Экспертиза качества и оценка конкурентоспособности ржано-пшеничного хлеба производства пекарни СПК колхоза 'Искра'
Содержание
Введение
.
Теоретические основы товароведения и экспертизы ржано-пшеничного хлеба
.1
Историческая справка
.2 Пищевая
ценность ржано-пшеничного хлеба
.3 Сырье,
применяемое для производства ржано-пшеничного хлеба
.4 Технология
производства ржано-пшеничного хлеба
.5
Ассортимент ржано-пшеничного хлеба и его классификация
.6 Показатели
качества ржано-пшеничного хлеба в соответствии с требованиями стандартов
.7 Дефекты
ржано-пшеничного хлеба
.8 Методы
исследования качества ржано-пшеничного хлеба в соответствии с требованиями
стандарта
.9 Виды
фальсификации ржано-пшеничного хлеба
.10 Условия
хранения и транспортировки
. Экспертиза
качества и оценка конкурентоспособности ржано-пшеничного хлеба производства
пекарни СПК колхоза "Искра"
.1 Материал
для исследования
.2 Отбор проб
в соответствии с ГОСТ 5667-65
.3 Анализ
товаросопроводительных документов и маркировки товара
.4 Методы
исследования ржано-пшеничного хлеба
.4.1 Методы
определения органолептических показателей и массы изделий
.4.2 Методы
определения физико-химических показателей
.4.2.1
Определение влажности пшеничного хлеба
.4.2.2
Определение пористости ржано-пшеничного хлеба
.4.2.3
Определение кислотности ржано-пшеничного хлеба
.5 Результаты
исследований отобранных образцов ржано-пшеничного хлеба
.5.1
Результаты определения массы образцов ржано-пшеничного хлеба
.5.2
Результаты исследования органолептических показателей образцов ржано-пшеничного
хлеба
.5.3
Результаты дегустации образцов ржано-пшеничного хлеба
.5.4
Результаты исследования физико-химических показателей образцов ржано-пшеничного
хлеба
.6 Оценка
конкурентоспособности ржано-пшеничного хлеба
.
Экономическая оценка деятельности предприятия и эффективность сбыта
ржано-пшеничного хлеба
.1
Организационно - экономическая характеристика СПК колхоза "Искра"
.2
Экономическая оценка качества хлебобулочной продукции и ассортиментная политика
.3 Оценка
покупателей и конкурентов
. Влияние
деятельности предприятия на окружающую среду и правовая основа для взимания
платежей
.
Безопасность жизнедеятельности
.1
Актуальность охраны труда на производстве
.2 Анализ
производственного травматизма на пекарне СПК колхоза "Искра"
.3
Организационно-технические мероприятия по снижению травматизма
.4 Требования
безопасности для пекаря работающего с электропечью
.4.1 Общие
требования безопасности
.4.2
Требования безопасности труда перед началом работы
.4.3
Требования безопасности труда во время работы
.4.4
Требования охраны труда в аварийных ситуациях
.4.5
Требования охраны труда по окончании работы
Выводы и
предложения
Список
литературы
Введение
Производственный потенциал хлебопекарной промышленности России достаточен
для полного удовлетворения спроса населения на хлебобулочные изделия, как в
количестве, так и в ассортименте. Так, годовой объем выработки составляет 7,5
млн. тонн хлебопекарной продукции, в том числе около 80% массовых сортов хлеба.
В последние годы возросла доля хлебопекарных предприятий, на которых велась
целенаправленная работа по техническому обновлению производства, внедрению
технологических инноваций, развитию ассортимента по всем группам изделий. В то
же время, несмотря на определенные позитивные сдвиги, оценки состояния отрасли
свидетельствуют о наличии проблем, оказывающих негативное влияние на ее
дальнейшее развитие [49].
Сегодня многие вводят в заблуждение потребителя, предлагая ему то
вафельный хлеб, то взорванные хлопья, хлеб из цельного зерна, отрубей. Но это
очень опасно для кишечника. Массовый хлеб: пшеничный, батон, хлеб из смеси
ржаной и пшеничной муки - низкокалорийный, полезный продукт, легко усваивается.
Им народы питались всегда. А в трудные и голодные времена хлеб спасал от
авитаминозов.
Интересы укрепления здоровья населения требуют увеличения производства
хлеба с использованием ржаной муки с 1,5-1,8 до 2,5-2,8 млн. тонн в год, хлеба из
муки второго сорта, выпуск которого практически прекращен.
Хлеб из смеси ржаной и пшеничной муки - один из основных продуктов
питания основной массы населения Российской Федерации. Это объясняется тем, что
данный продукт имеет относительно низкую стоимость, высокую питательную
ценность и низкую калорийность. Ржано-пшеничный хлеб производится многими
хлебопекарными предприятиями, но при этом следует отметить, что качество хлеба
не всегда удовлетворяет требования нормативно-технической документации [45].
Таким образом, необходимость информирования потребителя об ассортименте и
качестве ржано-пшеничного хлеба является весьма актуальной на сегодняшний день.
В качестве объектов исследования был выбран хлеб ржано-пшеничный,
производимый хлебопекарней СПК колхоза "Искра".
Предмет исследования - качество и конкурентоспособность ржано-пшеничного
хлеба производства хлебопекарни СПК колхоза "Искра".
Выше изложенное позволяет сформулировать цели и задачи, подлежащие
решению в данной работе
Целью исследования является изучение конкурентоспособности и
осуществление анализа качества различных наименований ржано-пшеничного хлеба,
производимого пекарней СПК колхоза "Искра" Котельничского района.
Для достижения данной цели необходимо решить следующие задачи:
. Провести аналитический обзор литературных источников в соответствии с
темой данной дипломной работы и выявить факторы, влияющие на формирование
качества ржано-пшеничного хлеба.
. Провести экспертную оценку качества ржано-пшеничного хлеба по
органолептическим и физико-химическим показателям (пористость, кислотность,
влажность).
. Изучить конкурентоспособность ржано-пшеничного хлеба, производимого
хлебопекарней СПК колхоза "Искра".
. Дать экономическую оценку деятельности пекарни СПК колхоза
"Искра".
. Провести маркетинговые исследования с целью выявления потребительских
предпочтений в отношении ржано-пшеничного хлеба, реализуемого на рынке города
Котельнича.
6. Оценить влияние деятельности пекарни СПК колхоза "Искра"
Котельничского района на окружающую природную среду, и предложить пути снижения
негативного воздействия на нее.
. Оценить состояние охраны труда на пекарне СПК колхоза "Искра"
и разработать требования по безопасности при выполнении работ на данном
предприятии.
Данные проведенного исследования могут иметь практическую ценность и
представлять интерес в качестве источника информации при выборе
ржано-пшеничного хлеба, как для производителей, так и непосредственно для
потребителей продукции.
Экспертная оценка производилась на основании органолептической оценки,
результатов физико-химических исследований. Данные исследования проводились на
базе производственной лаборатории СПК колхоза "Искра".
Дипломная работа состоит из пяти разделов и включает в себя:
теоретические основы товароведения и экспертизы качества ржано-пшеничного хлеба
производства пекарни СПК колхоза "Искра"; товароведная характеристика
и оценка качества ржано-пшеничного хлеба производимого пекарней СПК колхоза
"Искра"; Экономическая оценка деятельности предприятия и
эффективность сбыта ржано-пшеничного хлеба; охрана окружающей среды на пекарне
СПК колхоза "Искра, безопасность жизнедеятельности на пекарне СПК колхоза
"Искра"", выводы и предложения.
Работа выполнена на 111 листах, таблиц - 49, рисунков - 6, приложений -
10.
1. Теоретические основы товароведения и экспертизы ржано-пшеничного хлеба
.1
Историческая справка
По мнению археологов, первый хлеб был приготовлен из желудей. Впервые
злаки были использованы в пищу около 15000 лет до нашей эры в Средней Азии.
Возможно, во время охоты или прогулки были найдены семена пшеницы. Вскоре люди
начали строить свои жилища около пшеничных полей, научились смешивать протертые
семена с водой, а затем запекать получившуюся смесь на плоских горячих камнях.
Около 1000 лет до нашей эры люди стали использовать углекислый калий и
прокисшее молоко для изготовления первого хлеба.
Около 2600-3000 лет до нашей эры египтяне научились использовать дрожжи
для приготовления хлеба. Они также изобрели первые печки для производства
хлеба. Греки научились выпекать хлеб благодаря египтянам, римляне благодаря
грекам. Римляне усовершенствовали процесс хлебопроизводства, процесс
перемалывания зерен, создали новые печи. К 100 году нашей эры римляне
распространили свои навыки по выпечке хлеба по всей Европе. В средние века
почти во всех городах Европы были булочные.
Хлебопроизводство опиралось на ручной, мануфактурный труд до начала 1900
годов. В 1908 году в Мильбурне этот процесс был впервые механизирован с помощью
техники [49].
Основную роль в жизни русского народа играл ржаной, или, как его
называли, черный хлеб. Он был значительно дешевле да и сытнее пшеничного,
белого хлеба. Однако были такие сорта ржаного хлеба, которые не всегда могли
купить даже очень состоятельные люди. К ним относился, например,
"Боярский" хлеб, для выпечки которого использовали муку особого
помола, свежее масло, в меру сквашенное (не перекисшее) молоко, а в тесто
добавляли пряности. Такой хлеб пекли только по специальному заказу для особых
случаев.
Из муки, просеянной через сито, пекли ситный хлеб. Он был значительно
нежнее решетного хлеба, который выпекался из муки, просеянной через решето.
Низкокачественными считались "пушные" виды хлеба. Их пекли из
непросеянной муки и называли мякиной. Лучшим же хлебом, который подавался на
стол в богатых домах, был "крупчатый" белый хлеб из хорошо
обработанной пшеничной муки [18].
В период неурожаев, когда не хватало запасов ржи и пшеницы, в муку
подмешивали всевозможные добавки - морковь, свеклу, позднее картофель, а также
дикорастущие - желуди, кору дуба, крапиву, лебеду.
В конце XIX века сельские жители пекли хлеб сами в русских печах, а
городское население обычно покупало хлеб у булочников, которые выпекали его в
больших количествах и различных видов. В булочных с лотков продавали подовый
(высокие толстые лепешки) и формовой (в форме цилиндра или кирпича) хлеб [48].
Современный рынок хлеба и хлебобулочных изделий диктует жесткие
требования производителю. Сегодня недостаточно производить только массовые
сорта хлеба и хлебобулочных изделий, для того чтобы выжить и быть успешным,
необходимо выпускать широкий ассортимент изделий.
Из последних тенденций развития хлебного рынка можно отметить рост
интереса к производству обогащенных и лечебно-профилактических продуктов,
интерес к которым возрастает с каждым годом при общем снижении потребления
хлеба. К сожалению, производство хлеба и ХБИ с полезными добавками, в настоящее
время в РФ развито недостаточно.
Хлебобулочные изделия относятся к продуктам повседневного спроса. По
оценкам экспертов, в России 16-20 тысяч предприятий занимаются производством
хлебобулочных и кондитерских изделий. Хлебная отрасль в России представлена, в
основном, предприятиями малого и среднего бизнеса [45].
Одним из таких предприятий является хлебопекарня СПК колхоза
"Искра" Котельничского района.
1.2 Пищевая
ценность ржано-пшеничного хлеба
Пищевая ценность хлеба, как и всякого пищевого продукта, определятся в
первую очередь содержанием в нем белков, жиров и углеводов, его калорийностью,
усвояемостью, наличием витаминов и минеральных соединений и привлекательного
внешнего вида.
Значения коэффициентов усвояемости питательных веществ хлеба приведены в
таблице 1.
Таблица 1 - Химический состав и энергетическая ценность ржано-пшеничного
хлеба
|
Сорт хлеба
|
Сорт муки
|
Средний химический состав
хлеба, %
|
Энергетическая ценность на
100 г хлеба, ккал
|
|
|
Углеводы
|
Белки
|
Жиры
|
Клетчатка
|
Вода
|
Зола
|
|
|
Орловский формовой
|
ржаная обдирная (70%),
пшеничная 2-го сорта (30%)
|
40,5
|
6,1
|
1,0
|
0,6
|
43,0
|
2,5
|
202
|
|
Столовый подовый
|
ржаная обдирная (50%,
пшеничная 1-го сорта (50%)
|
43,7
|
7,1
|
1,2
|
0,6
|
39,5
|
1,8
|
220
|
Основной химический компонент хлеба - углеводы, главный усвояемый углевод
- крахмал. Он наряду с простыми сахарами служит энергетическим материалом. Надо
иметь ввиду, что не все простые сахара могут усваиваться. У многих людей (есть
сведения, что у каждого девятого) в желудочно-кишечном тракте нет ферментов,
способных утилизировать трисахарид раффиоту и тетрасахарид стахиозу, которые в
количестве до 1% содержатся в ржаном хлебе. Такие люди, поев черного хлеба,
страдают повышенным газообразованием [25].
Пищевые волокна находятся преимущественно в оболочке зерна. Чем лучше
очищено зерно, тем белее хлеб и меньше в нем в нем клетчатки. Когда зерно
дробят, но оболочка не удаляется (это так называемое "цельное зерно",
как в некоторых сортах диетического хлеба), содержание пищевых волокон
достигает 6,8%. А поскольку пищевые волокна улучшают перистальтику и
нормализуют кишечную микрофлору. Обычно в сутки употребляется около 30 г
пищевых волокон и 365 г усвояемых углеводов [19].
Хлеб является важным источником белка. Для взрослого человека требуется в
сутки 73 г белков. При учете пищевой ценности любого продукта, особенно
продукта такой первостепенной важности, как хлеб, необходимо учитывать не
только общее содержание в нем белка, но также и его качественный состав, т.е.
содержание в белке незаменимых аминокислот[35].
При сравнении реального белка с "идеальным" принято находить
самую дефицитную лимитирующую аминокислоту и подсчитывать ее скор - процент от
содержания в идеальном белке. Скор лимитирующих аминокислот в ржаном хлебе
колеблется от 61% (лизин) и 75% (треонин).
Ржано-пшеничный хлеб по большинству незаменимых аминокислот гораздо
полнее, чем хлеб из пшеничной муки. Исключение составляют метионин и триптофан:
по их содержанию ржаной хлеб немного уступает пшеничному. Важно подчеркнуть,
что ржано-пшеничный хлеб богаче пшеничного по содержанию лизина и в наибольшем
количестве по сравнению с нормой содержит фенилаланин, валин и лейцин.
Таблица 2 - Аминокислотный состав продуктов
|
Показатель
|
Рожь
|
Хлеб ржаной формовой
|
Хлеб столовый подовый
|
|
Аминокислоты мг/100г: Валин
|
457
|
322
|
356
|
|
Изолейцин
|
360
|
248
|
324
|
|
Лейцин
|
630
|
427
|
489
|
|
Лизин
|
370
|
223
|
218
|
|
Метионин
|
150
|
93
|
99
|
|
Треонин
|
300
|
198
|
210
|
|
Триптофан
|
87
|
80
|
83
|
|
Фенилаланин
|
459
|
371
|
377
|
|
Лимитирующая аминокислота, скор,
%
|
Лизин - 48 Треонин - 76
|
Лизин - 61 Треонин - 75
|
Лизин - 56 Треонин - 74
|
товароведение хлеб кислотность конкурентоспособность
Из незаменимых аминокислот в ржаном формовом содержатся в мг/100г: аланин
(297), аргинин (291), аспарагиновая кислота (464), гистидин (124), глутаминовая
кислота (1559), пролин (526), серин (291), тирозин (180), цистин (130) [36].
Хлеб - ограниченный источник растительных жиров и покрывает потребность
человека в них на 5-6%. Входящие в состав растительных жиров непредельные жирные
кислоты (линолевая, линоленовая) имеют двойные ненасыщенные связи, что
определяет их значительную физиологическую активность. Биологическая ценность
жиров зависит от легкости переваривания и усвоения в пищеварительном тракте и
главным образом от количества полиненасыщенных жирных кислот, играющих большую
роль в процессах обмена веществ. В хлебе содержатся также в небольших
количествах фосфатиды и стерины и другие жироподобные вещества [38].
Содержание витамина в хлебе зависит прежде всего от содержания его в
муке. Зерно пшеницы и ржи, а следовательно и получаемая из них мука, фактически
лишены витаминов А, С и D, и чем мука беднее отрубями и частичками зародыша,
тем беднее она и витаминами группы В и токоферолами. Поэтому естественно, что
белый хлеб, получаемый из муки низких выходов, чрезвычайно беден витаминами, в
то время как хлеб из обойной муки или муки 100% выхода содержит их гораздо
больше [39].
Существенным источником витаминов в хлебе служат дрожжи и закваски.
Пекарские дрожжи по сравнению с зерном и мукой содержат весьма значительное
количество витаминов В1, В2 и никотиновой кислоты.
Чем выше сорт муки, тем меньше в ней периферических частей зерна, тем
беднее она витаминами, в том числе и витамином В1. Однако
чрезвычайно важно кроме сорта муки учитывать ее выход, так как при современных
системах помола мука одного и того же сорта может быть взята из различных
частей зерна и выпущена с различным выходом. В результате мука из одной и той
же пшеницы, одного и того же сорта, но при различных способах помола будет
содержать различное количество тиамина. Аналогичная зависимость относится и к
хлебу [25].
Кроме содержания витаминов в исходном сырье (мука, дрожжи, закваска)
весьма важным фактором, от которого зависит конечное содержание того или иного
витамина в хлебе, является его разрушение в условиях выпечки. Наиболее
исследованы термолабильность витамина В1 и его потери, происходящие
в процессе выпечки. Данные опытов показывают, что потери этого витамина при
выпечке пшеничного хлеба сравнительно невелики, но могут в значительной степени
колебаться (8-30%) - здесь решающим фактором оказывается продолжительность
выпечки хлеба.
Витамин В1 легко разрушается при нагревании его в щелочной
среде. Поэтому в хлебе, приготовленном на прессованных или жидких дрожжах, в
котором рН обычно колеблется около 5,7, происходит небольшое его разрушение, но
в мучных изделиях, приготовляемых на химических щелочных разрыхлителях - соде и
углекислом аммонии, большая часть витамина В1 разрушается. В этом
случае сохранение витамина В1 зависит почти исключительно от рН
[47].
Таблица 3 - Витаминный состав ржано-пшеничного хлеба (на 100г)
|
Показатели
|
Ржаной, простой, формовой.
|
Орловский формовой
|
Столовый подовый
|
|
Витамин А, мг
|
0
|
0
|
0
|
|
Витамин D, мг
|
0
|
0
|
0
|
|
Витамин Е, мг
|
2,20
|
2,30
|
2,68
|
|
Витамин С, мг
|
0
|
0
|
0
|
|
Витамин В6, мг
|
0,17
|
0,15
|
0,20
|
|
Витамин В12, мкг
|
0
|
0
|
0
|
|
Ниацин, мг
|
0,67
|
1,19
|
1,75
|
|
Пантотеновая кислота, мг
|
0,60
|
-
|
-
|
|
Рибофлавин, мг
|
0,08
|
0,08
|
0,09
|
|
Тиамин, мг
|
0,18
|
0,17
|
0,19
|
Общее содержание минеральных веществ в хлебе колеблется в пределах
1-2,2%. Чем ниже сорт муки, из которого испечен хлеб, тем больше минеральных
веществ содержится в нем [35].
В таблице 4 приведены данные о среднем содержании минеральных веществ в
хлебе разных сортов.
Таблица 4 - Минеральный состав ржано-пшеничного хлеба (мг на 100г)
|
Продукт
|
Na
|
K
|
Ca
|
Mg
|
P
|
Fe
|
|
Хлеб ржано-пшеничный
простой формовой
|
589
|
195
|
37
|
55
|
178
|
2,7
|
|
Орловский простой формовой
|
484
|
113
|
31
|
43
|
119
|
2,3
|
|
Столовый подовый
|
406
|
208
|
52
|
47
|
129
|
3,4
|
В среднем за счет хлеба суточная потребность в кальции удовлетворяется на
10 - 12%, в фосфоре и железе - на 33 - 38%. Наблюдается явная недостаточность
кальция. Содержание минеральных веществ в хлебе зависит от вида зерна, сорта и
выхода муки, технологии приготовления хлеба, применения добавок, качества воды
используемого при замесе теста [39].
Таким образом, можно сказать, что ржано-пшеничный хлеб - это
легкоусвояемый продукт, являющийся ценным источником питательных веществ,
незаменимых аминокислот, витаминов и минералов.
1.3 Сырье,
применяемое для производства ржано-пшеничного хлеба
В соответствии с ГОСТ сырьё, применяемое в хлебопечении, делят на
основное и вспомогательное. К основному сырью относят муку, соль и дрожжи, воду
[29].
Ржаную хлебопекарную муку подразделяют на сорта: сеяную, обдирную,
обойную, которые должны соответствовать требованиям ГОСТ 7045 - 90 "Мука
ржаная хлебопекарная. Технические условия", указанным в таблице 5 [6].
Таблица 5 - Показатели качества муки ржаной хлебопекарной в соответствии
с ГОСТ 7045-90
|
Наименование показателя
|
Характеристика и норма для
муки сортов
|
|
Сеяной
|
Обдирной
|
Обойной
|
|
Цвет
|
Белый с кремоватым или
сероватым оттенком
|
Серовато-белый или
серовато-кремовый с вкраплениями частиц оболочек зерна
|
Серый с частицами оболочек
зерна
|
|
Запах
|
Свойственный ржаной муке,
без посторонних запахов, не затхлый, не плесневелый
|
|
Вкус
|
Свойственный ржаной муке,
без посторонних привкусов, не кислый, не горький
|
|
Минеральная примесь
|
При разжевывании муки не
должно ощущаться хруста
|
|
Влажность, %, не более
|
15,0
|
15,0
|
15,0
|
|
Зольность, %, не более
|
0,75
|
1,45
|
2,00 но не менее 0,07% ниже
зольности зерна до очистки
|
|
Белизна, условные единицы
прибора РЗ - БПЛ, не менее
|
50
|
6
|
-
|
|
Число падения, с, не менее
|
160
|
150
|
105
|
|
Металломагнитная примесь,
мг в 1 кг муки. Размеры отдельных частиц в наибольшем линейном размере не
более 0,3 мм и (или) массой не более 0,4мг
|
3
|
|
Размером и массой отд.
