Технологическая схема производства прямошовных труб большого диаметра
Реферат
В данной курсовой научно исследовательской работе была рассмотрена
технологическая схема производства прямошовных труб большого диаметра ,а так же
конструкция и работа пресса подгибки кромок линии ТЭСА 1420, представленного в
ТЭСК ТБД ОАО «ВМЗ».В работе проведен анализ формоизменения трубной заготовки на
прессе подгибки кромок трубы диаметром 1420.Работа изложена на 47 листах в ней
29 рисунков, 9 таблиц, список использованной литературы состоит из 4
наименований.
Содержание
Введение
1. Общая часть
1.1 Технологический процесс
формовки JCOE
1.2 Общие сведения о прессе
пошаговой подгибки кромок
1.3 Технология подгибки
кромок на прессе
1.4 Методика расчета
напряженно-деформированного состояния
2. Расчетная часть
2.1 Определение технических
параметров подгибаемой кромки при однорадиусной формовке.
2.2 Определение напряженно -
деформированного состояния
2.3 Определение технических
параметров подгибаемой кромки при формовке по эвольвенте
Заключение
Список используемой
литературы
Приложение
Введение
Стальные трубы широко применяются во всех отраслях промышленности для
добычи, транспортировки и переработки полезных ископаемых и, прежде всего,
нефти, газа, в энергетике и машиностроении, авиации, ракетно-космической
технике, сельском хозяйстве и т.д. Они используются для сооружения
магистральных нефтепроводов.
Широкое применение труб обусловлено их разнообразным сортаментом по
диаметру и толщине стенки, профилю поперечного сечения, материалу,
экономичностью их производства. В России магистральные газопроводы имеют, как
правило, диаметр 1420 мм и рабочее давление 7,5 МПа, диаметр нефтепроводов
равен 1220 мм.
На «ВМЗ» существует промышленная технология изготовления стальных
электросварных труб для строительства магистральных газонефтепроводов. В
настоящее время ТЭСК ТБД производит трубы диаметром от 508 до 1420 мм, с
толщиной стенки от 8 до 48 мм. Формовка труб большого диаметра на ОАО «ВМЗ»
осуществляется на прессах.
Все более суровые условия эксплуатации и необходимость сокращения затрат
на последующих этапах обработки продукции обусловливают повышение требований к
характеристикам труб большого диаметра.
Кроме того, существует насущная необходимость в использовании более
высококачественных сортов стали, ввиду увеличения сложности процессов добычи и
транспортировки природного газа.
Наиболее важными характеристиками труб большого диаметра являются:
прочность;
ударная вязкость;
свариваемость в условиях стройплощадки;
стойкость к высокосернистым веществам;
геометрическая форма и соблюдение допусков.
Характеристики материала обеспечиваются благодаря процессу сочетающему
свойства микросплавной малоуглеродистой стали со сложной термомеханической
процедурой прокатки. Геометрическая форма и допуски являются результатом
технологического процесса обработки.
Прямошовные трубы, свариваемые дуговой сваркой под флюсом,
изготавливаются в диапазоне диаметров от 16 до 64 дюймов, т.е. главным образом,
в тех случаях, когда производство аналогичных бесшовных стальных труб
оказывается нерентабельным. При этом толщина стенки трубы ( в зависимости от
применяемой технологии) может достигать 65 мм, а соотношение толщины стенки к
диаметру составляет от 0,06 до 0,08.
Прямошовные трубы большого диаметра, свариваемые дуговой сваркой под
флюсом, широко используются сегодня в самых различных областях, в частности:
трубы из углеродистой стали для сетевого транспорта газа, нефти и воды;
-трубы из нержавеющей стали для химической промышленности; -(несущие) трубы для
морских сооружений; -трубы для котлов и другая продукция для специальных сфер
применения. На сегодняшний день существует лишь небольшое число промышленных
методов изготовления труб большого диаметра из листовой или полосовой стали.
Эти методы отличаются друг от друга, главным образом, технологией
формовки. Дальнейший процесс обработки трубы всегда идентичен.
В основе технологии производства труб большого диаметра лежит процесс
формовки, во многом определяющий как номенклатуру производимой продукции, выбор
марки стали, размеры, так и производительность линии.
Разработанный фирмой "SMS
Меег" процесс формовки JCOE,
при котором в качестве основного агрегата используется гибочный пресс,
утвердился в последние годы на рынке производства сварных труб большого
диаметра. В условиях конкуренции с технологией UOE (формовкой на U- и О- образных гибочных прессах, сваркой и экспандированием)
и с технологией 3-валковой гибки благодаря более высокой степени гибкости,
высочайшему качеству и более низким инвестиционным затратам.
1. Общая часть
1.1 Технологический
процесс формовки JCOE
Подгибка кромок
На кромкогибочном прессе производится одновременная поэтапная гибка обеих
боковых кромок листа в соответствии с конечным радиусом готовой трубы на ширине
примерно 150-300 мм. За счёт этого после этапа механического экспандирования
обеспечивается идеальная круглая форма трубы по всей длине. Использование
гибочного пресса необходимо при производстве толстостенных труб для обеспечения
требуемого качества формованной кромки.
