Анализ методов управления потоками вылетающих и прилетающих воздушных судов и их влияние на пропускную способность ВВП и ЗВП

  • Вид работы:
    Курсовая работа (т)
  • Предмет:
    Транспорт, грузоперевозки
  • Язык:
    Русский
    ,
    Формат файла:
    MS Word
    135,71 Кб
  • Опубликовано:
    2013-11-06
Вы можете узнать стоимость помощи в написании студенческой работы.
Помощь в написании работы, которую точно примут!

Анализ методов управления потоками вылетающих и прилетающих воздушных судов и их влияние на пропускную способность ВВП и ЗВП

Министерство транспорта Российской Федерации

Федеральное государственное бюджетное образовательное учреждение высшего профессионального образования

Ульяновское высшее авиационное училище гражданской авиации (институт)

Кафедра УВД и навигации





Курсовая работа

По дисциплине: Организация системы УВД

На тему:

Анализ методов управления потоками вылетающих и прилетающих воздушных судов и их влияние на пропускную способность ВПП и ЗВП


Выполнил: Казимиров Е.А.

курсант группы Д-11-2

Руководитель проекта: Шарков В.А.




Ульяновск - 2013

СОДЕРЖАНИЕ

Индивидуальное задание. Карта STAR

1.    Обоснование нормативов пропускной способности зоны взлета и посадки

1.1 Расчет минимальных временных интервалов (МВИ) занятости ВПП при выполнении взлетно-посадочных операций и определение позиций ВС на схеме захода на посадку

1.2    Определение нормативов пропускной способности ЗВП

Вывод

.     Методика управления потоками поступающих в зону взлета и посадки ВС

.1   Управление потоками поступающих в ЗВП вылетающих ВС

2.2    Управление потоком поступающих в ЗВП прилетающих ВС

Вывод

.     Методика организации процедурного управления времени взлета и посадки ВС в районе аэродрома

.1   Управление временем взлета по таблице расчетных положений прилетающих ВС

3.2    Управление временем взлета по маркированным участкам положения прилетающих ВС

3.3  Управление временем взлета по положению прилетающих ВС относительно делений шкалы оставшегося времени пролета ДПРМ

3.4    Управление временем взлета по графику расчетных интервалов блокировки ВПП

.5      Формирование очередности и интервалов посадки по шкале оставшегося времени движения прилетающих ВС

Заключение

Список использованной литературы

РАЗДЕЛ 1. ОБОСНОВАНИЕ НОРМАТИВОВ ПРОПУСКНОЙ СПОСОБНОСТИ ВПП И ЗВП

1.1 Расчет минимальных временных интервалов (МВИ) занятости ВПП при выполнении взлетно-посадочных операций и определение позиций ВС на схеме захода на посадку

Основными факторами, определяющими порядок расчета МВИ и определения позиций ВС на схеме захода на посадку, является режим использования и количество ВПП, наличие и характеристики РД, взлетно-посадочные характеристики ВС, эксплуатируемых на данном аэродроме и другие.

ВПП может использоваться в четырех режимах «взлет-взлет», «посадка-посадка», «посадка-взлет» и «взлет-посадка».

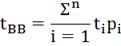
При расчете МВИ для всех четырех режимов использования ВПП проводится хронометраж взлетно-посадочных операций по каждому из эксплуатируемых на данном аэродроме типов ВС. На основании протоколов измерений заполняется специальная таблица рассчитанного среднего значения каждого элемента взлетно-посадочных операций.

Таблица 1

ВС

, с

, с

Х,с

, м/с

, м

УНГ, град

Ил-62

80

50

40

90

10

96

140(130)

100

500

3

Як-40

70

35

50

70

16

147

150(160)

65

500

3


На аэродроме эксплуатируются Ил-62(40%) - средний, Як-40(60%) средний.

Найдем значения  для данных типов ВС:


Определяем средний интервал занятости ВПП в режиме «взлет-взлет» по формуле (1) с использованием данных таблицы 1 для вариантов взлета последовательности В-727 за В-727, В-727 за Ту-134, Ту-134 за Ту-134 и Т-134 за В-727.

Необходимо учесть, что ФАП ОрВД установлены следующие минимумы эшелонирования по причине турбулентности в среде:

а) при посадке ВС:

-      Для легких следующих за тяжелыми или средними ВС - 3мин.;

-       Для средних следующих за тяжелыми ВС - 2 мин.

б) При взлете ВС:

-      Между легкими или средними взлетающими за тяжелым ВС или легкими взлетающими в след за средним ВС - 2 мин.;

Для легких или средних ВС взлетающих за тяжелыми или легкими взлетающих за средними ВС - 3мин., в случае их взлета со средней части одной и той же ВПП или со средней части параллельных ВПП расположенных на расстоянии менее 1000м одна от другой.

РЕЖИМ «ВЗЛЕТ-ВЗЛЕТ»

МВИ в этом режиме определяется следующим образом. Диспетчер старта (СДП) дает разрешение занимать исполнительный старт(ИС) второму ВС, находящему на предварительном старте (ПС), после прохождения взлетающим ВС места расположения РД, на которой на ПС ожидает второе ВС. Поэтому управляемый интервал может быть измерен как интервал времени между двумя последовательными командами диспетчера о разрешении занимать исполнительный старт двум претендующим на взлет ВС.

