Розрахунок суднового двигуна типу 6L275ІІІPN
РОЗДІЛ 1
ЗАГАЛЬНИЙ ОПИС ТА КОНСТРУКЦІЯ ДВИГУНА
1.1 Головний двигун, його
характеристики та конструкція
.1.1 Загальний опис та
характеристики головного двигуна
Непереривне вдосконалення двигунів
Шкода 6L275
в напрямі зниження їх питомої ваги, підвищення економічності та надійності,
підвищення агрегатних потужностей, та також підвищення моторесурсу призвело до
створення ряду модифікацій суднових двигунів типу 6L275ІІІPN
з газотурбінним наддувом. Ці двигуни по своїм технічним та експлуатаційним
показникам найбільше відповідають вимогам суднових силових установок. Двигуни
6Л275ІІІПН рядні, чотирьохтактні, з водяним охолодженням, з одним
всмоктувальним та одним випускним клапанами в кришці, камера згорання типу
Гасселман, пуск двигуна повітряний. Загальний вид двигуна зображений в рис.
1.1.
Таблиця 1.1 - Детальна
характеристика двигуна 6Л275ІІІПН
|
Характеристика
|
Розмірність
|
Марка
двигуна
|
|
Марка
|
-
|
6Л275ІІІПН
|
|
Номінальна потужність, nj
|
кВт
|
522
|
|
Потужність з перегрузкою на 10 %
|
кВт
|
566,33
|
|
Напрям
обертання
|
-
|
правий
|
|
Число
оборотів
|
хв-1
|
600
|
|
Число оборотів з перегрузкою
|
хв-1
|
618
|
|
Тактність
|
-
|
4
|
|
Характеристика
|
Розмірність
|
Марка
двигуна
|
|
Діаметр
циліндра
|
мм
|
275
|
|
Хід поршня
|
мм
|
350
|
|
Число
циліндрів
|
-
|
6
|
|
Спосіб вприску палива
|
-
|
Безпосередній
|
|
Спосіб надуву
|
-
|
Низького тиску
|
|
Спосіб охолодження
|
-
|
Водою, двухконтурний
|
|
Спосіб мащення
|
-
|
Мастилом під тиском
|
|
Робочий об’єм одного циліндра
|
дм3
|
20,8
|
|
Середня швидкість поршня
|
м/с
|
7
|
|
Експлуатаційний діапазон обертів
|
хв-1
|
200-618
|
|
Вільні оберти, nv
|
хв-1
|
300±10%
|
|
Холості обороти, no
|
хв-1
|
642
|
|
Максимальне перехідне число обертів, nm
|
хв-1
|
660
|
|
Мінімально стійка кількість обертів
|
хв-1
|
200±5
|
|
Оберти при реверсуванні
|
хв-1
|
250-300
|
|
Аварійний регулятор запрацює при
|
хв-1
|
690±20
|
|
Експлуатаційні тиски:
|
|
Середній ефективний тиск
|
кПа
|
8,42
|
|
Тиск стискання
|
кПа
|
42-44
|
|
Тиск згоряння
|
кПа
|
70
|
|
Тиск згоряння при 10 % перенавантаженні
|
кПа
|
73
|
|
Характеристика
|
Розмірність
|
Марка
двигуна
|
|
Максимально допустимий тиск випускних газів в
трубопроводі за турбіною
|
кПа
|
0,03
|
|
Максимально допустимий нижній тиск в всмоктуванні
турбокомпресора
|
кПа
|
0,03
|
|
Експлуатаційні температури:
|
|
Температура випускних газів в горловинах
циліндрів
|
˚С
|
440
|
|
Температура випускних газів в горловинах
циліндрів при 10 % перенавантаженні
|
˚С
|
460
|
|
Температура випускних газів перед турбіною
|
˚С
|
540
|
|
Температура випускних газів перед турбіною при
10 % перенавантаженні
|
˚С
|
580
|
|
Температура випускних газів за турбіною
|
˚С
|
460
|
|
Температура випускних газів при 10 %
перенавантаженні
|
˚С
|
490
|
|
|
|
|
Рисунок 1.1 - Головний двигун
6Л275ІІІПН
1.1.2
Конструкція головного двигуна та його елементів
Двигуни марки 6L275ІІІPN
встановлюються з реверс-редукторами VSR-10
на багатьох суднах. Двигун (рис. 1.4) має суцільну чавунну фундаментну раму 1.
