|
Наименование операции
|
Полезный объем цистерны, м3
|
Количество одновременно разгружаемых цистерн
|
Нормируемое время слива, мин [2]
|
Часовая производительность разгрузки, м3
|
Характеристика принятого насосного оборудования
|
|
|
|
|
|
Тип
|
Количество, шт. рабочий
|
|
1
|
2
|
3
|
4
|
5
|
6
|
7
|
|
Слив из цистерны:
|
|
|
|
|
|
|
|
ДТ
|
71,7
|
2
|
80
|
430
|
КМ 100-80-190
|
2
|
|
бензин
|
83,9
|
2
|
80
|
378
|
КМ 100-80-190
|
4
|
2.5 Отпуск бензинов и ДТ при отпуске в автоцистерны
Выбросы паров нефтепродуктов, выделяющихся в атмосферу при заполнении
автоцистерн, определяются по формуле:
, (16)
, (17)
где
- максимальная концентрация паров нефтепродуктов в
выбросах паровоздушной смеси при заполнении резервуара, г/м3;
принимается по «Методическим указаниям по определению выбросов загрязняющих
веществ из резервуаров» [45]; для бензинов
=1,86 г/м3,
для ДТ
=580 г/м3.
- объем
нефтепродукта, поступающего из резервуара в автоцистерну, принимается равным
производительности закачки в резервуар, м3;
=30 м3/ч.
-
количество нефтепродуктов, отпущенных в течение осенне-зимнего периода, м3;
для бензинов
=24666,5 м3; для ДТ
=21384,5 м3.
-
количество нефтепродуктов, отпущенных в течение весенне-летнего периода, м3;
для бензинов
=24666,5 м3; для ДТ
=21384,5 м3
-
концентрация паров нефтепродуктов в выбросах нефтепродуктов, соответственно в
осенне-зимний и весенне-летний периоды, г/м3; принимается по [13]:
для бензинов
(оз) = 250 г/м3,
(вл) = 310 г/м3; для ДТ
(оз) = 0,98 г/м3,
(вл) = 1,32 г/м3.
n - количество
автоцистерн, заправляющихся одновременно (n=2).
Для бензинов:
,
,
Для
ДТ:
,
,
Суммарный выброс в атмосферу составит:
,
.7 Подбор оборудования установки рекуперации паров
Для сокращения потерь нефтепродуктов согласно заданию требуется
предусмотреть систему рекуперации паров светлых нефтепродуктов в составе
автоматической системы налива.
Выбор определенных методов борьбы с потерями нефтепродуктов ведется по
технико-экономическим расчетам, основой которых является величина годовых
потерь.
Требуемые технические характеристики установки рекуперации паров:
) улавливание газов «дыхания», образующихся при наливе
нефтепродуктов в автоцистерны:
) - максимальная часовая производительность - 300 нм3/ч;
) - концентрация углеводородов на выходе - 35 г/м3.
Для улавливания паров бензина из паровоздушной смеси, вытесняемой из
автомобильных цистерн при их наполнении, предусматривается установка
АСУР-ПБ-120 (рисунок 5). Полнота улавливания при температуре абсорбента 00С
составляет 92%.
Рисунок 5 - Пневмогидравлическая схема установки АСУР-ПБ-120-
3. Технологическая часть
.1 Состав объектов нефтебазы
В состав нефтебазы входят следующие производственные объекты :
) продуктовая насосная станция с электрощитовой и помещением для
машиниста;
) резервуарные парки хранения топлива;
) станция верхнего налива топлива в АЦ;
) операторная налива топлива в АЦ;
) резервуары аварийного слива топлива из АЦ и опорожнения
трубопроводов.
) установка для улавливания и рекуперации паров бензина с
подземным резервуаром для дизельного топлива
К вспомогательным объектам, необходимым для нормального функционирования
нефтебазы, относятся :
) вспомогательный блок в составе:
) административно-бытовой корпус;
) теплая стоянка на 3 автомобиля;
) бойлерная;
) помещение для мотопомпы и пожарного инвентаря;
) склад;
) резервная дизель - генераторная
) операторская налива топлива в АЦ с постом охраны;
) блок автомой
) автомобильные весы
) закрытые очистные сооружения дождевых вод;
) закрытые очистные сооружения дождевых вод;
) открытая площадка для стоянки топливозаправщиков;
) противопожарные водоемы.
3.2 Перекачка нефтепродуктов в резервуары
.2.1 Последовательная перекачка, способы контроля
Разрешение на перекачку, связанную с наполнением или опорожнением
резервуара, дается только после проверки правильности открытия или закрытия
соответствующих задвижек, необходимых для данной операции. Открытие задвижек
должно производиться плавно, без применения рычагов [52]. Во время перекачки
должно быть постоянное сообщение работающего насоса с резервуарной емкостью.
Для каждого резервуарного парка следует разработать технологическую карту
с указанием максимально возможного уровня нефтепродукта. При обнаружении
каких-либо ненормальностей при наполнении или опорожнении резервуара (по данным
замерам) перекачку немедленно останавливают. Когда же до предельного заполнения
остается 1-1,5 м взлива, производительность перекачки должна снижаться до
минимума во избежание перелива. Это достигается прикрытием коренной задвижки
или напорной задвижки у насоса. Запрещается наполнять резервуары
нефтепродуктами выше установленного максимального предела заполнения.
Максимальная допустимая производительность заполнения и опорожнения
резервуаров ограничивается пропускной способностью дыхательной арматуры,
допустимой производительностью истечения нефти через приемо-раздаточные
патрубки (при опорожнении), максимально допустимой скоростью потока через
приемо-раздаточные патрубки (при заполнении) [52].
Расход паровоздушной смеси через дыхательную арматуру не должен превышать
0,85 от минимальной пропускной способности клапанов по внутреннему избыточному
давлению. За максимально допустимую производительность заполнения и опорожнения
резервуара принимается меньшая из производительностей, рассчитанная по
вышеуказанным ограничительным показателям [60].