В ряде случаев этот интервал совпадает с интервалом занятости ВПП, измеряемым от времени выдачи разрешения на занятие исполнительного старта до времени прохода первым ВС соответствующей РД при разбеге. Вместе с тем, на многих аэродромах могут быть такие условия организации движения, когда ∆tри невелика, и второе ВС достаточно быстро занимает ИС, после чего вынуждено ожидать выполнения второго условия безопасности движения - занятия первым ВС заданной высоты после взлета. В этом случае управляемый интервал определяется временем между двумя последовательными командами диспетчера о разрешении взлета .

С учетом сказанного, управляемый интервал движения «взлет-взлет» определяется соотношением:


Определяем средний интервал занятости ВПП в режиме «взлет-взлет» по формуле с использованием данных таблицы №1 для вариантов взлета в последовательности:

·      Ил-62 за Ил-62,

·        Ил-62 за Як-40,

·        Як-40 за Ил-62,

·        Як-40 за Як-40.

Среднее время занятости ВПП по нескольким типам ВС определяется по формуле:


Множество возможных вариантов (11, 12, 21, 22) занятости ВПП воздушными судами Ил-62 (1) и Як-40 (2) и их вероятности (как независимые события) соответственно равны:

(11) P11=P1P1=0,4*0,4=0,16

(12) P12=P1P2=0,4*0,6=0,24

(21) P21=P2P1=0,6*0,4=0,24

(22) P22=P2P2=0,6*0,6=0,36.

t11= max {50+40;80}=90 с, но по ФАП t11=120 с,

t12= max {35+50;80}=85 с,

t21= max {50+40;70}=90 с, но по ФАП t21=120 с,

t22= max {35+50;70}=85 с.

Определяем средний интервал занятости ВПП по формуле:

120*0,16+85*0,24+120*0,24+85*0,36=99 с.

РЕЖИМ «ПОСАДКА-ПОСАДКА»

При использовании ВПП в этом режиме МВИ определяется исходя из следующих условий: в момент освобождения ВС на ВПП второе судно, выполняющее заход на посадку вслед за первым, должно находиться не ближе БПРМ.

·      Заход обычный:

=( +)

t11={90+10}=100 с, но по ФАП t11=120 с.

t12={70+10}=80 с,

t21={90+16}=106 с, но по ФАП t21=120 с.

t22={70+16}=86 c.

=120*0,16+80*0,24+120*0,24+86*0,36=98,16с.

·      Заход автоматический:

={+}

t11= {90+96} =186с,

t12= {70+96} =166c,

t21= {90+147} =237 с,

t22= {70+147} =217c.

=186*0,16+166*0,24+237*0,24+217*0,36=204,6 с.

РЕЖИМ «ПОСАДКА-ВЗЛЕТ»

На данном этапе МВИ определяется исходя из следующих условий: выруливание вылетающих ВС с предварительного на исполнительный старт возможно после приземления ВС, заходящего на посадку, а взлет может быть разрешен только после освобождения ВПП приземлившимся ВС.

={}

t11= max {90; 80} =90 с,

t12= max {70; 80} =80 с,

t21= max {90; 70} =90 с,

t22= max {70; 70} =70 с

Определим средний интервал занятости ВПП по формуле

= 90*0,16+80*0,24+90*0,24+70*0,36=80,4 с.

РЕЖИМ «ВЗЛЕТ-ПОСАДКА»

Данный режим является наиболее важным с точки зрения влияния на безопасность полетов и именно для него наиболее тщательно обрабатывается статистический материал, чтобы с учетом среднеквадратических отклонений по типам ВС определить средний интервал времени, затрачиваемый с момента выдачи разрешения на занятие исполнительного старта до начала разбега. МВИ при использовании ВПП в этом режиме определяется исходя из следующих условий:

заходящее на посадку ВС должно быть не ближе ДПРМ (4км), а взлетающее - занимать начало разбега при полетах по ППП;

заходящее на посадку ВС должно быть над ТВГ, а взлетающее на установленной ИПП для взлета конкретного типа ВС высоте (100 м, 200м)- при заходе ВС в автоматическом режиме.

Полеты по ППП

а) Заход обычный:

 (ППП)=

Здесь так же необходимо учесть, что по ФАПу, сказано, что между взлетом и посадкой ВС при полетах с одной или параллельной ВПП, расстояние между которыми менее 1000м - 45 с., следовательно:

t11=40 с, но по ФАП t11=45 с,

t12=40 с, но по ФАП t21=45 с,

t21=62 с,

t22=62 с.

tвп=45*0,16+45*0,24+62*0,24+62*0,36=55,2c.

Для режима «взлет-посадка» расчетная величина позиции во времени определяется с учетом времени руления (tрул) ВС с ПС на исполнительный старт.

 (ППП)=+

t11=80+40=120 с,

t12=70+40=110 с,

t21=80+62=142 с,

t22=70+62=132 с.

В УВД временные величины tвп и tпвс переводятся в линейные величины:

 (ППП)=  (ППП)×Vзп;

Дпвс=×.

=45×100=4500 м.,

=120×100=12000 м,

=45×100=4500 м.,

=110×100=11000 м,

=62×65=4030 м.,

=142×65=9230 м,

=62×65=4030 м

=132×65=8580 м.

б) Заход автоматический:

= ++

t11=50+40+96=186 с,

t12=35+50+96=181 с,

t21=50+40+147=237 с,

t22=35+50+147=232 с.

tвп=186*0,16+181*0,24+237*0,24+232*0,36=213,6c.