Рамові підшипники з сталебабітовими вкладишами. Блок-картер 6 кріпиться до
фундаментної рами внутрішніми болтами 3. Частина картерних люків оснащена
запобіжними клапанами 4. Вставні чавунні втулки циліндрів 14 ущільнені вгорі
мідною або сталевою прокладкою, внизу - заставними кільцями. Кришки 8 циліндрів
чавуннііндивідуальні, закриті зверху ковпаками.
Поршні 13 з алюмінієвого сплаву.
Ущільнюючих кілець чотири або п’ять, маслоз’ємних два або три. У останньому
випадку два маслоз’ємних кільця ставлять в нижній частині тронка. Палець
плавучий, фіксується пружинними кільцями, хоча зустрічається і фіксація
заглушками. Шатун 17 має двотавровий стрижень з приклепаною трубкою для
підведення масла до поршневого підшипника, утворений сталевою втулкою,
заплавленою свинцюватоюбронзою.
У двигуні в верхній голівці шатуна є
сопло для струминного охолодження маслом днища поршня.
Колінчатий вал 2 цільний, з
суцільними шийками. Масло для змащення його шийок підводиться до рамового
підшипнику від мастильної магстралі 5, потім проходить до шатунної шийки по
похилому каналу кривошипа. Також кожний кривошип обладнаний противагою 18.
Впускних та випускних клапанів по
одному в кожному циліндрі по одному. Привід клапанів штанговий. Розподільний
вал 16 розташований в закритому відсіку блок-картера. Кулачкові шайби клапанів
виковані індивідуально. Впускний 12 та випускні 9 колектори установлені з
різних сторін. Надув імпульсний PDH
35Н.
Тиск надуву 132,3 кПа/см². Випускних
колекторів 9 в двигуні два. Паливна система з шестерінчастим паливопідкачуючим
насосом. Паливні фільтри грубої очистки сітчасті або щільові, тонкої -
войлочні. Паливні насоси високого тиску 15 золотникового типу стандартні
індивідуальні. Форсунки 11 закритого типу з фільтрами високого тиску. Тиск
під’єму голки 21570 - 24500 кПа. Регулятор все режимний непрямої дії.
Система мащення двигуна виповнена по
схемі з маслозбірником. Масляний насос шестерінчастий реверсивний з перекидним
розподільним золотником. Також є другий резервний насос, може вмикатись та
вимикатись кулачковою муфтою. Масляний фільтр пластинчато-щільовий та
сітчастий, які послідовно увімкненні. Масляний холодильник 7 трубчатий. Є
терморегулятор.
Насоси системи охолодження лопатні
само всмоктувальні. Водяні холодильники трубчаті.
Повітряний пусковий пристрій має
пускові клапани 10 з пневматичним відкриттям, загальний повітряний розподільник
з циліндричними золотниками та головні клапани з навантажним поршнем. Навісний
двоступінчатий компресор обладнаний автоматом включення, який віджимає
всмоктувальний клапан ц.н.д. Реверсивний пристрій пневматичний, є аварійний
реверс.
У двигуна є рукоятка швидкої
зупинки. Також двигун має винесений в рубку основний пост з тросико - валиковим
зв’язком по управлінню подачі палива. Крім того для двигуна розроблене
пневматичне ДАУ(дистанційне автоматизоване управління).
судновий двигун паливний
РОЗДІЛ 2
РОЗРАХУНОК ДВИГУНА 6Л275ІІІПН
.1 Тепловий розрахунок двигуна
.1.1 Вибір і обґрунтування вихідних
даних
Процеси, які здійснюються в робочому
циліндрі, внаслідок складних взаємозв'язків між параметрами і фізичними явищами,
а також через змінність об'єму циліндра дуже складні. Тому в розрахунках
звичайно прибігають до визначених спрощень опису фізичних явищ, що дозволяє
використовувати загальновідомі положення технічної термодинаміки.
