Динамика электроподвижного состава

  • Вид работы:
    Курсовая работа (т)
  • Предмет:
    Транспорт, грузоперевозки
  • Язык:
    Русский
    ,
    Формат файла:
    MS Word
    925,9 Кб
  • Опубликовано:
    2014-02-28
Вы можете узнать стоимость помощи в написании студенческой работы.
Помощь в написании работы, которую точно примут!

Динамика электроподвижного состава

Министерство транспорта Российской Федерации

Федеральное агентство железнодорожного транспорта.

Федеральное государственное бюджетное образовательное учреждение высшего профессионально образования

САМАРСКИЙ ГОСУДАРСТВЕННЫЙ УНИВЕРСИТЕТ ПУТЕЙ СООБЩЕНИЯ

Кафедра: «Электрический железнодорожный транспорт»




КУРСОВАЯ РАБОТА

На тему: «Динамика электроподвижного состава»

Вариант 36

Выполнил: студент гр 401

Костина К.Е.

Проверил: ст. преподаватель

Лукин Н.Ф.







Самара 2012

 

СОДЕРЖАНИЕ


ВВЕДЕНИЕ

ЗАДАНИЕ И ИСХОДНЫЕ ДАННЫЕ

. ПОСТРОЕНИЕ РАСЧЕТНОЙ СХЕМЫ

. ВЕРТИКАЛЬНАЯ СТАТИЧЕСКАЯ НАГРУЗКА

. ИЗМЕНЕНИЕ НАГРУЗОК ПРИ РАБОТЕ ТЯГОВОГО ЭЛЕКТРОДВИГАТЕЛЯ

. ОПРОКИДЫВАЮЩИЙ МОМЕНТ ОТ ДЕЙСТВИЯ ЦЕНТРОБЕЖНОЙ СИЛЫ

. СИЛЫ ДЕЙСТВУЮЩИЕ НА ТЕЛЕЖКУ ПРИ ДВИЖЕНИИ В КРИВОЙ

. БОКОВОЕ УСИЛИЕ МЕЖДУ КОЛЕСОМ И РЕЛЬСОМ В КРИВОЙ

. ОЦЕНКА БЕЗОПАСНОСТИ ДВИЖЕНИЯ ЭКИПАЖА В КРИВОЙ ПО ВЕЛИЧИНЕ БОКОВОЙ СИЛЫ

. ОЦЕНКА УСЛОВИЙ КОМФОРТА ПО ПОПЕРЕЧНЫМ УСКОРЕНИЯМ

. ОЦЕНКА УСЛОВИЙ КОМФОРТА ПО ВЕРТИКАЛЬНЫМ КОЛЕБАНИЯМ В УСЛОВИЯХ ДИНАМИЧЕСКИХ НАГРУЗОК

ПРИЛОЖЕНИЯ

БИБЛИОГРАФИЧЕСКИЙ СПИСОК

ВВЕДЕНИЕ

Данная курсовая работа по дисциплине «Динамика электроподвижного состава» посвящена оценке безопасности движения экипажа в кривой и условий комфорта работы локомотивной бригады и перевозки пассажиров.

Объектом расчетов является унифицированная тележка электропоезда ЭД4М, чертеж которой приведен в приложении. Безопасность обеспечивается в том случае, если система действующих на экипаж сил не нарушает устойчивости движения и не ведет к высоким напряжениям и деформациям в конструкциях экипажа и пути. Для четкого представления системы действующих сил и упрощения расчетов, а также для более детального ознакомления с тележкой необходимо составить расчетную

схему рамы тележки и определить величину статических и динамических нагрузок от оси колесных пар на рельсы, от собственного веса рамы, тяговых двигателей, кузова и неподрессоренных частей, провести анализ жесткости систем центрального и буксового рессорного подвешивания в условиях динамического нагружения. Затем рассчитываются центробежные силы и реакции при движении экипажа в кривой. После определения по результатам предыдущих пунктов суммарных нагрузок от колес на рельсы, необходимо будет оценить, как обеспечиваются условия безопасности и условия комфорта по величине поперечного ускорения. Далее, после определения жесткости систем центрального и буксового рессорного подвешивания необходимо оценить обеспечение условий комфорта элементами этих систем по вертикальным колебаниям при заданных исходных данных движения рассматриваемого электропоезда.

Задание и исходные данные

Определить действующие статические и динамические нагрузки на раму унифицированной тележки моторного вагона электропоезда ЭД4М (Приложение 1), произвести оценку безопасности движения экипажа в кривой и условия комфорта.

