Юстировка дифрактометра с ячейкой высокого давления и исследование диффрактограммы кремния
Аннотация
Данная работа посвящена юстировке дифрактометра Huber, позволяющему снимать дифрактограммы веществ под
давлением до 350 кбар методом Дебая - Шеррера. В данной работе кратко изложено
квантовое объяснение причины генерации рентгеновского излучения. Рассмотрены
принципы работы рентгеновской трубки и дифрактометра Huber. Приведен теоретический расчёт и индицирование
дифрактограммы чистого кремния с алмазной кубической структурой и α-железа в угла от 10 до 32 2θ°.
Оглавление
Введение.
Теоретическая часть
Объяснение рентгеновского излучения.
Принцип работы дифрактометра и метод Дебая - Шеррера
Расчёт углов 2θ пиков дифрактограммы.
Практическая часть.
Описание установки.
Методика измерений.
Юстировка прибора.
Подготовка образца.
Результаты измерений.
Погрешность измерений.
Анализ результатов.
Выводы.
Благодарности.
Библиографический список.
Приложение.
Введение
Целью данной курсовой работы была юстировка третьего канала дифрактометра
Huber, канала, с помощью которого можно
снимать под высоким давлением дифрактограммы веществ. Актуальность данной
работы заключается в том, что данный прибор, после юстировки, будет использован
для получения дифрактограмм веществ под различными высокими давлениями.
Рентгеноструктурный анализ - один из дифракционных методов исследования
структуры вещества. В основе данного метода лежит явление дифракции
рентгеновских лучей на трехмерной кристаллической решетке.
Явление дифракции рентгеновских лучей на кристаллах открыто Лауэ,
теоретическое обоснование явлению дали Вульф и Брэгг. Как метод,
рентгеноструктурный анализ разработан Дебаем и Шеррером. Метод позволяет
определять атомную структуру вещества, включающую в себя пространственную
группу элементарной ячейки, ее размеры и форму, а также определить группу
симметрии кристалла.[1]
Рентгеноструктурный анализ на данный момент является самым
распространенным методом определения структуры вещества в силу его простоты и
относительной дешевизны.
Разновидности метода:
. Метод Лауэ применяется для монокристаллов. Образец облучается пучком
с непрерывным спектром, взаимная ориентация пучка и кристалла не меняется.
Угловое распределение дифрагированного излучения имеет вид отдельных
дифракционных пятен.
. Метод Дебая - Шеррера используется для исследования
поликристаллов и их смесей. Хаотическая ориентация кристаллов в образце
относительно падающего монохроматического пучка превращает дифрагированные
пучки в семейство коаксиальных конусов с падающим пучком на оси. Их изображение
на детекторе имеет вид концентрических колец, расположение и интенсивность
которых позволяет судить о составе исследуемого вещества.
Порошковая рентгеновская дифракция - метод исследования структурных
характеристик материала при помощи дифракции рентгеновских лучей на порошке или
поликристаллическом образце исследуемого материала. Результатом исследования
является зависимость интенсивности рассеянного излучения от угла рассеяния.[2]
Основные применения:
. Рентгенофазовый анализ:
.1. Определение качественного состава образца.
.2. Полуколичественное определение компонентов образца.
. Определение кристаллической структуры вещества:
.1. Прецизионное определение параметров элементарной ячейки.
.2. Определение расположения атомов в элементарной ячейке.
. Определение размера кристаллитов поликристаллического образца.
. Исследование текстуры в поликристаллических материалах.
