Особенности копинг-стратегий у подростков

  • Вид работы:
    Дипломная (ВКР)
  • Предмет:
    Психология
  • Язык:
    Русский
    ,
    Формат файла:
    MS Word
    318,66 Кб
  • Опубликовано:
    2014-02-11
Вы можете узнать стоимость помощи в написании студенческой работы.
Помощь в написании работы, которую точно примут!

Особенности копинг-стратегий у подростков

ВВЕДЕНИЕ

Современный мир, который нас окружает, становится с каждым годом сложнее: увеличивается поток информации, растет нагрузка на психику, сам человек претерпевает значительные трансформации. Человек поставлен перед необходимостью решать все более ответственные задачи, включаться в новые межличностные и общественные отношения, учитывать большее количество факторов, которые способствуют продуктивной и успешной деятельности. Стремительное изменение социальной среды заставляет человека искать новые алгоритмы и формы поведения, которые позволяют быстрее адаптироваться к новой ситуации, при этом используя имеющийся жизненный опыт, когнитивные способности, проактивность, творческий потенциал и инициативность. Это делает актуальным изучение совладания с трудными жизненными ситуациями как механизма адаптации к изменяющимся социальным условиям у современных подростков.

Проблему копинг-стратегий исследовали множество зарубежных (Д. Амирхан, Н. Селье, Дж. Роттер, Р. Лазарус, Р. Плутчик, С. Фолкман) и отечественных авторов (Н.М. Никольская, Р.М. Грановская, С.В. Фролова, Н.А. Сирота, В.М. Ялтонский). В результате теоретических и экспериментальных исследований было выявлено, что для совладания со стрессом каждый человек использует собственные стратегии (копинг-стратегии) на основе имеющихся у него психологических резервов и личностного опыта (личностные ресурсы или копинг-ресурсы). Поэтому стресс-преодолевающее поведение начали рассматривать как результат взаимодействия копинг-ресурсов и копинг-стратегии. Копинг-стратегии - способы управления стрессирующим фактором, возникающие как ответ личности на воспринимаемую угрозу. Копинг-ресурсы - относительно стабильные характеристики людей и стресса, способствующие развитию способов совладания с ним.

В настоящее время поведенческие копинг-стратегии подразделяются на активные и пассивные, адаптивные и дезадаптивные. К активным стратегиям относят стратегию «разрешение проблем», как базисную копинг-стратегию, включающую все варианты поведения человека, направленные на разрешение проблемной или стрессовой ситуации и стратегию «поиск социальной поддержки», включающую поведение, направленное на получение социальной поддержки от среды. К пассивному копинг-поведению относятся варианты поведения, включающего базисную копинг-стратегию «избегание», хотя некоторые формы избегания могут носить и активный характер. Большой интерес вызывают возрастные и половые различия копинг-поведения. В использовании копинг-стратегий существует определенная возрастная динамика. С увеличением возраста повышается вероятность использования активных проблемосовладающих поведенческих стратегий (Petrosky M., BirkimerJ., 1991). Копинг-поведение подростков до сих пор остается еще малоизученным.

На сегодняшний день проблематика копинг-стратегий активно исследуется в самых разных сферах и на примере самых разных типов деятельности. Серьёзное внимание уделяется изучению связи копинг-стратегий, которые применяет индивид, с его эмоциональным состоянием, успешностью в социальной сфере и т. д. Что касается сферы самосознания личности, то, к сожалению, работы по изучению соотношения копинг-стратегий и самооценки личности пока представлены в психологической литературе очень слабо. Различные копинг-стратегии применяются на основе ресурсов личности и среды. Человек эффективен в совладании, когда имеет позитивные копинг-ресурсы, такие как интеллект, поддержка семьи и значимых лиц, а также здоровье и материальные ресурсы. В рамках данного положения нас заинтересовала проблема соотношения самооценки личности и специфики используемых копинг-стратегий.

Самооценка, т.е. оценка личностью себя, своих возможностей, качеств и места среди других людей, безусловно, относится к базисным качествам личности. Именно она во многом определяет взаимоотношения с окружающими, критичность, требовательность к себе, отношение к успехам и неудачам. В отечественной психологии начало фундаментальных исследований феномена отношения человека к себе было положено благодаря трудам И.С. Кона, А.Н. Леонтьева, С.Л. Рубинштейна, А.Г. Спиркина, И.И. Чесноковой, Е.В. Шороховой. Необходимо отметить, что в отечественной психологии понятие единой, целостной самооценки не получило своего развития: большинство исследований посвящены частным самооценкам, которые являясь факторами саморегуляции личности, не позволяют судить о сущности отношения человека к себе как таковом.

Даная работа посвящена проблеме изучения копинг-стратегий поведения подростков с различным уровнем самооценки. Самооценкой подростка регулируется его поведение, а самооценка формируется в ходе общения с окружающими людьми.

Объект исследования - совладающее поведение в подростковом возрасте.

Предмет исследования - копинг-стратегии подростков с различным уровнем самооценки.

Цель исследования - выявить особенности копинг-стратегий подростков.

Гипотеза исследования заключается в том, что у подростков с адекватной самооценкой преобладают активные копинг-стратегии.

Поставленная цель и гипотеза исследования определяют собой необходимость решения следующих задач.

.        Осуществить теоретический анализ состояния проблемы копинг-стратегий поведения подростков с различным уровнем самооценки в научной психологической литературе;

.        Выявить доминирующие копинг-стратегии у подростков с различным уровнем самооценки;

.        Исследовать взаимосвязь уровня самооценки с копинг-стратегиями подростков.

База исследования и характеристики выборки. Исследование проводилось на базе Многопрофильного лицея №11 им. Мендельсона г. Ульяновска. В исследование приняли участие учащиеся седьмых классов. Общее число испытуемых - 50 человек в возрасте тринадцати и четырнадцати лет.

Методы исследования. В исследовании применялись:

во-первых, теоретические методы (анализ, обобщение, сравнение, сопоставление);

во-вторых, эмпирические методы (метод тестирования), а именно:

тест «Нахождение количественного выражения уровня самооценки» по С.А. Будасси;

проективный тест «Исследование самооценки по методике Дембо-Рубинштейн в модификации А. М. Прихожан»;

методика Д. Амирхана «Индикатор копинг-стратегий»;

в-третьих, методы математической обработки данных (описательная статистика, t-критерий Стьюдента, r-критерий корреляции Пирсона).

Практическая значимость исследования определяется возможностью использования полученного в исследовании материала для создания программы повышения адаптивного потенциала личности подростков, имеющей своими задачами развитие их копинг-ресурсов и коррекцию неадекватной самооценки; а также в консультативной и психопрофилактической работе с подростками и их родителями.

ГЛАВА 1. ТЕОРЕТИЧЕСКИЙ АНАЛИЗ ПРОБЛЕМЫ КОПИНГ-СТРАТЕГИЙ ПОДРОСТКОВ

1.1 Психологический анализ понятия копинг-стратегий личности

Копинг, копинговые стратегии (англ. coping, coping strategy) - это то, что делает человек, чтобы справиться (англ. to cope with) со стрессом. Понятие объединяет когнитивные, эмоциональные и поведенческие стратегии, которые используются, чтобы справиться с запросами обыденной жизни. Близкое понятие, широко используемое и глубоко разработанное в русской психологической школе, - переживание (Ф. Е. Василюк). Впервые термин появился в психологической литературе в 1962 году; Л. Мэрфи применил его, изучая, каким образом дети преодолевают кризисы развития [11; С.70]. Четыре года спустя, в 1966 году Р. Лазарус в своей книге «Psychological Stress and Coping Process» («Психологический стресс и процесс совладания с ним») обратился к копингу для описания осознанных стратегий совладания со стрессом и с другими порождающими тревогу событиями.

Более точно копинг-поведение определяется так: копинг - это «непрерывно меняющиеся когнитивные и поведенческие попытки справиться со специфическими внешними и/или внутренними требованиями, которые оцениваются как чрезмерные или превышающие ресурсы человека» [51]. Авторы [9; 20; 25; 29 и др.] подчеркивают, что копинг - это процесс, который все время изменяется, поскольку личность и среда образуют неразрывную, динамическую взаимосвязь и оказывают друг на друга взаимное влияние.

Психологи, занимающиеся проблематикой копинг-поведения, придерживаются разных точек зрения на эффективность стратегий совладания. С одной стороны многие теории учитывают, что копинг-стратегии по своей сути могут быть как продуктивными, функциональными, так и непродуктивными, дисфункциональными, а с другой стороны существуют авторы, с точки зрения которых неотъемлемой характеристикой копинг-поведения является его полезность; они определяют совладание как «адаптивные действия, целенаправленные и потенциально осознанные» [11].

Альтернативная точка зрения состоит в том, что копинг не всегда является продуктивным; его эффективность зависит от двух факторов: ответной реакции и контекста, в котором эта стратегия реализуется [38].

Исследователи копинг-стратегий в попытках систематизировать и создать стройную классификацию выделяют несколько уровней обобщенности того, что предпринимает индивид, чтобы справиться со стрессом: это копинговые действия, копинг-стратегии и копинговые стили. Копинговые действия (то, что индивид чувствует, думает или делает) часто группируются в копинг-стратегии, стратегии, в свою очередь, группируются в копинговые стили (например, группу стратегий, которая представляет собой концептуально похожие действия). Например, таким стилем может быть «Обращение к другим». Иногда термины копинговые действия и копинг-стратегия используются как взаимозаменяемые, в то время как копинговые стили в общем относятся к действиям или стратегиям, которые последовательно используются индивидом, чтобы справиться со стрессом. Другие похожие термины - это копинговые тактики и копинговые ресурсы.

Реакции совладания нацелены на то, чтобы повлиять либо на окружающий мир, либо на самого себя, либо на то и другое. Этому соответствует в определенной степени два вида совладающего поведения: копинг, ориентированный на проблему, и копинг, сфокусированный на эмоциях (R. Lazarus, 1966).

Разными авторами предложены различные типы копинг-стратегий:

)        Копинг, ориентированный на ситуацию (активное влияние, бегство или уход, пассивность);

)        Копинг, ориентированный на репрезентацию (поиск информации, вытеснение информации);

)        Копинг, ориентированный на оценку (переоценка или придание смысла; изменение цели).

В теории копинг-поведения выделяются следующие базисные копинг-стратегии: копинг-стратегия разрешения проблем, копинг-стратегия поиска социальной поддержки и копинг-стратегия избегания.

Одной из важнейших копинг-стратегий является копинг-стратегия разрешения проблем - комплекс навыков для эффективного управления ежедневными проблемными ситуациями. Разрешение социальных проблем рассматривается как когнитивно-поведенческий процесс, путем которого личность обнаруживает эффективные стратегии преодоления проблемных ситуаций, встречающихся в повседневной жизни, как основная копинг-стратегия, целью которой является открытие широкого круга альтернативных решений, способствующих общей социальной компетентности.

Копинг-стратегия поиска социальной поддержки является одним из самых мощных копинг-ресурсов. Социальная поддержка, смягчая влияние стрессоров на организм, тем самым сохраняет здоровье и благополучие человека. Социальная поддержка может оказать не только позитивный, но и негативный эффект, последний связан с чрезмерным и неуместным оказанием поддержки, что может привести к потере чувства контроля и к беспомощности. При этом очень важно знание субъективной оценки адекватности получаемой социальной поддержки для определения психологического состояния индивида.

Следующей копинг-стратегией является копинг-стратегия избегания. Она становится одной из ведущих поведенческих стратегий при формировании аддиктивного поведения [52].

При этом формируется тенденция к немедленному снятию, избеганию возникающего в стрессовой ситуации эмоционального напряжения путем редукции. С другой стороны, копинг-стратегия избегания - это механизм поведения, основанный на недостаточно развитой системе личностно-средовых копинг-ресурсов и активных копинг-стратегий. Это стратегия, направленная на совладание со стрессом, способствующая его редукции, но обеспечивающая функционирование и развитие индивида на более низком функциональном уровне.

Основным отличием защитных автоматизмов от копинг-стратегий является неосознанное включение первых и сознательное, целенаправленное использование последних. Другие авторы считают, что отношение между копинг-поведением и защитными автоматизмами более сложное. Стратегии совладания рассматривают не только как осознанные варианты бессознательных защит, но и как родовое, более широкое понятие по отношению к ним, включающее в себя как бессознательные, так и осознанные защитные техники. В рамках этого второго подхода автоматизмы психологической защиты выступают только как один из возможных способов реализации копинг-поведения. Так, проекцию и замещение можно трактовать как часть стратегии совладания по типу конфронтации, изоляцию и отрицание как часть стратегии по типу отдаления.

Таким образом, в основе каждой из поведенческих, эмоциональных и интеллектуальных копинг-стратегий может лежать не один, а несколько различных защитных интрапсихических механизмов. Например, когда человек сознательно игнорирует неприятную ситуацию или даже подшучивает над ней, это частично может основываться на отрицании, частично на рационализации. В случае сознательного ухода в работу неосознанно включаются защитные механизмы замещения и/или сублимации. Следовательно, целесообразно рассматривать понятие «копинг» как более широкое по своему содержанию, чем понятие «защитный механизм».

Копинг-стратегии, или что то же, сознательно сформулированные способы совладания, успешно осуществляются при соблюдении трех условий: достаточно полном осознавании возникших трудностей; знании способов эффективного совладания именно с ситуацией данного типа; умением своевременно применить их на практике [53].

Фрейд указывал, что существуют два основных способа справляться с тревогой. Первым, более здоровым способом, он считал взаимодействие с порождающим тревогу явлением: это может быть и преодоление препятствия, и осознание мотивов своего поведения, и многое другое. Вторым же, менее надежным и более пассивным способом является способ справиться с тревогой за счет бессознательной деформации реальности (она может быть внешней и внутренней), т. е. способ формирования какого-либо защитного механизма. В современной психологии эта идея обрела новое звучание в виде разделения понятий защитные стратегии и стратегии совладания со стрессом и с другими порождающими тревогу событиями. Стратегии совладания могут быть различны, но они всегда осознаны, рациональны и направлены на источник тревоги (например, ученик, тревожащийся по поводу конкретного экзамена, может выбирать различные стратегии для подготовки к нему и успешного его прохождения). Защитные же стратегии предполагают бессознательное, нерациональное поведение.

Р. Лазарус выделил два глобальных типа реагирования при стрессе: проблемно ориентированный и субъектно ориентированный. Первый связан с рациональным анализом проблемы, с построением плана разрешения трудной ситуации и проявляется в самостоятельном анализе случившегося, в обращении за помощью к другим, в поиске дополнительной информации. Второй касается эмоционального реагирования на ситуацию, он не сопровождается конкретными действиями, поскольку человек пытается не думать о проблеме вообще, стремится забыться во сне, отвлечься от отрицательных эмоций, принимая алкоголь или поглощая еду, вовлечь других в свои переживания.

