Взаимодействие между белками и полиэлектролитами в водных растворах
САНКТ-ПЕТЕРБУРГСКИЙ
ГОСУДАРСТВЕННЫЙ УНИВЕРСИТЕТ
Химический
факультет
Кафедра
коллоидной химии
ВЗАИМОДЕЙСТВИЕ
МЕЖДУ БЕЛКАМИ И ПОЛИЭЛЕКТРОЛИТАМИ В ВОДНЫХ РАСТВОРАХ
Курсовая
работа по дисциплине «Физическая химия»
Содержание
Введение
. Общие представления
. Связь со структурой
компонентов
3. Начало комплексообразования
4. Коацервация комплексов
.1 Теоретическое описание
коацервации комплексов
.2 Структура коацерватной фазы
. Термодинамика образования новой
фазы
. Связывание белка с линейными полиэлектролитами
и со сферическими полиэлектролитными щётками
. Основные методы исследования
коацерватов
Выводы
Список литературы
Введение
Белки широко распространены в живой природе. В
ней они не изолированы от остальных компонентов живой материи, и функционируют
в составе тех или иных надмолекулярных структур, которые являются основой
молекулярной организации биологических систем. Надмолекулярные ансамбли играют
важную роль во многих биохимических процессах. В состав таких структур входят
вещества различной природы, многие из которых образуют комплексы с белками.
Данные комплексы стабилизированы за счёт электростатических и гидрофобных
взаимодействий.
Белок-полиэлектролитные комплексы представляют
собой продукт электростатического взаимодействия между макроионами
полиэлектролитов и противоположно заряженными глобулярными белками. Когда в
водном растворе взаимодействие между двумя такими комплексами становится
сильнее, чем между одним комплексом и молекулами растворителя, происходит
гидрофобное связывание комплексных частиц. При этом наблюдается явление
коацервации - разделения раствора макромолекул на две несмешивающиеся жидкие
фазы.
Коацервация используется в различных областях:
пищевой, косметической, фармацевтической, а также в медицине, в частности, при иммобилизации
ферментов, доставке антигенов, проектировании и производстве биоматериалов,
очистке белков. Для качественного проведения этих процессов необходимо полное
понимание соответствующих механизмов. Коацервация, рассматриваемая в данной
работе, является их важной стадией.
.
Общие представления
Система, состоящая из белков и полиэлектролитов,
определяется характером их взаимодействия. На данном рисунке представлены
крайние случаи результата такого взаимодействия в водных растворах:
Рис.1. Основные направления поведения системы
при смешении белков с полиэлектролитами (на примете полисахаридов).
Раствор, изображенный в центре, содержит взаимно
растворимые биополимеры, которые не взаимодействуют друг с другом. Невзаимодействующие
биополимеры могут и не быть взаимно растворимыми, тогда они называются
несовместимыми, при их смешении образуется двухфазная система. Это явление
называется сегрегацией. Третий вариант поведения системы - это фазовое
разделение вследствие взаимодействия между полимерами, при котором происходит
образование комплексов.
Изучение белок-полиэлектролитных комплексов
проводилось по статьям, в которых вводится ряд ограничений, связанных со
структурой белков и полиэлектролитов. Под полиэлектролитами здесь понимаются
гидрофильные соединения, а так же нерастворимые в воде иониты и содержащие
гидрофобные группы дифилы. Рассматриваются только полиэлектролиты с гибкими
цепями, исключаются уникальные жесткие нуклеиновые кислоты. Белки представлены
только глобулярными видами, потому что у них четко определена третичная
структура, которая отражает их роль в биосинтезе, регуляции, транспорте и
хранении. Таким образом, исключаются нерастворимые в воде фибриллярные
(волокнистые) белки [1].
Глобулярные белки растворяются в водных
растворах с образованием коллоидных систем. Примерами таких белков являются
альбумин, основная составная часть белка куриного яйца; глобин, белковый
компонент гемоглобина и многие другие.
Общий заряд белка определяется боковыми группами
аминокислот, которые могут быть как положительно или отрицательно заряженными,
так и нейтральными. Биполярная структура α-аминокислот,
из которых состоит белок, является следствием взаимодействия между аминогруппой
и карбоксильной группой:
Таким образом, кислотно-основное
равновесие для α-аминокислот
может быть описано следующим выражением:
аммонийная соль pKа1
цвиттер-ион
аминокарбоксилат pKа2
Для каждой α-аминокислоты
есть своё определённое значение pH,
при котором цвиттер-ион преобладает в равновесии с карбоксилатом и аммонийной
солью. Это значение называется точкой нулевого заряда (ТНЗ), обозначается через
pI и определяется соотношением:

.
Несмотря на то, что в каждой
молекуле белка имеется как минимум по одной концевой α-амино и α-карбоксильной
группе, их количество не достаточно для какого-либо вклада в суммарный заряд
поверхности белка. В отличие от свободных аминокислот кислотно-основные
свойства белков обусловлены не α-амино- и α-карбоксигруппами,
занятыми в образовании пептидных связей, а заряженными радикалами
аминокислотных остатков. Например, основные свойства белков могут быть обусловлены
остатками таких аминокислот, как аргинин(Arg), лизин (Lys) и гистидин
(His). Кислые
свойства могут возникать из-за присутствия остатков аспарагиновой (Asp) и
глутаминовой кислот (Glu):
Lys Arg His Asp
Glu
В точке нулевого заряда белок
приобретает суммарный нулевой заряд. Растворимость белка в воде в таких
условиях минимальна, Сумма положительных зарядов на белковой молекуле равна
сумме отрицательных зарядов, поэтому, будучи помещенной в электрическое поле,
такая молекула не двигается. Общий заряд белка при pH ниже ТНЗ является
положительным. При pH выше изоэлектрической точки общий заряд белка - отрицательный.