Существуют различные детекторы, использующиеся в дифрактометрах (CCD, IP, GADDS). Применение
детектора Image Plate(IP)
эффективнее, чем CCD-детектора по
той причине, что фон у IP
меньше, больше угловое разрешение. Стоимость IP на порядок меньше CCD. Ещё, при получении дифрактограмм вещества под высоким давлением,
необходимо большое время накопления информации, и в этом смысле IP экономичнее. Плюс IP в сравнении с CCD - детектором: при выходе из строя -
более быстрая и дешевая замена детектора без обращения к специалисту сервис
центра.[2]
Теоретическая
часть
Объяснение
рентгеновского излучения
Электрон в оболочке атома занимает некоторый дискретный уровень энергии,
причем, чем дальше электрон от ядра, тем больше его энергия:
, где n - главное квантовое число,
- постоянная Ридберга. При переходе
из одной дальней орбиты на другую ближнюю к ядру электрон теряет энергию в виде
волны с энергией
. Следовательно, чем больше порядковый номер материала анода,
тем меньше длина волны получившегося излучения. С дугой стороны, в 1914г. Мозли
открыл закон, из которого следует, что
, где k, σ - константы, зависящие от энергетических уровней -
.
Разрешены не любые переходы электронов между уровнями. Существуют
электрические и магнитные два J -
польные линии (переходы). Наиболее интенсивные - электрические дипольные линии:
. Очень слабые - электрические
квадрупольные линии:
. Если принять за
- главное квантовое число;
- орбитальное квантовое число,
;
- магнитное орбитальное квантовое
число,
;
- полный момент электрона,
.[3]
Рисунок
1. Схема строение атома.

Рисунок
2. Схема К-серии излучения Cu(29).
Если энергия ускоренного электрона недостаточна, то выбивания электрона
не произойдет. Если вся энергия летящего электрона трансформируется в
излучение, то значение минимальной длины волны сплошного спектра:
где h - постоянная Планка, е - заряд электрона, U - разность потенциалов, с - скорость
света. Откуда следует, что для генерации пучка необходимо подать критическое
напряжение U0 на анод рентгеновской трубки:
. [2]
Принцип
работы дифрактометра и метод Дебая - Шеррера
рентгеновский излучение дифрактограмма кристалл
Основными элементами любой установки являются источник - транспорт -
детектор.
Источником рентгеновского излучения в дифрактометре является
рентгеновская трубка.
Современная трубка состоит из каркаса, не пропускающего рентгеновское
излучение, внутри которого поддерживается вакуум. В каркасе расположена
вольфрамовая нить, по которой пускают ток. Вольфрамовая нить начинает эмиссию
электронов, которые после фокусировки летят к мишени, из-за созданной разности
потенциалов, нагревая её и выбивая кванты рентгеновского излучения. Получается
система катод-анод. Излучение летит под большим телесным углом, во всю
полусферу, которое необходимо направить в одну сторону, поэтому в каркасе
ставят бериллиевые окна, которые прозрачны для рентгена, и выпускают только
часть рентгеновского излучения. В связи с тем, что происходит сильное
нагревание системы, подключается охлаждение.
Рисунок
3. Схема современной рентгеновской трубки.
Так как рентгеновское излучение получается с различными длинами волн,
переходы между различными сериями в атоме, далее ставят монохроматор, который
вырезает нужный диапазон длин волн. После этого иногда ставится коллиматор,
который обрезает пучок, создавая его определённого размера. Далее излучение
распространяется по воздуху. Проходя по воздуху, рентгеновский луч теряет
энергию, но т.к. воздух почти «прозрачен» для луча, эти потери очень малы.
Попадая на образец, рентгеновские лучи отражаются и преломляются, отклоняясь от
своего первоначального положения. Затем, все лучи попадают на детектор,
создавая там дифракционную картину. Чтобы не сжигать детектор, на пути
первичного, не отклонившегося пучка ставят заслонку, бим стоп, т.к. первичный
пучок мощнее остальных.