Определим расчетную величину позиции во времени с учетом времени руления (tрул) ВС с ПС на исполнительном старте:

=+ ++

Тпвс11=80+50+40+96=266 с,

Тпвс12=70+35+50+96=251 с,

Тпвс21=80+50+40+147=317 с,

Тпвс22=70+35+50+147=302 с.

Приведем временные значения tвп и tпвс в линейные значения:

=×; =×.

=186×100=18600 м.,

=266×100=26600 м,

=181×100=18100 м.,

=251×100=25100 м,

=237×65=15405 м.,

=317×65=20605 м,

=232×65=15080 м.,

=302×65=19630 м.

1.2 Определение нормативов пропускной способности ЗВП

Под пропускной способностью системы УВД или ее элемента (ВПП или ЗВП) понимают максимальное значение интенсивности N-потока поступающих в систему (ЗВП) ВС, при которой еще не нарушаются заданные ограничения по безопасности движения.

В ЗВП могут быть измерены следующие показатели пропускной способности:

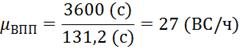
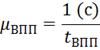
а) пропускная способность ВПП


где  - среднее значение интервала занятости ВПП, измеряемого от времени пролета прилетающим ВС точки ДПРМ до времени получения доклада об освобождении ВПП (=+).

Учитывая процентное соотношение эксплуатируемых на данном аэродроме ВС, мы можем записать:

=( (Ил-62)+ (Ил-62))×N(Ил-62)+( (Як-40)+(Як-

40))×N(Як-40), где

( (Ил-62)+ (Ил-62)) - время занятости ВПП ВС типа Ил-62;(Ил-62)- количество процентов от общего числа ВС Ил-62 (N/100)

( (Як-40)+ (Як-40)) - время занятости ВПП ВС типа Як-40;(Як-40)- количество процентов от общего числа ВС Як-40 (N/100)

 =(40+90)×0,4+(62+70)×0,6=131,2 с,

таким образом,


б) потенциальная пропускная способность ЗВП

-      по потоку вылетающих ВС:


где  - среднее значение управляемого интервала взлета


-      по потоку прилетающих ВС:


где  - среднее значение управляемого интервала посадки, сформированного активными действиями диспетчеров путем задержки ВС в воздушном пространстве перед заходом на посадку. (Для Ту-134,а для В-727)

Учитывая процентное соотношение ВС, находим Х:


в) реальная (нормативная) пропускная способность ЗВП для потока прилетающих ВС.


где - граничное значение допустимого среднего времени задержки одного ВС перед заходом на посадку:

·        =4мин- для полетов по ППП

·        =1 мин -для полетов по ПВП.

С=δ/tпп - коэффициент вариаций случайной величины управляемого интервала посадки t относительно своего математического ожидания t.

(δ) - среднеквадратическое отклонение случайной величины t относительно своего математического ожидания t.

Если tПП взять в секундах, то для практических вычислений нормативной пропускной способности ЗВП можно использовать следующую формулу:


г) пропускная способность ЗВП по потоку вылетающих ВС:

λ-интенсивность потока прилетающих ВС. Из этой формулы видно, то реальная пропускная способность по потоку вылетающих ВС учитывает различные режимы работы ВПП и зависит от интенсивности потока прилетающих ВС.


д) пропускная способность ЗВП из условия равенства потоков прилета и вылета


При решении этого трансцендентного уравнения подставляются различные значения (λ) и то значение, которое обеспечит равенство или будет наиболее близким к нему, и будет являться решением уравнения. Подставим λ=19 и получим число, близкое к 1.

Таким образом, пропускная способность ЗВП при равенстве прилетающих и вылетающих ВС равна 19 ВС/час, так как все другие значения не обеспечивают более точного соблюдения равенства.

ВЫВОД:

После выполнения данного раздела можно прийти к выводу, что для повышения пропускной способности ВПП необходимо уменьшить среднее значение интервала занятости ВПП, представляющее собой сумму двух временных отрезков:

время полета прилетающего ВС от БПРМ до посадки;

время на освобождение ВПП после посадки.

Таким образом, чтобы уменьшить средний интервал занятости ВПП, необходимо принятием соответствующих мер, уменьшить продолжительность второго отрезка времени, так как уменьшение первого возможно лишь увеличением скорости захода на посадку ВС, а это недопустимо, потому что для посадки используют установленную для каждого типа ВС скорость и диспетчер не может давать команду на ее увеличение.

К мерам по уменьшению второго отрезка времени относятся:

введение в эксплуатацию скоростных РД, позволяющих на высокой скорости после посадки освобождать ВПП прилетающими ВС;

увеличение количества РД также способствует более быстрому освобождению ВПП.

Пропускную способность ЗВП, существенно повышает наличие двух и более ВПП, одна из которых используется только для взлета, а другая - для посадки. Повышению пропускной способности ЗВП способствует наличие однородного потока, то есть потока ВС с одинаковыми скоростями, а также одностороннего движения в потоке.