В резервуарах со стационарной крышей должны поддерживаться следующие
величины давления и вакуума (если не установлены другие ограничения):
) во время эксплуатации рабочее избыточное давление в газовом
пространстве должно быть не более 2 кПа (200 мм. вод. ст.), вакуум - не более
0,25 кПа (25 мм вод. ст.);
) предохранительные клапаны должны отрегулированы на давление 2,3
кПа (230 мм. вод. ст.) и вакуум 0,4 кПа (40 мм. вод. ст.);
) на резервуаре с понтоном при огневых предохранителях и
вентиляционных патрубках давление и вакуум не должны быть больше 0,2 кПа (20
мм. вод. ст.) [52].
3.2.2 Пуск и остановка насосов
3.2.2.1 Пуск и остановка центробежных насосов в насосной
Запрещается запускать агрегат при следующих условиях:
) при незаполненном жидкостью насосе;
) без включения приточно-вытяжной вентиляции;
) при попадании нефтепродукта в маслосистему;
) при наличии других технологических нарушений, причины которых не
выяснены.
Запрещается эксплуатировать насосный агрегат при следующих условиях:
) при нарушении герметичности соединений;
) с неисправным обратным клапаном.
При подготовке к пуску насоса следует выполнить следующие операции:
) необходимо залить насос и всасывающую трубу нефтепродуктом;
) проверить, закрыт ли кран манометра.
При пуске насоса в ход когда насос разовьет полное число оборотов, а
манометр покажет соответствующее давление, немедленно следует открыть задвижку
на напорном трубопроводе, приняв оптимальное давление.
Остановка насосов производится следующими операциями:
) медленно закрыть задвижку на напорном трубопроводе, переведя
таким образом насос на холостой ход;
) выключить двигатель;
) закрыть кран у манометра [63].
Аварийная остановка насосного агрегата должна быть осуществлена
оперативным персоналом при:
) угрозе затопления или нарушении герметичности оборудования,
технологических трубопроводов;
) загорании, появления дыма или искрения вращающихся деталей;
) попадании нефтепродукта в маслосистему;
) угрозе несчастного случая [63].
В процессе эксплуатации насосных агрегатов должны периодически отбираться
пробы масла и производиться химический анализ. Периодичность проведения
анализов должна быть установлена не реже одного раза в квартал. Независимо от сроков,
указанных в инструкции завода-изготовителя маслоустановки, масло должно быть
заменено свежим при выявлении одного из признаков:
) обнаружение в нем нефтепродукта;
) содержание воды свыше 0,25 %;
) содержание механических примесей свыше 1,5 %;
) температуре вспышки по Бринкеру ниже 150 0С [13].
3.2.2.2 Пуск насосов на эстакаде при заполнении
горизонтальных резервуаров
Запрещается запускать агрегат при следующих условиях:
) при незаполненном жидкостью насосе;
) работа агрегата с плохой центровкой;
) при закрытой напорной задвижке;
) при наличии других технологических нарушений, причины которых не
выяснены.
Запрещается эксплуатировать насосный агрегат нарушении герметичности
соединений;
При подготовке к пуску насоса следует выполнить следующие операции:
) необходимо залить насос нефтепродуктом;
) направление вращения вала должно совпадать с направлением
стрелки на напорной секции насоса.
При пуске насоса в ход следует выполнить следующие операции:
) включить привод насоса;
) после того, как манометр покажет, что насос создал напор,
постепенно закрывая напорную задвижку, установить рабочий режим;
) не допускать работу насоса в режиме самовсасывания более 5
минут.
Аварийная остановка насосного агрегата должна быть осуществлена
оперативным персоналом при:
) угрозе затопления или нарушении герметичности оборудования,
технологических трубопроводов;
) загорании, появления дыма или искрения вращающихся деталей;
) угрозе несчастного случая.
Периодически, не реже одного раза в неделю, следует проверять показания
приборов, степень нагрева подшипников, состояние и качество смазки, величину
утечки через уплотнения, надежность затяжки крепежных деталей. Не реже одного
раза в три месяца требуется смазывать смазкой с помощью прессшприца через
масленку [43].
В процессе эксплуатации насосных агрегатов должны периодически отбираться
пробы масла и производиться химический анализ. Периодичность проведения
анализов должна быть установлена не реже одного раза в квартал. Независимо от
сроков, указанных в инструкции завода-изготовителя маслоустановки, масло должно
быть заменено свежим при выявлении одного из признаков:
) обнаружение в нем нефтепродукта;
) содержание воды свыше 0,25 %;
) - содержание механических примесей свыше 1,5 %;
) - температуре вспышки по Бринкеру ниже 150 0С.
3.2.2.3 Пуск и остановка насосов при наполнении
автомобильной цистерны
Запрещается запускать агрегат при следующих условиях:
) при незаполненном жидкостью насосе;
) работа агрегата с плохой центровкой;
) при закрытой напорной задвижке;
) при наличии других технологических нарушений, причины которых не
выяснены.
При подготовке к пуску насоса:
) необходимо залить насос нефтепродуктом;
) направление вращения вала должно совпадать с направлением
стрелки на напорной секции насоса.
При пуске насоса в ход следует выполнить следующие операции:
) включить привод насоса;
) после того, как манометр покажет, что насос создал напор,
постепенно закрывая напорную задвижку, установить рабочий режим;
) не допускать работу насоса в режиме самовсасывания более 5
минут.
Жидкость, находящаяся в насосе, нагревается и может произойти
заклинивание рабочих частей, когда насос разовьет полное число оборотов, а
манометр покажет соответствующее давление, медленно открыть задвижку на
напорном трубопроводе, приняв оптимальное давление.
Аварийная остановка насосного агрегата должна быть осуществлена
оперативным персоналом при:
) угрозе затопления или нарушении герметичности оборудования,
технологических трубопроводов;
) загорании, появления дыма или искрения вращающихся деталей;
) угрозе несчастного случая.
Периодически, не реже одного раза в неделю, следует проверять показания
приборов, степень нагрева подшипников, состояние и качество смазки, величину
утечки через уплотнения, надежность затяжки крепежных деталей. Не реже одного
раза в три месяца требуется смазывать смазкой с помощью пресс-шприца через
масленку.
3.2.2.4 Пуск и остановка насосных агрегатов для
заполнения автомобильных цистерн
Запрещается запускать агрегат при следующих условиях:
) работа агрегата с плохой центровкой;
) при закрытой напорной задвижке;
) при наличии других технологических нарушений, причины которых не
выяснены.