частиц более указанных выше
|
Не допускается
|
|
Зараженность вредителями
|
Не допускается
|
Пшеничная мука должна соответствовать ГОСТ 52189-2003 "Мука
пшеничная. Общие технические условия" и вырабатываться в соответствии с
Правилами организации и ведения технологического процесса на мукомольных
заводах, утвержденными в установленном порядке. При производстве
ржано-пшеничного хлеба на пекарне СПК колхоза "Искра" используют
пшеничную муку 2-го сорта.
По органолептическим и физико-химическим показателям пшеничная мука 2-го
сорта должна соответствовать общим техническим требованиям, указанным в таблице
6 [7].
Таблица 6 - Органолептические и физико-химические показатели муки
пшеничной хлебопекарной 2 сорта в соответствии с ГОСТ 52189-2003
|
Наименование показателя
|
Характеристика и норма для
пшеничной муки
|
|
Вкус
|
Свойственный пшеничной, без
посторонних привкусов, не кислый, не горький
|
|
Запах
|
Свойственный пшеничной
муке, без посторонних, не затхлый, не плесневелый
|
|
Цвет
|
Белый с желтоватым или
сероватым оттенком
|
|
Массовая доля влаги %, не
более
|
15,0
|
|
Массовая доля золы в
пересчете на сухое вещество, %, не более
|
1,25
|
|
Массовая доля сырой
клейковины, %, не менее
|
25,0
|
|
Наличие минеральной примеси
|
При разжевывании муки не
должно ощущаться хруста
|
|
Металломагнитная примесь,
мг в 1 кг муки; размером отдельных частиц в наибольшем линейном измерении 0,3
мм и (или) массой не более 0,4 мг, не более
|
3,0
|
|
Зараженность и
загрязненность вредителями
|
Не допускается
|
Пищевая поваренная соль должна быть изготовлена в соответствии с
требованиями ГОСТ Р 51574-2000 "Соль поваренная пищевая. Технические
условия" по Технологическому регламенту, установленному для предприятий
пищевой промышленности [8].
Таблица 7 - Органолептические показатели соли поваренной пищевой в
соответствии с ГОСТ 51574-2000
|
Характеристика сорта
|
|
Экстра и высшего
|
Первого и второго
|
|
Внешний вид
|
Кристаллический сыпучий
продукт. Не допускается наличие посторонних механических примесей, не связанных
с происхождением и способом производства соли
|
|
Вкус
|
Соленый, без постороннего
|
|
Цвет
|
Белый
|
Белый или серый с оттенками
в зависимости от происхождения и способов производства соли
|
|
Запах
|
Без посторонних запахов
|
|
Примечания: 1. В соли
высшего, первого и второго сортов допускается наличие темных частиц в
пределах содержания не растворимого в воде остатка и оксида железа. 2. При
введении в пищевую соль йодирующей добавки допускается слабый запах йода
|
В таблице 8 представлены физико-химические показатели пищевой поваренной
соли.
Таблица 8 - Физико-химические показатели соли поваренной пищевой в
соответствии с ГОСТ 51574-2000
|
Наименование показателя
|
Номер в пересчете на сухое
вещество
|
|
Экстра
|
Высшего
|
Первого
|
Второго
|
|
1. 1. Массовая доля
хлористого натрия, %, не менее 2. Массовая доля кальций-иона, %, не более
3.Массовая доля магний-иона, %, не более 4.Массовая доля сульфат-иона, %, не
более 5.Массовая доля нерастворимого в воде осадка, %, не более 6.Массовая
доля влаги,%, не более, для соли: - Выварочной - Каменной
|
99,70 0,02 0,01 0,16
0,03 0,10 -
|
98,40 0,35 0,05 0,80
0,16 0,70 0,35
|
97,70 0,50 0,10 1,20
0,45 0,70 0,35
|
97,00 0,65 0,25 1,50
0,85 - 0,35
|
В производстве хлебобулочных изделий применяют в основном хлебопекарные
дрожжи (прессованные, сушеные, дрожжевое молоко), представляющих собой биомассу
дрожжевых клеток, содержащих биологически активные вещества и обладающих
ферментативной активностью[30].
По органолептическим и физико-химическим показателям дрожжи должны
соответствовать требованиям ГОСТ 171-81 "Дрожжи хлебопекарные
прессованные. Технические условия", представленным в таблице 9 [9].
Таблица 9 - Органолептические и физико-химические показатели дрожжей
хлебопекарных прессованных в соответствии с ГОСТ 171-81
|
Наименование показателя
|
Характеристика (норма)
|
|
Цвет
|
Равномерный, без пятен,
светлый, допускается сероватый или кремовый оттенок
|
|
Консистенция
|
Плотная, дрожжи должны
легко мазаться и не ломаться
|
|
Запах
|
Свойственный дрожжам, не
допускается запах плесени и др. посторонние запахи
|
|
Вкус
|
Свойственный дрожжам, без
посторонних привкусов
|
|
Влажность в день выработки,
%, не более
|
75
|
|
Подъемная сила (подъем
теста до 70 мм), мин, не более
|
|
Кислотность100 г дрожжей в
пересчете на уксусную кислоту в день выработки, мг, не более
|
120
|
|
Кислотность 100 г дрожжей в
пересчете на уксусную кислоту на 12-е сутки хранения при t=0 - 4о С,
мг, не более
|
300
|
|
Стойкость, ч, не менее
|
48 - 50
|
Качество воды, используемой на хлебопекарном предприятии, должно
удовлетворять требованиям ГОСТ Р 51232-98 "Вода питьевая. Общие требования
к организации и контролю качества" и отвечать санитарным нормам и правилам
(СанПиН 2.1.4.1074-01) [11].
1.4
Технология производства ржано-пшеничного хлеба
Технологическая схема производства любого вида хлебного изделия включает
в себя последовательность отдельных технологических этапов и операций,
выполнение которых позволяет получить изделия, отличающиеся наилучшим качеством
[27].
Технологическая схема производства хлеба "Украинский Новый"
вырабатываемого формовым способом по технологической инструкции от 2. 02. 2006
г. в соответствии с требованиями ГОСТ 2077- 84 "Хлеб ржаной,
ржано-пшеничный и пшенично-ржаной. Технические условия" (приложение А),
представлена на рисунке 1. Эта схема включает следующие этапы.
Приемка и хранение сырья. Осуществляется прием, перемещение в складские
помещения и емкости и последующее хранение всех видов сырья:
· основного (мука, вода, соль, дрожжи);
· дополнительного (сахар, жировые продукты, яйца, молоко и
продукты его переработки и др.)
Все сырье, поступающее на хлебопекарные предприятия, должно удовлетворять
требованиям соответствующих ГОСТов и ТУ. Сырье поступает на предприятие
партиями [33].
Под партией понимают определенное количество сырья одного вида и сорта,
одной дать выработки, предназначенной к одновременной сдаче-приемке по одной
накладной. Каждая партия должна сопровождаться специальным удостоверением или
другим документом, характеризующим его качество. Сырье поступает на предприятие
тарным и бестарным способом.
При приемке муки тарным способом производится внешний осмотр тары на
прочность и чистоту мешковины, на наличие маркировки, на зараженность
вредителями хлебных запасов, при приемке муки, доставляемой в автоцистернах,
проверяется наличие пломб на горловине и выпускном отверстии цистерны [32].
Рисунок 1 - Технологическая схема производства ржано-пшеничного хлеба,
используемая на пекарне СПК колхоза "Искра"
При бестарном транспортировании и хранении муки ее размещают в емкостях
по сортам в соответствии с качественными показателями: в одну емкость
рекомендуется размещать муку с одинаковыми или близкими свойствами. Емкости для
хранения муки пронумеровывают и закрепляют за определенными сортами.
Разрешается использовать их для хранения поочередно муки близких сортов:
высшего и первого, ржаной и обойной и обдирной. Предварительно перед
заполнением бункера другим сортом муки проводят его зачистку [30].
Подготовка сырья. Включает операции по подготовке сырья к отпуску в производство.
Подготовка муки заключается в смешивании ее отдельных партий или сортов,
просеивании и удалении металломагнитных примесей.
В складах бестарного хранения перед отпуском на производство очищенную
муку просеивают и взвешивают.
При просеивании муки необходимо каждую смену счищать сита просеивающих
машин, осматривать целостность ситовой ткани.
Дрожжевую суспензию перед пуском в производство целесообразно пропустить
через проволочное стальное сито с размером ячеек не более 2,5 мм. Сушеные
дрожжи дозируют в зависимости от подъемной силы - 1 кг прессованных дрожжей
соответствует:
· 500 г сушеных дрожжей с подъемной силой 70 мин;
· 650 г сушеных дрожжей с подъемной силой 90 мин;
· 900 г сушеных дрожжей с подъемной силой более 90 мин;
· 1000 г сушеных дрожжей с подъемной силой более 100 мин.
Сушеные дрожжи перед их применением необходимо активировать в
соответствии с действующими рекомендациями [27].
Дозу солевого раствора устанавливают в зависимости от фактической его
плотности. Для обеспечения правильности дозирования соли рекомендуется
применять раствор с постоянной плотностью [19].
Приготовление теста. Технологические операции по приготовлению теста -
это замес теста, брожение закваски, замес теста брожение теста.
Тесто для производства ржано-пшеничного хлеба готовится на густой
закваске. Для приготовления закваски используют 1 кг дрожжей, 3 л воды и 5 кг
ржаной муки. Закваска - это густой или жидкий полуфабрикат хлебопекарного
производства, полученный сбраживанием питательной смеси из ржаной, ржано-пшеничной
или пшеничной обойной муки, молочно-кислыми бактериями и дрожжами. Закваску
готовят из некоторого количества уже готовой закваски, в которую добавляют муку
и воду. Остальную часть закваски (1/3, 2/3) используют при приготовлении теста.
В замешанной закваске в период брожения развивается бродильная микрофлора и
накапливается кислота, после чего готовую закваску можно вновь использовать для
приготовления теста и возобновления новой порции закваски [33].
Ржаные закваски содержат в небольшом количестве дрожжи и в большом
количестве молочнокислые бактерии. Дрожжи вносят в закваску при разводочном
цикле ее приготовления. В густых заквасках преобладают дрожжи вида
Saccharomyces minor, устойчивые к высокой кислотности среды.
В пекарне СПК колхоза "Искра" тесто готовят традиционным
способом, в дежах. Приготовленную в деже закваску делят вручную на три равные
части. Две части закваски расходуют на замес двух дежей теста, а третью (она
остается в деже) направляют на возобновление закваски.
Ритм переработки содержимого одной дежи должен быть равен удвоенному
ритму переработки теста, но не превышать 60 минут. Поваренную соль в густые
закваски не вносят, так как она снижает подъемную силу.
Доза закваски на замес теста составляет 40-50% к общей массе муки в
тесте. Вместе с закваской в тесто поступает 25-30% сброженной муки. Замешивая
тесто, сначала перемешивают порцию закваски с солевым раствором, водой и
другими компонентами, затем добавляют муку и продолжают замес до получения
однородной массы. Брожение теста продолжается 60 - 90 минут. Конечная
кислотность теста колеблется от 7 до 10 градусов [30].
Разделка хлеба и расстойка. После созревания тесто разделывают. Ржаное
тесто, не имеющее клейковинного каркаса, более пластичное и липкое, поэтому для
него требуется минимальная механическая обработка. Разделка такого теста
состоит из деления теста на куски, формование тестовых заготовок и
окончательной расстойки в формах (для формовых сортов хлеба) или
предварительного округления. Первая операция разделки - деление теста на куски
заданной массы. Деление проводят с таким расчетом, чтобы после выпечки и усушки
масса штучного готового хлеба соответствовала норме [29].
В пекарне СПК колхоза "Искра" выброженное тесто разделывают
вручную на куски массой 0,6 кг. Тестовые заготовки для формового теста
укладывают в формы и направляют на расстойку. Продолжительность расстойки 50-60
минут.
Цель расстойки - восстановление нарушенной при формовании структуры теста
и обеспечение разрыхления тестовой заготовки за счет выделения диоксида углерода,
а также достижения объема и формы, практически соответствующих готовому изделию
[32].
Выпечка. Выпечка тестовых заготовок осуществляется в хлебопекарных печах.
Температура составляет 200-240оС, продолжительность выпечки зависит
от массы и формы заготовок и составляет 40-60 минут [33].
После выпечки хлеб укладывают в лотки в один ряд для остывания.
Охлаждение и хранение хлеба осуществляется в остывочном отделении, где
создаются специальные условия.
Укладка готовой продукции после выхода ее из печи и хранение изделий до
отпуска их в торговую сеть являются последней стадией процесса производства
хлеба и осуществляются в хлебохранилищах предприятий.
В хлебохранилище осуществляются учет выработанной продукции, ее
сортировка и органолептическая оценка по балльной системе. Перед отпуском
продукции в торговую сеть каждая партия изделий подвергается обязательному
просмотру [31].
.5
Ассортимент ржано-пшеничного хлеба и его классификация
Ржано-пшеничные сорта хлеба изготавливают из ржаной муки с добавлением
пшеничной [38].
По способу выпечки хлеб подразделяют на формовой и подовый.
В соответствии с ГОСТ 2077-84 из ржаной обойной муки вырабатывают хлеб
ржаной простой формовой и подовый и улучшенные сорта: хлеб заварной, при
производстве которого часть муки заваривают, добавляют солод (5%) и тмин
(0,1%), Московский-добавляют солод (7%) и тмин (0,1%), Бородинский - из ржаной
обойной муки (80%), пшеничной муки 2-го сорта (15%), добавляют солод (5%),
сахар (6%), патоку (4%) и кориандр (0,5%).
Из обдирной муки вырабатывают хлеб простой подовый или формовой:
Орловский-из ржаной обдирной муки (70%), пшеничной муки 2-го сорта (30%) с
добавлением патоки (6%), штучный формовой. Украинский - из муки ржаной обдирной
(20-80%) и пшеничной обойной (80-20%), Украинский новый-из муки ржаной обдирной
(20-80%) и пшеничной 2-го сорта (80-20%), Столовый-из ржаной обдирной (50%),
пшеничной муки 2-го сорта (50%) с добавлением сахара (3%), штучный подовый и
формовой [49].
Из сеяной муки изготавливают хлеб простой штучный формовой или подовый, и
улучшенные сорта: Минский - из муки ржаной сеяной (90%), пшеничной муки 1-го
сорта (10%) с добавлением патоки (2%), крахмала ( 1%) и тмина, в виде батонов с
заостренными концами. Рижский - из муки ржаной сеяной (85%), пшеничной 1-го
сорта (10%), добавляют солод (5%), патоку и тмин, в форме батонов с тупыми
концами, а нижняя корка обсыпана мукой.
Хлеб ржано-пшеничный выпекают из смеси муки ржаной обойной или обдирной
(55-65%) и пшеничной 2 сорта либо обойной (45-35%), подовым и формовым. Мякиш
хлеба более светлый и пористый; по вкусу этот хлеб менее кислый, чем хлеб
ржаной простой из обойной муки [48].
Дарницкий хлеб выпекают из ржаной обдирной и пшеничной муки второго сорта
соотношением 60:40.
Тимирязевский хлеб - приготовлен из смеси ржаной обдирной муки и муки
высшего сорта с добавлением ржаного солода, предварительно заваренного
пряностями.
Карельский вырабатывают по ГОСТ 5311-50 из смеси муки ржаной сеяной (15%)
и пшеничной 2-го сорта (85%).
Столичный (ГОСТ 26984-86) из смеси ржаной обдирной муки (50%) и пшеничной
муки 1-го сорта (50%).
Так же из ржано-пшеничных сортов хлеба выпускается хлеб Российский по
ГОСТ 26985-86, хлеб Полесский по ГОСТ 12267-66, хлеб Любительский по ГОСТ
26982-86 [31].
Ассортимент хлебопекарни СПК колхоза "Искра" представлен 70 наименованиями
продукции, из которых изделия из муки пшеничной хлебопекарной высшего сорта
представлены четырьмя наименованиями хлеба (Раменский, Ромашка, Пшеничный их
муки высшего сорта, Батон из муки высшего сорта), а так же мелкоштучными
хлебобулочными изделиями (булочки, сдобы, пирожки, пироги, печенье и др.). Из
муки высшего сорта на пекарне так же вырабатываются бисквитный пирог и торт
"Сметанник".
К изделиям из муки пшеничной хлебопекарной первого сорта относится хлеб
пшеничный из муки 1-го сорта.
На хлебопекарне СПК колхоза "Искра" ассортимент
ржано-пшеничного хлеба разрабатывается в соответствии с ГОСТ 2077-84 "Хлеб
ржаной, ржано-пшеничный и пшенично-ржаной. Технические условия" и
выпускается хлеб следующих наименований:
· Орловский формовой штучный;
· Подмосковный формовой штучный;
· Ржано-пшеничный простой формовой штучный;
· Столовый формовой штучный;
· Украинский Новый формовой штучный.
Перечень выпускаемой пекарней продукции размещен в приложении Б.
1.6
Показатели качества ржано-пшеничного хлеба в соответствии с требованиями
стандартов
По органолептическим показателям хлеб ржано-пшеничный и пшенично-ржаной
должен соответствовать требованиям ГОСТ 2077-84 "Хлеб ржаной,
ржано-пшеничный и пшенично-ржаной. Технические условия", указанным в
таблице 10.
Таблица 10 - Органолептические показатели ржано-пшеничного хлеба в
соответствии с ГОСТ 2077-84
|
Наименование показателя
|
Характеристика
|
|
Внешний вид: Форма
формового Поверхность формового Цвет
|
Соответствующая хлебной
форме, в которой производилась выпечка, без боковых наплывов. Гладкая, без
крупных трещин и подрывов, с наличием тмина или аниса у ржаного заварного
хлеба; допускается наличие шва от делителя-укладчика От светло-коричневого до
темно-коричневого
|
|
Состояние мякиша:
Пропеченность Промесс Пористость
|
Пропеченный, не липкий, не
влажный на ощупь, эластичный. После легкого надавливания пальцами мякиш
должен принимать первоначальную форму. У заварного хлеба мякиш с небольшой
липкостью. Без комочков и следов непромеса Развитая, без пустот и уплотнений.
Для заварного хлеба мякиш немного уплотненный
|
|
Вкус
|
Свойственный данному виду
изделия, без постороннего привкуса. У столового, подмосковного, рижского и
хлеба пеклеванного "Виру" слегка кисло-сладкий
|
|
Запах
|
Свойственный данному виду
изделия, без постороннего. У ржаного заварного хлеба, московского,
бородинского, минского, рижского, пеклеванного "Виру" - с легким
ароматом тмина, аниса или кориандра
|
Крупными считаются трещины, проходящие через всю верхнюю корку в одном
или нескольких местах и имеющие ширину более 1 см.
Крупными считаются подрывы, охватывающие всю длину одной из боковых
сторон формового хлеба и имеющие ширину более 1 см.
По физико-химическим показателям хлеб ржано-пшеничный и пшенично-ржаной
должен соответствовать требованиям ГОСТ 2077-84 приведенным в таблице 11.
Таблица 11 - Физико-химические показатели ржано-пшеничного хлеба в
соответствии с ГОСТ 2077-84
|
Наименование изделия
|
Влажность мякиша, %, не
более
|
Кислотность мякиша, град.,
не более
|
Пористость, %, не менее
|
Массовая доля сахара в
пересчете на сухое вещество, %
|
|
Орловский формовой штучный
|
48,0
|
9,0
|
55,0
|
-
|
|
Хлеб подмосковный формовой
|
48,0
|
9,0
|
55,0
|
-
|
|
Хлеб ржано-пшеничный
простой формовой
|
49,0
|
11,0
|
50,0
|
-
|
|
Хлеб столовый формовой
|
47.0
|
9,0
|
62,0
|
3,0+1,0
|
|
Хлеб украинский новый
формовой с соотношением муки ржаной 40%, пшеничной 60%
|
49,0
|
9,0
|
58,0
|
-
|
В хлебе ржано-пшеничном и пшенично-ржаном не допускаются посторонние
включения, хруст от минеральной примеси, признаки болезней и плесени [1].
Согласно СанПиН 2.3.2.1078-01 "Гигиенические требования безопасности
и пищевой ценности пищевых продуктов" хлебобулочные изделия могут иметь
следующие допустимые уровни токсических элементов (мг/кг, не более): свинец -
0,35; мышьяк - 0,15; кадмий - 0,07; ртуть - 0,015.
Микотоксины и пестициды контролируются по основному сырью - муке.
Допустимые уровни радионуклидов (Бк/кг, не более): цезий-137-40; стронций-90 -
20 [21].
Микробиологические показатели хлебобулочных изделий следующие: КМАФАнМ
(КОЕ/г, не более) - 1x103; масса продукта (г), в которой не допускаются
БГКП (коли-формы), - 1,0; S. Aureus - 1,0; патогенные, в т.ч. сальмонеллы, -
25; плесени (КОЕ/г, не более) - 50 [31].
1.7 Дефекты
ржано-пшеничного хлеба
Дефекты хлебобулочных изделий возникают при использовании
низкокачественного сырья, нарушений технологических процессов производства,
несоблюдении правил транспортирования и хранения хлебобулочных изделий. Дефект
- каждое отдельное несоответствие продукции установленным требованиям [28].
В хлебе ржано-пшеничном не допускаются посторонние включения, хруст от
минеральной примеси, признаки болезней и плесени [1].
В таблице 12 указаны дефекты ржано-пшеничного хлеба, вызванные, плохим
качеством муки [49].
Таблица 12 - Дефекты ржано-пшеничного хлеба, обусловленные
плохим качеством муки
|
Дефекты
|
Причины
|
Способы
устранения
|
|
Дефекты,
обусловленные плохим качеством муки
|
|
Посторонний
запах или привкус
|
Наличие в муке
примесей полыни, горчака или какого-либо постороннего запаха или вкуса
|
Переработать
муку вместе с нормальной мукой (если это может устранить указанный недостаток
хлеба)
|
|
Хруст на зубах
при разжевывании
|
Наличие в муке
песка или землистых веществ
|
Неустраним
|
|
Бледная корка
хлеба, малый удельный объем
|
Низкая сахаро-
и газообразующая способность муки
|
Переработать
муку в смеси с мукой, имеющей повышенную газообразующую способность.
|
|
Сыропеклый,
липкий, плохо разжевываемый, неэластичный мякиш. Пористость крупная,
неравномерная. Иногда разрывы мякише. Корка интенсивно; окрашена, имеет
красноватый оттенок, иногда отслаивается от мякиша. Вкус хлеба сладковатый.
|
Мука смолота из
проросшего зерна.
|
Для улучшения физических
свойств теста следует проводить брожение теста при более низкой температуре.