Зміна параметрів у процесах циклу
залежить як від конструктивних особливостей двигуна, наприклад, дійсного
ступеня стиску, так і від параметрів у колекторах, що залежать від особливостей
систем повітропостачання і газовідводу.
Розрахунок власне циклу зводиться до
визначення параметрів наприкінці відповідних процесів, починаючи з процесу
наповнення, розрахунку параметрів, що характеризують цикл у цілому -
індикаторних показників двигуна; побудові теоретичної індикаторної діаграми.
Крім того, проводять розрахунок параметрів, що характеризують роботу двигуна в
цілому - ефективних показників двигуна.
Для розрахунку робочого циклу
необхідно вибрати ряд вихідних параметрів. Вибір кількості вихідних даних
залежить від прийнятої схеми розрахунку робочого циклу, а правильність
прийнятих даних істотно впливає на точність кінцевих результатів розрахунку.
Дійсне значення ступеня
стиснення 
. Величина дійсного ступеня
стиснення впливає на параметри циклу і показники двигуна. Прагнення зменшити
максимальний тиск в циклі (і тим самим збільшити ресурси двигуна) примушує
зменшувати величину ступеня стиснення найбільш вигідною з погляду паливної
економічності. Для двигуна, що розраховується, приймаємо ступінь стиснення 
= 13[6].
Коефіцієнт надлишку повітря
при горінні палива 
. Зі збільшенням коефіцієнта
надлишку повітря при горінні палива, збільшується індикаторний ККД але
зменшується середній індикаторний тиск, а також знижується температура газів.
Чисельне значення 
приймається залежно від способу
сумішоутворення. Приймаємо 
= 2,3 [6].
Коефіцієнт залишкових газів γг. Величина
коефіцієнта залишкових газів залежить від тактності і оборотності двигуна, типу
системи газообміну і її конструктивного виконання, розмірів циліндра, ступеня
стиснення. Приймаємо γг = 0,04 [6].
Температура повітря в
наддувочному колекторі Тк. Величина температури в наддувочному колекторі не
повинна бути нижче за температуру точки роси, яка залежить від тиску
наддувочного повітря, температури навколишнього середовища і відносної
вологості навколишнього повітря. У першому наближенні можна прийняти Тк =320 К [6].
Коефіцієнт наповнення
циліндра. У першому наближенні для чотирьохтактних ДВЗ ηн =
0,85
[6].
Підігрів повітря об стінки
циліндра. Згідно з досвідченими даними для ДВЗ з наддувом ΔТа =
15 К
[6].
Коефіцієнт зниження тиску при
вході в циліндр.
.
Показник політропи стиснення. У
першому наближенні n1=1,35 [6].
Коефіцієнт використання
теплоти в кінці згорання, точка “z”. Приймаємо
[6].
Коефіцієнт використання
теплоти в кінці процесу розширення, точка “b”. Приймаємо
[6].
Ступінь підвищення тиску в циліндрі λ.
Приймаємо λ=
1,15[6]. Максимальна температура при згоранні палива Тz. У першому наближенні
Тz= 2000 К
[6].
Температура в кінці розширення, Tb =
1000 К(попередня величина для розрахунку)[6].
Показник політропи розширенні (у
першому наближенні) n2 =1,25 [6].
Температура залишкових газів Тг = 720
К.
Механічний ККД двигуна, ηм.
Приймаємо величину ηм
= 0,85
[6].
Коефіцієнт тактності z. Для
чотирьохтактного двигуна z=0,5[6].
Частка втраченого ходу ψs.
Приймаємо величину ψs
= 0
[6].
Для дизеля 6ЧНСП 27,5/35-3згідно :
Діаметр циліндра Dц = 0,275 м.
Хід поршня S = 0,350 м.
Ефективна потужність двигуна Nе =522
кВт.
Частота обертання n = 600 хв-1.
Число циліндрів i = 6.
Очікувана питома ефективна витрата
палива ge = 0,215кг/(кВт·год).