Запрещается эксплуатировать насосный агрегат при следующих условиях:
) работа насоса на высоте всасывания более допустимого значения
(что соответствует показанию вакуумметра на входном трубопроводе Рвак=0,58
кг/см2) может вызвать перегрев колец торцового уплотнения;
) работа на закрытую задвижку более двух минут;
) нагрев деталей, резкие колебания стрелок приборов, шум и
вибрация;
) при нарушении герметичности соединений.
При пуске насоса в ход следует выполнить следующие операции:
) открыть задвижку на всасывающем и нагнетательном трубопроводе и
заполнить насос рабочей жидкостью, убедиться, что насос заполнен (при ведении
работ в зимнее время убедиться, что в насосе нет льда);
) закрыть задвижку на нагнетании;
Остановка насосов производится следующими операциями:
) плавно закрыть задвижку на нагнетании;
) выключить электродвигатель;
) закрыть задвижку на всасывании.
Аварийная остановка насосного агрегата должна быть осуществлена
оперативным персоналом при:
) угрозе затопления или нарушении герметичности оборудования,
технологических трубопроводов;
) загорании, появления дыма или искрения вращающихся деталей;
) угрозе несчастного случая.
.2.3 Наполнение и опорожнение резервуаров
Наполнение и опорожнение резервуаров является наиболее ответственными
операциями, которые требуется выполнять с большой осторожностью и соблюдением
специальных правил.
Переполнение и перелив нефтепродуктов из резервуаров (наиболее часто
встречающийся вид аварии) создают опасность возникновения пожаров. Нарушение
герметичности, как самих резервуаров, так и их оборудования (технологических
трубопроводов, задвижек), ведет к созданию аварий.
При небольших повреждениях резервуар отключают от схем технологической
обвязки и оставляют в таком состоянии до расследования комиссией.
Во избежание опасного напряжения в конструкции резервуара должны
применяться меры к предохранению резервуаров от гидравлических ударов,
механических толчков, которые могут передаваться от насосов в случае их
неправильной установки или неправильной эксплуатации.
При эксплуатации резервуаров нельзя допускать вибрации трубопроводов,
соединенных с резервуаром [42].
Действующий резервуар должен выводиться из перекачки только после того,
как полностью будет открыта задвижка для ввода нового резервуара. Заполнение
любых резервуаре должно проводиться до заранее обусловленного уровня,
гарантирующего от перелива нефтепродукта при его расширении от нагрева.
Заполнение резервуара производиться под уровень жидкости снизу, а если к
моменту наполнения резервуар оказался порожним, то его следует заполнять
медленно.
Перед заполнением необходимо:
) проверить исправность дыхательного клапана.
Если по неисправности или другим причинам дыхательный клапан окажется закрытым,
то наполнение резервуара производитель нельзя до устранения неисправности клапана;
) открыть задвижку на приемном патрубке
резервуара.
При заполнении резервуара:
) скорость (производительность) заполнения и
опорожнения резервуара должна строго соответствовать пропускной способности
дыхательного и предохранительного клапанов;
) поступать нефтепродукты должны ниже
находящегося в нем остатка. При заполнении порожнего резервуара нефтепродукты
должны подаваться со скоростью не более 1 м/с до момента заполнения приемного
патрубка или до всплытия понтона (плавающей крыши). Дальнейшее заполнение
резервуара должно производиться со скоростью потока жидкости в подающем
трубопроводе, не превышающей 2,0 м/с [41];
) уровень продукта контролировать: в
вертикальных резервуарах - рулеткой измерительной, в горизонтальных резервуарах
- метрштоком.
Присоединять и отсоединять заземляющий проводник во
время проведения сливо-наливных операций запрещается. Скорость перекачки по
трубопроводам ЛВЖ, ГЖ должна быть ограничена до допустимых нормами пределов. По
окончании каждой операции, связанной с наполнением или опорожнением резервуара,
должны быть закрыты:
) хлопушка, что предотвращает утечки
нефтепродуктов при повреждении резервуарной задвижки или приемо-раздаточной
трубопровода;
) задвижка на приемо-раздаточном патрубке.
После каждого опорожнения и зачистки резервуара
обязательно проверяют исправность правильность действия хлопушки, сальника,
фланцев и прокладок приемно-раздаточного патрубка, задвижки, сифонного крана
[20].
3.3 Технологические трубопроводы
Запроектированная сеть технологических наружных трубопроводов нефтебазы
обеспечивает выполнение следующих операций:
) прием нефтепродуктов из железнодорожных цистерн в резервуары
хранения;
) подачу дизельного топлива на эстакаду налива в ж.д. цистерны;
) подачу нефтепродуктов на станцию налива нефтепродуктов в
автоцистерны;
) внутрибазовые перекачки;
) опорожнение и зачистку трубопроводов и резервуаров.
Для обеспечения необходимых операций по приему нефтепродуктов, подачи
дизельного топлива на эстакаду и выдачу их в автоцистерны проектом
предусматривается двухпроводная схема обвязки резервуаров.
Количество наружных (магистральных труб) принято исходя из номенклатуры
нефтепродуктов (не допуская их смешивания при грузовых операциях).
Технологическая система трубопроводов обеспечивает перекачку
нефтепродуктов с сохранением их качества, а также предусматривает возможность
перекачки по одному трубопроводу нефтепродуктов одной группы, близких по своим
физико-химическим свойствам.
К укладке принимаются трубы бесшовные по ГОСТ 8732-78 и электросварные по
ГОСТ 10704-91 из углеродистых спокойных сталей. Соединения труб в линии - на
сварке, соединение труб с арматурой - фланцевое с паронитовыми прокладками.
Все фланцевые соединения оснащаются двумя стальными перемычками для
создания единой непрерывной электростатической цепи для отвода статического
электричества к заземлителям.
Диаметры трубопроводов принимаются согласно гидравлическим расчетам и
производительности слива из ж.д. цистерн и налива в резервуары ( в соответствии
с производительностью насосного оборудования ).
Прокладка магистральных технологических трубопроводов принимается
надземная за исключением участков прокладки к площадке верхнего налива топлива
в АЦ.