РАЗДЕЛ 2. МЕТОДИКА УПРАВЛЕНИЯ ПОТОКАМИ ПОСТУПАЮЩИХ В ЗОНУ ВЗЛЕТА И ПОСАДКИ ВС

.1 Управление потоками поступающих в ЗВП вылетающих ВС

Исходной информацией для применения методики управления плотностью потока вылетающих ВС являются результаты нормативов пропускной способности на вылет, рассчитанные по формуле № 13 с учетом типов эксплуатируемых на аэродроме ВС и их процентного соотношения.

На основании рассчитанных в первом разделе данных по режимам «взлет-взлет», «посадка-взлет», «взлет-посадка», и среднего значения управляемого интервала посадки (Х), определяется пропускная способность ЗВП на вылет по формуле №15. В этой формуле интенсивность прилетов ВС (λ) меняется в диапазоне от 1 до абсолютной пропускной способности с шагом в 1 ВС/ч. На основании расчетов заполняется таблица №2 и строится график (рис. 1).

Таблица 2

Зависимость пропускной способности ЗВП на вылет от интенсивности прилета

λ,(вс/ч)

0

1

2

3

4

5

6

7

8

9

10

11

12

13

14

15

16

µпвыл,(вс/ч)

38

37

36

35

34

33

32

31

30

29

28

27

26

25

24

23

22

µнвыл,(вс/ч)

33

32

31

30

29

28

27

26

25

24

23

22

21

20

19

18

17


λ,(вс/ч)

17

18

19

20

21

22

23

24

25

26

27

28

29

30

31

32

33

34

µпвыл,(вс/ч)

21

20

19

18

17

16

15

14

13

12

11

10

9

8

7

6

5

4

µнвыл,(вс/ч)

16

15

14

13

12

11

9

8

7

6

5

4

3

2

1

0

-


Нормативы пропускной способности на вылет будут определены, если из полученных величин потенциальной пропускной способности (при каждом значении интенсивности прилетов) вычесть 5.

Выдерживание нормативов пропускной способности на вылет гарантирует, что в худшем случае время ожидания взлета на ПС не будет больше 4 минут на одно ВС.

.2 Управление потоком поступающих в ЗВП прилетающих ВС

Цель данного управления - снижение нагрузки на диспетчера круга путем рассредоточения во времени по тока прибывающих в ЗВП ВС.

Методика заключается в выполнении следующих процедур:

¾    ведение графика движения ВС со всех существующих направлений (коридоров входа) для данного РА;

¾      оценка ожидаемого количества прилетов ВС в некоторый фиксированный интервал времени и прогнозируемых интервалов прибытия ВС;

¾      сравнение получаемых по графику оценок с нормативами пропускной способности ЗВП, а полученных интервалов прибытия - с нормативами;

¾      выработка экипажам некоторых прибывающих ВС команд на уменьшение скорости движения или команд, назначающих более позднее время посадки из диапазона достижимого времени посадки для каждого конкретного типа прибывающих ВС.

Методика должна применяться в наиболее интенсивное по прилетам промежутки время, когда у диспетчера круга по расчетам ожидается на управление более 3-х ВС.

Результатом применения методики является поступление в ЗВП более упорядоченного потока прилетающих ВС.

Нам оставлена задача: упорядочить следующий поток прилетающих ВС (см. табл. №3). Удаление фиксированных точек от ДПРМ:

S1=220 км; S2=200 км; S3=160 км; S4=110 км.

Тип ВС

№ ФТ

Тпролета

W ср

1

A-310

1

12:06

700

2

A-320

2

12:10

700

3

Ту-154

3

12:14

700

4

Ту-134

4

12:19

600

5

Ил-62

1

12:26

700

6

Ил-96

2

12:30

700

7

Ил-76

3

12:35

700

8

В-777

4

12:42

700


При известном расстоянии до фиксированных точек, средней скорости движения ВС, а так же времени пролета ФТ, мы можем определить время пролета ВС ДПРМ. В результате получим следующие данные:

1. A-310:  = 12:25

. A-320:  = 12:27

3. Ту-154: = 12:28

. Ту-134: = 12:30

. Ил-62: = 12:45

. Ил-96:  = 12:47

. Ил-76:  = 12:49

. В-777:  = 12:51

На основе полученных данных начертим график прибытия, представляющий собой наклонные прямые линии, соединяющие фиксированные точки направлений прибытия с осью времени прибытия на ДПРМ.

ФТ1           ФТ2           ФТ3           ФТ4

220             200             160             110

Проанализировав полученные данные, мы видим, что в сложившейся обстановке (прогнозируемой) необходимо вмешательство диспетчеров для увеличения интервала прибытия на ДПРМ. Это можно осуществить тремя способами:

изменением скорости движения ВС;

изменением курса следования;

комбинацией этих способов.

В нашем случае проще всего произвести управление с помощью изменения скорости движения ВС.

Возможные диапазоны изменения скоростей: ВС 1,2 классов - 150-200 км/ч, 3 класса - 150 км/ч.

При расчетах используем формулу:


где Wср - средняя скорость ВС на участке длиной S.

Величина необходимой задержки ∆S может определяться в минутах или километрах. При этом для перевода минут в километры необходимо для ВС 3-го класса число минут умножить на 5, а для ВС 1,2 класса - на 7.

Рассмотрев рисунок № 2,мы видим, то конфликтуют следующие ВС:

. A-320 и Ту-154 проходят над ДПРМ с разницей в одну минуту, что не соответствует МВИ между тяжелыми ВС. Для предотвращения этой ситуации увеличим скорость A-320 до 750 км\ч, тогда (A-320)=12:26.

