Факторы канцерогенеза, влияющие на развитие опухолевых процессов у человека

  • Вид работы:
    Курсовая работа (т)
  • Предмет:
    Медицина, физкультура, здравоохранение
  • Язык:
    Русский
    ,
    Формат файла:
    MS Word
    671,81 Кб
  • Опубликовано:
    2013-12-12
Вы можете узнать стоимость помощи в написании студенческой работы.
Помощь в написании работы, которую точно примут!

Факторы канцерогенеза, влияющие на развитие опухолевых процессов у человека

Содержание

 

Введение

Глава 1. Классификация канцерогенных факторов влияющих на организм человека

1.1 Биологические факторы

1.2 Химические факторы

1.3 Физиологические факторы

Глава 2. Канцерогенные вещества в пищевых продуктах

Глава 3. Влияние канцерогенных факторов на отдельные органы человека

3.1 Опухоли полости рта и глотки. [4]

3.2 Рак пищеварительной системы

3.3 Злокачественная меланома кожи

3.4 Рак органов женской репродуктивной сферы

3.5 Опухоли центральной нервной системы

Заключение

Список использованной литературы

Введение


Канцерогенез - это механизм реализации внешних и внутренних факторов, которые служат причиной трансформации нормальной клетки в раковую, оказывают содействие росту и распространению злокачественного новообразования, а это заболевание, характеризующееся появлением бесконтрольно делящихся клеток, способных к инвазии в прилежащие ткани и метастазированию в отдаленные органы. Болезнь связана с нарушением пролиферации и дифференцировки клеток вследствие генетических нарушений. Более простым определением канцерогенеза является процесс развития опухолей любого типа.

В переводе с латинского канцерогенез - cancerogenesis; cancer - рак + др. греч. γένεσις - зарождение, развитие; то есть это сложный патофизиологический процесс зарождения и развития опухоли (синоним канцерогенеза - онкогенез) что является еще одним из определений канцерогенеза.

Рак впервые описан в египетском папирусе примерно 1600 года до н.э. В папирусе описано несколько форм рака молочной железы и сообщается, что от этой болезни нет лечения. Название "рак" произошло от введённого Гиппократом (460-370 годы до н.э.) термина "карцинома" обозначавшего злокачественную опухоль с перифокальным воспалением. (Гиппократ назвал опухоль карциномой, потому что она внешне напоминает краба.) Так же Гиппократ описал несколько видов рака. Он же предложил термин онкос. Римский врач Авл Корнелий Цельс в I веке до н.э. предложил на ранней стадии лечить рак удалением опухоли, а на поздних - не лечить никак. Гален использовал слово "oncos" для описания всех опухолей, что и дало современный корень слову онкология. [10]

В организме человека 1015 клеток. В течение жизни происходит их обновление в объеме, равном 10 объемам человеческого тела. Из этого становится понятным, что только тонкая сбалансированность процессов пролиферации, дифференцировки и апоптоза позволяет поддерживать нормальное развитие и функционирование всех органов и тканей. Пролиферация обеспечивает воспроизведение клеток, дифференцировка - приобретение ими индивидуальных черт и способности к специализированным видам деятельности, а апоптоз - разрушение старых и поврежденных клеток. Так как канцерогенез - это комплексный многоступенчатый процесс, включающий изменения не менее чем в 10 генетических факторах, каждый из которых является скорость лимитирующим. В организме носителя каждая стадия процесса представляет собой физиологический барьер, который должен быть преодолен клеткой, прогрессирующей в сторону малигнизации (злокачественной трансформации). Существование множественности барьеров указывает на то, что малигнизация - явление редкое.

Как причина смерти населения рак занимает второе место после сердечнососудистых болезней. Существует более 100 видов рака, хотя пять из них: рак легкого, молочной железы, толстой кишки, предстательной железы и матки - составляют более 50% от всех впервые диагностируемых случаев. В зависимости от способности к распространению опухоли делят на доброкачественные, или локальные, не обладающие способностью прорастать в соседние ткани, и злокачественные, способные к инвазии и метастазированию в другие органы. Изучение процесса канцерогенеза является ключевым моментом для понимания природы опухолей. [9]

В связи с этим цель курсовой работы: изучить факторы канцерогенеза влияющие на развитие опухолевых процессов у человека.

Задачи работы:

провести анализ современной литературы по проблеме исследования;

охарактеризовать основные факторы канцерогенеза;

рассмотреть влияние факторов канцерогенеза на человека.

Глава 1. Классификация канцерогенных факторов влияющих на организм человека


Около 80% случаев, рака у людей, являются результатом воздействия факторов окружающей среды (см. таблицу № 1), под которыми понимают стиль жизни. Курение, производственные контакты с канцерогенами, пищевые продукты (зерновые, зараженные плесенью Aspergillus flavus, пищевые добавки, содержащие нитриты и вторичные амины), заболевания, увеличивающие риск развития опухолей так, цирроз печени в ряде случаев ведет к развитию гепатоцеллюлярной карциномы, а язвенный колит - аденокарциномы толстой кишки и т.д.

Таблица № 1. Факторы вызывающие инвазивную опухоль


Склонность к опухолеобразованию может стимулироваться возрастом и наследственными изменениями генома. Например, предрасположенность к ретинобластоме или множественному полипозу толстой кишки наследуется как аутосомно-доминантный признак, а нестабильность хромосомной ДНК - как аутосомно-рецессивный. [5], [2]

Физические, химические и биологические воздействия, вызывающие трансформацию клеток, называют канцерогенными воздействиями.

 

.1 Биологические факторы


На данный момент известно большое количество факторов, способствующих канцерогенезу и одними из них являются биологические факторы. В начале 20 века активно развивалась и пропагандировалась инфекционная теория развития злокачественных новообразований, которая в то время была отвергнута. Во второй половине 20 века с развитием медицинской и микробиологической науки к этой проблеме вернулись вновь. Результатом исследований было открытие нескольких вирусов, способных прямо или опосредованно вызывать возникновение злокачественных опухолей как у животных, так и у человека.

Далеко не все раковые заболевания вызваны вирусами. Но связь их с некоторыми формами опухолей несомненна. Так, рак шейки матки ассоциирован с заражением вирусом папилломы человека (ВПЧ) 16 и 18 типов, вирус Эпштйен-Барра может способствовать развитию лимфом. Хроническое инфицирование вирусами гепатитов В и С (особенно!) очень часто провоцирует развитие цирроза печени с исходом в рак печени. Попадая в организм человека, вирусы активно взаимодействуют с его ДНК, что в некоторых случаях вызывает трансформацию собственных протоонкогенов человека в онкогены. [10] Геном некоторых вирусов (ретровирусы) содержит высоко активные онкогены, активирующиеся после включения ДНК вируса в ДНК клеток человека.