Компенсация температурных удлинений решается за счет углов поворота
трассы, П - образных компенсаторов и неподвижных опор .
Все уклоны трубопроводов выполняются преимущественно в сторону насосной
станции, эстакады, где предусматриваются спускные устройства для опорожнения
трубопроводов при авариях и гидравлических испытаний. Для приема остатков
топлива из трубопроводов предусматривается установка резервуаров аварийного
слива, откуда производится откачка топлива передвижной автоцистерной.
Запорная арматура предусматривается стальная с ручным управлением и с
электроприводами.
Зачистка линий трубопроводов перед ремонтом предусматривается
стационарным или передвижным насосами из линии в линию или в передвижные
емкости.
В состав технологических трубопроводов входят
внутрибазовые нефтепродуктопроводы, соединительные детали трубопроводов,
запорная арматура, фильтры-грязеуловители и другие устройства.
Технологическая схема трубопроводов нефтебазы
предусматривает возможность выполнения всех основных и вспомогательных операций
по перекачке нефтепродуктов (слив-налив, внутрибазовую перекачку, удаление
отстоя, опорожнение и зачистка резервуаров и т.п.), а также возможность
перекачки нефтепродукта из одного резервуара в другой в случае необходимости
или аварии.
Перекачка по одним трубопроводам нефтепродуктов должна
быть выполнена в соответствии с физико-химическими показателями этих
нефтепродуктов по действующим стандартам и техническим условиям.
Перед каждой перекачкой трубопроводы следует тщательно
осматривать, а выявленные дефекты немедленно устранять [45].
При осмотрах необходимо особое внимание обращать на
состояние опор, их исправность и правильное положение труб во избежание
опасного провисания и деформации, могущих вызвать аварии и утечку
нефтепродукта. Компенсаторы, шарнирные соединения должны иметь свободное
движение и обеспечивать герметичность.
Оставлять открытыми задвижки на неработающих
аппаратах, оборудовании или трубопроводах запрещается. Выключенные из
технологической схемы аппараты, оборудование и трубопроводы должны быть
отглушены с записью в журнале установки и снятия заглушек [16].
Во избежание гидравлического удара и аварии
трубопровода задвижки, краны, вентили нужно открывать и закрывать плавно. После
проведения измерений, оперативного переключения или осмотра арматуры и
устройств, расположенных в колодцах, крышки последних следует немедленно
закрывать. Для их открытия и закрытия не допускается применять ломы, трубы и
другие предметы, которые могут вызвать искрообразование или поломку.
В период эксплуатации все технологические трубопроводы
должны подвергаться тщательному осмотру ответственными за их безопасную
эксплуатацию. Срок осмотра устанавливается руководством нефтебазы, но не реже
чем через каждые 12 месяцев.
Осмотр трубопроводов, подверженных вибрации, а также
фундаментов под опоры и эстакады для этих трубопроводов следует проводить не
реже одного раза в квартал. Выявленные при этом дефекты устраняются.
Технологические трубопроводы должны подвергаться
периодической ревизии. Сроки проведения ревизии устанавливает администрация
нефтебазы в зависимости от их износа, срока эксплуатации, результатов предыдущих
осмотров и ревизий, но не реже одного раза в три года для трубопроводов,
транспортирующих нефтепродукты, и не реже одного раза в шесть лет для остальных
[28].
При наружном осмотре проверяется вибрация
трубопроводов, а также состояние:
1) изоляции и покрытий;
2) сварных швов;
) фланцевых и муфтовых соединений, крепежа и
устройств для установки приборов;
) опор;
) компенсирующих устройств;
) дренажных устройств;
) арматуры и ее уплотнений;
) сварных тройниковых соединений, гибов и
отводов.
При внутреннем осмотре проверяют: наличие коррозии, трещин, уменьшение
толщины стенок труб и деталей трубопроводов, прокладок, сварных швов фланцев,
арматуры, а также сопрягающихся поверхностей фланцев и арматуры.
Результаты осмотра оформляют актом. Все обнаруженные дефекты должны быть
устранены с соблюдением необходимых мер по охране труда и требований к ведению
огневых работ.
Прочность технологических трубопроводов проверяют гидравлическими
испытаниями не реже одного раза в три года. Кроме того, испытания проводят после
монтажа, ремонта, связанного со сваркой, после консервации или простоя более
одного года, после разборки, связанной с единичной заменой прокладок арматуры
или элемента трубопровода.
Давление испытания стальных трубопроводов устанавливается:
) при рабочем давлении до 0,5 МПа - 1,5 Рраб, но не
менее 0,2 МПа;
) при рабочем давлении выше 0,5 МПа - 1,25 Рраб, но не
менее Рраб + 0,3 МПа.
Трубопровод выдерживают под указанным давлением в течение пяти мин, после
чего давление снижают до рабочего.
Результаты считают удовлетворительными, если во время испытания не
произошли падения давления по манометру, а в сварных швах, фланцевых
соединениях и сальниках не обнаружены течи и отпотины.
На технологические трубопроводы, по которым транспортируются
легковоспламеняющиеся жидкости (бензин, керосин), должны быть составлены
паспорта, на остальные технологические трубопроводы должны быть заведены
эксплуатационные журналы, в которых должны отражаться даты и данные о
проведенных ревизиях и ремонте [45].
3.4 Наполнение автомобильных цистерн нефтепродуктами
Площадка для налива автомобильных цистерн светлыми
нефтепродуктами нефтебаза пос. Кремово Михайловского района оборудована постами
налива и наливными устройствами и объединена по группам нефтепродуктов:
1-й пост налива - стояк для налива автоцистерн ДТз,
ДТл;
2-й пост налива - стояк для налива автоцистерн бензина
марки АИ-92,; р
я?;
3-й пост налива - стояк для налива бензина марки
АИ-92, i .-
4-й пост налива - стояк для налива ДТл., стояк для
налива ДТз.
Посты налива оборудуются установками налива с местным
и автоматизированным управлениями из помещения пункта управления (операторной).
Автомобили, ожидающие наполнения, должны находиться
при въезде на территорию вне зоны расположения резервуаров и пунктов налива.