Р. М. Грановская и И. М. Никольская (2001) установили, что взрослые чаще всего используют следующие способы совладания с внутренним напряжением [11]: взаимодействуют с продуктами человеческого творчества (читают книги, слушают музыку, ходят в музей) или сами рисуют, сочиняют стихи, поют, т. е. творчески самовыражаются; ищут поддержку у друзей и знакомых; погружаются в работу; сменяют вид активности с психической на физическую (занятия спортом, прогулки, водные процедуры) или используют так называемые приемы «за-» (заесть, заспать, залюбить, загулять, затанцевать); обдумывают возникшую ситуацию.

У детей и подростков копинг-стратегии иные. Наиболее характерными являются следующие: остаюсь один, сам по себе; обнимаю, прижимаю, глажу; плачу, грущу; борюсь, дерусь; молюсь; прошу прощения, говорю правду; говорю сам с собой; думаю об этом; стараюсь забыть; стараюсь расслабиться, оставаться спокойным; смотрю телевизор, слушаю музыку.

Копинг-стратегии современными авторами оцениваются с точки зрения их эффективности или неэффективности, а за критерий эффективности принимается понижение чувства уязвимости к стрессам [38].

Так, например, получены данные, что копинговые реакции, фокусированные на проблеме (например, попытка изменить что-то в стрессовых взаимоотношениях с другим человеком или между другими людьми в своем социальном окружении) связаны с более низкими уровнями отрицательных эмоций в стрессовых ситуациях, которые воспринимаются как контролируемые. Кроме того, применение проблемно-фокусированных копинг-стратегий отрицательно связано с проблемами в поведении и социальными проблемами. При этом показано, что дети и подростки, меньше применяющие проблемно-фокусированные копинг-стратегий, переживают больше проблем в адаптации. Напротив, частое использование эмоционально-фокусированного копинга связано с более серьёзными проблемами в поведении, а также с большим количеством симптомов тревожности и депрессии.

Такие стратегии, как поиск социальной поддержки, агрессивный копинг (например, вербальная или физическая агрессия для того, чтобы решить проблему или выразить чувства), отрицание также, похоже, связаны с компетентностью и способностью к адаптации. В пользу эффективности стратегии «поиск социальной поддержки» свидетельствуют и данные, полученные в других исследованиях. Здесь было показано, что школьники (мужского пола), получавшие более высокие баллы по шкале успеваемости, активнее использовали данную копинг-стратегию. Положительной оценки также заслуживает такая стратегия, как активное решение проблем. Так, было показано, что подростки, способные к активному решению проблем, демонстрируют большую легкость в адаптации. Экспериментальные исследования предоставляют различные данные относительно того, как оценивать такую стратегию, как избегающий копинг (избегание стрессовых мыслей или ситуаций на поведенческом и когнитивном уровне). С одной стороны, он связывается с более высоким уровнем депрессии, тревоги, со сложностями адаптации в школе. Напротив, другие исследователи демонстрируют, что дети со стратегией избегания демонстрируют меньше проблем с поведением в школе и, по отзывам учителей, обладают большей социальной компетентностью. Возможно, что избегающий копинг положительно связан с социальной успешностью в том случае, когда стрессовая ситуация является неконтролируемой и когда избегание помогает предотвратить разрастание негативной ситуации. Кроме того, исследователи предполагают, что избегающий копинг может быть полезен в ситуациях непродолжительного стресса, но в случае длительных стрессовых ситуаций избегание расценивается как неадаптивная реакция.

Неоднозначно оценивается и такая копинг-стратегия, как «позитивная переоценка ситуации». С одной стороны, придание проблеме позитивного значения уменьшает стресс и служит эмоциональному приспособлению к нему; с другой стороны, изменение отношения отвлекает от решения конкретных практических проблем. Тем не менее, представляется, что стратегия позитивной переоценки может быть эффективна в ситуации, когда субъект не может контролировать результат [50].

Стратегии, направленные на решение проблем, в общем, являются более эффективными, чем стратегии, назначение которых - совладание с отношением индивида к проблеме. Но, как бы то ни было, исследования также свидетельствуют, что применение сразу нескольких способов совладания более эффективно, чем выбор только одного конкретного способа реагирования на ситуацию. Как уже было сказано, эффективность копинг-стратегий зависит как от самой реакции, так и от контекста, в котором эта реакция осуществляется. Копинг-стратегии, неэффективные в одних ситуациях, могут оказаться вполне эффективными в других; например, стратегии, неэффективные в ситуации, которая неподконтрольна субъекту, могут быть эффективны в ситуациях, которые субъект способен контролировать и изменять в желаемую сторону.

Собственная оценка по отношению к нашим способностям справляться с жизненными событиями основывается на предыдущем опыте действий в подобных ситуациях, вере в себя, на социальной поддержке людьми, самоуверенности и раскованности (Лазарус, 1982).

Таким образом, на основе анализа работ различных авторов можно выделить три подхода к понятию «копинга»: определение копинга в терминах черт личности - как относительно постоянную предрасположенность отвечать на стрессовое событие; рассмотрение копинга в качестве одного из способов психологической защиты, используемой для ослабления напряжения. Сторонники этого подхода склонны отождествлять копинг с его результатом. К третьему подходу принадлежат Лазарус и Фолкман, согласно которым копинг должен пониматься как динамический процесс, постоянно изменяющиеся когнитивные и поведенческие попытки управлять внутренними и (или) внешними требованиями, которые оцениваются как напрягающие или предвосхищающие ресурсы личности.

Это определение имеет несколько важных отличий от других концепций копинга. Первое: копинг рассматривается как «постоянно изменяющийся»; второе: делается различие между копингом и чисто адаптивным поведением, копинг ограничивается реакциями, когда ресурсы личности оценены как напрягающие, предвосхищающие. Третье: Лазарус отличает копинг от его результата, так как копинг - это «попытка преодоления», которая включает больше, чем просто результат.

Интересная в рамках проблематики данного исследования модель стресса и копинга Дж. Р. Эдвардса (1988) содержится в Приложении 1 к работе. Она показывает влияние копинг-поведения, в том числе, и на личностные черты, которые подвергаются самооцениванию индивидом.

Модель стресса и копинга представляет собой обобщение, сделанное Дж. Эдвардс на основе анализа теории стресса и копинга, и включает элементы, рассматриваемые в теории мотивации, теории принятия решения и контроля. Автор определяет стресс как негативное расхождение между состоянием в данный момент и желаемым состоянием при условии, что наличие этого расхождения значимо для человека. Процесс начинается с оценки и осознания критического момента. На осознание влияют не только особенности человека и его физическое и социальное окружение, но также доступная информация и собственные когнитивные структуры реальности.

Расхождение воздействует на психическое и физическое самочувствие, а также на копинг, то есть на усилия личности по смягчению этих негативных воздействий. Копинг, в свою очередь, влияет на самочувствие, воздействуя на детерминанты стресса следующим образом [51]:

)        Непосредственно меняя значимые аспекты физического и социального окружения;

)        Изменяя личностные характеристики;

)        Изменяя информацию, на которой основаны чувства;

)        Видоизменяя чувства посредством когнитивной перестройки действительности;

)        Регулируя желания для уменьшения расхождения;

)        Уменьшая значимость расхождения.

Продукт самооценки, в свою очередь, через «негативное расхождение» между актуальным состоянием человека и желаемым состоянием, влияет на выбор копинг-стратегий.

Как отмечает Эдвардс, человек может сознательно создавать набор копинг-стратегий, оценивать возможные последствия каждого варианта и выбирать стратегию, которая сводит к минимуму последствия стресса и улучшает самочувствие. Однако человек не всегда выбирает рациональный подход.

1.2 Возрастные особенности копинг-стратегий подростков

Набор жизненных ситуаций, как и репертуар способов их разрешения могут существенно меняться на протяжении жизненного пути человека. Подростковый возраст охватывает период от 10-11 до 14-15 лет. Начало этого периода характеризуется появлением ряда специфических черт, важнейшими из которых являются стремление к общению со сверстниками и желание утвердить свою самостоятельность, независимость, личностную автономию. Традиционно подростковый возраст рассматривается как период отчуждения от взрослых. Ярко выражены не только стремление противопоставить себя взрослым, отстаивать свою независимость и права, но и ожидание от взрослых помощи, защиты и поддержки. Важный фактор психического развития в подростковом возрасте - общение со сверстниками, которое выделяют в качестве ведущей деятельности этого периода. Стремление подростка занять удовлетворяющее его положение среди сверстников сопровождается порой повышенной комфортностью к ценностям и нормам группы сверстников. Подростковый возраст - время бурного и плодотворного развития познавательных процессов. Период характеризуется становлением избирательности, целенаправленности восприятия, становлением устойчивого произвольного внимания, логической памяти и теоретического мышления [39]. Центральное личностное новообразование этого периода - становление нового уровня самосознания, Я-концепции, выражающейся в стремлении понять себя, свои возможности и особенности, свое сходство с другими людьми и свое отличие - уникальность и неповторимость. В подростковом возрасте еще активно продолжается процесс обучения способам психологического преодоления жизненных трудностей, особая роль в успешности которого принадлежит особым эмоционально поддерживающим взаимоотношениям со стороны значимых взрослых.

Копинг-поведение подростков до сих пор остается еще малоизученным. Далеко не всегда учитывается специфика самой кризисной социально-психологической ситуации, сфера ее возникновения.

Е.Н. Туманова выявила следующие типичные кризисные ситуации в жизни подростков. Это неприятности в таких сферах, как: семья («ссоры в семье»); взаимоотношения со сверстниками («конфликт с другом»); взаимоотношения со значимым взрослым («конфликт с учителем»); учебная деятельность («неудача на контрольной»); здоровье («болезни, травмы») [51].

Исследование отношения к будущему у современных подростков с 5 по 11 класс выявило следующие тенденции [7].

.        Стремление к учебе и, особенно к профессиональной деятельности от класса к классу снижается;

.        В жизненных планах подростков семья занимает весьма скромное место (брак, забота о старшем поколении, стремление иметь детей);

.        Стремление осознавать свое место в мире не очень велико, но к старшим классам немного возрастает.

.        Значительное количество учеников в своих ответах отразили неверие в свои силы, страх перед будущим.

Бланкард с соавторами провели сравнительное возрастное исследование предпочтения форм психологического преодоления. Обнаружены отчетливые возрастные закономерности в выборе способа копинг-поведения. Эмоционально-отреагированные формы с возрастом утрачивают популярность, сохраняя высокую частоту использования лишь у лиц с ярко выраженной феминностью, а проблемно-ориентированные формы психологического преодоления напротив, используются чаще, но их применение сильно зависит от рода проблем, с которыми сталкивается субъект. Если в подростковом возрасте наиболее характерными является стремление к эмоциональному разрешению жизненных трудностей (поскольку это часто релевантно содержанию самих проблем), то в пожилом возрасте преобладают духовные, религиозные способы сопротивления стрессу [35]

Поскольку развитие успешных стратегий преодоления трудностей крайне важно для решения задач развития в периоде взросления, возникает вопрос о возможности стимулировать эти стратегии, способствуя, таким образом, конструктивному разрешению самых серьезных жизненных проблем. Эти принципы разработаны Майхенбаум Д. и их эффективность подтвердилась [44].

Большую важность представляет информация о роли познавательных способностей в возникновении проблемы. Так, мысли о своем ничтожестве, некритическое восприятие стереотипных мнений, недооценка доступных стратегий или другие «негативные представления» могут повлечь за собой нарушение адаптации.

Постоянное внимание к негативным и ложным высказываниям о себе самом и о собственном поведении может стать причиной неэффективности преодоления своих трудностей.

Должны использоваться основополагающие стратегии разрешения проблем (определение проблемы, предвидение последствий, оценка реакции и т. д.).

Должны использоваться модели поведения и оценки, подтвердившие свою эффективность. Следует усилить концентрацию внимания и положительную самооценку.

Постепенное усложнение выдвигаемых перед подростками задач облегчает достижение все более сложных целей.

К. Накано (1991), изучая адаптацию к повседневным стрессам у старшеклассников, установил, что активная поведенческая борьба с трудностями, концентрация на решении способствует укреплению психологического благополучия субъекта, а избегание и эмоциональное регулирование, напротив, приводят к появлению или усилению невротической симптоматики. Эти результаты, полученные в Японии, были аналогичны полученным в США; это дает повод говорить, что такие закономерности не подвержены влиянию культурных традиций. (Нартова-Бочавер) [38].

Копинг-стратегия избегания используется индивидом после повторной неудачи, а более активные копинг-стратегии - в сходных ситуациях. Стратегия избегания оказывает отрицательное влияние и на эффективность интеллектуальной деятельности индивида.

Д. Шек исследовала способы преодоления критических ситуаций в раннем юношеском возрасте, в качестве основного предмета внимания она изобрела такие формы социальной поддержки, как когнитивная, инструментальная, эмоциональная, материальная помощь. Так, буферная роль социальной поддержки усиливалась по мере увеличения силы стресса, причем особо важной оказалась эмоциональная поддержка. Социальная поддержка смягчает воздействие стресса на организм, тем самым сохраняет здоровье и благополучие человека и способствует развитию индивида.

Итак, важную роль в подростковом возрасте играет социальная поддержка. В этот период идет интенсивный процесс обучения способам психологического преодоления жизненных трудностей, и главную роль в успешности данного процесса играет совместная деятельность со взрослым. В этом возрасте ведущей в формировании личностных качеств является учебно-познавательная деятельность [28].

Вместе с тем, Гринина О.В., Кича А.И. (1995) отмечают высокий процент заболеваемости психоневрологическими и психосоматическими заболеваниями среди подростков.

Это связано с большим напряжением в учебе и межличностных отношениях, что приводит к выработке компенсаторно-приспособительных систем и механизмов личности (В. А. Сергеев). Что касается социального окружения, то отмечается вспышка гедонистических установок в молодежной подростковой среде, как способ уйти от травмирующих проблем и возрастающих трудностей. Социологическое исследование показывает, что в системе ценностных ориентаций современной российской молодежи стремление к развлечениям и удовольствиям прочно занимает вторую позицию после материального дохода, заметно опережая (более чем в два раза) такие ценности, как служение людям, забота об общем благе (Сибирев В.А., Головин И. А., 1998).

Саморазрушающим называл В. Франкл стремление к счастью, когда в основе его лежат чувственные удовольствия. Именно такие стремления определяют внутренние неврозы. Чем больше человек стремится к наслаждению, тем больше он удаляется от цели.

Стремление к жизни «по принципу удовольствия» является определяющим и смыслообразующим мотивом инфантилизма. Поэтому самосознание подростка направляется лишь «по линии наименьшего сопротивления», что детерменирует включение защитных механизмов преодоления [32].

Таким образом, люди, столкнувшись с невозможностью изменить свое отрицательное эмоциональное состояние продуктивным путем и не имеющие эффективных способов психологической защиты, оказываются перед возможностью возникновения невроза [32].