Повысить кислотность теста на 1°. Увеличить расход, соли для обойной муки на
50 % для 11 сорта на 25%. а для 1 и высшего сортов до 15% сверх положенного
по рецептуре. Снизить влажность теста на 1% против нормы. Не допускать
увеличения веса теста, по возможности уменьшить вес изделий. В случае
чрезмерного окрашивания корки выпекать хлеб при пониженной температуре и более
продолжительное время
|
Дефекты ржано-пшеничного хлеба, обусловленные плохим
качеством вспомогательного сырья, представлены в таблице 13.
Таблица 13 - Дефекты ржано-пшеничного хлеба, обусловленные
плохим качеством вспомогательного сырья
|
Дефекты
|
Причины
|
Способы
устранения
|
|
Дефекты,
обусловленные плохим качеством вспомогательного сырья
|
|
Хлеб низкий,
иногда имеет трещины на корке, тесто плохо и долго бродит
|
Плохое качество
дрожжей
|
Увеличить дозу
дрожжей. При применении прессованных дрожжей активировать их
|
|
Горький привкус
хлеба
|
Прогорклый жир
|
Заменить жир
|
Дефекты ржано-пшеничного хлеба, возникающие в результате
ошибок в технологическом процессе, представлены в таблице 14.
Таблица 14 - Дефекты ржано-пшеничного хлеба, обусловленные
ошибками в технологическом процессе
|
Дефекты
|
Причины
|
Способы
устранения
|
|
Дефекты,
обусловленные ошибками в технологическом процессе
|
|
Хлеб имеет
малый объем и округлую форму. Мякиш сухой, крошащийся
|
Недостаточное
количество воды при замесе теста
|
Увеличить залив
воды при замесе теста
|
|
Хлеб тяжелый,
подовый расплывается, формовой - имеет плоскую верхнюю корку. Мякиш с крупной
пористостью, влажный на ощупь, липкий
|
Излишнее
количество воды при замесе теста
|
Уменьшить залив
воды при замесе теста
|
|
Отслаивание
корки, разрывы в мякише
|
То же.
Чрезмерно густое, но моложавое тесто
|
Увеличить
количество воды при замесе теста и продолжительность брожения
|
|
Хлеб несоленый,
расплывчатый. Корка окрашена интенсивнее обычного, мякиш сыропеклый
|
Не задана соль
при замесе теста или неправильная дозировка ее
|
Проверить
дозировку соли при замесе теста
|
|
В хлебе
встречаются комочки муки - непромес
|
Недостаточная
длительность замеса теста. Неисправная тестомесильная машина
|
Увеличить
длительность замеса теста. Проверить работу тестомесильной машины
|
|
Хлеб с неравномерной
пористостью, низкий. Тесто липкое (запаренное)
|
Излишняя
длительность замеса теста
|
Уменьшить
длительность замеса
|
|
Хлеб пресный,
на поверхности пузыри с тонкой подгоревшей корочкой, которая при надавливании
ломается. Пористость понижена, может отставать корка от мякиша
|
Тесто
моложавое, невыхоженное
|
Увеличить
продолжительность брожения теста
|
|
Хлеб с бледной
коркой, с трещинами, кислый на вкус и на запах, в мякише иногда разрывы
|
Перестоявшее
закисшее тесто
|
Установить
нормальную продолжительность брожения
|
|
Неправильная
форма изделий, пониженная и неравномерная пористость
|
Неправильная
формовка
|
Проверить
работу формующих машин
|
|
Верхняя корка
формового хлеба очень выпуклая и оторвана с одной или двух сторон от боковых
стенок. Подовый хлеб имеет шаровидную форму или выплывы (шишки) с боков
|
Недостаточная
расстойка теста перед выпечкой
|
Увеличить
продолжительность расстойки теста
|
|
Верхняя корка
формового хлеба плоская или вогнутая, подовый хлеб расплывается, пористость
неравномерная
|
Чрезмерная
продолжительность расстойки теста перед выпечкой
|
Сократить
продолжительность расстойки теста
|
|
Малые трещинки
на поверхности хлеба
|
Заветривание
при расстойке теста
|
Устранить
сквозняки. Вести расстойку в расстойных камерах или на специальных конвейерах
|
|
Отслаивание
корки от мякиша, разрывы мякиша
|
Удары кусков
теста или форм с тестом о под при посадке в печь или начале выпечки
|
Устранить
толчки при посадке и выпечке хлеба
|
|
Подгорелая и
слишком толстая корка хлеба
|
Длительная
выпечка при нормальной температуре и влажности в пекарной камере
|
Сократить
продолжительность выпечки
|
|
Корка
подгорела, но в середине хлеб не пропечен
|
Слишком высокая
температура печи или неравномерный ее нагрев
|
Отрегулировать
нагрев печи
|
|
Корка матовая,
седоватая, иногда с трещинами
|
Отсутствие пара
в пекарной камере
|
Увлажнить
пекарную камеру
|
|
Бледная корка,
хлеб тяжелый, мякиш сыропеклый, липкий
|
Недостаточная
длительность выпечки при нормальной температуре в пекарной камере
|
Увеличить
продолжительность выпечки
|
|
Бледная, но
толстая корка, часто покрытая трещинами, хлеб тяжелый, мякиш сыропеклый,
липкий. При слабом тесте - закал
|
Недостаточный
или неравномерный нагрев печи
|
Проверить
температуру пекарной камеры в разных точках и отрегулировать ее
|
|
Бледная боковая
корка. Подовый хлеб с "притиском". Иногда разрывы в мякише и
трещины на корке
|
Недостаточное
расстояние между формами или кусками теста для подового хлеба при посадке
|
Увеличить
расстояние между формами или между кусками при посадке в печь
|
|
Отслаивание
корки
|
Плохое
обращение с горячим хлебом при выемке
|
Устранить
неосторожное обращение с хлебом при выемке из печи
|
|
Закал в ржаном
хлебе
|
Неосторожное
обращение с горячим хлебом при выемке и в течение нескольких минут после
выемки из печи
|
Укладывать
горячий хлеб для остывания не на нижнюю корку, а на боковую или лучше на
торцевую. Быстро охлаждать хлеб
|
|
Закал в ржаном
хлебе
|
Остывание на
холодной металлической поверхности
|
Не укладывать
хлеб для остывания на холодную металлическую поверхность
|
|
Закал в ржаном
хлебе
|
Плохая
пропеченность
|
Улучшить режим
выпечки: усилить нагрев пода, увеличить время выпечки, уменьшить развес хлеба
|
.8 Методы
исследования качества ржано-пшеничного хлеба в соответствии с требованиями
стандарта
Методы исследования качества хлеба представлены в таблице 15.
Таблица 15 - Методы исследования ржано-пшеничного хлеба в соответствии с
ГОСТ 2077-84 "Хлеб ржаной, ржано-пшеничный и пшенично-ржаной. Технические
условия"
|
№ п/п
|
Наименование исследования
|
Нормативный документ
|
|
1
|
Методы определения
органолептических показателей и массы
|
ГОСТ 5667-65 "Правила приемки,
методы отбора проб, методы определения органолептических показателей и
массы"
|
|
2
|
Методы отбора проб
|
ГОСТ 5667-65 "Правила
приемки, методы отбора проб, методы определения органолептических показателей
и массы"
|
|
3
|
Методы определения
влажности
|
ГОСТ 21094-75
"Хлеб и хлебобулочные изделия. Методы определения влажности"
|
|
4
|
Методы определения
пористости
|
ГОСТ 5669-96
"Хлеб и хлебобулочные изделия. Метод определения пористости
|
|
5
|
Методы определения
кислотности
|
ГОСТ 5670-96
"Хлеб и хлебобулочные изделия. Метод определения кислотности"
|
|
6
|
Методы определения массовой
доли сахара
|
ГОСТ 5672-68 "Хлеб и хлебобулочные изделия. Методы
определения массовой доли сахара"
|
|
7
|
Методы микробиологического
анализа
|
ГОСТ 26972-86 "Зерно,
крупа, мука, толокно для продуктов детского питания. Методы
микробиологического анализа"
|
|
8
|
Методы определения мышьяка
|
ГОСТ 26930-86 "Сырье и
продукты пищевые. Методы определения мышьяка"
|
|
9
|
Методы определения цинка
|
ГОСТ 26934-86 "Сырье и
продукты пищевые. Методы определения цинка.
|
1.9 Виды фальсификации
ржано-пшеничного хлеба
Ассортиментная фальсификация хлеба происходит за счет: подмены хлеба,
выработанного из одного сорта муки другим, одного вида хлеба другим.
Наиболее распространенной ассортиментной фальсификацией хлеба является
продажа изделий, выработанных из муки 1 сорта под видом хлебобулочных изделий
из муки высшего сорта. Отличить такую подделку можно и по цвету, но более
точное заключение делают на основе физико-химических показателей: содержание
клетчатки, пентозанов, кальция, фосфора, железа, которые может провести только
опытный эксперт по заданию представителя органов по защите прав потребителя.
Возможна также продажа пшенично-ржаного хлеба под видом, что это хлеб из
муки первого сорта. Однако такая фальсификация также легко распознается по
высокой кислотности данного изделия, устанавливаемая лабораторными методами.
К этому же виду фальсификации следует отнести частичную замену пшеничной
муки на кукурузную, гороховую, сухарную, если на маркировке не будет дана
соответствующая информация.
Качественная фальсификация хлеба может достигаться следующими приемами:
повышенным содержанием воды; добавлением других сортов муки; введением пищевых
добавок - улучшителей муки; заменой дрожжей на химические разрыхлители;
введением пищевых красителей; недовложением ценных компонентов (масла, яиц,
сахара и др.), предусмотренных рецептурой; заменой дорогих ценных компонентов
более дешевыми (маргарина - растительным маслом и т.п.); несоблюдением
технологических параметров производства хлеба; добавлением консервантов,
антибиотиков.
Повышенное содержание воды встречается в зимний период, поскольку в
летний период приводит к развитию картофельной болезни и плесневению.
В процессе выработки хлеба из того или иного сорта муки в него могут
добавлять до 15-25% другого сорта муки и такую фальсификацию обнаружить
достаточно сложно. Этим пользовались еще в прошлом веке.
В настоящее время широко используется другая фальсификация - добавление
улучшителей муки. Какие же здесь имеются приемы обмана.
Первый прием - обесцвечивание муки за счет окислительных или
восстановительных процессов. Берут муку первого сорта, добавляют в нее
окислитель, в результате химических процессов мука отбеливается из-за перехода
окрашенных веществ в бесцветные и становится по цвету идентичной муке высшего
сорта. Затем из нее уже вырабатываются хлебобулочные изделия якобы выработанные
из муки высшего сорта. Отбеливателями для муки являются: пиросульфит натрия,
перекись кальция, перекись бензоила, карбамид (мочевина), азодикарбонамид,
натриевые и калиевые соли цистина и цистеина, бромат калия, бромат кальция.
Второй прием - берут муку с низкой клейковиной, непригодную для
производства качественного хлеба, добавляют в нее улучшитель
-комплексообразователь и немного повышают количество клейковины, что позволяет
применять эту муку для хлебопекарного производства.
Улучшителями муки и хлеба в этом случае являются: лактат кальция, лактат
аммония, лактат магния, фосфаты кальция, фосфаты аммония, стерилтартрат, хлорид
аммония, сульфаты кальция, аммония, оксид кальция, железо хлорное, амилазы,
протеазы.
Третий прием - вводят различные химические разрыхлители, которые
интенсифицируют выделение углекислого газа.
В качестве разрыхлителей хлеба вводятся: пирофосфаты, карбонаты натрия,
карбонаты аммония, глюконовая кислота, глюконо-дельта лактон, Однако, если бы
хлебопеки честно указывали в сопроводительных документах какие улучшители они
добавили в то или иное изделие, то это бы не было обманом и фальсификацией. Но
они, в нарушение закона "О защите прав потребителей" не указывают,
какие введены добавки в то или иное хлебобулочное изделий, обманывают
покупателя и этим самым нарушают закон.
Новым видом фальсификации является введение различных химических
разрыхлителей, которые усиливают выделение углекислого газа. В результате чего
не нужно долго проводить процесс брожения теста вообще, либо можно значительно
его сократить. В результате вместо хорошо выброженного пшеничного теста
получают смесь воды и муки слегка насыщенную углекислым газом. В хлебе,
выработанном по такой технологии, нет аромата и вкуса, характерного для
хлебобулочных изделий, мякиш имеет не серый цвет, а белый, цвет муки.
При полной замене процесса брожения на химический разрыхлитель хлеб
вообще может иметь амбарный запах (запах мышиных испражнений). При несоблюдении
температурных режимов выпечки, особенно ржаного и ржано-пшеничных видов
хлебобулочных изделий, вырабатывают непропеченные изделия, которые не должны
поступать в реализацию. Отличить такой хлеб очень просто. При надавливании на
мякиш и затем снятия нагрузки мякиш должен полностью восстановить свою форму.
Если он не восстанавливает форму, а даже прилипает к пальцу, то это
непропеченный хлеб.
Для удлинения сроков хранения хлебобулочных изделий в них могут добавлять
консерванты или антибиотики. Отличить эти изделия очень просто. Если срок
хранения у хлебобулочных изделий более 48 часов, то в них введены консерванты
или антибиотики, а если на этикетке хлеба об этом не указано, то перед Вами
очередная фальсификация и очередной обман потребителя. Особенно часто вводят
консерванты или антибиотики в хлеб, нарезанный на ломтики для тостеров.
Самым распространенным способом предреализационной фальсификации является
реализация черствого хлеба.
Предреализационная фальсификация качества встречается в форме реализации
не только черствого, но и плесневелого хлеба, в том числе в мякише, когда
используется частичная замена муки размоченным черствым хлебом с плесенью, но
это уже технологическая фальсификация. Кроме того, при несоблюдении условий
хранения хлеба, упакованного в полиэтиленовые мешочки, летом в жаркую погоду
имеет место реализация хлеба с картофельной болезнью, который опасен для
потребления.
Следует отметить, картофельная болезнь хлеба может явиться следствием
применения муки, зараженной сенной палочкой, при нарушении
санитарно-гигиенического режима производства. Таким образом, хлеб с
картофельной болезнью и плесенью является следствием технологической и
предреализационной качественной фальсификацией.
К предреализационной фальсификации относится и реализация хлеба с
санитарным браком (загрязненного, деформированного и т.п.).
Количественная фальсификация хлеба (недовес) - это обман потребителя за
счет значительных отклонений параметров товара (массы), превышающих предельно
допустимые нормы отклонений.
Выявить такую фальсификацию достаточно просто, необходимо взвесить
предварительно массу 10 булок поверенными измерительными мерами веса и затем
разделить на 10.
Информационная фальсификация хлеба - это обман потребителя с помощью
неточной или искаженной информации о товаре.
Этот вид фальсификации осуществляется путем искажения информации в
товарно-сопроводительных документах, маркировке, рекламе товара. При
фальсификации информации о хлебе довольно часто искажаются или указываются
неточно следующие данные:
наименование товара;
сорт муки, из которой изготовлены хлебобулочные изделия;
состав продукта.
Так же может осуществляться подмена сертификатов соответствия,
сопроводительных документов [28, 41].
1.10 Условия
хранения и транспортировки
Укладка в лотки хлеба и хлебобулочных изделий должна производиться в
соответствии с правилами укладки, хранения и перевозки хлеба и хлебобулочных
изделий по ГОСТ 8227-56 "Хлеб и хлебобулочные изделия. Укладывание,
транспортирование и хранение".
Выпеченные изделия укладывают в чистые деревянные лотки (изделия с
дефектами отбраковывают). Допускается также укладка в лотки из полимерных
материалов. Применяют два вида деревянных лотков: трехбортные лотки с
решетчатым дном (для крупных изделий) и четырехбортные со сплошным днищем.
Лотки из полимерных материалов используются четырехбортные [38].
Хлебохранилище располагают в чистом, сухом и хорошо проветриваемом
помещении. В нем нельзя хранить другие продукты и материалы, а также держать
бракованные изделия.
Транспортные средства, предназначенные для перевозки хлеба и
хлебобулочных изделий, должны соответствовать санитарно-гигиеническим
требованиям, приведенным в СанПиН 2.3.4.545-96.
После выпечки хлеб стерилен, но в процессе хранения и перевозки (при
нарушении установленных санитарных правил) он может быть загрязнен или
обсеменен различными микроорганизмами.
В настоящее время широко применяют упаковку хлебных изделий в различные
виды мягкой тары (целлофан, полиэтиленовую, полипропиленовую, термоусадочную и
другую синтетическую пленку).
Все упаковочные материалы должны быть безвредными, не реагировать с
веществами хлеба, быть непроницаемыми для паров и газа. Перед упаковкой изделия
охлаждают, в термоусадочную пленку изделия упаковывают горячими. Упаковка не
только задерживает очерствение изделий на 4-5 суток, но и позволяет хранить и
транспортировать их в хорошем санитарном состоянии [19].
Хлеб является продуктом кратковременного хранения. Срок реализации хлеба
из ржаной и ржано-пшеничной муки - 36 ч. Сроки хранения хлеба исчисляются со
времени выхода их из печи до момента доставки его покупателю. Лучше всего
потребительские свойства хлеба сохраняются при температуре 20-25°С и
относительной влажности воздуха 75%. Срок хранения хлеба в упаковке - 72 ч., а
при применении консервирующих добавок - 14-30 дней [10].
Таким образом, хлеб производства пекарни СПК колхоза "Искра"
реализуется в пределах города Котельнич и Котельничского района не имеет
упаковку и информационного листка, который мог идти вместе с упаковочным
материалом или же вкладываться в транспортные средства, но проанализировать
маркировку мы можем в потребительском уголке любого магазина, где и реализуется
ржано-пшеничный хлеб пекарни.
Информационный листок содержит:
местонахождение СПК колхоза "Искра"
наименование продукта
массу, кг
состав продукта по рецептуре
химический состав
энергетическую ценность
нормативный документ
срок реализации
условия хранения.
Информационный листок представлен в приложении В.
2. Экспертиза
качества и оценка конкурентоспособности ржано-пшеничного хлеба производства
пекарни СПК колхоза "Искра"
2.1 Материал
для исследования
Материалом для исследования послужили пять образцов ржано-пшеничного
хлеба, выпускаемые пекарней СПК колхоза "Искра" по одному
нормативному документу ГОСТ 2077-84 "Хлеб ржаной, ржано-пшеничный и
пшенично-ржаной. Технические условия".
Образцы были отобраны на предприятии 15 марта 2011 года.
Характеристика образцов представлена в таблице 16.
Таблица 16 - Характеристика исследуемых образцов ржано-пшеничного хлеба
|
№ Образца
|
Наименование
ржано-пшеничного хлеба
|
Состав
|
Пищевая, энергетическая
ценность в 100 г
|
Масса нетто, г
|
Цена, Руб.
|
|
1
|
Орловский
|
Мука ржаная обдирная, мука
пшеничная 2 сорта, патока, дрожжи, соль, вода
|
Белки - 6,6 г Жиры - 1,1 г
Углеводы - 43,4 г 209,9 ккал
|
500,0
|
10.50
|
|
2
|
Подмосковный
|
Мука ржаная обдирная, мука
пшеничная 2 сорта, дрожжи, соль, сахар, вода
|
Белки - 6,8 г Жиры- 1,0 г
Углеводы - 44,5 г 214,2 ккал
|
500,0
|
11.00
|
|
3
|
Ржано-пшеничный
|
Мука ржаная обдирная, мука
пшеничная 2 сорта, дрожжи, соль, вода
|
Белки - 6,4 г Жиры - 1,1 г
Углеводы - 41,0 г 199,5 ккал
|
500,0
|
11.00
|
|
4
|
Столовый
|
Мука ржаная обдирная, мука
пшеничная 2 сорта, дрожжи, сахар, соль, вода
|
Белки - 6,9 г Жиры - 1,2 г
Углеводы - 43,5 г 212,4 ккал
|
500,0
|
11.50
|
|
5
|
Украинский новый
|
Мука ржаная обдирная, мука
пшеничная 2 сорта, дрожжи, соль, вода
|
Белки - 7 г Жиры - 1 г
Углеводы - 43,3 г 210 ккал
|
500,0
|
12.00
|
Цены на продукцию пекарни указаны в приложении Г.
Как видно из таблицы 16, стоимость наименований ржано-пшеничного хлеба
различна. Эти различия объясняются различным рецептурным составом.
О качестве готовой продукции хлебопекарного предприятия судят по данным
анализа отбираемых средних проб готовых хлебобулочных изделий.
Методы испытаний в соответствии с ГОСТ 2077-84 включают следующие
показатели качества:
органолептических - форма, поверхность, цвет, состояние мякиша, вкус,
запах;
физико-химических - массовая доля влаги, кислотность, пористость,
массовая доля сахара;
микробиологических - наличие КМАФАнМ, БГКП, патогенных микроорганизмов, в
т.ч. сальмонелл, плесени.
Испытание продукции предусматривает использование нормативных документов,
регламентирующих требования к качеству и безопасности ржано-пшеничного хлеба
[39].
2.2 Отбор
проб в соответствии с ГОСТ 5667-65
В соответствии с ГОСТ 5667-65 "Хлеб и хлебобулочные изделия. Правила
приемки, методы отбора образцов, методы определения органолептических
показателей и массы изделий", продукция, вырабатываемая хлебопекарными
предприятиями, принимается и контролируется партиями.
Партией считают: в экспедиции предприятия - при непрерывном процессе
тестоприготовления хлеб и хлебобулочные изделия одного наименования,
выработанные одной бригадой за одну смену; при порционном процессе - изделия,
выработанные одной бригадой за одну смену из одной порции теста; в торговой сети
- хлебобулочные изделия одного наименования, полученные по одной
товарно-транспортной накладной.
Для контроля органолептических и физико-химических показателей была
составлена представительная выборка способом "россыпью" и отбор
образцов производили от представленной выборки методом "вслепую" в
соответствии с ГОСТ 18321 "Статистический контроль качества. Методы
случайного отбора выборок штучной продукции". Отбор проб осуществляли в
отделении готовой продукции хлебопекарни СПК колхоза "Искра". Отбор
проб осуществляли совместно с главным технологом Баевой Т.В.
Объем представленной выборки определяли следующим образом. В процессе
выработки партии изделий на предприятии, из вагонеток отбирали отдельные
изделия в количестве 0,3% всей партии, но не менее 10 шт. - при массе
отдельного изделия менее 1 кг.