Макромолекулы белков и
полиэлектролитов образуют комплексы преимущественно за счёт электростатических
сил. Ионогенные группы, входящие в состав макромолекулярной цепи
полиэлектролитов, диссоциируют в полярных средах с образованием заряженных
звеньев на полимерной цепи и низкомолекулярных противоионов. Между разноименно
заряженными звеньями белков и полиэлектролитов возникает электростатическое
притяжение, вследствие чего формируются полиионные пары, которые называют
полиэлектролитными (или интерполимерными) комплексами [2].
Возможны различные подходы к
классификации полиэлектролитных комплексов (ПЭК).
В соответствии с природой
участвующих в образовании ПЭК полиионов различают комплексы на основе полимеров
природного и синтетического происхождения, а также ПЭК смешанного типа:
полусинтетические системы, природные (но не родственные, без биологической
связи) системы, родственные системы. Первые системы представляют интерес с
точки зрения исследований и технологий, природные системы - косметологии и
пищевой промышленности, родственные - с точки зрения биологического описания
систем [1].
По составу полиэлектролитные
комплексы подразделяют на стехиометрические (СПЭК) и нестехиометрические
(НПЭК). Последние можно приготовить при прямом смешивание водных растворов
противоположно заряженных полимерных компонентов, взятых в неэквимолярном (по
зарядам) соотношении, в той области pH, где оба
существуют в заряженном состоянии [3].
Также комплексы можно
классифицировать по силе образующих их полиэлектролитов. В зависимости от
условий ПЭК по своему физическому состоянию могут быть растворимыми или
нерастворимыми. Растворимый комплекс сильно гидратирован. В зависимости от
микроскопичной стехиометрии (числа глобул в цепи полиэлектролита) 5-15%
гидродинамического объёма комплекса может приходиться на белок [1].
Полный заряд интерполимерного
комплекса представляет собой сумму зарядов всех белков, связанных с одним
полиэлектролитом, и заряда полиэлектролита. Когда заряд ПЭК близится к нулю,
его взаимодействие с противоионами уменьшается, начинает преобладать
гидрофобное взаимодействие, и интраполимерные комплексы объединяются в менее
гидратированную форму, которая называется коацерватной. В результате
коалесценции образовавшиеся коацерватные капли объединяются, вследствие чего происходит
жидко-жидкостное фазовое разделение. В условиях полной взаимодополняемостии
сильных взаимодействий между компонентами может происходить также
итвердо-жидкостное фазовое разделение, которое называется осаждением [1].
Образование ПЭК и изменение его
состава является обратимым процессом, который зависит от ряда факторов, таких
как природа полиэлектролита, его молекулярная масса, ионная сила и значение pH раствора.
Эти факторы, а также последовательность смешения компонентов регулируют
формирование растворимых и нерастворимых, стехиометрических и
нестехиометрических ПЭК.
коацерват белок полиэлектролит
.
Связь со структурой компонентов
Способность предсказывать все физико-химические
свойства комплексов по химической структуре образующих их единиц является целью
исследований комплексных систем. Для их детального описания необходимы
следующие параметры:
. Глобальные (соответствующие масштабу
10-1000 нм) структурные параметры. Это число белков в полимерной цепи, размер
интерполимерного комплекса, число первичных комплексов в агрегате
. Локальные (соответствующие масштабу
0,5-10 нм) структурные особенности. Это локальное расположение полимерных
сегментов в их связанном состоянии, области активности на белковой поверхности
при образовании связи (таким образом, происходит отклонение от понятия
равномерного вовлечения белков в связь)
. Условия, необходимые для изменения
заряда поверхности белка
. Потенциал ионизации полиэлектролита и
энергия сольватации
. Возможность образования комплекса с
точки зрения термодинамики
. Электростатические данные: сдвиг pK
под действием внешних условий
Реально исследователи владеют только знанием
массового числа полиэлектролита, плотности заряда, жесткости цепи, структуры
белка, концентрации компонентов и параметров раствора (pH,
ионной силы, температуры), поэтому удается оценить следующее:
. Фазовое состояние системы
. Концентрация белков и полиэлектролитов,
определяющая их свободное и связанное состояние
. Молекулярный вес интерполимерного
комплекса
. Степень агрегации (число первичных
комплексов в агрегате)
. Электрофоретическая подвижность
. Природа белок-связывающих центров на
полимере, и полимер-связывающих центров на белке.
Целью раздела является показать, как далеко
исследователи находятся от полного понимания данных систем ввиду ограниченности
параметров, которые могут быть реально получены, и как они справляются с этой
задачей. Ниже приведены основные структурные параметры, позволяющие проводить
характеристику комплексов.
Гидрофобный эффект
Полимеры, являющиеся дифилами, могут специфично
гидрофобно взаимодействовать с белками. Предполагается, что гидрофобное
взаимодействие не вносит значительный вклад в образовании связи, несмотря на
то, что все белки содержат гидрофобные группы, а многие полимеры имеют
гидрофобный скелет. Это связано с дальним действием электростатических сил,
возникающих при гидратации [1].
Вклад гидрофобных взаимодействий оценивается
разными авторами в различной степени. Он становятся значимее при повышении
концентрации соли в водном растворе (для осуществления этого эффекта
концентрация соли должна быть больше 0,5 М). При высокой ионной силе ионы солей
забирают гидратную оболочку у молекул белка, что приводит к их агрегации.
Возможно даже выпадение белка в осадок, это явление называется высаливанием. Также
гидрофобные взаимодействия напрямую зависят от энтропии системы. Они могут быть
оценены по систематическим различиям структуры полимера и по термодинамическим
данным для ΔS и ΔH
[1].
Жёсткость цепи - теория и моделирование
Начиная с 1996 года, проводится интенсивное
изучение моделей взаимодействия полиэлектролитов с противоположно заряженными
сферами, многие из которых включали эффекты жёсткости цепи.
В одной из ранних моделей сферы с диаметром в 3
нм с зарядом поверхности +20 рассматривались взаимодействующими с отрезком
полиэлектролитной цепи длиной в 16 нм, которая содержала 40 «шариков» размером
в 0,4 нм и с зарядом -1.