D
детекторы бывают разных типов, например, Image Plate, GADDS,
CCD -детекторы, они отличаются по
основным характеристикам прибора:
Таблица
1. Сравнение основных характеристик 2D - детекторов.
|
IP
|
GADDS
|
CCD
|
|
Диапазон интенсивностей
|
++
|
-
|
+++
|
|
Угловое разрешение
|
+++
|
-
|
++
|
|
Время отклика
|
-
|
+++
|
+++
|
|
Фон
|
++
|
+
|
|
Стоимость
|
++
|
-
|
-
|
Рассмотрим подробнее принцип работы IP детектора. Детектор IP состоит из подложки с фоточувствительным слоем (IP), которая запасает энергию в виде
дефектов, полученную от рентгеновского луча, попавшего на IP. Далее происходит считывание этих
дефектов, тем самым - получение дифракционной картины. Далее происходит
высвобождение запасенной энергии, очистка данного IP. Таким образом, IP можно использовать многократно.
Метод Дебая - Шеррера на прохождение рентгеновских лучей заключается в
генерации рентгеновского пучка, размер которого таков, чтобы дойдя до образца,
полностью охватывал его. При попадании рентгеновского луча на кристаллик
(гранулу) образца, он отражается от её поверхности и попадает на детектор. При
большом количестве гранул, все отражения образуют конусы, раствор которых
. Так же необходимо, чтобы образец
был порошкообразным и гранулы как можно меньших размеров, т.к. иначе количество
рефлексов будет мало и возникнет трудность при анализе результатов. При
недостаточном количестве гранул, рефлексы не будут образовывать конус, а
образуют редкие образующие конуса.
Рисунок
4. Схема отражения рентгеновского луча при прохождении через порошкообразное
вещество.
Рисунок
5. Образование конических отражений с раствором
после
прохождения вещества.
Юстировка прибора заключается в том, чтобы пучок, созданный трубкой и
прошедший через монохроматор, попадал на детектор, пройдя через образец и
отрезав первичный пучок. То есть выход монохроматора, образец, бим стоп и
детектор лежали на одной прямой. Причем после монохроматора выходит
сфокусированный пучок и образец необходимо поставить в фокусе пучка.
Рисунок
6. Взаимное расположение детектора, бим стопа, образца и монохроматора у
отъюстированного прибора.
Расчёт углов
пиков дифрактограммы
Для расчета теоретических положений пиков на дифрактограмме используется
формула Брегга-Вульфа:
, откуда
где
. [4]
В сингонии и ячейке определённого типа
некоторые индексы hkl запрещены в силу их нулевой
структурной амплитуды:
. Следовательно, возникают условия на hkl:
. Зная возможные hkl, параметры элементарной ячейки abcαβγ и длину волны рентгеновского
излучения, попадающую на образец, можно вычислить положения пиков интенсивности
на графике I(2θ).
Практическая
часть
Описание
установки
Дифрактометр Huber содержит три
канала, которые могут генерировать рентгеновское излучение. Работа проводилась
на третьем канале, позволяющем снимать дифрактограммы веществ под высоким
давлением. Третий канал дифрактометра Huber снимает дифрактограммы порошков методом Дебая - Шеррера на прохождении.
Рисунок
7. Внешний вид дифрактометра Huber.
Рисунок
8. IP детектор.
Питание на рентгеновскую лампу подается источником ID3003, включенного в сеть через блок
бесперебойного питания. Анод лампы сделан из молибдена, вследствие чего,
минимальное напряжение для создания рентгеновского пучка составляет Umin≈ 20кВ. Также к лампе
подводится водяное охлаждение, проходящее через чиллер, для регулировки
температуры охлаждения. Сгенерированный пучок попадает в монохроматор, из
которого выходит сходящийся пучок с длиной волны λ=0,71073 Å. Далее пучок дифрагирует на образце,
зажатом в алмазных наковальнях, а оставшийся прямой пучок попадает на бим стоп,
который его обрезает. Далее только дифрагированный пучок попадает на IP детектор.
Рисунок
9. Внутренняя часть установки Huber.
Рисунок
10. Монохроматор
Рисунок
11. Характеристики источника, питающего рентгеновскую лампу.