Рисунок 1 - Общий вид кромкогибочного пресса
Формовка трубных заготовок
Разработанный фирмой «SMS Meer» процесс
формовки JCOE, при котором в качестве основного
агрегата используется гибочный пресс, утвердился в последние годы на рынке
производства сварных труб большого диаметра. В условиях конкуренции с технологией
UOE (формовкой на U-и О-образных гибочных прессах,
сваркой и экспандированием) и с технологией 3-валковой гибки благодаря более
высокой степени гибкости, высочайшему качеству и более низким инвестиционным
затратам.
Процесс формовки JCOE
является также наиболее адекватным способом производства толстостенных труб
малого диаметра, что создаёт возможности для обслуживания сегмента рынка сбыта
продукции для строительства морских трубопроводов.
Процесс формовки JCOE
осуществляется следующим образом. Лист (с предварительно обработанными и
загнутыми кромками) устанавливается манипуляторами в положение гибки и
подвергается процессу поэтапной формовки по всей длине с помощью штампа,
выбираемого в соответствии с необходимыми размерами готовой трубы. Пресс снабжён
двумя манипуляторами. На первом этапе лист загибается только с одной стороны, в
результате чего получается сечение J-образной формы. Затем лист перемещается на другую сторону, и второй
манипулятор устанавливает его для гибки другой стороны. Таким образом, мы
получаем С- образный профиль и, в конце концов, О-образный. Получаемая труба с
открытым швом имеет достаточно круглую форму с плоскопараллельными, идеальными
для сварки кромками.
Формовочный пресс может быть двух разновидностей: с коротким или длинным
ходом.
Пресс с коротким ходом применяется исключительно для производства
трубопроводных труб с толщиной стенки до 40 мм. На короткоходовом прессе
применяется формовочный инструмент JCO. Трубоформовочный пресс с длинным ходом развивает усилие максимум 65 МН
при формовке труб длиной до 12,2 м (и соответственно 100 МН при 18,3 м).
Конструктивная разновидность пресса с длинным ходом предназначена для
производства трубопроводных труб и толстостенных труб (до 65 мм). В этом
случае, наряду с формовочным инструментом JCO, используется специальный формовочный нож.
Это позволяет добиваться высокой производительности при выполнении особых
требований к размерам готовой продукции.
Конструктивная разновидность пресса с длинным ходом предназначена для
производства трубопроводных труб и толстостенных труб (до 65 мм). В этом
случае, наряду с формовочным инструментом JCO, используется специальный формовочный нож.
Это позволяет добиваться высокой производительности при выполнении особых
требований к размерам готовой продукции.
Из всех методов производства труб большого диаметра наиболее удачным
компромиссным решением (с точки зрения инвестиционных затрат, производственных
издержек и мощностей) представляется вариант, включающий в себя формовочный
пресс.
Процесс формовки JCOE обеспечивает
высокую степень гибкости за счет:
возможности легко варьировать производственные мощности, в том числе при
производстве малых партий продукции;
быстрой смене инструмента;
низким затратам на инструмент;
продолжительному сроку службы инструмента;
низким затратам на техобслуживание.
Рисунок 2 - Общий вид пресса шаговой формовки
Сборка и сварка трубных заготовок
Сборочно-сварочный стан выполнен проходного типа и предназначен для
сборки одношовных трубных заготовок и сварки одной сварочной головкой
технологическим швом в среде защитного газа продольных кромок по всей длине при
перемещении заготовок через стан. Задачей сборочно-сварочного стана является
такое сжатие шлицевой трубы, чтобы кромки полосы находились в заданной
геометрии для последующей сборочной сварки. Эта геометрия шва должна
сохраняться до конца сборочной сварки.
Рисунок 3 - Общий вид сборочно-сварочного стана
Калибровка труб
Калибрование одношовных и двухшовных труб производится раздачей трубы
участками по всей длине гидромеханическим экспандером, с целью обеспечения
требуемой точности по наружному диаметру, величине овальности концов и
прямолинейности концов.
За счёт расширения с помощью экспандерной головки внутри трубы происходит
процесс постепенной холодной формовки, т.е. пластической деформации (прим. на
11,5 %).
Кроме того, эта деформация компенсирует остаточное напряжение,
возникающее в трубе в ходе формовки. Таким образом, механический экспандер
обеспечивает получение продукции высочайшего качества с точки зрения точности
геометрической формы, размеров, заданных физических и механических свойств.
Экспандер, используемый на технологической линии JCOE, снабжён специальной кареткой механической подачи и
системой роликов, размещаемой под экспандерной головкой, что тоже обеспечивает
соблюдение жестких допусков на прямолинейность трубы.
Оптимальная геометрическая форма трубы, получаемая благодаря процессу
расширения на экспандере, позволяет снизить затраты времени на прокладку
трубопроводов за счет минимизации смещения свариваемых кромок. Более того,
благодаря точности размеров внутреннего диаметра обеспечивается равномерность
сечения на всём протяжении трубопровода.
