2
|
6,97
|
495
|
750
|
2587612,50
|
|
2.5 Сооружения линий
электропередач
|
пог м
|
5,13
|
126
|
300
|
193914
|
|
Итого
|
|
|
|
|
32941762
|
|
Всего
|
36861762
|
Таблица 5.2 - Ориентировочная смета капитальных вложений на строительство
ТСК для второго варианта переработки груза
|
Наименование
|
Еденица измерения
|
К инд
|
Количество едениц
|
Единичная стоимость, руб.
|
Суммарная стоимость, руб.
|
|
1.Электропогрузчик EFG 535
|
шт
|
-
|
7
|
550000
|
3850000
|
|
Итого
|
|
|
|
|
3850000
|
|
2.1 Сооружение склада
|
м2
|
6,97
|
3452
|
1200
|
28872528
|
|
2.2. Сооружение ж.д. пути
|
пог.м
|
6,97
|
73,9
|
2500
|
1287707,50
|
|
2.4 Сооружение
автопроездов.
|
м2
|
6,97
|
495
|
750
|
2587612,50
|
|
2.5 Сооружение линий
электропередач
|
пог м
|
5,13
|
126
|
300
|
193914
|
|
Итого
|
|
|
|
|
32941762
|
5.2
Эксплуатационные расходы
Годовые эксплуатационные расходы определяются по формуле:
Sэ= З
+ Э(Т) + О + А + Р; (5.9)
где З - затраты на основную и дополнительную заработную платы, руб;
Э(Т) - затраты на электроэнергию, руб;
О - затраты на обтирочные и смазочные материалы, руб;
А - отчисления на амортизацию, руб;
Р - затраты на средний и текущий ремонты, техническое обслуживание, руб.
Расходы на заработную плату определяем по формуле:
З = αвр × αп × αм × αж.д. × (1 + β/100) × Со × ∑Qгод; (5.10)
где αвр - коэффициент учитывающий 15% надбавке к заработной плате;
αп - коэффициент учитывающий подмены в
нерабочие дни 1,19 - 1,27;
αм - коэффициент учитывающий районные
дополнительные
надбавки к зарплате (αм = 1,5);
αж.д. - коэффициент учитывающий
дополнительные надбавки к
зарплате работникам железнодорожного транспорта (αж.д = 1,2);
β - общий процент начисления на
заработную плату (β = 50%);
Со- суммарная сдельная расценка за переработку груза для всех членов
бригады;
∑Qгод - суммарный объем переработки на
складе, т.
Суммарная сдельная расценка может быть определяется по формуле:
Со= M × (Нвр.мех × Өчас.мех+Нвр.стр × Өчас.стр); (5.11)
где Нвр.мех, Нвр.стр - норма времени на одну операцию соответственно для
механизатора и всех стропольщиков (грузчиков), входящих в бригаду;
Өчас.мех, Өчас.стр - часовая тарифная ставка соответственно
механизатора и стропольщиков (грузчиков), р/час. (механизаторов 170 р/ч.,
рабочих 110 р/ч).
Для первого варианта переработки груза:
Со=16× (0,098 × 170+0,196 × 110) = 611,52 (руб.)
Для второго варианта переработки груза:
Со=7× (0,093 × 170+0,419 × 110) = 433,30 (руб.)
Тогда расходы на заработную плату составляют:
Для первого варианта переработки груза:
З = 1,15 × 1,25 × 1,15 × 1,2 × (1+50/100) × 611,52 × 300000 = 185604728,40 (руб.)
Для второго варианта переработки груза:
З = 1,15 × 1,25 × 1,15 × 1,2. × (1+50/100) × 433,30 × 300000 = 131512507,88 (руб.)
Расходы на электроэнергию определяем по числу часов работы машины или
установки с учетом норм расхода и стоимости 1 кВт электроэнергии.
Для машин периодического действия
Э = ∑Nэл × η0 × η1 × Тр × Сэл; (5.12)
где ∑Nэл - номинальная
мощность электродвигателей машины или установки. Для электропогрузчика модели
ЭП-1003 принимаем равным 6 кВт, а для электропогрузчика модели EFG 535 принимаем равным 18 кВт;
η0- коэффициент, учитывающий потери в
электрораспределительной сети кранов (1,03 - 1,2);
η1 - коэффициент, учитывающий
использование электродвигателей мощности и времени при средней их нагрузке
(0,85 - 0,9);
Сэл - стоимость одного кВт-ч силовой электроэнергии, (устанавливается в
зависимости от экономического развития города, района или местности, стоимость
силовой электроэнергии можно принять 3,54 руб/кВт-ч).