Монохроматор - устройство позволяющее «вырезать» определенную область
спектра из всего спектра, попадающего в щель монохроматора. В данной работе
используется монокристальный монохроматор. Излучение падает на монокристалл и
свет с различной длиной волны отражается под разными углами. Взаимное
расположение выходной щели монохроматора и кристалла ставится таким, чтобы из
выходной щели выходило излучение нужной длины волны. В установке Huber стоит монокристалл графита,
плоскость разреза совпадает с плоскостью самого кристалла - (002).
Пучок получается линейным и сходящимся. Вследствие сходимости пучка,
время накопления становится меньше, в сравнении с точечным пучком данной
установки. Вследствие линейности, захватывается часть гаскетки. Поэтому, на
данном канале дифрактограммы снимаются гораздо быстрее, но они непременно будут
содержать информацию гаскетки.
Держатель образца оборудован алмазными наковальнями, которые обеспечивают
давление на образец до 350 кбар. Для правильного вставления гаскетки с образцом
в алмазные наковальни использовался бинокулярный микроскоп ЛОМО МСП-1, с
увеличивающей способностью в 4 раза.
Для считывания информации с детектора IP используется считывающий прибор Fujifilm FLA-3000. Внутри Fujifilm на IP падает излучение гелий - неонового лазера с длиной волны 633
нм. Попадая на IP это излучение
переизлучается с длиной волны 400 нм. Далее стоит устройство, запоминающее
данную картину переизлученного света, которое потом поступает на компьютер.
Для удаления уже имеющейся картины на IP, используется Fujifilm IP Eraser 3. IP кладётся в Eraser,
который облучает IP детектор белым
светом.
Методика
измерений
Юстировка
прибора
При юстировке данного прибора необходимо было первоначально определить
положение монохроматора так, чтобы выходил прямой пучок и чтобы можно было
свободно смещать систему детектор - бим стоп - образец (СДБО) для последующей
юстировки. После этого из СДБО убирается бим стоп и образец, и юстировка
происходит на прямом пучке. Далее, при параметрах U=30кВ, I=10мА
и времени накопления t= 1с
изменяются высота и горизонтальное положение системы детектор - образец,
снимаются рентгеновские картины распределения пучка (Рисунок 13). Находится
расстояние, при котором получается наименьшая полуширина пучка при наибольшей
его интенсивности. После этого ставится бим стоп и СДБО вращается в
вертикальной плоскости до установления СДБО и монохроматора на одну прямую,
каждый раз снимая рентгеновские картины. Расстояние внутри СДБО жестко
закреплено в силу устройства установки.
Рисунок
12. Изменения положения системы монохроматор, образец, бим стоп, детектор.
Подготовка
образца
Для проверки юстировки снимается дифрактограмма эталона, вещества с
хорошо известной дифрактограммой. Под микроскопом эталон плотно набивается в
гаскетку с помощью специальных инструментов. После чего гаскетка помещается
между двумя алмазными наковальнями, которые крепятся к держателю. С помощью
специального ключа изменяется давление между наковальнями.
Результаты
измерений
Расчет полуширины пучка производился путём интегрирования рентгеновской
картины и вычисления ширины на полувысоте. Это производилось двумя программами.
Первая, в комплекте с прибором считывающем IP, интегрировала по ширине и длине пучка. Вторая, написанная
коллегой Гусевым Константином Михайловичем, вычисляла значение ширины на
полувысоте. Далее строился график зависимости полуширины пучка от высоты СДБО.



а б в г
Рисунок
13. Распределение пучка на IP детекторе. а-в) При различных расстояниях
монохроматора и системы детектор - образец; г) При оптимальном расстоянии
монохроматора и системы детектор - бим стоп - образец.
Рисунок
14. Зависимость полуширины и полу-интенсивности от расстояния между
монохроматором и СДБО.
Как видно из данной зависимости рентгеновский пучок сходящийся, т.к.
имеет минимум по полуширине и максимум по интенсивности в точке 4 у.е.
При таком расстоянии между монохроматором и СДБО была снята
дифрактограмма кремния с алмазной кубической ячейкой.