Чаще встречается значение lp0
=
2-5 нм. Моментальные снимки молекулярных состояний в рамках данной модели
показывают, что только половина шариков полиэлектролита находится в контакте со
сферой, остальные же располагаются в небольших петлях цепи, имеющих амплитуду
1-2 нм относительно сферической поверхности.
Когда lp0
больше 6 нм, контакт между сферической поверхностью и шариками уменьшается на
15-25%. Несмотря на ограниченность этой модели (короткие цепи ПЭ, не
учитываются низкомолекулярные ионы), она обеспечивает правильное представление
локального расположения частей ПЭ в связанном состоянии.
В одной из существующих аналогичных моделей,
предполагается двукратное снижения заряда на поверхности белка и более
реалистичный диапазон lp0
- от 1 до 15 нм. Она сконцентрирована на микростехиометрии комплекса и последовательности
зарядовых состояний. Для жёстких цепей только 4-5 сегментов-шариков могут быть
в контакте со сферой, в то время как в гибкой цепи реагирующие сферы имеют
возможность контактировать с семью - двенадцатью полимерными шариками.
Также существует модель, в которой сфера с
диаметром 7 нм и с поверхностной плотностью заряда σ=0,1
см-1 взаимодействует с одной сотней полиэлектролитных сегментов
длиной 0,7 нм при ионной силе I=
0-1 М. Данная модель рассматривает влияние ионной силы и жесткости цепи на образование
комплексов. При высокой ионной силе гибкие цепи не препятствуют образованию
связи, в цепях образуются кисти и петли. Этот эффект изображён на рис2, где
жёсткость цепи выражается через Kang,
Kang-
жёсткостная характеристика цепи [1].
Рис.2. Равномерные молекулярные структуры
полугибких полиэлектролит-белковых комплексов в зависимости от концентрации
соли в растворе (Ci,
M) и жёсткости цепи
(Kang).
Неоднородный заряд на поверхности глобулярных
белков
Роль неоднородного заряда на поверхности белка
становится очевидной по связыванию «на обратной стороне pI» (особенно
наблюдается при I< 100 mM),
то есть в той области pH,
в которой суммарный заряд белка имеет один знак с зарядом полиэлектролита.
Такое связывание осуществляется отдельными участками на поверхности белка,
заряд которых противоположен по знаку суммарному заряду белковой поверхности. В
одном из нескольких исследований белков с зарядовой неоднородностью последние
рассматриваются как простые диполи с соответствующим центром масс отрицательных
и положительных зарядов [1].
Последовательность зарядов полиэлектролита
Гибкие цепи полиэлектролитов природного
происхождения обычно являются карбоксилатами или сульфатированными
полисахаридами. При их биосинтезе, в отличие от нуклеионовых кислот и белков,
включающих шаблонную транскрипцию, происходит пост-полимеризация ферментативно
контролируемого изменения. Бактериальные экзополисахариды, полисахариды морских
водорослей, фруктовые пектины в частности отображают последовательность зарядов
в полиэлектролитной цепи. Данные зарядовые модели могут быть названы
«случайными, но генетически контролируемыми». По степени их биологического
взаимодействия с белками, такие зарядовые модели имеют различную значимость.
Последовательность расположения зарядовых групп синтетических полиэлектролитов
имеет большое значение для их расширенного связывания с белками [1].
.
Начало комплексообразования
Белок является полиамфолитом, поэтому в
зависимости от pH
среды, он имеет суммарный положительный или суммарный отрицательный заряд на
своей поверхности, который равен нулю только в точке нулевого заряда.
В существующих моделях белок-полиэлекролитных
взаимодействий образование комплекса рассматривается как адсорбция
полиэлектролита на неоднородно заряженной поверхности белка. Связь
полиэлектролита с такой поверхностью должна возрастать с увеличением плотности
заряда поверхности σ, заряда в
повторяющемся узле полимерной цепи q
(линейная плотность заряда ξ),
и уменьшаться при увеличении ионной силы. Существует некоторое критическое
значение поверхностной плотности заряда σс,
которое определяет возможность образования комплекса, что описывается
уравнением:
σcξ=κ
где κ
- параметр Дебая-Хюккеля. Это коэффициент пропорциональности, который зависит от
ионной силы, κ ̴
I1/2 [4].
Критическое значение заряда белка, необходимое
для образования комплекса, линейно зависит от квадратного корня из ионной силы
(I1/2), коэффициент пропорциональности между ними является функцией
параметров цепи полиэлектролита: жёсткости, плотности заряда. Эта линейность
остается непрерывной и после перехода через нулевой заряд белка, где
критическое значение заряда находится на «обратной стороне» точки нулевого
заряда. Таким образом, начало связывания также возможно в области, где
глобальный заряд белка имеет один и тот же знак с полиэлектролитом [4].
Неоднородный заряд, определяющий взаимодействие
на поверхности Zeff, будет отличаться от общего заряда поверхности
Z. Таким образом, главную роль в характере связывания полиэлектролита при
различной ионной силе играет неоднородность распределения заряда на поверхности
белка. Так, например, полианион может связываться с положительными областями в
целом глобулярного отрицательного белка.
Высокая ионная сила I
ведет к растворению комплекса, потому что при её возрастании все большее
количество гидратированных неорганических ионов связывается с поверхностью
белка и тем самым уменьшается степень его агрегации. Значение pH,
при котором комплекс растворяется, называется критическим pHс.
Образование полиэлектролит-белковых систем
обычно включает ряд последовательных состояний:
. индивидуальные молекулы в несвязанном
состоянии
. первичный интраполимерный комплекс (ПЭК),
радиус комплексов 15-30 нм
. интерполимерные комплексы (растворимые агрегаты),
радиус комплексов от 50нм
. коацерваты.
В зависимости от избытка заряженных
взаимодействующих групп (как минимум, трехкратного), образуются различные
первичные комплексы. Их общий вид на примере бычьего сывороточного альбумина
(БСА) и катионов 4-винилпиридина (ПЭВП) представлен на рис.3 [3]:
Рис. 3. Схематическое представление структуры
водорастворимых белок-полиэлектролитных комплексов.
