Технологический расчет нефтепровода
Курсовой
проект
По
дисциплине: Технологический расчет нефтепродуктов
На
тему: Технологический расчет нефтепровода
Содержание
Введение
. Исходные данные для
технологического расчета нефтепровода
. Технологический расчет
нефтепровода
Заключение
Литература
Введение
Трубопровод позволяет транспортировать
газообразные и жидкие вещества. Такая система уникальна тем, что не требует ни
дорог, ни фургонов или цистерн, ни водителей. Только трубы и давление в них.
Идея использования трубопровода для перекачки
нефти принадлежит Д. И. Менделееву, который считал, что только строительство
трубопроводов обеспечит надежную основу развития нефтяной промышленности и
выведет российскую нефть на мировой рынок. И оказался прав.
В конце 1878 года на Апшеронском полуострове был
введен в эксплуатацию первый российский нефтепровод протяженностью около десяти
километров для перекачки нефти от Балаханского месторождения на
нефтеперерабатывающие заводы Баку.
На сегодняшний день крупные компании имеют свыше
48 тысяч км трубопровода. Актуальными сегодня остаются такие вопросы: материалы
для изготовления и покрытия труб, которые бы прочность и долговечность
трубопровода; обеспечения эффективного проектирования для снижения аварийности;
долгосрочное прогнозирование аварийности.
Технологический расчет нефтепровода включает в
себя решение следующих основных задач:
) выбор и обработка исходных данных температура,
плотность, коэффициент кинематической вязкости нефти;
) определение параметров нефтепровода; диаметра
и толщены стенки труб нефтепровода; типа насосного оборудования для
нефтеперекачивающих станций; давления развиваемого станциями; число
нефтеперекачивающих станций; длины лупинга или вставки меньшего или большего
диаметра; числа участков и др.;
) расстановка нефтеперекачивающих станций по
трассе трубопровода;
) расчет режимов работы и др.
Для выполнения технологического расчета
нефтепровода необходимы следующие данные:
) плановое (годовое) задание на перекачку нефти
по трубопроводу Gr
) расчетная температура нефти tр;
3) физические свойства перекачиваемой нефти в
зависимости от расчетной температуры;
) характеристика труб и насосного оборудования;
) чертеж сжатого профиля трассы.
1.
Исходные данные для технологического расчета нефтепровода
.Расчетная длина трубопровода L=675км
.Разность геодезических отметок
Z=+46м
.годовой план перекачки нефти Gг= 55 т/г
. расчетная температура нефти tp=+8 C
.плотность нефти при
. Коэффициенты кинематической вязкости 
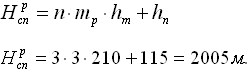
. остаточный напор hкп=26м
. число эксплуатационных участков Nэ=1
2.
Технологический расчет нефтепровода
Расчетная пропускная способность нефтепровода
определяется по формуле:
Где Gr - массовый годовой расход нефти
- расчетная
плотность нефти (при заданной температуре)
- расчетное число часов работы в году
Расчетная плотность нефти при температуре
вычисляется
по формуле:
где
-
плотность нефти при t=
.
Коэффициент кинематической вязкости находим по
формуле:
где вязкость Vp измеряется в сСт (мм /с),
Тр - расчетная температура в кельвинах (К).
откуда
Где коэффициенты a и b определены по формуле:
Ориентировочное значение внутреннего диаметра
нефтепровода определяем по формуле:
Где Q- секундная подача= 2,4 м/с - скорость
перекачки при расчетной пропускной способности Q = 7357 м3/ч.
(определяется по графику на рис 1)
Рис 1. Зависимость
рекомендуемой скорости перекачки от плановой пропускной способности
нефтепровода.
Таблица 1
Механические характеристики трубных сталей
|
Марка
|
Предел
прочности в,МПа
|
Предел
текучести т, МПа
|
Состояние
поставки металла труб
|
Диаметр
наружный Dн, мм
|
Толщина
стенки, мм
|
|
14Г2САФ
|
570
|
400
|
1220
|
11;11,5;13;
15
|
|
17Г1С
|
520
|
360
|
Нормализо-в.