Постоянное совершенствование экспандерных инструментов даёт следующие
результаты:
·использование специальных материалов для изготовления сегментов
экспандерной головки и клина, чрезвычайно долгий срок службы;
·специально разработанная система смазки;
·устройство для быстрой и удобной смены инструмента;
·специальная конструкция инструмента для труб диаметром от 18 до 28
дюймов, позволяющая уменьшать давление между клином и сегментами;
·кованые и специально обработанные перекладины и главные тяги;
·выбор специальных соединений и материалов, выдерживающих высокие нагрузки
главной тяги.
-Повышение качества продукции.
Увеличение степени гибкости.
Снижение расхода энергии.
Уменьшение вредных выбросов.
Упрощение процессов эксплуатации и техобслуживания.
Рисунок 4 - Общий вид гидромеханического экспандера
1.2 Общие
сведения о прессе пошаговой подгибки кромок
Пресс шаговой формовки предназначен для подгибки фрезерованных кромок
полос, которые в связи с коротким расстоянием от края не могут быть достаточно
подогнуты и формованы в трубу в последующей формовочной машине. Пресс шаговой
формовки состоит из транспортного рольганга и двух расположенных друг против
друга прессов, работающих синхронно друг с другом. Рабочие процессы
осуществляются в автоматическом режиме, установка может быть также переключена
в полуавтоматический и наладочный режимы. Пресс шаговой формовки в потоке
материала расположена за кромкофрезерным станком и перед формовочной машиной.
Полосы поступают от кромкофрезерного станка по входному рольгангу, расположенному
между прессами, и транспортируются в шаговом режиме. В связи с тем, что длина
полосы представляет собой многократное длины пресса, подгибка и транспортировка
осуществляются в шаговом режиме. Прессы должны приспосабливать свою позицию
различной ширине полос, поэтому они могут передвигаться на совместной опорной
раме. Между прессами расположен «центральный рольганг», который при гибке
синхронно поднимается с обоими прессами. Этот рольганг поддерживает полосу и
защищает ее от провисания в поперечном направлении.
.3 Технология
подгибки кромок на прессе
Лист перемещается по вводному транспортному рольгангу, где предварительно
центрируется при помощи четырех пар вертикальных роликовых направляющих
устройств, которые устанавливаются на 2-4 мм больше его ширины, и подается на
центральный подъемный рольганг к кромкогибочному прессу. При этом продольные
кромки листа поддерживаются снизу при помощи боковых рольгангов.
Остановка листа в заданном положении производится при помощи конечных
выключателей рольганга.
Центральный рольганг, последние два ролика входного рольганга, а также
боковые рольганги в прессах поднимаются с листом вверх из крайнего нижнего
положения над транспортным рольгангом в промежуточное положение.
Лист на центральном рольганге в этом положении окончательно центрируется
относительно продольной оси при помощи вертикальных боковых направляющих
роликов, установленных на входном и выходном рольгангах с точностью + 1 мм.
Зажимные балки и траверсы обоих прессов из крайнего нижнего положения
одновременно поднимаются вверх на величину около 140 мм. Балки поднимают лист
до тех пор, пока он не дойдет до верхнего инструмента, и прижимают участки
продольных кромок листа к опорным площадкам, расположенным на верхних рабочих
инструментальных траверсах обоих прессов
При достижении необходимого давления зажима выдается команда на
переключение главных насосов на гидроцилиндры гибочных траверс, а также команда
для выдержки давления в зажимных цилиндрах, которое сохраняется в течение всей
загибочной фазы. Вместе с зажимными траверсами прессов одновременно поднимается
вверх центральный рольганг с листом в крайнее верхнее положение.
Гибочные траверсы поднимаются, и участки продольных кромок подгибаются
при помощи матриц вокруг пуансонов по заданному профилю на длине шага подгибки,
составляющим до 2200 мм.
После сброса давления происходит опускание гибочных траверс. При
перемещении вниз этих траверс до нажимного контакта "разгружен",
прессу подается команда "раскрыть" и зажимные балки опускаются до
исходного положения. Для шаговой подачи центральный рольганг с листом
опускается в промежуточное положение.
При помощи входного и выходного рольганга лист перемещается по длине шага
подачи. При этом выходящие из пресса участки заготовки с подогнутыми
продольными кромками центрируются на выходном рольганге, ролики которого
устанавливаются на 2-4 мм больше ширины профиля. Цикл подгибки повторяется,
пока не будут подогнуты кромки по всей длине листа.
После окончания подгибки продольных кромок листа гибочные и зажимные
траверсы возвращаются в исходное положение. Центральный подъемный рольганг
перемещается в крайнее нижнее положение и опускает готовую заготовку с
подогнутыми продольными кромками на выводной транспортный рольганг, по которому
она выдается из прессов и передается далее на шаговую формовку основной части
профиля.