Данные о роли вирусов в развитии опухолей были получены в начале XX столетия. Так, в 1908 г. ученые вызвали лейкоз у кур воздействием бесклеточного экстракта из опухолевых клеток, а в 1910 г. был описан первый онкогенный вирус, способный инициировать саркому у кур. В 1968 г. Л.А. Зильбер сформулировал вирусно-генетическую теорию возникновения неоплазм под действием онкогенных вирусов. Вирусный канцерогенез первоначально был описан только у птиц и животных. В последнее время получены данные об участии вирусов в развитии некоторых опухолей у человека: ДНК-содержащего вируса Эпштейна - Барр в развитии лимфомы Беркитта, о которой говорилось выше, и назофарингеальной карциномы, ДНК папилломавируса - рака кожи и гениталий; РНК-содержащих вирусов: иммунодефицита человека HIV в возникновении сарком, Т-клеточного лимфотропного вируса HLTV 1 как причины некоторых видов Т-клеточных лимфом и лейкемий и др.

ДНК-содержащие вирусы частично или полностью встраиваются в клеточный геном человека, экспрессируют вирусные гены и образующиеся белки в ядре, нарушают реализацию клеточной программы. Так, Т-антиген вирусов SV40 и полиомы, Е7 вируса папилломы человека связываются и инактивируют белки-репрессоры опухолей Rb и / или р53.

К ДНК-онковирусам относят также вирус герпеса, аденовирус, паповавирус, вирус ветряной оспы. Как правило, эти вирусы вызывают инфекционные болезни и лишь в одном из миллиона случаев - злокачественную трансформацию.

ДНК-содержащий вирус гепатита В является причиной рака печени, от которого в мире умирает ежегодно около 500 000 человек, хотя и в этом случае инфицирование, как правило, происходит за 20-25 лет до возникновения опухоли.

РНК-онковирусы являются ретровирусами. В 1976 г. при помощи техники рекомбинантных ДНК в ретровирусе саркомы Рауса была расшифрована структура генетического материала и наряду с тремя обычно встречающимися у всех вирусов генами обнаружен ген, ответственный за злокачественную трансформацию и названный src-онкогеном. Показано, что если src-ген встраивается в геном нормальных клеток, растущих в культуре, то они теряют способность к контактному торможению и приобретают все свойства трансформированных клеток.

В 1989 г.Д. Бишоп и Г. Вармус на РНК-содержащих вирусах установили, что онкогены не присущи вирусам исходно, но заимствованы из генома тех клеток, в которых они обитают. [7]

За время существования в составе вирусного генома они подвергаются многочисленным мутациям и приобретают онкогенные свойства. В некоторых случаях вирусы не содержат онкогенов, но достаточно случайного внедрения в геном человека чужеродного генетического материала, содержащего энхансеры, или усилители транскрипции, чтобы поменялась экспрессия соседних с ним генов хозяина и произошла их трансформация.

Исследования структуры генома млекопитающих и человека показали, что в эукариотических клетках гены, кодирующие ФР, рФР, транскрипционные факторы и другие белки, вовлеченные в регуляцию роста и дифференцировки, являются структурными аналогами онкогенов, т.е. теми исходными генами, из которых онкогены возникли. Эти нормальные клеточные гены, прототипы онкогенов, не обладают трансформирующими свойствами и их называют протоонкогенами. [11]

В настоящее время изучены десятки вирусных онкогенов (таблица 2), из которых более 50% кодируют в клетках тирозиновые протеинкиназы (тир-ПК), а остальные содержат информацию о различных функционально активных белках: укороченном факторе роста тромбоцитов (ФРТ), укороченном рецепторе эпидермального фактора роста (рЭФР), ДНК-связывающих, ГТФ-связывающих и некоторых других регуляторных белках.

Кроме вирусных онкогенов к биологическим факторам относится и наследственность. Наследственные заболевания, предрасполагающие к канцерогенезу, касаются не только репарации ДНК.

Наиболее четко предрасположенность к злокачественному росту проявляется у лиц с измененной структурой регуляторных генов - протоонкогенов и генов-супрессоров опухолевого роста (антионкогенов), а также генов-мутаторов.

Таблица 2. Примеры онкогенных вирусов и их свойства

Класс вируса

Тип вируса

Размер генома т.п. н

Онкогены

Происхождение онкогена

Действие онкогена

Вирус полиомы

дцДНК

5-6

Т-антигены

Ранний вирусный ген

Инактивация РСГ

Вирус папилломы (HPV)

дцДНК

8

Е6 и Е7

Ранний вирусный ген

Инактивация РСГ

Аденовирус

дцДНК

37

Е1А и Е1В

Ранний вирусный ген

Инактивация РСГ

Ретровирус

6-9

Индивидуальные

Клеточное

Активация ПО

Вирус Эпштейна-Барра

дцДНК

160

BNLF-1

Летальный вирусный ген

Инактивация РСГ


В норме протоонкогены участвуют во многих основных процессах, главными из которых являются регуляция клеточного цикла, роста и дифференцировки клеток. Нарушение структуры этих генов, повышающее продукцию их белков, приводит к неконтролируемому размножению клеток и их атипичному росту. Такой же эффект вызывают и мутации, отменяющие функции антионкогенов. Нарушение структуры генов-мутаторов увеличивает общую частоту мутирования.

Для людей с врожденными дефектами этих генов обычные условия жизни являются непереносимыми, поскольку даже фоновый уровень канцерогенных воздействий вызывает у них опухолевый рост.

Насколько увеличивается при этом вероятность злокачественного превращения, ярче всего видно на примере ретинобластомы у детей с врожденной мутацией в гене-супрессоре опухолевого роста Rb. Работа этого гена, регулирующего вход и продвижение по S-фазе клеточного цикла, прекращается, если мутации инактивируют оба его аллеля.

У детей, унаследовавших один мутантный аллель, злокачественная опухоль сетчатки развивается в том случае, если и второй аллель инактивируется мутацией от какого-либо внешнего воздействия. У таких детей опухоли возникают с частотой до 90%, в то время как среди детей с нормальной наследственностью эта опухоль возникает в 30 000 раз реже.

Так как генетический полиморфизм систем метаболизма канцерогенов и репарации ДНК не зависят друг от друга, канцерогенный риск в каждом конкретном случае определяется многими переменными, т.е. сочетанием баланса активации/детоксикации проканцерогенов с различной эффективностью работы ферментов восстановления ДНК. При этом конечный высокий уровень образования канцерогенных метаболитов не всегда может быть показателем повышенного канцерогенного риска, поскольку он может сочетаться с высокой активностью систем восстановления ДНК, и наоборот. [10], [8]

По еще одной из классификаций выделяют следующие биологические факторы, способствующие канцерогенезу:

I. Наследственная предрасположенность. Наличие семейных форм рака, когда среди членов одной семьи в нескольких поколениях выявляется рак одной и той же локализации. Так, наличие у матери рака молочной железы повышает риск обнаружения рака этой локализации у пробанда в 5 раз, а наличие у матери и сестры - в 10 - 15 раз.