Фактическое время работы машины в год:
Тр = Нвр. мех. Qгод;
(5.13)
Для первого варианта переработки груза:
Тр= 0,098 . 300000 = 29400 (час.)
Для второго варианта переработки груза:
Тр= 0,093 . 300000 = 27900 (час.)
Затраты на электроэнергию составляют:
Для первого варианта переработки груза:
Э = 96 × 1,1× 0,9 × 29400 × 3,54 = 9891383,04 (руб.)
Для второго варианта переработки груза:
Э = 126 × 1,1 × 0,9 × 27900 × 3,54 = 12320070,84 (руб.)
Расходы на обтирочные и смазочные составляют:
Для первого варианта переработки груза:
О = 9891383,04 × 0,1 = 989138,30 (руб.)
Для второго варианта переработки груза:
О = 12320070,84 × 0,1 = 1232007,08 (руб.)
Отчисления на амортизацию А определяем отдельно по элементам затрат
капиталовложений, а затем суммируем:
А = Амех + Астр; (5.14)
Амортизационные отчисления на машины и механизмы определяются по формуле:
Амех=0,01 × ∑Кмех × α; (5.15)
Амортизационные отчисления на строительные сооружения и устройства:
Астр=0,01 × ∑Кстр × α (5.16)
где α - норма отчислений на восстановление в %.
Если tгод>3000ч, то фактическая норма αф увеличивается и подсчитывается.
αф =α × (0,5 + tгод/6000);
где αф - фактическая норма отчислений (с учетом корректировки);
tгод -
фактическое время работы одной машины в течение года, час.
tгод=∑Qгод/М × Пэкс; (5.17)
Для первого варианта переработки груза:
tгод =
300000/(16 ×10,5) =
1785,7 (час.)
Для второго варианта переработки груза:
tгод =
300000/(7 × 31,2) =
1373,6 (час.)
Амортизационные отчисления на машины и механизмы:
Для первого варианта переработки груза:
Амех = 0,01 × 3920000 × 16 = 627200 (руб.)
Для второго варианта переработки груза:
Амех = 0,01 × 3850000 × 16 = 616000 (руб.)
Амортизационные отчисления на строительные сооружения и устройства:
Для обоих вариантов переработки груза:
Aстр =
0,01 × (28872528 × 2,9 + 1287707,50 × 3,5 + 2587612,50 × 3,2 + 193914 × 2,8) = = 970606,27 (руб.)
Общие отчисления на амортизацию составляют:
Для первого варианта переработки груза:
A =
627200 + 970606,27 = 1597806,27 (руб.)
Для второго варианта переработки груза:
A =
616000 + 970606,27 = 1586606,27 (руб.)
Затраты на средний и текущий ремонты, техническое обслуживание определяем
отдельно по элементам капзатрат, а затем суммируем:
Р = 0,01× (∑Кмех
× αт + ∑Кстр × αт); (5.18)
где αт - норма отчислений на текущий ремонт и техническое
обслуживание в %(для машин 4-8%, для зданий и сооружений 2-4%).
Определяем фактическую норму отчислений αф:
Затраты на средний и текущий ремонты, техническое обслуживание
составляют:
Для первого варианта переработки груза:
Р = 0,01 × (3920000 × 4 + 32941762 × 2) = 815635,24 (руб.)
Для второго варианта переработки груза:
Р= 0,01 × (3850000
× 4 + 32941762 × 2) = 812835,24 (руб.)
Годовые эксплуатационные расходы:
Для первого варианта переработки груза:
Sэ=
185604728,40 + 9891383,04+ 989138,30 + 1597806,27 + 815635,24 = = 198898691,25
(руб.)
Для второго варианта переработки груза:
Sэ=
110514712,50 + 3520020,24 + 352002,02 + 1586606,27 + 812835,24 = = 116786176,27
(руб.)
Приведенные затраты равны:
Для первого варианта переработки груза:
Eпр =
198898691,25 + 0,15 × 36861762 = 204427955,55 (руб.)
