Інтеграл Фур’є
1. Інтеграл Фур’є
1.1 Поняття інтеграла
Фур’є для функції дійсної змінної
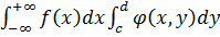
Нехай функція f абсолютно інтегрована на всій дійсній осі. Запишемо для неї
інтеграл, відповідно ряду Фур’є, в якому сума по п замінено
інтегруванням по певному параметру:
Формули (2) та (3)
нагадують формули для коефіцієнтів ряду Фур’є. Інтеграл виду (1) називається
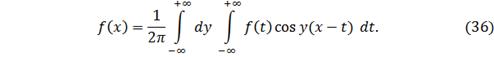
інтегралом Фур’є для функції f. Підставляючи (2) і (3) і інтеграл (1), перетворимо його
наступним чином:
Аналогічно як сума ряду
Фур’є функції при визначених умовах рівна самій функції, інтеграл Фур’є
представляє вихідну функцію.
Перш ніж це довести
доведемо два допоміжних твердження.
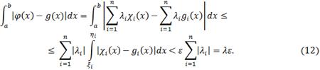
Лема
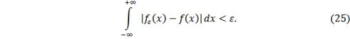
1. Для будь-якої функції f, абсолютно інтегрованої на скінченному або нескінченному проміжку
з кінцями а та b,

і для будь-якого 
існує така фінітна
неперервна функція g,
що
Доведення.
Відомо, що для будь-якої функції f,
для якої виконуються умови леми 1, і для будь-якого

існує така ступінчаста
функція 
, що
Як і будь-яка
ступінчаста функція, вона є лінійною комбінацією характеристичних функцій 
півінтервалів 
де 
числа.
Тому якщо ми
доведемо що для будь-якої функції 
існують такі неперервні
фінітні функції 
, що

(8)
та
та, поклавши
отримаємо
Із нерівностей
(6) і (12) слідує, що
Крім того зі
співвідношень (8) та (10) випливає, що

(14)
В силу
довільності 
співвідношення (13) і
(14) рівносильні співвідношенню (5). Тому достатньо довести твердження леми для
характеристичних функцій кінцевих півінтервалів.
Нехай 
, 
характеристична функція
півінтервалів 

. Розглянемо
неперервну на всій числовій осі функцію 
, графік якої зображено
на рис. 1:

Для даної функції

(15)
тобто функція 
фінітна з носієм в
інтервалі 
і для всіх 
виконується нерівність

(16)
Виберемо 
так, щоб

(17)
тоді отримаємо
Лему доведено.
Лема
2. Якщо функція 
абсолютно інтегрована
на всій числовій осі, а функція 
неперервна і обмежена в
смузі

(18)
то:
) інтеграл

є неперервною функцією
параметра y на відрізку

;

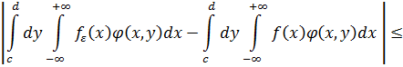
Доведення. Покажемо
неперервність інтеграла
який залежить від
параметра 
Виберемо довільно 
. В силу обмеженості
функції 
у смузі
П існує така стала 
, що
для всіх 
виконується нерівність

(21)
і, виходячи з
цього,
Згідно умов леми,
функція 
абсолютно інтегрована
на всій числовій осі, тому, за теоремою Вейєрштрасса, інтеграл (20) рівномірно
збіжний на відрізку 
. Звідси випливає
існування такого числа 
, що для всіх точок 
, виконується нерівність
Так, як функція 
є неперервною на
кінцевому прямокутнику
то вона є
рівномірно неперервна на ньому. Тому існує таке 
, що для всіх 
, які задовольняють
нерівність 
, буде виконуватись
нерівність
де 
модуль неперервності
функції 
по прямокутнику 
. Зафіксуємо деяке
значення 
, яке задовольняє
нерівність (23).
Тепер при
довільно вибраних 
та 
за умови

(24)
будемо мати

Це і означає, що
функція 
неперервна на відрізку 
.
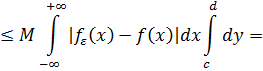
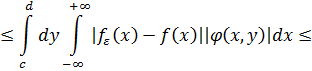
Доведемо тепер
формулу (19). Перш за все слід відмітити, що, в силу доведеної неперервності
функції (20), інтеграл в лівій частині рівності (19) існує (як інтеграл від
неперервної функції по відрізку). Існування інтеграла в правій частині рівності
(19) слідує з того, що функція
є перетворенням
абсолютно інтегрованої на всі числовій осі
R функції 
на неперервну на R функцію
параметра 
.
Далі, в силу леми
1, для довільного 
існує така неперервна
фінітна функція 
, що
Для даної функції