Вариант исходных данных

Радиус кривой

ρ=200 м

Возвышение наружного рельса

h=0,15 м

Скорость

V=60 км/ч

Сила тяги

Fк=67 кН

Масса кузова

mк=46 т

Контрольное условие безопасности по УБ

№ 1


Общие исходные данные

Диаметр бандажей колесной пары

Дб=1,05 м

Расстояние между кругами катания колес

2S=1,6 м

Коэффициент трения скольжения колес относительно рельсов

f=0.25

Высота центра масс кузова над уровнем осей колесной пары

hск=1,6 м

Высота центра тяжести подрессоренных масс тележки над уровнем осей колесной пары

hст=0,15 м

Масса неподрессоренных частей в расчете на одну колесную пару

mнп=2,25 т

Масса рамы тележки

mр=4 т

Масса тягового двигателя

mд=2,2 т


1.     
Построение расчетной схемы

Расчетная схема строится для проведения расчетов на основании чертежа. В расчетной схеме элементы рамы заменяются стержнями, оси которых проходят через центры тяжести поперечных сечений этих элементов. Все стержни принимаются лежащими в одной плоскости. Кронштейны крепления представлены Г-образными консолями в местах установки пружин буксового рессорного подвешивания. Нагрузки от подвески передаются на консольные балки, закрепленные на шкворневой балке.

Рисунок 1.1 - Расчетная схема

Размер тележки ы тележки


2.Вертикальная статическая нагрузка

Рама тележки находится под действием собственного веса элементов рамы с закрепленными на них кронштейнами и деталями ТРП: веса кузова и элементы центрального подвешивания; веса и крутящего момента от консольно-закрепленных тяговых электродвигателей; реакций рессорных подвесок.

Нагрузка от оси колесной пары на рельс определяется по формуле:

; (2.1)

где g=9,81м/сек2;

 - масса вагона в расчете на одну колесную пару.

 кН

Масса вагона определяется по сумме масс отдельных частей:

mв=mк+4mнп+4mд+2mр ; (2.2)

где mк - масса кузова;нп - масса неподрессореных частей в расчете на одну колесную пару;д - масса ТЭД ;р - масса рамы тележки.

mв=46+4*2,25+4*2,2+2*4=71,8 (т)

Реакции рессор определяются по формуле:

Пст-mнп*g=4R ; (2.3)

,91-2,25*9,81=4R

.465=R кН

3. Изменение нагрузок при работе ТЭД

При работе тяговых двигателей силы тяги, реализуемые колесными парами, передаются через буксы на боковины рамы тележек. С боковины через центральную поперечную балку тяговое усилие передается на надрессорную балку, а с нее через шкворень на шкворневую балку кузова.

Рисунок 3.1 - Схема сил нажатия колесной пары на рельсы.

Величина касательной силы тяги одной кп - ТЭД определяется по формуле:

 

16,75 кН

Момент сопротивления кузова определяется по формуле:

Мтк=Fтк1*zш;

где Fтк1 - сила тяги на 1 тележку вагона.

Момент Мт уравновешивается реактивными моментами МR пар сил 2Rт в точках опоры тележки на рельс. Нагрузка каждого переднего колеса уменьшается, а каждого заднего увеличивается на величину Rт.

Уравнение равенства моментов определяется по формуле:

тк1*zш=2Rт*2а; (3.2)

Где Rт - тяговая реакция колеса.

,75*2*1,03=2Rт*2,6 => Rт=6,635 кН

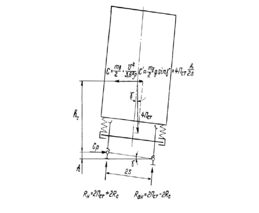
. Опрокидывающий момент от действия центробежной силы

При движении экипажа в кривой на него действуют распределенные по всей массе центробежные силы, которые заменяются равнодействующей , направленной в сторону наружного рельса.

Рисунок 4.1 - Схема действия сил на экипаж при движении в кривой

Центростремительное ускорение определяется по формуле:

 

 

Центробежная сила на одной тележке определяется по формуле:

 

 

При возвышении наружного рельса центробежная сила частично компенсируется составляющей силы тяжести.