лист
|
1020
|
9,5;10;11;
12,5;14
|
|
|
|
Горячекатанный
лист
|
820
720 529
|
8,5;9;10;
10,5;11;12 7,5;8;8,5;9; 10;11;12 6;6,5;7;7,5;8;9
|
|
17Г2СФ
|
550
|
330
|
Спирально-шовные
из рулонной горячекатанной стали
|
1220
1020 820
|
12
10;10,5 8;9,5;10;11;11,5
|
|
|
|
|
720
529
|
7;8,5;9,5;10;11,5
5,5;6;6,5;7; 7,5;8,5
|
|
17Г1С
|
520
|
360
|
Спирально-шовные
из рулонной горячекатанной стали
|
1220
1020 820 720 529
|
12
10;10,5 8,5;10;11,5; 12 7,5;8,5;9; 10;10,5;12 6;6,5;7;7,5; 8;9
|
|
16Г2САФ
|
600
|
420
|
Нормализо-ванный
лист
|
1020
|
9;10;10,5;12
|
|
14ХГС
|
500
|
350
|
Горячепр-ленные
нормализов трубы
|
1020
720 529
|
10,5;11;12,5
7,5;8;9;10,5;11 7,5;8;9
|
Примем ближайший наружный диаметр трубопровода
(табл. 1) равным н = 1220мм. Примем марку стали труб 14Г2САФ
с пределом прочности σв
= 570 МПа. Согласно коэффициенты m, n, K1, Kн имеют
значения: нефтепровод
лупинг насосный станция
= 1, 15; m = 0, 9; K1 = 1, 47; Kн
= 1, 0
Расчетное сопротивление металла трубы определяем
по формуле:
-предел прочности
m- коэффициент
условий работы трубопровода, зависящий от его категории: магистральных
нефтепроводов m=0.9
К1-коэффициент
надежности по материалу; для сварных труб из горячекатаной и нормализованной
низколегированной стали
Кн -
коэффициент надежности по значению трубопровода
Основные магистральные и подпорные насосы
выбираем по расчетной пропускной способности Q = 2,04м3/с (табл. 2):
·
магистральный
насос НМ 7000-210 с производительностью 7000 м3/ч и напором 210 м;
·
подпорный
насос НМП 5000-115 с производительностью 5000 м3/ч и напором 115 м.
Таблица 2:Характеристика
насосов нефтеперекачивающих станций.
|
Производительность
нефтепровода млн. т/г
|
Марка
насоса
|
Диапазон
измерения подачи насоса,3 м /ч
|
Номинальная
подача насосной станции, млн. т/г
|
Подача/
напор, 3 м /ч / м
|
Допускаемый
кавитационный запас (вода), м
|
|
1
|
2
|
3
|
4
|
5
|
6
|
|
7,1…10,7
|
НМ1250
|
1000…1500
|
8,9
|
1250/260
|
20
|
|
10,7…15,4
|
НМ1800
|
12,9
|
1800/240
|
25
|
|
15,4…21,4
|
НМ2500
|
2000…3000
|
17,9
|
2500/230
|
32
|
|
21,4…30,8
|
НМ3600
|
2900…4300
|
25,7
|
3600/230
|
40
|
|
30,8…42,8
|
НМ5000
|
4000…6000
|
35,7
|
5000/210
|
42
|
|
42,8…60,0
|
НМ7000
|
5600…8400
|
50,0
|
7000/210
|
52
|
|
60,0…85,7
|
НМ10000
|
8000...12000
|
71,4
|
10000/210
|
65
|
|
85,7…92,6
|
НМ10000
|
10000...13000
|
89,3
|
12500/210
|
89
|
При расчетной подаче напоры,
развиваемые насосами, равны hм = 210м и hп=78м. (рисунки 2 и 3)
Рис.2 Рабочие характеристики подпорных насосов
(hп)
Рис.3Характеристика насоса НМ7000-210 (hм)
Рабочее давление, развиваемое насосной станцией
находим по формуле:
где
-
соответственно напор, развиваемый магистральным насосом при расчетной Q по
рабочим характеристикам насосов
-число рабочих
магистральных насосов
- допустимое
давление нефтеперекачивающей станции, исходя из прочности корпуса насоса или
запорной арматуры=9.81
-ускорение
свободного падения
-плотность нефти
Необходимая толщина стенки трубы определяется по
формуле:
,
где Р - рабочее давление в трубопроводе
- наружный диаметр
трубы- коэффициент надежности по нагрузке (рабочему давлению);для диаметра труб
от 720 до1220 мм n=1.15
Для труб из стали 17Г2СФ и Dн =
1220мм (табл. 1) ближайшая большая толщина стенки равна δ
= 13 мм.