Коефіцієнти в рівняннях середньої
ізохорної теплоємності чистого повітря і чистих продуктів згорання [6]:
a'v= 19,26 кДж/(кмоль·К); a''v =
20,47кДж/(кмоль·К);' = 0,0025кДж/(кмоль·К2); b'' = 0,0036 кДж/(кмоль·К2).
Склад палива (приймається умовне паливо [7]):
вуглецьС = 0,856 кг; водень Н = 0,13 кг; кисень О = 0,004 кг; волога W = 0 кг і
сірка S = 0,01 кг.
Коефіцієнт округлення індикаторної діаграми φскр
= 0,96 [6].
2.1.2 Розрахунок процесу наповнення
. Необхідний
тиск повітря в наддувочному колекторі, МПа [6]:
(2.1)
2. Тиск в кінці
процесу наповнення, МПа [6]:
(2.2)
. Температура
в кінці процесу наповнення, К [6]:
(2.3)
. Коефіцієнт
наповнення циліндра[6]:
(2.4)
.1.3 Розрахунок процесу стиснення
Процес стиснення повітря в циліндрі
ДВЗ здійснюється при русі поршня від нижньої мертвої точки (НМТ) до верхньої
мертвої точки (ВМТ). Основне призначення процесу стиснення - підвищення
температури заряду для забезпечення самозаймання упорскуємого палива (суміші) і
ефективного його спалювання. Цей процес стиснення є політропним з показником
ступеня стиснення n1,
змінним на всьому протязі ходу поршня. У розрахунку робочого процесу стиснення
приймається, що він відбувається за політропою з умовним середнім показником n1
=
const, величина якого забезпечує отримання такої ж
роботи на лінії стиснення, як і при дійсному показнику.
. Коефіцієнти в рівнянні середньої
ізохорної теплоємності заряду на лінії стиснення розраховуємо за формулами [6]:
(2.5)
(2.6)
. Середній
показник політропи стиснення, n1 визначаємо методом послідовних наближень за
формулою:
(2.7)
Перше наближення:
Друге наближення:
Третє наближення:
. Знаходимо
різницю значень показника політропи стиснення в 3-му і
-му наближеннях:
(2.8)
Оскільки різниця не перевищує ±
0,005, останнє значення приймається як остаточне. Тобто n1 =
= 1,371.
8. Тиск в кінці
стиснення, МПа [6]:
(2.9)
. Температура
в кінці стиснення, К [6]:
(2.10)
2.1.4 Розрахунок процесу згорання
Основним процесом, що відбувається в циліндрі
двигуна, є горіння рідкого розпорошеного палива, що упорскується в циліндр
дизеля.
Процес горіння представляє окислення складових
частин палива з виділенням теплоти, яку необхідно корисно використовувати.
. Теоретично
необхідно, кількість повітря для згоряння 1 кг палива L0, кмоль/кг [6]:
(2.11)
11. Дійсна
кількість повітря, необхідна для згоряння 1 кг палива L,
кмоль/кг [6]:
(2.12)
. Хімічний коефіцієнт молекулярної
зміни β0
[6]:
(2.13)
13. Дійсний коефіцієнт молекулярної
зміни β
[6]:
(2.14)
. Коефіцієнт
молекулярної зміни в точці z, βz [6]:
(2.15)
. Постійна
палива,k [6]:
(2.16)
. Коефіцієнти в рівнянні середньої
ізохорної теплоємності газів у точці z
визначаються за рівняннями, кДж/(кмоль∙К) [6]:
(2.17)
(2.18)
. Коефіцієнти в рівнянні середньої
ізохорної теплоємності газів у точці b
[6]:
(2.19)
(2.20)
18. Теплота
згоряння палива, приведена до абсолютного нуля
, кДж/кг [6]:
(2.21)
19. Нижча
теплота згоряння палива, приведена до абсолютного нуля
кДж/кг [6]:
(2.22)
. Постійні в
рівнянні згоряння:
(2.23)
У першому наближенні температуру Tz приймаємо
виходячи з того, що при більшому значенні Tz> 2000 К відбувається дисоціація
газів, що небажано.