Для контроля органолептических показателей (кроме формы, поверхности и
цвета), а также наличия посторонних включений, хруста от минеральной примеси,
признаков болезней и плесени от представительной выборки были отобраны пять
единиц продукции.
Для контроля физико-химических показателей от представительной выборки
были отобраны лабораторные образцы в количестве - для штучных изделий массой
более 400 г 1 штука.
Физико-химические показатели определяли в течение установленных сроков
реализации продукции, но не ранее чем через час для мелкоштучных изделий массой
200 г и менее и не ранее, чем через три часа для остальных изделий [2].
Для проверки качества изделий нами было отобрано три лабораторных
образца. Все образцы были анализированы в производственной лаборатории СПК
колхоза "Искра".
2.3 Анализ
товаросопроводительных документов и маркировки товара
Нами были исследованы следующие документы:
сертификат соответствия на муку ржаную хлебопекарную обдирную №1111516,
выданный сельскохозяйственному производственному кооперативу колхозу
"Искра" на основании протоколов испытаний №6/15 от 10.04.2009 г., №41
от 09.04.2009 г. сроком действия на период с 27.04.2009г. по 26.04.2012г.,
органом по сертификации продукции (Федеральное государственное учреждение
"Российский сельскохозяйственный центр");
сертификат соответствия на муку пшеничную хлебопекарную 2-го сорта
№0544046, выданный СПК колхозу "Искра" на основании протокола
испытаний №557 от 04.05.2011 г., органом по сертификации продукции и услуг (ООО
"Кировский центр сертификации и качества"), сроком действия на период
11.05.2011 г. по 10.05.2014 г.;
сертификат соответствия на хлеб ржаной, ржано-пшеничный, пшенично-ржаной
в ассортименте №0496709, выданный СПК колхозу "Искра" на основании
протокола испытаний № 32 от 09.02.2011 г., органом по сертификации продукции и
услуг (ООО "Кировский центр сертификации и качества"), на период
действия с 09.02.2011 г. по 08.02.2014г.;
декларация соответствия на хлеб ржаной, ржано-пшеничный, пшенично-ржаной:
ржаной из обдирной муки, украинский новый, славянский, орловский.
Регистрационный номер декларации - РОСС RU. АЯ31.ДО 5474 выданный СПК колхозу
"Искра" заявляет, что хлеб ржаной, ржано-пшеничный, пшенично-ржаной:
ржаной из обдирной муки, украинский новый, славянский, орловский выпускаемый по
ГОСТ 2077-84 "Хлеб ржаной, ржано-пшеничный и пшенично-ржаной. Технические
условия" соответствует требованиям ГОСТ 2077-84 п.п. 1.3-1.5, 1.7, СанПиН
2.3.2.1078-01 п. 1.4.7, ГОСТ Р 51074-2003 Разд. 3, п.4.8., на период действия с
09.02.2011г. до 09.02.2014г.;
санитарно-эпидемиологическое заключение №0828332 от 17.02.2011 г.
удостоверяет, что мука ржаная хлебопекарная сорт обдирная изготовлена в
соответствии с ГОСТ 7045-90 Правила организации и ведения технологического
процесса на мукомольных заводах от 1991г. соответствует государственным
санитарно-эпидемиологическим правилам и нормам по СанПиН 2.3.2.1078-01
"Гигиенические требования безопасности и пищевой ценности пищевых
продуктов";
качественное удостоверение, выданное на продукты, выработанные в СПК
"Искра" для реализации;
накладная (внутрихозяйственного назначения) СПК колхоз "Искра"
Котельничского района.
Все документы оформлены в соответствии с необходимыми требованиями,
заверены печатям и подписями должностных лиц и представлены в приложении Д.
Так как предприятие выпускает небольшие объемы хлебной продукции и
реализует ее через сеть собственных магазинов, в том числе через магазин,
расположенный в здании пекарни, то готовые изделия не упаковываются в
индивидуальную упаковку. Хлеб поступает в розничную торговую сеть на лотках и
реализуется после упаковывания в торговом предприятии. В качестве упаковки используются
полиэтиленовый пакеты, на которые не наносится маркировка и нет упаковочного
ярлыка. Ввиду этого анализ маркировки не произведен.
2.4 Методы исследования ржано-пшеничного хлеба
.4.1 Методы
определения органолептических показателей и массы изделий
Органолептическая оценка пищевых продуктов, в том числе и хлебобулочных
изделий, в оценке их качества имеет очень большое значение. К органолептически
определяемым показателям хлебобулочных изделий, в соответствии с ГОСТ 2077-84
"Хлеб ржаной, ржано-пшеничный и пшенично-ржаной. Технические
условия", относят внешний вид (форма, состояние поверхности, цвет),
состояние мякиша (пропеченность, промесс, пористость), вкус и запах.
Показатели: форму, поверхность и цвет контролируют осмотром всего
изделия, отобранного в соответствии с требованиями п.1.2 ГОСТ 5667-65
"Хлеб и хлебобулочные изделия. Правила приемки, методы отбора образцов,
методы определения органолептических показателей и массы изделий".
Органолептические показатели (кроме формы, поверхности и цвета)
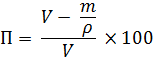
контролируют в изделиях, отобранных в соответствии с п. 2.2 ГОСТ 5667-65,
посредством органов чувств (обоняния, осязания, зрения).
Форму изделия, окраску и состояние мякиша, его эластичность, свежесть,
наличие или отсутствие хруста от минеральных примесей устанавливали разрезанием
пяти образцов из средней пробы.
Внешний вид изделия определяли путем его осмотра. При этом обращали
внимание на симметричность и правильность его формы, состояние поверхности и
цвет корки.
При оценке формы, поверхности изделия обращали внимание на соответствие
требованиям нормативных документов.
Цвет корки характеризовали как бледный, светло-коричневый, коричневый,
темно-коричневый.
При оценке состояния мякиша обращали внимание на правильность формы
(выпуклая, плоская, вогнутая), на ее поверхность (гладкая, ровная, неровная,
бугристая, с подрывами, трещинами). Трещинами считали разрывы, проходящие через
верхнюю поверхность корки. Подрывом считали отрыв боковой корки от верхней.
Внешний вид образцов представлен в приложении.
При оценке состояния мякиша изделие предварительно аккуратно разрезали
острым ножом на две равные части. Обращали внимание на цвет мякиша,
равномерность его окраски, пористость, пропеченность, промесс и его
эластичность.
Пропеченность определяли при оценке эластичности мякиша и его влажности
на ощупь.
Промесс характеризовали наличием или отсутствием комочков из муки и
непропеченного теста.
Эластичность мякиша определяли легким надавливанием на поверхность среза
двумя или тремя пальцами, быстрым отрывом их от поверхности среза и наблюдали
за скоростью восстановления его поверхности в исходное положение. При полном
отсутствии остаточной деформации эластичность мякиша характеризовали хорошей,
при незначительной, то есть при почти полном восстановлении, - средней; при
заминаемости мякиша и значительной остаточной деформации - плохой.
При оценке пористости изделия обращали внимание на величину пор (крупные,
средние, мелкие), равномерность их распределения (равномерная, достаточно
равномерная, неравномерная).
При оценке запаха обращали внимание на наличие или отсутствие у изделия
посторонних, несвойственных ему и особенно неприятных запахов.
Вкус определяли при разжевывании мякиша изделия. Обращали внимание на
наличие вкуса не свойственного хлебобулочному изделию [25,38].
С целью исключения субъективности мнения была использована балловая
система оценки органолептических показателей. Образцы ржано-пшеничного хлеба
оценивали по таким показателям, как внешний вид состояние мякиша, вкус, запах.
Каждый показатель оценивали по пятибалльной шкале.
В таблице 17 представлена балловая шкала оценки органолептических
показателей ржано-пшеничного хлеба.
Таблица 17 - Балловая шкала органолептической оценки ржано-пшеничного
хлеба
|
Показатель качества
|
Баллы
|
Характеристика уровней
качества изделий
|
|
Форма
|
5
|
Формового - правильная,
соответствующая хлебной форме, в которой производилась выпечка, без боковых
выплывов.
|
|
4
|
Формового - правильная, с
несколько выпуклой коркой.
|
|
3
|
Формового - неправильной
формы, с плоской коркой
|
|
2
|
Формового - неправильной
формы, с плоской коркой
|
|
1
|
Формового - мятая, с
выплывами
|
|
Состояние поверхности
|
5
|
Гладкая, без трещин и
подрывов. Равномерная окраска от светло-коричневого до темно-коричневого
|
|
4
|
Достаточно гладкая,
заметные трещины, без подрывов, равномерная окраска от светло-коричневого до
темно-коричневого
|
|
3
|
Шероховатая, заметные
трещины и подрывы, окраска достаточно равномерная от светло-коричневого до
коричневого
|
|
2
|
Бугорчатая, крупные трещины
и подрывы, окраска бледно-коричневая
|
|
1
|
Разорванная корка с
выплывами мякиша. Окраска бледная, пригорелая, загрязненная
|
|
Состояние мякиша
|
5
|
Пропеченный, не липкий, не
влажный на ощупь, эластичный, без комочков и следов непромеса, пористость
равномерная без пустот и уплотнений
|
|
4
|
Пропеченный, не липкий и
невлажный на ощупь эластичный, пористость достаточно равномерная, поры мелкие
и средние, без комочков и следов непромеса.
|
|
3
|
Слегка липкий, эластичный,
пористость неравномерная, поры различные, могут быть единичные комочки и
следы непромеса
|
|
2
|
Липкий, влажный на ощупь,
недостаточно эластичный, неравномерная пористость, могут быть комочки и следы
непромеса
|
|
1
|
Сильно заминающийся,
влажный, значительное количество плотных участков и пустот
|
|
Вкус
|
5
|
Вкус хорошо пропеченного
хлеба и хорошо выброженного теста, ярко выражен, в меру соленый, у Столового
и Подмосковного слегка кисло-сладкий
|
|
4
|
Хорошо выраженный хлебный,
кисловатый, у Столового и подмосковного слегка кисло-сладкий
|
|
3
|
Слабовыраженный хлебный,
пустой, пресный, у Столового и Подмосковного слегка кисло-сладкий
|
|
2
|
Кислый, недосоленный, у
Столового и Подмосковного слегка кисло-сладкий
|
|
1
|
Дрожжевой, пересоленный, не
хлебный, с посторонними привкусами
|
|
Запах
|
5
|
Аромат хорошо пропеченного
хлеба из хорошо выброженного теста, ярко выражен
|
|
4
|
Хорошо выраженный хлебный
|
|
3
|
Слабовыраженный хлебный,
кислый, тестовый
|
|
2
|
Пустой, пресный, не
выраженный
|
|
1
|
Затхлый, плесневелый, не
хлебный, неприятный
|
Для определения достоверности результатов дегустации необходимо провести
статистическую обработку дегустационных листов.
Порядок проведения расчетов следующий:
. Сначала усредним оценки дегустаторов по единичным показателям.
Рассчитывали среднее арифметическое значение оценок единичных показателей (в
баллах) по формуле:
,
- среднее арифметическое значение оценки единичных
показателей, баллы;
- сумма оценок дегустаторов по конкретному показателю одного
образца продукции, баллы- число дегустаторов.
. Для характеристики разброса совокупности оценок дегустаторов определяли
стандартное отклонение для каждого единичного показателя по формуле:
,
- стандартное отклонение;
- сумма квадратов оценок дегустаторов, баллы;
- квадрат среднего значения оценок показателя;- число
дегустаторов.
. Среднее арифметическое оценки единичного показателя умножали на соответствующие
коэффициенты весомости. Рассчитывали комплексные показатели по формуле:
,
х - усредненные оценки единичных показателей качества, баллы;-
соответствующие коэффициенты весомости единичных показателей;- число единичных
показателей.
. Результаты статистического анализа обобщали в сводную таблицу.
Рассчитывали комплексные показатели по формуле:
,
,
,
- усредненные оценки единичных показателей качества, баллы;

- соответствующие коэффициенты весомости единичных показателей;
n
- число единичных показателей
5. По единичным и комплексным показателям в соответствии с разработанными
ранее критериям устанавливали уровень качества оцениваемой продукции.
Результаты статистического анализа обобщали в сводную таблицу.
Стандартное отклонение S характеризует согласованность мнений экспертов
при условии однородности анализируемых проб. Если оценки однозначны, то S по
5-ти балловой шкале обычно не превышает + 0,5 балла. При отклонении +
1 и более (это соответствует коэффициенту вариации 20% и более по 5-ти балловой
шкале) анализируемая совокупность оценок статистически неоднородна. Если при
подготовке проб или во время дегустации не было допущено ошибок, то сомнению
подвергается качество подготовки дегустаторов.
Данные дифференцирования ржано-пшеничного хлеба по качеству в зависимости
от дегустационных оценок, представлены в таблице 18.
Таблица 18 - Категории качества ржано-пшеничного хлеба
|
Категория качества
|
Средние оценки х по
единичным показателям без учета коэффициента весомости, балл
|
Комплексный показатель с
учетом коэффициента весомости, балл
|
|
Стандартная
|
|
Высшая
|
5 - 4,0
|
100-90
|
|
Первая
|
3,9 - 3,0
|
89-80
|
|
Вторая
|
2,9 - 2,0
|
79-60
|
|
Нестандартная
|
менее 2,0
|
менее 60
|
В результате дифференцирования получили три стандартных категории качества:
высшая, первая и вторая. А также одну нестандартную категорию - пищевую
неполноценную со средней оценкой по единичным показателям не ниже 2,0.
При определении массы изделия применяли весы среднего класса точности по
ГОСТ 29329 "Весы для статического взвешивания. Общие технические
требования" с ценой деления не более 2г для массы до 200г включительно;
гири 5 класса точности по ГОСТ 7328 "Гири. Общие технические
условия".
Перед выполнением измерений проверяли правильность установки весов.
Среднюю массу одного изделия определяли как среднеарифметическую величину
одновременного взвешивания 10 штук изделий без упаковки из отобранных в
соответствии с п.1.2. ГОСТ 5667-65 "Хлеб и хлебобулочные изделия. Правила
приемки, методы отбора образцов, методы определения органолептических
показателей и массы изделий" [2].
2.4.2 Методы
определения физико-химических показателей
К физико-химическим показателям качества хлеба, в соответствии с ГОСТ
27842-88 "Хлеб из пшеничной муки. Технические условия", относятся
массовая доля влаги, кислотность, пористость, массовая доля сахара и жира (для
изделий, в рецептуру которых входит сахар и жир).
2.4.2.1
Определение влажности пшеничного хлеба
Массовую долю влаги образцов ржано-пшеничного хлеба определяют по ГОСТ
21094-75 "Хлеб и хлебобулочные изделия. Метод определения влажности"
Сущность метода заключается в высушивание навески изделия при
определенной температуре и вычисления влажности.
Лабораторный образец разрезали поперек на две приблизительно равные
части, от одной части отрезали ломоть толщиной 1-3 см, отделяли мякиш от корок
на расстоянии около 1 см. масса выделенной пробы составляла 20 г.
Подготовленную пробу тщательно измельчали ножом, перемешивали и
взвешивали в заранее посушенной и тарированных металлических бюксах с крышками
две навески по 5 г каждая, с погрешностью не более 0,01 г.
Навески в открытых бюксах с крышками помещали в предварительно подогретый
СЭШ - 3М. Температура в шкафу при этом быстро падает. В течении 10 мин ее
доводят до 130 оС и при этой температуре продолжали высушивать в
течении 45 мин.
После высушивания бюксы закрывали крышками и переносили в эксикатор для
охлаждения (20 мин). Охлажденные бюксы снова взвешивали и по разности между
мессой до и после высушивания определяли количество испарившегося Н2О
из 5 г хлеба.
Влажность (W) в процентах вычисляют по формуле:
,
где m1 - масса бюксы с навеской до высушивания, г,2
- масса бюксы с навеской после высушивания, г,- масса навески, г .
За окончательный результат принимали среднее арифметическое результатов
двух параллельных определений.
Допускаемое расхождение между результатами параллельных определений
влажности не должны превышать 1%. Влажность вычисляется с точностью до 0,5%
[3].
2.4.2.2
Определение пористости ржано-пшеничного хлеба
Определение пористости проводили по ГОСТ 5669-96 "Хлебобулочные
изделия. Метод определения пористости". Сущность метода во взвешивании
выемок из прибора пробник Журавлева и обработке результатов.
Из середины лабораторного образца вырезают кусок шириной не менее 7-8 см.
Из куска мякиша на расстоянии не менее 1 см от корок делали выемки цилиндром
прибора Журавлева, для чего острый край цилиндра предварительно смазывали
растительным маслом и вводили вращательными движениями в мякиш хлеба.
Заполненный мякишем цилиндр укладывали на лоток так, чтобы ободок, его
плотно входил в прорез, имеющийся в лотке. Затем хлебный мякиш выталкивали из
цилиндра деревянной втулкой примерно на 1 см и срезали его у края цилиндра
острым ножом. Отрезанный кусок мякиша удаляли. Оставшийся в цилиндре мякиш
выталкивали втулкой до стенки лотка и так же отрезали у края цилиндра.
Для определения пористости мякиша делали три цилиндрических выемки, для
ржаного хлеба из смеси муки - четыре выемки объемом 27±(0,5)см3 каждая
и одновременно взвешивали.
Пористость П, %, вычисляли по формуле
,
где V - общий объем выемок хлеба, см3 ;- масса выемок, г;-
плотность беспористой массы мякиша.
Плотность беспористой массы принимали для хлебобулочных изделий из смеси
ржаной обдирной муки и пшеничной муки второго сорта - 1,23. вычисления проводят
с точностью до 0,1% [5].
2.4.2.3
Определение кислотности ржано-пшеничного хлеба
Определение кислотности ржано-пшеничного хлеба проводят в соответствии с
ГОСТ 5670-96 "Хлебобулочные изделия. Методы определения кислотности".
Под градусом кислотности (согласно ГОСТ 5670-96) понимают объем в
кубических сантиметрах раствора точной молярной концентрации 1 моль/дм3 гидроокиси
натрия или гидроокиси калия, необходимый для нейтрализации кислот, содержащихся
в 100 г изделия.
Образцы, состоящие из одного целого изделия, разрезали пополам по ширине
и от одной половины отрезали кусок массой около 70 г, у которого срезали корку
и подкорочный слой общей толщиной около 1 см, измельчали в крошку, перемешивали
и брали навески.
Взвешивали 25,0 г крошки. Навеску помещали в сухую бутылку вместимостью
500 см3 , с хорошо пригнанной пробкой. Мерную колбу, вместимостью
250 см3 наполняют до метки дистиллированной водой температурой 18-25оС.
Около 1/4 взятой дистиллированной воды перелили в бутылку с крошкой, быстро
растирали деревянной лопаткой до получения однородной массы, без заметных
кусочков и не растертой крошки.
К полученной смеси прибавляли из мерной колбы всю оставшуюся
дистиллированную воду. Бутылку закрывали пробкой и энергично встряхивали в течение
2 мин и оставляли в покое при комнатной температуре в течение 10 мин. Затем
смесь снова энергично встряхивали в течение 2 мин и оставляли в повое в течение
8 мин.
По истечении 8 мин отстоявшийся жидкий слой осторожно сливали через
чистое сито или марлю в сухой стакан. Из стакана отбирали пипеткой по 50 см3
раствора в две конические колбы вместимостью по 100 - 150 см3 каждая
и титровали раствором гидроокиси натрия молярной концентрацией 0,1 моль/дм3
с 2 - 3 каплями фенолфталеина до получения слабо - розового окрашивания,
не исчезающего при спокойном состоянии колбы в течение 1 минуты.
Кислотность Х , град., вычисляют по формуле:
,
где V - объем раствора гидроокиси натрия с молярной концентрацией 0,1
моль/дм3 , израсходованный на титрование исследуемого
раствора, см3;1 - объем дистиллированной воды, взятой для
извлечения кислот из исследуемой продукции, см3;
а - коэффициент пересчета на 100 г навески;
К
- поправочный коэффициент приведения используемого раствора гидроокиси натрия
или гидроокиси калия к раствору точной молярной концентрации 0,1 моль/дм3;
,1 - коэффициент приведения раствора гидроокиси натрия или гидроокиси
калия молярной концентрации 0,1 моль/дм3 к 1,0 моль/дм3;-
масса навески, г;2 - объем исследуемого раствора, взятого для
титрования, см3.
Для хлеба формулу можно представить
,
Определение кислотности считают правильным, если результаты двух
параллельных титрований для одного фильтрата полностью совпадают или отличаются
для хлеба не более чем на 0,30 град. За окончательный результат анализа
принимают среднее арифметическое результатов двух параллельных определений [4].
2.5
Результаты исследований отобранных образцов ржано-пшеничного хлеба
2.5.1
Результаты определения массы образцов ржано-пшеничного хлеба
Среднюю массу изделия определяли как среднеарифметическую величину
одновременного взвешивания 10 штук отобранных изделий без упаковки.
Результаты определения массы образцов ржано-пшеничного хлеба представлены
в таблице 19.
Таблица 19 - Результаты определения массы образцов ржано-пшеничного хлеба
|
Образец №
|
Масса 10 изделий, кг
|
Заявленная масса нетто 1
изделия
|
Фактическая масса нетто 1
изделия, г
|
Допустимое отклонение по
ГОСТ 2077-84
|
Фактическое отклонение
|
|
|
|
|
%
|
г
|
%
|
г
|
|
1 (Орловский)
|
4,97
|
500
|
497
|
2,5
|
12,5
|
0,6
|
3
|
|
2 (Подмосковный)
|
5,10
|
500
|
510
|
2,5
|
12,5
|
2
|
10
|
|
3 (Ржано-пшеничный)
|
5,30
|
500
|
530
|
2,5
|
12,5
|
6
|
30
|
|
4 (Столовый)
|
5,50
|
500
|
550
|
2,5
|
12,5
|
10
|
50
|
|
5 (Украинский новый)
|
5,20
|
500
|
520
|
2,5
|
12,5
|
4
|
20
|
Образцы №1 (хлеб Орловский), 2 (хлеб Подмосковный) имеют допустимое
требованиями ГОСТ 2077-84 отклонение массы нетто, которое составляет в
отрицательную сторону 12,5 г (2,5%). Все показатели отклонения массы в
положительную сторону не нормируются по ГОСТ 2077-84. Наибольшее отклонение
(+50 г) у хлеба Столового.
Это объясняется тем, что производство хлеба и хлебобулочных изделий на
хлебопекарне СПК колхоза "Искра" осуществляется ручным способом.
