Проектирование гидравлики и гидропривода системы жидкостного охлаждения автомобильного двигателя
ФЕДЕРАЛЬНОЕ
АГЕНСТВО ПО ОБРАЗОВАНИЮ
Филиал
Федерального государственного бюджетного образовательного учреждения высшего
профессионального образования
«Московский
государственный индустриальный университет» в г. Кинешме Ивановской области (КФ
ГОУ МГИУ)
Кафедра
«Автомобилей»
КУРСОВАЯ
РАБОТА
по
дисциплине «Автомобили»
на
тему «Проектирование гидравлики и гидропривода системы жидкостного охлаждения
автомобильного двигателя»
КИНЕШМА
2014
Исходные данные к курсовой работе
1.
Мощность двигателя Nдв 100
кВт
Доля мощности двигателя,
отбираемая на охлаждение
0,2
1.
Температуры охлаждающей жидкости (теплоносителя): - на выходе из
двигателя t1 90
°С
2.
- на выходе из радиатора t2 65°С
3.
Частота вращения рабочего колеса в насосе n, 500
об/мин
4.
Расчетный напор насоса Нрн 1.5
м
Расчетная потеря напора
в устройстве охлаждения двигателя
0.45 м
Расчетная потеря напора
в радиаторе
0.4
м
1.
Диаметр (внутренний) нижнего коллектора устройства охлаждения
двигателя d1 35
мм
9. Диаметры (внутренние)
коллекторов радиатора d2 45 мм
. Внутренние диаметры у всех
трубопроводов гидролинийd3 14 мм
11. Полная длина трубопроводов
участка гидролиний, первого по ходу движения отдвигателя к радиатору L1
0.65 м
. Полная длина трубопроводов второго
участка гидролинийL2 1.3 м
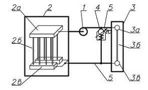
Описание системы охлаждения
двигателя
Система охлаждения двигателя
приведена на рисунке 1 и состоит из центробежного насоса 1, устройства
охлаждения двигателя 2, радиатора для охлаждения теплоносителя потоком
набегающего воздуха 3, термоклапана 4 и соединительных трубопроводов -
гидролиний 5 и 6. Все указанные элементы системы входят в так называемый
«большой» круг охлаждения. Имеется и «малый» круг охлаждения, когда
теплоноситель «закольцован» непосредственно через термоклапан на устройство
охлаждения двигателя (в обход радиатора). Причины наличия, как «большого», так
и «малого» кругов охлаждения представлены в специальных дисциплинах. Расчету в
данном проекте подлежит только «большой» круг, как расчетный тракт движения
охлаждающей жидкости (теплоносителя).
Устройство охлаждения двигателя
состоит из «рубашки» охлаждения головки цилиндров двигателя (2а), «рубашки»
охлаждения боковых стенок цилиндров двигателя (в виде вертикальных ходов
цилиндрических формы, расположенных по двум сторонам двигателя) (26) и
цилиндрических коллекторов для сбора охлаждающей жидкости (2в). Представление
«рубашки» охлаждения боковых стенок цилиндров в виде вертикальных ходов
является условным, но достаточно близким к действительности и именно такое
представление рассматриваемого элемента устройства охлаждения двигателя можно
было бы использовать при проведении гидравлического расчета системы охлаждения
двигателя.
Рисунок 1. Принципиальная
гидравлическая схема системы охлаждения двигателя
жидкостный охлаждение автомобильный
насос
Радиатор 3 состоит из верхнего (За)
и нижнего (3б) коллекторов, вертикальных трубок (Зв), по которым теплоноситель
движется от верхнего коллектора внижний. Термоклапан (термостат) 4 является
автоматическим дроссельным устройством, предназначенным для изменения
направления движения теплоносителя илипо «большому», или по «малому» кругам.
Теплоноситель движетсяпо пути (по
большому кругу): центробежный насос - рубашка охлаждения крышки цилиндров -2
ряда вертикальных ходов в стенках двигателя -2 приемных (нижних) коллектора
устройства охлаждения двигателя - узел соединения двух потоков - термоклапан -
верхний коллектор радиатора - трубки радиатора - нижний коллектор радиатора -
вход в насос. По пути преодолевается ряд «местных» сопротивлений в виде
внезапных расширений или сужений потока, поворотов на 90°, а также в виде
дроссельного устройства (термоклапана).
Все гидролинии системы охлаждения
двигателя изготовлены из технически гладких труб, причем внутренние диаметры
труб на всем протяжении гидролиний одинаковы и равны d3. В задании
приводятся также значения диаметров нижнего коллектора устройства охлаждения
двигателяd1 и обоих коллекторов радиатора d2, а также
длина коллекторов радиатора lр=0,5 м.
Теплоносителем в системе
охлаждения двигателя принимается охлаждающая жидкость, у которой при
температуре +4 °С плотность составляет
=1080 кг/м3,
а кинематическая вязкость
м2/с.
Это могут быть жидкости «Антифриз», «Тосол», «Лена», «Прайд» или другие.
1. Гидравлический расчет
системы охлаждения двигателя
.1 Определение
расчетного расхода теплоносителя в системе охлаждения двигателя QР
Вначале определяется
количество теплоты, отводимое от двигателя с охлаждающим теплоносителем qв
расчетном режиме работы:
= 
= 100 * 0.2 = 20 [кВт]
(1)
где q - количество теплоты,
отводимое от двигателя с охлаждающим теплоносителем, кВт; дв и
принимаются
из задания на работу.
Далее определяется QР,
по формуле:

= 20/(4.2*991.9*(90-59))
= 1.549*
[
], (2)
где 
- удельная теплоемкость
теплоносителя при постоянном давлении;

= 
-
средняя плотность
теплоносителя;

- средняя температура
теплоносителя;
1.2 Определение
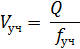
скоростей движения теплоносителя
Чисел Рейнольдса и
режимов движения теплоносителякорость движения теплоносителя Vуч
определяется по формуле:

,

,
где 
, 
- скорость движения,
расход теплоносителя и диаметр канала на i-том участке гидролиний.
Число Рейнольдса на любом
из участков определяется по формуле:

, (3)

- кинематическая
вязкость теплоносителя на i-том участке

= 1.5*
= 0.705*
,

= 1.5*
= 0.924*
.
Учитывая полученные
данные, вычисляем соответственно числа Рейнольдса для течения в:
верхнем коллекторе
двигателя

= 8016,
отводящем трубопроводе

= 19990,
нижнихколлекторах
двигателя

= 4735,
подводящем трубопроводе

= 14824.
Таким образом, движение
теплоносителя во всех элементах системы охлаждения двигателя, включая
подводящий и отводящий трубопроводы, турбулентное (Re (1-1, 1-3, 2-3) >
2300).
1.3 Определение
коэффициента трения на участках
Как уже было сказано,
величина
определяется
в зависимости от режима движения жидкости. Влияние оказывают также и такие
факторы, как то, гладкий (в гидравлическом понимании) или шероховатый, круглые
или некруглые, протяженный или короткий (опять же в гидравлическом понимании)
тот или иной трубопровод.
Выше было указано, что
все гидролинии в системе охлаждения считаются изготовленными из технически
гладких труб. Теперь же следует учесть, что технически гладкие трубы должны
одновременно рассматриваться еще и как гидравлически гладкие, причем при любом
режиме движения жидкости.
С учетом
вышеизложенного, следует использовать для определения
следующие
формулы:
при турбулентном режиме
движения в заведомо коротком трубопроводе:

0.028 (4)
при турбулентном режиме движения в
заведомо протяженном трубопроводе

0.029 (5)
1.4 Определение или выбор
коэффициентов местных потерь напора
Влияние местных сопротивлений на
величину потери напора определяем по формулам:
- коэффициент
сопротивления
для резкого поворота на
90° равен
п=1;
коэффициент
сопротивления 
для плавного поворота на
90° (в гидромагистрали имеется 1 и 5 отводов)

= (0,051+0,19(d/R)) =
5*(0,051+0,19*
= 0,0985;

= 5*(0,051+0,19(d/R)) =
5*(0,051+0,19*
= 0,4925;(6)
для внезапного сужения
проходного сечения (сопряжения коллектора двигателя с магистральным
трубопроводом)

0.420; (7)
для внезапного сужения
проходного сечения (сопряжение радиатора с магистраль-ным трубопроводом)

0.496; (8)
коэффициент
для
внезапного расширения (вход в верхний коллектор радиатора)