Л.С. Мовсесян и М. В. Кондратьевой предпринята попытка эмпирического изучения взаимосвязи уровня самооценки и копинг-стратегий поведения подростков. Подростки с нормальной самооценкой демонстрируют обратно пропорциональную корреляцию с ответственностью, что, возможно, свидетельствует о неумении или нежелании признания своей роли в разрешении проблемы. В эмпирической группе подростков с высокой самооценкой наблюдается тенденция к взаимосвязи с бегством, что свидетельствует о мысленном или поведенческом стремлении человека избежать проблемы [36].

Н.А. Сирота и В.М. Ялтонский, следуя подходу Р. Лазаруса, рассматривают копинг как «деятельность личности по поддержанию или сохранению баланса между требованиями среды и ресурсами, удовлетворяющими этим требованиям» [53]. Они рассматривают ряд особенностей преодоления эмоционального стресса подростками.

Механизмы преодоления эмоционального стресса у подростков определяют развитие и формирование различных вариантов поведения, приводящих к адаптации, либо дезадаптации индивида. Эти поведенческие модели могут сменять друг друга, претерпевая определенное прогрессивное развитие, и могут носить ригидный, фиксированный характер с последовательным усложнением, приводящим к возникновению нарушений.

Механизмы преодоления эмоционального стресса представляют собой сложные паттерны личностно-средового взаимодействия, включающие концепцию «Я», контроль, системы вербальной, невербальной коммуникации и другие составляющие.

Реализация механизмов преодоления стресса происходит на различных взаимозависимых уровнях: эмоциональном, когнитивном, соматическом, поведенческом. Наиболее четко измеряемым уровнем реализации механизмов преодоления стресса у подростков является поведенческий уровень.

Преодоление стресса подростками может быть связанным с экстернальной либо интернальной по отношению к среде направленностью контроля, эмпатическими, аффилиативными тенденциями, чувствительностью к отвержению. Выраженным влиянием на преодоление стресса обладает система социальной поддержки индивида и способность к ее восприятию.

В подростковом возрасте механизмы преодоления стресса носят динамический и транзиторный характер, обеспечивают развитие индивида, способствуют или препятствуют включению биологических и социальных факторов риска развития поведенческих, психосоматических и психических нарушений.

Н. А. Сирота и В. М. Ялтонский на основе своих исследований копинг-поведения подростков разработали три теоретические модели [53].

Модель активного адаптивного функционального копинг-поведения. Для этой модели характерно сбалансированное использование соответствующих возрасту копинг-стратегий с преобладанием активных стратегий, направленных на разрешение проблем и поиск социальной поддержки, преобладание мотивации на достижение успеха над мотивацией избегания неудач, готовность к активному противостоянию среде. Психологический фон для преодоления стресса обеспечивают следующие личностно-средовые копинг-ресурсы: позитивная Я-концепция, развитость восприятия социальной поддержки, интернальный локус контроля над средой, эмпатия и аффилиация, относительно низкая чувствительность к отвержению, наличие эффективной социальной поддержки.

Модель пассивного, дисфункционального копинг-поведения. Характеризуется преобладанием пассивных копинг-стратегий над активными, дефицитом социальных навыков разрешения проблем, интенсивным использованием детских копинг-стратегий, не соответствующих возрасту. В качестве ведущей используется копинг- стратегия «избегание». Преобладает мотивация избегания неудачи. Неготовность к активному противостоянию среде, подчиненность ей; негативное отношение к проблеме, оценка ее как угрозы; псевдокомпенсаторный, защитный характер поведения, отсутствие направленности на стрессор, как причину психоэмоционального напряжения. Низкая эффективность функционирования блока личностно-средовых ресурсов: негативная, слабо сформированная Я-концепция, неразвитость восприятия социальной поддержки, эмпатии, аффилиации, интернального локуса контроля. Относительно высокая чувствительность к отвержению.

1.3 Самооценка как одно из центральных образований личности

Самосознание личности - сложный психический процесс, особая форма сознания, характеризующаяся тем, что оно направлено само на себя. В процессе самосознания человек выступает в двух лицах: он - и познающий, и познаваемый.

Важной стороной самосознания и показателем достаточно высокого уровня его развития является формирование такого его компонента, как самооценка. Это оценка личностью самой себя, своих возможностей, качеств и места среди других людей, является существенной стороной самосознания. Самооценка регулирует всю деятельность и поведение личности. Авторство данного понятия принадлежит У. Джеймсу. В своей теории он разделил личность на три части, имея в виду [13]: ее составные элементы; чувства и эмоции, вызываемые этими элементами (самооценка); поступки, вызываемые этими элементами личности (забота о самом себе и самосохранение).

Анализ психологических механизмов формирования глобальной самооценки позволяет, вслед за И.С.Коном [23], утверждать, что в ее основании обнаруживаются такие процессы как усвоение субъектом внешних оценок (это может быть и непосредственное отражение чужих оценок, и равнение на генерализированного другого), социальное сравнение по признакам «лучше - хуже» или «похожий - непохожий» и самоатрибуция, когда индивид заключает о себе и о своих внутренних состояниях, наблюдая и оценивая свое поведение в различных ситуациях.

Традиционно глобальная самооценка личности рассматривается как производная от ее частных самооценок. Выделяют три подхода в описании механизмов формирования глобальной самооценки из частных самооценок: глобальная самооценка как конгломерат частных самооценок, которые связаны с различными аспектами Я-концепции; как интегральная самооценка частных аспектов, взвешенных по их субъективной значимости; как иерархическая структура, включающая частные самооценки, интегрированные по сферам личностных проявлений и в комплексе составляющие обобщенное «Я», которое находится наверху иерархии.

Понимание глобальной самооценки как простой суммы частных самооценок подвергается критике. Наиболее популярным среди исследователей является второй подход, когда влияние частной самооценки на глобальную самооценку варьирует в зависимости от уровня ее значимости: высокий уровень значимой парциальной самооценки выраженно повышает общую самооценку, в то время как низкий уровень существенно снижает. Вклад менее значимых самооценок в общую самооценку соответственно оказывается меньшим. Как первый, так и второй подходы не получили в современной психологии эмпирического подтверждения, их концептуальные основания подвергаются критике [22].

В психологии самосознания имеют место расхождения относительно содержания глобальной самооценки. Она рассматривается как переживание, устойчивое чувство, пронизывающее «образ Я»; как устойчивое чувство в адрес собственного «Я», которое содержит ряд специфических модальностей, различающихся как по эмоциональному тону переживания «Я», так и по семантическому содержанию, как система переживаний, включенных в процесс самосознания, отражающая внутренние ценности личности, принятые ею в отношении самой себя [21], как «накапливающийся аффект на себя», связанный с мерой удовлетворенности своими действиями, результатом реализации намеченных целей, как чувство самодовольства-недовольства собой, как чувство собственного достоинства [18], как «аффективно-моторный эквивалент», сливающийся с общим витальным фоном организма, как эмоционально окрашенное состояние личности, «ощущение» собственной ценности, осознание того, за что мы ответственны, что мы должны делать, а что нет, если не хотим уронить или лишиться своего человеческого достоинства.

Несмотря на существенные различия в понимании содержания глобальной самооценки, она отражает такую сторону отношения человека к себе как его чувство «за» или «против» себя. Это чувство характеризуется относительной устойчивостью, слабой дифференцируемостью и мало зависит от актуального восприятия себя человеком. При этом чувство «за» или «против» себя традиционно рассматривается как устойчивая личностная черта (свойство), которая складывается постепенно и приобретает привычный характер.

Так, человек с высоким самоуважением верит в себя, считает, что может преодолеть свои недостатки. Развитое позитивное чувство в адрес «Я» как устойчивая личностная черта является центральным звеном внутреннего психического мира человека, оно лежит в основе единства и целостности его личности, согласовывает и упорядочивает внутренние ценности, завершает структуру характера. Самоотношение как свойство личности теснейшим образом связано с целями ее жизни и деятельности, с ее ценностными ориентациями, выступает важнейшим фактором образования и стабилизации ее единства [22]. Выступая устойчивой личностной чертой, самоотношение тесно связано с другими свойствами личности, особенно волей. Оно влияет на формирование содержания, структуры и формы проявления целой системы психологических особенностей личности.

Человек с низким самоуважением - это человек с устойчивым чувством неполноценности, ущербности [17], ранимостью, чувствительностью к внешним воздействиям, оторванностью от реального взаимодействия с другими людьми. В сфере деятельности такое отношение к себе может проявляться в непоследовательности и нерешительности. Личность с пониженным самоуважением отличается неустойчивым внутренним миром, не обладает твердой и последовательной линией поведения в общении, во взаимоотношениях с другими людьми.

Отечественные психологи, рассматривая проблему самооценки человека, в первую очередь подчеркивают важность его деятельности. Они считают, что самооценка, как и другие личностные образования, формируется в результате деятельности, и через осознание результатов своей деятельности человек приходит к осознанию себя как субъекта этой деятельности, к оценке своих возможностей и качеств (В. А. Горбачева, Н. Е. Акудинова, И. Н. Бронников). Причём, главную роль в формировании личности играет социальная среда, издержки семейного и школьного воспитания, рабочий коллектив и т. д. Факторы наследственного характера: тип нервной системы, физическое состояние организма и т. д. играют второстепенную роль.

Т. Шибутани [64] считал самооценку ядром функционального единства организации ценностей личности. Ведущая роль самооценке отводится в рамках исследования проблем самосознания: она характеризуется как стержень этого процесса, показатель индивидуального уровня его развития, его личностный аспект, органично включённый в процесс самопознания. С самооценкой связываются оценочные функции самопознания, вбирающие в себя эмоционально - ценностное отношение личности к себе, специфика понимания ею самой себя.

Согласно взглядам Б.Г.Ананьева, самооценка является наиболее сложным и многогранным компонентом самосознания (сложный процесс опосредованного познания себя, развёрнутый во времени, связанный с движением от единичных, ситуативных образов через интеграцию подобных ситуативных образов в целостное образование - понятие собственного Я), являющимся прямым выражением оценки других лиц, участвующих в развитии личности.

А.И. Липкина, рассматривая самооценку как свойство личности, определяет ее как сложное, динамическое личностное образование, в котором интегрируется как представление об уже достигнутом, так и «проект будущего», имеющее значение для регуляции поведения и деятельности, - то есть подчеркивается синтез в самооценке «имеющегося» и «возможного».

Структура самооценки представлена двумя компонентами - когнитивным и эмоциональным. Первый отражает знания человека о себе , второй - его отношение к себе как меру удовлетворённости собой [40].

Основными характеристиками самооценки являются: её уровень (высокий; средний; низкий); соотношение с реальной успешностью (адекватная; неадекватная); особенности её внутреннего строения (конфликтная либо бесконфликтная).

Самооценка может быть оптимальной и неоптимальной [23]. При оптимальной, адекватной самооценке субъект правильно соотносит свои возможности и способности, достаточно критически относится к себе, стремится реально смотреть на свои неудачи и успехи, старается ставить перед собой достижимые цели, которые можно осуществить на деле. К оценке достигнутого он подходит не только со своими мерками, но и старается предвидеть, как к этому отнесутся другие люди: товарищи по работе и близкие. Иными словами, адекватная самооценка является итогом постоянного поиска реальной меры, т.е. без слишком большой переоценки, но и без излишней критичности к своему общению, поведению, деятельности, переживаниям. Такая самооценка является наилучшей для конкретных условий и ситуаций.

К оптимальной относятся самооценки «высокий уровень» и «выше среднего уровня» (человек заслуженно ценит, уважает себя, доволен собой), а также «средний уровень» (человек уважает себя, но знает свои слабые стороны и стремится к самосовершенствованию, саморазвитию).

Самооценка может быть неоптимальной - чрезмерно завышенной или слишком заниженной.

На основе неадекватно завышенной самооценки у человека возникает неправильное представление о себе, идеализированный образ своей личности и возможностей, своей ценности для окружающих, для общего дела. В таких случаях человек идет на игнорирование неудач ради сохранения привычной высокой оценки самого себя, своих поступков и дел. Происходит острое эмоциональное «отталкивание» всего, что нарушает представление о себе. Восприятие реальной действительности искажается, отношение к ней становится неадекватным - чисто эмоциональным. Рациональное зерно оценки выпадает полностью. Поэтому справедливое замечание начинает восприниматься как придирка, а объективная оценка результатов работы - как несправедливо заниженная. Неуспех предстает как следствие чьих-то козней или неблагоприятно сложившихся обстоятельств, ни в коей мере не зависящих от действий самой личности.

Человек с завышенной неадекватной самооценкой не желает признавать, что все это - следствие собственных ошибок, лени, недостатка знаний, способностей или неправильного поведения. Возникает тяжелое эмоциональное состояние - аффект неадекватности, главной причиной которого является стойкость сложившегося стереотипа завышенной оценки своей личности. Если же высокая самооценка пластична, меняется в соответствии с реальным положением дел - увеличивается при успехе и снижается при неудаче, то это может способствовать развитию личности, так как ей приходится прикладывать максимум усилий для достижения поставленных целей, развивать свои способности и волю [23; 40; 47].

Самооценка может быть и заниженной, т. е. ниже реальных возможностей личности. Обычно это приводит к неуверенности в себе, робости и отсутствию дерзаний, невозможности реализовать свои способности. Такие люди не ставят перед собой труднодостижимых целей, ограничиваются решением обыденных задач, слишком критичны к себе.

Слишком высокая или слишком низкая самооценка нарушают процесс самоуправления, искажают самоконтроль. Особенно это заметно в общении, где лица с завышенной и заниженной самооценкой выступают причиной конфликтов. При завышенной самооценке конфликты возникают из-за пренебрежительного отношения к другим людям и неуважительного обращения с ними, слишком резких и необоснованных высказываний в их адрес, нетерпимости к чужому мнению, проявлению высокомерия и зазнайства. Низкая критичность к себе мешает им даже замечать, как они оскорбляют других высокомерием и непререкаемостью суждений.

При заниженной самооценке конфликты могут возникать из-за чрезмерной критичности этих людей. Они очень требовательны к себе и еще более требовательны к другим, не прощают ни одного промаха или ошибки, склонны постоянно подчеркивать недостатки других. И хотя это делается из самых лучших побуждений, все же становится причиной конфликтов в силу того, что немногие могут терпеть систематическое «пиление». Когда в тебе видят только плохое и постоянно указывают на это, то возникает неприязнь к источнику таких оценок, мыслей и действий [23].

Аффект неадекватности возникает как попытка лиц с завышенной самооценкой оградить себя от реальных обстоятельств и сохранить привычную самооценку. Это приводит к нарушению отношений с другими людьми. Переживание обиды и несправедливости позволяет чувствовать себя хорошо, оставаться на должной высоте в собственных глазах, считать себя пострадавшим или обиженным. Это возвышает человека в его собственных глазах и исключает недовольство собой. Потребность в завышенной самооценке удовлетворяется и отпадает необходимость изменить ее, т е. вплотную заняться самоуправлением. Неизбежно возникают конфликты с людьми, которые имеют иные представления о данной личности, ее способностях, возможностях и ценности для общества. Аффект неадекватности - это психологическая защита, она является временной мерой, поскольку не решает главной задачи, а именно - коренного изменения неоптимальной самооценки, выступающей причиной возникновения неблагоприятных межличностных отношений.