Формовщик укладывает замешанное тесто в формы, предварительно смазанные
растительным маслом, и взвешивает форму с тестом на весах, и, в зависимости от
полученных показаний, либо убирает излишки теста, либо наоборот добавляет
необходимое количество. Для хлеба масса заготовки должна быть 0,6 кг.
2.5.2 Результаты исследования органолептических показателей образцов
ржано-пшеничного хлеба
Результаты органолептических исследований внешнего вида образцов
ржано-пшеничного хлеба на соответствие ГОСТ 2077-84 "Хлеб ржаной,
ржано-пшеничный и пшенично-ржаной. Технические условия" приведены в
таблице 20.
Таблица 20 - Результаты исследования внешнего вида анализируемых образцов
ржано-пшеничного хлеба
|
Показатели
|
Требования ГОСТ 2077-84
|
Образец №1 (Орловский)
|
Образец №2 (Подмосковный)
|
Образец №3
(Ржано-пшеничный)
|
Образец №4 (Столовый)
|
Образец №5 (Украинский
новый)
|
|
Внешний вид: форма
|
Соответствующая хлебной
форме, в которой производилась выпечка, без боковых выплывов
|
Соответствующая хлебной
форме, без боковых выплывов
|
Соответствующая хлебной
форме, без боковых выплывов
|
Соответствующая хлебной
форме, без боковых выплывов
|
Соответствующая хлебной
форме, без боковых выплывов
|
Соответствующая хлебной
форме, без боковых выплывов
|
|
Поверхность
|
Гладкая, без крупных трещин
и подрывов
|
Гладкая, ровная, без трещин
и подрывов
|
Гладкая, ровная, без трещин
и подрывов
|
Гладкая, ровная, без трещин
и подрывов
|
Гладкая, ровная, без трещин
и подрывов
|
Неровная, на поверхности
пузыри с тонкой корочкой, которые при надавливании ломаются
|
|
Окраска корки
|
От светло-коричневого до
темно-коричневого
|
Коричневый
|
Коричневый
|
Коричневый
|
Коричневый
|
Светло-коричневый
|
В приложении Е размещены фотографии внешнего вида исследуемых образцов
ржано-пшеничного хлеба.
После исследования внешнего вида образцов ржано-пшеничного хлеба можно
сделать вывод о том, что образцы 1 (Орловский), 2 (Подмосковный), 3 (Ржано-пшеничный),
4 (Столовый) соответствуют ГОСТ 2077-84, их форма соответствует хлебной форме,
в которой производилась выпечка. Поверхность этих образцов гладкая, без крупных
трещин и подрывов, цвет образцов коричневый. Образец №5 (хлеб Украинский новый)
имеет несимметричную форму и у него выявлен дефект верхней корки в виде пузырей
с тонкой корочкой, которые при надавливании ломаются. Это дефект образовался в
результате недостаточной обминки теста пред расстойкой и выпечкой.
В таблице 21 приведены результаты исследований состояния мякиша, вкуса и
запаха образцов ржано-пшеничного хлеба на соответствие ГОСТ 2077-84 "Хлеб
ржаной, ржано-пшеничный и пшенично-ржаной. Технические условия".
Таблица 21 - Результаты исследования состояния мякиша, вкуса и запаха ржано-пшеничного
хлеба
|
Показатели
|
Требования ГОСТ 2077-84
|
Образец №1 (Орловский)
|
Образец №2 (Подмосковный)
|
Образец №3
(Ржано-пшеничный)
|
Образец №4 (Столовый)
|
Образец №5 (Украинский
новый)
|
|
Состояние мякиша:
Пропеченность
|
Пропеченный, не липкий, не
влажный на ощупь, эластичный После легкого надавливания пальцами должен
принимать первоначальную форму
|
Пропеченный, не липкий, не
влажный, эластичный, после легкого надавливания мякиш приобретает
первоначальную форму
|
Пропеченный, не липкий, не
влажный, эластичный, после легкого надавливания мякиш приобретает
первоначальную форму
|
Пропеченный, не липкий, не
влажный, эластичный, после легкого надавливания мякиш приобретает
первоначальную форму
|
Пропеченный, не липкий, не
влажный, эластичный, после легкого надавливания мякиш приобретает
первоначальную форму
|
Пропеченный, не липкий, не
влажный, эластичный, после легкого надавливания мякиш приобретает
первоначальную форму
|
|
Промесс
|
Без комочков и следов
непромеса
|
Без комочков и следов
непромеса
|
Без комочков и следов
непромеса
|
Без комочков и следов
непромеса
|
Без комочков и следов
непромеса
|
Без комочков и следов
непромеса
|
|
Пористость
|
Развитая, без пустот и
уплотнений
|
Развитая, без пустот и
уплотнений
|
Развитая, без пустот и
уплотнений
|
Развитая, без пустот и
уплотнений
|
Развитая, без пустот и
уплотнений
|
Неравномерная, без
уплотнений
|
|
Продолжение таблицы 21 а
|
|
Вкус
|
Свойственный данному виду
изделия, без постороннего привкуса. У Столового и Подмосковного слегка
кисло-сладкий
|
Выраженный хлебный, в меру
соленый, без постороннего привкуса
|
Хлебный, слегка
кисло-сладкий, без постороннего привкуса
|
Выраженный хлебный, в меру
соленый, без постороннего привкуса
|
Выраженный хлебный, слегка
кисло-сладкий, без постороннего привкуса
|
Хлебный, без постороннего
привкуса
|
|
Запах
|
Свойственный данному виду
изделия, без постороннего запаха
|
Свойственный, без
постороннего запаха
|
Свойственный, без
постороннего запаха
|
Свойственный, без
постороннего запаха
|
Свойственный, без
постороннего запаха
|
Свойственный, без
постороннего запаха
|
Таким образом, после анализа органолептических показателей можно сделать
выводы о том, что все исследуемые образцы: №1 (Орловский), № 2 (Подмосковный),
№3 (Ржано-пшеничный), №4 (Столовый), № 5 (Украинский новый) соответствуют
требованиям ГОСТ 2077-84. У образца №5 (хлеб Украинский новый) выявлены
отклонения по показателям формы (несимметричная форма), состоянию мякиша
(неравномерная пористость), а так же выявлен дефект верхней корки в виде
пузырей. Это может быть связано с увеличением времени расстойки хлеба перед
выпечкой, а так же от качества муки, дрожжей или заквасок.
2.5.3
Результаты дегустации образцов ржано-пшеничного хлеба
Для определения качества образцов ржано-пшеничного хлеба по
органолептическим показателям была проведена дегустация.
Дегустационная оценка качества образцов проводилась экспертной комиссией,
состоящей из 7 членов:
1) Баева Т.В. - технолог хлебобулочного цеха, заведующая пекарней;
2) Чеглакова И.Г - пекарь;
) Синцова О.Н. - пекарь;
) Мартынова Т.Б. - товаровед;
) Касьянова Е.А. - товаровед-эксперт;
) Савиных Н.И. - продавец;
) Леонтьева Я. Е. - студентка факультета ветеринарной медицины по
специальности 080401 - "Товароведение и экспертиза товаров (в сфере
производства и обращения сельскохозяйственного сырья и продовольственных
товаров).
Экспертная оценка проводилась в лаборатории с соблюдением правил,
обеспечивающих достаточно точные результаты оценки: хорошее освещение
(естественное дневное), температура продукта 18 до 20оС, а также
отсутствие сквозняков, посторонних запахов, шума, достаточная площадь для правильного
размещения отобранных образцов.
Каждый член комиссии результаты оценки показателей исследуемых образцов
фиксировал в дегустационном листе, которые даны в Приложении Ж.
Результаты оценки формы исследуемых образцов ржано-пшеничного хлеба
дегустационной комиссией представлены в таблице 22.
Таблица 22 - Результаты балловой оценки формы исследуемых образцов
ржано-пшеничного хлеба
|
№ Образца
|
Определяемый показатель
|
Оценка экспертов
|
Средний балл
|
|
|
1
|
2
|
3
|
4
|
5
|
6
|
7
|
|
|
1 (Орловский)
|
Форма
|
4
|
4
|
4
|
4
|
5
|
4
|
5
|
4,3
|
|
2 (Подмосковный)
|
|
4
|
5
|
5
|
4
|
5
|
5
|
5
|
4,7
|
|
3 (Ржано-пшеничный)
|
4
|
5
|
4
|
4
|
5
|
4
|
4,3
|
|
4 (Столовый)
|
|
5
|
5
|
4
|
4
|
5
|
5
|
5
|
4,7
|
|
5 (Украинский новый)
|
|
4
|
4
|
5
|
4
|
4
|
4
|
5
|
4,3
|
По такому показателю внешнего вида, как форма, наибольший средний балл
набрали образец №2 (хлеб Подмосковный) и образец №4 (хлеб Столовый), так как их
форма правильная, соответствует хлебной форме, с выпуклой коркой. Остальные
образцы набрали меньший бал, вследствие недостаточно округлой верхней корки, а
образец №5 (хлеб Украинский новый) из-за несимметричности формы.
Далее дегустаторами оценивался состояние и окраска поверхности образцов
ржано-пшеничного хлеба. Результаты представлены в таблице 23.
Таблица 23 - Результаты балловой оценки состояния и окраски поверхности
исследуемых образцов ржано-пшеничного хлеба
|
№ Образца
|
Определяемый показатель
|
Оценка экспертов
|
Средний балл
|
|
|
1
|
2
|
3
|
4
|
5
|
6
|
7
|
|
|
1 (Орловский)
|
Поверхность
|
4
|
5
|
5
|
4
|
4
|
4
|
4
|
4,3
|
|
2 (Подмосковный)
|
|
5
|
5
|
4
|
4
|
5
|
5
|
5
|
4,7
|
|
3 (Ржано-пшеничный)
|
|
4
|
5
|
5
|
5
|
5
|
4
|
5
|
4,7
|
|
4 (Столовый)
|
|
4
|
4
|
4
|
4
|
4
|
4
|
4
|
4,0
|
|
5 (Украинский новый)
|
|
3
|
3
|
3
|
3
|
3
|
3
|
3
|
3,0
|
По состоянию поверхности наибольший средний балл набрали образцы №2 (хлеб
Подмосковный) и 3 (хлеб Ржано-пшеничный), так как имели поверхность достаточно
гладкую и глянцевую. Наименьший средний балл набрали образец №4 (хлеб
Столовый), так как на его поверхности имелись трещины и образец №5 (хлеб
Украинский новый), так как его верхняя корка подгорела в нескольких местах, и
на ней был дефект в виде пузырей, которые ломались при надавливании.
После исследовали состояния мякиша представленных образцов
ржано-пшеничного хлеба по балльной шкале. Результаты занесены в таблицу 24.
Таблица 24 - Результаты балловой оценки состояния мякиша исследуемых
образцов ржано-пшеничного хлеба
|
№ Образца
|
Определяемый показатель
|
Оценка экспертов
|
Средний балл
|
|
|
1
|
2
|
3
|
4
|
5
|
6
|
7
|
|
|
1 (Орловский)
|
Состояние мякиша
|
5
|
5
|
4
|
5
|
5
|
4
|
5
|
4,7
|
|
2 (Подмосковный)
|
|
5
|
5
|
5
|
5
|
5
|
5
|
5
|
5,0
|
|
3 (Ржано-пшеничный)
|
|
4
|
4
|
5
|
5
|
4
|
4
|
4
|
4,3
|
|
4 (Столовый)
|
|
4
|
5
|
5
|
4
|
4
|
4
|
4
|
4,3
|
|
5 (Украинский новый)
|
|
4
|
4
|
4
|
4
|
4
|
3
|
3
|
3,7
|
По такому показателю, как состояние мякиша наибольший средний балл
набрали образец №1 (хлеб Орловский) и №2 (хлеб Подмосковный), они имели
эластичный мякиш с равномерной пористостью. Образец №5 (хлеб Украинский новый)
набрал наименьший балл, так как имел неравномерную пористость.
Оценка вкуса ржано-пшеничного хлеба дегустационной комиссией дала
следующие результаты, представленные в таблице 25.
Таблица 25 - Результаты балловой оценки вкуса исследуемых образцов
ржано-пшеничного хлеба
|
№ Образца
|
Определяемый показатель
|
Оценка экспертов
|
Средний балл
|
|
|
1
|
2
|
3
|
4
|
5
|
6
|
7
|
|
|
1 (Орловский)
|
Вкус
|
4
|
5
|
5
|
5
|
4
|
5
|
5
|
4,7
|
|
2 (Подмосковный)
|
|
5
|
5
|
4
|
4
|
5
|
5
|
5
|
4,7
|
|
3 (Ржано-пшеничный)
|
|
5
|
5
|
5
|
5
|
5
|
5
|
5
|
5,0
|
|
4 (Столовый)
|
|
4
|
5
|
4
|
5
|
5
|
5
|
5
|
4,7
|
|
5 (Украинский новый)
|
|
5
|
5
|
5
|
5
|
5
|
5
|
5
|
5,0
|
По результатам исследования приведенного в таблице 25 наивысшим баллом
были оценены образцы под номерам 3 (хлеб Ржано-пшеничный) и номером 5 (хлеб
Украинский новый). Чуть меньший балл набрали образцы №2 (хлеб Подмосковный) и 4
(хлеб Столовый), имеющие приятный слегка кисло-сладкий вкус из-за входящих в их
рецептуры патоки и сахара и образец №1 (хлеб Орловский), имеющий слабовыраженный
вкус по сравнению с другими представителями ржано-пшеничного хлеба производства
пекарни СПК колхоза "Искра".
В таблице 26 представлены результаты оценки запаха исследуемых образцов
ржано-пшеничного хлеба.
Таблица 26 - Результаты балловой оценки запаха исследуемых образцов
ржано-пшеничного хлеба
|
№ Образца
|
Определяемый показатель
|
Оценка экспертов
|
Средний балл
|
|
|
1
|
2
|
3
|
4
|
5
|
6
|
7
|
|
|
1 (Орловский)
|
Запах
|
5
|
5
|
5
|
5
|
5
|
5
|
5
|
5,0
|
|
2 (Подмосковный)
|
|
5
|
4
|
4
|
5
|
5
|
5
|
5
|
4,7
|
|
3 (Ржано-пшеничный)
|
|
5
|
5
|
5
|
5
|
5
|
5
|
5
|
5,0
|
|
4 (Столовый)
|
|
4
|
5
|
4
|
5
|
5
|
5
|
5
|
4,7
|
|
5 (Украинский новый)
|
|
5
|
5
|
5
|
5
|
5
|
5
|
5
|
5,0
|
По результатам исследования в таблице 26 все образцы по этому показателю
отклонений не имеют.
Наивысшим баллом были оценены образцы под номерами 1 (хлеб Орловский), 3
(хлеб Ржано-пшеничный) и 5 (хлеб Украинский новый). Образцы №2 (хлеб
Подмосковный) и 4 (хлеб Столовый) имеют приятный и свойственный аромат хорошо
пропеченного хлеба, но не такой ярко выраженный, как у образцов, получивших
наивысший балл.
Коллективом из семи дегустаторов был проведен органолептический анализ
пяти образцов ржано-пшеничного хлеба. Рассчитаны средние арифметические
значения оценок х стандартные отклонения S и комплексные показатели.
Органолептическая оценка качества образцов ржано-пшеничного хлеба без учета
коэффициентов весомости и оценка показателей качеств с учетом коэффициента
весомости представлена в сводной таблице 27.
Из данных таблицы видно, что наибольший балл с учетом коэффициента
весомости набрал образец №2 (хлеб Подмосковный) - 95,2. наименьший балл набрал
образец №5 (хлеб Украинский новый) - 82,7. Три образца относятся к высшей
категории качества (хлеб Орловский, Подмосковный, Ржано-пшеничный), и только
четвертый и пятый образец, а именно хлеб Столовый и Украинский новый к первой
категории. Результаты дегустационных отклонений достоверны, так как стандартное
отклонение S не превышает + 0,5 балла.
Таблица 27 - Оценка показателей качества ржано-пшеничного хлеба
|
Показатели
|
КВ единичных показателей
|
Оценка х + S по
образцам продукции без учета КВ, баллы
|
Оценки единичных
показателей хjкj по образцам продукции с учетом КВ,
баллы
|
|
|
1
|
2
|
3
|
4
|
5
|
1
|
2
|
3
|
4
|
5
|
|
Форма
|
3
|
4,3+0,3
|
4,7+0,5
|
4,3+0,3
|
4,7+0,5
|
4,3+0,3
|
12,9
|
14,1
|
12,9
|
14,1
|
12,9
|
|
Поверхность
|
5
|
4,3+0,3
|
4,7+0,5
|
4,7+0,5
|
4,0+0,0
|
3,0+0,0
|
21,5
|
23,5
|
23,5
|
20,0
|
15,0
|
|
Состояние мякиша
|
4
|
4,7+0,5
|
5,0+0,0
|
4,3+0,3
|
4,3+0,3
|
3,7+0,3
|
18,8
|
20,0
|
17,2
|
17,2
|
14,8
|
|
Вкус
|
6
|
4,7+0,5
|
4,7+0,5
|
5,0+0,0
|
4,7+0,5
|
5,0+0,0
|
28,2
|
28,2
|
30
|
28,2
|
30,0
|
|
Запах
|
2
|
5,0+0,0
|
4,7+0,5
|
5,0+0,0
|
4,7+0,5
|
5,0+0,0
|
10,0
|
9,4
|
10,0
|
9,4
|
10,0
|
|
КЕПi
|
20
|
|
|
|
Комплексный показатель Хi
· КЕПi
|
91,4
|
95,2
|
93,6
|
82,7
|
|
Категория качества
|
Стандарт высшая
|
Стандарт высшая
|
Стандарт высшая
|
Стандарт первая
|
Стандарт первая
|
2.5.4
Результаты исследования физико-химических показателей образцов ржано-пшеничного
хлеба
Физико-химические показатели качества хлеба характеризуют строгое
соблюдение рецептуры и ведения технологического процесса хлебопекарными
предприятиями. К таким показателям качества относят массовую долю влаги,
кислотность, пористость, массовую долю жира и сахара (для изделий, в рецептуру
которых входят жир и сахар).
Все пять образцов ржано-пшеничного хлеба были исследованы на
физико-химические показатели, результаты отражены в протоколах лабораторных
испытаний, представленных в приложении К.
Результаты определения соответствия физико-химических показателей образца
№1 (хлеб Орловский) ГОСТ 2077-84 "Хлеб ржаной, ржано-пшеничный и
пшенично-ржаной. Технические условия" представлены в таблице 28.
Таблица 28 - Результаты определения соответствия физико-химических
показателей образца №1 (хлеб Орловский) требованиям ГОСТ 2077-84
|
Показатели
|
Требования ГОСТ 2077-84
|
Фактические показатели
|
|
Влажность, %
|
Не более 48,0
|
46,7
|
|
Кислотность, град
|
Не более 9,0
|
5,2
|
|
Пористость, %
|
Не менее 55,0
|
76,9
|
По данным таблицы 28 видно, что все показатели образца №1 (хлеб
Орловский) соответствуют требованиям ГОСТ 2077-84.
В таблице 29 представлены результаты исследования физико-химических
показателей образца №2(хлеб Подмосковный) на соответствие ГОСТ 2077-84
"Хлеб ржаной, ржано-пшеничный и пшенично-ржаной. Технические
условия".
Таблица 29 - Результаты определения соответствия физико-химических
показателей образца № 2 (хлеб Подмосковный) требованиям ГОСТ 2077-84
|
Показатели Требования ГОСТ
2077-84 Фактические показатели
|
|
|
|
Влажность, %
|
Не более 48,0
|
47,8
|
|
Кислотность, град
|
Не более 9,0
|
5,9
|
|
Пористость, %
|
Не менее 55,0
|
78,0
|
Проанализировав данные таблицы, можно сделать вывод о том, что все
показатели образца №2 (хлеб Подмосковный) соответствуют требованиям ГОСТ
2077-84.
Результаты исследования соответствия физико-химических показателей
образца № 3 (хлеб Ржано-пшеничный), приведены в таблице 30.
Таблица 30 - Результаты определения соответствия физико-химических
показателей образца №3 (хлеб Ржано-пшеничный) требованиям ГОСТ 2077-84
|
Показатели Требования ГОСТ
2077-84 Фактические показатели
|
|
|
|
Влажность, %
|
Не более 49,0
|
48,2
|
|
Кислотность, град
|
Не более 11,0
|
6,0
|
|
Пористость, %
|
Не менее 50,0
|
75,0
|
Из таблицы видно 30, что все показатели образца №3 (хлеб Ржано-пшеничный)
находятся в пределах требований ГОСТ 2077-84.
В таблице 31 представлены результаты определения соответствия
физико-химических показателей образца №4 (хлеб Столовый) ГОСТ 2077-84.
Таблица 31 - Результаты определения соответствия физико-химических показателей
образца №4 (хлеб Столовый) требованиям ГОСТ 2077-84
|
Показатели Требования ГОСТ
2077-84 Фактические показатели
|
|
|
|
Влажность, %
|
Не более 48,0
|
45,0
|
|
Кислотность, град
|
Не более 9,0
|
4,0
|
|
Пористость, %
|
Не менее 62,0
|
72,0
|
Данные таблицы 31 показывают нам, что физико-химические показатели
образца № 4 (хлеб Столовый) соответствуют требованиям ГОСТ 2077-84.
Результаты соответствия физико-химических показателей образца №5 (хлеб
Украинский новый) ГОСТ 2077-84 приведены в таблице 32.
Таблица 32 - Результаты определения соответствия физико-химических
показателей образца №5 (хлеб Украинский новый) требованиям ГОСТ 2077-84
|
Показатели Требования ГОСТ
2077-84 Фактические показатели
|
|
|
|
Влажность, %,
|
Не более 48,5
|
45,5
|
|
Кислотность, град
|
Не более 8,0
|
4,5
|
|
Пористость, %
|
Не менее 58,0
|
75,0
|
Исходя из данных таблицы 32, можно сделать вывод о том, что все
физико-химические показатели образца №5 (хлеб Украинский новый) соответствуют
ГОСТ 2077-84.
Анализируя результаты проведенных исследований можно заключить следующее:
) Таким образом, после анализа органолептических показателей можно
сделать выводы о том, что все исследуемые образцы: №1 (Орловский), №2
(Подмосковный), №3 (Ржано-пшеничный), №4 (Столовый), №5 (Украинский новый)
соответствуют требованиям ГОСТ 2077-84. У образца №5 (хлеб Украинский новый)
выявлены отклонения по показателям формы (несимметричная форма), состоянию
мякиша (неравномерная пористость), а так же выявлен дефект верхней корки в виде
пузырей. Это может быть связано с увеличением времени расстойки хлеба перед
выпечкой, а так же от качества муки, дрожжей или заквасок.