.4 Методика
расчета напряженно-деформированного состояния
Прямошовные сварные трубы с одним продольным швом изготавливают из одного
листа . Формовка листов в трубной заготовку осуществляется в вальцах или на
прессах.
Заготовкой для изготовления прямошовных труб большого диаметра служит
горячекатаный лист из низколегированных или углеродистых марок стали.
Процесс формовки трубной заготовки (листа) на прессах и вальцах - это
процесс изгиба листа.
Основными показателями качества заготовок после формовки:
постоянство периметров по длине заготовки;
прямолинейность и параллельность кромок;
отсутствие плоских участков вдоль кромок; отсутствие резких перегибов
(изломов) заготовки.
Первоначально лист имеет следующие геометрические размеры: длину L0, ширину B0 и толщину листа S0 листа. При изгибе вводим понятие кривизны линии:
,
где
φ
- угол сектора дуги окружности, по
радиусу которой изогнута линия, являющаяся дугой этого сектора, рад;
l
- длина изогнутой дуги, м;
R - радиус
изгиба линии, м.
По
теореме о центральном угле окружности находим угол:
Принимаем,
что толщина листа при изгибе не изменяется. При этом волокна у выпуклой
поверхности листа увеличиваются по длине (растягиваются), а на вогнутой -
уменьшаются (сжимаются). Поэтому внутренний радиус Rв больше
наружного Rн (рисунок 5)
Рисунок
5 - Сечение листа до и после изгиба.
Таким
образом, изгибаемый лист разделяется по толщине на две зоны: зону, где волокна
удлиняются по толщине, и зону, где волокна укорачиваются. Границей этих зон
является нейтральное волокно, длина которого не деформируется и равна начальной
ширине листа (рисунок 6). Радиус изгиба этого волокна ρ0 называется радиусом нейтрального слоя и определяется:
,
Радиусы
на внешней и на внутренней поверхностях соотносятся:
Re = RH - S0;
ρ0 = RH -
S0/2;
ρ0 = RВ -
S0/2.
Рисунок
6 - Определение нейтрального волокна
Максимальные
деформации волокон на сжатие и растяжение возникают на поверхностях листа и
определяются, как:
;
.
где:
В0 - ширина изгиба листа, м;
lВН - длина дуги
внутренней поверхности листа, м;
lН - длина дуги
наружной поверхности листа, м.
В
свою очередь, длина дуги внутренней поверхности листа рассчитывается:
,
а
длина дуги наружной поверхности листа, как:
.
Выразим
деформации через радиус:
,
,
Деформации
любого другого волокна по толщине определяется по формуле:
,
где:
RH - радиус изогнутого волокна, м;
X - расстояние
от рассматриваемого волокна до нейтрального или разность между радиусом
рассматриваемого волокна и радиусом нейтральной поверхности, м.
Эпюра
деформаций по толщине листа при изгибе представлена на рисунок 7.
При
распределении напряжений по толщине листа различают упругий, пластический и
упруго-пластический изгиб. Наши расчеты построены на упруго-пластической
деформации листа.
Упруго-пластический
изгиб. Распружинивание и остаточное напряжения.
Пластическая
остаточная деформация не проникает через всю толщину полосы: поверхностные слои
деформируются пластически, внутренние упруго. Граница между упругими и
пластическими зонами находится на некотором расстоянии Sy от нетралного
волокна (рисунок 8).
Рисунок
7 - Эпюра деформаций
Рисунок
8 - Распределение напряжений при упруго пластическом изгибе.
Определение
напряжений во внутренней зоне упругой деформации будет происходить по закону
Гука, а в пластической будет равно пределу текучести только для идеально
пластического тела без упрочнения.
При
снятии внешних нагрузок зоны пластической деформации стремятся зафиксировать
лист в согнутом состоянии, а зоны упругой деформации будут стремится вернуть
его в первоначальное состояние до изгиба, в результате чего будет возникать
эффект распружинивания. Распружинивание приводит к изменению кривизны листа и
угла изгиба. Такая разгрузка изогнутой заготовки приводит к появлению в ней
остаточных напряжений (рисунок 9).
Определение
упруго пружинения и остаточных напряжений производим на основании теоремы о
разгрузке, согласно которой связь между напряжением и деформациями при
разгрузке подчиняется закону Гука.
Величина
остаточных напряжений находится разностью между напряжениями, действующими в
разгруженном теле, и фиктивными напряжениями, которые возникли бы в теле при
том же внешнем силовом воздействии. но при упругом деформировании.
Рисунок
9 - Графическое определение остаточных напряжений.
Из
рисунка 9 видно, что эпюра распружинивания строится подобно эпюре нагрузки при упругом
изгибе, направленной обратную сторону. При этом сохраняется равенство: площадь
эпюры при нагрузке должна быть, равна площади эпюры при разгрузке:
,
Тогда
максимальное напряжение разгрузки определим, как:
,
Остаточное
напряжение определяется как разность между напряжениями нагрузи и разгрузки.