Для второго варианта переработки груза:
Eпр =
116786176,27 + 0,15 × 36791762 = 122304940,57 (руб.)
Расходы на амортизацию и текущие ремонты по каждому варианту переработки
груза сводим в таблицы 5.3 и 5.4.
Таблица 5.3 - Ведомость расходов на амортизацию и текущие ремонты для
первого варианта переработки груза
|
Наименование
|
Суммарная стоимость, руб.
|
Факт.число часов работы
машины, час/год.
|
Норма амортизационных
отчислений в долях
|
Годовые расходы на
амортизацию, руб.
|
Норма отчислений на текущий
ремонт в долях
|
Годовые расходы на текущий
ремонт, руб.
|
|
|
|
α
|
αф
|
|
αт
|
αтф
|
|
|
1.1. Электропогрузчик
ЭП-1003
|
3920000
|
29400
|
16
|
16
|
627200
|
4
|
4
|
156800
|
|
2.1 Сооружения склада
|
28872528
|
|
2,9
|
2,9
|
837303,31
|
2
|
-
|
577450,56
|
|
2.2. Ж.д. пути
|
1287707,50
|
|
3,5
|
3,5
|
45069,76
|
2
|
-
|
25754,15
|
|
2.3. Автопроезды
|
2587612,50
|
|
3,2
|
3,2
|
82803,60
|
2
|
-
|
51752,25
|
|
2.5 Сооружения линий
элетропередач
|
193914
|
|
2,8
|
2,8
|
5429,59
|
2
|
-
|
3878,28
|
|
Итого
|
|
|
|
|
1597806,26
|
|
|
815635,24
|
|
Всего
|
2413441,50
|
Таблица 5.4 Ведомость на амортизацию и текущие ремонты для второго
варианта переработки груза
|
Наименование
|
Суммарная стоимость, р.
|
Факт.число часов работы
машины, час/год.
|
Норма амортизационных
отчислений в долях
|
Годовые расходы на
амортизацию, р.
|
Норма отчислений на текущий
ремонт в долях
|
Годовые расходы на текущий
ремонт, р.
|
|
|
|
α
|
αф
|
|
αт
|
αтф
|
|
|
1.1.
Электропогрузчик EFG 535
|
3850000
|
27900
|
16
|
16
|
616000
|
4
|
4
|
154000
|
|
2.1 Сооружения склада
|
28872528
|
|
2,9
|
2,9
|
837303,31
|
2
|
-
|
577450,56
|
|
2.2. Ж.д. пути
|
1287707,50
|
|
3,5
|
3,5
|
45069,76
|
2
|
-
|
25754,15
|
|
2.3. Автопроезды
|
2587612,50
|
|
3,2
|
3,2
|
82803,60
|
2
|
-
|
51752,25
|
|
2.5 Сооружения линий
элетропередач
|
193914
|
|
2,8
|
2,8
|
5429,59
|
2
|
-
|
3878,28
|
|
Итого
|
|
|
|
|
1586606,26
|
|
|
812835,24
|
|
Всего
|
2399441,50
|
5.3 Выбор
оптимального варианта механизации
Оптимальным является вариант, который требует меньших капитальных затрат
К и годовых эксплуатационных расходов Sэ.
Для наглядной оценки вариантов и выбора оптимального рассчитанные
технико-экономические показатели сводим в таблицу 5.5
Таблица 5.5 - Технико-экономические показатели по вариантам комплексной
механизации и автоматизации ППР
|
Показатели
|
Еденица измерения
|
Варианты
|
Преимущественный вариант
|
|
|
Электропогрузчик ЭП-1003 ( I )
|
Электропогрузчик EFG 535 ( II )
|
|
|
1. Грузопоток
|
т.
|
300000
|
-
|
|
2.Приведенные
строительно-эксплуатационные расходы
|
руб.
|
204427955,55
|
122304940,57
|
II
|
|
3.Эксплуатационные расходы
|
руб.
|
198898691,25
|
116786176,27
|
II
|
|
4. Капиталовложения полные
|
руб.
|
36861762
|
36791762
|
II
|
6.
ОРГАНИЗАЦИЯ ТЕХНИЧЕСКОГО ОБСЛУЖИВАНИЯ ПОГРУЗОЧНО-РАЗГРУЗОЧНЫХ МАШИН
За срок службы каждая машина подвергается различным видам ремонта и
технического обслуживания.