В большинстве случаев наследственная предрасположенность к раку у человека органоспецифична и передается полигенно.

II. Иммунодепрессия. Защита организма от растущей опухоли обеспечивается механизмами клеточного и - в меньшей степени - гуморального иммунитета. Иммунная система распознает раковые клетки, вызывает их разрушение либо сдерживает размножение, ингибируя фазу промоции.

Моноциты и макрофаги осуществляют специфический киллинг раковых клеток после их распознавания Т-лимфоцитами. К-клетки (нулевые лимфоциты и особые клетки моноцитарного ряда) уничтожают опухолевые клетки, нагруженные цитотоксическими антителами (IgM).

Любая иммунодепрессия способствует опухолевому росту. Иммунодефицитные состояния различного генеза (особенно с дефектом Т-системы) предрасполагают к возникновению опухолей. Так, наиболее часто наблюдается развитие рака молочной железы на фоне снижения и клеточного, и гуморального звеньев иммунной защиты. [14]

III. Определенный эндокринный фон. В процессе канцерогенеза важную роль играют гормоны, способные стимулировать рост клеток. Это - соматолиберин и СТГ, пролактолиберин и пролактин, тиролиберин и ТТГ, меланолиберин и меланотропный гормон, гонадолиберины, эстрогены. Избыток этих гормонов, как и нарушение баланса между ними, создает условия, способствующие развитию опухолей. Примером могут служить рак молочной железы, возникающий на фоне избытка эстрогенов, рак щитовидной железы при избытке ТТГ и т.п.

IV. Хронические воспалительные и вялотекущие пролиферативные процессы. При названных патологических состояниях создается благоприятный фон для действия канцерогенных факторов.

V. Пожилой возраст. Опухоли - это заболевания в основном пожилых людей. Если принять во внимание, что развитие опухоли - это многостадийный процесс возникновения, накопления и реализации генетических изменений и отбора измененных клеток, становится понятным, что с возрастом повышается вероятность "накопить" необходимое количество мутаций. [3]

1.2 Химические факторы


В природе существует несколько миллионов природных и синтезированных человеком химических веществ и соединений. Человек активно контактирует с десятками тысяч таких веществ. Среди множества химических агентов, несомненно, канцерогенными признаны несколько десятков. Они присутствуют в окружающей среде, выделяются в процессе промышленного производства или являются продуктами жизнедеятельности живых организмов.

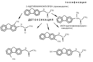
Химические канцерогены могут оказывать свое действие сами по себе (так называемые прямые канцерогены) или нуждаются для этого в активации (это происходит в процессе обмена веществ в организме человека). К таким химическим веществам относятся: полициклические ароматические углеводороды, ароматические амины (рис 1.) и аминоазосоединения (2_нафтиламин, 2_ацетиламинофлуорен), нитрозамины и амиды, афлотоксины, некоторые лекарственные препараты, являющиеся алкилирующими или ацилирующими агентами (циклофосфамид, бисульфат, диэтилстильбэстрол и др. [9] Большинство из указанных соединений сами по себе не являются канцерогенами, но превращаются в них, подвергаясь в печени воздействию ферментов универсальной системы детоксикации ксенобиотиков. Образуются эпоксиды, свободные радикалы, ионы карбония или катионы, активные электрофильные группы которых взаимодействуют с нуклеофильными центрами в молекулах ДНК, РНК или белков, нарушают функционирование генетического материала и вызывают возникновение неоплазм. [3]

Рис. 1

Химические канцерогены ответственны за возникновение до 80-90% всех злокачественных опухолей человека. Принято считать, что существуют 2 типа агентов, различающиеся по механизмам своего действия: инициаторы и промоторы. Действие инициаторов необратимо, действие промоторов до определенного момента обратимо. Оказалось, что большинство "сильных" канцерогенов обладают и инициирующими, и промоторными свойствами, а все промоторы, за редкими исключениями, проявляют канцерогенную активность, если их применять в высоких дозах и достаточно долго. Деление на инициаторы и промоторы в определенной степени соответствует делению канцерогенов на генотоксические и негенотоксические. [1]

Генотоксические канцерогены

Соединения этого класса взаимодействуют с компонентами генома клетки, вызывая мутации ДНК. Мутации приводят к изменению свойств продуктов генов, что в конечном итоге вызывает нерегулируемый рост потомков этих клеток. Генотоксические вещества могут быть разделены на 2 группы: прямодействующие канцерогены и соединения, не канцерогенные в исходной форме, но активирующиеся в клетке под действием соответствующих ферментов - непрямые канцерогены. [9]

Канцерогены прямого действия при растворении (в первую очередь, в воде) распадаются с образованием высокоактивных производных, содержащих избыточный положительный заряд (электрофильную группу).

К агентам такого рода относятся N-нитрозоалкилмочевины (НАМ), этил - и метил-метансульфонат (ММС), N-метил-N-нитронитрозогуанидин (МННГ) азотистый иприт, диэпоксибутан, бета-пропиолактон, этиленимин. Некоторые из них являются доказанными канцерогенами человека.

Канцерогены непрямого действия являются малореакционно способными соединениями. Факт включения остатков этих соединений в макромолекулы клетки ставил в тупик исследователей до тех пор, пока в 1956 г. супруги Миллер (J. and E.miller) не высказали предположения, что эти вещества в процессе метаболизма подвергаются ферментативной активации с образованием высокоактивных электрофильных метаболитов, способных взаимодействовать с нуклеофильными группами ДНК. [1], [2]

Негенотоксические канцерогены

К негенотоксическим канцерогенам относятся соединения различной химической структуры и различного механизма действия: промоторы двухстадийного канцерогенеза, пестициды, гормоны, волокнистые материалы, прочие соединения (нужно заметить, что и пестициды, и гормоны могут быть промоторами канцерогенеза).

Негенотоксические канцерогены часто называют канцерогенами промоторного типа. Промоторы должны воздействовать в высоких дозах, длительно, и, что очень важно, беспрерывно. Более или менее длительный перерыв в их применении сопровождается остановкой канцерогенеза (новые опухоли больше не появляются) или даже регрессией возникших опухолей. Они вызывают клеточную пролиферацию, тормозят апоптоз, нарушают взаимодействие между клетками. [2]

А так же среди химических канцерогенов выделяют отдельные группы:

. Полициклические ароматические углеводороды (ПАУ) - гетероциклические соединения, содержащие активные участки, способные взаимодействовать с молекулой ДНК (бензопирен, метилхолантрен и др.). ПАУ находятся в смоле и дыме (в том числе и в табачном), в выхлопных газах автомобилей, в пережаренных и копченых продуктах.