.
Коацервация комплексов
Коацервация комплексов является частным случаем
коацервации. В общем случае под коацервацией понимают разделение раствора
макромолекул на две жидкие фазы, которое происходит в суспензии с коллоидными
частицами одного типа, и определяется оно мерой взаимодействия между данными
частицами.
Комплексная коацервация между белками и
полисахаридами была открыта в 1911 году Тайбэкком. При смешении желатина и
гуммиарабика в растворе уксусной кислоты он наблюдал явления опалесценции или
осаждения. Далее фазовое разделение данной системы широко изучалось Бунгенбергом
и Крюйтом в 1920-х и 1940-х годах, которые и ввели в науку термин
«коацервация». Слово «коацервация» происходит от латинского слова «acervus»
(означает: агрегации, кучи) и приставки «co»,
что значит «вместе». Таким образом, коацервация обозначает объединение
коллоидных частиц.
.
Рис.4. Микроскопическое изображение явления
комплексной коацервации
На рис.4. представлена коацервация системы BSA/GA
(бычий сывороточный альбумин/гуммиарабик). Коацерватные капли частично расположены
на поверхности предметного стекла и объединены друг с другом [Bungenberg de
Jong and Kruyt, 1929].
Комплексная коацервация состоит из двух
последовательных этапов: 1) образование комплекса между двумя противоположно
заряженными коллоидами, 2) их фазовое разделение на две жидкие фазы, каждая из
которых содержит данный комплекс, однако одна фаза обогащена им, а другая,
напротив, обеднена. Плотная жидкая фаза, обогащенная макромолекулами,
называется коацерватом.
Тенденция к коацервации достигает максимума,
когда отношение противоположных зарядов макроионов пропорционально единице, что
соответствует полной нейтрализации комплекса. Для белков, например, постепенное
изменение pH позволяет
им начинать нейтрализовать заряд на полимере, потому что увеличение заряда
белка увеличивает и его связывание с полиэлектролитом. Таким образом, заряд
комплекса может приблизиться к нейтральному значению. Это способствует более
высокой ассоциации, и, итого, фазовому разделению. Значение pH,
при котором начинают формироваться коацерватные капли обозначается через pHφ
[5].
Как отмечалось, критические условия адсорбции
полиэлектролита, следовательно, и коацервации определяются значением ионной
силы. Увеличение ионной силы приводит к сопутствующему увеличению конденсации
низкомолекулярных противоионов на поверхности биополимеров. Поэтому можно
ожидать монотонную зависимость pHφот
ионной силы раствора. Однако для некоторых комплексов обнаружена немонотонная
зависимость pHφот
I: при добавлении и
соли, и воды в систему BSA/PDADMAC (бычий сывороточный альбумин/
полидиаллилдиметилхлорид аммония) наблюдалось как образование коацерватной
фазы, так и её разрушение. Это явление объясняется анизотропией заряда на
поверхности белка. pH и I самостоятельно определяют локальное белок-полиэлектролитическое
сродство, которое управляется количеством связей единичной цепи полиэлектролита
с поверхностью белка [5].
Стехиометрия коллоидных систем определяется
числом полимеров в связанном и свободном состояниях. Разделение системы на две
жидкие фазы происходит при суммарном вкладе всех ионных частиц, присутствующих
в растворе, что приводит к формированию нейтральных агрегатов. При высокой
плотности заряда полиэлектролита, особенно в отсутствии соли, без конденсации
противоионов, заряд нейтрализации определяется объёмной стехиометрией, когда
отношение полных зарядов ([+]/[−]bulk) равно единице [5]. Это
отношение является базисом коллоидного титрования. Даже в присутствии соли,
изотермическое связывание обеспечивается числом белковых связей с одной цепью полиэлектролита,
которое растет до насыщения [5].
Процесс фазового разделения может быть усилен за
счёт внешних воздействий, таких как температура и сдвиговые течения. Под
сдвиговыми понимаются течения жидкости, скорость которых имеет во всех точках
одно и то же (или хотя бы примерно одно и то же) направление, но по величине
меняется в направлении, перпендикулярном направлению течения. При этом фазовое
разделение происходит при температурах близких, но лежащих чуть ниже, чем
температуры стандартного фазового разделения. После достижения критического
диапазона температур и/или достижения определенной скорости сдвигового течения,
в дисперсной среде происходит «разжижение» в сочетании с фазовым переходом.
Рис.5. Схематическое представление фазового
разделения коацервата системы PDADMAC/TX100-SDS индуцированное (1) сдвиговым
течением и (2) температурой.
По рисунку 5 видно, что оба процесса включают
потерю противоионов в результате увеличения белок-полиэлектолитных взаимодействий.
В результате сдвигового течения происходит преобразование комплекса с
увеличением длины полиэлектролитных цепей. Данные расширенные цепи увеличивают
интеркомплексные взаимодействия, способствующие «выселению» низкомолекулярных
ионов из комплексов [5].
.1 Теоретическое описание комплексной
коацервации
Бунгенберг де Йонг (1929 и 1949)
Первое объяснение явления коацервации было дано
Бунгенберг де Йонгом и Крюйтом в 1929 году. Оно основывалось на теории
устойчивости гидрофильных коллоидов, которая характеризовалась двумя факторами:
плотностью электрического заряда и гидратацией. Коацервация должна была
происходить как следствие удаления этих двух факторов, обеспечивающих
стабильность первичного комплекса. В данной модели при дегидратации происходит
уменьшение (3) слоя растворителя («сольватной мантии») вокруг (1) коллоидных
частиц до (2) некоторого значения, в результате чего образуется (4)
коацерватная форма:
Рис.6. Модель комплексной коацервации Бунгенберг
де Йонга.