Определяем внутренний диаметр трубопровода:
Где
-
необходимая толщина стенки трубы
- наружный диаметр
трубы.
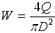
Определяем фактическую скорость течения нефти в
трубопроводе:
Где
-расчетная
пропускная способность(м/с)
-внутренний диаметр
трубы
Определяем число Рейнольдса:
где Dвн - внутренний диаметр трубопровода-
фактическая скорость течения нефти по трубопроводу
Находим первое переходное число Рейнольдса:
где
-
эквивалентная шероховатость труб(0,015) ;
Сравнивая Re и Re1, получаем, что
режим течения турбулентный, зона гидравлически гладкого трения.
Определяем коэффициент гидравлического
сопротивления:
(формула Блазиуса)
Где Re -число Рейнольдса
Определяем гидравлический уклон:
где
-
коэффициент гидравлического сопротивлениявн - внутренний диаметр трубопровода-
фактическая скорость течения нефти по трубопроводу
Определяем суммарные потери напора в
трубопроводе:
где
-
гидравлический уклонрасчетная длина нефтепровода
Z - разность
геодезических отметок от конца и начала трубопровода
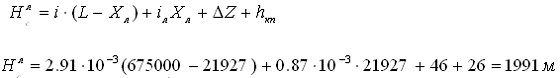
Расчетный напор перекачивающей станции при
выполнении условия
определяется по:
где
-
число рабочих магистральных насосов
- напор
магистрального насоса
Определяем расчетное число насосных станций:
где H- суммарные потери напора;э - число
эксплуатационных участков(1)кп - остаточный напор;
Нст - расчетный напор
Округлим число насосных в меньшую сторону,
примем n = 3.
При расчетной подаче Q =7357 м3/ч
суммарный напор всех насосов составляет (т. Б на кривой 3, рис. 4):
Суммарные потери напора в трубопроводе с учетом
остаточного напора (т. Е на кривой 1, рис. 4) составляют:
Сопоставляя потери напора и суммарный напор всех
насосов, видим, что потери превышают напор, при этом расчетная подача не будет
обеспечена.
Чтобы обеспечить расчетную
подачу, необходимо уменьшить сопротивление трубопровода прокладкой лупинга.
Определяем необходимую длину лупинга:
где iл -гидравлический уклон
лупинга;
i-гидравлический
уклон;
- расчетное число
НС;
n - число НС
Где гидравлический уклон лупинга iл
при Dл = D равен:
Где D- внутренний диаметр трубы
Суммарные потери напора на трение в трубопроводе
с лупингом с учетом hкп (т. Б на кривой 2) составляют:
Следовательно, необходимая длина лупинга
определена верно.
Построим совмещенную характеристику
трубопровода и НС.