. После увеличения скорости A-320, возникает следующая конфликтная ситуация: A-320 и A-310 проходят над ДПРМ с разницей в одну минуту, что не соответствует МВИ между тяжелыми ВС. Для предотвращения этой ситуации увеличим скорость A-310 до 750 км\ч, тогда

 (A-310)=12:24

Тип ВС

№ ФТ

ТДПРМ

W ср

1

A-310

1

12:06

750

2

A-320

2

12:10

750

3

Ту-154

3

12:14

700

4

Ту-134

4

12:19

600

5

Ил-62

1

12:26

700

6

Ил-96

2

12:30

700

7

Ил-76

3

12:35

700

8

В-777

4

12:42

700


1. A-310:  = 12:24

. A-320: = 12:26

. Ту-154: = 12:28

4. Ту-134: = 12:30

. Ил-62: = 12:45

. Ил-96:  = 12:47

. Ил-76:  = 12:49

. В-777:  = 12:51

На основе новых данных начертим обновленный график прибытия.

ФТ1           ФТ2           ФТ3           ФТ4

220             200             160             110

Исходя из диспетчерского графика, видно, что все воздушные суда прибывают к ДПРМ без нарушения временных интервалов т.к.:

-      они имеют достаточные временные интервалы для исключения влияния турбулентного следа

-       турбулентный след средних и легких ВС не влияет на посадочные характеристики тяжелых ВС

Таким образом, вмешательство диспетчера не требуется в случаях, когда отклонения отсутствуют. воздушный поток интервал взлет посадка

ВЫВОД:

В результате расчетов данного раздела курсового проекта была получена зависимость пропускной способности ЗВП на вылет от интенсивности прилетающих ВС. Благодаря полученной зависимости, видно: чем больше интенсивность прилета, тем меньшее количество ВС в определенный отрезок времени может быть выпущено. В результате чего наблюдается необходимость поиска наиболее оптимального соотношения количества прилетающих ВС к вылетающим.

Так же была рассмотрена методика управления потоком поступающих в ЗВП прилетающих ВС с помощью диспетчерского графика, который позволяет прогнозировать возникновение КС за несколько минут до прибытия на ДПРМ. При наличии КС диспетчер дает команду на:

·      изменение скорости ВС с тем условием, что величина изменения скорости не должна превышать установленных значений;

·        увеличение продолжительности разворотов;

·        векторение

Применение метода изменения скоростей снижает нагрузку на диспетчера круга, так как ему не приходится создавать безопасные интервалы между ВС. Данная методика очень эффективна и применяется в те промежутки времени, когда планируется наиболее интенсивный прилет ВС.

РАЗДЕЛ 3. МЕТОДИКА ОРГАНИЗАЦИИ ПРОЦЕДУРНОГО УПРАВЛЕНИЯ ВРЕМЕНИ ВЗЛЕТА И ПОСАДКИ ВС В РАЙОНЕ АЭРОДРОМА

3.1 Управление временем взлета по таблице расчетных положений прилетающих ВС

Первый уровень информационного обеспечения диспетчера руления предполагает создание специальных таблиц, в которые вносятся статистические данные о прилетающих и вылетающих ВС. Целью сбора данных о процессах движения вылетающих ВС являются получение информации об их времени движения с регистрацией основных факторов, влияющих на это время. Полученная информация после обработки данных об интервалах времени выполнения элементов предварительных операций (запуск, буксировка и т.д.), заносятся в таблицы.

Таблица 3

Время движения вылетающих ВС по маневренной площади аэродрома

Тип ВС

Время буксировки (мин, с)

Время запуска (мин, с)

Время движения (мин, с)

Время занятости ВПП (мин, с)

МК взлета

Ил-62

5.40

4.00

2.00

2.00

20

Ан-24

-

3.20

4.00

1.20

20


Сбор исходных данных о процессах движения прилетающих ВС заключается в измерении пролета конкретных рубежей на установленных траекториях для каждого из направлений прибытия в РА с фиксацией основных факторов, влияющих на время движения ВС.

Таблица расчетных положений прилетающих ВС содержит значения удалений участков траекторий снижения, положение которых на траекториях прибытия зависит от сочетаний типов прилетающих и вылетающих ВС

Границы участков траекторий определяют следующие ситуации:

)      Более удаленная от ВПП (верхняя) граница определяет ситуацию прибытия прилетающего ВС к точке расчетной позиции в момент прибытия вылетающего ВС на ПС с последующим разрешением занимать ВПП и взлетать без нарушения интервала.

2)      Ближняя (нижняя) граница определяет ситуацию освобождения ВПП прилетающим ВС, в момент прибытия на ПС вылетающего ВС с последующим занятием ВПП для взлета.

Таблица 4

Значения удалений прилетающих ВС, влияющих на принятие решения на выпуск

Типы прилетающих ВС

Типы вылетающих ВС


Маршрут №1

Маршрут №2


1-я группа

2-я группа

1-я группа

2-я группа

1-я группа

60/85

32/50

50/75

20/32

2-я группа

52/66

30/40

41/56

17/25


Таблицу заполняют, учитывая, что средняя скорость движения самолетов 1-го, 2-го класса (1группа) в зоне подхода и ЗВП составит , а для ВС 3-го класса . Расчет производится по формуле:

- для верхней границы

- для нижней границы

3.2 Управление временем взлета по маркированным участкам положения прилетающих ВС

Целью методики является нанесение на экран индикатора ДРЛ, находящегося на рабочем месте ДПР, отметок, выделяющих участки траекторий снижения и захода на посадку. Отметки имеют верхние (дальние) и нижние (ближние) границы, полученные в предыдущем разделе.