) В результате проведенной дегустации три образца были отнесены к высшей
стандартной категории качества образец №1 (хлеб Орловский) - 91,4 балла,
образец №2 (хлеб Подмосковный) - 95,2 балла, образец №3 (хлеб Ржано-пшеничный)
- 93,6 балла. Образцу №4 (хлеб Столовый) и образцу №5 (хлеб Украинский новый)
была присвоена первая стандартная категория качества, эти образцы набрали 89 и
82,7 баллов соответственно.
) По результатам физико-химических исследований (пористость, кислотность,
влажность) ни у одного образца отклонений выявлено не было, все показатели
соответствовали требованиям ГОСТ 2077-84.
2.6 Оценка
конкурентоспособности ржано-пшеничного хлеба
Для оценки анализа конкурентоспособности ржано-пшеничного хлеба различных
производителей, а именно:
Котельничский хлебокомбинат
ООО "Веснинское"
Хлебозавод №5
ООО "Покровское"
СПК "Искра"
Райпо "Боровка"
реализуемых на рынке города Котельнич и Котельничского района, нами был
проведен социологический опрос потребителей, в котором приняло участие 30
человек. Анкета для опроса представлена в приложении Л.
Объектом оценки конкурентоспособности являются различные образцы
ржано-пшеничного хлеба, реализуемые на рынке города Котельнич и Котельничского
района.
Цель исследования - определение наиболее конкурентоспособных видов
ржано-пшеничного хлеба с целью оптимизации их ассортимента.
База сравнения. При использовании данной методики не нужно выбирать
базовый образец среди товаров - аналогов.
Исходные данные. Данные, полученные в результате глубинного интервью
(социологического опроса) потребителей, характеризующие полезный эффект товара,
а именно:
форма
поверхность хлеба
цвет мякиша
окрас корки
эластичность мякиша
характер пористости
вкус
разжевываемость
запах
калорийность
состав продукта
цена
срок годности
масса товара
удобство расфасовки
привлекательность упаковки
надежность упаковки
информативность упаковки
количество информации
доступность информации
достоверность информации
известность товара
наличие торговой марки
имидж предприятия
Обработка анкет-опросов - обобщение данных по определению числа
показателей, по которым товар является наиболее привлекательным для
потребителя.
Расчет коэффициента полезного эффекта (группового показателя
конкурентоспособности товара по качественным и организационно-коммерческим
показателям).
Рассчитывается по формуле:
e=
n/ nO
Где:- число показателей, по которым товар является наиболее
привлекательным для потребителя;- общее число оцениваемых покупателей.
Число показателей, по которым товар оказался более привлекательным для
потребителя рассмотрен в таблице 33.
Таблица 33 - Число показателей, по которым товар оказался более
привлекательным для потребителя
|
Наименование хлеба
|
Изготовитель
|
Число показателей,
отображающих привлекательность товара для потребителя (nО)
|
Общее число оцениваемых
показателей (n)
|
|
Ржано-пшеничный хлеб ГОСТ
2077-84
|
Котельничский хлебокомбинат
|
20
|
24
|
|
Ржано-пшеничный хлеб ГОСТ
2077-84
|
ООО "Веснинское"
|
19
|
24
|
|
Ржано-пшеничный хлеб ГОСТ
2077-84
|
Хлебозавод №5
|
19
|
24
|
|
Ржано-пшеничный хлеб ГОСТ
2077-84
|
ООО "Покровское"
|
16
|
24
|
|
Ржано-пшеничный хлеб ГОСТ
2077-84
|
СПК "Искра"
|
18
|
24
|
|
Ржано-пшеничный хлеб ГОСТ
2077-84
|
Райпо "Боровка"
|
17
|
24
|
Таким образом, мы видим, что Котельничский хлебокомбинат занимает
лидирующее положение по числу показателей, которые привлекательны для
покупателя, так как имеет наибольшее число значимых составляющих для
ржано-пшеничного хлеба.
Расчет цены потребления. Цена потребления продукта зависит, главным
образом, от количественных показателей: веса продукта и калорийности. Поэтому
она должна быть приведена в сопоставимый вид (на 100 г продукта) с учетом
содержания кКал в 100 г продукта. Расчет цены потребления осуществляется на
основе средней цены товара на рынке, таким образом оценивается средняя цена
потребления 1 кКал в продукте:
= 100 * p / m * d
Где: p - средняя цена товара
на рынке;- масса оцениваемого продукта, в граммах;- содержание кКал в 100 г
оцениваемого товара.
Расчет уровня
конкурентоспособности товара (K).
Осуществляется по формуле:
= Ie / P
Где: Ie -
коэффициент полезного эффекта;
Р - средняя цена потребления
1 г жира в продукте.
Чем больше коэффициент K у
образца, тем выше конкурентоспособность продукта.
Сводные данные представлены в
таблице 34.
Таблица 34 - Оценка
конкурентоспособности ржано-пшеничного хлеба
|
№ п/п
|
Наименование хлеба
|
Изготовитель
|
Содержание кКал на 100 г.
продукта
|
Масса, г
|
Диапазон цены, руб
|
Iε
|
P
|
K
|
|
1
|
Ржано-пшеничный хлеб ГОСТ
2077-84
|
Котельничй хлебокомбинат
|
335,3
|
500
|
10-12
|
1,200
|
0,006
|
200,000
|
|
2
|
Ржано-пшеничный хлеб ГОСТ
2077-84
|
ООО "Веснинское"
|
206
|
500
|
12-14
|
1,263
|
0,012
|
105,250
|
|
3
|
Ржано-пшеничный хлеб ГОСТ
2077-84
|
Хлебозавод №5
|
299,5
|
500
|
11-13
|
1,263
|
0,008
|
157,875
|
|
4
|
Ржано-пшеничный хлеб ГОСТ
2077-84
|
ООО "Покровское"
|
210
|
500
|
14-16
|
1,500
|
0,014
|
107,143
|
|
5
|
Ржано-пшеничный хлеб ГОСТ
2077-84
|
СПК "Искра"
|
199,5
|
500
|
10-12
|
1,333
|
0,011
|
121,182
|
|
6
|
Ржано-пшеничный хлеб ГОСТ
2077-84
|
Райпо "Боровка"
|
206
|
500
|
13-15
|
1,412
|
0,013
|
108,615
|
Проанализировав данные таблицы, можем сказать, что Котельничский
хлебокомбинат является наиболее конкурентоспособным, по сравнению с остальными
присутствующими производителями ржано-пшеничного хлеба, а СПК "Искра"
замыкает тройку лидеров по данному показателю в данной таблице.
3. Экономическая оценка деятельности предприятия и эффективность сбыта
ржано-пшеничного хлеба
.1
Организационно-экономическая характеристика СПК колхоза "Искра"
Сельскохозяйственный
производственный кооператив колхоз "Искра" располагается по адресу
Котельничский район, поселок Ленинская искра, ул. Ронжина - 1, само производство
находится непосредственно в п. Восточный, ул. Радужная 2а.
СПК колхоз "Искра" был создан 26 февраля 1930 года путем
объединения граждан на основе членства для производственной деятельности,
основанного на их личном трудовом участии и объединении его членами
имущественных паев.
СПК действует на основании устава, который определяет условия вступления
в кооператив, размер паевых взносов, характер и порядок трудового участия его
членов в деятельности кооператива, порядок выбора и состав правления, порядок
созыва общего собрания.
Руководит кооперативом правление, которое избирается собранием членов
кооператива и подотчетно ему.
В организационную структуру предприятия входит:
· Утверждение структуры и штатной численности;
· Приказы о назначении директора, главного бухгалтера
предприятия;
· Утверждение штатного расписания;
· Положение о выплате вознаграждений;
· Утверждение норм выработок и расценок на хлебобулочные и
кондитерские изделия.
Основными видами деятельности СПК колхоз "Искра" являются:
производство сельскохозяйственной продукции, и ее переработка, проведение
торгов, закупочной и сбытовой деятельности; добыча в установленном порядке
сырья; оказание услуг и иная незапрещённая законом деятельность.
Предприятие реализует готовую продукцию через собственные магазины и
через мелкорозничных предпринимателей района.
Основными конкурентами пекарни СПК колхоза "Искра" являются
котельничский хлебозавод и кировский хлебокомбинат.
Поставщиками сырья, в частности муки, для СПК являются ООО
"ВятАгроГрупп" и ЧП Лопатин, остальное сырье - продукция переработки
СПК колхоза "Искра".
Показатели размера предприятия можно разделить на 2 группы:
основные показатели - размер денежной выручки или оборот предприятия;
объемы произведенной продукции;
дополнительные показатели - показатели размеров основных видов
производственных ресурсов, то есть капитала, труда, земли (стоимость основных
средств, численность работников) (таблица 35) [16].
Таблица 35 - Показатели размера пекарни СПК колхоза "Искра"
|
Показатели
|
2008г.
|
2009г.
|
2010г.
|
2010г. в % к 2008г.
|
|
Денежная выручка от
реализации продукции, тыс.руб.
|
3823,7
|
5014,5
|
6395,9
|
168,0
|
|
Среднесписочная численность
работников, чел.
|
12
|
12
|
12
|
100
|
|
Среднегодовая стоимость
основных средств, тыс.руб.
|
1501,0
|
1458,5
|
1422,8
|
94,8
|
На основании данных таблицы можно сделать вывод о том, что СПК колхоз
"Искра" относится к малым предприятиям, с численностью работников 12
человек, которая на протяжении 3-х лет оставалась стабильной. В целом за
анализируемый период денежная выручка от реализации продукции увеличилась на
2572,2 тыс.руб. в 2010 году по сравнению с 2008 годом, а среднегодовая
стоимость основных средств снизилась на 78,2 тыс. руб. [20].
Результатом производства и продажи продукции, выполнения работ и оказания
услуг является получение денежной выручки. Проанализировать состав и структуру
денежной выручки помогут данные таблицы 36.
Таблица 36 - Состав и структура денежной выручки
|
Показатели
|
2008г.
|
2009г.
|
2010г.
|
|
Тыс.руб.
|
%
|
Тыс.руб.
|
%
|
Тыс.руб.
|
%
|
|
Денежная выручка, всего
|
3823,7
|
100
|
5014,5
|
100
|
6395,9
|
100
|
|
В том числе:
|
|
|
|
|
|
|
|
Хлеб
|
3258,4
|
85,2
|
3318,3
|
66,2
|
3849,5
|
60,2
|
|
Булочные изделия
|
565,3
|
14,8
|
1696,2
|
33,8
|
2546,4
|
39,8
|
За анализируемый период денежная выручка увеличилась на 2572,2 тыс. руб.
или на 67,27%, за счёт увеличения выручки от продажи булочных изделий
собственного производства.
Наибольшая часть в структуре денежной выручки приходится на выручку,
полученную в результате реализации хлеба, примерно 66%, меньший удельный вес
занимает булочная продукция - 33,8%.
Основные средства - это основные фонды, выраженные в стоимостном
измерении.
Основные средства выступают в натуральной форме конкретных средств труда,
но имеют и стоимость, поэтому их оценка осуществляется в натуральных и
стоимостных показателях. Для анализа качественного состояния основных средств
на предприятии необходимо знать их структуру [23].
Состав и структуру основных фондов СПК колхоз "Искра" в
динамике за 3 года можно проследить по данным таблицы 37.
Таблица 37 - Состав и структура основных средств
|
Виды фондов
|
2008г.
|
2009г.
|
2010г.
|
|
Тыс.руб.
|
%
|
Тыс.руб.
|
%
|
Тыс.руб.
|
%
|
|
Здания
|
694,4
|
100
|
694,4
|
100
|
694,4
|
100
|
|
Сооружения
|
|
|
|
|
|
|
|
Машины и оборудование
|
806,6
|
51,2
|
764,1
|
51,2
|
728,4
|
51,2
|
|
Транспортные средства
|
|
|
|
|
|
|
|
Всего основных фондов
|
1501
|
100
|
1458,5
|
100
|
1422,8
|
100
|
|
В том числе:
|
|
|
|
|
|
|
|
Производственные
|
1501
|
100
|
1458,5
|
100
|
1422,8
|
100
|
|
непроизводственные
|
-
|
-
|
-
|
-
|
-
|
Большую часть в структуре основных фондов занимают машины и оборудование,
а за ними идут здания, что характерно для сельскохозяйственных предприятий
данной специализации.
На протяжении трёх лет среднегодовая стоимость зданий не изменяется,
стоимость машин и оборудования, напротив, уменьшилась на 78,2 тыс. руб. [20].
В структуре преобладают производственные фонды, их удельный вес в течение
анализируемого периода снизился. Сокращение стоимости основных средств связано
с их постепенным износом и нехваткой средств на обновления.
Экономическая эффективность использования производственных фондов и
обеспеченность ими предприятия характеризуется системой показателей:
фондовооруженность, фондоотдача, фондоёмкость, и рентабельность основных
производственных фондов [26].
Таблица 38 - Показатели обеспеченности и эффективности использования
основных средств
|
Показатели
|
2008г.
|
2009г.
|
2010г.
|
2010г. в % к 2008г.
|
|
Фондовооруженность, тыс.руб
|
125,08
|
121,54
|
118,57
|
94,7
|
|
Фондоотдача, руб.
|
2,55
|
3,44
|
4,49
|
176,1
|
|
Фондоемкость, руб.
|
0,39
|
0,29
|
0,22
|
56,4
|
|
Рентабельность(убыточность)
ОПФ,%
|
24,7
|
20,6
|
88,7
|
64
|
Фондовооруженность за 3 года сократилась на 5,21%, что связано с
сокращением стоимости ОПФ. Экономическая эффективность использования основных
производственных фондов характеризуется показателями фондоотдачи и
фондоёмкости. Фондоотдача определяется соотношением денежной выручки к
среднегодовой стоимости основных производственных фондов. В течение трёх лет
этот показатель в СПК постоянно увеличивался. Фондоотдача возросла почти в 2
раза, фондоемкость как обратный показатель, сократилась. Это говорит о том, что
основные фонды на предприятии используются эффективно. Данный вывод
подтверждает и рост рентабельности на 64 пп. [20].
Рентабельность основных фондов, которая определяется как отношение чистой
прибыли к среднегодовой стоимости основных фондов (в процентах), позволяет
установить степень их окупаемости. Самый низкий уровень рентабельности был в 2009г.-20,6%
- это связано с величиной прибыли, которая в этом году была наименьшей за три
года. Однако в следующем году СПК получил прибыль значительно выше, и
окупаемость основных фондов соответствовала 88,7%.
Основные фонды являются одним из важнейших факторов любого производства.
Эффективное использование основных фондов способствует улучшению всех
технико-экономических показателей, в том числе увеличению выпуска продукции,
снижению себестоимости продукции, трудоёмкости изготовления и увеличению
прибыли.
Для производства промышленной продукции любому предприятию необходимы
предметы труда, то есть те ресурсы, которые являются материалом для выработки
готовой продукции, а также различные финансовые ресурсы для обеспечения
производственного процесса. Совокупность таких ресурсов и представляет собой
оборотные средства предприятия [20].
Соотношение между отдельными элементами оборотных фондов в процентах или
их составными частями называется структурой оборотных фондов [34].
Состав и структура оборотных средств СПК колхоз "Искра"
предоставлены в таблице 39.
Таблица 39 - Состав и структура оборотных средств
|
Элементы оборотных средств
|
2008г.
|
2009г.
|
2010г.
|
|
Тыс.руб.
|
%
|
Тыс.руб.
|
%
|
Тыс.руб.
|
%
|
|
Производственные запасы
|
41
|
21,6
|
93,8
|
37,5
|
70,0
|
24,5
|
|
Расходы будущих периодов
|
28
|
14,7
|
10,0
|
4,0
|
15,0
|
5,2
|
|
Незавершенное производство
|
|
|
|
|
|
|
|
Итого оборотные фонды
|
69
|
36,3
|
103,0
|
41,5
|
85,0
|
29,7
|
|
Готовая продукция
|
51
|
26,8
|
27,0
|
10,9
|
36,0
|
12,6
|
|
Продолжение таблицы 39 0
|
|
Дебиторская задолженность
|
70
|
36,8
|
15,0
|
6
|
80
|
27,8
|
|
Денежные средства
|
|
|
|
|
|
|
|
Итого фонды обращения
|
128
|
63,7
|
145
|
58,5
|
201
|
70,3
|
|
Итого оборотные средства
|
190
|
100
|
248
|
100
|
286
|
100
|
В целом по оборотным средствам на протяжении трёх лет наблюдалось
увеличение их стоимости.
Основными показателями эффективности использования оборотных средств
являются коэффициент оборачиваемости, продолжительность одного оборота и
рентабельность основных средств, данные по которым приведены в таблице 40.
Таблица 40- Экономическая эффективность использования оборотных средств
|
Показатели
|
2008г.
|
2009г.
|
2010г.
|
2010г. в % к 2008г.
|
|
Коэффициент оборачиваемости
|
20,12
|
20,22
|
22,36
|
111,1
|
|
Продолжительность одного
оборота, дни
|
18
|
18
|
16
|
88,9
|
|
Рентабельность(убыточность)
оборотных средств, %
|
195,2
|
117,4
|
441,3
|
246,1
|
Изменение коэффициента оборачиваемости за анализируемый период не
значительно. Продолжительность одного оборота оборотных средств снизилась с 18
до 16 дней. Изменение скорости оборота оборотных средств происходило в
результате взаимодействия двух факторов: увеличения объема выручки и увеличения
среднегодовой суммы оборотных средств.
Рентабельность оборотных средств сильно варьировала: в 2008 году она
составила 195,2%, в 2009 году снизилась до 117,4% и в 2010 году увеличилась до
441,3%. Главный фактор, повлиявший на эти изменения - колебание величины полученной
прибыли.
Важнейшим элементом производительных сил на производстве являются
трудовые ресурсы. Они создают и совершенствуют орудия и предметы труда,
определяют научно - технический прогресс.
Персонал предприятия - это совокупность работников, входящих в его
списочный состав.
Списочный состав, в свою очередь, - это принятые на постоянную или
временную работу, связанную с основной или не основной деятельностью, на срок
один день и более.
Персонал предприятия делится на 2 категории:
. промышленно - производственный персонал - работники, которые
непосредственно связаны с производством и его обслуживанием;
. непромышленный персонал - работники, занятые в непроизводственной
сфере;
Промышленно - производственный персонал делится на 4 категории:
· Руководители - работники, занимающие должности руководителей
предприятия и их структурных подразделений;
· Специалисты - работники интеллектуального труда (экономисты,
бухгалтера, инженеры);
· Рабочие - лица, непосредственно занятые в процессе создания
материальных ценностей;
· Служащие - это работники, осуществляющие подготовку и
оформление документации, учет и контроль, хозяйственное обслуживание
(снабженцы, секретари, кассиры).
Наличие трудовых ресурсов СПК колхоз "Искра" (табл.41)
Таблица 41 - Состав и структура персонала предприятия
|
Категория персонала
|
2008г.
|
2009г.
|
2010г.
|
|
Чел.
|
%
|
Чел.
|
%
|
Чел.
|
%
|
|
Среднесписочная численность
работников, всего
|
12
|
100
|
12
|
100
|
12
|
100
|
|
В том числе:
|
|
|
|
|
|
|
|
Продолжение таблицы 41 1
|
|
Промышленно-производственный
персонал
|
11
|
91,6
|
11
|
91,6
|
11
|
91,6
|
|
- рабочие
|
9
|
75,0
|
9
|
75,0
|
9
|
75,0
|
|
- руководители
|
1
|
8,3
|
1
|
8,3
|
1
|
8,3
|
|
- специалисты
|
1
|
8,3
|
1
|
8,3
|
1
|
8,3
|
|
Непромышленный персонал
|
1
|
8,4
|
1
|
8,4
|
1
|
8,4
|
Среднесписочная численность работников за 3 года не изменилась и
оставаясь стабильной. Наибольший удельный вес в структуре, занимают рабочие,
что объясняется производственной спецификой предприятия.
Таблица 42 - Экономическая эффективность использования персонала
предприятия
|
Показатели
|
2008г.
|
2009г.
|
2010г.
|
2010г. в % к 2008г.
|
|
Выработка на 1 работника по
денежной выручке, тыс.руб.
|
318,7
|
417,9
|
533,0
|
168,0
|
|
Выработка на 1 работника по
прибыли от реализации, тыс. руб.
|
30,9
|
24,3
|
105,2
|
341,0
|
Выработка одного работника по денежной выручке увеличилась на 67,45%, а
по прибыли на 240,45%. Можно отметить, что персонал предприятия используется
эффективно, но следует также заметить, что рост выручки также связан с ростом
цен на продукцию.
3.2 Экономическая оценка качества хлебобулочной продукции и
ассортиментная политика
Основной характеристикой производственной деятельности любого предприятия
является динамика объемов производства.
Таблица 43 - Состав и структура произведенной продукции
|
Вид продукции
|
2008г.
|
2009г.
|
2010г.
|
|
т
|
%
|
т
|
%
|
т
|
%
|
|
Хлеб
|
282,4
|
93,0
|
289,8
|
93,5
|
195,4
|
93
|
|
Булочные изделия
|
21,2
|
7,0
|
19,9
|
6,5
|
16,6
|
7
|
|
Итого
|
303,6
|
100
|
309,7
|
100
|
212,0
|
100
|
Как видно из таблицы в 2010 году объем производства хлеба и булочных
изделий снизился по сравнению с 2008 годом, на 87 и 4,6 тонн соответственно.
Скорее всего это связано с ростом затрат на сырье и следовательно с ростом
себестоимости продукции, из-за чего и сократился выпуск хлеба и булочных
изделий. Доля того и другого продукта от общего выпуска осталась практически
неизменной.
Качество конечного продукта (хлебобулочных изделий) является важнейшим
показателем, характеризующим работу всего комплекса. С учетом того, что хлеб
является продуктом 1 необходимости и служит одним из основных источников белка,
углеводов (около 50% суточной нормы) витаминов группы В и других важнейших
микроэлементов контроль за его производством является одной из важнейших задач
государства. Однако в последние годы контроль со стороны государства ослаб. Это
связано со следующими фактами.
Во-первых. Упразднение РосГХИ дало толчок к производству
низкокачественного зерна и как следствие продуктов его переработки.