0.7056; (9)
- коэффициент
для
внезапного расширения (вход в нижний коллектор двигателя)

0.8158,
(10)

плошадь сечения
радиатора определяется выражением
= 0.0175 [
;
коэффициент
для
узла слияния потоков от двух сторон двигателя
сл
следует определить, как для, так называемого, «сложного местного
сопротивления», состоящего, как бы, из двух «простых» местных сопротивлений, а
именно из сопротивлений резкого поворота на 90° и резкого сужения при
отношенииf1/f2 = 0,5 (величина
сл
для узла слияния принимается равной сумме из двух
для
указанных «простых» местных сопротивлений), т.е. коэффициент местных потерь
напора для слияния потоков с двух сторон на участке 1

0,5(1-f1/ f2)
= 1 + 0.5 * (1-0.5) = 1.25.
Сумма коэффициентов
местных потерь напора на участке 1:

= (11)
.25 + 0.4925/5 + 0.420 +
0.7056 = 2.4741.
Суммы коэффициентов
местных потерь напора на участке 2:

= (12)
.25 + 0.4925 + 0.496 + 3
+ 0.8158 = 6.0543,
где 
- коэффициент
сопротивления термоклапана (термостата).
Полученные расчетные
значения коэффициентов потери напора приведены в строке 11 таблицы 1.
.5 Расчетные
динамические напоры и потери напора на участках
Расчетный динамический
напор Нруч на любом участке гидролиний определяется по
формуле:

(13)

[м],

[м],

[м],
где Vi - расчетная
скорость теплоносителя на i-том участке, = 9.81 м/с2.
Расчетная потеря напора на участке
определяется по формуле, м:

(14)

=

=

.
Общая потеря напора в
гидромагистрали «большого кольца»
Таблица 1 Значения
потерь напора в системе охлаждения двигателя
|
Параметры
|
Номер участка участка
|
|
|
1
|
2
|
|
1
|
Длины участков, Lуч
|
0,65 (м)
|
1,3 (м)
|
|
2
|
Температуры теплоносителя на участках, t
|
90 t (°С)
|
59 t (°С)
|
|
3
|
Плотность теплоносителя при заданных температурах, 972.5(кг/м3)
991.9(кг/м3)
|
|
|
|
4
|
Расчетные расходы теплоносителя в трубопроводах на участках, QРуч
|
0,7745* (м3/с)1.549* (м3/с)
|
|
|
5
|
Расчеты площади сечений участков, fуч
|
1,5386*10-4 м2
|
1,5386*10-4 м2
|
|
6
|
Расчетные скорости теплоносителя в,Vуч
vvтрубопроводах на участках, Vi, (м/с)
|
0,503 м/с 1,006
|
|
7
|
Кинематическая вязкость теплоносителя на участках,vуч
(формула 4)
|
7.05*10-7 м2/с
|
9.24*10-7 м2/с
|
|
8
|
Числа  на участках 19990
14824
|
|
|
|
9
|
Режимы движения теплоносителя на участках
|
турбулентный
|
турбулентный
|
|
10
|
Коэффициенты трения 2.8*10-2
2.9*10-2
|
|
|
11 Коэффициенты местных сопротивлений: - 




.0985
.420
.7056
.250
.4925
.496
.8158
.250
|
3.0
|
|
|
|
|
12
|
Суммы коэффициентов местных потерь напора
|
2.4741
|
6.0543
|
|
13
|
Динамические напоры в трубопроводах
|
0,0516(м)
|
0,0516(м)
|
|
14
|
Расчетные потери напора
|
0.0023(м)
|
0,00(м)
|
|
15
|
Суммарные потери напора
|
0,8553(м)
|
2. Конструктивный расчет
центробежного насоса
Предполагается, что в системе
охлаждения двигателя используется одноступенчатый центробежный насос
консольного типа, основные элементы которого представлены на рис.2. Здесь 1 -
конфузор (всасывающий патрубок); 2 - рабочее колесо; 3 - отвод спиральный; 4 -
диффузор (напорный патрубок); 5 - язык; 6 - лопатка рабочего колеса; 7 -
ведущий диск; 8 - лопасть; 9 - вал; 10 - втулка рабочего колеса.
Обозначения: на чертеже в расчетах
Д2 - диаметр ведущего
диска (рабочего колеса); D2
Дконф, dконф -
диаметры конфузора; Dконф, dконф
Дг - диаметр горловины
рабочего колеса; Dг
dвт - диаметр втулки
рабочего колеса; dBT
Дотв - диаметр
спирального отвода; Dотв
lК - длина
конфузора; 1Д - длина диффузора;
к
- угол схождения конфузора;
д-
угол раскрытия диффузора; n - частота вращения рабочего колеса; (
гл
- угол установки лопаток рабочего колеса на выходе; b1, b2
- ширина рабочего колеса насоса на входе и выходе; h - высота условного
выходного сечения отвода.
.1 Определение
коэффициента быстроходности и типа насоса
Коэффициент
быстроходности насоса nS, как параметр, который характеризует тип
насоса по скорости вращения, определяется по формуле:

(15)
где n - частота вращения
рабочего колеса насоса, которая приводится в задании на работу, об/мин;
Нрн
- расчетный напор насоса, м, который также приводится в задании на работу; р
- расчетный расход теплоносителя в системе охлаждения двигателя, м3/с.
Тип насоса - тихоходный,
т.к. коэффициент быстроходности меньше 50.
.2 Определение наружного
диаметра рабочего колеса D2
Величина диаметра
определяется по формуле

= (16)
= 
= 0.154546 [м] 
где 
= 22,83887;
остальные значения ранее
определены.
.3 Определение ширины
рабочего колеса насоса на выходе из насоса d2
Ширина определяется по
формуле:

= (17)
= 
= 0.00676 [м] 
где Кb=0,635(nS/100)5/6,
т.к. nS
200
.4 Определение
приведенного диаметра входа в рабочее колесо D1
Величина диаметра
определяется по формуле

= (18)
где значение К0
принимается в пределах К0=4,5
6,0, принимаем К0
= 6,0
.5 Определение диаметра
горловины рабочего колеса Dг
Определяется по формуле

(19)
где dвт -
диаметр втулки рабочего колеса (рекомендуется принимать в пределах (0,4
0,5)D1,
принимаем dBT = 0,5D1).
.6 Выбор ширины рабочего
колеса напора на входе в насос b1
Рекомендуется принимать
величину b1 из соотношения
1=К-b2, (20)
где К=10
20,
причем меньшее значение К следует принимать при b2>4мм, а большее
значение К - при b2<2мм. ПринимаемК = 12, следовательно
.7 Выбор углов установки
лопаток рабочего колеса на выходе
2ли
навходе
л.
Угол установки лопаток
рабочего колеса
2л
(угол между касательной к ведущему диску и касательной к направлению конца той
или иной лопатки) принимается обычно в пределах
2л=
16
40°.
Лопатки чаще всего делают загнутыми концами назад по отношению к направлению
вращения. Такая установка лопаток оптимальна по многим соображениям. Такую
установку лопаток следует принять и в данной работе.Принимаем,
2л=
400.
Угол установки лопаток
на входе в рабочее колесо
1л
принимается в пределах
1л=14
25°.
Принимаем,
1л
= 250.
.8 Определение
количества лопаток рабочего колеса и корректировка угловустановки лопаток
2ли
1л
При проектировании
рабочего колеса практикой выработано правило -каждая последующая лопатка должна
перекрывать своим выходным концом входной конец предыдущей лопатки. Такое
требование обеспечивается в том случае, если количество лопаток определено по
формуле

(21)
Расчетное число лопаток
попадает в рекомендованный диапазон чисел Z = 6
10.
2.9 Конструирование
спирального отвода
Конструирование для
центробежных насосов спиральных отводов производится из условия
пропорциональности площадей сечений углам раскрытия отвода, гидродинамическим
расчетом определяются лишь размеры концевого сечения отвода.
Ширина выходного
прямоугольного сечения отвода определяется по формуле

(22)
где 
- толщина ведущего
диска рабочего колеса насоса (принята конструктивно),

- толщина зазора между
корпусом насоса и частями (диском и лопатками) рабочего колеса (принято
конструктивно).
Высота условного
прямоугольного выходного сечения отвода h определяется по формуле