В качестве схемы, нанесенной на экране ДРЛ используем карту STAP для аэропорта IRKUTSK (рис.4 схема нанесения маркированных участков положения прилетающих ВС в РА)

Методика управления временем взлета состоит в следующем:

Если в момент запроса на запуск (буксировку) нет отметок от ВС внутри соответствующих маркированных участков на индикаторе ДРЛ, то данному ВС гарантируется выполнение операции взлета без ожидания на ПС в интервал времени, когда ВПП не блокирована прилетающим ВС. Если хотя бы один участок (для соответствующих сочетаний прилетающих и вылетающих групп ВС) занят в момент запроса на запуск (буксировку), то диспетчер руления должен перенести команду на разрешения запуска на более позднее время (с учетом подходящих по другим направлениям ВС к своим маркированным участкам), либо сразу назначить ЭВС время взлета из расчета обеспечения бесконфликтной последовательности выполнения взлетно-посадочных операций. Время взлета может назначаться с учетом фактического положения прилетающего ВС в момент запроса на разрешение запуска (буксировки). Для этого диспетчеру необходимо оценить положение прилетающих ВС относительно маркированных участков и добавить соответствующие этому положению количество минут (для положения внутри маркированных участков). Количество добавленных минут может быть определено с учетом размера маркированного участка. Для справки у диспетчера в совокупности с индикатором ДРЛ и нанесенными на нем маркированными участками должна быть таблица нормативных интервалов для расчета назначаемого времени взлета вылетающими ВС.

.3 Управление временем взлета по положению прилетающих ВС относительно делений шкалы оставшегося времени пролета ДПРМ

Еще одна методика управления потоком вылетающих ВС (причем более эффективная) - это методика управления временем взлета по положению прилетающего ВС относительно шкалы оставшегося времени до пролета ДПРМ.

Суть ее состоит в том, что наряду с нанесением маркированных участков положения прилетающих ВС, на индикатор ДРЛ наносится шкала оставшегося времени движения прилетающих ВС с двойной оцифровкой.

-      первая оцифровка соответствует времени движения прилетающего ВС (в минутах) от текущего положения ВС до времени пролета ДПРМ. Одно деление - одна минута.

-       вторая оцифровка должна соответствовать оставшемуся расстоянию (в км.) до ДПРМ. Нанесение шкалы оставшегося времени производится на основе обработанной статистики о движении прилетающих ВС по траекториям движения и захода на посадку.

Построим график зависимости времени, оставшегося до посадки, от оставшегося расстояния до ДПРМ, объединяя все прилетающие ВС в две группы.

-я группа - ВС 1,2 класса со скоростью Wср=500км/ч;

-я группа - ВС 3 класса, Wср=350 км/ч.


Для простоты нанесения на схему шкалы оставшегося времени движения прилетающих ВС построим на основе рис.5 таблицу зависимости времени, оставшегося до пролета ДПРМ, от расстояния до ДПРМ. Эта зависимость носит линейный характер и определяется формулой:


Таблица 5

Зависимость времени, оставшегося до пролета ДПРМ, от расстояния до ДПРМ

Типы ВС

Число минут до ДПРМ


1

2

3

4

5

6

7

8

9

10

Sост (для ВС 1,2 кл.)

8,3

16,6

24,9

33,2

41,5

49,8

58,1

66,4

74,7

83,0

Sост (для ВС 3 кл)

5,8

11,6

17,4

23,2

29,0

34,8

40,6

46,4

52,2

58,0


Используя данные результаты на схеме, строим шкалу оставшегося времени движения до пролета ДПРМ (см. рис.). Применение этой шкалы позволяет диспетчеру руления быстрее ориентироваться в сложных ситуациях, когда на посадку заходят несколько ВС, прибывающих в различных направлениях. Нанесение шкалы времени дает возможность диспетчеру руления с помощью несложных вычислений в уме, выявить конфликты между прилетающими ВС, прогнозировать величины временных интервалов между последовательными посадками, а так же определять время последнего из данной группы прибывающих ВС с тем, чтобы назначить соответствующие интервалы запуска для вылетающих ВС.

Зависимость времени, оставшегося для посадки (пролета ДПРМ), от оставшегося расстояния до ДПРМ.

3.4 Управление временем взлета по графику расчетных интервалов блокировки ВПП

Более точное и качественное управление потоком вылетающих ВС можно осуществлять с помощью ведения специального графика выполнения взлетно-посадочных операций диспетчером руления.

Для ведения графика необходимо применение специального устройства, которое изготавливается применительно к каждому конкретному аэродрому и каждому рабочему направлению ВПП. Данное устройство содержит планшет с нанесенной на нем шкалой времени с вертикальными делениями через 1 минуту, и пластину из прозрачного материала со специальными прорезями, выполненными в соответствии с временными интервалами движения ВС данного типа или группы (размер А) от некоторой фиксированной точки (или нескольких) до освобождения ВПП после посадки (прохода после посадки РД, на которой на ПС находится вылетающее ВС). Конфигурация прорези представлена на рисунке №6.


