Выбор вида функции распределения на основе анализа данных по надежности
Выбор
вида функции распределения на основе анализа данных по надежности
Задание: подобрать закон
распределения к выборке статистических данных об отказах элементов автомобиля
математический ожидание событие
статистический
ОБРАБОТКА ЭКСПЕРИМЕНТАЛЬНЫХ ДАННЫХ
Методика обработки
Определяем объем выборки N=60.
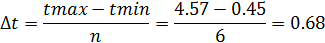
Находим tmax=4.57 tmin=0.45
Разбиваем выборку на интервалы количество
интервалов n=6
Определяем число событий в каждом интервале
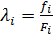
Находим частость

Определяем частоту

Определяем вероятность появления
события

Вероятность не появления события

Рассчитываем интенсивность

Результаты обработки заносим в
таблицу
Расчет точечных показателей
Определяем математическое ожидание

=2,47
определяем дисперсию

=7,2
находим среднеквадратическое
отклонение 
=2,7
Построение гистограммы
Вывод о выбранном законе
распределения
Данная гистограмма подчиняется
Нормальному закону распределения (закону Гаусса), т.к. соответствует кривой.
ПРОВЕРКА СООТВЕТСТВИЯ ВЫБРАННОМУ ЗАКОНУ
РАСПРЕДЕЛЕНИЯ
Методика обработки
Определяем значение теоретической
ф-ии плотности в каждом интервале
Находим число событий в интервале
ni=fiт *
*N

Определяем вероятность появления
события

Вероятность не появления события

Рассчитываем интенсивность

Определяем опытное значение критерия
Пирсона

Результаты расчетов теоретических
показателей сводим в таблицу
Определим теоретическое значение
критерия Пирсона
Найдем число степеней свободы закона
распределения


По таблице стандартных значений
критерия Пирсона для вероятности согласия Pc=0,975 
Построение графиков