От степени адекватности самооценки зависит правильность постановки целей, выбор их трудности, составления программ действий.

Высокая или низкая самооценка может быть устойчивой характеристикой человека, связанной с типологическими особенностями проявления свойств нервной системы. Как показано Л. Н. Корнеевой (1984), заниженная самооценка чаще наблюдается у людей со слабой нервной системой, инертностью торможения и высокой тревожностыо; завышенная самооценка характерна для индивидов с сильной нервной системой и высокой тревожностью, а устойчиво завышенная самооценка наблюдается у субъектов со слабой и средней силой нервной системы и низкой тревожностью. Адекватная самооценка характерна для людей с низкой или средней степенью тревожности.

Лица с адекватной самооценкой, по данным Л. Н. Корнеевой, стратегии поведения и деятельности формируют адекватно целям деятельности. Успех оказывает стимулирующее действие, а неудача не вызывает резких негативных эмоциональных реакций, наоборот, способствует проявлению настойчивости в достижении цели и стремлению определить действительные причины неудачи. Эти люди обладают обоснованной уверенностью в себе. 3ащитныe механизмы активизируются ими незначительно. Учебная и профессиональная деятельность характеризуются высокой стабильностью, кроме того, им свойственна достаточно полная реализация собственных возможностей [51].

У лиц с заниженной самооценкой отмечается неуверенность в себе, защитные механизмы активизированы, очевидно предпочтение стратегий типа гарантированного успеха». В учебной и профессиональной деятельности проявляют пассивность, слабое стремление к достижению цели. Уровень успешности обычно ниже среднего, но отличается стабильностью. Люди с заниженной самооценкой не реализуют в полной мере свои возможности.

Демонстрирующие неустойчивую, преимущественно заниженную самооценку отличаются активизированными защитными механизмами, предпочтением стратегий типа «обесценивание неудачи». Ставят цели, превышающие реальные возможности, И не имеют выраженного стремления их достичь. У лиц с сильной нервной системой выражено упрямство в достижении трудных целей, хотя для этого отсутствует предварительная подготовка. В учебной и профессиональной деятельности успехи незначительны и нестабильны. Неудачи объясняются внешними причинами, а оценки руководителей считаются несправедливыми.

Лица с завышенной самооценкой характеризуются стремлением любой ценой избежать неудачи, поэтому отказываются от целей, которые хотя бы в малой степени грозят обернуться провалом. Защитные механизмы активизированы, с предпочтением стратегии типа «гарантированного успеха». Учебная и профессиональная деятельность стабильна и часто даже успешна, но все-таки ниже возможностей, поскольку отсутствует активность в достижении более трудных целей. Нежелание признать факт, что возможности ниже запросов, заставляет этих людей избегать любых ситуаций, где данное несоответствие может обнаружиться. У субъектов с завышенной самооценкой уверенность в себе необоснованно высока.

Высокую самооценку часто переносят на незнакомый вид деятельности (например, со спортивного - на учебный или научный). Самые трудные цели ставят сразу, без предварительной подготовки. Первые неудачи игнорируются, объясняются случайностью, внешними причинами. Повторные неудачи сопровождаются сильными эмоциональными реакциями, иногда аффективного характера, что может привести к снижению силы мотива деятельности и даже отказу от нее.

Трудность целей (задач), которые ставит перед собой человек, определяет уровень притязаний: чем труднее цель, тем выше уровень притязаний. Уровень притязаний, по выводам Л. Н. Корнеевой, связан с адекватностью и неадекватностью самооценки. Лица, которым свойственна заниженная самооценка, имеют устойчиво заниженный уровень притязаний. После достигнутого успеха уровень трудности выбираемой цели не повышают (а в редких случаях и понижают). Субъекты с неустойчивой, преимущественно заниженной самооценкой обладают неустойчивым и завышенным уровнем притязаний. У характеризующихся завышенной неустойчивой самооценкой уровень притязаний обычно занижается. Наконец, у лиц со стабильно высокой самооценкой он устойчиво завышен.

Таким образом, самооценка выступает одним из компонентов самосознания. Адекватность самооценки - это степень ее соответствия реальной выраженности личностных качеств, проявляющихся в переживаниях и поведении. Это ее реалистичность. Она обусловливается качеством работы особого личностного механизма и является одним из показателей гармоничности личности.

В рамках тематики исследования актуальным является теоретическое изучение особенностей самооценки личности подростков. Подростковый возраст - остро протекающий переход от детства к взрослости, отличающийся выходом ребенка на качественно новую социальную позицию, в которой формируется его сознательное отношение к себе как к члену общества.

В подростковом возрасте возникает интерес к себе и другим людям. Подросток сравнивает себя с окружающими [30, 31]. Особое внимание привлекают поступки - себя и других людей. Подросток оценивает собственные поступки, пытаясь понять, к чему они привели или приведут в будущем. Он желает осознать свои особенности («Почему я такой»), выяснить свои недостатки - эта потребность возникает из необходимости «правильно вести себя в обществе», верно построить свои отношения со сверстниками и взрослыми, быть в состоянии отвечать требованиям других людей и на свои собственные. Знать себя - непременное условие для того, чтобы достичь целей, которые ценны и важны. Именно поэтому подросток сначала особенно озабочен своими недостатками, хочет избавиться от них. Он нацелен на положительное в другом человеке, готов брать с него пример. Такое внимание к своим недостаткам и потребность преодолеть их сохраняются на протяжении всего подросткового возраста.

Возникновение потребности в знании собственных особенностей, интереса к себе и размышления о себе - характерная особенность подростка.

Преобладающие образцы для подростков - реальные люди, а не литературные герои. Среди многих качеств, привлекающих ребят в тех людях, на которых они хотят быть похожи, на первом месте стоят нравственные качества, затем качества мужественности. Сверстника подростков привлекают, в общем, те же качества, что и в образцах-взрослых. Однако очень важно, что именно со сверстником подросток сравнивает себя, именно его избирает образцом на который стоит равняться, потому что подростку легче сравнивать себя со сверстником, чем со взрослым. Привлекательные качества взрослый обнаруживает во взрослых делах и во взрослых отношениях, и поставить себя на его место подростку еще трудно. И вообще взрослый - это образец, практически трудно досягаемый для подростка, а сверстник, особенно одноклассник, близок ему во многих отношениях. Сверстник - это своего рода мерка, которая позволяет подростку оценить себя с учетом вполне реальных возможностей: ведь у другого, его сверстника, возможности такие же, только он лучше использует их, значит, на него можно прямо равняться. Это очень важно, так как равняться прямо на взрослого подросток часто не в состоянии [24].

Таким образом, самооценка подростка складывается под влиянием сравнения себя со сверстниками, собственно суждений сверстников и оценок взрослых.

С возрастом представление о себе расширяется и углубляется, возрастает самостоятельность в суждениях о себе. Младшие подростки видят разные свои недостатки, но у многих самооценка возможностей завышена: они считают себя способными сделать то, что в действительности сделать не могут. Многие пятиклассники еще не умеют правильно оценить уровень своих знаний и умений, а также увидеть, насколько трудна стоящая перед ними задача: первое оценивается выше, второе - ниже того, что есть на самом деле. Это особенность ярко видна при решении разного рода математических задач. Сообразительность - важный показатель в глазах подростков, важный показатель способности, поэтому в оценках и самооценках это существенный критерий. Было обнаружено, что примерно у половины подростков самооценка не совпадает с действительными результатами, причем в подавляющем большинстве случаев она является завышенной. Наряду с этим было обнаружено, что взрослые - учителя и родители - склонны, напротив, занижать оценку возможностей подростков.

Для самооценки старших подростков - девятиклассников характерны типично юношеские особенности - она относительно устойчива, высока, сравнительно бесконфликтна [32]. Дети именно в это время отличаются оптимистичным взглядом на себя, свои возможности и не слишком тревожны.

В выпускном классе ситуация становится более напряженной. Жизненный выбор, который в прошлом году был достаточно абстрактным, становится реальностью. Часть старшеклассников и в этой ситуации сохраняет «оптимистичную» самооценку. Она не слишком высока, в ней гармонично соотносятся желания, притязания и оценка собственных возможностей. У других старшеклассников самооценка высока и глобальна охватывает все стороны жизни; смешивается желаемое и реально достижимое.

Другая группа отличается, напротив, неуверенностью в себе, переживанием того разрыва между притязаниями и возможностями, который ими ясно осознается. Их самооценка низка, конфликтна. В этой группе много девочек. В связи с изменениями в самооценке в XI классе повышается тревожность.

Несмотря на некоторые колебания в уровнях самооценки и тревожности и разнообразие вариантов личностного развития, можно говорить об общей стабилизации личности в этот период, начавшейся с формирования образа своего «Я» на границе подросткового и старшего школьного возрастов [47].

Самооценка подростка во многом зависит от понимания родителями его достоинств. Когда родители поддерживают его, внимательны и добры к нему, выражают свое одобрение, подросток утверждается в мысли, что он многое значит для них и для себя самого. Самооценка растет за счет собственных достижений и успехов, похвал взрослых.

Подростки с низкой самооценкой застенчивы и чрезмерно уязвимы. Обнаружено, что низкая самооценка способствует расстройствам аппетита, состоянию подавленности, формированию вредных для здоровья привычек. Когда над подростком смеются, в чем либо обвиняют, когда у других людей складывается о нем плохое мнение, он глубоко страдает. Чем более он уязвим, тем выше уровень его тревожности. В результате такие подростки стесняются, испытывают чувство неловкости в обществе и всеми силами стараются не оконфузиться [40]. Они стремятся быть как можно более незаметными. Их не «видят» и не выбирают в лидеры, они редко участвуют в школьной или общественной деятельности.

Они не умеют постоять за себя и не высказывают своего мнения по волнующим их вопросам. У таких подростков чаще обычного развивается чувство одиночества. Застенчивые люди в обществе часто испытывают неловкость и напряжение, что затрудняет их общение с окружающими. Поскольку они хотят нравиться другим, на них легче оказывать влияние и управлять ими, они позволяют другим принимать за себя решения.

Самооценка и успеваемость в школе тесно связаны между собой. Тот, кто уважает и ценит себя, как правило, хорошо или отлично учится. А тот, кто успевает в учебе, имеет высокую самооценку. У тех подростков, кто уверен в себе и высоко ценит себя, множество стимулов к тому, чтобы хорошо выглядеть в глазах других людей, поддерживать высокую репутацию. Кроме того, они собираются подтвердить то, что они сами о себе думают. Неуверенные в себе подростки часто отстают в учебе. Им постоянно кажется, что задачи слишком трудные, а требования - слишком высокие. Такие ученики не только не верят в свои силы, но и не развивают свои способности [51].

Другим аспектом изучения подросткового возраста, релевантным цели исследования, стала Я-концепция (сознательное когнитивное восприятие и оценка самого себя, мнения о себе). В общем виде принято различать две формы Я-концепции: реальную и идеальную. Фундаментальное влияние на Я-концепцию оказывает семья. Расхождение между реальной и идеальной я-концепцией могут иметь различные, как негативные, так и позитивные последствия (Реан, Коломинский) [45].

Заниженное «идеальное Я» препятствует достижениям, завышенный образ «идеального Я» может привести к фрустрации и снижению самооценки. Реалистическая Я-концепция способствует принятию себя, психическому здоровью и достижению реалистичных целей [42].

В онтогенетическом развитии «Образа Я» личности важным аспектом является внутренний диалог. Внутренний диалог подростка постоянно усложняется тем, что в нем, помимо образов-идеалов присутствует образ «значимого «Мы»» - типичного сверстника своего пола. На протяжениии подросткового возраста «Образ Я» приобретает определенную устойчивость.

Наряду с исследованиями других психологических свойств, исследование самооценки в подростковом возрасте занимает особое место (В.П. Зинченко и др.). Самооценка в значительной степени определяет социальную адаптацию личности, является регулятором поведения и деятельности (Реан, Коломинский) [45]. Как показывает опыт, ученики, которые хорошо успевают в учебе, чаще испытывают чувство собственной значимости и несколько лучше относятся к себе, самооценка у них, как правило, выше [42].

Связь самооценки и успеваемости рассматривается как некоторая тенденция, которая чаще наблюдается. Следует также отметить, что, по некоторым данным, у правонарушителей-подростков отмечается завышенная самооценка. По мнению А.А. Реана с соавторами, самооценка у подростков-деликвентов находится в противоречии с оценкой социума, в то время как внешняя оценка неизменно ниже. [45].

Общение подростков определяется стремлением быть принятым и самоутвердиться в группе сверстников, что сочетается со стремлением к коммуникативному уединению.

ГЛАВА 2. ЭМПИРИЧЕСКОЕ ИССЛЕДОВАНИЕ КОПИНГ-СТРАТЕГИЙ ПОДРОСТКОВ С РАЗЛИЧНЫМ УРОВНЕМ САМООЦЕНКИ

2.1 Организация и методы исследования

Цель исследования - выявить особенности копинг-стратегий подростков с различным уровнем самооценки.

Гипотеза исследования заключается в том, что у подростков с адекватной самооценкой преобладают активные копинг-стратегии.

Поставленная цель и гипотеза исследования определяют собой необходимость решения следующих задач.

.        Осуществить теоретический анализ состояния проблемы копинг-стратегий поведения подростков с различным уровнем самооценки в научной психологической литературе;

.        Выявить доминирующие копинг-стратегии у подростков с различным уровнем самооценки;

.        Исследовать взаимосвязь уровня самооценки с копинг-стратегиями подростков.

База исследования. Исследование проводилось на базе Многопрофильного лицея №11 им. Мендельсона г. Ульяновска.

Характеристики выборки. В исследование приняли участие учащиеся седьмых классов. Общее число испытуемых - 50 человек в возрасте тринадцати и четырнадцати лет.

Этапы исследования. Исследование проводилось с января по май 2013 года и включало в себя три этапа.

Этап 1. Проведен теоретический анализ литературы по проблеме исследования, определены позиции исследования (цель, объект, предмет, гипотезы, задачи, база исследования).

Этап 2. Подбор психодиагностического инструментария для изучения копинг-стратегий подростков с различным уровнем самооценки; сбор эмпирических данных с помощью психодиагностических методик.

Этап 3. Обобщение и анализ полученных результатов психодиагностики, определение соответствия гипотезы и эмпирических результатов.

Испытуемые привлекались по собственному желанию, это важно, поскольку исследование самооценки предполагает настрой на серьезную работу, чтобы искренне и откровенно исследовать глубинные слои самосознания. Психодиагностика проводилась в групповой форме во вне учебное время. Для заполнения испытуемым предъявлялись бланки методик и зачитывались инструкции. Участие в исследовании, в соответствии с этическими принципами психолога, анонимное.