= (23)
= 
где UP2
= 
- максимальная окружная
скорость рабочего колеса насоса.
Наконец, высота сечения отвода с
противоположной по отношению к сечению выхода из насоса стороны
отводаопределяется, как0,5 h, - согласно показанному выше условию
пропорциональности площадей сечений отвода углу раскрытия отвода.
В таком случае:
OTB=D2+l,5h = 155 +1,5*3,5=160,25 [мм]. (24)
.10 Определение размеров конфузора и
диффузора насоса
Углы раскрытия диффузора
д
и схождения конфузора
кпринимаем
равными 100 из рекомендуемого диапазона 8° - 10°, длину диффузора 1Д
и конфузора 1К(рис.2) принимаем равными 0,1 м. Диаметр диффузора
определяем по формулам
конф=
Dг +2 * 
= 45 +2*1,5 = 48 [мм], (25) конф=
dконф + 2 * 
(26)
.11 Определение действительного расчетного напора, развиваемого
насосом
Величина действительного расчетного напора определяется по формуле

(27)
= 0.9 * 0.823 * 1.677 = 1,242 [м],
где НрТоо - теоретический (без потерь)
напор, создаваемый насосом в рабочем режиме работы (при бесконечно большом
количестве лопаток и отсутствии гидравлических потерь в насосе), м;
г
- гидравлический К.П.Д. насоса, учитывающий гидравлические потери внутри
насоса; kz - коэффициент влияния на работу насоса количества
лопаток.
Величина
при
отсутствии предварительной закрутки потока на входе в рабочее колесо насоса,
что следует принять и в данной работе, определяется по формуле:
,
(28)
где
-
определенная выше максимальная окружная скорость рабочего колеса насоса, а все
остальные величины, входящие в формулу (28), принимаются по результатам
предыдущих расчетов; g=9,81м/с2.
Подставляя числовые данные, получаем
=

7 [м].
Величина kZ определяется по формуле

= (29)
= 
где Z - принятое число лопаток Z = 6;
2л=
40°.
Расчетный напор насоса (заданный) НРН = 1.5
м.
Гидравлический К.П.Д. центробежных насосов принимается обычно в
пределах
г
= 0,8
0,9.
Принимаем
г
= 0,9
Проектируемый насос должен обеспечивать такой действительный напор
(Ндн)р, который требуется по результатам
гидравлического расчета тракта охлаждения Нрн, т.е. чтобы
выполнялось условие (Ндн)р = НРН.
Рассчитанная величина 
<НРН 
, т.е. условие не
выполняется. Корректирование диаметра рабочего колеса в сторону его увеличения,
например, до величины 170 мм, приводит к увеличению окружной скорости (UP2
= 4,45 м * 
и
, что практически
обеспечивает выполнение требуемого условия, т.е.

НРН 
3. Определение мощности и к.п.д. насоса
.1 Гидравлическая (полезная) мощность насоса
Определяется по формуле

=(30)

[Н*м*
]
где
-
плотность жидкости, протекающей через насос (
=
ср,
кг/м3).
.2 Полный К.П.Д. насоса
Определяется по формуле

= 0.95 * 0.9 * 0.97 =
0.8294, (31)
где
-
объемный к.п.д. насоса, учитывающий утечки жидкости через различные неплотности
в насосе; обычно
=
0,95
0,96
(
не зависит от режима работы насоса);
- уже отмеченный выше
гидравлический к.п.д., учитывающий потери напора на преодоление гидравлических
сопротивлений в насосе и отвода; обычно, как уже было сказано выше,
=0,85
0,9
(
зависит
от режима работы насоса);
- механический к.п.д.,
учитывающий потери на трение в насосе, в том числе на трение жидкости о стенки
колес и стенки насоса; обычно
=0,97
0,98
(
не зависит от режима работы насоса).
Расчет ведем по
минимальным значениям, фактические значения с отклонениями в плюс будут
повышать коэффициент запаса мощности.
.3 Потребляемая мощность
насоса
Необходимая мощность
определяется по формуле
где
-
полный к.п.д. насоса.
.4 Расчетная мощность двигателя для
насоса
определяется по формуле