Во-вторых. Изменение ГОСТ на муку. Введение нового ГОСТ 52189-2003
закрепило введенный как временный ТУ 8 ГОСТ 11-45-91 с пониженным допустимым
нижним показателем клейковины в сортовой муке на 5-7%. Это не могло не
сказаться на качестве производимого зерна. Таким образом, с 2005 года пшеницу
IV класса, которая использовалась для производства обойной муки и в качестве
подсортировки к ценной пшенице, можно использовать в качестве основного сырья
для производства 8 видов муки общего назначения.
В настоящее время производство муки осуществляется как
специализированными предприятиями, так частными мельницами. Первые как правило
вырабатывают муку согласно ГОСТ. Вторые могут не придерживаться нормативных
документов, вырабатывая дешевую продукцию используя зерно не соответствующего
класса. Малые предприятия при производстве муки придерживаются в основном не
ГОСТа, а ТУ, что существенно сокращает их расходы. Себестоимость полученного
продукта ниже, чем на мельзаводах, следовательно, они имеют лучшие условия для
реализации продукции, что влечет ухудшение качества хлебобулочных изделий.
Состав и структуру произведенных хлебобулочных изделий в зависимости от
качества сырья можно оценить по данным таблицы 44.
Таблица 44 - Состав и структура произведенных хлебобулочных изделий в
зависимости от качества сырья
|
Вид продукции
|
2008г.
|
2009г.
|
2010г.
|
|
т
|
%
|
т
|
%
|
т
|
%
|
|
Хлеб, всего
|
282,4
|
93,0
|
289,8
|
93,5
|
195,4
|
93,0
|
|
в том числе:
|
|
|
|
|
|
|
|
Хлеб смешанной валки
|
114,7
|
37,8
|
160,5
|
52,0
|
77,5
|
37,0
|
|
Хлеб пшеничный из муки второго
сорта
|
86,0
|
28,3
|
60,1
|
20,0
|
69,5
|
33,0
|
|
Хлеб пшеничный из муки
первого сорта
|
37,1
|
12,2
|
20,0
|
6,5
|
15,3
|
8,0
|
|
Хлеб пшеничный из муки
высшего сорта
|
44,6
|
14,7
|
49,2
|
15,0
|
33,1
|
15,0
|
|
Булочные изделия, всего
|
21,2
|
7,0
|
19,9
|
6,5
|
16,6
|
7.0
|
|
в том числе:
|
|
|
|
|
|
|
|
Из муки высшего сорта
|
21,2
|
7,0
|
19,9
|
6,5
|
16,6
|
7,0
|
|
Итого
|
303,6
|
100
|
309,7
|
100
|
212,0
|
100
|
В структуре ассортимента хлебобулочных изделий в зависимости от качества
сырья большую долю в 2010 году занимает хлеб из муки смешанной валки 37%, хлеб
пшеничный из муки второго сорта 33%.
Наименьший удельный вес приходится на хлеб из муки 1 сорта и булочные
изделия из муки высшего сорта, 8 и 7% соответственно. За анализируемый период
выпуск хлеба пшеничного из муки 1 сорта уменьшился с 37,1 т. до 15,35 т., что
составило 58,76%. По остальным хлебобулочным изделиям изменения незначительны.
Ассортимент
продукции - состав, соотношение отдельных видов изделий в продукции
предприятия, отрасли, группе товаров с учетом их качества и сортности.
Ассортимент
хлеба и хлебобулочных изделий насчитывает более 1000 наименований, как общего
назначения, так и специального диетического [43].
Все они
делится на группы:
. По виду
муки: ржаной; пшеничный; из смеси ржаной и пшеничной муки.
2. По
способу выпечки: формовой; подовый.
3. По форме
изделий: батоны; булки; плетенки и др.
Состав и
структуру ассортимента СПК колхоз "Искра" можно проанализировать по
данным таблицы 45.
Таблица 45 - Состав и структура ассортимента ржано-пшеничного хлеба
|
Вид продукции
|
2008г.
|
2009г.
|
2010г.
|
|
Т
|
%
|
Т
|
%
|
т
|
%
|
|
Хлеб, всего
|
282,4
|
100
|
289,8
|
100
|
195,4
|
100
|
|
В том числе
|
|
|
|
|
|
|
|
"Украинский
новый"
|
86,0
|
28,3
|
60,1
|
20,0
|
69,5
|
33,0
|
|
"Ржано-пшеничный"
|
44,6
|
49,2
|
15,0
|
33,1
|
15,0
|
|
"Орловский"
|
37,1
|
12,2
|
20,0
|
6,5
|
15,3
|
8,0
|
|
"Столовый"
|
106,8
|
35,2
|
150,1
|
51,0
|
76,4
|
36,0
|
|
"Подмосковный"
|
0,7
|
1,0
|
1,1
|
1,0
|
1,1
|
1,0
|
|
"Ржаной"
|
7,2
|
1,6
|
0,3
|
0,0
|
-
|
-
|
Исходя из данных таблицы, можно сказать, что из представленных
ржано-пшеничных сортов хлеба больше всего выпускается Украинского нового,
Столового и Ржано-пшеничного. К 2010 году ассортимент предприятия сократился и
в целом выпуск изделий снизился примерно на 30%, что вероятнее всего связано с
уменьшением спроса на продукцию.
Прибыль как экономическая категория отражает чистый доход, созданный в
сфере материального производства в процессе предпринимательской деятельности.
Прибыль от реализации образуется из выручки от продукции, работ и услуг за вычетом
материальных и приравненных к ним затрат.
Показатели прибыли являются общеэкономическими. Они отражают конечный финансовый
результат и отражаются в бух.балансе, отчетности о прибыли и убытках.
Прибыль может рассматриваться как результат воздействия экономических
факторов, а значит
основная цель анализа прибыли выявить зависимость конечных финансовых
результатов от факторов, таких как объем реализованной продукции, себестоимости,
цены, структуры продукции [43].
Наибольший удельный вес в общей прибыли занимает прибыль от реализации
продукции. На отклонение
этой прибыли от плана влияют следующие основные факторы:
отклонения в себестоимости
изменение цен против запланированных в объеме реализованной продукции
изменение объема и
структуры реализованной продукции [42].
Оценить количество полученной прибыли и финансовые результаты предприятия
в целом поможет таблица 46.
Таблица 46 - Финансовые результаты от реализации хлебобулочных изделий
|
Показатели
|
2008г.
|
2009г.
|
2010г.
|
2010г. в % к 2008
|
|
Полная себестоимость
реализованной продукции, тыс.руб.
|
3452,8
|
4723,3
|
5133,6
|
149,0
|
|
Выручка от реализации
продукции, тыс. руб.
|
3823,7
|
5014,5
|
6395,9
|
168,0
|
|
Прибыль (убыток) от реализации,
тыс. руб.
|
370,9
|
291,2
|
1262,3
|
341,0
|
|
Рентабельность
(убыточность) продаж, %
|
9,7
|
5,8
|
19,7
|
10 п.п.
|
Финансовые результаты деятельности предприятия за исследуемый период
улучшились. Выручка от реализации продукции выросла на 2572,2 тыс. руб. или на
67, 27%, Основным показателем финансовых результатов хозяйственной деятельности
СПК является прибыль, из которой формируются фонды, она увеличилась на 891,4
тыс. руб. или 240,33% [20].
Рентабельность продаж продукции за 3 года увеличилась на 10 п.п., соответственно,
из-за роста прибыли от реализации.
Деятельность пекарни СПК колхоза "Искра" можно назвать
стабильной. Наблюдается увеличение показателей рентабельности, что
свидетельствует об улучшении работы предприятия: рентабельность ОПФ выросла на
64 п.п., что свидетельствует об эффективном использовании основных фондов,
которые способствуют улучшению всех технико-экономических показателей, в том
числе увеличению выпуска продукции и увеличению прибыли.
За анализируемый период денежная выручка увеличилась на 2572,2 тыс. руб.
или на 67,27%, за счёт увеличения выручки от продажи булочных изделий
собственного производства.
В 2010 году СПК получил ощутимо большую прибыль от реализации
хлебобулочных изделий в сравнении с предыдущими годами. Ее количество составило
1262,3 тыс. руб.,что на 240,33% больше, чем в 2008 году. Это связано с
приобретением предприятием нового оборудования, высоким ростом инфляции и
увеличением цен на продукцию. Рентабельность продаж и продукции за 3 года
увеличилась на 10 п.п., соответственно, из-за роста прибыли от реализации.
Среди слабых мест предприятия можно выделить следующие:
конкуренция;
повышение цен на сырьевую базу, что значительно повлияет на ценовой
диапазон конечного продукта.
В настоящее время в хлебопекарной отрасли актуальной является проблема,
связанная с конкурентоспособностью.
Рынок хлебобулочных изделий характерен высокой степенью заменяемости
продукции. Выбирая хлебобулочный продукт, потребитель выбирает между множеством
разнообразных видов хлеба, булочных изделий и прочей печеной продукцией
различных производителей. Поэтому эффективность сбыта, и как следствие,
получение прибыли играет не последнюю роль в деятельности любого предприятия.
Поэтому для более эффективной деятельности предприятия, а в частности для
эффективного сбыта хлебобулочной продукции СПК следует провести ряд
мероприятий:
· Использовать потребительскую упаковку в целях привлечения
новых покупателей;
· Расширить рынки сбыта, путем выхода за пределы района и
привлечения новых групп потребителей продукции;
· Проводить различную рекламную деятельность через средства
массовой информации регионального и местного уровня, в основном через радио и
местную прессу.
3.3 Оценка
покупателей и конкурентов
Оценка покупателей и конкурентов проводится путем проведения анкетирования
покупателей [40].
Качественная оценка рынка хлеба изделий проводилась с помощью анкетного
опроса в марте 2011 года. На улицах было опрошено 20 человек города Котельнича
и Котельничского района. Анализ результатов анкетирования представлен в приложении
М.
Данные опроса показали, что покупатели приобретают хлеб различных
производителей, но предпочитают продукцию Котельничского хлебокомбината и
Хлебозавода № 5 (г.Киров), 25 и 20% соответственно. Покупатели чаще приобретают
пшеничный хлеб, ориентируясь на вкус и аромат при покупке.
В таблице 47 проводится распределение респондентов по полу и возрасту.
Таблица 47- Распределение респондентов по полу и возрасту
|
Возраст, лет
|
Респонденты
|
Пол, чел
|
Респонденты
|
|
Чел.
|
%
|
|
Чел.
|
%
|
|
18-25
|
12
|
60
|
Мужчины
|
4
|
20
|
|
25-35
|
4
|
20
|
Женщины
|
16
|
80
|
|
35-45
|
1
|
5
|
|
|
|
|
45 и старше
|
3
|
15
|
|
|
|
В опросе приняли участие большинство человек в возрасте от 18 до 25 лет -
60%, и 80% женщин.
Предпочтение потребителями продукции различных производителей
представлено на рисунке 2.
Рисунок 2 - Распределение респондентов по производителям хлеба, %
Потребители предпочитают продукцию Котельничского хлебокомбината - 25% и
Хлебозавода №5 (г. Киров) - 20%.
Распределение респондентов по социальному статусу представлено на рисунке
3.
Рисунок 3 - Распределение респондентов по социальному положению, %
Как показывает диаграмма, среди опрошенных большинство являются
студентами (30%) и служащими (30%).
Рисунок 4 - Критерии выбора при покупке хлеба различных производителей, %
При покупке хлеба, потребители ориентируются на такие характеристики как
высокое качество (35%) и приятный вкус продукции (40%).
Далее выявим вкусы потребителей, а следовательно и их предпочтения.
Рисунок 5 - Предпочтение потребителей по виду хлеба, %
В результате выяснилось, что 50% опрошенных предпочитают пшеничный, 30%
ржано-пшеничный, 13,1%- пиво "Клинское".
И, наконец, рассмотрим популярность упаковки для большинства потребителей
на рисунке 6.
Рисунок 6 - Предпочтение потребителей по виду упаковки хлеба, %
Самой популярной упаковкой выявлена индивидуальная заводская - 45%.
Таким образом, по результатам оценки потребительских предпочтений можно
сделать следующие выводы:
) покупатели приобретают хлеб различных производителей, но
предпочитают продукцию Котельничского хлебокомбина и Хлебозавода №5 (г. Киров),
25 и 20% соответственно, так как хлеб данных производителей реализуется в
городе повсеместно и доступен во многих магазинах, в то время как продукция
пекарни СПК колхоза "Искра", набравшей всего лишь 15% , продается
только в магазинах кооператива в ограниченном количестве.
2) из числа опрошенных покупателей наибольший процент занимает женский
пол (80%), по социальному статусу выделяются студенты (30%) и служащие (30%);
) для большинства опрошенных хлеб является продуктом повседневного спроса
(90%), 80% респондентов покупают его раз в 2-3 дня;
) большинство покупателей (45%) приобретают хлеб в заводской упаковке,
35% респондентам все равно во что упакован хлеб.
4. Влияние деятельности предприятия на окружающую среду и правовая основа
для взимания платежей
Одним из критериев в оценке деятельности предприятия является его
воздействие на загрязнение окружающей среды.
Федеральный закон РФ "Об охране окружающей среды" (ФЗ №7 от 10
января 2002 г.) предусматривает контроль за деятельностью каждого предприятия,
а в основном за выбросами в атмосферу воздуха, сбросами со сточными водами,
размещением отходов.
До 60-х годов нашего века под охраной природы понималась в основном
защита ее животного и растительного мира от истребления. Соответственно и
формами этой защиты было главным образом создание особо охраняемых территорий,
принятие юридических актов, ограничивающих промысел отдельных животных, и т. п.
Ученых и общественность волновали, прежде всего, биоценотическое воздействие на
биосферу. Ингредиентное и параметрическое загрязнение, конечно, существовало
тоже, тем более что об установке очистных сооружений на предприятиях и речи не
шло. Но оно не было столь многообразным и массированным, как теперь,
практически не содержало искусственно созданных соединений, не поддающихся
естественному разложению, и природа с ним справлялась самостоятельно. Конечно
же, и раньше наблюдались отдельные очаги деградации природы в окрестностях
наиболее загрязняющих производств. Однако к середине XX в. темпы ингредиентного
и параметрического загрязнений возросли, и качественный их состав изменился
столь резко, что на значительных территориях способность природы к
самоочищению, т. е. естественному разрушению загрязнителя в результате
природных физических, химических и биологических процессов, была утрачена [24].
Поскольку не была решена вовремя задача охраны природы от отрицательного
воздействия человека, теперь все чаще встает задача защиты человека от влияния
изменившейся природной среды. Оба эти понятия интегрируются в термине
"охрана окружающей (человека) природной среды".
Под охраной окружающей природной среды понимают совокупность
международных, государственных и региональных правовых актов, инструкций и
стандартов, доводящих общие юридические требования до каждого конкретного
загрязнителя и обеспечивающих его заинтересованность в выполнении этих
требований, конкретных природоохранных мероприятий по претворению в жизнь этих
требований [37].
Только если все эти составные части соответствуют друг другу по
содержанию и темпам развития, т. е. складываются в единую систему охраны
окружающей природной среды, можно рассчитывать на успех.
Охрана окружающей природной среды складывается из:
правовой охраны, формулирующей научные экологические принципы в виде
юридических законов, обязательных для исполнения;
материального стимулирования природоохранной деятельности, стремящегося
сделать ее экономически выгодной для предприятий;
инженерной охраны, разрабатывающей природоохранную и ресурсосберегающую
технологию и технику.
Существует около двух сотен юридических документов, касающихся природопользования.
Одним из важнейших является комплексный закон "Об охране окружающей
природной среды", впервые принятый в 1991 г.
Он гласит, что каждый гражданин имеет право на охрану здоровья от
неблагоприятного воздействия загрязненной окружающей природной среды, на
участие в экологических объединениях и общественных движениях и получение
своевременной информации о состоянии окружающей природной среды и мерах по ее
защите [24].
В соответствии с законом Российской Федерации "Об охране окружающей
природной среды" охране подлежат:
естественные экологические системы, озоновый слой атмосферы;
земля, ее недра, поверхностные и подземные воды, атмосферный воздух, леса
и иная растительность, животный мир, микроорганизмы, генетический фонд,
природные ландшафты.
Особо охраняются государственные природные заповедники, природные
заказники, национальные природные парки, памятники природы, редкие или
находящиеся под угрозой исчезновения виды растений животных и места их
обитания.
В нашей стране впервые в мировой практике требования охраны и
рационального использования природных богатств включено в Конституцию.
Уникальный природно-ресурсный потенциал России при его эффективном
использовании является одной из важнейших предпосылок устойчивого развития
страны, как в настоящее время, так и на длительную перспективу [13].
Государство в лице его полномочных органов заинтересовано в том, чтобы
природные ресурсы использовались не хищнически, а более или менее равномерно и
планомерно. Для этого служат рентные платежи за природные ресурсы, цель которых
уравнять экономические условия добычи и управлять этими условиями. В настоящее
время это правило составляет основу хозяйствования Российской Федерации.
Для снижения выбросов загрязняющих веществ в атмосферу, хлебопекарни
проводят ряд мероприятий, основные из которых:
внедрение новейших типов горелок, отвечающих экологическим требования,
что значительно снижает выброс загрязняющих веществ;
замена газовых печей на электропечи, что полностью устраняет выброс
дымовых газов в атмосферу;
замена устаревших типов котлов на современные;
пересмотр нормативов высот труб от котлов и печей в сторону их увеличения
для более эффективного рассеивания выбросов в атмосфере;
установка поглотительных фильтров и прочих устройств, для снижения
утилизации технологических выбросов (этиловый спирт, уксусная кислот
ацетальдегид и прочие вещества со специфическими запахами - ванилин, эссенции,
аммоний и т. д.),
внедрение системы гибкого транспортирования муки, позволяющее полностью
исключить распыл муки и мучной пыли на всех стадиях технологического процесса
производства хлебобулочных изделий.
Обязательным требованием являются платежи за пользование природными
ресурсами - важнейший компонент экономического механизма природопользования.
Действующим законодательством сформирована правовая основа для установления
платы за пользование недрами, лесами, водой, землей и другими видами природных
ресурсов на основе рентного подхода или фиксированных платежей. Поступающие
платежи (налоги) распределяются между федеральным бюджетом и бюджетом
конкретного субъекта Федерации в пропорциях, установленных природно-ресурсными
законами. Однако прямые поступления в федеральный бюджет от платежей за
пользование природными ресурсами незначительны и составляют не более 5% (без
учета акцизов) от всех поступающих налоговых доходов, что в весьма ограниченной
мере обеспечивает компенсирующее воспроизводство природных ресурсов. Увеличение
размеров платежей за природопользование возможно только при уменьшении доли
(величины) других налогов, так как суммарные налоги, взимаемые с
природопользователей, как правило, находятся на предельно высоком уровне.
Впервые плата за природные ресурсы была введена правительственным
постановлением №32 от 7 января 1988 г. Госкомприроды установил порядок
определения и внесения платы. Затем этот Порядок был утвержден постановлением
Правительства РСФСР от 9 января 1991 г. №13 для всех предприятий независимо от
подчиненности и форм собственности [46].
В соответствии с Законом РФ "Об охране окружающей среды" от
10.01.02 г. плата за загрязнение окружающей природной среды и другие виды
воздействия взимается: за выброс в атмосферу загрязняющих веществ от
стационарных и передвижных источников; за сброс загрязняющих веществ в
поверхностные и подземные водные объекты; за размещение отходов; за другие виды
воздействия (шум, вибрация, электромагнитное и т.п.).
СПК колхоз "Искра" расположен на правобережье реки Молома при
впадении ее в реку Вятка. Общая земельная площадь хозяйства 18640 га, в том
числе пашня - 9400 га; сенокосные угодия - 5000 га.
Источники загрязнения атмосферы - 9 котельных, кузница, машинные дворы с
ремонтными мастерскими, зерносушилки, свинокомплекс и фермы КРС, автотранспорт
и сельхозтехника.
Источники выброса расположены на 5 площадках, находящихся на значительном
расстоянии друг от друга.
Предельно допустимые нормативы установлены на уровне фактических
выбросов.
Годовой выброс загрязняющих веществ в атмосферу от всех источников
загрязнения составляет 238,23375 тонн. Максимально-разовый - 26,6816 г/сек.
Контроль выполняется раз в год расчетным методом, сравниваются исходные
данные принятые для расчета выбросов в проекте с фактическими данными по итогам
работы за год.
Расчет выбросов загрязняющих веществ в атмосферу производится балансовым
расчетным методом по удельным показателям в соответствии с действующими
нормативно-методическими документами. Мощность выбросов определяется с учетом
работы оборудования с максимальной нагрузкой.
Платежи за загрязнение окружающей среды, которые осуществляет пекарня СПК
колхоза "Искра", представлены в таблице 48.
Таблица 48 - Платежи пекарни СПК колхоза "Искра" за загрязнение
окружающей среды.
|
Показатели
|
2008 год
|
2009 год
|
2010 год
|
2010 г. в % к 2008 г.
|
|
Плата за выбросы от
стационарного объектов, руб.
|
5033,4
|
5524,4
|
5806,5
|
115,4
|
|
Плата за выбросы от
передвижного объекта, руб.
|
1496,4
|
1642,4
|
2156,7
|
144,1
|
|
Плата за сбросы
загрязняющих веществ, руб.
|
5849,6
|
6420,3
|
6801,9
|
116,3
|
|
Плата за размещение отходов
в пределах установленных лимитов, руб.
|
1224,3
|
1343,8
|
1824,8
|
150,5
|
|
Всего
|
13603,7
|
14930,9
|
16589,9
|
122
|
Исходя из данных таблицы, можно сделать вывод о том, что резких колебаний
в выплатах не наблюдается, то есть нагрузка на окружающую природную среду
сильно не увеличивается, а только, в соответствии с инфляцией, возрастает плата
за загрязнение окружающей природной среды.
В процессе производства качество сырья и продукции проверяет
производственная лаборатория в соответствии с действующей нормативной
документацией, "Положением о производственных лабораториях предприятий
хлебопекарной промышленности" и объемом работ, утвержденным для них.
5.
Безопасность жизнедеятельности
.1
Актуальность охраны труда на производстве
В условиях рыночной экономики, проблемы безопасности
жизнедеятельности становятся одними из самых острых социальных проблем. Связано
это с травматизмом и профессиональными заболеваниями, приводящими в ряде
случаев к летальным исходам, притом, что более половины предприятий
промышленности и сельского хозяйства относится к классу максимального
профессионального риска [44].