Угол распружинивания листа рассчитываем следующим образом: так как разгрузка
происходит в условиях упругого деформирования, то изменение кривизны при
разгрузке определяем по формуле:
,
где:
Е - модуль упругости первого рода, МПа;
J - момент
инерции поперечного сечения относительно нейтральной поверхности, М4.
При
равенстве радиуса нейтральной линии радиусу срединного волокна по толщине ρн=ρс момент
инерции будет равен:
,
а
кривизна разгрузки тогда определяется по формуле:
,
Конечная
кривизна серединной поверхности заготовки определится как разность между
кривизной, которую она имеет под нагрузкой и изменением кривизны при
разгрузке(теорема Илюшина):
.
Изменение
угла изгиба при разгрузке является следствием изменения кривизны листа. и если
принять, что длина средней поверхности не изменяется, то элемент срединной
поверхности можно записать, как выражение:
,
Отсюда
следует, что элементарный угол после распружинивания будет равен:
Тогда
элементарный угол пружинения будет равен:
,
Суммарный
угол пружинения представим, как:
,
На
рисунке 10 представлено соотношение углов до и после распружинивания.
Рисунок
10 - Изменение угла гиба после распружинивания.
Упрочнение
при холодном изгибе.
В
процессе изгиба листа в холодном состоянии при пластической деформации волокон
будет возникать сопротивления, препятствующие пластической деформации, и
напряжения будут превышать предел текучести металла. Эпюра напряжений тогда
примет вид, как изображено на рисунок 11.
Тогда
напряжение в пластической зоне деформаций рассчитываем по формуле:
,
где:
- предел текучести металла, МПа;
П
- модуль упрочнения металла, МПа;
Δ ε - превышение деформации волокна над пределом текучести;
Δ ε, в свою очередь, определяем как
где
:
- деформация предела текучести;
-
деформация рассматриваемого волокна.
Рисунок
11 - Распределение напряжений по толщине метала с учётом упрочнения
Модуль
упрочнения металла (П) и модуль упругости 1 го рода (Е) определяются по данным
испытаний на растяжение (рисунок 12):
П
= tg
ψ
Е
= tg
β
Рисунок
12 - Зависимость напряжений при растяжении образца металла от деформации
Механическая
работа при изгибе листа.
Механическая
работа, необходимая для изгиба листа, определяется как произведение объёма
изогнутой части листа на среднюю удельную работу, затрачиваемую на изгиб листа.
АГ
= V × АУД,
где:
АГ - работа гиба листа, Дж;
V - объём
изогнутой части листа,
;
Ауд
- удельная работа изгиба листа,
,
Объём
изогнутой части листа определяем по формуле:
.
где:
φ - угол изгиба листа, рад:
L - длина
изогнутой части листа, м;
Rн - наружный
рдиус изгиба листа, м.
Удельную
работу изгиба рассчитаем как сумму произведений деформации каждого волокна на
напряжение, действующее на это волокно. то есть как площадь, ограниченную
графиком зависимости напряжения от деформации (рисунок 13).
Рисунок
13 - Определение удельной работы гиба при упруго-пластическом изгибе.
Удельная
работа
а)
при упругом изгибе:
;
б)
при пластическом изгибе:
;
в)
при упруго пластическом изгибе:
;
г)
при упруго-пластическом изгибе с упрочнением:
Дефектты возникающие на прессе подгибки кромок .
.Дефект “яблоко”
.Дефект “крыша”
Причины образования: неверный подбор деформирующего инструмента, неверные
настройки оборудования, разброс по свойствам исходной заготовки.
2. Расчетная часть
.1
Определение технических параметров подгибаемой кромки при однорадиусной
формовке.
Определение параметров при нагрузке
Расчет
производим для максимального сортамента труб 1420×48 мм с пределом текучести
и
упрочнением металла П = 1000МПа.
Исходные
данные для расчета выбираем из Технической Инструкции пресса подгибки кромок
линии 1420 фирмы SMS MEER.
Для
данного типа размера выбираем радиус R
= 586,6 мм. Далее из таблицы «Параметры профиля
калибра пуансона №5» для данного радиуса или ближайшего к нему значения (R
= 586,9
мм) подбираем длину дуги на верхнем инструменте
.
Рисунок
14 - Параметры подгибки кромки
Определяем
длину подгибки
,
где
B - длина дуги на верхнем инструменте, мм;
;
где
радиус в начале эвольвенты (из таблицы),
мм;
R - радиус в
конце эвольвенты,
мм;
a - радиус
основного круга эвольвенты,
;
разность
между более длинной нейтральной линии;
,
,
где
длина дуги по нейтральной линии;
,
,
S - толщина
стенки,
мм;
H - ширина
сварочных фасок (принимаем
мм).
Таким
образом, получаем длину подгибки:
.
Определяем
нейтральный радиус гиба
,
.
Определяем
наружный радиус гиба
,
.
Определяем
наружную длину дуги
,
.
Определяем
внутреннюю длину дуги
,
.
Определяем
угол подгибки по внутреннему радиусу
,
.
Определяем
угол подгибки по наружному радиусу
,
.
Определяем
угол подгибки по нейтральному радиусу
,
.