Для построения характеристики трубопровода
зададимся рядом расходов в диапазоне 5875…8813Q от расчетной подачи. С учетом
остаточного напора определим суммарные потери напора в трубопроводе в
координатах Q-H построим характеристику трубопровода. В предыдущем расчете при
Q = 7357м3/ч уже определено одно значение Нс = 2036 м. Аналогично
строится характеристика трубопровода с лупингом. В рассматриваемом расчете при
расчетной подаче определены суммарные потери напора с учетом hкп они
составляют = 1991 м.
Построим суммарную характеристику всех насосных
станций с учетом подпорных насосов. Характеристика основного насоса НМ 7000-210
представлена на рис. 3. при начальных значениях подач определим напор,
развиваемый насосом с колесом диаметром D2 = 465мм и по формуле
(2.16.)для 3 насосных станций определим развиваемый напор. К этим значениям
добавим напор, развиваемый подпорным насосом, и построим искомую характеристику
3 (рис.4). Суммарная характеристика только магистральных насосов представлена
на кривой 4.
Таблица 3
Характеристика трубопровода без лупинга
|
Исходные данные Расчетная
вязкость сСт ν
= 38,5 Длина
трубопровода км L = 675 Внутренний диаметр м D =1,196 Шероховатость стенки
трубы мм К = 0,015 Разность геодезических отметок м ∆Z = 46 Остаточный
напор м Ност = 26 Число эксплуатационных участков Nэ =
1
|
|
Результаты
гидравлического расчета
|
|
Q,
м3/ч
|
i
|
iл
|
Н,
м
|
|
5875
|
0.0017
|
0,00000
|
1193,5
|
|
6610
|
0.00233
|
0,00000
|
1619
|
|
7357
|
0.00291
|
0,00000
|
|
8079
|
0.00318
|
0,00000
|
2193
|
|
8813
|
0.004
|
0,00000
|
2746
|
Таблица 4
Характеристика трубопровода с лупингом
|
Исходные данные Расчетная
вязкость сСт ν
= 38,5 Длина
трубопровода км L = 675 Внутренний диаметр м D = 1,196 Шероховатость стенки
трубы мм К = 0,015 Разность геодезических отметок м ∆Z = 46 Остаточный
напор м Ност = 26 Число эксплуатационных участков Nэ =
1 Трубопровод с лупингом Внутренний диаметр лупинга (вставки) м Dл
=1,196 Длина лупинга (вставки) км Lл =21927
|
|
Результаты
гидравлического расчета
|
|
Q,
м3/ч
|
i
|
iл
|
Н,
м
|
|
5875
|
0.0017
|
0,0005
|
1188,5
|
|
6610
|
0.00233
|
0.0007
|
1613
|
|
7357
|
0.00291
|
0.0008
|
1991
|
|
8079
|
0.00318
|
0.0009
|
2188
|
|
8813
|
0.004
|
0.001
|
2741
|
Примечание. В таблицах введены следующие
обозначения:
. Q, м3/ч - часовая объемная
производительность трубопровода;
2. i
- гидравлический уклон основной магистрали;
3. i
л - гидравлический уклон лупингованного участка;
. Н, м - потери напора с учетом местных
сопротивлений и остаточного напора.
По результатам расчета построены характеристика
трубопровода без лупинга 1 и с лупингом 2 (рис. 4).
Рис. 4. Совмещенная характеристика трубопровода
и насосных станций
Примечание:
- характеристика трубопровода без
лупинга,
- характеристика трубопровода с лупингом,
- характеристика подпорных насосов,
- характеристика магистральных насосов.
Таким образом, точки А и В пересечений суммарной
характеристики насосных станций с учетом подпорного насоса 3 и характеристики
трубопроводов 1,2 являются рабочими точками. Как видно из рис. 4 рабочая точка
А соответствует производительности 3082м3/ч. которая меньше
расчетной. Чтобы обеспечить расчетную подачу 3210,2 м3/ч и был
рассчитан лупинг длиной Хл =85,842м. Рабочая точка Б стала
соответствовать расчетной подаче.
По результатам расчета произведем расстановку
насосных станций на профиле трассы.
Расстановка насосных станций на
профиле трассы.