Таким образом, при фазовом разделении
«жидкость-жидкость» одна из фаз представляет собой раствор высокомолекулярного
вещества в растворителе, а другая - растворителя в высокомолекулярном веществе.
Данное объяснение предлагалось для простой
коацервации, но когда коацервация происходила вследствие уменьшения суммарного
заряда (коацервация комплекса), учёным потребовались другие представления для
её описания. Такие представления были даны Бунгенбергом в 1949 году на основе
большого количества экспериментальных данных по системе желатин/гуммиарабик. В
данной системе компоненты взаимодействовали с образованием комплекса, и на
основе экспериментальных данных было показано, что коацервация является
следствием электростатического взаимодействия.
Ворн-Овербек (1957)
Основываясь на экспериментальных данных
Бунгенберга, Ворн и Овербек разработали первую количественную теорию
коацервации комплексов высокомолекулярных соединений, в которой рассматривались
спонтанные явления в системе желатин / гуммиарабик. Они истолковали коацервацию
как процесс, происходящий в результате действия двух противоположно
направленных сил: электростатических сил, стремящихся «собрать заряженные
молекулы вместе», и энтропийного фактора, стремящегося увеличить дисперсность
системы. Соединяясь вместе с образованием новой фазы, противоположно заряженные
молекулы захватывают с собой молекулы растворителя. Присутствие растворителя в
коацервате способствует возрастанию энтропии системы, так как благодаря нему
возможны различные перестановки молекул. Поэтому коацерваты по своей природе
являются жидкостями, и процесс коацервации является полностью обратимым.
Данная теория основана на следующих допущениях:
. Полимерные молекулы имеют произвольную
конфигурацию цепи
. Взаимодействия растворитель - растворенное
вещество незначительны
. Заряды могут свободно перемещаться по
системе
. Не учитываются специфические
взаимодействия между молекулами
Теоретическое объяснение коацервации комплексов
основывалась на уравнение Дебая-Хюккеля для описания электростатических
взаимодействий и на теории Флори-Хаггинса для описания энтропии.
Предельный закон теории Дебая-Хюккеля в первом
приближении (учитываются только кулоновские силы притяжения) имеет вид:
где γ±
- средний ионный коэффициент активности, zi-
заряд i-го иона, А -
параметр, зависящий от температуры, I
- ионная сила. Таким образом, данная теория выявляет зависимость активности
присутствующих в растворе ионов от ионной силой этого раствора.
Теория растворов Флори-Хаггинса описывает
фазовые превращения полимеров. Формула Флори-Хаггинса для конфигурационной
энтропии макромолекулярного раствора имеет вид:
ΔSконф=
ΔSдезор
+ ΔSсмеш.
ΔSдезор
- энтропия дезориентации, возникающая из-за случайной ориентации
последовательных сегментов в отдельных полимерных молекулах. Термодинамические
свойства раствора выражаются через энтропию смешения ΔSсмеш:
ΔSсмеш
= -k{Nsln(Ns/N)
+ Npln(nNp/N)}
k - постоянная Больцмана, Ns-
количество молекул растворителя, в которых находятся Np
молекул
полимера. Каждая молекула полимера состоит из n
сегментов.
По этой теории критическое условие коацервации
между двумя полиионами выражается неравенством σ3r
≥
0.53, где σ- плотность заряда,
r - молярная масса.
Модель также распространяется на трёх- и
четырёхкомпонентные системы. Учёные объяснили, что подавление коацервации при
увеличении концентрации соли в растворе возникает за счёт увеличения
растворимости полиионов, следовательно, уменьшения их количества в коацервате,
а также за счёт экранирования противоионами заряда поверхности.
Вэйс -Араньи (1960-1970)
Вэйс и Араньи разработали теорию для систем,
подчиняющихся условию σ3r<
0.53, т.е. для тех случаев, когда теория Ворна - Овербека неприменима.
По данной теории коацервация рассматривается как
двухступенчатый неспонтанный процесс. На первом шаге под действием
электростатических сил происходит образование нейтрального агрегата с низкой
энтропией, и затем, эти агрегаты медленно перестраиваются в форму коацервата.
Движущей силой данного процесса является результирующее значение энтропии за
счёт образования случайно смешанной коацерватной фазы.
Считается, что молекулы не распределены случайно
в обеих фазах. Вэйс рассматривал присутствие в системах симметричных агрегатов,
которые могли различаться длиной цепи и избыточной зарядовой плотностью.
Смешение полиионов различных концентраций приводило к двум различным системам.
Одна из них содержала симметричные агрегаты в обеих фазах в разном количестве;
другая - только в разбавленной фазе, оставляя коацерватную фазу случайно
смешанной. Электростатический параметр модели Ворна - Овербека сохраняется как
функция концентрации и зарядовой плотности полимера.
Различие между двумя теориями заключается в том,
что они описывают коацервацию при различных условиях: теория Ворна-Овербека
основана на спонтанной коацервации в системе желатин / гуммиарабик, в то время
как теория Вэйса - Араньи - на индуцированной температурой коацервации системы
двух разноименно заряженных полиэлектролитов.
В образующейся коацерватной фазе проводят
различие между коацерватом и коацерватной суспензией. Структуры, размер которых
меньше одного микрометра относят к коацерватам, а структуры с большими
размерами - к суспензиям [5].
Микроструктура коацерватов
Последние исследования коацерватных комплексов BSA/PDADMAC
обнаружили существование неоднородных областей в их структуре в масштабе одного
нанометра. Было предложено, что данные неоднородности возникают из-за
электростатического взаимодействия между белком и полиэлектролитом, которые
вызываются либо дисперсией микрофазы, содержащей отличающиеся по плотности
регионы, либо нескомпенсированными зарядами в комплексе [5].
Микроструктура коацерватных суспензий
При изучении коацерватов BLG/GA
(β-лактоглобулин/гуммиарабик)
было обнаружено, что они состоят либо из отдельных сферических пористых частиц,
либо из пена-подобных структур с размером 1-30 микрометров. Несмотря на то, что
на структуры не было оказано каких-либо физико-химических воздействий
(добавление соли, дегидратация), они изменялись со временем. Поэтому данное
явление относят к частичной коалесценции коацервата, когда протекает процесс
слияния капель под действием ванн-дер-ваальсовых сил. Это и приводит к задержке
растворителя внутри капли [5].