Методы исследования. В исследовании применялись:

во-первых, теоретические методы (анализ, обобщение, сравнение, сопоставление);

во-вторых, эмпирические методы (метод тестирования), а именно:

тест «Нахождение количественного выражения уровня самооценки» по С.А. Будасси;

проективный тест «Исследование самооценки по методике Дембо-Рубинштейн в модификации А. М. Прихожан»;

методика Д. Амирхана «Индикатор копинг-стратегий»;

в-третьих, методы математической обработки данных (описательная статистика, t-критерий Стьюдента, r-критерий корреляции Пирсона).

Пакет психодиагностических методик исследования.

)        Тест «Нахождение количественного выражения уровня самооценки» по С.А. Будасси использовался как базовый для определения качественного уровня самооценки подростков как заниженной, адекватной или завышенной (высокой);

)        Проективный тест «Исследование самооценки по методике Дембо-Рубинштейн в модификации А. М. Прихожан» позволял уточнить и углубить данные о само оценочном компоненте самосознания испытуемых, представить «объемную» картину самооценки подростков [34];

)        Методика Д. Амирхана «Индикатор копинг-стратегий» применялась в исследовании для определения копинг-стратегий поведения подростков [33].

Тест «Нахождение количественного выражения уровня самооценки» по С. А. Будасси. Методика предназначена для выявления количественного выражения уровня самооценки.

Образец списка слов приведен в Приложении 2.

Оборудование: слова, характеризующие отдельные качества личности

Порядок исследования:

Испытуемый внимательно просматривает список слов, характеризующих отдельные качества личности. На основе предложенного списка респондент выписывает во вторую колонку таблицы 20 значимых свойств личности, из которых 10 описывают идеального с точки зрения испытуемого человека, а другие 10 - отрицательные, то есть те, которые ни в коем случае не должны быть у идеала.

После того, как заполнена вторая колонка таблицы, испытуемый начинает ранжировать качества. Он должен описать себя таким образом, чтобы на первом месте колонки №1 стояло то качество, которое ему присуще больше всего, на втором месте - присуще, но менее, чем то качество, которое записано под №1 и т. д. Под номером 20 должно стоять то качество, которое испытуемому свойственно менее всего. Очередность положительных и отрицательных качеств в данном случае не учитывается. Главное - максимально достоверно описать себя.

После того, как выполнен этот этап работы, испытуемый должен описать свой идеал человека, поставив на первое место в колонке то качество, которое, на его взгляд, должно быть выражено у идеального человека больше всего, на втором - выражено, но менее, чем первое и т. д. Под № 20 должно стоять то качество, которого в идеале практически не должно быть. Для заполнения данной колонки таблицы испытуемый должен работать только со словами из колонки №2. (Колонку №1 с описанием себя испытуемый должен закрыть листом бумаги на время заполнения колонки №2).

При обработке результатов подсчитывается коэффициент ранговой корреляции по Спермину, который отражает согласованность между Я-реальным и Я-идеальным респондента и позволяет судить об уровне самооценки.

Полученный показатель r (коэффициент корреляции) сравнивается с психодиагностической школой, на основании чего делается заключение об уровне самооценки. Значения r будут находится в пределах [-1; +1].

·    если r находится в пределах [-1; 0], то это свидетельствует о неприятии себя, о заниженной самооценке по невротическому типу;

·        если r = 0,1; 0,2; 0,3, то самооценка заниженная;

·        если r = 0,4; 0,5; 0,6, то самооценка адекватная;

·        если r = 0,7; 0,8; 0,9, то самооценка завышена;

·        если r = 1, то самооценка завышена по невротическому типу.

Проективный тест «Исследование самооценки по методике Дембо-Рубинштейн в модификации А. М. Прихожан».

Методика имеет следующую инструкцию: «Любой человек оценивает свои способности, возможности, характер и др. Уровень развития каждого качества, стороны человеческой личности можно условно изобразить вертикальной линией, нижняя точка которой будет символизировать самое низкое развитие, а верхняя - наивысшее. Вам предлагаются семь таких линий. Они обозначают:

·    здоровье;

·        ум, способности;

·        характер;

·        авторитет у сверстников;

·        умение многое делать своими руками, умелые руки;

·        внешность;

·        уверенность в себе.

На каждой линии чертой (-) отметьте, как вы оцениваете развитие у себя этого качества, стороны вашей личности в данный момент времени».

Испытуемому выдается бланк, на котором изображено семь линий, высота каждой - 100 мм, с указанием верхней, нижней точек и середины шкалы. При этом верхняя и нижняя точки отмечаются заметными чертами, середина - едва заметной точкой.

Методика может проводиться как фронтально - с целым классом (или группой), так и индивидуально. При фронтальной работе необходимо проверить, как каждый ученик заполнил первую шкалу. Надо убедиться, правильно ли применяются предложенные значки, ответить на вопросы. После этого испытуемый работает самостоятельно. Инструкция и стимульный материал данной методики в Приложении 3.

Время, отводимое на заполнение шкалы вместе с чтением инструкции, 10-12 мин.

Обработка проводится по шести шкалам (первая, тренировочная - «здоровье» - не учитывается). Каждый ответ выражается в баллах. Как уже отмечалось ранее, длина каждой шкалы 100мм, в соответствии с этим ответы школьников получают количественную характеристику (например, 54мм = 54 баллам).

По каждой из шести шкал определить высоту самооценки - от «о» до знака «-».

Количество баллов от 45 до 74 («средняя» и «высокая» самооценка) удостоверяют реалистическую (адекватную) самооценку.

Количество баллов от 75 до 100 и выше свидетельствует о завышенной самооценке и указывает на определенные отклонения в формировании личности. Завышенная самооценка может подтверждать личностную незрелость, неумение правильно оценить результаты своей деятельности, сравнивать себя с другими; такая самооценка может указывать на существенные искажения в формировании личности - «закрытости для опыта», нечувствительности к своим ошибкам, неудачам, замечаниям и оценкам окружающих. Количество баллов ниже 45 указывает на заниженную самооценку (недооценку себя) и свидетельствует о крайнем неблагополучии в развитии личности. Эти ученики составляют «группу риска», их, как правило, мало. За низкой самооценкой могут скрываться два совершенно разных психологических явления: подлинная неуверенность в себе и «защитная», когда декларирование (самому себе) собственного неумения, отсутствия способности и тому подобного позволяет не прилагать никаких усилий.

Методика «Индикатор копинг-стратегий (Д.Амирхан)».

Методика предназначена для диагностики доминирующих копинг-стратегий личности. Методика «Индикатор копинг-стратегий» разработана на основе факторного анализа. Теоретическим основанием методики является представление, что поведение людей в ситуации психологического стресса можно описать в трех группах:

.        Стратегия разрешения проблем - это способность использовать все личностные ресурсы в стрессовой ситуации.

.        Стратегия поиска социальной поддержки - это способность активного поиска социальной поддержки в стрессовой ситуации.

.        Стратегия избегания - способность человека уходить от решения надвигающихся проблем путем избегания проблемной ситуации. Автор методики выделял пассивный и активный способ избегания проблемной ситуации.

Стратегия избегающего поведения, по мнению автора методики, характерна для поведения дезадаптированного индивида, находящегося на более низком уровне развития.

Для проведения исследований на русскоязычной выборке методика адаптирована в Психоневрологическом научно-исследовательском институте им. В. М. Бехтерева Н.А. Сиротой, В.М. Ялтонским (1994-1995).

Тест состоит из 33 вопросов, на каждый из которых возможно дать ответ «полностью согласен»; «согласен»; «не согласен».

Испытуемым предъявляется следующая инструкция к тесту. «На бланке вопросов представлено несколько возможных путей преодоления проблем, неприятностей. Ознакомившись с утверждениями, Вы сможете определить, какие из предложенных вариантов обычно Вами используются. Попытайтесь вспомнить об одной из серьезных проблем, с которой Вы столкнулись за последний год и которая заставила вас изрядно беспокоиться. Опишите эту проблему в нескольких словах. Теперь, читая приведенные ниже утверждения, выберите один из трех наиболее приемлемых вариантов ответов для каждого утверждения: полностью согласен; согласен; не согласен».

Тестовый материал и ключи методики представлен в Приложении 4.

Баллы начисляются по следующей схеме:

Ответ «Полностью согласен» оценивается в 3 балла.

Ответ «Согласен» в 2 балла.

Ответ «Не согласен» в 0 баллов.

Нормы для оценки результатов теста занесены в таблицу 1.

Таблица 1. Тестовые нормы методики Д.Амирхана

Уровень

Разрешение проблем

Поиск социальной поддержки

Избегание проблем

Очень низкий

Менее 16

Менее 13

Менее 15

Низкий

17-21

14-18

16-23

Средний

22-30

19-28

24-26

Высокий

Более 31

Более 29

Более 27


Методы математической статистики.

T-критерий Стьюдента направлен на оценку различий величин средний значений двух выборок. Одним из главных достоинств критерия является широта его применения. Он может быть использован для сопоставления средних у связных и несвязных выборок, причем выборки могут быть не равны по величине. В случае с незначительно отличающимся размером выборки применяется упрощённая формула приближенных расчётов [16


Где M1,M2 - средние арифметические, σ1,σ2 - стандартные отклонения, N1,N2 - размеры выборок.

В данном исследовании t-критерий Стьюдента использовался с целью межгруппового сравнения выраженности базисных копинг-стратегий поведения у подростков с заниженной, адекватной (нормальной) и завышенной самооценкой.

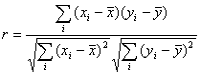
Формула расчета коэффициента корреляции построена таким образом, что если связь между признаками имеет линейный характер, r-коэффициент Пирсона точно устанавливает тесноту этой связи. Если коэффициент корреляции оказывается по модулю близким к 1, то это соответствует высокому уровню связи между переменными. Если знак коэффициента корреляции «плюс», то между переменными существует прямая корреляционная зависимость. Если же получен знак «минус», то большей величине одного признака соответствует меньшая величина другого - существует обратная пропорциональная зависимость. Это положение очень важно для правильной интерпретации полученной корреляционной зависимости. Формула для подсчета коэффициента корреляции [16]:


Где xi - значение, принимаемое переменной Х, yi - значение, принимаемое переменной Y, - средняя по Х, x - средняя по Y.

Коэффициент корреляции Пирсона позволил нам определить линейную взаимосвязь высокой или низкой самооценки подростка и частоты использования той или иной базовой стратегии копинг-поведения.

2.2 Анализ и интерпретация результатов эмпирического исследования

Сырые баллы, полученные в результате психодиагностики, собраны в Приложении 5 таблица 6 и Приложении 6 таблица 7.

Следующая за разработкой программы эмпирического исследования задача состояла в определении уровня самооценки и подростков. Основной методикой, направленной на решение данной задачи, стал тест «Нахождение количественного выражения уровня самооценки» по С.А. Будасси. В соответствии с полученными данными, уровень самооценки подростков выборки распределился следующим образом:

Таблица 2. Распределение подростков по уровням развития самооценки по методике С. А. Будасси

1

Заниженная по невротическому типу

5

10%

2

Заниженная

11

22%

3

Адекватная

22

44%

4

Завышенная

12

24%

5

Завышенная по невротическому типу

0

0%


Итак, 10% испытуемых обладают заниженной по невротическому типу самооценкой. Эти подростки характеризуются неприятием себя, наличием внутренних конфликтов. Для 22% опрошенных характерна заниженная самооценка без проявления невроза. Уровень оценки себя у этих подростков ниже их реальных возможностей. Обычно это приводит к неуверенности в себе, робости и отсутствию дерзаний, невозможности реализовать свои способности. Вероятнее всего, эти подростки не ставят перед собой труднодостижимых целей, ограничиваются решением обыденных задач и при этом слишком критичны к себе.

Адекватной, оптимальной самооценкой отличаются 44% принявших участие в исследовании школьника. Эти подростки адекватно соотносят Я-реальное и Я-идеальное, свои возможности и способности, достаточно критически относятся к себе, стремятся реально смотреть на свои неудачи и успехи, стараются ставить перед собой достижимые цели, которые можно осуществить на деле. К оценке достигнутого они подходят не только со своими мерками, но и старается предвидеть, как к этому отнесутся другие люди. Считается, что именно адекватная самооценка, которая присуща 44% опрошенных, является наилучшей для конкретных условий и ситуаций.

Завышенная самооценка отмечается у 24% подростков. Эти подростки ценят себя и довольны собой. Однако, такая самооценка может указывать на некоторые искажения в формировании личности, - закрытости для опыта, нечувствительности к собственным неудачам и ошибкам окружающих. Случаев самооценки, завышенной по невротическому типу, среди подростков, вошедших в выборку, не выявлено.

Для реализации цели квалификационной работы - определения копинг-стратегий поведения подростков с различным уровнем самооценки - внутри общей выборки (n=50) выделим ряд подгрупп:

Группа 1: подростки с заниженной самооценкой (n=16);

Группа 2: подростки с адекватной самооценкой (n=22);

Группа 3: подростки с завышенной самооценкой (n=24).

Подростки с заниженной самооценкой и самооценкой, заниженной по невротическому типу, объединены в одну подгруппу. На это есть два основания: во-первых, число подростков с самооценкой, заниженной по невротическому типу в выборке составляет лишь 5 человек, и анализ особенностей стратегий их копинг-поведения может не дать достоверных данных в силу малого числа испытуемых; и во-вторых, как самооценка, заниженная по невротическому типу, так и просто - низкая самооценка, могут скрывать за собой два совершенно разных психологических явления: подлинная неуверенность в себе и «защитная», когда декларирование (самому себе) собственного неумения, отсутствия способности и тому подобного позволяет не прилагать никаких усилий.

Итак, для дальнейшего рассмотрения по критерию уровня самооценки нами определены три подгруппы подростков. В качестве методики, позволяющей уточнить и углубить данные о самооценочном компоненте самосознания испытуемых, представить «объемную» картину самооценки подростков, применялся проективный тест «Исследование самооценки по методике Дембо-Рубинштейн в модификации А. М. Прихожан»

Рисунок 1. Различные аспекты самооценки подростков трех подгрупп по данным методики Дембо-Рубинштейн

Таким образом, полученные данные показывают, что среднее значение самооценки подростков по параметру «ум, способности» практически не различается и находится в районе 63-65 баллов. Также сходны параметры самооценки характера подростками с адекватной и заниженной самооценкой (средний балл составляет порядка 54 единиц) и самооценки уверенности в себе подростками с адекватной и завышенной самооценкой (63-65 средних баллов).