РАЗМЕР А на трафарете соответствует времени, затрачиваемому прилетающим ВС соответствующей группы с момента пролета ФТ до момента освобождения ВПП после посадки. Но так как имеется не одна ФТ, а несколько, то размер А для каждой из них будет различный, потому что обычно фиксированные точки находятся на неодинаковых расстояниях от ДПРМ, и неодинаковое время полета ВС будет наблюдаться с момента пролета различных ФТ до освобождения ВПП после посадки. Поэтому на трафарете с левой стороны выполняется несколько прорезей; количество прорезей соответствует количеству ФТ. Удаление каждой из прорезей от правого края трафарета соответствует времени, которое затрачивает ВС данной группы при полете от соответствующей ФТ до освобождения ВПП (на рисунке прорези №1, 2, 3,4)

РАЗМЕР Б соответствует временному интервалу движения ВС от некоторой ФТ до момента блокировки ВПП.

РАЗМЕР В выполнен по длине пропорционально временному интервалу занятости ВПП прилетающим ВС данного типа (группы).

РАЗМЕР Д соответствует времени от начала запуска (буксировки) ВС данного типа до его прибытия на ПС. Так как верхняя часть трафарета соответствует вылетающему ВС, а нижняя - прилетающему, то отметим, что вследствие разности параметров движения ВС различных групп выполняется столько трафаретов, сколько групп рассматривается.

РАЗМЕР Е соответствует количеству минут, в течение которых вылетающее ВС будет занимать ВПП.

Порядок ведения графика выполнения взлетно-посадочных операций следующий:

1.     Диспетчер на рабочем месте ДПР, используя план ВД и прослушивая радиосвязь диспетчера подхода (круга) или ИКО ДРЛ, выявляет информацию о фактическом времени полета каждым прилетающим ВС фиксированной точки (ОПРС) конкретного маршрута.

2.      На пластине набирается прорезь, соответствующая типу (группе) прилетающего ВС и маршруту движения.

.        Левый конец выбранной на пластине прорези прикладывается на планшет так, чтобы он совпал на временной шкале планшета с временем пролета фиксированной точки маршрута прибытия. Тогда правый конец прорези укажет ожидаемое время освобождения ВПП, а длина правого выступа укажет время занятости ВПП этим ВС.

.        Прорезь прорисовывают карандашом на планшете (либо на прозрачной бумаге, наложенной на планшет), после чего пластина убирается и надписывается бортовой № ВС и маршрут прибытия.

.        В результате описанных в пунктах 1-5 действий на планшете образуется схема, на которой обозначают ожидаемые интервалы блокировки прилетающими ВС. Данная схема показывает диспетчеру интервалы времени, когда ВПП свободна и когда она блокирована для прилетающих ВС.

При запросе ЭВС вылетающего ВС разрешения на запуск (буксировку) диспетчер руления совмещает левый конец прорези (соответствующий типу вылетающего ВС и имеющий дополнительный допуск) с показанием текущего времени на шкале планшета (диспетчер может заранее определить время разрешения запуска, получив от диспетчера АДП информацию на вылет и проанализировав время блокировки ВПП всеми прибывающими ВС, уже вошедшими в РА). Тогда дополнительный выступ в прорези укажет ожидаемый интервал времени взлета этого ВС при условии немедленного разрешения ЭВС запуска (буксировки).

Данный метод позволяет заметить время ожидания ВС на ПС с работающими двигателями временем ожидания на МС с включенными двигателями.

Если на аэродроме применяются оба (руления с МС или буксировка до определенного места перед линией ПС), то на пластине сверху можно сделать два выступа, один из которых соответствует времени от запуска на стоянке до взлета, а второй - от времени начала буксировки к линии ПС (или от времени запуска на ПС) до взлета.

Для создания необходимо получить следующие данные.

Определим временные отрезки

·      Для ВС 1-ой группы с Wср=500км/ч:

Время от начала запуска до прибытия ВС на ПС:


Время блокировки ВПП вылетающим ВС:


Время блокировки ВПП прилетающим ВС:


Для зоны подхода аэродрома Иркутск:

 29 сек

·    Для ВС 2-ой группы с :

Время от начала запуска до прибытия ВС на ПС:


Время блокировки ВПП вылетающим ВС:

Время блокировки ВПП прилетающим ВС:


Для зоны подхода аэродрома Иркутск:


Определим возможность запуска Ан-24 и буксировки Ил-62 в момент пролета фиксированных точек, а также при пролете фиксированных точек за 3, 5, 7 минут до запроса запуска (буксировки). Полученные результаты занесем в таблицу 6.

Таблица 6

ВС, запрашивающее запуск

Прилетающее ВС

Момент пролета ФТ

Перенесенное время запуска (буксировки), с




ФТ1

ФТ2

ФТ3

ФТ4

Ан-24

Ан-24

во время

50

-

-

-



За 3 мин

-

-

-

40



За 5 мин

-

-

90

-

-

140

-

-

Ан-24

Ил-62

во время

-

-

210

100



За 3 мин

-

150

30

-



За 5 мин

-

30

-

-



За 7 мин

-

-

-

-

Ил-62

Ан-24

во время

180

-

-

-



За 3 мин

-

-

-

170



За 5 мин

-

-

220

50



За 7 мин

-

-

100

-

Ил-62

Ил-62

во время

100

-

-

230



За 3 мин

-

20

160

50



За 5 мин

-

160

40

-



За 7 мин

-

40

-

-

.5 Формирование очередности и интервалов посадки по шкале оставшегося времени движения прилетающих ВС

Для формирования очередности интервалов посадки по шкале оставшегося времени на ИКО диспетчера круга или на специально подготовленном планшете наносятся метки оставшегося для посадки (пролета ДПРМ) времени движения ВС.