(33)
где k = 1,1 -
коэффициент запаса, учитывающий потери в передаче энергии от двигателя к
насосу, т.е. это мощность, отбираемой от двигателя автомобиля для привода
насоса.
4. Расчет теоретической
характеристики насоса
Общие положения.
Теоретической
характеристикой насоса называют зависимость действительного напора насоса Ндн,
а так же его гидравлической мощности Nr и К.П.Д.
от
подачи насоса, т.е. от расхода жидкости на выходе из насоса Q. Причем при той
или иной (в данном случае при заданной) частоте вращения рабочего колеса насоса
nр. Принимается в данном случае еще и условие отсутствия закрутки
потока на входе в насос.
Следует учесть, что все отмеченные
величины, т.е. Ндн, Nr,
,
Q, кроме n=nр, относятся к произвольному режиму работы насоса, что
как раз и составляет сущность любой характеристики.
Характеристика насоса
имеет аналитическое выражение, но может быть представлена в графической форме.
В данном случае ставится задача построения характеристики в графической форме,
причем с использованием строгих масштабов для Ндн, Nr,
и
Q (рисунок 3).
.1 Теоретическая
характеристика насоса по напорам
Эта часть теоретической
характеристики состоит из трех графиков и, соответственно, строится в три
этапа.
.1.1 Cтроим график
=
f(Q)
Аналитической основой
для построения этого графика является формула (28), из которой видно, что
величина
снижается
пропорционально увеличению Q, причем график зависимости
от
Q является прямолинейным. Такой график может быть построен по двум точкам, из
которых первая соответствует уже известным значениям Q = QPи
=
,
а вторая соответствует значениям Q = 0 и
.

.
Величина U2 =UP2
= соnstизвестна из предыдущих расчетов, причем постоянной эта величина является
по той причине, что nр=n=соnst.
4.1.2 Строим график НТ =
f(Q)
Этот график отличается
от графика
=
тем,
что в нем учитывается влияние конечного числа лопаток рабочего колеса. Значения
Нт на графике Нт= f(Q) получаются умножением значений
на
коэффициент kz< 1, который, согласно формуле 26, не зависит от Qр.
График НТ = f(Q) может быть построен только по одной точке с
координатами Qр и Нрт, где
.
После нанесения этой
одной точки график НТ = f(Q) проводится параллельно графику
=
.
.1.3 Строим график
Аналитической основой
для построения этого графика служит формула (27), в которой величина
зависит
от Q. Построение графика
состоит
в нанесении вниз от любой из точек графика
в масштабе для напоров
значений гидравлических потерь напора в насосе
Нr. Величины
Нr
рассчитываются по формуле

* 1.549*
0.166 (34)
где А - коэффициент
пропорциональности, не зависящий от режима работы насоса, т.е. А не зависит от
Q.
Независимость А от Q
позволяет определить значение А при расчетных значениях Q = Qр и
по
формуле
= 
(35)
При этом величина
определяется
по формуле:

(36)
.2 Теоретическая
характеристика насоса по гидравлической мощности
Аналитической основой
для построения такой характеристики является формула (30). Используется уже
построенная характеристика насоса по напорам
, из которой принимаются
при различных значениях Q значения Ндн. Причем в формулу
(30) вместо Qр и
подставляются
принимаемые значения Q и
.
В результате получается
ряд значений Nr (при разных значениях Q), в том числе ранее
рассчитанное значение Nr в расчетном режиме работы насоса (
).
График зависимости Nr
от Q имеет вид квадратичной параболы, поскольку величина Nr через
величину
в
составе
оказывается
зависящей от Q2. Причем при Q = 0 величина Nr= 0.
.3 Теоретическая
характеристика насоса по К.П.Д.
Основой для получения
зависимости
от
Q являются:
ранее построенный график
;
полученные ранее при
разных значениях Q значения
, в том числе значения
=
0 при Q = 0 и
при
Q = Qр (формула 35);
- формула (32), в которой все
входящие в нее величины используются в этом случае без индекса, причем формула
представляется в следующем виде:
=Nr/N=1 (37)
где N - потребляемая при разных
значениях Q потребляемая мощность насоса, Вт;
Построение искомой
характеристики
производится
в три этапа.
На первом этапе
рассчитываются при разных значенияхQ, включая Q = QP и Q=0, добавки
к соответствующим величинам Nг:
- добавки, которые учитывают
механические потери мощности в насосе, не зависят от режима работы насоса и
потому рассчитываются по формуле