Таблица 3 Различные аспекты самооценки подростков трех подгрупп по методике Дембо-Рубинштейн (среднее значение и стандартное отклонение)

Ум, способности

Характер

Авторитет у сверстников

Умение многое делать своими руками

Внешность

Уверенность в себе

Группа 1 - Подростки с заниженной самооценкой

63,25±9,71

54,13±14,67

43,25±13,82

53,19±15,64

44,44±14,74

47,75±12,13

Группа 2 - Подростки с адекватной самооценкой

65,68±10,52

54,32±15,35

59,32±16,38

66,77±10,07

62,27±10,44

63,95±13,98

Группа 3 - Подростки с завышенной самооценкой

64,25±11,74

64,92±11,17

68,17±17,97

73,67±10,60

61,92±10,14

65,25±10,43


Группа подростков с завышенной самооценкой наиболее высоко оценивает собственный «авторитет у сверстников» и «умение многое делать своими руками» (средний балл равен соответственно 68,17 и 73,67). Группа подростков с адекватной самооценкой наиболее ценят в себе «ум, способности» и «внешность» (средний балл составляет 65,68 и 66,67). Группа подростков с заниженной самооценкой сравнительно благосклонно отзываются о своих умственных способностях (63,25) и характере (54,13).

Перейдем к анализу непосредственно копинг-стратегий поведения подростков с различным уровнем самооценки. Как определено в теоретической части работы, человек эффективен в копинге, когда имеет позитивные копинг-ресурсы, такие как интеллект, поддержка семьи и значимых лиц, а также здоровье и материальные ресурсы. При этом важная компетентность, которая основана на опыте и способностях, приобретенных частично именно в подростковом возрасте.

Выраженность базисных копинг-стратегий определялась посредством применения методики Д. Амирхана «Индикатор копинг-стратегий»; результаты тестирования в виде среднего значения и стандартного отклонения занесены в таблицу 4.

Таблица 4 Выраженность базисных копинг-стратегий поведения по методике Д. Амирхана у подростков с различным уровнем самооценки (среднее значение и стандартное отклонение)


Разрешение проблем

Социальная поддержка

Избегание

Группа 1 - Подростки с заниженной самооценкой

22,75±4,17

22,75±4,14

26,31±4,24

Группа 2 - Подростки с адекватной самооценкой

26,27±4,63

23,73±3,88

24,77±3,38

Группа 3 - Подростки с завышенной самооценкой

26,08±4,01

25,25±1,66

23,83±5,52


Базисная копинг-стратегия разрешения проблем занимает первое место в структуре копинг-поведения учащихся с адекватной и высокой самооценкой. Ориентация на разрешение проблем позволяет конструктивно приспосабливаться к предъявляемым требованиям и трудностям, которые появляются в подростковом возрасте. Что касается подростков с заниженной самооценкой, то их наиболее выраженной базисной копинг-стратегией является избегание.

В группе 1, среди подростков, недостаточно ценящих себя, стратегия разрешения проблем и социальной поддержки обладает идентичным средним уровнем - 22,75 средних балла. Стратегия избегания превышает их: получено 26,31 среднего балла по подгруппе.

Среди подростков, обладающих нормальной, адекватно сформированной самооценкой, широко применяется базисная стратегия разрешения проблем, предполагающая активные действия по преобразованию затруднительной ситуации (26,77). Менее выражена стратегия избегания (24,77 средних балла). Третье место по частоте использования подростками с адекватной самооценкой занимает стратегия поискасоциальной поддержки.

Рисунок 2. Выраженность базисных копинг-стратегий по методике Д. Амирхана у подростков с различным уровнем самооценки

Как известно из теоретического анализа литературы, самооценка подростка формируется по принципу «отраженного «Я»», на ее становление оказывает влияние система внешних оценок (со стороны сверстников, родителей, педагогов и т. д.). Стратегия поиска социальной поддержки приводит субъекта к мнению, что его ценят, что он является членом социальной сети и имеет с ней взаимные обязательства. Возможно, подросток с нормальной самооценкой имеет возможность опираться на систему адекватных внешних оценок и быть включенным в социальную сеть априори, и не нуждается в специальной активации данной стратегии в период стресса, в активном поиске возможностей социальной поддержки.

Подростки с высокой самооценкой в кризисных ситуациях опираются прежде всего на копинг-стратегию разрешения проблем (26,08). Менее выражена стратегия поиска социальной поддержки (25,25). Реже применяется стратегия «избегания» (23,83). Стратегия избегания проблем формирует тенденцию к немедленному снятию, избеганию возникающего в стрессовой ситуации эмоционального напряжения путем редукции. С другой стороны, копинг-стратегия избегания - это механизм поведения, основанный на недостаточно развитой системе личностно-средовых копинг-ресурсов и активных копинг-стратегий.

Таким образом, стратегия разрешения проблем представляет собой комплекс навыков для эффективного каждодневного разрешения проблемных ситуаций различного спектра, и является наиболее используемой подростками с адекватной и завышенной самооценкой; в то время как копинг-стратегия избегания связана с механизмом редукции, и функционирования индивида на более низком функциональном уровне, и применяется наиболее часто подростками с заниженной самооценкой.

Таблица 5. Матрица корреляционных взаимосвязей уровня самооценки и копинг-стратегий подростков

Социальная поддержка

Избегание

Самооценка по Будасси

r= 0,196

r= 0,272*

r= -0,311*

Самооценка по методике Дембо-Рубинштейн

Ум, способности

r= -0,029

r= -0,148

r= 0,027

Характер

-0,024

r= 0,276*

r= 0,015

Авторитет у сверстников

r= 0,026

r= 0,215

r= -0,343*

Умение многое делать своими руками

r= -0,131

r= 0,184

r= -0,118

Внешность

r= 0,333*

r= 0,066

r= 0,089

Уверенность в себе

r= 0,343*

r= 0,284*

r= 0,140

При наличии статистически значимой взаимосвязи на уровне p≤0,05

Таким образом, r-критерий корреляции Пирсона позволил выявить следующие закономерности:

Глобальная самооценка подростков (по Будасси) взаимосвязана с использованием копинг-стратегии социальной поддержки таким образом, что чем выше уровень самооценки личности девятиклассника, тем более часто он прибегает к поиску важной для адаптации к условиям среды социальной поддержке, получая ощущения собственной ценности для близких (r= 0,272; p≤0,05).

Глобальная самооценка подростков отрицательно взаимосвязана с копинг-стратегией «избегание» (r= - 0,311; p≤0,05). Чем ниже себя оценивает подросток, чем более характерно для него неприятие себя и неуверенность в себе, тем более склонен он использовать избегающий копинг (избегание стрессовых мыслей или ситуаций на поведенческом и когнитивном уровне).

Обнаружен ряд взаимосвязей частных самооценок с выраженностью копинг-стратегий поведения подростков.

Самооценка характера положительно взаимосвязана со стратегией поиска социальной поддержки (r= 0,276; p≤0,05);

Самооценка авторитета у сверстников отрицательно взаимосвязана со стратегией избегания (r= - 0,343; p≤0,05);

Самооценка внешности демонстрирует прямую (положительную) взаимосвязь с частотой использования копинг-стратегии конструктивного разрешения проблем (r= 0,333; p≤0,05);

Самооценка уверенности в себе подростка оказалась положительно взаимосвязана с активными копинг-стратегиями разрешения проблем (r= 0,343; p≤0,05); и поиска социальной поддержки (r= 0,284; p≤0,05).

Гипотезой исследования выступало предположение о том, что у подростков с адекватной самооценкой преобладают активные копинг-стратегии. К активным стратегиям относят стратегию «разрешение проблем», как базисную копинг-стратегию, и стратегию «поиск социальной поддержки». К пассивному копинг-поведению относятся варианты поведения, включающего базисную копинг-стратегию «избегание».

У подростков с адекватной самооценкой преобладает стратегия поиска социальной поддержки (которая также относится к активным копинг-стратегиям), что определено посредством анализа данных методики Амирхана по t-критерию Стьюдента и r-критерию Пирсона.

2.3 Выводы и рекомендации по результатам исследования

Таким образом, на основе полученных данных по преобладающим стратегиям копинг-поведения в подростковом возрасте мы можем дать следующие рекомендации по развитию копинг-стратегий подростков с различным уровнем самооценки.

Школа, где осуществляется целенаправленное и систематическое обучение на протяжении ряда лет, является удобной базой для формирования копинг-стратегий подростков с различным уровнем самооценки.

Этапами работы по развитию конструктивных копинг-стратегий подростков могут стать следующие составляющие:

. Диагностический этап, включающий в себя определение личностных особенностей самооценки и совладающего поведения подростка, а также получение информации о положении ребенка в коллективе, о характере семейных взаимоотношений, о составе семьи, о его увлечениях и способностях, о его друзьях и других возможных референтных группах.

. Информационно-просветительский этап, представляющий собой расширение компетенции подростка в области способов преодоления стрессовых ситуаций. Необходимо разъяснить подросткам, что конструктивные, адаптивные копинг-стратегии подразумевают под собой:

•        Сбалансированность соответствующих подростковому возрасту копинг-стратегий с преобладанием активных проблеморазрешающих и направленных на поиск социальной поддержки стратегий.

•        Преобладание мотивации на достижение успеха над мотивацией избегания неудачи, готовность к активному противостоянию среде и осознанная направленность копинг-стратегии на источник стресса.

Существует два основных уровня категоризации трудных жизненных ситуаций: «легко преодолимые» и «трудно преодолимые». При этом «легкость» и «трудность» обусловлены различными факторами, индивидуальными для каждого респондента.

Например, «легкость» может быть связана с тем, что субъект отводит себе активную роль в ряде ситуаций, способен сам изменить их, изменив свое отношение к ситуациям. «Трудность» может быть опосредована тем, что ситуация переживается как «переломный момент» в жизни, может вызвать нарушения психики. Если ситуация определяется как, легко преодолимая, с которой субъект может справиться, которая не вызывает сильных переживаний, то, вероятнее всего, субъект станет осуществлять конструктивные копинг-стратегии. Если же ситуация окажется на «противоположном полюсе», то есть будет определяться как трудно преодолимая, вызывающая сильные переживания, тогда копинг-поведение будет неконструктивным или будет отсутствовать вовсе.

. Тренинги личностного роста с элементами коррекции отдельных личностных особенностей и форм поведения, включающие формирование и развитие навыков работы над собой. Формирование копинг-реакций в ситуации тренинга может осуществляться в достаточно короткие сроки, они являются эффективными и действенными.

Коррекционно-развивающая работа должна носить опережающий, предвосхищающий характер. При разработке стратегии такой работы нельзя ограничиваться сиюминутными потребностями, а необходимо ориентироваться на перспективы развития. Поэтому специфика конкретных задач и формы проведения работы по развитию зависят от тех условий, в которых она проводится.

Для оптимального развития осознанных способов совладания с трудными жизненными ситуациями необходимо создание соответствующей интерпсихической ситуации, характеризующейся наличием окружения, способного оказывать социальную поддержку. Позитивная Я-концепция - один из важнейших копинг-ресурсов личности подростков. Психологическими факторами резистентности подростков являются позитивный эмоциональный фон партнеров по коммуникации, положительный образ своего тела, адекватные положительные семейные, социальные и сексуальные отношения, устойчивый уровень морального самосознания, определившиеся стремления, субъективные ощущения контроля над средой и высокая способность приспособления к ней, сформированность реального и идеального компонентов самооценки, умеренное расхождением между ними, способствующие росту самосознания.

Таким образом, работа по формированию конструктивных копинг-стратегий подростков должна коснуться всех сфер жизни подростка, - в том числе и семьи.

В семье для подростка значимыми факторами являются эмоциональная стабильность и защищенность, взаимное доверие членов семьи. Подросток нуждается в умеренном контроле его действий и умеренной опеке с тенденцией к развитию самостоятельности и умения принимать ответственность за свою собственную жизнь. Родителям важно помнить, что адекватную самооценку ребенка и подростка может формировать правильное использование методов похвалы и критики. Похвала может принести ребенку пользу, увеличить его уверенность в своих силах, сформировать адекватную самооценку, если родители хвалят ребенка искренне; высказывают одобрение не только на словах, но и невербальными средствами; хвалят за конкретные действия, усилия, инициативу; и не сравнивают при этом ребенка с другими детьми. Для последствий этой модели характерно сбалансированное использование соответствующих возрасту копинг-стратегий с преобладанием активных стратегий, направленных на разрешение проблем и поиск социальной поддержки, преобладание мотивации на достижение успеха над мотивацией избегания неудач, готовность к активному противостоянию среде.

Поэтому мы считаем актуальным включить в рекомендации для родителей ряд практических правил «полезной критики».

. Золотая пропорция воспитания. Человеку трудно согласиться с критикой в собственный адрес, если у него нет твердой уверенности в том, что он «в целом хороший», что он нужен и важен для близких людей, то есть если у человека не удовлетворены базовые психологические потребности: в безопасности, обеспеченности и стабильности, любви, чувстве принадлежности, в самоуважении и уважении другими. Золотая пропорция воспитания указывает на соотношение одобрения и критики в обращениях к ребенку. Это «пропорция 4:1»: четыре знака одобрения на каждое критическое замечание. В этом случае информация, заложенная в критическом высказывании, вполне возможно, будет воспринята ребенком и использована им в своем развитии.

. Разделение критики и чувств. Разделите критику и выражение собственных чувств. Полезная критика всегда спокойна. Если вы испытываете раздражение, обиду, злость, страх, тревогу, вам не удастся скрыть свои чувства, они обязательно прорвутся в самый неподходящий момент.

. Доброжелательная критика. Ваша критика будет полезной, если замечания будут говорить о вашей любви и уважении к ребенку.

. Критика поступков. Полезная критика касается поступков и действий ребенка, но не его личности.

. Конкретная критика. Полезная критика включает в себя конкретные ваши пожелания. Укажите детям конкретно, что именно не нравится вам в их действиях, убедитесь, что они вас понимают.

. Созидательная критика. Полезная критика включает в себя не только то, что вас не удовлетворяет, но и то, что вы хотите от ребенка. Сделайте эмоциональный акцент на втором.

. Аргументированная критика. Полезная критика включает в себя объяснения преимуществ желательного поведения.

Таким образом, подросток, имеющий развитые личностные и средовые ресурсы, а также поведенческие навыки разрешения проблем, оказывается более защищенным перед лицом жизненных трудностей.

Таким образом, мы можем сделать следующие выводы:

. В теории копинг-поведения выделяются следующие базисные копинг-стратегии: копинг-стратегия разрешения проблем (комплекс навыков для эффективного управления ежедневными проблемными ситуациями), копинг-стратегия поиска социальной поддержки (защита человека, приводящая к мысли, что его любят, о нем заботятся, ценят, и что он является членом эмоциональной сети и имеет с ней взаимные обязательства) и копинг-стратегия избегания (определяющая тенденцию избегания стрессового напряжения путем редукции). К активным стратегиям относят стратегию «разрешение проблем», как базисную копинг-стратегию, и стратегию «поиск социальной поддержки». К пассивному копинг-поведению относятся варианты поведения, включающего базисную копинг-стратегию «избегание». Механизмы преодоления эмоционального стресса у подростков определяют развитие и формирование различных вариантов поведения, приводящих к адаптации, либо дезадаптации индивида. В подростковом возрасте механизмы копинг-поведения носят динамический и транзиторный характер.