21. Максимальна
температура в циклі Tz визначається методом послідовних наближень за формулою,
К [6]:
(2.24)
Перше наближання при Tz = 2000 К:
Друге наближання:
Третє наближання:
. Максимальний
тиск в циліндрі pz, МПа [6]:
(2.25)
2.1.5 Розрахунок процесу розширення
Основний робочий хід поршня двигуна здійснюється
при розширенні продуктів згорання. На процес розширення впливають теплообмін
газів, що розширюються, із стінками циліндра, можливість витоку газів через
нещільність в результаті процесу дисоціації. Всі ці фактори обумовлюють
зменшення показника політропи n2. У зв'язку з труднощами врахування всіх
факторів супроводжуючих процес розширення, для визначення параметрів газів
використовують політропу і умовний показник n2, що постійний на процесі
розширення і дає таку ж роботу, як при дійсній політропі.
23. Ступінь попереднього розширення 
[6]:
(2.26)
24. Ступінь подальшого розширення 
[6]:
(2.27)
. Температура газу в кінці розширення Тb, К [6]:
(2.28)
26.Тиск в кінці процесу розширення рb, МПа [6]:
(2.29)
.1.6 Визначення індикаторних показників циклу
Індикаторні показники характеризують
досконалість робочого циклу в циліндрі, де враховуються тільки теплові втрати.
Всі теплові втрати в даному циклі двигуна
враховуються індикаторним ККД, який є критерієм використання теплоти,
підведеної до робочого тіла.
.Середній індикаторний тиск по діаграмі без
скруглення pi', МПа [6]:
(2.30)
. Середній індикаторний тиск за округленій
індикаторній діаграмі
, МПа [6]:
(2.31)
. Питома індикаторна витрата палива gi,
кг/(кВт·год) [6]:
(2.32)
. Індикаторний ККД ηi
[6]:
(2.33)
.1.7 Визначення ефективних параметрів двигуна
Ефективні показники робочого циклу враховують
теплові і механічні втрати, які є при передачі енергії розширення газів через
поршень і кривошипно-шатуновий механізм на колінчастий вал.
Середній ефективний тиск є одним з найважливіших
показників робочого циклу, що характеризують ступінь ефективного використання
об'єму робочого циліндра, а також рівень наддуву. Ефективний ККД характеризує
ступінь досконалості робочого циклу, ступінь наближення розрахункового циклу до
ідеального, ступінь досконалості конструкції [6].
. Середній ефективний тиск ре, МПа [6]:
,
(2.34)
. Питома ефективна витрата палива ge,
кг/(кВт·год) [6]:
(2.35)
33. Ефективний ККД двигуна, ηе:
(2.36)
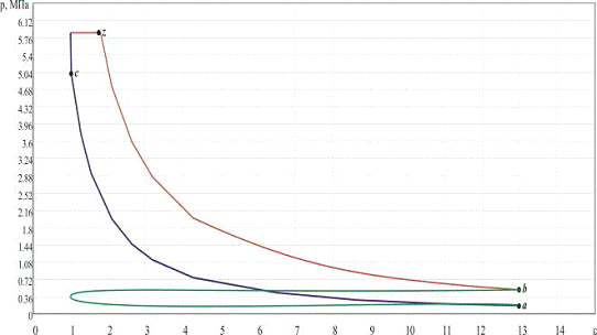
Рисунок 2.1 - Індикаторна діаграмма
. Індикаторна потужність, кВт:
(2.37)
. Ефективна потужність, кВт:
(2.36)
РОЗДІЛ 3
ДИНАМІКА ДВИГУНА
3.1 Розрахункова схема кривошипно -
шатунного механізму
.1.1 Складові рушійного зусилля
Під рушійною силою розуміють систему
усіх сил, прикладених до центру приведення усіх поступально рухомих мас
механізму.
В загальному випадку рухомі зусилля
будуть представленні в алгебраїчну суму:
(3.1)
де РДВ - сила від тиску газів;
PS - сила інерції поступальних мас;
Рg - сила тяжіння поступальних мас;
РК - сила тиску на поршень с тильної
частини;
РТР- сила
тертя.