справедливою є формула:
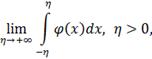
Покажемо, що
границя лівої частини рівності (26) при 
рівна 
, а правої 
. Для цього оцінимо
різницю правої та лівої частин рівності (26) та їх припущених граничних
значень. Маємо:
Відповідно для
правої частини маємо
фур’є інтеграл
алгоритм збіжність
Поклавши в (26) 
, отримаємо, в силу (27)
і (28), рівність (19).
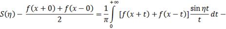
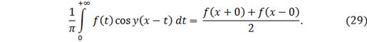
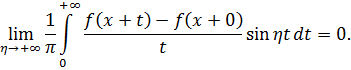
Теорема 1. Якщо
функція f абсолютно інтегрована на всій числовій осі
R, то в кожній точці 
, в якій існують 
та

, має місце рівність
Дана формула
називається формулою Фур’є.
Доведення.
Зафіксуємо довільну точку 
, в якій існують 
, і розглянемо інтеграл
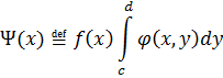
Функція 
є для інтеграла Фур’є
аналогом частинної суми ряду Фур’є періодичної функції.
Так, як функція 
неперервна та обмежена
на всій площині змінних 
та 
, то, згідно формули
(19), в інтегралі (30) можна змінити порядок інтегрування. Зробивши це,
отримаємо
Отримана формула
є аналогічною до формули, яка виражає частинну суму ряду Фур’є з допомогою інтеграла Діріхле. Тому природно спробувати провести
подальше дослідження по алгоритму доведення ознаки Діні про початкову збіжність
ряду Фур’є.
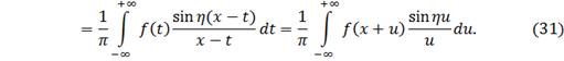
Представивши
інтеграл

у вигляді суми
двох інтегралів:
і виконавши у
першому з них заміну 
, отримаємо
Використавши, що
при 
отримаємо
Розглянемо,
наприклад, перший інтеграл з правої частини даної рівності. Розіб’ємо його на
два інтеграли:
Оскільки
то 
є кусково - неперервною
функцією змінної 
на відрізку [0,1],
тому за теоремою Рімана

(33)
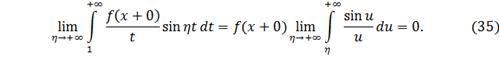
Функція 
також є кусково - неперервною на будь-якому проміжку півосі 
і так як
то
тобто 
абсолютно інтегрована
на цій півосі і, отже, в силу тієї ж теореми
В результаті
збіжності інтеграла 
, виконавши
заміну змінної 
, отримаємо
З (33), (34) та
(35) слідує, що
Аналогічно
доводиться, що
З (32) отримуємо
Границя, в лівій
частині рівності, рівна інтегралу Фур’є (4), тому рівність (29) доведена.
1.2 Різні форми
запису формули Фур’є
В подальшому для
спрощення запису будемо вважати, що функція 
абсолютно інтегрована
на всій числовій осі R і у всіх її точках неперервна та має
односторонні похідні.
В цьому випадку
для всіх 
згідно теореми 1, справедлива формула Фур’є
і так, як
підінтегральна функція парна відносно змінної 
, то
В силу явної
нерівності
при умовах
накладених на функцію 
, існує також інтеграл
при чому, в силу
ознаки Вейєрштрасса, він рівномірно збіжний на всій числовій осі змінної 
. Звідси слідує, що він
є неперервною функцією від 
. Тому для будь-якого
числа 
існує інтеграл
при чому так, як
функція парна, підінтегральна функція відносно змінної 
даний інтеграл рівний
нулю. Однак висунутих припущень відносно функції 
не можна стверджувати
про існування невласного інтеграла
Щоб отримати
потрібні формули, нам доведеться ввести ще одне узагальнення поняття інтеграла.
1.3 Головне значення
інтеграла
Введемо наступне
означення.
Нехай функція 
інтегрована на
будь-якому скінченному відрізку. Якщо існує скінченна границя
то вона
називається основним значення інтеграла 
та позначається буквами