Соединительные трубопроводы от раздаточных резервуаров до наливных устройств
раздельные для каждой марки нефтепродукта, отгружаемого в автомобильные
цистерны. Последовательная перекачка по ним не допускается [32].
Оператор налива перед наливом в цистерну легковоспламеняющегося
нефтепродукта проверяет исправность искрогасителя на автомобильной цистерне,
заземляющего устройства, наличие двух огнетушителей, ящика с сухим песком и
лопаты [45]. Неисправные и неукомплектованные пожарным инвентарем автоцистерны
к наливу нефтепродуктом не допускаются. Перед наливом должна быть проверена
правильность открытия всех переключающихся задвижек, вентилей, а также
исправность всех наливных устройств, плотность соединения шарнирно-соединённых
труб. Обнаруженная утечка нефтепродукта на наливных устройствах должна быть
немедленно устранена. При невозможности быстрого устранения утечки
нефтепродуктов необходимо стояк или секцию, где обнаружена неисправность,
отключить до полного устранения течи. Налив автоцистерн нефтепродуктами во
время грозы запрещается [48].
Налив нефтепродуктов в автоцистерны осуществляется при неработающем
двигателе [41]. Допускается налив при работающем двигателе в условиях
отрицательных температур.
Площадки для налива автоцистерн следует в зимнее время очищать от снега,
льда и посыпать песком. Наледи, образовавшиеся на оборудовании, на площадках с
наливными устройствами и металлоконструкциях, должны своевременно удаляться
[48].
До начала налива водитель: проходит инструктаж;
отключает двигатель; подсоединяет автоцистерну к заземлителю. Водитель обязан
производить налив в хлопчатобумажной спецодежде. Инструмент, применяемый при
наливе, должен быть изготовлен материала, не дающего искру. Автоцистерна,
стоящая под наливом, в течение всего времени заполнения должна быть присоединена
к заземляющему устройству цепью 100-200 мм [41].
Налив автоцистерны для снижения интенсивности
накапливания электрических зарядов должен производиться спокойно, ровной струёй
без разбрызгивания, распыления или бурного перемешивания, для чего конец шланга
трубы должен быть опущен до конца цистерны. Рукава на концах должны иметь
наконечники, изготовленные из металла, исключающего возможность
искрообразования при ударе, и быть заземлены.
Расстояние от конца загрузочной трубы до конца
приёмного сосуда не должна превышать 200 мм, а если это не возможно, то струя
должна быть направлена вдоль стенки.
Для предотвращения гидравлических ударов и проявлений
статического электричества при наливе автоцистерн требуется обеспечить подачу
нефтепродукта с пониженной производительностью в начальной и завершающей
стадиях налива.
Количество отпускаемого в автоцистерну нефтепродукта следует определять
по номинальной вместимости цистерн (по планку) [56].
Шланги наливных стояков можно вынимать из горловины люков цистерны только
после полного слива из них нефтепродуктов. По окончании налива шланги, стояки
должны быть освобождены от остатков нефтепродуктов и возвращены в гаражное
положение [48].
Крышки люков цистерны после налива должны быть
осторожно, без удара герметично закрыты [56].
Если при наливе нефтепродукта в автоцистерну допущен
его разлив, то запуск двигателя запрещается. В этом случае автоцистерна должна
быть отбуксирована на безопасное расстояние с помощью троса или штанги.
В целях предотвращения загрязнения окружающей среды
наливные устройства имеют дренажную систему с каплеуловителем для возможного
слива остатка нефтепродуктов из наливных устройств после окончания операций
налива.
Для обеспечения правильного пользования системами налива водители
автоцистерн должны пройти на станции налива инструктаж [48].
.5 Система планово-предупредительных ремонтов оборудования
предприятий по обеспечению нефтепродуктами
.5.1 Основные положения о планово-предупредительном ремонте
оборудования
Система планово-предупредительного ремонта оборудования (ППР)
представляет собой комплекс организационно-технических мероприятий по уходу за
оборудованием, его осмотру, обслуживанию и ремонту, проводимых периодически по
заранее составленному плану, в целях поддержания оборудования в работоспособном
состоянии и предупреждения неожиданного выхода его из строя.
Основные задачи планово-предупредительного ремонта оборудования:
1) поддержание оборудования в работоспособном состоянии в течение
всего срока его службы;
2) повышение культуры эксплуатации и технического ухода за
оборудованием;
) увеличение сроков службы деталей и механизмов с целью сокращения
) объема плановых работ;
) снижение трудоемкости ремонтных работ и повышение их качества
путем совершенствования технологии ремонта;
) повышение ремонтопригодности машин, выявление и устранение
конструктивных особенностей;
) применение наиболее совершенных форм организации.
В системе планово-предупредительного ремонта оборудования приняты
следующие понятия и определения:
) ремонтный цикл - период работы оборудования между двумя
капитальными ремонтами (для оборудования, находящегося в эксплуатации); период
работы оборудования от начала ввода его в эксплуатацию до первого капитального
ремонта (для вновь установленного оборудования);
2) межремонтный период - период работы оборудования между двумя
очередными плановыми ремонтами;
3) межосмотровой период - период работы
оборудования между двумя
) очередными осмотрами или между очередным
плановым ремонтом и осмотром;
) структура ремонтного цикла - порядок
чередования всех видов ремонта в период между двумя капитальными ремонтами
[30].
Если простой оборудования, в связи с ремонтом, совпадает с его простоем
по другим причинам, то ремонтным периодом считается всё время, непосредственно
затраченное на ремонт, независимо оттого, что оно частично или полностью
покрывается или перекрывается простоем по другим причинам.