Потеря машиной работоспособности в процессе её эксплуатации -
неотвратимый процесс, протекающий в зависимости от конструкции машины и условий
её использования с большей или меньшей интенсивностью.
Система планово-предупредительного технического обслуживания и ремонта
(ППР) представляет собой комплекс взаимосвязанных положений и норм,
определяющих организацию и последовательность этих работ в заданных условиях
эксплуатации машин. Она предусматривает проведение технического обслуживания и
ремонтов в плановом порядке в зависимости от времени работы или выполнения
нормированного объема переработки груза.
Контрольное ежесменное обслуживание заключается в наружном осмотре
погрузчика и отдельных его механизмов, чтобы обеспечить безаварийную работу в
течение смены, надлежащий внешний вид и технику безопасности при выполнении
грузовых операций. Два вида периодического технического обслуживания (ТО-1) и
(ТО-2) отличаются объемом работ и сроками их проведения. Цель их - поддержание
в исправном, работоспособном состоянии машины между двумя ближайшими
техническими обслуживаниями.
Текущий ремонт в процессе эксплуатации должен гарантировать
работоспособность погрузчика и состоит в замене, восстановлении и регулировке
отдельных его частей. При капитальном ремонте восстанавливают ресурс машины с
заменой или восстановлением любых ее частей, включая базовые (раму), и их
регулировкой.
Планово-предупредительная система технического обслуживания и ремонта
электропогрузчиков заключается в строгом соблюдении всех нормативов,
предусмотренных ею. Останавливать машины на ремонт следует, как правило, через
циклы технического обслуживания или через межремонтные периоды. Возможные
неплановые операции или мелкие ремонтные работы целесообразно выполнять в
технологические перерывы (отсутствие вагонов или автомобилей и др.).
Техническое обслуживание ТО-2. При ТО-2 выполняют все виды ТО-1 и
дополнительно: - проверяют крепление тормозных трубопроводов, главного и
колесных тормозных цилиндров; - состояние тормозных накладок и зазоры между
колодками и тормозными барабанами колесных и центрального тормозов. При
необходимости регулируют зазор, а также величину свободного хода тормозной
педали, подшипники ступиц колес; параллельность установки управляемых колес;
механизмы включения электродвигателя насоса; заменяют масло в гидросистеме
(через одно техническое обслуживание ТО-2).
Техническое обслуживание электрооборудования. Зарядка щелочных и
кислотных аккумуляторов производится от мотор-генераторов, полупроводниковых
выпрямителей и автодиодов. Зарядные устройства должны иметь электроконтактные
часы, обеспечивающие автоматическое прекращение зарядки по истечении заданного
времени. При этом после проверки батареи, включаемой на зарядку,
устанавливается время работы агрегата и требуемая сила зарядного тока. Схема
технического обслуживания электропогрузчика приведена на рисунке 6.1.
Электропогрузчики обслуживаются комплексными бригадами. Выполнение
погрузочно-разгрузочных работ с применением погрузчиков производится на основе
технологии, установленной на железнодорожной станции или на предприятии. При
этом местные условия на складах и режимы работы погрузчиков должны отвечать
указаниям инструкций по эксплуатации для машин конкретных типов.
Для технического обслуживания и текущего ремонта электропогрузчиков и
зарядки аккумуляторных батарей на станциях строятся гаражи с зарядными
пунктами. Они обычно примыкают к зданиям складов, в которых работают
электропогрузчики, или располагаются вблизи этих зданий. Гараж и зарядная
размещаются смежно в одном здании. Иногда они имеют раздельные двери.
Электролитная оборудуется вытяжным химическим шкафом, водопроводом и
стоком в канализацию. В ней устанавливаются дистиллятор, ванна для
приготовления электролита, умывальник, бачки или бутыли для готового
электролита и дистиллированной воды.
В агрегатном отделении устанавливаются преобразователи переменного тока в
постоянный или полупроводниковые зарядные» агрегаты, распределительный щит,
хранятся необходимые для контроля правильности зарядки аккумуляторов:
переносный вольтметр постоянного тока, нагрузочная вилка, переносная лампа
(низковольтная).