При ескізному проектуванні двигуна, сили тертя
враховувати не обовʼязково, т.к. деяке збільшення РДВотримане
при цьому збільшить запас міцності деталей в розрахунках на міцність.
В звʼязку з тим, що сила Рg
та сила РК є постійні величин, то в розрахунках будем використовувати формулу
котра враховує основні складові рушійного зусилля.
(3.2)
3.1.2 Силова схема КШМ
На рис 3.1 представлена слова схема КШМ
Рисунок 3.1 - Силова схема КШМ
кут повороту колінчатого валу;
сила
інерції поступальних мас, МПа;
нормальна сила, МПа;
сила яка
діє на шатун, МПа;
радіальна
сила, МПа;
дотична
сила, МПа.
(3.3)
(3.4)
(3.5)
(3.6)
3.2 Вибір вихідних данних для розрахунку
динаміки двигуна
Тактність - 4
Діаметр циліндраD=
0,275 м
Хід поршня S=
0,350 м
Частота обертання колінчатого вала n=600
хв-1
Постійна механізму
=0,250
Кут заклинки кривошипів колінвалу -
120°
Дійсна ступінь стиснення Е=13
Ступінь попереднього розширення
1,681
Показник політропи стиснення, n1 =
1,371
Показник політропи розширення, n2 =
1,25
Маса поступально - рухомих
частин,віднесена до площі поршня, кг/м2,= 167,0
Максимальний тиск згорання, Pz =
6,534МПа
Тиск початку стиснення, Pa = 0,169
МПа
Сила тяжіння поступально - рухомих
мас,віднесена до площі поршня,= 0,145МПа
Середній умовний тиск в період
очищення і наповнення циліндра,= 0,184 МПа
Тиск, що діє на поршень знизу,
Pbs=0,178МПа
3.3 Побудова діаграми сумарних дотичних зусиль і
визначення середнього крутного моменту
.3.1 Визначення максимального кута повороту
кривошипа
Кут повороту кривошипа відповідний періоду зміни
сумарної дотичній діаграми визначається за формулою:
где z
= 0,5 - коэффициент тактности двигателя;i
= 6- количество цилиндров двигателя (3.7)
3.3.2 Побудова діаграми сумарних дотичних зусиль
Середнє сумарне тангенціальне зусилля, Tr
= 1,145МПа
У тепловому розрахунку індикаторна потужність,
Ni = 614,17 кВт
У динамічному розрахунку індикаторна потужність,
Ni = 614,17 кВт
Відносна помилка динамічного розрахунку, -0,36 %
Таблиця 3.1 - Крива сумарного тангенціального
зусилля
|
Tr
|
|
|
0
|
0,3097
|
|
10
|
1,5545
|
|
20
|
2,7401
|
|
30
|
2,9903
|
|
40
|
2,3684
|
|
50
|
1,7022
|
|
60
|
1,0725
|
|
70
|
0,5188
|
|
80
|
-0,0169
|
|
90
|
-0,5154
|
|
100
|
-0,8361
|
|
110
|
-0,6287
|
|
120
|
0,3097
|
Рисунок 3.2 - Крива
сумарного тангенціального зусилля
Таблиця 3.2 - Дані дляпобудовидинамічних діаграм
|
PЈPгPcNRT
|
|
|
|
|
|
|
|
0
|
5,565
|
-0,144
|
5,375
|
0,000
|
5,375
|
0,000
|
|
120
|
0,747
|
0,072
|
0,773
|
0,171
|
-0,535
|
0,584
|
|
240
|
0,184
|
0,072
|
0,210
|
-0,047
|
-0,145
|
-0,159
|
|
360
|
0,184
|
-0,144
|
-0,006
|
0,000
|
-0,006
|
0,000
|
|
480
|
0,184
|
0,072
|
0,210
|
0,047
|
-0,145
|
0,159
|
|
600
|
0,244
|
0,072
|
0,270
|
-0,060
|
-0,187
|
-0,204
|
|
720
|
5,565
|
-0,144
|
5,375
|
0,000
|
5,375
|
0,000
|
Рисунок 3.3
-Діаграми динаміки двигуна
Середнєзначення сумарноїдотичної
силивизначається по формулі:
(3.8)
де
= 13 -
кількість сумарних дотичних зусиль;
3.4 Визначеннярозрахункової
величиниіндикаторної і ефективноїпотужності
Індикаторнапотужність дизеля, кВт:
Ефективна потужність дизеля,
кВт:
(3.9)
Розрахунок
зійшовся без похибки за ефективною потужністю.