.
Термодинамика образования новой фазы
Образование коацерватов - это характерное
явление расслоения растворов высокомолекулярных соединений. Это частный случай
образования лиофильных коллоидных систем.
Возникновение частиц дисперсной фазы приводит к
увеличению свободной энергии Гельмгольца ΔF
= σΔs
системы за счёт увеличения площади межфазной поверхности Δs.
В то же время образующиеся частицы дисперсной фазы включаются в самостоятельное
броуновское движение, что приводит к росту энтропии системы ΔS
и уменьшению свободной энергии на величину TΔS.
Поэтому сравнение энтропии коллоидных систем с поверхностной энергией частиц
определяет возможность образования дисперсной фазы.
В системе, содержащей Npчастиц
(или N1
= Np/NA
молей частиц) в N2
молях растворителя, увеличение энтропии при образовании дисперсной фазы даётся
уравнением:
В реальной коллоидной системе число частиц
дисперсной фазы много меньше числа частиц растворителя, т.е. N1/N2<<
1. Таким образом, при учёте что ln(1
+ N1/N2)
≈ N1/N2,
выражение для ΔS
примет вид
Общее изменение свободной энергии при
образовании дисперсной системы с Np
сферическими частицами дисперсной фазы радиусом r
имеет вид:
Образование коллоидной системы может происходить
самопроизвольно, когда оно является термодинамически выгодным. Это возможно,
если уменьшение энергии Гельмгольца за счёт энтропийного фактора будет по
модулю большей величиной, чем её увеличение за счёт развития новой поверхности.
Таким образом, условие самопроизвольного диспергирования имеет вид:
поверхностное натяжение не должно превышать
некоторого критического значения σс:
σс зависит
от размера и концентрации образующихся частиц дисперсной фазы.
Термодинамически устойчивые системы называют
лиофильными коллоидными системами. Для лиофильных систем характерно равномерное
распределение частиц по размерам. Также существуют термодинамически
неустойчивые лиофобные дисперсные системы, в которых поверхностное натяжение
превышает своё критическое значение [6].
Благодаря гидрофильности наружной оболочки,
экранирующей углеводородное ядро от контакта с водой, поверхностное натяжение
на границе белок - среда оказывается сниженным до значения σ
< σс,
что обуславливает термодинамическую устойчивость таких систем. Это условие
также относимо к интраполимерным и к интерполимерным комплексам. Однако при
объединении последних происходит образование зародышевых частиц новой
стабильной коацерватной фазы. Это возможно в любой метастабильной системе.
Метастабильность может быть вызвана отклонением в химическом составе фаз
(пересыщение) или вследствие физико-химического воздействия на систему
(изменение температуры и давления).
При образовании зародыша сферической формы
радиусом r молярным объёмом Vm
возникает
поверхность раздела старой и новой фаз, с которой связана поверхностная энергия
4πr2σ.
Также образование новой фазы связано с переходом вещества в более стабильное
состояние, что описывается уменьшением его химического потенциала от μст
до μн.
Частица содержит 4πr3/
3Vm молей вещества
новой фазы. Тогда работа образования зародыша новой фазы задаётся уравнением:
Критическим зародышем новой фазы называется
частица радиусом rс,
отвечающим максимуму на кривой W(r):
rc = 2σVm/
(μст
- μн).
В этой точке новая фаза находится в неустойчивом равновесии со старой фазой.
Движущей силой роста зародыша является разность
химических потенциалов между частицей и окружающей средой. Чем больше размер
зародыша, тем меньше его химический потенциал, и тем больше разница его
химического потенциала с химическим потенциалом вещества в исходной фазе.
.
Связывание белка с линейными полиэлектролитами и со сферическими
полиэлектролитными щётками
До этого мы рассматривали адсорбцию
полиэлектролита на противоположно заряженной поверхности белка как причину
образования интерполимерного комплекса. Однако существует другое рассмотрение
данных взаимодействий. Оно связано с явлением адсорбции белков на твердой
поверхности. Центральной проблемой такой адсорбции является изменение вторичной
и третичной структуры молекул белка при адсорбции: очень часто за адсорбцией на
плоской поверхности следует уплощение и деформация белка.
Поверхности, к которым могут быть прикреплены
длинные полимерные цепи, используются для предотвращения адсорбции и деформации
белков. При этом из-за стерического фактора происходит отталкивание белка от
полимерной цепи. Но длинные заряженные цепи полимеров могут приводить и к
обратному эффекту - сильной адсорбции противоположно заряженного белка из
раствора с низкой ионной силой [7].
Рис. 7. Схематическое представление связывания
белка со сферическими полиэлектролитными щётками.
Структуры полиэлектролитных цепей, на которых
могут «адсорбироваться» белки, имеют формы мультислоёв или формы щёток.
Послойное формирование многоуровневой структуры
полиэлектролита включает последовательную адсорбцию противоположно заряженных
полиэлектролитов с захватом низкомолекулярного раствора между каждым слоем.
Щётки полиэлектролита образуются, когда только
один конец полиэлектролитической цепочки связан с поверхностью. И формирование
многоуровневой структуры, и образование щёток приводят к иммобилизации
(неподвижности) белка. При образовании щёток увеличение прочности адсорбции
достигается за счёт ванн-дер-ваальсовых взаимодействий между белком и щётками
полиэлектролитов (рис.8, A).
Для многоуровневой структуры ПЭ, белок может адсорбироваться на предварительно
сформированной структуре (рис.8, C),
или более прочная адсорбция достигается, когда белок находится внутри такой
многослойной организации (рис.8, B)
[1].