Погрешность
измерений
Основной вклад в погрешность даёт измерение расстояния образец -
детектор. Погрешность составляет половину цены деления микрометра - 0,05 мм.
Что в переводе на угловую погрешность составляет 0,01°. Угловое разрешение
детектора IP велико, при этом погрешность угла
дифракции составляет
≈ 0,08°. Погрешность счетного устройства IP детектора составляет 0,0001°. Это
приводит к тому, что расположения рефлексов, в зависимости от угла 2θ°, определено с точностью ≈
0,2°.
При получении рентгеновской картины погрешность полуширины пучка
определялась с точностью 0,1 мм. Это погрешность складывается из погрешности
считывающего устройства Fujifilm FLA - 3000,
составляющей 0,1 мм, и из погрешности округления, составляющей 0,001 мм.
Анализ
результатов
Для проверки правильности юстировки, в качестве эталона, был использован
кремний с известными параметрами - алмазной кубической ячейке и параметром
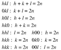
решётки a=5,43071 Å. Из-за условий погасания рефлексов в
кубической алмазной ячейке разрешены только некоторые hkl [4, 6]:
Рисунок
15. Возможные комбинации индексов hkl в алмазной кубической ячейке
.
Рисунок
16. а) Красная линия - теоретическая дифрактаграмма кремния с алмазной
кубической структурой; б) Зелёная линия - железа; в) Серая линия - практическая
дифрактограмма, полученная на Huber.
Рисунок
17. Индицирование дифрактограммы. Горизонтальные подписи - железо, вертикальные
- кремний.
Полученная дифрактограмма согласуется с теоретическими данными кремния и
железа по расположению пиков.
Таблица
2. Полученные 2θ
углы пиков кремния и их отличие от
теоретических углов.
|
|
|
|
|
13,12
|
13,02
|
1,00E-01
|
|
21,41
|
21,33
|
8,27E-02
|
|
25,15
|
25,07
|
7,72E-02
|
30,35
|
1,21E-01
|
Таблица
3. Полученные 2θ
углы пиков α - железа и их отличие от теоретических углов.
|
|
|
|
|
20,148
|
20,1984
|
5,040E-02
|
|
28,629
|
28,7168
|
8,780E-02
|
Выводы
В ходе выполнения данной работы был отъюстирован дифрактометр Huber. Качество юстировки проверялось
дифрактограммой кремния с известными параметрами элементарной ячейки.
Дифрактограмма была обработана, сверена с теоретическими данными,
проиндетифицирована. С учетом погрешности
, полученная дифрактограмма совпадает
с теоретически рассчитанной для кремния и α - железа и с дифрактограммой взятой
из кристаллографической картотеки.
Благодарности
Я выражаю благодарность коллегам Гусеву Константину Михайловичу, Дружбину
Дмитрию Александровичу за помощь в проведении экспериментов. Так же благодарен
преподавателям Громилову Сергею Александровичу, Цыбуле Сергею Васильевичу,
Алексееву Алексею Владимировичу за предоставленную теоретическую помощь.
Библиографический
список
1. Громилов
С. А. Введение в рентгенографию поликристаллов. НГУ, 2009.
. Громилов
С. А., Алексеев А.В. Курс лекций по рентгенографии поликристаллов. 2010.
. Сербо
В.Г., Хриплович И.Б. Квантовая механика. НГУ, 2008.
. Цыбуля
С.В. Курс лекций по кристаллографии. 2010.
. Храмов
А.С., Лукьянов И.В. Рентгеноструктурный анализ поликристаллов. КФУ, 2010.
6. <#"731941.files/image053.jpg">
Рисунок
18. Карточка дифрактограммы кремния из базы данных PDF.
Рисунок
19. Карточка дифрактограммы железа из базы данных PDF.
Рисунок
20. Возможные комбинации индексов hkl в ячейке
.

Рисунок
21. Кристаллографическая структура слева - железа, справа - кремния.