Для подготовки планшета необходимо:

1. Из сборника аэронавигационной информации (ИПП) на плотный лист бумаги перенести траектории захода на посадку с одним из направлений работы ВПП (основным) с масштабом изображения на ИКО ДРЛ.

2.      На схему снижения нанести метки азимута и метки дальности соответствующие меткам ИВО диспетчера круга.

.        По расписанию движения ВС в данном аэропорту типы ВС с преобладающей интенсивностью движения.

.        В соответствии с зависимостью оставшегося времени до посадки (пролета ДПРМ) от расстояния на всех траекториях захода на посадку нанести метки времени оставшегося до пролета ДПРМ.

Полученная шкала оставшегося времени позволяет получить наглядную информацию о времени, которое осталось до посадки (пролете ДПРМ) ВС по одной из установленных траекторий.

Наличие минутных меток позволяет облегчить прогнозирование воздушной обстановки на несколько минут вперед, своевременное обнаружение возможного конфликта его предотвращение.

При обнаружении потенциального конфликта заблаговременно принимается решение, какое из конфликтующих ВС и на сколько следует задержать. Если для захода на посадку в районе 4-го разворота первым выходит менее скоростное ВС, необходимо учесть расстояние, на которое догонит более скоростное ВС менее скоростное ВС за период нахождения на прямой по разнице их скоростей, и это расстояние добавить к минимальному интервалу захода на посадку.

Применение шкалы оставшегося времени целесообразно в аэропортах, не оборудованных АС УВД, при средней и высокой ИВД при наличии 2-х и более траекторий захода на посадку с различных направлений.

ЗАКЛЮЧЕНИЕ:

Постоянное обеспечение безопасности на воздушном транспорте непосредственным образом сказывается на экономичности использования воздушного пространства и на экологии окружающей среды. Для поддержания необходимого качественного уровня безопасности, экономичности и экологии нужно использовать воздушное пространство наиболее эффективно. С этой целью необходимо поддерживать равенство интенсивности потока ВС с пропускной способностью аэродрома, т.е. эффективно обслуживать прилетающие и вылетающие ВС, без ущерба безопасности.

Основным способом эффективного обслуживания ВС является управление временем взлета и посадки ВС.

Способ управления временем взлета заключается: сначала определяется возможность разрешения запрашиваемому ВС запуска или буксировки с последующим взлетом перед или после посадки прилетающего ВС в зависимости от удаления последнего, а затем, при необходимости, диспетчером назначается время взлета по таблице нормативных интервалов для расчета времени взлета вылетающему ВС. Преимущество данной методики в том, что она существенно снижает выработку топлива ВС при ожидании времени взлета. Если бы данная методика не применялась, то ВС пришлось ожидать, пока прилетающее ВС произведет посадку и освободит ВПП, что сопровождается непрерывной работой двигателей и значительным расходом топлива, кроме того, и увеличением уровня загрязненности окружающей среды.

Наряду с этой методикой определения времени взлета существует еще одна: с использованием временного планшета и пластины. Данный метод, как и первый, высокоэффективен и достаточно прост в применении, так как не требует от диспетчера существенных умственных усилий. Применение этого метода так же способствует экономии топлива и ресурса двигателей ВС.

Изменение времени пролета ДПРМ (просадки) применяется для предотвращения конфликтных ситуаций, связанных с нарушением установленного интервала на прямой. Это способствует разгрузке диспетчера круга в периоды наиболее интенсивного потока прилета как с одного направления, так и с нескольких сразу, хотя и огранивается наличием возможных диапазонов изменения скоростей в зависимости от типов ВС. Разгрузка диспетчера заключается в возможности не создавать безопасные интервалы между ВС, путем изменения траектории полета («затягивание» 3-го разворота, изменение курса следования, векторением). Важным преимуществом данного метода является не только безопасность воздушного движения и разгрузка диспетчера, но и экономия топлива, что весьма немаловажно в наше время.

СПИСОК ИСПОЛЬЗОВАННОЙ ЛИТЕРАТУРЫ

1. ФАП ОрВД №293 от 25.11.2011

2.      Казаков В.А., Артеменко И.А.. Методические указания по выполнению курсового проекта на тему: «Анализ методов управления потоками вылетающих и прилетающих ВС и их влияние на пропускную способность ВВП и ЗВП». - У: УВАУ ГА 2007 г.

.        Алешин В.А. Методические рекомендации по организации управления потоками прилетающих и вылетающих воздушных судов в районе аэродрома / В.А. Алешин, Н.В. Бабаев, Г.А. Крыжановский и др. - М.: Воздушный транспорт, 1993.

.        Конспект лекций по учебной дисциплине «Организация системы УВД»

Похожие работы на - Анализ методов управления потоками вылетающих и прилетающих воздушных судов и их влияние на пропускную способность ВВП и ЗВП

 

Не нашли материал для своей работы?
Поможем написать уникальную работу
Без плагиата!
Без нейросетей!