(38)
где
-
принимается из расчета по разделу З.2.;
добавки, которые
учитывают объемные потери мощности в насосе, опять же не зависят от 0 и потому
рассчитываются по формуле

(39)
где
-
принимается из расчета по разделу З.2.;
- добавки, которые учитывают
гидравлические потери мощности в насосе, зависят от режима работы насоса, т.е.
от Q, и поэтому рассчитываются по формуле

(40)
где
принимается,
как уже говорилось из предыдущих расчетов, м; 
-плотность, кг/м; g
=9,81 м/с.
Получение графика
составляет
содержание второго этапа получения характеристики
.
Для этого рассчитывается
QУТ, которая одинакова при любых значениях Q, поскольку как и
не
зависит от Q. Расчет ведется по формуле

(41)
Результаты расчетов
теоретической характеристики насоса приведены в таблице 2.
Таблица 2
Численные значения
теоретической характеристики насоса
|
Точки
|
Расход в долях Q
|
Расход Q* Теор. напорТеор. напор
*kZДейств.напорГидравл. мощностьГидравл. мощность с
потерямиГидравл. мощность с утечкамиКПД
|
|
|
|
|
|
|
|
|
0
|
0,00
|
0.00
|
1.57
|
1.29
|
1.30
|
0.00
|
0.13
|
0.17
|
0.000
|
|
1
|
0.31
|
1.55
|
1.28
|
1.28
|
0.52
|
0.68
|
0.41
|
0.671
|
|
3
|
0,60
|
0.93
|
1.50
|
1.25
|
1.22
|
1.48
|
1.66
|
1.36
|
0.837
|
|
4
|
1,00
|
1,549
|
1,494
|
1,23
|
1,12
|
2,25
|
2,63
|
2.71
|
0,8294
|
|
5
|
1,40
|
2.17
|
1.46
|
1.21
|
0.97
|
2.75
|
3.55
|
3.24
|
0.757
|
|
6
|
1,60
|
2.48
|
1.45
|
1.19
|
0.88
|
2.86
|
3.99
|
3.57
|
0.702
|
|
7
|
2,00
|
3.10
|
1.42
|
1.17
|
0.68
|
2.75
|
4.87
|
4.08
|
0.558
|
|
8
|
2,20
|
3.41
|
1.40
|
1.16
|
0.56
|
2.51
|
5.29
|
5,31
|
0.471
|
|
9
|
2,40
|
1.39
|
1.14
|
0.44
|
2.13
|
5.70
|
5.72
|
0.247
|
|
10
|
2,80
|
4.34
|
1.36
|
1.13
|
0.16
|
0.88
|
6.48
|
6.51
|
0.132
|
Библиографический список
1.
Сборник задач по машиностроительной гидравлике. Учебн. пособие для
машиностроительных вузов/ Бутаев Д.А., Калмыкова З.А., Подвидз Л.Г. и др.; Под
ред. И.И. Кукалевского - 5-е изд. стереотипное. - М.: Изд-во МГТУ им.
Н.Э.Баумана, 2002 г. - 448 с.
2.
Шейпак А.А. Гидравлика и гидропневмопривод. Часть 1. Основа
механики жидкости и газа. 2-е изд., перераб. и доп. - М.: МГИУ, 2003. - 192 с.
3.
Задачник по гидравлике, гидромашинам и гидроприводу./Под ред. Б.Б.
Некрасова. - М.: Высшая школа, 1989. - 192 с.
4.
Башта Т.М., Руднев С.С., Некрасов Б.Б. и др. Гидравлика,
гидромашины и гидроприводы. - М.: Машиностроение, 1982. - 423 с.
5.
Маковозов М.И.. Гидравлика и гидравлические машины. - М.: Машгиз,
1962 -427с.
6.
Стесин СП., Яковенко Е.А.. Лопастные машины и гидродинамические
передачи. - М.: Машиностроение, 1990. - 240 с.
7.
Юфин А.П.. Гидравлика, гидравлические машины и гидропривод. - М.:
Высшая школа, 1965. - 427 с.
8.
Идельчик И.Е.. Справочное пособие по гидравлическим
сопротивлениям. -М.: Машиностроение, 1975. - 559 с.
9.
Ломакин А.А.. Центробежные и осевые насосы. - Л.: Машиностроение,
1966. - 364с.