При внедрении системы ПИР осуществляются следующие
организационно-технические мероприятия:
1) инвентаризация (учёт) оборудования, подлежащего
ППР;
2) паспортизация оборудования с определением его
технического
3) состояния;
4) определение видов ремонтных работ и их описание;
5) определение продолжительности ремонтных циклов,
межремонтных периодов, структуры ремонтного цикла для разного вида оборудования
категории сложности ремонта;
6) организация систематического учёта работы
оборудования, расхода запасных частей и материалов на эксплуатацию и ремонт;
7) создание резерва запасных частей и узлов машин,
организация их пополнения, хранения, учета;
8) обеспечение рабочими чертежами, техническими
условиями, нормативами и технологической документацией, необходимыми для
проведения ремонтных работ;
9) внедрение прогрессивной технологии ремонта с
использованием упрочняющих и восстановительных процессов;
10) ознакомление обслуживающего персонала с
основными правилами эксплуатации оборудования;
) организация систематического повышения
квалификации и проверки знаний персонала, обслуживающего оборудование и
производящего его ремонт;
) организация контроля за качеством проведения
ремонта и правильностью эксплуатации оборудования;
организация ремонтного хозяйства (ремонтных цехов,
баз, бригад).
Межремонтное обслуживание оборудования является профилактической
операцией, осуществляемой периодически с целью предотвращения преждевременного
износа или поломки деталей и узлов. Правильная организация межремонтного
обслуживания увеличивает продолжительность межремонтного периода, сокращает
продолжительность плановых ремонтов и удешевляет их. Межремонтное обслуживание
выполняют рабочие, обслуживающие агрегаты, и дежурные, работники ремонтной
службы. Рабочий, работающий на оборудовании, также участвуем в межремонтном
обслуживании: он ведёт наблюдение за тем, чтобы оборудование находилось в
рабочем состоянии, особенно механизмы управления ограждения, смазочные
устройства, устраняет мелкие неисправности и производит своевременную уборку
оборудования.
Межремонтное обслуживание предусматривает:
1) своевременную уборку оборудования (очистку от
пыли и грязи);
2) тщательный осмотр и проверку состояния
оборудования, особенно механизмов управления, смазочных устройств,
маслопроводов, системы охлаждения, уплотнений, контрольных приборов и
ограждений, а также устранение мелких дефектов;
) устранение дефектов, записанных в журнале
приёма и сдачи смен; проверку наличия и состояния доступных для осмотра
деталей, шпоночных соединении и упорных колец;
) проверку привода (работоспособности
двигателя), а также степени натяжения и состояния ременных передач, цепей,
канатов.
Операции межремонтного обслуживания выполняют, не
нарушая процесса производства. Производят их во время перерывов в работе
оборудования, между сменами и во время других технологических простоев.
Межремонтный период работы оборудования является технико-экономическим
показателем. Увеличение продолжительности межремонтных периодов должно быть
экономически оправдано и подкреплено повышением надёжности и износостойкости
отдельных деталей, механизмов и оборудования в целом. Для повышения надежности
и долговечности оборудования, необходимо изучать факторы, влияющие на срок
службы сопряжений, узлов и оборудования, а такие располагать данными о
допустимых износах ответственных элементов механизмов. По степени
восстановления ресурса оборудования, плановый ремонт монет быть текущим,
средним, капитальным.
Текущий ремонт (малый) - вид планового ремонта, при
котором заменой или восстановлением небольшого количества изношенных деталей и
регулированием отдельных узлов обеспечивается нормальная работа оборудования до
очередного планового ремонта.
Средний ремонт - вид планового ремонта, при котором
оборудование частично разбирают. При среднем ремонте заменяют или
восстанавливают изношенные детали и узлы, а также выверяют координаты с целью
восстановления точности, предусмотренной ГОСТ или техническими условиями. После
разборки оборудования составляют ведомость дефектов, которая является основным
документом для определения объёма ремонта. При этом учитываются записи в
журнале учёта проведения профилактических работ по оборудованию и в описи
технического состояния оборудования. После среднего ремонта оборудование
проверяют на холостом ходу и под нагрузкой. О выполнении ремонтных работ делают
соответствующую запись в паспорте оборудования и в журнале учёта ремонтов.
Капитальный ремонт - наибольший по объёму вид
планового ремонта, при котором оборудование полностью разбирают. При
капитальном ремонте заменяют или восстанавливают все изношенные детали и узлы и
выверяют координаты с целью восстановления точности, мощности и
производительности оборудования, предусмотренных ГОСТ или техническими
условиями. Объём работ при капитальном ремонте определяют так же, как и при
среднем ремонте. После капитального ремонта оборудование проверяют на холостом
ходу и под нагрузкой. При капитальном и среднем ремонтах оборудование может
быть модернизировано.
Внеплановый ремонт - ремонт оборудования, вызванный
аварией. При хорошо организованной на предприятии системе ППР и систематическом
улучшении ухода за оборудованием, а также при его правильной эксплуатации,
внеплановые простои оборудования можно сократить до минимума или вовсе
избавиться от них.
Оптимальный и экономически выгодный ремонт оборудования - выполняемый
агрегатно-узловым методом, суть которого заключается в том, что отказавшие или
достигшие предотказного состояния узлы основного оборудования заменяются
запасными новыми или восстановленными заранее в ремонтных подразделениях
нефтебаз (механических мастерских, ремонтных цехах и др.), вспомогательное
оборудование - поагрегатно, а блоки систем автоматики заменяются полностью.
Демонтированные узлы, блоки и агрегаты доставляются в ремонтные подразделения
нефтебаз, где они подвергаются полной разборке, дефектовке, замене или
восстановлению, проверяются и подготавливаются для использования при ремонте
однотипного оборудования.
3.5.2 Положение по организации и проведению
планово-предупредительных ремонтов оборудования нефтебаз
Работы системы ППР оборудования выполняются в плановом порядке
хозяйственным и подрядным способом. Современное и качественное выполнение работ
по техническому обслуживанию и ремонту оборудования достигается соответствующей
подготовкой производства работ, включающей:
1) организационную подготовку производства работ;
) обеспечение эксплуатационной и ремонтной
документацией;
) технологическую подготовку ремонта
оборудования;
) организацию материально-технического
обеспечения работ необходимыми запасными частями и материалами; контроль
качества исполнения работ системы ППР.
.5.3 Материально - техническое обеспечение
Материально-техническое обеспечение производства работ системы ППР
предусматривает обеспечение ремонтных подразделений материалами, запасными
частями т оборудованием, а также порядок создания оборотного фонда. Обеспечение
ремонтного производства материалами, запасными частями и оборудование осуществляется
на основании утвержденной проектно-сметной документации на ремонт, графиков ППР
и единичных заказов на производство работ текущего ремонта, технического
обслуживания и изготовления запасных частей и деталей.