Ремонтное отделение оборудуется смотровой канавой для проверки и
технического обслуживания ходовых частей погрузчиков. Размеры канавы на один
электропогрузчик: длина 2,5 м, ширина 0,6 и глубина 1,5-2 м. Канава на одном
конце снабжается лестницей, стенки и дно ее бетонируются.
Для производства ремонта погрузчиков, заправки их рабочей жидкостью
гидравлических систем, смазочными маслами и тормозной жидкостью
механизированные дистанции погрузочно-разгрузочных работ на железных дорогах и
промышленные предприятия должны быть склады сменных агрегатов и узлов, запасных
частей и ремонтных материалов и кладовые для хранения смазочных материалов.
Рисунок 6.1 - Схема технического обслуживания электропогрузчика
7. ЗАКЛЮЧЕНИЕ
Многие транспортно-грузовые системы перерабатывают большие грузопотоки, в
том числе одинаковых или подобных грузов. В этих условиях высокая экономическая
эффективность логистических систем доставки грузов может быть достигнута
посредством широкой автоматизации погрузочно-разгрузочных работ, транспортных и
складских работ, подъемно-транспортных машин и переработки информации,
складского документооборота и учета грузов.
Сущность автоматизации состоит в том, что производственные процессы, в
том числе операции основного технологического процесса производства и связанные
с ними работы выполняются без участия человека (или с минимальным участием
человека - в зависимости от степени автоматизации операций) автоматическими
машинами и механизмами.
К числу наиболее простых и распространенных захватных приспособлений
относятся вилы, используемые для захвата тарно-штучного груза, уложенного на
поддон или прокладки. В зависимости от типа погрузчиков и перерабатываемого
груза вилы имеют длину от 0,5 до 2,5 м. Вилочный подхват состоит из вил
Г-образной формы. Вилы можно передвигать на поперечной балке каретки,
устанавливая между ними нужное расстояние.
Универсальным вилочным захватом можно перемещать различные тарно-штучные
грузы в ящиках, кипах, бочках в непакетированном и пакетированном виде в
складских помещениях, вагонах и на открытых площадках. Отличительная
особенность его - крепление вил к подвижным кареткам, что позволяет
поворачивать их на 45°,90° и 180° вокруг горизонтальной оси.
В зависимости от требуемой высоты подъема груза одни и те же
электропогрузчики могут иметь разные грузоподъемные механизмы. Грузоподъемные
механизмы с разной высотой подъема различаются длиной рам, цилиндров и цепей.
Все они оснащены телескопической рамой, кареткой, на которую устанавливают
сменные грузозахватные приспособления, цилиндром подъема, двумя цилиндрами
наклона, траверсой с направляющими блоками или звездочками и грузовыми цепями.
Чтобы достичь более высокой производительности, уменьшить ущерб для
перегружаемых и транспортируемых изделий и снизить число случаев травматизма
водителей погрузчиков и рабочих, занятых на вспомогательных операциях, для
многих грузов требуются иные, чем вилы, захватные приспособления. Даже если выбор
пал на напольное погрузочное оборудование в стандартной комплектации, то,
дополнив ее каретками бокового сдвига или позиционирования вил, в большинстве
случаев можно значительно облегчить и упростить обработку груза, а значит,
увеличить ее эффективность. Именно эта задача является первоочередной для
многих компаний, занятых складским бизнесом.
В настоящее время наибольшее распространение получили сменные навесные
рабочие органы, преимущество которых в том, что их можно закрепить на плите
каретки грузоподъемной мачты напольного транспорта несколькими движениями рук
за считанные минуты и так же быстро демонтировать, благодаря чему напольное
транспортное оборудование становится еще более универсальным.
8. ЛИТЕРАТУРА
1. Батищев И.И. «Организация механизация ПРР на автомобильном
транспорте» 2010.
. Геронимус Б.Л. «Экономико-математические методы в
планировании на автомобильном транспорте» 2009.
. Краткий автомобильный справочник НИИАТ 2010.
. Майборода М.Е. «Грузовые автомобильные перевозки» 2007.
. Правила перевозки автомобильного транспорта 2006.
. Прейскурант №13-01-01 «Единые тарифы и нормы времени на
погрузку-разгруку автомобильного транспорта» 2009.
. Ходош М.С. «Грузовые перевозки» 2009.