. Ароматические амины и аминоазосоединения. Классическими представителями этой группы являются бензидиновые красители, а также анилин и его производные, используемые в лакокрасочной промышленности. Эти вещества являются примером канцерогенов резорбтивного действия.

Нитросоединения (НС) используются в народном хозяйстве в качестве консервантов пищевых продуктов, при синтезе красителей, лекарств, полимерных материалов, пестицидов и др.

канцерогенез опухолевый раковая клетка

Нитрозамины входят в группу канцерогенов "одной дозы", поскольку предполагается, что они способны вызывать опухолевую трансформацию клетки даже при однократном воздействии.

Металлы и металлоиды. Канцерогенным эффектом обладают некоторые минеральные вещества - никель, хром, мышьяк, кобальт, свинец и др. В эксперименте они вызывают опухоли на месте инъекции.

Некоторые вещества, используемые в качестве лекарственных средств, обладают канцерогенными свойствами. Это - фенацетин, фенобарбитал, диэтилстилбэстрол, эстрон, циклофосфамид, имуран, гидразид изопикотиновой кислоты и др. [7], [12]

Химические канцерогены биологического происхождения. К этой группе относятся афлатоксины - канцерогены "одной дозы".

Эндогенные бластомогенные вещества. К этой группе относятся канцерогены, образующиеся в самом организме в результате нарушения нормального метаболизма. Так, при нарушении метаболизма гормонов (эстрогенов, тироксина) образуются вещества, обладающие ко-канцерогенным эффектом. Доказаны бластомогенные свойства некоторых стероидов - метаболитов холестерина и желчных кислот. [3]

 

.3 Физиологические факторы


К физиологическим факторам вызывающим канцерогенез относятся различные виды ионизирующей радиации (рентгеновские, альфа-лучи, элементарные частицы - протоны, нейтроны, альфа-, бета-частицы), а также ультрафиолетовое излучение. [6]

Ультрафиолетовое излучение играет роль в возникновении различных видов рака кожи, включая плоскоклеточный рак, базальноклеточный рак и злокачественную меланому. Ультрафиолетовый свет, как полагают, стимулирует формирование связей между пиримидиновыми основаниями в молекуле ДНК. В норме измененная молекула ДНК быстро восстанавливается. Рак развивается при неэффективном функционировании механизмов репарации ДНК, что наблюдается у пожилых людей и у людей с пигментной ксеродермой.

Рентгеновское излучение. В 1950-х гг. полагали, что увеличенный тимус является причиной обструкции дыхательных путей у грудных детей. Поэтому грудные дети с респираторным дистресс-синдромом подвергались лучевой терапии шеи для уменьшения размеров тимуса, что привело к возникновению у большого количества этих детей папиллярного рака щитовидной железы через 15-25 лет. [4] Одним из осложнений радиотерапии злокачественных опухолей является развитие индуцированных излучением злокачественных новообразований, обычно сарком, через 10-30 лет после лучевой терапии.

Радиоизотопы. Радиоактивный радий метаболизируется в организме по тому же самому пути, что и кальций, а, следовательно, он попадает в кости, что и приводит к развитию остеосарком. Торотраст, радиоактивный препарат, накапливается в печени и увеличивает риск возникновения нескольких типов рака печени, включая ангиосаркому, печеночноклеточного рака и холангиокарциномы. Радиоактивный йод, который используется для лечения неопухолевых болезней щитовидной железы, приводит к увеличению риска развития рака, который возникает через 15-25 лет после лечения; риск такой терапии оценивается по характеру первичной болезни, терапевтическому эффекту и возрасту пациента.

Радиоактивное загрязнение. Вся доза облучения, получаемая человеком при рентген - и радиоизотопных исследованиях, исходящая от атомных электростанций и тому подобное, в настоящее время составляет менее 1 % от общего облучения; остальная доза приходится на излучения радиоактивных пород, непосредственно земли и космических лучей (т.е., на неустранимое фоновое излучение).

Чаще всего под влиянием радиации возникают лейкозы, опухоли легких, кожи и костей, а также эндокриннозависимые опухоли (молочной железы, репродуктивной системы, щитовидной железы). Введение в организм радиоактивных изотопов может вызвать развитие опухолей в различных органах, в первую очередь в тех, где накапливаются радиоактивные вещества. [6], [9]

Имеются наблюдения, свидетельствующие о возможности развития опухолей в местах хронического термического повреждения и длительной механической травматизации тканей под влиянием инородных тел.

Таким образом, риск возникновения рака при действии канцерогенов определяется:

интенсивностью воздействия производственных канцерогенов на человека (экспозицией), которая зависит от особенностей технологического процесса и техники безопасности;

индивидуальной предрасположенностью, которую необходимо выявлять при скрининге и учитывать при профотборе работников онкоопасных производств.

Прогноз индивидуального риска возникновения опухоли в результате воздействия генотоксических факторов внешней среды складывается из анализа индивидуальной экспозиции к канцерогену, в основе которой лежат методы молекулярной дозиметрии, и из изучения индивидуальной чувствительности, то есть из анализа факторов генетической предрасположенности/резистентности к канцерогенным воздействиям. [3]

Глава 2. Канцерогенные вещества в пищевых продуктах


Одна из острейших медицинских проблем "Питание и рак" с каждым годом привлекает все большее внимание. Это обусловлено тем, что пища может содержать канцерогенные химические вещества (КХВ) и их предшественников. Кроме того, питание в целом и даже отдельные компоненты пищи могут модифицировать действие факторов канцерогенеза. Циркулирующие в биосфере канцерогены могут быть природного и антропогенного происхождения.

Природные канцерогены являются метаболитами живых организмов (биогенные) или возникают абиогенно (выбросы вулканов, фотохимические и радиоактивные процессы, воздействие УФ-лучей). Биогенные канцерогены - метаболиты микроорганизмов, низших и высших растений. Так, многие виды плесневых грибов могут продуцировать канцерогенные микотоксины, полиароматические углеводороды (ПАУ). В некоторых высших растениях (семейства сложноцветных) синтезируются оказывающие онкогенное действие пирролизидиновые алкалойды, циказин, сафрол, нитрозамины. В организме млекопитающих могут накапливаться стероидные гормоны, нитрозосоединения, обладающие канцерогенной активностью. Чрезвычайно важно, что человеческий организм в процессе эволюции в определенной степени адаптировался к такой онкогенной нагрузке. [2,3]

Во много раз по сравнению с природным фоном может возрасти онкогенная нагрузка на человека при загрязнении пищевых продуктов КХВ антропогенного происхождения. К источникам этих КХВ, прежде всего, принадлежат отходы промышленных предприятий, тепловых электростанций, отопительных систем и транспорта. Важным источником загрязнения пищевых и кормовых растений КХВ могут быть пестициды и особенно продукты их трансформации в биосфере. К числу потенциально канцерогенных примесей можно отнести также гормональные и другие препараты, использующиеся в качестве стимуляторов роста (или в ветеринарной практике).