. Самооценка выступает одним из компонентов самосознания. Она рассматривается как «глобальная самооценка» (зарубежный подход) либо как сумма частных самооценок (позиция отечественных авторов). Адекватность самооценки - это степень ее соответствия реальной выраженности личностных качеств, проявляющихся в переживаниях и поведении. Это ее реалистичность. Она обусловливается качеством работы особого личностного механизма и является одним из показателей гармоничности личности.

. Проведенное исследование показало, что позитивная и адекватная самооценка является психологическим фоном для реализации копинг-стратегий, направленных на активное разрешение проблем. Среди пятидесяти подростков выборки 10% испытуемых обладают заниженной по невротическому типу самооценкой. Эти подростки характеризуются неприятием себя, наличием внутренних конфликтов. Для 22% опрошенных характерна заниженная самооценка без проявления невроза. Уровень оценки себя у этих подростков ниже их реальных возможностей. Обычно это приводит к неуверенности в себе, робости и отсутствию дерзаний, невозможности реализовать свои способности. Вероятнее всего, эти подростки не ставят перед собой труднодостижимых целей, ограничиваются решением обыденных задач и при этом слишком критичны к себе. Адекватной, оптимальной самооценкой отличаются 44% принявших участие в исследовании девятиклассника. Эти подростки адекватно соотносят свои возможности и способности, достаточно критически относятся к себе, стремятся реально смотреть на свои неудачи и успехи, стараются ставить перед собой достижимые цели, которые можно осуществить на деле. К оценке достигнутого они подходят не только со своими мерками, но и старается предвидеть, как к этому отнесутся другие люди. Считается, что именно адекватная самооценка, которая присуща 44% опрошенных, является наилучшей для конкретных условий и ситуаций. Завышенная самооценка отмечается у 24% подростков. Эти подростки ценят себя и довольны собой. Однако, такая самооценка может указывать на некоторые искажения в формировании личности, - закрытости для опыта, нечувствительности к собственным неудачам и ошибкам окружающих.

. Для реализации цели квалификационной работы - определения копинг-стратегий поведения подростков с различным уровнем самооценки - внутри общей выборки выделены три подгруппы: подростки с заниженной самооценкой; подростки с адекватной самооценкой; подростки с завышенной самооценкой.

. Для математической проверки гипотезы исследования и выделения особенностей копинг-стратегий поведения подростков с различным уровнем самооценки применялось межгрупповое сравнение выраженности базовых копинг-стратегий по t-критерию Стьюдента. Подростки с адекватной самооценкой превосходят подростков с заниженной самооценкой по частоте использования в качестве базовой копинг-стратегии поведения «разрешение проблем». Подростки с высоким уровнем самооценки превосходят подростков с заниженной самооценкой по частоте использования копинг-стратегии «разрешение проблем». Подростки с высокой самооценкой значительно более ориентированы на использование копинг-стратегии «поиск социальной поддержки», нежели подростки с заниженной самооценкой.

. Применение r-критерия корреляции Пирсона позволило установить наличие взаимосвязей между уровнем самооценки подростков и частотой применения определенной стратегии копинг-поведения. Глобальная самооценка подростков (по Будасси) прямо взаимосвязана с использованием копинг-стратегии социальной поддержки таким образом, что чем выше уровень самооценки личности девятиклассника, тем более часто он прибегает к поиску социальной поддержки, получая ощущения собственной ценности. Глобальная самооценка подростков отрицательно взаимосвязана с копинг-стратегией «избегание». Чем ниже самооценка, чем более характерно неприятие себя и неуверенность в себе, тем более подросток склонен использовать избегающий копинг (избегание стрессовых мыслей или ситуаций на поведенческом и когнитивном уровне).

. На основании проведенного исследования были разработаны рекомендации по развитию копинг-стратегий подростков с различным уровнем самооценки, касающиеся таких сфер жизни подростка, как школа и семья.

ЗАКЛЮЧЕНИЕ

Представленная курсовая работа была посвящена изучению копинг-стратегий поведения подростков с различным уровнем самооценки. Исследование расширило теоретические представления психологии развития и возрастной психологии о копинг-поведении в подростковом возрасте.

Анализ показал, что поведенческие копинг-стратегии подразделяются на активные и пассивные, адаптивные и дезадаптивные. К активным стратегиям относят стратегию «разрешение проблем», как базисную копинг-стратегию, включающую все варианты поведения человека, направленные на разрешение проблемной или стрессовой ситуации. К пассивному копинг-поведению относятся варианты поведения, включающего базисную копинг-стратегию «избегание», хотя некоторые формы избегания могут носить и активный характер. В подростковом возрасте механизмы копинг-поведения носят динамический и транзиторный характер. Согласно модели стресса и копинга Дж. Эдвардса копинг-поведение влияет, в числе прочих факторов, и на личностные черты, которые подвергаются самооцениванию индивидом. Продукт самооценки, в свою очередь, через «негативное расхождение» между актуальным состоянием человека и желаемым состоянием, влияет на выбор копинг-стратегий. Данные положения легли в основу эмпирического изучения проблемы исследования. Проведенное исследование показало, что позитивная и адекватная самооценка является психологическим фоном для реализации копинг-стратегий, направленных на активное разрешение проблем.

По t-критерию Стьюдента подростки с адекватной самооценкой превосходят подростков с заниженной самооценкой по частоте использования в качестве базовой копинг-стратегии поведения «разрешение проблем». Подростки с высокой самооценкой значительно более ориентированы на использование копинг-стратегии «поиск социальной поддержки», нежели подростки с заниженной самооценкой. В стрессовой ситуации подростки с адекватной самооценкой более ориентированы на избегание, нежели подростки как с заниженной, так и с завышенной самооценкой.

В ходе эмпирического исследования было установлено наличие взаимосвязей между уровнем самооценки подростков и частотой применения определенной стратегии копинг-поведения. Глобальная самооценка подростков (по Будасси) прямо взаимосвязана с использованием копинг-стратегии социальной поддержки таким образом, что чем выше уровень самооценки личности подростка, тем более часто он прибегает к поиску социальной поддержки, получая ощущения собственной ценности. Глобальная самооценка подростков отрицательно взаимосвязана с копинг-стратегией «избегание». Чем ниже самооценка, чем более характерно неприятие себя и неуверенность в себе, тем более подросток склонен использовать избегающий копинг (избегание стрессовых мыслей или ситуаций на поведенческом и когнитивном уровне).

Практическая значимость исследования определяется возможностью использования полученного в исследовании материала для создания программы повышения адаптивного потенциала личности подростков, имеющей своими задачами развитие их копинг-ресурсов и коррекцию неадекватной самооценки; а также в консультативной и психопрофилактической работе с подростками и их родителями.

эмоциональный стресс личность самооценка

БИБЛИОГРАФИЧЕСКИЙ СПИСОК

1.    Абрамова Г. С. Возрастная психология: учебное пособие. - Екатеринбург, 2000. - 624 с.

2.       Аверин А. В. Психология личности. - М., 2000. - 180 с.

.        Баркаускайте М.М. Об исследовании связей между статусом и участием подростков в малой группе// Взаимоотношения коллектива и личности. - Таллин, 1979. - С.1986 - 1982.

.        Березин Ф. Б. Психическая и психологическая адаптация человека. - Л., 1988. - 71 с.

.        Бернс Р. Что такое Я - концепция // Психология самосознания: Хрест. / Ред. Д.Я. Райгородский. - Самара: Бахрах-М, 2003. - 656 с.

.        Большой психологический словарь / Сост. и общ. ред. Б. Мещеряков, В. Зинченко. - СПб., 2004. - 916 с.

.        Бурлачук А. Ф., Кожанова Е. Ю. Психология жизненных ситуаций. - М.,1998. - 259 с.

.        Бурлачук Л.Ф., Морозов С.М. Словарь - справочник по психодиагностике. - СПб, 1999 - 519 с.

.        Василюк Ф. Е. Психология переживания. Анализ преодоления критических ситуаций. - М.: Издательство Московского университета, 1984.

.        Василюк Ф. Е. Жизненный мир и кризис: типологический анализ критических ситуаций // Журнал практической психологии и психоанализа. - 2001. - №4.

.        Грановская Р.М., Никольская И.М. Психологическая защита у детей. СПб., 2003.

.        Гринина О. В., Кича Д. Н. Пути совершенствования системы лечебно-оздоровительной работы// Материалы первой научной конференции «Образ жизни и здоровье студентов». - М. 1995. С. 9-12.

.        Джеймс У. Психология. - М., 1991. - 301 с.

.        Диагностика стратегий импунитивного поведения в конфликтных ситуациях / Фетискин Н.П., Козлов В.В., Мануйлов Г.М. Социально-психологическая диагностика развития личности и малых групп. - М., Изд-во Института Психотерапии, 2002. - C.438-442.

.        Диагностика типологий психологической защиты (Р. Плутчик в адаптации Л.И. Вассермана, О.Ф. Ерышева, Е.Б. Клубовой и др.) / Фетискин Н.П., Козлов В.В., Мануйлов Г.М. Социально-психологическая диагностика развития личности и малых групп. - М., Изд-во Института Психотерапии. 2002. - C.444-452.

.        Ермолаев О.Ю. Математическая статистика для психологов. - М., 2003.

.        Захарова А. Самосознание и самооценка подростка// Семья и школа. - 1979. - №11.

.        Иванова В. В. Общие вопросы самосознания личности. - М., 1998. - 225

.        Ильин Е.П. Психология индивидуальных различий. - СПб., 2004. - 700 с.

.        Китаев-Смык Л.А. Психология стресса. - М., 1983. - 368 с.

.        Коломинский Я.Л. Формирование Я-концепции. - СПб., 2003 - 220 с.

.        Колышко А.М. Психология самоотношения: Учебное пособие. - Гродно, 2004. - 102 с.

.        Кон И. С. Категория «Я» в психологии.// Психологический журнал. - T.2. 1981. - №3.

.        Кон И. С. Психология старшего школьного возраста.- М.: Просвещение, 1979. - 178 с.

.        Камынина И. В. Копинг-стратегии личности в экстремальных условиях жизнедеятельности : Автореф. дис. … канд. психол. наук : 19.00.01. - Хабаровск , 2008. - 22 с.

.        Копинг-поведение в стрессовых ситуациях (С. Норман, Д.Ф. Эндлер, Д.А. Джеймс, М.И. Паркер; адаптированный вариант Т.А. Крюковой) / Фетискин Н.П., Козлов В.В., Мануйлов Г.М. Социально-психологическая диагностика развития личности и малых групп. - М., Изд-во Института Психотерапии. 2002. - C.442-444.

.        Карвасарский Б. Д. Психотерапевтическая энциклопедия. - СПб.: Питер Ком, 1999. - 752 с.

.        Либин А.В. Дифференциальная психология: наука о сходствах и различиях между людьми - М., 2008. - 576 с.

.        Либин Д., Либина А. Стили реагирования на стресс: психологическая защита или совладание со сложными обстоятельствами//Стиль человека: психологический анализ.-М., 1998. - 117 с.

.        Липкина А. И. Самооценка школьника. - М.,1976. - 223 с.

.        Мадорский Л. Р. Глазами подростков : Кн. для учителя. - М. : Просвещение, 1991. - 95 с.

.        Максимова Н. Ю. О склонности подростков к аддиктивному поведению Психологический журнал. - 1996. - №3. - С.149-152.

.        Методика «Индикатор копинг-стратегий» (Д. Амирхан) // Психология индивидуальных различий / Е. П. Ильин. - М.,2006. - С. 416-419.

.        Методика исследования самооценки Дембо-Рубинштейн в модификации А. М. Прихожан // Практикум по возрастной психологии / Под ред. Л. А. Головей, Е. Ф. Рыбалко. - Спб., 2002. - С. 559.

.        Михайлова Н. Ф. Систематическое исследование индивидуального и семейного стресса и копинга у членов семей здоровых лиц в связи с задачами психогигиены и психопрофилактики: Диссертация канд. психол. наук : 19.00.04. - СПб., 1998 - 192 c.

36.   Мовсенян Л. С., Кондратьева М. В. Изучение взаимосвязи уровня самооценки с защитными механизмами и копинг-стратегиями личности // Материалы II Международной научной студенческой конференции «Научный потенциал студенчества - будущему России». Том второй.

.      Муздыбаев К. Стратегия совладания с жизненными трудностями // Журнал социологии и социальной антропологии. 1998, том 1, вып. 2.

38.     Нартова-Бочавер С.К. «Coping behavior» в системе понятий психологии личности // Психол. журн. 1997. Т. 18, № 5. С.20-30.

39.     Немов Р. С. Психология. Кн. 2.: Психология образования. - М, 1995. - 340 с.

.        Прихожан А. Н. Оценивая себя// Семья и школа. - 1986. - №9.

.        Психология общения. Энциклопедический словарь Под общ. ред. А.А. Бодалева. - М. Изд-во «Когито-Центр», 2011 г.

.        Психология человека/ под ред. Кураева Г. А., Пожарской Е. Н. - М., 2007. - 312 с.

.        Райс Ф. Психология подросткового и юношеского возраста. - Спб.,2000.

.        Рассказова Е.И., Гордеева Т.О. Копинг-стратегии в психологии стресса: подходы, методы и перспективы исследований. - М., МГУ им. Ломоносова.

.        Реан А.А., Коломинский Я. Л. Социальная педагогическая психология. - Спб, Питер, 1999. - 410 с.

.        Ремшмидт Х. Подростковый и юношеский возраст (проблемы становления личности). - М., 1994. - 317 с.

.        Рубинштейн С. Л. Основы общей психологии. - СПб. ; М. ; Харьков; Минск, 2003. - 712 с.

.        Сайко С. Д. Ценностные ориентации детей при переходе в младший школьный и подростковый возраст // Вопросы психологии. - 1986. - №2. - С. 67-74.

.        Савонько А. Б. Возрастные особенности соотношения ориентации школьников на самооценку и на оценку другими людьми: Автореферат - М., 1970. - 24 с.

.        Семичев С. Б. Теория кризисов и психопрофилактика. - Труды / Ленингр. научно-исследовательского психоневрологического института им. В. М. Бехтерева, т. 63. Неврозы и пограничные состояния. Л., 1972, с.96-99.

.        Сибирев В. А., Головин И. А. Штрих к портрету поколения 1990-х гг // Социологические исследования, 1998. - №3. - С.106 - 117.

.        Сибгатуллина И.Ф., Апакова Л.В., Зайцева Л.Д. Особенности копинг-поведения в реализации интеллектуальной деятельности субъектами высшей школы // Прикладная психология. 2002. № 5-6. С. 105.

.        Сиерральта З. Х. Особенности психических ресурсов личности в раннем юношеском возрасте (Копинг-стратегии, защитные механизмы, социальный интеллект и общий интеллект): Дисс. канд. психол. наук: 19.00.04: СПб., 2000. - 163 c.

.        Сирота Н. А. Копинг-поведение в подростковом возрасте: Дисс. докт. мед. наук: 19.00.04. - Бишкек - СПб.,1994. - 320 с.