 

 

При этом такое же по величине значение центробежной силы в кривой с возвышением Св достигается при большей скорости движения:

Cв=С-С; (4.4)

Cв=49.54-35.18=14,35кН

Опрокидывающий момент от силы Cв:

Мопв*hс; (4.5)

Моп=15,61*1,585=24,74 кН м

 

 

 

Считается, что безопасность движения обеспечивается, если опрокидывающий момент нее превышает восстанавливающего момента от силы тяжести на плече S с коэффициентом запаса равным 2

 

 

Максимально допустимое по устойчивости от опрокидывания центростремительное ускорение:

 

В кривой без возвышения

 

Центробежная сила уравновешивается суммой поперечных реакций рельса. Момент этой пары уравновешен моментом реакций на правых и левых колесах тележки.

 

 

 кН

Допустимые по опрокидыванию скорости движения в кривой:

 

 

 

Вывод: По результатам проведенных расчетов определили, что условие безопасности при движении в кривой выполняется, опрокидывающий момент не превышает восстанавливающего момента и заданная скорость не превышает расчетные.

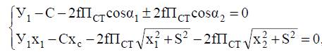
. Силы, действующие на тележку при движении в кривой

При входе в кривую на переднее наружное колесо со стороны наружного рельса начинает действовать направляющее усилие У1, которое понуждает экипаж двигаться по окружности вокруг центра кривой.

Угловая скорость скорость находится по формуле:

 

Где p - радиус вращения

 

Рисунок 5.1- Схема действия сил на тележку при движении в кривой.

Величина и направление абсолютных скоростей различна, поэтому удобно представить абсолютную скорость каждой точки как сумму переносной и относительной скоростей.

Абсолютная скорость любой точки тележки:

 

 

Относительная скорость любой точки тележки:

 

 

Скорость движения в кривой с возвышением:

 

 

Полюсное расстояние:

 

 

При промежуточной установке тележки ее равновесие под действием рассмотренных систем сил выражается двумя уравнениями, а именно: уравнением суммы проекций всех сил на поперечную ось и уравнением моментов относительно полюса.



Таблица 5.1

Решение системы уравнений

Расчетная величина, ед.изм.

Значение над заданного хс

1

2

3

4

5

6

7

хс

0

0,8

1,3

1,6

1,8

1,9

х1с

1,3

2,1

2,6

2,9

3,1

3,91

 

1,5

2,2

2,7

3,008

3,2

3,9

 

0,85

0,93

0,95

0,96

0,968

0,97

х2с

-1,3

-0,5

0

0,3

0,5

1,31

 

1,52

0,94

0,8

0,85

0,94

1,53

 

-0,86

-0,53

0

0,35

0,53

0,85

 

0

0,4

0,95

1,31

1,49

1,82

 

0

0,32

1,235

2,09

2,68

4,75

 

3,04

3,18

3,52

3,85

4,14

5,52

 

3,04

2,86

2,28

1,75

1,45

0,77

 

102,8

96,72

77,10

59,18

49,03

26,04

 

0

17,59

41,77

57,6

65,51

80,02

 

102,83

79,13

35,33

1,58

-16,4

-53,9

Cв=С-С

67,64

43,94

0,148

-33,6

-51,6

-89,1

 

50,7

39,07

17,44

0,78

-8,13

-26,6

 

25,06

19,29

8,611

0,38

-4,01

-13,1

 

85,96

75,4

50,38

10,65

----

----

 

86,02

75,48

50,49

11,15

----

----

 

29,27

29,30

24,80

21,06

19,08

14,63

 

23,81

24,71

22,70

20,96

20,07

17,90

Убок кН

73,56

67,42

52,3

38,12

29,95

11,41

Убок В кН

79,02

72,01

54,4

38,22

28,96

8,14

а м/с2

5,73

4,41

1,96

0,088

-0,09

-3,01

ав м/с2

3,77

2,45

0,008

-1,87

-2,88

-4,97


График зависимостей Y1 , (V), Xc (V). C(V) представлен в Приложении 2.

Вывод: при движении в кривой возникает дополнительная сила У1 стремящаяся повернуть тележку вокруг оси, путем усилия на колесные пары.

. Боковое усилие между колесом и рельсом в кривой

Нагрузки от колеса на рельсы при движении в кривой изменяются. Соответственно изменяются и силы трения.