Зауважимо, що
різниця даного означення від означення невласного інтеграла 
полягає у тому, що там
для функції 
, інтегрованої на
будь-якому скінченному відрізку, інтеграл 
визначався як границя
інтегралів 
при 
. Тут вимагається
існування лише границь вказаних інтегралів 
для окремих випадків 
.
Аналогічно
вводиться поняття головного значення невласного інтеграла в точці: нехай 
та функція 
при будь-якому 
інтегрована, по Ріману,
на відрізках 
та 
, тоді головне значення
інтеграла 
в точці

визначається за
формулою
Іноді, коли дана
рівність є істинною, інтеграл у розумінні головного значення визначається
просто символом інтеграла без букв 
Якщо для деякої
функції існує невласний інтеграл, то у даної функції існує і головне значення
інтеграла, яке співпадає з її невласним інтегралом. Обернене твердження не є
істиною: у функції може бути головне значення інтеграла, але при цьому
невласний інтеграл є розбіжним.
1.4
Комплексна форма запису інтеграла
Повернемось до формули
Фур’є і запишемо її,
використовуючи поняття головного значення інтеграла, в іншому вигляді. Так, як підінтегральна
функція інтеграла(38) по у непарна маємо, згідно сформульованого означення
головного значення інтеграла
Домноживши обидві
частини рівності на 
і, використавши інтеграл (36), отримаємо
де зовнішній
інтеграл розуміється, як головне значення. Формула (41) називається комплексною
формою запису інтеграла Фур’є.
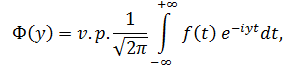
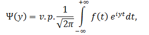
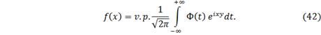
2. Перетворення Фур’є
Поклавши
формула (19) матиме вигляд
Функція 
, яка ставиться у
відповідність функції 
формулою
називається
перетворенням Фур’є функції 
і позначається 
або 
.
В даному
визначенні 
комплексна функція
дійсного аргументу. Зазначимо також, що функція 
може набувати
комплексного значення і в тому випадку, коли функція 
набуває тільки дійсного
значення.
Перетворення Фур’є визначено для всіх абсолютно інтегрованих функцій. Використавши,
наприклад, для перетворення Фур’є
функції 
позначення 
, формулу (42) можна
записати у вигляді
Дана формула
дозволяє відновити саму функцію 
, якщо відоме її
перетворення Фур’є 
. Вона називається
формулою перетворення.
Функція 
, яка ставиться у
відповідність функції 
формулою
називається
оберненим перетворення Фур’є
функція 
і позначається 
.
Перетворення Фур’є та обернене перетворення Фур’є
визначені на множині функцій, в якій інтеграли (43) та (45) існують в розумінні
головного значення. Зокрема, ця множина містить в собі множину всіх абсолютно
інтегрованих на всій дійсній осі функцій, для яких інтеграли в формулах (43) та
(45) можна вважати як звичайні невласні інтеграли, а не тільки як інтеграли в
розумінні головного значення. Поняття «обернене
перетворення Фур’є» доводиться тим, що перетворення 
переходить у
перетворення Фур’є 
. Уточнює дане
твердження наступна лема.
Лема
3. Якщо неперервна абсолютно інтегрована на всій осі функція 
має в кожній точці
скінченні односторонні похідні, то
Доведення. Перша
формула перетворення, тобто формула 
, є іншої формою запису
уже доведеної формули (41).
Доведемо другу
формулу перетворення. Так, як синус функція парна, то у (36) можна переставити
місцями 
та 
:
в силу ж
непарності синуса з (40) матимемо
Тому з формули
(41) маємо також
або
де внутрішній
інтеграл розуміється, як головне значення. Дана формула може бути переписана у
наступному вигляді

Зауважимо, що
справедливість формул перетворення може бути доведена і при слабших обмеженнях
на функцію, чим існування в кожній точці односторонні похідні.
Лема
4. Нехай для функцій 
та 
існує перетворення Фур’є (відповідно і обернене перетворення Фур’є). Тоді, які б не були числа 
та 
, для функції 
також існує перетворення
Фур’є (відповідно і обернене йому), при чому
(відповідно 
).
Дана властивість
називається лінійним перетворенням Фур’є
(відповідно і оберненого перетворення Фур’є).
Воно безпосередньо слідує з лінійності інтегралів формул (43) та (45).
Наслідок.