РОЗДІЛ 4
ПЕРЕВІРОЧНИЙ РОЗРАХУНОК НА МІЦНІСТЬ
ОСНОВНИХ ДЕТАЛЕЙ ДВИГУНА
Основний розрахунковий елемент
поршня - його днище, в якому під час роботи виникає напруга, обумовлена тиском
газів і різницею температур внутрішньої і зовнішньої поверхонь. Поршневе днище
прийнято розраховувати (рисунок 4.1), як вільно лежачу плиту, що спирається на
коло середнього діаметру поршня D1 і навантажену рівномірним тиском Рz..
Рисунок 4.1 - Розрахункова схема
поршня
Напруга в матеріалі за вказаних умов
є більшою, ніж в реальному випадку закріплення плити по краях [8].
Небезпечний перетин I - I
розташовано по діаметру. Розглянемо умови рівноваги будь-якої половини плити.
Рівнодіючий тиск Pzстановитиме:
(4.1)
а для половини плити вона
складе
і буде
прикладена в центрі тяжкості півкола на відстані х від перетину I - I. Рівнодіюча
опорного тиску (реакція) по величині також рівна
, але направлена в протилежну
сторону і прикладена в центрі тяжіння півкола на відстані у від небезпечного
перетину.
Таким чином, в діаметральному
перетині діє пара сил, що створює момент вигину:
(4.2)
а
Момент опору вигину Wв
припущенні, що днище плоске:
(4.3)
(4.4)
Для створення додаткового запасу
міцності в розрахунках приймають= D, де D - діаметр циліндра.
Окрім механічної напруги від
сили рzв днищі виникає теплова напруга
величину якої підраховують за
формулою, МПа:
(4.5)
деа - коефіцієнт
пропорційності, рівний для чавуну 0,00835, для сталі 0,02, для алюмінієвих
сплавів 0,00547;
- товщина
днища, м; q - питоме теплове навантаження, Дж/(м2·с), рівнеq=
(0,071...0,186)·n·pi; п - частота обертання колінчастого валу, с-1; pi-
середній індикаторний тиск, Н/м2.
Сумарна напруга в днище
поршня, МПа:
(4.6)
не повинна перевищувати для чавунних
поршнів 200 МПа, для сталевих 400 МПа, для алюмінієвих 150 МПа. З останньої
формули виходить, що із збільшенням товщини днища поршня механічна напруга
знижується, а теплові зростають.
Таким чином, якщо підставити в
приведені формули всі відомі значення, отримаємо:
Таким чином запас міцності
забезпечений.
РОЗДІЛ 5
РОЗРАХУНОК ПАЛИВНОЇ СИСТЕМИ ДВИГУНА
Розрахунок систем паливоподачі у
першу чергу стосується вибору основних геометричних розмірів паливного насоса
високого тиску, соплового апарата форсунки й паливного кулачка, що забезпечують
одержання заданих параметрів упорскування [8].
Нижче приводиться скорочений спосіб
визначення основних конструктивних елементів паливної апаратури.
Головне в розрахунку форсунки
- визначення діаметра соплових отворів
. Вихідним для розрахунку є вираз,
що встановлює кількість палива
, що доводиться на одну циклову
подачу, г/цикл:
(5.1)
де
-
номінальна потужність циліндра двигуна, що обслуговується однією форсункою;
- питома
витрата палива;
- номінальна
частота обертання розподільного вала.
Таким чином при


одержимо:
Об’єм цієї кількості палива,
см3/цикл:
(5.2)
де 
= 0,85…0,90 - густина палива,
г/см3.
Об’єм палива
, який
повинен пройти через соплові отвори форсунки й потрапити в камеру стиснення за
певний заданий проміжок часу й з відповідною швидкістю.