Нагрузка на направляющем колесе:


П1=87,95+50,77-0,96 =137,76 кН

П2=87,95+39,07-0,96 =126,06 кН

П3=87,95+17,44-0,96 =104,43 кН

П4=87,95+0,78-0,96 =87,77 кН

П5=87,95-8,13-0,96 =78,86 кН

П6=87,97-26,65-0,96 =60,34 кН

Силы трения без возвышения :

 

 

 

 

21,06

 

 

Аналогично рассчитываю и силу трения с возвышением

П=87,9+25,06-0,96 =112,05кН

П=87,9+19,29-0,96 =106,28 кН

П=87,9+8,661-0,96 =95,60кН

П=87,9+0,38-0,96 =87,37кН

П=87,9-4,014-0,96 =82,97кН

П=87,9-13,15-0,96 =73,84кН

 

 

 

 

 

 

Суммарное боковое воздействие между рельсом и первым направляющим колесом:

Убок1-Fутр1; (6.3)

График зависимости Yбок(V) и Yбок в (V)в представлен в Приложении 3.

Вывод: С ростом скорости воздействие между колесом и рельсом возрастает.

7. Оценка безопасности движения экипажа в кривой по величине боковой силы

Рисунок 7.1 - Схема действия сил в точке контакта колеса с рельсом.

колесный пара сила опрокидывающий

Под действием вертикальной нагрузки П колесо соскальзывает вниз. Но вследствие прижатия колеса к рельсу силой N в точке контакта действует сила трения, препятствующая этому движению.

=Nf; (7.1)

Уравнения безопасности по вертикальной составляющей:

 

 

 

 

 

 

 

 

 

 

 

 

 

 

Уравнения безопасности по горизонтальной составляющей:

 

 

 

 

 

 

 

 

 

 

 

 

 

 

Условия безопасности:

. Убок ≤ 0,69 Пст

2. Убок ≤100 кН

. Убок ≤45 кН

Вывод: В ходе проведенных расчетов установлено ,что условия безопасности выполняются до скорости:

1.V=61,4 км/ч                   Vв=72,2 км/ч

.V=112,9 км/ч                 Vв=118,8 км/ч

.V=18,6 км/ч                     Vв=41,6 км/ч

8. Оценка условий комфорта по поперечным ускорениям

Движение экипажа с высокими скоростями сопровождается колебаниями, которые отрицательно влияют на пассажиров и бригаду. При движении в кривой добавляется длительное действие поперечного ускорения.

Центробежная сила, действующая на пассажиров в кривой, нарушает равновесие силы тяжести и нормальной реакции пола и сидения. Необходимо искать дополнительную опору, дополнительное напряжение мышц и реакции вестибулярного аппарата на поперечное ускорение вызывают неприятное ощущение у человека.

По условию воздействия величина поперечного ускорения не должна превышать :

a≤[amax]=0,7м\с2

 

 

 

 

 

 

 

 

 

 

 

 

 

 

 

График зависимости а(V) и ав(V)в представлен в Приложении 4.

Вывод: Условия комфорта для пассажиров и локомотивной бригады удовлетворяют условиям до скорости: V=61 км\ч;Vв=72 км\ч.

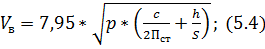
9. Оценка условий комфорта по вертикальным колебаниям в условиях динамического колебания

Анализ жесткости пружин центрального подвешивания

При движении экипажа вследствие наличия пружин и неровностей пути у рамы тележки и кузова возникают вертикальные колебания, имеющие периодический характер. В общем случае их вектор направленности, периодичность и амплитуды описываются сложными диф. Уравнениями

Наличие пружин в системах подвески электроподвижного состава вызывает при движении колебательный процесс. Особенно опасно это воздействие на высоких скоростях.

Статический вертикальный прогиб рессорного подвешивания:

 

При v =1,5 Гц

 

При v=2,5 Гц

 

Коэффициент вертикальной динамики:

 

При v =1,5 Гц, V=60 км/ч:

 

При v =1,5 Гц, V=120 км/ч:

 

При v =2,5 Гц, V=60 км/ч:

 

При v =2,5 Гц, V=120 км/ч:

 

Динамическая нагрузка на рессорное подвешивание:

 

При v =1,5 Гц, V=60 км/ч:

 

При v =1,5 Гц, V=120 км/ч:

 

При v =2,5 Гц, V=60 км/ч:

 

При v =2,5 Гц, V=120 км/ч:

 

Статическая жесткость одной винтовой пружины:

 

При P=476Н/м:

 

Жсд==11900Н/м

При Р =500,9Н/м:

 

Жсд==12522Н/м

При Р = 519Н/м:

 

Жсд== 12975Н/м

При Р =586Н/м:

 

Жсд==14650Н/м

Статическая жесткость одной цилиндрической винтовой пружины:

 

При Dн =0,308 м, dн=0,04, n0=5 витков

 

При Dн =0,21 м, dн=0,03, n0=8 витков

 

При Dн =0,14 м, dн=0,02, n0=12 витков

 

Жстат.пр СУММА =(58+145,7+58)*8=2093кН

Динамическая жесткость одной винтовой пружины:

 

При V=60 км/ч,k=1,03

 

При V=120 км/ч,k=1,05

 

Частота колебания:

 

 

Вывод: сравнивая Жсумма ст .и Жд.пр можно сказать, что они лишь немного отличаются по значению; частота, полученная по расчетам, не является опасной для жизни.

Анализ жесткости пружин буксового подвешивания

Система буксового подвешивания имеет ряд из восьми пар винтовых пружин и четырех ГГП, сопротивление которых не зависит от действующих на них сил. При этом анализ жесткости буксового рессорного подвешивания можно произвести на одной колесной паре.

Статическая жесткость пружин:

При Dн=0,206, dн=0,035, no=4

 

При Dн=0,165, dн=0,02, no=7

 

Статическая жесткость комплекта пружин с фрикционными гасителями колебаний:

 

где Жкп.ст - статическая жесткость пружин,

кд,, - коэффициент вертикальной динамики:

 

 

Рстат=175,91-2,25*9,81=153,8

Рдин=153,8+153,8*0,25=193,8

µ=F/Рст =5/153.8=0,03

 

 

 

Статический вертикальный прогиб буксового подвешивания:

 

 

Частота колебания груза при демпфировании фрикционным гасителем:

 

 

Диаграмма нагружения буксового рессорного подвешивания представлена в Приложении 5.

Вывод: В ходе расчетов установлено что частота колебаний, не превышает уровень комфорта пассажиров, а значит данная буксовая система подходит для использования в электропоездах.

Заключение

По результатам проведенных расчетов определили, что условие безопасности при движении в кривой выполняется, опрокидывающий момент не превышает восстанавливающего момента и заданная скорость не превышает расчетные; при движении в кривой возникает дополнительная сила У1 стремящаяся повернуть тележку вокруг оси, путем усилия на колесные пары; условия безопасности выполняются до скорости:

1.V=61,4 км/ч                   Vв=72,2 км/ч

.V=112,9 км/ч                 Vв=118,8 км/ч

.V=18,6 км/ч                     Vв=41,6 км/ч

Условия комфорта для пассажиров и локомотивной бригады удовлетворяют условиям до скорости: V=61 км\ч;Vв=72 км\ч. В итоге установлено , что данное рессорное подвешивание пригодно для установки на моторвагонные поезда ЭД-4М.

Приложение 1

Рисунок А1 - Тележка моторного вагона электропоезда ЭД4М:

- рама; 2 - гидравлический гаситель колебаний; 3 - фрикционный гаситель колебаний; 4 - узел буксового рессорного подвешивания; 5 - узел центрального рессорного подвешивания; 6 - буксовый поводок; 7 - тяговый редуктор; 8 - упругая муфта; 9 - тяговый электродвигатель; 10 - поводок тележки; 11 - боковой скользун; 12 - рычажно-тормозная передача; 13 -шкворневой брус

 

БИБЛИОГРАФИЧЕСКИЙ СПИСОК


1.Добровольская Э.М. Электропоезда постоянного и переменного тока/ Э.М. Добровольская. - М.: Академкнига, 2004. - 359 с.

.Просвирин Б.К.Электропоезда постоянного тока: учеб. Пособ./ Б.К. Просвирин ; утв.Департаментом кадров и учеб. Завед. МПС Росии. - М.: УМК МПС Росии, 2001, - 669с.

.Механическая часть подвижного состава /под ред.И.В. Бирюкова. _ М.: Транспорт, 1992. 265с.

.Вершинский С.В., Динамика вагона: учебник для ж.д. вузов / под.ред. Вершинского С.В. -М.: Транспорт, 1991, - 60с.

.Методические указания к выполнению курсовой работы по дисциплине «Динамика электроподвижного состава» для студентов специальности 190303 «Электрический транспорт железных дорог». - Самара: СамГАПС, 2010. - 28с.

Похожие работы на - Динамика электроподвижного состава

 

Не нашли материал для своей работы?
Поможем написать уникальную работу
Без плагиата!
Без нейросетей!