Материально-техническое обеспечение ремонтных работ по графикам ППР,
изготовления запасных частей осуществляется по заявкам на материалы и
оборудование, составленными структурными подразделениями нефтебазы на квартал,
подписанным начальником подразделения - заказчика, начальником ремонтного
подразделения и утвержденным главным инженером нефтебазы. Отпуск материалов со
складов ремонтным подразделениям производится в подотчет. Израсходованные
материалы списываются по расходным требованиям на выполненные работы. Расходные
требования после выполнения работ вместе с заказами должны сдаваться
исполнителями работ в планово-производственный отдел, занимающийся проверкой,
регистрацией и составлением калькуляции, для отнесения расходов на шифр
постоянного заказа подразделения - заказчика.
Создание оборотного фонда запасных частей и сменного оборудования
является основной задачей подготовки централизованного ремонта оборудования.
Оборотный фонд должен включать запасные части и сменное оборудование
установленной номенклатуры в объеме, необходимом для обеспечения своевременного
проведения ремонта.
Оборотный фонд должен создаваться в пределах общего лимита,
установленного предприятию, за счет отремонтированных сборочных единиц и
деталей списанного оборудования, изготовленных собственными силам запасных частей,
а также запасных частей и сменного оборудования, полученного по фондам.
.5.4 Оценка качества ремонтных работ
Оценка качества ремонтных работ осуществляется мастером (старшим
оператором) ремонтного подразделения при закрытии рабочих нарядов, инженером
соответствующей службы подразделения-заказчика при приемке отремонтированного
оборудования или выполненных работ и отражается в акте приема-сдачи. Оценка
качества ремонтных работ производится исходя из необходимости выполнения
требований эксплуатационной и ремонтной документации, а также другой
обязательной нормативно-технической документации.
Ответственность за организацию и своевременность проведения ППР несет
главный инженер нефтебазы или инженерно-технический работник, замещающий его.
Ответственность за качество ремонта и технического обслуживания оборудования
несет инженерно-технический работник, в должностной инструкции которого или
приказом, предусмотрено выполнение этих работ. Обслуживающий и ремонтный
персонал нефтебазы должен знать и строго соблюдать: правила технической
эксплуатации нефтебаз; порядок ведения технической документации и оформления
работ; правила технической эксплуатации электроустановок потребителей; правила
технической эксплуатации резервуаров и инструкции по их ремонту; инструкции
заводов-изготовителей по эксплуатации и ремонту оборудования.
.5.5 Планирование и учет работ по техническому обслуживанию и
ремонту оборудования нефтебаз
Планирование ППР имеет целью обеспечение надежного функционирования
объектов нефтебазы при заданном ремонтном потенциале предприятий.
Основой планирования и производства ремонтных работ
является составление годового плана-графика ППР оборудования, машин и
сооружений нефтебазы. Он разрабатывается за 2 месяца до начала года на каждый
вид оборудования на основании данных учета работы и ремонта агрегатов. В нем
указывается: структура ремонтного цикла (число технического обслуживания и
ремонтов за ремонтный цикл), межремонтный период работы оборудования и
периодичность технического обслуживания.
Годовой план-график ППР составляется на механо-технологическое,
электротехническое оборудование и КИП инженерно-техническими работниками,
ответственными за техническое состояние оборудования.
План-график ППР составляется в двух экземплярах, один из которых, после
утверждения главным инженером нефтебазы или ИТР, заменяющим его, направляется в
ремонтное подразделение.
Источниками информации, необходимой для формирования план-графика ППР,
являются формы первичного учета работы и ремонтов оборудования, правила
технической эксплуатации и настоящий документ, регламентирующий периодичность
технического обслуживания и межремонтные периоды оборудования, определяющие
количество технического обслуживания и ремонтов каждого вида.
На основании годового плана-графика ППР разрабатывается и утверждается
месячный план-отчет ППР, служащий одновременно месячным планом работы и
отчетным документом ремонтного подразделения (участка, цеха) нефтебазы.
Утвержденный месячный план-отчет ППР оборудования доводится до исполнителей не
позднее, чем за 5 дней до начала планируемого месяца и является для них
планом-заданием. Лицо, ответственное за техническое состояние оборудования,
ежеквартально представляет в соответствующий отдел отчет о выполнении плана
капитального ремонта.
Планирование ППР основывается на четкой организации учета работы
оборудования и всех видов его ремонтного обслуживания. Для этого на каждой
нефтебазе ведутся журналы учета работы и ремонтов оборудования.
.5.6 Порядок сдачи в ремонт оборудования и приемки из ремонта
Основанием для передачи оборудования в ремонт являются утвержденные
годовые план-графики ППР и месячные планы работы ремонтных подразделений
нефтебазы. Остановка оборудования для проведения ППР производится с разрешения
главного инженера нефтебазы.
Если оборудование к моменту его остановки на ремонт находится в хорошем
состоянии, начальник цеха (участка) составляет акт осмотра, который
утверждается главным инженером нефтебазы, и ремонт переносится на ближайший
срок очередного планового ремонта. Состояние оборудования считается хорошим,
если за оборудованием осуществляется систематический уход, если оно правильно
отрегулировано и содержится в чистоте. Оборудование перед остановкой на ремонт
должно быть очищено от пыли, грязи, освобождено от нефтепродукта. Площадка около
ремонтируемого агрегата должна быть освобождена от посторонних предметов и
тщательно убрана.
При сдаче в ремонт вместе с оборудованием передается следующая
документация: технический паспорт; наряд-допуск ответственному руководителю
работ; акт сдачи оборудования в ремонт.
По окончании ремонта и предварительной проверки качества ремонта
ответственный ремонтной группы предъявляет оборудование начальнику цеха и
рабочему, работающему на данном оборудовании. Приемо-сдаточный акт составляется
после испытательного срока оборудования, а именно: после восьми часов для
малого ремонта, шестнадцати часов для среднего и двадцати четырех часов для
капитального ремонта [31].