Определяем
координаты подъема кромки по внутреннему радиусу гиба при нагрузке
,
.
,
.
.2
Определение напряженно - деформированного состояния
Расчёт относительной деформации ведем по методу Эйлера:
,
.
,
.
Рисунок
15 - Эпюра деформаций по толщине листа
Расчет
напряжения при пластической деформации с учетом упрочнения металла
,
.
,
.
Рисунок
16 - Эпюра напряжений по толщине листа
При
упруго-пластическом изгибе зону упругой деформации определим по формуле:
,
.
Расчет
рабочих параметров пресса
Работа
при изгибе листа
,
где
V - объем изогнутой части листа;
,
,
где L - длина изогнутой части листа, L = 2300 мм;
-
удельная работа при упруго-пластическом изгибе с упрочнением,
;
,
где
предел текучести материала,
;
-
деформация предела текучести;
,
,
где
E - модуль первого рода,
;
максимальная
деформация на поверхности листа;
,
.
Момент,
необходимый для изгиба листа, определяем, исходя из работы изгиба
,
.
Рассчитываем
усилия
,
.
где
- усредненная высота подъема (перемещение) кромки при
изгибе,
= 50,14 мм.
Определение
параметров при разгрузке
Рассчитываем
момент изгиба с учетом упрочнения
,
.
По
теореме Илюшина считаем, что момент при нагрузке равен моменту при разгрузке, а
кривизна разгрузки определяется по формуле:
,
где
J - момент инерции;
,
,
.
Тогда
радиус кривизны при разгрузке будет равен:
Угол
пружинения:
,
.
,076
рад ≈ 4,34
.
Остаточная
кривизна:
,
.
Радиус
остаточной кривизны:
.
Определяем
координаты подъема кромки по внутреннему радиусу гиба при разгрузке
,
где
внутренний угол после распружинивания;
,
.
,
.
Рисунок
17 - Параметры подгибаемой кромки при однорадиусной формовке
2.3
Определение технических параметров подгибаемой кромки при формовке по
эвольвенте.
Определение параметров кромки при нагрузке
Схема процесса формовки листовой заготовки на кромкогибочном стане
представлена на рисунке 18.
Рисунок
18 - Листовая заготовка до и после распружинивания на кромкогибочном прессе
Введем
прямоугольную систему координаты: систему координат Y1OX в
точке контакта листовой заготовки с пуансоном и матрицей при формовке.
Обозначим через y
- высоту подъема кромки листа при формовке, y1 -
остаточную высоту подъема кромки листа после формовки, x
- длину деформируемой части заготовки при формовке, x1 -
длину зоны остаточной (пластической) деформации заготовки после
распружинивания.
Контактные
профили пуансона и матрицы заданы в кромкогибочном прессе с помощью уравнения
эвольвенты окружности.
В
общем случае уравнение эвольвенты окружности в параметрической форме имеет вид:
где φ - угол поворота начально-заданной окружности радиуса r .
Исходные точки координат профиля кромки заготовки согласно инструменту №
5 представлены в талице 1.
Таблица 1 - Координаты профиля кромки заготовки пуансона № 5
|
|
X, мм
|
Y, мм
|
|
1
|
0
|
0
|
|
2
|
30
|
0,53
|
|
3
|
60
|
2,12
|
|
4
|
90
|
4,83
|
|
5
|
120
|
8,67
|
|
6
|
150
|
13,71
|
|
7
|
180
|
20,01
|
|
8
|
210
|
27,83
|
|
9
|
240
|
36,87
|
|
10
|
270
|
47,24
|
|
11
|
300
|
59,49
|
|
12
|
330
|
73,61
|
|
13
|
360
|
89,84
|
|
14
|
390
|
108,53
|
|
15
|
420
|
130,2
|
|
16
|
450
|
155,67
|
Расчеты
выполняются с помощью подготовленных программ MathCad
Professioal для сортамента труб 1420×48 мм с пределом текучести
и
упрочнением металла П = 1000МПа - модуль упрочнения материала при растяжении
(для данного примера принимаем, что модуль упрочнения материала при растяжении
и сжатии остается постоянным).
Используя
исходные данные, для построения эвольвенты выбрали радиус основного круга
эвольвенты равный 561 мм и диапазон рабочих углов
от 43 до 88 градусов. Расчеты параметров эвольвенты
провели для 5 точек, характеризующихся углами формовки с диапазоном в 9
градусов.
Рисунок 19 - Координаты характерных точек профиля трубной заготовки при
нагружении
Рисунок
20 -Координаты точек профиля кромки в системах координат ZOY и
Y1OX
Первоначально
строим кривую эвольвенты кромки заготовки в системе ZOY (рисунок
20), используя разработанную программу, по ниже приведенным формулам.
Последовательно, задавая углы в определенном ранее диапазоне, вычисляем
координаты точек для этого угла (изменяем угол
0).
Программы расчета координат в системе ZOY приведены в приложении. Полученные данные
представлены в таблице 2.