Доказана возможность образования ПАУ и нитрозосоединений в мясных и рыбных продуктах при их обработке коптильным дымом; в растительных продуктах при сушке горячим воздухом, содержащим продукты сжигания топлива; при перегревании жиров во время жарения. Канцерогенные вещества могут мигрировать в пищевые продукты при их изготовлении, хранении и транспортировке из материалов оборудования, тары и упаковок.

Особенно важно в современных экологических условиях помнить о взаимном усилении онкогенного эффекта при комбинированном действии даже самых слабых химических канцерогенов или сочетанном влиянии КХВ и физических факторов (радиации, УФ-излучения) за счет суммирования или потенцирования их действия.

В настоящее время в продуктах питания официально нормируются остаточные количества ряда ксенобиотиков, обладающих потенциальной канцерогенностью: пестицидов, гормональных препаратов, афлотоксинов, мышьяка, кадмия, полихлорированных бифенилов. [4], [7]

Глава 3. Влияние канцерогенных факторов на отдельные органы человека


На риск развития опухолей отдельных локализаций могут влиять различные факторы. В настоящее время принято считать, что с курением связано примерно 30-35% случаев рака, неправильным питанием - 35-40%, профессией - 4-5%, загрязнением окружающей среды - 1-2%, употреблением алкогольных напитков - 2-3%, ионизирующей радиацией - 4-5%, ультрафиолетовым излучением 2-3%. Ниже приведены статистические данные по локализациям ЗН и возможные этиологические факторы.

 

3.1 Опухоли полости рта и глотки. [4]


Показатель заболеваемости этими опухолями мужчин в России составляет 12,0 на 100 000 мужского населения. У женщин он существенно ниже - 2,6 на 100 000. Средний возраст заболевших мужчин равен 58,7 годам, у женщин 61,9 года. Эпидемиологические данные свидетельствуют, что наиболее распространенными факторами риска развития опухолей этой локализации являются курение, жевание табака, употребление спиртных напитков (Рис.1) Частое потребление алкоголя может наблюдаться в профессиях, связанных с производством пива, вина, крепких напитков.

Рис.1 Опухоль слизистой оболочки полости рта

Повышенная заболеваемость этими опухолями наблюдалась у рабочих резино-обувного производства, главным образом, среди экспонированных к вулканизационным газам. Выявленные случаи этих опухолей развивались на фоне лейкоплакий полости рта, которые считаются предопухолевыми заболеваниями для данной локализации ЗН.

 

3.2 Рак пищеварительной системы


Рак пищевода. Наиболее выраженной особенностью эпидемиологии рака пищевода является чрезвычайно широкий диапазон уровней заболеваемости с привязкой высоких показателей к определенным географическим районам.

Такими районами являются восточное и южное побережье Каспийского моря (прилегающие к нему районы Казахстана, Узбекистана, Туркмении, сев. Ирана), побережье Аральского моря (район Кара-Калпакии), некоторые районы Индии, Шри Ланки, северного и западного Китая, южной и западной Африки, где заболеваемость населения этой формой рака может в 100 и более раз превышать ее средние уровни. [4], [14]

К факторам, повышающим риск этих опухолей среди населении указанных районов, относят: содержание нитрозаминов в воде и пищевых продуктах, национальные особенности питания и витаминодефицитную диету, распространенность хронических эзофагитов, низкий социально-экономический уровень.

В России частота рака пищевода составляет 8,7 и 2,8 на 100 000 у мужчин и женщин соответственно. Половые различия в заболеваемости менее выражены в районах с ее высокими показателями.

Повышенное потребление алкоголя и курение являются важными факторами риска рака этой локализации. С распространенностью этих вредных привычек связан, по-видимому, более высокий уровень заболеваемости лиц с низким социально-экономическим статусом. [10]

О влиянии профессиональных факторов убедительных данных очень мало, поскольку трудно отделить влияние указанных мешающих факторов. Повышенный риск рака пищевода отмечен среди рабочих, подвергающихся воздействию асбеста, органических растворителей, канцерогенных ПАУ, пестицидов, СОЖ, абразивных материалов. Он отмечен также у рентгенологов, работников в производстве плутония, резины (вулканизаторщиков), рабочих пивоваренных заводов, текстильщиков, бальзамировщиков, деревообработчиков и мебельщиков, упаковщиков мяса, работников производства минеральных удобрений.

Наиболее убедительны данные в отношении асбеста как вероятного этиологического фактора. Сведения, касающиеся других воздействий, сильно варьируют.

Возможно, что повышение риска связано с совокупным воздействием курения, потребления алкоголя, очень горячих напитков и профессиональных факторов, повреждающих слизистую оболочку пищевода.

Рак желудка. Рак желудка в структуре онкологической заболеваемости и смертности долгое время занимал, а в ряде стран продолжает и в настоящее время занимать 1-ое место. В России он находится на 2-ом месте как среди мужчин, так и женщин, составляя соответственно 43,6 и 28,4 на 100 000 лиц соответствующего пола

Самая высокая заболеваемость этой формой рака наблюдается у мужчин в Японии, а смертность от нее в 7 раз превышает таковую в США, где, как и в Канаде, на Кубе и в Австралии она наиболее низка.

Несмотря на то, что рак желудка относится к немногим формам опухолей с устойчивой тенденцией снижения заболеваемости, показатели ее остаются по-прежнему высокими, что указывает на необходимость дальнейшего изучения причин и разработки профилактических мероприятий.

Сопоставление характера питания групп населения с различными уровнями заболеваемости раком желудка, анализ ее тенденций, изучение влияния изменений рациона питания позволили выделить факторы высокого риска. Это прежде всего повышенное потребление соленых, вяленых, копченых продуктов, содержащих нитраты, нитриты, вторичные амины, которые при совместном поступлении в организм под воздействием микрофлоры пищеварительного тракта образуют канцерогенные N-нитрозамины. С другой стороны, многочисленными эпидемиологическими исследованиями показано, что потребление свежих овощей и фруктов существенно снижает риск развития рака желудка.

Из других факторов большое значение придается наличию хронических фоновых заболеваний желудка: атрофического гастрита, интерстициальной метаплазии, дисплазии. Когда развитие этих заболеваний связано с производственной деятельностью, они могут рассматриваться как профессиональные факторы риска развития рака желудка.

Несмотря на достаточную доказанность этиологических факторов, прежде всего особенностей питания, которое, по-видимому играет наиболее существенную роль в генезе опухолевых и предопухолевых заболеваний желудка, замечено, что целый ряд профессиональных факторов повышает риск их развития.