Рис.8. Схематичное изображение: (A)
сферические и плоские щётки, (B)
иммобилизированный полиэлектролитными цепями белок, (С) встроенные
белок-полиэлектролитные мультиуровни.
Захват белков, изображенный на рис.B
(на предварительно сформированных полиэлектролитных слоях) называют
необратимым. Для такой многослойной структуры полимеров вводится аббревиатура -
TAPPEM (terminally
adsorbed
protein/polyelectrolyte
multilayers). Встроенные
полиэлектролитные мультислои, изображенные на рис.C,
называются EPPEM (embedded
protein -polyelectrolyte
multilayers) [1].
Движущими силами связывания белков являются
обратимость зарядов на их поверхности в зависимости от pH
«внутри» полиэлектролитных щёток и «снаружи», а также освобождение
противоионов.
При низкой ионной силе раствора локализация
противоионов в кистях полиэлектролита может приводить к уменьшению значения pH
в этой области. При определенном значении pH
и ионной силы системы, значение локального заряда в щётках может быть ниже, чем
в точке нулевого заряда. (pHлок<pI).
Поэтому полный заряд белка изменяется в слое полиэлектролита, и происходит
сильное электростатическое взаимодействие противоположно заряженных частиц.
Основное различие между мультислоями
полиэлектролитов в сравнении с щётками полиэлектролитов заключается в сильном
перекрывании щёток противоионами. Большинство противоионов не могут уклониться
от попадания в «кистевой» слой, в котором становятся ограниченными. Это ведет к
возникновению большого осмотического давления для свободно-ионных систем,
которое в свою очередь будет растягивать цепи в слое щёток почти до полной
длины. Процесс перекрывания и освобождения противоионов может быть представлен
следующим изображением:
Рис. 9. Выпуск противоионов.
В данном случае pH-pI,
поэтому число отрицательно заряженных групп N-на
поверхности белка немного выше, чем число положительно заряженных N+.
Поверхностный заряд должен быть скомпенсирован, поэтому каждый белок несет на
себе определенное количество противоионов обоих значений: N-
положительных
ионов и N+
отрицательных. Положительные группы на поверхности белка выступают в данном
случае в качестве противоионов к отрицательно заряженным цепям полиэлектролита.
Вследствие этого N+
положительных
противоионов иммобилизируется в кистевом слое настолько прочно, насколько
хорошо N+
отрицательно заряженных противоионов удерживаются на поверхности белка. С
другой стороны, N-
заряженных групп белка удерживают на своей поверхности N-
положительных противоионов. Общий баланс между поглощением и освобождением
противоионов при адсорбции белка положительный, задается уравнением ΔN
= 2N+
- N-·0.
При выпуске противоионов уменьшается осмотическое давление в кистевом слое, что
приводит к усиленной адсорбции белков при низкой ионной силе [7].
.
Основные методы исследования коацерватов
Для характеристики белок-полиэлктролитных
комплексов используют различные методы анализа. Инструментальные методы дают
информацию по структурным и оптическим свойствам, а также определяют динамику и
характер связывания ПЭК.
Микроскопические методы
Данные методы подразумевают изучение коллоидных
систем с помощью различных микроскопов: атомно-силового, электронного,
оптического. Атомно-силовой микроскоп представляет собой исследующий
поверхность сканирующий зондовый микроскоп. Оптические микроскопы используются
для получения увеличенных изображений объектов для определения их структуры, в
них линза фокусирует свет на объекте, рассматриваемом глазом. У такой схемы
есть два недостатка: первый состоит в том, что многие объекты прозрачны в
светосильных полях - т.е. обладают малым контрастом с фоном, это затрудняет их
визуализации. Существует ряд подходов для улучшения визуализации, например
гистохимическое окрашивание образцацветными реактивами. Второй недостаток
оптической микроскопии связан с дифракционным барьером, ограничивающим
пространственное разрешение, который не может превышать около1/2 длины волны
падающего света.
В электронном микроскопе вместо светового потока
используется пучок электронов, благодаря чему достигается увеличение
изображения до 106 раз. Однако долгое время применение электронного
микроскопа для исследования белков осложнялось тем, что разность электронных
плотностей молекулы белка и подложки очень мала. Вследствие этого молекулы
видны на подложке в виде слабых бесструктурных пятен. Для визуализации молекул
разработаны различные методы контрастирования с помощью солей тяжелых металлов.
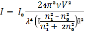
Рассеяние света
Светорассеяние - это рассеяние света вследствие
его дифракции в микронеоднородной дисперсной системе. Оно является классическим
методом определения размеров макромолекул. Теория светорассеяния была развита
лордом Рэлеем, и её основное уравнение сводится к определению интенсивности
светорассеяния I, которая
должна быть функцией показателей преломления дисперсной фазы n1
и дисперсионной среды n0,
длины волны λ, объёма частицы V,
частичной концентрации ν и
интенсивности падающего света I0:
Пользуясь данной формулой можно экспериментально
определить размер частицы, на чём и основан метод нефелометрии. Граничным
условием применимости данного уравнения является соотношение размера частиц с
длиной падающего света: 2πr/λ
<0,3. Следовательно, линейный характер зависимости I
от V сохраняется лишь в
области малых размеров частиц. Для видимой части спектра это условие
соответствует значениям r
< (2-4)ˑ10-6см.
Однако огромная по сравнению с размерами
большинства белков длина волны видимого света также ограничивает линейную
зависимость интенсивности светорассеяния от объёма частицы. В этом случае
используют метод рассеяния рентгеновских лучей, длина волны которых лежит в
интервале от 10−12 до 10-7 м (область видимого
света - от 380 до 780 нм).
А. Гринье было обнаружено, что при переходе от
рассеяния света к рассеянию рентгеновских лучей основной поток рассеянного
излучения должен сосредотачиваться в области малых углов. Это привело к
появлению термина малоуглового рассеяния. В области очень малых углов
интенсивность рассеяния от частицы любой формы падает по экспоненциальному
закону, показатель которой связан с обобщенным размером частицы, её радиусом
инерции. Радиус инерции зависит от расположения рассеивающих центров в
пространстве частицы, и как следствие, от её размеров и формы. Таким образом,
возможно определение размера частиц в растворе.