Дійсно,
наприклад, 
Втім дана
властивість слідує одразу з формул (43) та (45).
Доведення.
Достатньо довести лише взаємно однозначність відображень 
та 
, решта доведене вище.
Доведемо, наприклад, взаємну однозначність відображення 
. Нехай 
; тоді
Звідси згідно
леми 1 слідує, що
Перетворення
Фур’є в будь-якому випадку визначено для абсолютно інтегрованих функцій.
Висновки
. В роботі введено
означення інтеграла Фур’є, поданий його аналітичний вираз
та доведення, що
обґрунтовує їхню правильність. Досліджено умови розкладання функції в інтеграл
Фур’є. Виділили умови та ознаки для того, щоб функцію можна було представити у
вигляді інтеграла Фур’є.
. Розглядаючи різні види
формули інтегралу Фур’є, з’ясували, що в тому випадку, коли функція f(x)
абсолютно інтегрована на всій числовій осі R і у всіх її точках неперервна та має односторонні похідні, то
застосовується формула
. Для парних функцій
отримали формулу у вигляді
Якщо функція непарна, то
А формула
називається інтегралом
Фур’є в комплексній формі.
4. При
дослідженні властивостей прямого 
та оберненого
перетворення 
Фур’є, використавши
формули прямого та оберненого перетворення Фур’є відповідно:
з’ясували, що
1. 
2. 
(відповідно 
).
3. Перетворення
Фур’є 
, так як і обернене
перетворення Фур’є 
, є лінійними взаємно
однозначними відображеннями множини неперервних абсолютно інтегрованих на всій
дійсній осі функцій, які в кожній точці мають односторонні похідні, в множину
функцій, для яких інтеграли (43) та (45) існують в розумінні головного
значення.
Література
1. Кудрявцев Л.Д. Курс математического анализа. Учеб. для
студентов университетов и вузов. В 3 т. Т. 3. /Л.Д. Кудрявцев // Л.Д.
Кудрявцев. - М.: Высш. шк., 1989. - 352 с.
2. Фихтенгольц Г.М. Курс дифференциального и интегрального
исчисления. В 3 т. Т. 3. / Г.М. Фихтенгольц // Г.М. Фихтенгольц. - М.:
Физматлит, 2002. - 656 с.
. Ильин В.А. Основы математического анализа. В 2-х ч. Часть
1. / В.А. Ильин, Э.Г. Позняк. - М.: Физматлит, 2005. - 648 с.
. Никольський С.М. Курс математического анализа. В 2-х т.
Т. 2. / С.М. Никольський. - М.: Наука, 1983. - 448 с.
. Зорич В.А. Математический анализ. В 2-х ч. Часть 2. /
В.А. Зорич. - М.: Наука, 1984. - 640 с.
. Бермант А.Ф. Краткий курс математического анализа для
втузов./ А.Ф. Бермант, И.Г. Араманович. - М.: Наука, 1969. - 736 с.
. Аксёнов А.П. Математический анализ. (Ряды Фурье. Интеграл
Фурье. Суммирование расходящихся рядов.) Учебное пособие./ А.П. Аксёнов. -
СПб.: Нестор, 1999. - 86 с.
. Овчинников П.П. Вища математика: підручник. У 2-х ч. Ч.
2. / П.П. Овчинников, В.М. Михайленко; [пер. з рос. Є.В. Бондарчук, Ю.Ю.
Костриці]. - К.: Техніка, 2004. - 792 с.
. Сінайський Є. С. Вища математика / Є.С. Сінайський, Л.В.
Новікова, Л.І. Заславська. - Дн.: НГУ, 2004. - 399 с.
10. Рудавський Ю.К. Математичний
аналіз /Ю.К. Рудавський. - Л.: НУ «Львівська
політехніка», 2003 г. - 404 с.