В первую очередь к ним относятся пыли различного происхождения: асбестовая, угольная, древесная, минеральная, металлическая, абразивная, синтетических волокон. Повышенный риск рака желудка отмечен у рабочих, занятых на различных химических предприятиях, в производстве резиновых шин.

Отмечено, что заболеваемость раком желудка связана с социально-экономическим статусом и наиболее высока в группах с его низкими показателями, в которых широко распространены вредные привычки.

В связи с этим предполагается, что в генезе этих опухолей участвует комплекс факторов: характер питания, курение, употребление алкоголя и профессиональные воздействия. При этом курение может выступать в качестве инициатора или промотора, активирующего действие вредных производственных факторов.

Рак печени. Первичный рак печени - относительно редкое заболевание в развитых странах, однако он повсеместно распространен в странах Азии и Африки. В России показатель заболеваемости у мужчин составляет 6,5, у женщин 4,4 на 100 000 лиц соответствующего пола (данные 1996 г.). Средний возраст мужчин на момент постановки диагноза - 62,5, женщин - 66,4 года.

Довольно часто первичный рак печени диагностируется уже при аутопсии (по гистологическому типу, в основном, это гепатоцеллюлярный рак).

Этиология этих опухолей сравнительно хорошо изучена. [10] Ведущими факторами в их генезе является носительство вируса гепатита В, загрязнение пищевых продуктов канцерогенными афлатоксинами, цирроз печени, злоупотребление алкоголем, а также сочетание этих факторов. Связь первичного рака печени с профессиональными воздействиями изучена слабо.

По данным шведского канцеррегистра, представители ряда профессий имели повышенный риск развития этих опухолей. Это - повара, рабочие на бойнях, мукомольных и обувных предприятиях, на производстве основных химикатов, сварщики и монтажники трубопроводов, изолировщики.

У мужчин, имевших максимально повышенный риск (пивовары, персонал кафе), отмечено параллельное повышение частоты алкоголизма и цирроза. По отечественным данным риск этих опухолей повышен у рабочих производства минеральных удобрений.

Следует указать на такую форму опухоли печени как ангиосаркома - заболевании, которая исключительно редко встречается в общем населении и, в основном, связана с воздействием профессиональных факторов.

Впервые в 1974 г. кластер (англ. cluster = группа, скопление) этих опухолей был отмечен у рабочих одного из заводов по производству поливинилхлорида в США, что сразу же заставило предположить связь этих опухолей с действием производственных факторов. Дальнейшие многочисленные эпидемиологические и экспериментальные исследования, проведенные в России и ряде других стран, подтвердили, что этиологическим фактором развития этих опухолей является винилхлорид.

Наряду с гепатомами, ангиосаркомы печени обнаружены у лиц, подвергавшихся воздействию соединений мышьяка при питье воды с высоким его содержанием или приеме мышьяковых медицинских препаратов. Профессиональная экспозиция к мышьяку имеет место в случаях использования пестицидов на его основе, выплавке содержащих его металлов, а также в виноделии.

Рак поджелудочной железы. Актуальность изучения эпидемиологии рака поджелудочной железы определяется ростом заболеваемости, плохим прогнозом, неясностью этиологии.

Рак поджелудочной железы встречается относительно часто в экономически развитых странах. В России на его долю в структуре онкологической заболеваемости мужчин приходится 3,2%, женщин - 2,8%. Стандартизованный показатель заболеваемости в нашей стране в 90-х гг несколько возрос и составил среди мужчин 8,7, у женщин 4,3 на 100 000.

К фоновым заболеваниям для развития рака поджелудочной железы относят диабет, хронические панкреатит и холецестит. Предположительно факторами риска опухолей этой локализации считаются курение, избыточное потребление алкоголя, сахара или сластителей, кофе, жиров, дефицит витамина А в диете.

Что касается профессиональной этиологии, то имеющиеся эпидемиологические данные противоречивы, а предполагаемые факторы риска чрезвычайно разнообразны. Они включают ионизирующую радиацию, ароматические амины, пыли различного происхождения, органические растворители, краски, красители, соединения хрома, отработавшие газы дизельных двигателей. [11], [14]

Небольшое увеличение риска обнаружено у рентгенологов, рабочих алюминиевой и атомной промышленности, киномехаников, химиков, телеграфистов, ювелиров, фотографов, водителей, металлообработчиков, рабочих производства резины, но конкретные факторы не выделены.

 

3.3 Злокачественная меланома кожи


В развитых странах отмечается быстрый рост заболеваемости меланомой. В России меланома кожи составляет 0.98% и 1.6% всех случаев ЗН у мужчин и женщин соответственно. В 90-х гг заболеваемость мужчин возросла с 2.0 до 2.7, женщин - с 2.6 до 3.0 на 100 000, т.е. увеличилась на 35% и 15.4% соответственно. При сохранении нынешних темпов роста заболеваемости меланома может перейти из категории редких в категорию частых опухолей.

В качестве факторов, повышающих риск меланомы (Рис.3), рассматривается роль пигментации кожи и УФ-излучения. Известно, что у лиц, имеющих светлую кожу, риск меланом выше в 3-4 раза, чем у смуглых. К факторам риска относят также диспластические пигментные невусы, травмы. [8], [13]

Рис.3 Опухоли кожные

3.4 Рак органов женской репродуктивной сферы


Доля опухолей женской репродуктивной сферы составляет 1/3 всех регистрируемых ЗН у женщин. В их число входят рак молочной железы (РМЖ), шейки (РШМ) и тела матки, плаценты, яичников и других половых органов. Заболеваемость ЗН молочной железы, тела матки, яичников растет быстрыми темпами во многих странах. Наша страна не является в этом отношении исключением.

Динамика стандартизованных показателей заболеваемости злокачественными новообразованиями женской репродуктивной сферы в России в 1991-1996 гг, на 100 000. *

Локализация

Код

1991 г

1996 г

Темп прироста (%)

Молочная железа

С50

29,2

34,6

18,5

Шейка матки

С53

10,6

10,8

1,9

Тело матки

С54

9,5

11,8

24,2

Яичники

С56

9,1

9,8

7.7


* - мировой стандарт.

Рак этих локализаций широко изучается во всем мире - факторы риска, возможности профилактики. Наименее известна роль причин профессионального характера, хотя нередко одним из главных проявлений патологии у женщин-работниц являются различные нарушения репродуктивной функции. Производственные факторы, оказывая на нее прямое или опосредованное влияние, могут повышать частоту самопроизвольных абортов, вызывать нарушения менструального цикла, дисфункции, хронические воспалительные процессы, служащие факторами риска и фоном для развития онкологических заболеваний женской репродуктивной сферы. Профессия женщин и их социально-экономический статус также в значительной степени определяют поведенческие установки, включая репродуктивное поведение, проявляющее себя в размере семьи, возрасте при первых родах, числе абортов и т.п. А именно этим факторам отводится ведущая этиологическая роль в генезе опухолей репродуктивной сферы.