Таблица 2 - Координаты точек в системе ZOY
|
№ точки
|
 , град , мм , мм
|
|
|
|
0
|
43
|
697,4
|
74,66
|
|
1
|
52
|
746,58
|
128,58
|
|
2
|
61
|
794,3
|
201,06
|
|
3
|
70
|
835,9
|
292,69
|
|
4
|
79
|
866,33
|
403,02
|
|
5
|
88
|
880,68
|
530,5
|
Рисунок 21 - Координаты точек в системе ZOY
Далее
для тех значений углов формовки вычисляем координаты фиксированных точек в
системе XOY1(Изменяем угол
1).
Результаты расчета сводим в таблицу 3. Программы расчета приведены в
приложении.
Таблица
3 - Координаты точек в системе XOY1
|
№ точки
|
 , град , мм , мм
|
|
|
|
0
|
43
|
0
|
0
|
|
1
|
52
|
72,73
|
5,9
|
|
2
|
61
|
157,08
|
26,34
|
|
3
|
70
|
249,9
|
65,013
|
|
4
|
79
|
347,47
|
124,96
|
|
5
|
88
|
444,89
|
208,4
|
Рисунок 22 - Координаты точек в системе XOY1
При сравнении расчетных данных (таблица 3) и данных технологической
таблицы (таблица 1), видно существенное расхождение значений вертикальных
координат. Расчетные значения оказались завышенными, причем это завышение
уменьшается по мере увеличения угла формовки.
Проводим расчет величины коррекции. Для этого выбираем из заводской
таблицы определенные точки с кратными значениями координаты X и при помощи программ MathCad Professioal вычисляем значения координаты Y1 и X в этих точках, а затем, сравниваем значения и вычисляем
коэффициент коррекции вертикали в этих точках. Строим график зависимости.
Результаты расчета представлены в таблице 4. Зависимость коэффициента
коррекции вертикали показана на рисунке 23.
Таблица 4 - Определение величины коррекции
|
№ точки
|
0
|
1
|
2
|
3
|
4
|
5
|
6
|
7
|
8
|
|
, град
|
45,64
|
51,69
|
57,18
|
62,3
|
67,17
|
71,87
|
76,48
|
81,07
|
88,49
|
|
, мм
|
20
|
70
|
120
|
170
|
220
|
270
|
320
|
370
|
450
|
|
, мм расчет
|
0,47
|
5,48
|
15,64
|
30,72
|
50,64
|
75,63
|
105,89
|
142,01
|
213,65
|
|
, мм таблица
|
0,23
|
2,9
|
8,67
|
17,77
|
30,48
|
47,24
|
68,68
|
95,77
|
155,67
|
|
|
2,04
|
1,89
|
1,8
|
1,73
|
1,66
|
1,6
|
1,54
|
1,48
|
1,37
|
Рисунок -23 График зависимости коэффициента коррекции вертикали
В
соответствии с представленными данными угол эвольвенты меняется в диапазоне
угла
, а радиус основного круга эвольвенты равен 561 мм.
Длина подгибки была определена B = 431,5 мм. Зная ее, определяем конечный угол
подгибки по уравнению:
откуда
,
.
Для
данного угла все по той же программе определяем координаты крайней точки.
Таким
образом, вычислили значение угла формовки для кромки листа с протяженностью
периферийных участков равной 431,5 мм и по программе для этого угла определили
расчетные координаты, которые составили: X = 391,84 мм; Y =
159,69мм. С учетом коэффициента коррекции уточняем Y1 =
159,69/1,45=109,8мм.
Определение
параметров кромки при разгрузке.
Для
упрощения дальнейшего расчета процесса распружинивания подогнутой кромки
трубной заготовки, заменим сложную кривую нагрузка на четырех ступенчатую,
многорадиусную кривую, каждая ступень которой выполнена одним радиусом с
фиксированным углом.
Угол
подгибки разбивали на четыре равных угла, по формуле:
10,020.
С
помощью программы для данных углов находим координаты X и Y.
Результаты заносим в таблицу 5.
Таблица
5 - Координаты при нагрузке
|
РасчетноеС учетом коррекции
|
|
|
|
X
|
Y
|
Y
|
|
43
|
0
|
0
|
0
|
|
53,02
|
81,76
|
7,42
|
3,92
|
|
63,04
|
177,52
|
33,39
|
19,43
|
|
73,05
|
282,72
|
82,82
|
52,11
|
|
83,07
|
391,84
|
159,69
|
109,83
|
|
88*
|
444,9
|
208,4
|
150,8
|
*- Размер необходимый для построения последнего смежного радиуса
Далее по полученным значениям строим радиусы для 3-х граничных точек)
соседних участков при нагружении листа. Программа представлена в приложении.
Результаты расчета заносим в таблицу 6.
Таблица 6 - Значения радиусов при нагрузке
|
№ точки
|
Значение радиуса, мм
|
|
1
|
794,2
|
|
2
|
737,3
|
|
3
|
631,1
|
|
4
|
557,9
|
После определения радиусов при нагрузке определяем длины участков по
формуле:
и
находим новые координаты X и Y. Результат сводим в таблицу 7.