.        Сирота Н.А., Ялтонский В.М. Копинг-поведение и психопрофилактика психосоциальных расстройств у подростков. - Обозр. психиат. и мед. психол., 1994/1, с.63-74.

.        Сирота Н.А., Ялтонский В.М. Преодоление эмоционального стресса подростками. Модель исследования. - Обозр. психиат. и мед. психол., 1993/1

.        Словарь практического психолога / Составитель С. Ю. Головин. - Минск: Харвест, 1997. - 800 с.

.        Соколова Е.Т. Самосознание и самооценка при аномалиях личности. - М., 1989. - 228 с.

59.     Тест «Нахождение количественного выражения уровня самооценки по Будассии» // Практическая психодиагностика. Методики и тесты / под ред. Д.Я. Райгородского. - Учеб. пособие. - Самара: изд. Дом «Бахрах - М», 2003. С.54-56.

.        Туманова Е.Н. Помощь подростку в кризисной ситуации жизни. Саратов, 2002. - 120 с.

61.     Урядницкая Н. В. Совладающее поведение в кризисной ситуации тяжелого заболевания // Журнал прикладной психологии. - 1998. - №3. - С. 24 - 29.

.        Франкл В. Человек в поисках смысла. - М.,1990. - С.55.

.        Фрейд 3. Введение в психоанализ: Лекции // Под ред. Бассина Ф. В., Ярошевского М.Г. - М.: Наука. 1989.456 с.

.        Фромм Э. Душа человека. - М., 1992.

.        Хассан С. Клинико-психологические способности умственной работоспособности у неуспевающих школьников с ЗПР // Дисс. канд. психол. наук: СПб., 1998.

.        Хьелл Л., Зиглер Д. Психодинамическое направление в теории личности: Зигмунд Фрейд // В кн.: Теории личности: основные положения, исследования и применения. СПб.: Питер, 1997. С.105-160.

.        Часова А.А. Копинг-поведение врача и больного в процессе преодоления болезни // Дисс. докт. мед. наук: СПб., 1998. 414 с.

.        Чехлатый Е.И., Веселова Н. В. Особенности отношения к здоровью и лечению, личностные конфликты и способы их разрешения (копинг-поведение) у больных неврозами // Интегративные аспекты современной психотерапии. Л., 1992. С. 95-103.

.        Чехлатый Е.И. Психологические аспекты неврозов // Теория и практика медицинской психологии и психотерапии. СПб., 1994. С. 120-127.

.        Чехонина О.И. Особенности психического развития одаренных детей старшего дошкольного возраста // Автореферат дисс. канд. психол. наук. М., 1997. 16 с.

.        Чумакова Е.В. Психологическая защита в системе детско-родительского взаимодействия // Дисс. канд. психол. наук. СПб., 1998. 174с.

.        Шипицына Л.М, К. Ван Рейсвейк Навстречу друг другу: пути интеграции. СПб., 1998. 130с.

.        Южанинова А. Л. Стилевые особенности межличностного познания и характеристика общения. Автореферат дисс. канд. психол. наук. Л., 1988. 16с.

.        Южанинова А.Л. К проблеме диагностики социального интеллекта личности.// В сб.: «Проблемы оценивания в психологии». Саратов: издательство Саратовского университета, 1984. с.63-67.

.        Юрасова Е.М. Исследование динамики уровня невротичности, конфликности и копинг-поведения у студентов-психологов и педагогов в процессе обучения (в связи с задачами психогигиены и психопрофилактики) Дисс. канд. психол. наук. СПб., 1996. 230 с.

Приложение 1

Модель стресса и копинга Дж. Р. Эдвардс, предполагающая наличие взаимосвязи копинг-стратегий и самооценки
















Приложение 2

Стимульный материал методик исследования

Стимульный материал теста «Нахождение количественного выражения уровня самооценки» по С.А. Будасси

Аккуратность Беспечность Вдумчивость Вспыльчивость Восприимчивость Гордость Грусть Заботливость Завистливость Застенчивость Злопамятность Искренность Изысканность Капризность Легковерие Медлительность Мнительность Мстительность Настойчивость Сдержанность Стыдливость Трусость Упорство Энтузиазм Холодность

Нежность Непринужденность Нервозность Нерешительность Несдержанность Обаяние Обидчивость Осторожность Отзывчивость Педантичность Подвижность Подозрительность Принципиальность Поэтичность Презрительность Радушие Развязанность Рассудочность Решительность Самозабвение Сострадательность Терпеливость Увлекаемость Уступчивость


Приложение 3

Стимульный материал методики «Исследование самооценки по методике Дембо-Рубинштейн в модификации А. М. Прихожан».

Инструкция: «Любой человек оценивает свои способности, возможности, характер и др.

Уровень развития каждого качества, стороны человеческой личности можно условно изобразить вертикальной линией, нижняя точка которой будет символизировать самое низкое развитие, а верхняя - наивысшее.

Вам предлагаются семь таких линий.

Они обозначают:

·  здоровье;

·        ум, способности;

·        характер;

·        авторитет у сверстников;

·        умение многое делать своими руками, умелые руки;

·        внешность;

·  уверенность в себе.

На каждой линии чертой (-) отметьте, как вы оцениваете развитие у себя этого качества, стороны вашей личности в данный момент времени».












Приложение 4

Бланк методики «Индикатор копинг-стратегий» Д. Амирхан

Утверждение

Полностью согласен

Согласен

Не согласен

1. Позволяю себе поделиться переживанием с другом.




2. Стараюсь сделать все так, чтобы иметь возможность наилучшим образом решить проблему.




3. Осуществляю поиск всех возможных решений, прежде чем что-либо предпринять.




4. Пытаюсь отвлечься от проблемы.




5. Принимаю сочувствие и понимание кого-либо.




6. Делаю все возможное, чтобы не дать окружающим возможность увидеть, что мои дела плохи.




7. Обсуждаю ситуацию с людьми, так как обсуждение помогает мне чувствовать себя лучше.




8. Ставлю для себя ряд целей, позволяющих постепенно справиться с ситуацией.




9. Очень тщательно взвешиваю возможности выбора.




10. Мечтаю, фантазирую о лучших временах.




11. Пытаюсь различными способами разрешить проблему, пока не найду наиболее подходящий.




12. Доверяю свои страхи родственнику или другу.




13. Больше времени, чем обычно, провожу один.




14. Рассказываю людям о ситуации, так как только ее обсуждение помогает мне прийти к ее разрешению.




15. Думаю о том, что нужно сделать для того, чтобы исправить положение.




16. Сосредоточиваюсь полностью на решении проблемы.




17. Обдумываю про себя план действий.




18. Смотрю телевизор дольше, чем обычно.




19. Иду к кому-нибудь (другу или специалисту), чтобы он мне помог чувствовать себя лучше.




20. Проявляю упорство и борюсь за то, что мне нужно в этой ситуации.




21. Избегаю общения с людьми.




22. Переключаюсь на хобби или занимаюсь спортом, чтобы избежать проблемы.




23. Иду к другу, чтобы он помог мне лучше осознать проблему.




24. Иду к другу за советом - как исправить ситуацию.




25. Принимаю сочувствие, взаимное понимание друзей, у которых та же проблема.




26. Сплю больше обычного.




27. Фантазирую о том, что все могло быть иначе.




28. Представляю себя героем книг или кино.




29. Пытаюсь решить проблему.




30. Хочу, чтобы люди оставили меня одного.




31. Принимаю помощь от друга или родственника.




32. Ищу успокоение у тех, кто знает меня лучше.




33. Пытаюсь тщательно планировать свои действия, а не действовать импульсивно.






Приложение 5

Таблица 6. Результаты психодиагностики самооценки подростков

Испытуемый

Самооценка по Будасси

Самооценка по методике Дембо-Рубинштейн


балл

Уровень

способности

характер

авторитет

Умение многое делать своими руками

внешность

Уверенность в себе

Испытуемый 1

-0,12

заниженная

60

67

44

43

50

44

Испытуемый 2

-0,21

заниженная

55

55

32

56

52

43

Испытуемый 3

-0,03

заниженная

58

39

45

65

65

33

Испытуемый 4

-0,11

заниженная

68

77

60

62

40

33

Испытуемый 5

-0,19

заниженная

71

45

30

40

35

37

Испытуемый 6

0,13

заниженная

77

33

40

40

25

50

Испытуемый 7

0,11

заниженная

80

47

45

38

60

70

Испытуемый 8

0,22

заниженная

53

63

25

77

55

38

Испытуемый 9

0,15

заниженная

60

55

30

43

28

50

Испытуемый 10

0,16

заниженная

68

42

58

62

40

43

Испытуемый 11

0,32

заниженная

65

72

34

75

49

64

Испытуемый 12

0,05

заниженная

72

60

59

44

32

63

Испытуемый 13

0,12

заниженная

56

34

76

52

30

31

Испытуемый 14

0,103

заниженная

55

43

32

76

56

Испытуемый 15

0,308

заниженная

70

79

33

82

45

60

Испытуемый 16

0,336

заниженная

44

43

38

40

29

49

Испытуемый 17

0,49

адекватная

89

77

50

75

80

76

Испытуемый 18

0,41

адекватная

60

64

76

81

72

74

Испытуемый 19

0,56

адекватная

65

58

67

84

65

62

Испытуемый 20

0,61

адекватная

57

89

63

65

80

76

Испытуемый 21

0,53

адекватная

55

55

43

74

55

75

Испытуемый 22

0,53

адекватная

58

39

55

65

76

56

Испытуемый 23

0,36

адекватная

68

77

70

62

72

60

Испытуемый 24

0,54

адекватная

71

45

75

70

58

37

Испытуемый 25

0,62

адекватная

77

33

40

60

75

68

Испытуемый 26

0,53

адекватная

80

47

45

45

55

70

Испытуемый 27

0,56

адекватная

45

43

82

73

70

37

Испытуемый 28

0,51

адекватная

71

45

75

70

54

67

Испытуемый 29

0,48

адекватная

77

46

40

60

75

68

Испытуемый 30

0,63

адекватная

55

55

80

74

45

85

Испытуемый 31

0,602

адекватная

58

39

55

65

76

60

Испытуемый 32

0,411

адекватная

68

77

70

62

77

56

Испытуемый 33

0,365

адекватная

71

45

75

70

60

37

Испытуемый 34

0,356

адекватная

77

33

40

60

75

68

Испытуемый 35

0,55

адекватная

62

47

45

72

60

70

Испытуемый 36

0,39

адекватная

53

63

25

77

55

85

Испытуемый 37

0,47

адекватная

60

55

76

43

65

50

Испытуемый 38

0,51

адекватная

68

63

58

62

80

70

Испытуемый 39

0,66

завышенная

65

72

75

75

49

64

Испытуемый 40

0,86

завышенная

72

60

89

77

51

63

Испытуемый 41

0,84

завышенная

56

59

76

82

60

53

Испытуемый 42

0,76

завышенная

72

60

89

77

57

59

Испытуемый 43

0,73

завышенная

56

59

73

52

60

58

Испытуемый 44

0,78

завышенная

55

80

85

80

76

55

Испытуемый 45

0,8

завышенная

80

79

45

82

52

60

Испытуемый 46

0,73

завышенная

45

43

82

73

73

85

Испытуемый 47

0,61

завышенная

77

80

40

60

75

68

Испытуемый 48

0,62

завышенная

80

57

45

88

60

70

Испытуемый 49

0,6

завышенная

53

63

65

77

55

85

Испытуемый 50

0,721

завышенная

60

67

54

61

75

63



Приложение 6

Таблица 7. Результаты психодиагностики копинг-стратегий по методике Амирхана подростков с различным уровнем самооценки

Испытуемый

Самооценка по Будасси

Копинг-стратегии по методике Амирхана


балл

Уровень

Стратегия разрешения проблем

Стратегия поиска социальной поддержки

Стратегия избегания

Испытуемый 1

-0,12

заниженная

29

20

30

Испытуемый 2

-0,21

заниженная

27

19

Испытуемый 3

-0,03

заниженная

27

23

20

Испытуемый 4

-0,11

заниженная

20

25

25

Испытуемый 5

-0,19

заниженная

20

16

27

Испытуемый 6

0,13

заниженная

25

24

28

Испытуемый 7

0,11

заниженная

26

19

27

Испытуемый 8

0,22

заниженная

19

24

28

Испытуемый 9

0,15

заниженная

27

21

27

Испытуемый 10

0,16

заниженная

19

18

30

Испытуемый 11

0,32

заниженная

14

19

30

Испытуемый 12

0,05

заниженная

20

29

29

Испытуемый 13

0,12

заниженная

25

26

22

Испытуемый 14

0,103

заниженная

25

23

29

Испытуемый 15

0,308

заниженная

19

29

24

Испытуемый 16

0,336

заниженная

22

29

15

Испытуемый 17

0,49

адекватная

27

26

23

Испытуемый 18

0,41

адекватная

29

23

29

Испытуемый 19

0,56

адекватная

19

22

28

Испытуемый 20

0,61

адекватная

32

25

24

Испытуемый 21

0,53

адекватная

28

24

21

Испытуемый 22

0,53

адекватная

29

20

26

Испытуемый 23

0,36

адекватная

29

26

26

Испытуемый 24

0,54

адекватная

15

14

21

Испытуемый 25

0,62

адекватная

26

19

23

Испытуемый 26

0,53

адекватная

31

19

25

Испытуемый 27

0,56

адекватная

18

24

24

Испытуемый 28

0,51

адекватная

21

26

23

Испытуемый 29

0,48

адекватная

26

19

21

Испытуемый 30

0,63

адекватная

24

27

28

Испытуемый 31

0,602

адекватная

31

28

29

Испытуемый 32

0,411

адекватная

24

23

25

Испытуемый 33

0,365

адекватная

26

24

22

Испытуемый 34

0,356

адекватная

32

29

30

Испытуемый 35

0,55

адекватная

25

21

19

Испытуемый 36

0,39

адекватная

28

26

29

Испытуемый 37

0,47

адекватная

31

27

20

Испытуемый 38

0,51

адекватная

27

30

29

Испытуемый 39

0,66

завышенная

20

27

15

Испытуемый 40

0,86

завышенная

25

22

15

Испытуемый 41

0,84

завышенная

25

23

27

Испытуемый 42

0,76

завышенная

27

27

20

Испытуемый 43

0,73

завышенная

31

26

24

Испытуемый 44

0,78

завышенная

25

27

19

Испытуемый 45

0,8

завышенная

32

26

23

Испытуемый 46

0,73

завышенная

26

24

29

Испытуемый 47

0,61

завышенная

20

24

30

Испытуемый 48

0,62

завышенная

24

26

30

Испытуемый 49

0,6

завышенная

32

25

25

Испытуемый 50

0,721

завышенная

26

26

29


Похожие работы на - Особенности копинг-стратегий у подростков

 

Не нашли материал для своей работы?
Поможем написать уникальную работу
Без плагиата!
Без нейросетей!