Еще в 1713 г. итальянский врач Рамаццини обратил внимание на высокую частоту опухолей молочной железы у монахинь. Такие социальные факторы, как бытовая неустроенность (проживание в общежитиях, финансовая необеспеченность молодых семей) или желание женщин до рождения детей завершить образование и сделать карьеру, ведут к тому, что первые роды откладывают в надежде на более благоприятные жизненные обстоятельства. Следовательно, этиологию этих опухолей следует рассматривать в совокупности возможных причин, включая профессию, условия жизни, установки в социальном и репродуктивном поведении.

Аборт (спонтанный или искусственный) у первобеременных повышает риск РМЖ. Для нашей страны это очень существенно, так как до сих пор он остается самым распространенным методом регулирования деторождения. Анализ зарубежных и отечественных данных о распространенности абортов в увязке с частотой опухолей репродуктивной сферы свидетельствует, с одной стороны, о значимости этого фактора в генезе опухолей женской репродуктивной сферы, а с другой - о его малой изученности и недооценке. В свою очередь он тесно связан с социально-экономическими факторами, бытовыми условиями, уровнем медицинского обслуживания, уровнем культуры женщин, национальными традициями и пр.

Известно, что поздние первые роды, малодетность, высококалорийная диета делают женщин из обеспеченных слоев общества группой высокого риска в отношении опухолей молочной железы, яичников, эндометрия (Рис.2). В то же время высокая рождаемость в сочетании с плохим родовспоможением, раннее начало половой жизни, частые аборты, т.е. элементы сексуального поведения, более характерные для низших социальных слоев, повышают риск РШМ. Как показал анализ смертности в 1970-1980 гг в Дании риск РМЖ и тела матки у женщин высокого социального класса в 1,5 раза превышал таковой у фабричных работниц, но РШМ был в 2 раза выше во второй группе.

Рис.2 Опухоль женских репродуктивных систем

Вредные привычки, как известно, входят в понятие образа жизни и их распространенность в той или иной профессиональной группе может существенно влиять на онкологический риск, связанный с производственными факторами.

В США было проведено исследование распространенности курения среди 800000 женщин в увязке с их профессиональной занятостью. И хотя не было обнаружено выраженной связи между социальным статусом женщин и распространенностью курения, просматриваются ее различия в профессиональном аспекте. Наименьшее число курильщиц было среди женщин-фермеров (21,3%), наибольшее - среди официанток (59,4%). Ближе к последним были врачи, медсестры, работницы страховых и правовых учреждений. К этому следует добавить, что по оценочным данным 40000 американских медсестер злоупотребляют алкоголем. Последний повышает риск рака молочной железы в 1,5-6 раз.

Наиболее часто нарушения репродуктивной функции обнаруживаются у работниц, имеющих производственный контакт с растворителями, а также тиурамом, альтаксом, каптаксом - компонентами производства резин. Высокий процент выкидышей отмечен у женщин-наркотизаторов. Риск осложнений беременности высок у работниц производства пластмасс, стирола, вискозы и искусственного волокна, у работниц прачечных, использующих растворители.

Наблюдаемые у работниц химического, резинового, шинного и ряда других производств, экспонированных к химическим растворителям и другим вредным профессиональным факторам, нарушения менструального цикла, учащение гинекологической и акушерской патологии, могут быть результатом сложных изменений гормонального статуса. Известно, что опухоли репродуктивной сферы гормонально - зависимы. Большое значение имеет гормональный баланс в системе эндокринных желез: гипофиз - щитовидная железа - молочная железа - яичники. При многих профессиональных заболеваниях и интоксикациях эндокринная система вовлекается в патологический процесс и оказывает влияние на его течение.

Возможная связь гормонального дисбаланса, обусловленного профессией с повышением онкологического риска прослеживается на примере опухолей яичников. В эксперименте фолликулярные кисты яичников, являющиеся предшественниками злокачественного перерождения, вызываются разными способами. В их числе - снижение эстрогенной функции яичников путем нарушения работы высших отделов центральной нервной системы, введение гонадотропинов, круглосуточное электрическое освещение, что отражается на нарушении функции гипофиза. Свет угнетает продукцию и секрецию мелатонина - гормона шишковидной железы, при этом нарушается ритм работы эпифиза, что сказывается отрицательно на работе регуляторных систем - нейроэндонринной и иммунной. Подобное может наблюдаться и в производственной сфере: стресс, воздействие на гипофиз химических соединений (например, растворителей), занятость женщин в ночных сменах и т.п.

В этиологии РШМ ведущая роль отводится инфекции вирусом папилломы (HPV), носительство которого широко распространено, особенно среди молодых женщин. Вместе с тем, риск развития РШМ может модифицироваться генетической предрасположенностью, условиями среды, поведенческими установками, характером сексуального поведения и пр. Поэтому в его профилактике важен поиск профессионально обусловленных значимых кофакторов, которые могут оказывать существенное влияние. [13]

3.5 Опухоли центральной нервной системы


В России опухоли этой локализации в структуре онкологической заболеваемости составляют 1,2% и 1,0%, при показателях 3,5 и 2,8 на 100000 у мужчин и женщин соответственно. Пик заболеваемости приходится на возраст 50-54 года у мужчин и 60-64 года у женщин при среднем возрасте на момент диагноза 45,2 и 47,3 года соответственно. Преимущественная локализация опухолей ЦНС - головной мозг.

Они разнообразны по морфологии, а гистологический тип зависит от вида клеток, из которых опухоли развиваются. Наиболее распространены глиомы, среди которых преобладают астроцитомы. Не исключено, что различные гистологические типы опухолей головного мозга имеют разную этиологию.

Рис.4 Опухоль стволовых клеток мозга

К сожалению, в эпидемиологических исследованиях, особенно тех из них, в которых источником медицинской информации является свидетельство о смерти, разделить эти опухоли на отдельные гистологические типы, не всегда возможно. Вследствии этого имеющиеся эпидемиологические данные чаще всего относятся ко всей группе опухолей этой локализации. Причинные факторы опухолей головного мозга изучены недостаточно. Предполагается возможное влияние наследственности, вирусов, ионизирующей радиации, травм головного мозга (Рис.4).

В этиологии опухолей головного мозга существенная роль отводится профессиональным факторам. Эпидемиологические исследования выявили связь повышенного риска их развития с работой в резиновой промышленности, на производстве ПВХ, при нефтеочистке и нефтепереработке, в ядерной и космической промышленности, а также с занятостью в некоторых профессиях непроизводственной сферы (в частности, среди экспонированных к формальдегиду бальзамировщиков и патологоанатомов). Возможность индукции опухолей головного мозга с помощью различных воздействий подтверждена многочисленными опытами на животных. В их числе ряд химических соединений (винилхлорид, акрилонитрил, диэтил - и диметилсульфат, N-нитрозамины, этиленоксид, канцерогенные ПАУ и др.), ионизирующая радиация.