Така умова визначиться
рівнянням нерозривності потоку:
(5.3)
(5.4)
де
- сумарна
площа прохідного перетину всіх соплових отворів розпилювача;
- швидкість витікання палива;
- час упорскування, де
- кут
упорскування (поворот кривошипа за період витікання палива з форсунки);
- частота обертання колінчастого
вала;
- коефіцієнт витікання з соплового
отвору. Приймаємо 
= 0,75.
У двигунах з однокамерним
сумішоутворенням можна прийняти
. Вибір кута
залежить
від способу сумішоутворення, швидкохідності й інших факторів. У даному випадку
п.к.в.,
тоді:
Визначивши з рівняння
величину
і маючи на
увазі, що,
, де
- площа
прохідного перетину одного соплового отвору;
- число соплових отворів.
Остаточно отримаємо:
Діаметр соплових отворів у
побудованих двигунах становить
. Кут між осями отворів перебуває в
межах 70...45°. Його вибирають залежно від форми камери згоряння.
Розміри паливного насоса
визначають виходячи з величини
.
Якщо враховувати
стискальність палива, втрати палива через нещільності рухливих частин паливного
насоса й інші фактори, то продуктивність насоса зазвичай приймають з запасом у
1,5…2 рази.
Таким чином, об’єм палива, що
повинен розміститися в надплунжерному просторі становитиме:
(4.6)
Основні розміри насоса можуть
бути визначені з виразу:
де
- діаметр
плунжера;
- активний хід плунжера.
Практикою вироблені
оптимальні відносини
Для тихохідних дизелів
. Приймаємо
.
Підставивши обрані значення,
одержимо:
Істотним для роботи двигуна є
закон подачі палива. Подача відбувається на відрізку кривої наростання
швидкості. Отже, величина
повинна
становити приблизно одну третину повного робочого ходу плунжера.
СПИСОК ЛІТЕРАТУРИ
1. Возницкий И.В. Судовые двигатели
внутреннего сгорания. Том1. СПб.: Моркнига, 2007.
. Возницкий И.В., Пунда А.С. Судовые
двигатели внутреннего сгорания. Том2. СПб.: Моркнига, 2008.
. Возницкий И.В. Современные
двухтактные малооборотные двигатели. СПб.: Моркнига, 2006.
. Возницкий И.В. Современные судовые
среднеоборотные двигатели. СПб.: Моркнига, 2005.
. Румб В.К., Медведев В.В. Прочность
судового оборудования. ЧастьI. Конструирование,
расчеты прочности судовых двигателей внутреннего сгорания: Учебник, СПбМГУ. -
СПб.: 2006.
. Судовые энергетические установки.
Румб В.К., Яковлев, Г.В., Шаров Г.И. и др. ЧастьI. Судовые дизельные
энергетические установки: Учебник, СПбМГУ. - СПб.: 2007.
. Возницкий И.В., Михеев Е.Г.
"Судовые дизели и их эксплуатация". М.: Транспорт- 1990.
. Возницкий И.В., Камкин С.В.,
Шмелев В.П., Осташенков В.Ф. «Рабочие процессысудовых дизелей» М.: Транспорт. -
1985.
. Самсонов В.И., Худов Н.Н.,
Мирющенко А.А. «Судовые двигатели внутреннегосгорания», М.: - Транспорт. -
1981.
. Портнов Д.А. Быстроходные
турбопоршневые двигатели с воспламенением от сжатия. М.: Машгиз. - 1963.
. Лебедев О.Н., Сомов В.А.,
Калашников С.А. Двигатели внутреннего сгорания речныхсудов. М.: Транспорт. -
1990.
. Ваншейдт В.А. Конструирование и
расчеты прочности судовых дизелей: - Л.: «Судостроение». - 1989.
. Гогин А.Ф., Кивалкин Е.Ф.,
Богданов А.А. Судовые дизели. - М.: Транспорт. - 1988.
. Дизели. Справочник под ред.
В.А.Ваншейдта- М-Л.: - Машгиз. -1964.
. Конструкция и расчет
комбинированных двигателей/ Орлин А.С., Вырубов Д.Н., и др. - М.:
«Машиностроение». - 1984.