Таблица
7 - Координаты точек при нагрузке
|
№ точки
|
Координаты
|
|
X
|
Y
|
|
1
|
82,05
|
4,25
|
|
2
|
179,88
|
21,13
|
|
3
|
289,92
|
58,89
|
|
4
|
404,11
|
127,75
|
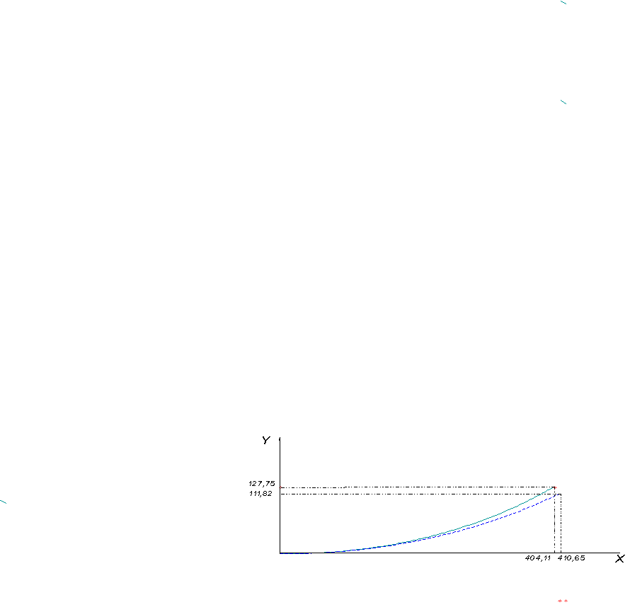
На рисунке 24 показаны полученные координаты точек и радиусы на данных
участках.
Рисунок
24 - Координаты и радиусы при нагрузке
Расчет
распружинивания будем проводить по однорадиусной ступенчатой схеме с помощью
подготовлено программы «Microsoft Excel» по теореме Илюшина.
Результат
заносим в таблицу 8.
Таблица
8
|
№ точки
|
Значение радиуса, мм
|
|
1
|
932,6
|
|
2
|
855,2
|
|
3
|
715,6
|
|
4
|
623
|
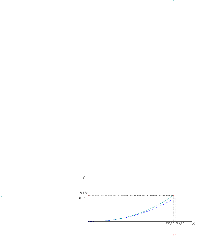
Далее с помощью программы « Расчет координат точек» определяем координаты
точек после распружинивания. Полученные значения приведены в таблице 9.
Таблица 9 - Значения координат при разгрузке
|
№ точки
|
Координаты
|
|
X
|
Y
|
|
1
|
82,06
|
3,62
|
|
2
|
180,32
|
18,09
|
|
3
|
291,98
|
50,89
|
|
4
|
410,65
|
111,82
|
Рисунок
25 - Координаты и радиусы при разгрузке
Рисунок
26 - Параметры подгибки при формовке по эвольвенте
Заключение
В данной курсовой работе были рассмотрены две методики расчета параметров
подгибаемой кромки.
Первая методика заключается в определении параметров подгибаемой кромки
по однорадиусной схеме формовки, которая основана на определении упруго -
пластического изгиба трубной заготовки. Был произведен расчет напряжения деформации
о толщине листа и определены координаты точек при кромочной области трубной
заготовки при нагрузке и разгрузке по теореме Илюшина.
Во второй методике определили параметры подгибаемой кромки по эвольвенте.
Данный метод основан на моделировании кривой профиля кромки ступенчатыми
однорадиусными участками. В результате, были получены координаты нагрузки и
разгрузки подгибаемой кромки.
Проведен сравнительный анализ.
Список
используемой литературы
подгибка кромка труба
1. Методы расчеты калибровок инструмента и энергосиловых
параметров процесса производства сварных труб в линии прессов и ТЭСА: сборник
задач/ С.В. Самусев, А.Н. Фортунатов, Н.А. Фролова, Н.Г. Пашков - ВФ МИСиС,
2006 - 155 с.
. Машины и агрегаты трубного производства: Учебное пособие
для вузов/ А.П. Коликов, В.П.Романенко, С.В. Самусев и др. - М.: МИСиС, 1998. -
536 с.
.Современные методы расчёта калибровок валков
трубоэлектросварочных станов: Учеб.-метод. пособие/С.В. Самусев, В.К.Михайлов и
др. - М.: МИСиС, 2004.-114 с.
. Технологическая инструкция ТЭСК ТБД ОАО "ВМЗ".
ПРИЛОЖЕНИЕ
Программа
расчета координат профиля заготовки в системе ZOY для угла 
Аналогично,
составляется программа для расчета при других углах, изменяя величину ф0.
Программа
расчета координат профиля заготовки в системе XOY1 для угла 
Аналогично, составляется программа для расчета при других углах, изменяя
величину ф.
Определение радиусов формовки по трем точкам
Аналогично, составляется программа для расчета других радиусов, изменяя
величины X и Y.