В последние годы интенсивно изучается влияние электромагнитных полей (ЭМП) на риск развития опухолей головного мозга, однако многие опубликованные данные противоречивы. Воздействию этого фактора подвергаются электрики, связисты, сварщики, рабочие по производству и ремонту электрического и электронного оборудования и другие. Два обстоятельства обусловливают актуальность изучения возможных механизмов канцерогенеза, связанного с действием этого фактора:

физические характеристики ЭМП определяют биологический эффект, а их разноообразие предполагает широкую вариабельность этих эффектов; и

экспозиция к ЭМП приобретает все большую распространенность в повседневной жизни. [11]

Этиология опухолей этой локализации требует дальнейшего исследования для выявления факторов, влияющих на риск развития опухолей мозга различного гистологического типа, и механизмов их действия.

Заключение


Существенное влияние на изменение показателей здоровья оказывают изменившаяся окружающая среда и неправильное отношение к своему здоровью. По некоторым данным, с действием этих факторов связано до 77% всех случаев заболеваний и более 50% случаев смерти, а также до 57% случаев неправильного физического развития.

В ходе данной курсовой работы, я остановилась на тех изменениях в состоянии здоровья человека, которые обусловлены загрязнением окружающей среды и канцерогенных факторах. При этом следует принять во внимание, что под загрязнением и канцерогенами в окружающей среде понимается такое состояние, когда в объекте окружающей среды загрязнитель находится в количествах, превышающих ПДК, и может оказывать неблагоприятное влияние на здоровье и санитарно-бытовые условия проживания человека. Согласно принятому ООН определению, под загрязнением понимают экзогенные химические вещества, встречающиеся в ненадлежащем месте, в ненадлежащее время и в ненадлежащем количестве. А так же канцерогенные факторы - это причины вызывающие опухолевые заболевания у человека.

Я рассмотрела основные экологические факторы, которые оказывают влияние на онкологическую заболеваемость населения. Также были рассмотрены основные вещества, для которых доказан канцерогенный эффект.

Проанализировав сведения об умерших от злокачественных новообразований, можно сделать вывод, что на первом месте среди злокачественных новообразований, стоят заболевания раком трахеи, бронхов, легкого. В 2007 году заболеваемость снизилась по сравнению с 2005 годом с 794 до 719 случаев соответственно. На втором месте стоит заболеваемость раком желудка. На третьем - рак молочной железы.

По прогнозам ученых злокачественная онкологическая заболеваемость к 2020 году может составить 16 млн. человек против 10 млн. в 2000 году. Такой рост обусловлен постарением и увеличением численности населения, а также ухудшением образа жизни, ухудшением условий среды обитания человека. Следовательно, снижение заболеваемости может быть достигнуто за счет профилактики рака, а также за счет улучшения диагностики и лечения.

Наиболее эффективными мероприятиями, снижающими онкологическую заболеваемость, являются борьба с курением, изменение питания, снижение ультрафиолетового облучения, массовые профилактические осмотры (скрининг), распространение рекомендаций (просветительная работа). Эти мероприятия уже снизили заболеваемость раком в Европе на 15%.

Заболеваемость злокачественными новообразованиями по возрастным группам, можно сказать, что чаще всего заболеваемость раком обнаруживается у людей 60 лет и старше. До 20-ти летнего возраста заболеваемость раком чаще обнаруживается у мужского населения, а начиная с 20-ти летнего возраста и старше злокачественные новообразования обнаруживается чаще у женщин, чем у мужчин.

Курение так же, является важным фактором риска развития злокачественных новообразований. По данным эпидемиологического исследования 2004 года, табакокурение являлось причиной смерти в одной трети из смертельных исходов, связанных со злокачественными новообразованиями, во многих из западных стран. Вероятность заболеть раком лёгких у курильщика в несколько раз выше, чем у некурящего. Кроме рака лёгких, курение увеличивает вероятность и других видов злокачественных опухолей (ротовой полости, пищевода, голосовых связок), а также других заболеваний, например эмфиземы. Кроме того, курение увеличивает вероятность возникновения злокачественных новообразований у окружающих.

В настоящее время знаний недостаточно для того, чтобы точно указать на все компоненты питания, способствующие развитию рака или снижающие риск его развития, не вызывает сомнения, что увеличение потребления овощей, зелени и фруктов и снижение потребления жира (особенно животного) приведет к снижению заболеваемости злокачественными опухолями.

Список использованной литературы


1.       Турусов B. C., Ракитский В.Н. Классификация пестицидов по степени канцерогенной опасности для человека. Вопр. онкологии, 1997, 43, 3, 299-303.

2.       Шабад Л.М. (1973) О циркуляции канцерогенов в окружающей среде М.

.        Общая патофизиология. Курс лекций. Лекция №2 "Механизмы канцерогенеза" стр 7-19.

.        А.А. Королев, М.В. Богданов "Медицинская экология", 188 стр. Изд-во "Академия", 2003 г.

.        Худолей В.В. Канцерогены: характеристики, закономерности, механизмы действия.С. - Петербург. НИИ СпбГУб 1999.

.        Мари Э. Вуд, Пол.А. Банн. Секреты гематологии и онкологии, Москва, Бином, 1997 год. стр.224-225, 256-257.

.        Журнал "Весть о здоровье" №5 (7) 2006 г., стр.12.

.        А.И. Агеенко "Онкогены и канцерогенез". Изд-во МГУ, 2004г., с-345

.        Р. Мерри, Д. Гренер " Биохимия человека". Изд.: Мир; т.2, перевод с англ., 1993г., с-415

.        А.Е. Черезов "Общая теория рака". М.: Изд-во МГУ, 1997г., с-252

.        А.А. Новик, Т.А. Пахомова "Рак болезнь генетической нестабильности" // "Гедеон Рихтер А. О.", №1, 2001г., с-70

.        Г.А. Белинский "Химический канцерогенез". с-2-11

.        Н.А. Краевский, А.Я. Смольянников, С.Д. Саркисов "Патолого - анатомическая диагностика опухолей человека" // "Медицина". 1993г., с-60

.        А.А. Новик, Т.А. Пахомова "Рак болезнь генетической нестабильности" // "Гедеон Рихтер А. О.", №1, 2001г., с-70

Похожие работы на - Факторы канцерогенеза, влияющие на развитие опухолевых процессов у человека

 

Не нашли материал для своей работы?
Поможем написать уникальную работу
Без плагиата!
Без нейросетей!