Каждый сотрудник, приходя на работу, хочет быть уверенным, что его
рабочее место удобно для выполнения трудовых обязанностей и безопасно для жизни
и здоровья [17].
Сегодня правительство любой экономически развитой страны уделяет
пристальное внимание правильной организации охраны труда на предприятиях. Более
того, разрабатываются и принимаются различные межгосударственные нормативные
акты, призванные повысить качество охраны труда. К числу последних можно
отнести, к примеру, модельный закон "О службах охраны труда",
принятый 9.12.2000 г. Межпарламентской ассамблеей государств-участников СНГ.
Данный закон устанавливает основные положения, регулирующие организацию и
деятельность служб охраны труда, определяет задачи, функции и права этих служб
и является образцом для формирования соответствующего национального
законодательства принявших его стран.
Аналогичным образом на повышение качества охраны труда направлены и
национальные законодательные акты. В России, в первую очередь, к таковым
относится Трудовой кодекс Российской Федерации (главы 33-36). На его основе
разрабатываются иные нормативные акты, регулирующие вопросы организации охраны
труда на предприятиях. Естественно, выполнение этих и других законодательных
норм является обязательным для всех предприятий и организаций [17].
Безопасность следует принимать как комплексную систему, мер по защите
человека и среды его обитания от опасностей формируемых конкретной
деятельностью. Чем сложнее вид деятельности, тем более компактна система защиты
[14].
5.2 Анализ
производственного травматизма на пекарне СПК колхоза "Искра"
Анализо травматизма проводится стастическим методом. Оформленные
несчастные случаи актом формы Н-1, в конце года оформляются формой 7-Т.
Для количественной оценки травматизма рассчитываются следующие
коэффициенты: Кч , Кт , Кпт , Кл [44].
1. Частота травматизма
Кч = Т/р• 103,
где Т - число пострадавших с утратой трудоспособности на срок 1 суток и
более, чел;
Р - среднесписочное число работников за учетный период, чел.
. Тяжесть травматизма
Кт = Д/Т1 ,
где Д - число рабочих дней нетрудоспособности за отчетный период, дней;
Т1 - число несчастных случаев, без учета случаев получения
инвалидности и с летальным исходом, чел.
3. Коэффициент потери рабочего времени
Кпт = Д/Р• 1000.
4. Коэффициент летальности
Кл = Тл/Р• 104.
Пример расчета разберем за 2009 год.
Коэффициент частоты травматизма
Кч = 1:12•1000=83,3.
Коэффициент тяжести травматизма
Кт=52:1=52.
Коэффициент потери рабочего времени
Кпт=52:12•1000=4333,3
Количественная оценка травматизма за 2008-2010 года на основе актов 7-Т
представлена в таблице 49.
Таблица 49 - Количественная оценка травматизма
|
Показатели
|
Отчетный период
|
|
2008 г.
|
2009 г.
|
2010 г.
|
|
Среднесписочная численность
рабочих
|
12
|
12
|
12
|
|
Число пострадавших в
несчастных случаях
|
-
|
1
|
-
|
|
Число пострадавших с
летальным исходом
|
-
|
-
|
-
|
|
Число человеко-дней
нетрудоспособности
|
-
|
52
|
-
|
|
Коэффициент частоты
травматизма
|
-
|
83,3
|
-
|
|
Коэффициент тяжести
травматизма
|
-
|
52
|
-
|
|
Коэффициент потери рабочего
времени
|
-
|
4333,3
|
-
|
Анализируя данные таблицы, можно сказать, что в 2009 году имеется
единственный случай травматизма, причиной которого является не соблюдение
техники безопасности на пекарне, вследствие этого в 2010 году проводятся
следующие мероприятия:
инструктаж и обучение работников по технике безопасности;
уделяют особое внимание и проводят курсовое обучение по охране труда с
рабочими;
оперативный контроль за исправностью оборудования, обеспечением
работников спецодеждой;
контроль за выполнением трудового законодательства, инструкций и положений
по технике безопасности.
улучшают организацию рабочих мест.
5.3
Организационно-технические мероприятия по снижению травматизма
Требования по обеспечению охраны труда распространяются на всех
работодателей. В качестве работодателей, помимо юридических лиц и
индивидуальных предпринимателей, признаются физические лица, вступающие в
трудовые отношения с работниками в целях личного обслуживания и помощи по
ведению домашнего хозяйства (ст. 20 ТК РФ). Поэтому создавать безопасные
условия труда необходимо не только на производстве или в офисе, но и в быту.
Очень остро проблема охраны труда стоит на малых предприятиях. Часто
потому, что работодатели не знают основных требований трудового
законодательства.
Отсутствие у работодателя службы охраны труда (штатного специалиста по
охране труда) не освобождает его от обязанности соблюдать требования по
обеспечению безопасных условий для работников. В подобном случае эти функции
осуществляет работодатель, руководитель организации, другой уполномоченный
работодателем работник, прошедший обучение по охране труда. Кроме того, можно
обратиться к другой организации или специалисту, которые оказывают услуги в
области охраны труда по гражданско-правовому договору. Организации, оказывающие
услуги в области охраны труда, подлежат обязательной аккредитации собственности
[17].
В целях наибольшей безопасности условий труда, снижения числа случаев
травматизма, а так же в целях предупреждения травматизма, в пекарне провести
следующие мероприятия:
устранять в оборудовании конструкторские недостатки, последствия которых
могут привести к травмам;
выполнить работы по повышению надежности оградительного и
предохранительного оборудования;
осуществить контроль за выполнением графика планово-предупредительного
ремонта оборудования электроустановок;
провести измерения заземляющих устройств оборудования, изоляционных
электроустановок, аппаратов, электросети предприятия, а так же оформлять
документы в сроки и нормы ТЭП и ПТБ;
немедленно сообщять о всех выявленных недостатках главному технологу и принимают
срочные меры по устранению недостатков;
вновь поступающие на предприятие, рабочие и служащие должны проходить
инструктаж по противопожарным мероприятиям
все здания и сооружения предприятия должны обеспечиваться средствами
пожаротушения, которые используются для локализации и ликвидации пожаров в их
начальной деятельности развития собственности [15].
5.4 Требования безопасности для пекаря работающего с электропечью
.4.1 Общие
требования безопасности
- пекарь должен пройти первичный инструктаж на рабочем месте, обучение
электробезопасности по 1-ой квалификационной группе, а также обучение, по
практическому применению приемов оказания первой доврачебной помощи
пострадавшему. Повторный инструктаж пекарь должен проходить не реже 1 раза в 6
месяцев;
пекарь должен соблюдать правила внутреннего трудового распорядка,
технологический режим, требования безопасности, производственной санитарии и
пожарной безопасности;
необходимо быть осторожным и внимательным, выполнять только порученную
работу;
пекарь должен пользоваться выданной ему санспецодеждой и обувью.
Санспецодежду необходимо заправить так, чтобы не было развевающихся
концов, волосы убрать под плотно прилегающий головной убор;
рабочую одежду содержать в надлежащем состоянии: грязную одежду
своевременно отдавать в стирку, а пришедшую в негодность - заменять.
Необходимо выполнять установленный противопожарный режим: не пользоваться
открытым огнем, курить в специально отведенных для этой цели местах,
расположенных вне производственного помещения и оборудованных урнами с водой
для окурков. При возникновении пожара сообщить в пожарную охрану и приступить к
тушению пожара имеющимися на объекте средствами пожаротушения в соответствии с
пожарно-боевыми расчетами.
Запрещается распитие спиртных напитков и появление на работе в нетрезвом
состоянии.
5.4.2 Требования безопасности труда перед началом работы
Проверить:
- исправность обслуживаемого оборудования, контрольно-измерительной и
пусковой аппаратуры;
наличие и исправность ограждений привода печи;
исправность работы вытяжной вентиляции и душирующей установки;
исправность вентилей и других запорных устройств, отсутствие течи воды и
испарения;
убедитесь путем осмотра в исправности заземляющих проводников и
надежности присоединения их к корпусам электродвигателей и печи;
исправность рабочего инвентаря.
Обо всех выявленных недостатках и неисправностях немедленно сообщите
начальнику цеха или мастеру.
5.4.3
Требования безопасности труда во время работы
- перед включением оборудования проследите за показателями контрольно-измерительных
приборов, ходом печного конвейера и подом печи;
равномерно загружайте под печи листами, хлебные формы с заготовками
ставьте ровно без перекоса;
следите, чтобы используемые листы, хлебные формы были без нагара во
избежание загорания их в печи;
очищайте листы, хлебные формы, под печи от крошек, горелой муки
специальной щеткой только во время остановки конвейера печи;
используйте для надрезания хлебобулочных изделий специальные подрезные
ножи, пользоваться другими режущими инструментами запрещается;
развес куска теста регулируйте и проверяйте только во время остановки
машин;
не допускайте в посадку печи неисправных или деформированных листов и
форм с тестом;
для освещения пекарной пользуйтесь электролампами напряжением не выше 12
вольт в специальной арматуре;
не поправляйте тестовые заготовки, хлебные формы, листы во время движения
люлечно-печного конвейера;
не зачищайте воронку от тестоделителя и корыто во время движения
тестоделителя и печного конвейера;
не загромождайте проходы вагонетками, контейнерами, листами, хлебными
формами и другим оборудованием и инвентарем;
не оставляйте рабочее место и обслуживаемое оборудование без присмотра и
не доверяйте его другим лицам без разрешения мастера-пекаря или начальника цеха
[22].
5.4.4
Требования охраны труда в аварийных ситуациях
- при возникновении аварийной ситуации: завалах, несчастном случае,
пожаре, обесточении электросети, отклонении от технологического режима
выключить оборудование и поставить в известность мастера (начальника цеха);
при несчастном случае, внезапном заболевании, происшедшем на
производстве, пострадавший или очевидец должен известить мастера (начальника
смены), который обязан организовать первую помощь пострадавшему и его доставку
в медпункт или другое лечебное учреждение.
5.4.5
Требования охраны труда по окончании работы
- по окончании смены производить осмотр и зачистку обслуживаемого
оборудования только при выключенных электродвигателях и вывешенном на пусковом
устройстве предупредительном плакате: "Не включать! Работают люди!";
зачистку от теста обслуживаемого оборудования осуществлять в присутствии
дежурного слесаря;
очищать корыто из-под масла от крошек, масла, нагара;
зачистку транспортерных лент и под ними осуществлять при полной остановке
электродвигателей;
обо всех обнаруженных нарушениях техники безопасности сообщать мастеру
или начальнику смены [12].
Выводы и предложения
Выводы:
. Анализ литературных источников показал, что на качество
ржано-пшеничного хлеба влияют следующие факторы: качество сырья, используемого
при его производстве, а так же соблюдение этапов и режимов во время
технологического процесса производства, транспортирования и хранения.
. По результатам органолептического исследования можно сделатьвыводы о
том, что все исследуемые образцы: №1 (Орловский), №2 (Подмосковный), №3
(Ржано-пшеничный), №4 (Столовый), № 5 (Украинский новый) соответствуют
требованиям ГОСТ 2077-84.
По результатам проведенной дегустации три образца были отнесены к
стандартной высшей категории качества: образец №1 (хлеб Орловский) - 91,4
балла, образец №2 (хлеб Подмосковный) - 95,2 балла, образец №3 (хлеб
Ржано-пшеничный) - 93,6 балла. Образцу №4 (хлеб Столовый) была присвоена первая
стандартная категория качества - 89 баллов. Баллы были снижены по показателю
поверхность, так как на ней имелись трещины и за показатель состояние мякиша,
так как пористость хлеба была менее равномерной, чем у образцов набравших
высший балл. Образцу №5 (хлеб Украинский новый) так же была присвоена первая
стандартная категория качества - 82,7 баллов. Это объясняется тем, что у
данного образца была несимметричная форма, неравномерная пористость и на
верхней корке был выявлен дефект в виде пузырей, что и послужило основанием для
снижения оценок.
По результатам физико-химических исследований (пористость, кислотность,
влажность) ни у одного образца отклонений выявлено не было, все показатели
соответствовали требованиям ГОСТ 2077-84.
. Проанализировав данные по конкурентоспособности, можем сказать, что
Котельничский хлебокомбинат является наиболее конкурентоспособным, по сравнению
с остальными присутствующими производителями ржано-пшеничного хлеба, а СПК
"Искра" замыкает тройку лидеров по данному показателю.
. Деятельность пекарни СПК колхоза "Искра" можно назвать
эффективной. Об этом свидетельствуют финансовые результаты за период с 2008 по
2010 года, они улучшились. Выручка от реализации продукции выросла на 2572,2
тыс. руб. или на 67,27%, Основным показателем финансовых результатов
хозяйственной деятельности СПК является прибыль, она увеличилась на 891,4 тыс. руб.
или 240,33%
Рентабельность продаж продукции за 3 года увеличилась на 10 п.п.,
соответственно, из-за роста прибыли от реализации.
. По результатам оценки потребительских предпочтений можно сказать
следующее: для большинства опрошенных хлеб является продуктом повседневного
спроса, при выборе продукции потребители ориентируются на высокое качество и
приятный вкус.
. Согласно закону ФЗ №7 "Об охране окружающей среды" пекарня
СПК колхоза "Искра" ведет целенаправленную работу по снижению
негативного влияния на окружающую среду. Предприятие производит ряд платежей,
предусматривающих частичное возмещение за загрязнение окружающей среды. Эти
выбросы нормируются Федеральным Законом "Об охране окружающей среды".
. Пекарня СПК колхоза "Искра" характеризуется низким уровнем
травматизма, так как на предприятии соблюдаются все требования техники
безопасности, разрабатываются мероприятия по снижению уровня травматизма.
На основе анализа условий труда администрацией предприятия проводятся:
инструктаж и обучение работников по технике безопасности;
оперативный контроль за исправностью оборудования, обеспечением
работников спецодеждой;
контроль за выполнением трудового законодательства, инструкций и
положений по технике безопасности;
Все работники обеспечены санитарной одеждой и имеют личные медицинские
книжки.
Предложения:
использовать потребительскую упаковку для изделий в гигиенических целях и
для привлечения новых покупателей.
Список
литературы
1. ГОСТ
2077-84. Межгосударственный стандарт. Хлеб ржаной, ржано-пшеничный и пшенично-ржаной.Технические
условия. - М.: Изд-во стандартов, 1984. - 6 с.
. ГОСТ
5667-65. Межгосударственный стандарт. Хлебобулочные изделия. Правила приемки,
методы отбора образцов, методы определения органолептических показателей и
массы изделий - М.: Изд-во стандартов, 1968.- 5 с.
. ГОСТ
21094-75. Межгосударственный стандарт. Хлеб и хлебобулочные изделия. Метод
определения влажности. - М.: Изд-во стандартов, 1975. - 4 с.
. ГОСТ
5670-96. Межгосударственный стандарт. Хлебобулочные изделия. Методы определения
кислотности. - М.: Изд-во стандартов, 1996. - 8 с.
. ГОСТ
5669-96. Межгосударственный стандарт. Хлебобулочные изделия. Метод определения
пористости. - М.: Изд-во стандартов, 1996. - 5 с.
. ГОСТ
7045-90. Межгосударственный стандарт. Мука ржаная хлебопекарная. Технические
условия. - М.: Изд-во стандартов, 1990. - 4 с.
. ГОСТ Р
52189-03. Национальный стандарт РФ. Мука пшеничная. Общие технические условия.
- М.: Изд-во стандартов, 2003. - 13 с.
. ГОСТ
171-81. Межгосударственный стандарт. Дрожжи хлебопекарные прессованные.
Технические условия. - М.: Изд-во стандартов, 1981. - 11 с.
. ГОСТ
8227-56. Государственный стандарт Союза ССР. Хлеб и хлебобулочные изделия.
Укладывание, хранение и транспортирование. - М.: Изд-во стандартов, 1956. - 7
с.
. СанПиН
2.1.4.1074-01 Питьевая вода. Гигиенические требования к качеству воды
централизованных систем питьевого водоснабжения. Контроль качества, 2001. -
Изд-во стандартов, 2001.
. СанПиН 2.3.4.545-96 Производство хлеба, хлебобулочных и
кондитерских изделий, 1996. - Изд-во стандартов, 1996.#G0
13. Ашихмина
Т.Я. Экологическая безопасность региона (Кировская область на рубеже веков) /
Т.Я. Ашихмина, М.А. Зайцева. - Киров: Вятка, 2001. - 416 с.
. Беляков
Г.И. Безопасность жизнедеятельности на производстве: Учебник для вузов. - Спб.:
"Лань", 2006. - 512 с.
. Бурашников
Ю.М., Максимов А.С. Охрана труда в пищевой промышленности, общественном питании
и торговле. / Ю.М. Бурашников, А.С. Максимов - М.: Издательский центр
"Академия", 2005. - 240 с.
. Гордеев
А.В. Экономика предприятия пищевой промышленности: Учебник /А.В.Гордеев, О.А.
Масленникова и др. - М.: Агроконсалт, 2003.-616с.
17. Графкина
М.В. Охрана труда в непроизводственной сфере. / М.В. Графкина - М.: ФОРУМ,
2009. - 320 с.
. Донченко
Л.В., Надыкта В.Д. История основных пищевых продуктов: Учебное пособие. - М.:
ДеЛи принт, 2002. - 304 с.
19. Елисеева
Л.Г., Родина Т.Г., Положишникова М.А., Касторных М.С. Товароведение и
экспертиза продовольственных товаров: Учебник/ Под ред. проф. Л.Г.Елисеевой.-
М.: МЦФЭР, 2006.- 800 с.
. Жукова Ю.С.
Экономика пищевой промышленности: Учебное пособие - Киров: Вятская ГСХА,
2008.-177с.
. Казаков
Е.Д., Карпиленко Г.П. Биохимия зерна и хлебопродуктов (3-е переработанное и
дополненное издение). - Спб.: ГИОРД, 2005. - 512 с.
. Как
сохранить здоровье работника// Охрана труда и техника безопсности в сельском
хозяйстве - 2007 г - №2. С.65-67.
. Комплексный
экономический анализ хозяйственной деятельности: Учебное пособие. - 2-е изд.,
перераб. и доп. - Киров: ВятГСХА, 2006.-220с.
24. Кривошеин
Д.А. Экология и безопасность жизнедеятельности/ Д.А.Кривошеин, Л.А. Муравей,
Н.Н. Роева. - М.: ЮНИТИ ДАНА, 2000.- 447с.
. Матюхина
З.П. Товароведение пищевых продуктов. - Спб.: Питер, 2007. - 272 с.
. Мельник
М.В. Экономический анализ финансово-хозяйственной деятельности. / М.В Мельник.
- М.: Экономистъ, 2004. - 320 с.
27. Нечаев
А.П. - Технология пищевых производств/ Нечаев А.П, Шуб И.С., Аношина О.М и др.;
Под ред. А.П. Нечаева. - М.: КолосС, 2008. - 768 с.
. Николаева
М. А., Положишникова М.А.:/ Идентификация и обнаружение фальсификации
продовольственных товаров: учебное пособие. - М.: ИД "ФОРУМ":
ИНФРА-М, 2009. - 464 с.
. Пащенко
Л.П., Жаркова И.М. Технология хлебобулочных изделий. - М.: КолосС, 2008. - 389
с..
. Пащук З.Н
Технология производства хлебобулочных изделий: справочник/ З.Н. Пащук, Т.К.
Апет, И.И. Апет, - Спб.: ГИОРД, 2009. - 400 с.
31.
Поздняковский В.М. Экспертиза хлеба и хлебобулочных изделий. Качество и
безопасность/ В.М. Поздняковский, А.С. Романов, Н.И. Давыденко, Л.Н. Шатнюк.
Экспертиза хлеба и хлебобулочных изделий. Качество и безопасность: Учеб.-спарв.
Пособие, 2-е издание, - Новосибирск: Сиб. унив. изд-во, 2007. - 278 с.
32. Пучкова
Л.И. Лабораторный практикум по технологии хлебопекарного производства. Спб.:
ГИОРД, 2004. - 264 с.
33. Пучкова
Л.И.Технология хлеба/ Пучкова Л.И., Поландова Р.Д.- СПб: ГИОРД, 2005.
34. Савицкая
Г.В. "Экономический анализ". / Г.В. Савицкая - М.: ООО "Новое
знание", 2004. - 640 с.
35. Скурихин
И.М., Нечаев А.П.:/ Все о пище с точки зрения химика: Справ. издание. - С 46
М.: Высш. шк. 1991. - 288 с.
36. Скурихин
И.М., Тутельянов В.А. Таблицы химического состава и калорийности российских
продуктов питания: Справочник, - М.: ДеЛи принт, 2007. - 276 с.
37.
Степановских А.С. Охрана окружающей седы - М.: ЮНИТИ-ДАНА, 2001. - 566 с.
38.
Товароведение и экспертиза продовольственных товаров: Учебник/ Под.ред. проф.
Л. Г. Елисеевой. - М.: МЦФЭР, 2006. - 800 с.
. Трисвятский
Л.А., Шатилов И.С. Товароведение зерна и продуктов его переработки: Учебник для
техникумов. - 4-е изд., перераб. и доп. - М.: Колос, 1992. - 431 с.
. Философова
Т.Г. Конкуренция и конкурентоспособность/ Философова Т.Г. - М.: ЮНИТИ - ДАНА,
2007.-217с.
41. Чепурной
И.П. Идентификация и фальсификация продовольственных товаров. / И.П. Чепурной -
учебник 2-е изд. - М.: Издательско-торговая корпорация "Дашков и Ко",
2004. - 460 с.
. Шеремет
А.Д. Анализ и диагностика финансово-хозяйственной деятельности предприятия. /
А.Д. Шеремет. - М.: ИНФРА-М, 2009. - 367 с.
. Шифман З.Б.
Справочник экономиста хлебопекарной промышенности. - М.: Агропромиздат, 1991. -
223 с.
. Шкрабак
В.С. Безопасность жизнедеятельности в сельско-хозяйственном производстве / В.С.
Шкрабак, Луковников А.В, Тургиев А.К. - М.: КолосС, 2003. - 512 с.
45.
Бутковский В. Мукомольный рынок России Состояние и проблемы// Хлебопродукты. -
2006. - №5
46. Гофман
К.Г., Витт М.Б. Платежи за природные ресурсы // Экономика и организация производства.
- 1990. - №2.
. Ильина О.А.
Проблемы управления качеством хлеба, муки, зерна//
Пищевая
промышленность. - 2006. - №12
.
http://www.znakcomplect.ru
.
support@studfiles.ru