В начале XX
века Л. Бриллюен и Л. Мандельштамм обнаружили, что интенсивность света,
рассеянного ансамблем макромолекул, должна зависеть от спонтанных флуктуаций
плотности. Р. Пекора теоретически показал, что в оптическом спектре излучения
света, рассеянного диффундирующими частицами, содержится информация об этой
диффузии. С использованием лазеров и быстродействующих временных анализаторов
появилась возможность в короткий промежуток времени определять коэффициенты
диффузии методом динамического рассеяния света.
Калориметрия
Калориметрия - это совокупность методов и
средств измерения тепловых эффектов, сопровождающих различные физические,
химические и биологические процессы. При исследовании коацерватных систем
используют методы дифференциальной сканирующей калориметрии - метода,
основанного на измерении теплового потока W (или ΔQ)
между исследуемым образцом и эталоном в строго контролируемых температурных
условиях (контролируемое повышение или понижение температуры).
Термодинамическая характеристика коацервации
может быть напрямую получена с помощью калориметрии. Изотермическая
калориметрия титрования даёт два результата: 1) ΔH0для
всех процессов, происходящих для различных стехиометрических состояний, 2)
изотерму связывания (основанную на допущении, что измеряемые энтальпии для
каждого последующего добавленного лиганда отражают степень связывания этого
лиганда).
Калориметрические данные указывают на то, что в
зависимости от условий, реакции образования комплексов могут быть как
экзотермическими, так и эндотермическими, то есть они являются энтропийно-управляемыми
[5].
Оптическая спектроскопия
Молекулярная оптическая спектроскопия изучает
спектры поглощения, испускания и отражения электромагнитных волн в
инфракрасном, оптическом (видимом) и ультрафиолетовом диапазоне волн. Этот
метод даёт информацию об организации вещества на молекулярном и атомном
уровнях.
Одним из мощных методов изучения структуры
молекул в настоящее время является флюоресцентная корреляционная микроскопия
(ФСК) - метод детектирования флуоресцентных микрообъектов с помощью светового
микроскопа.
Биологический материал, как правило, сам по себе
флуоресцирует крайне слабо, но благодаря применению ярких и разнообразных
флуоресцентных молекул (флуорофоров), способных специфически окрашивать разные
структуры тканей и клеток, метод флуоресцентной микроскопии оказался очень
ценным для медико-биологических наук.
Если размер капель имеет порядок микрометра, то
с помощью флюоресцентной микроскопии может быть получено его изображение:
Рис.10. Препарат коацерватной суспензии PDADMAC/BSA
Выводы
Изучение механизма коацервации белок -
полиэлектролитных комплексов и изучение коацерватных структур является важной
областью исследований. И белки, и полиэлектролиты являются биополимерами,
которые широко распространены в живой природе. В настоящее время
предполагается, что явление коацервации данных веществ послужило второй (после
образования адсорбционных слоев) стадией структурирования органического
вещества на пути возникновения жизни на Земле. Широкое применение белков и
полиэлектролитов в пищевой и в фармацевтической промышленности говорит о
необходимости детального понимания их взаимодействия в водных растворах.
Смешение биополимеров в растворах иногда ведет к
возникновению новой фазы. Первым шагом на пути её образования является
комплексообразование между белком и полиэлектролитом. Образование комплекса
зависит от линейной плотности заряда цепи полимера, плотности заряда на
поверхности белка и ионной силы раствора. Образование интерполимерного
комплекса на следующем шаге уникальным образом зависит от температуры и эффекта
сдвигового течения. В дальнейшем из макроскопической фазы при определенных
условиях образуются коацерватные капли, которые, объединяясь, формируют
коацерватную фазу.
Несмотря на то, что механизм коацервации был
установлен путём изучения самоорганизующихся микроскопических структур,
истинная связь между механизмом коацервации и результирующей структурой
остаётся открытым вопросом, над которым продолжают трудиться многие
исследователи.
Список литературы
[2] М.А. Краюхина, Н.А. Самойлова,
И.Я. Ямсков. Полиэлектролитные комплексы хитозана: формирование, свойства и
применение, Успехи химии 77 (9)(2008) 854 - 869.
[3] В.А. Изумрудов. Явление
самосборки и молекулярного «узнавания» в растворах (био)полиэлектролитных
комплексов, Успехи химии 77 (4) (2008) 401 - 415.
[4] Kevin W. Mattison, Paul L.
Dubin, and Isabelle J. Brittain.Complex Formation between Bovine Serum Albumin
and Strong Polyelectrolytes: Effect of Polymer Charge Density, J. Phys. Chem. B
1998, 102, 3830-3836.
[5] Ebru Kizilay, A.Basak
Kayitmazer, Paul L.Dubin. Complexation and coacervation of polyelectrolytes
with oppositely charged colloids, Advances in Colloid and Interface Science 167
(2011) 24 -37.
[6] Е.Д. Щукин, А.В. Перцов, Е.А.
Амелина. Коллоидная химия, М., «Высшая школа», 2006.
[7] A.Wittemann and M. Ballauff.
Interaction of proteins with linear polyelectrolytes and spherical
polyelectrolyte brushes in aqueous solution, Phys. Chem. Chem. Phys ., 2006, 8,
5269-5275.
[8] Fanny Weinbreck. Whey
protein / polysaccharide coacervates: structure and dynamics, Thesis Utrecht
University, The Netherlands (2004).
[9] Е.В. Кудряшова, А.К. Гладилин,
А.В. Левашов. Белки в надмолекулярных ансамблях: исследование структуры методом
разрешено - временной флуоресцентной анизотропии, Успехи биологической химии
42, 2002, 257 - 294.
[10] И.Н. Сердюк. Физические методы
в структурной молекулярной биологии в начале XXI
века, Успехи биологической химии 42, 2002, 3- 28.