Если состояние оборудования после ремонта не соответствует установленным
требованиям, его не принимают, и ремонтная бригада, допустившая
недоброкачественный ремонт, обязана устранить дефекты, обнаруженные при
приемке, без дополнительной оплаты. Запрещается принимать и пускать в
эксплуатацию недоброкачественно отремонтированное оборудование.
Вводимые в эксплуатацию после капитального ремонта насосы,
электрооборудование, заземляющие устройства подвергаются приемо-сдаточным
испытаниям.
Все работы, выполненные при капитальном ремонте основного
технологического и электрооборудования, принимаются по акту, к которому
прикладывается паспорт оборудования с пометкой о проведении ремонта. Акты со
всеми приложениями хранятся в паспортах оборудования.
О работах, выполненных при капитальном ремонте остального оборудования и
аппаратуры, исполнители работ делают подробную запись в паспорте оборудования,
а при техническом обслуживании, текущих и неплановых ремонтах - в журнале учета
работ по ППР и отказов.
3.5.7 Нормы простоя оборудования в ремонте
Продолжительность простоя оборудования в ремонте зависит от вида ремонта,
категории сложности ремонта ремонтируемого оборудования, состава ремонтной
бригады, технологии ремонта и организационно-технических условий выполнения
ремонтных работ.
Предусматривается, что служба главного инженера нефтебазы осуществляет
организационно-технические мероприятия, обеспечивающие сокращение простоев
оборудования в ремонте.
К таким мероприятиям относятся:
) оснащение рабочего места соответствующим инструментом,
приспособлениями, подъемно-транспортными устройствами и т.д.;
) своевременная подготовка ведомости дефектов;
) обеспечение материалами, запасными деталями и узлами, а также
техническими условиями на ремонт отдельных узлов и приемку оборудования;
) составление технологии ремонта оборудования и узлов с указанием
применения соответствующих средств механизации;
) широкое применение механизации трудоемких ручных работ, узлового
и рассредоточено-поузлового ремонта.
Время нахождения оборудования в ремонте исчисляется с момента остановки
оборудования на ремонт до момента его приемки по акту. Эксплуатационные
испытания оборудования после его ремонта в простой не засчитывается, если
оборудование в процессе испытания работало нормально. Простой из-за ремонта
электротехнического оборудования при производстве малых, средних и капитальных
ремонтов, как правило, не планируются, так как эти ремонты должны проводиться
одновременно с механическим оборудованием. Если электрооборудование работает в
две смены и необходимый ремонт произвести в выходные дни и межсменные перерывы
невозможно, следует планировать простои оборудования из-за ремонта по его
электротехнической части [32].
4. научная часть. Дифференцированный подход к определению
расстояний между резервуарами на складах нефти и нефтепродуктов
Растущая мировая потребность в углеводородном сырье, а так же
социально-экономическая ситуация в нашей стране, заставляют нефтегазовую
отрасль оставаться определяющей, в структуре экономики государства. Увеличение
спроса на нефть и продукты её переработки, приводит к появлению новых и
укрупнению существующих нефтебаз и складов нефтепродуктов. Благодаря
совершенствованию систем противопожарной защиты и ужесточение требований
пожарной безопасности, отмечается тенденция к снижению общего числа пожаров на
данной категории объектов (рисунок 6). Вместе с тем, последствия от пожаров на
них, остаются одними из самых тяжелых. Средний материальный ущерб от одного
пожара на складе нефти и нефтепродуктов, равен материальному ущербу
приблизительно 57 пожаров, происходящих в других отраслях, несвязанных с
рассматриваемой категорией объектов. Ущерб только от четырех пожаров,
произошедших за 2011 год на объектах ОАО "Газпром нефть" составил
106856 тысяч рублей [61].
Рисунок 6 - Статистические данные по распределению числа пожаров на
объектах хранения нефтепродуктов
По степени развития, пожары на складах нефти и нефтепродуктов,
подразделяются на три группе [52].
К первой, относятся пожары, возникновение и развитие которых протекает в
пределах одного резервуара, что характерно для 78 % зарегистрированных пожаров.
Ко второй - пожары, при которых происходит распространение горения с
одного резервуара на соседние, расположенные в пределах резервуарной группы. На
долю таких пожаров приходится до 15 % от всего числа пожаров.
Развитие пожаров третьей группы сопряжено с разрушением смежных
резервуаров, распространением огня на здания и сооружения, расположенные на
территории предприятия и за его пределами, а также поражением опасными,
факторами пожара персонала предприятия и населения близлежащих районов. Развитие
такого варианта пожара отмечено в 6% случаях.
В соответствии с «Техническим регламентом о требованиях пожарной
безопасности», понятие «пожарная безопасность объекта защиты»подразумевает
состояние объекта, характеризуемое в первую очередь возможностью предотвращения
возникновения и развития пожара [16].
Шестая статья технического регламента, в редакции Федерального Закона N
117-ФЗ от 10 июля 2012 года, гласит:
Пожарная безопасность объекта защиты считается обеспеченной при
выполнении одного из следующих условий:
) в полном объеме выполнены требования пожарной безопасности,
установленные техническими регламентами, принятыми в соответствии с Федеральным
законом "О техническом регулировании", и пожарный риск не превышает
допустимых значений, установленных настоящим Федеральным законом;
) в полном объеме выполнены требования пожарной безопасности,
установленные техническими регламентами, принятыми в соответствии с Федеральным
законом "О техническом регулировании, и нормативными документами по
пожарной безопасности".
В соответствии со статьей 4, того же Федерального Закона [16], к
нормативным документам по пожарной безопасности относятся в том числе
национальные стандарты и своды правил, содержащие требования пожарной
безопасности. Выполнение полного комплекса мероприятий, изложенных в этих
документах, подразумевает безусловное обеспечение требуемого уровня пожарной
безопасности объекта защиты и не требует подтверждения путем определения
расчетных величин пожарного риска.
Мероприятия, направленные на предупреждение распространения пожаров в
резервуарном парке изложены в Своде правил СП 4.13130.2009 «Системы
противопожарной защиты. Ограничение распространения пожара на объектах защиты.
Требования к объемно-планировочным и конструктивным решениям» [16].
К числу технических решений, позволяющих снизить опасность
распространения пожара с горящего резервуара на соседние с ним, относится
обеспечение минимальных расстояний между стенками резервуаров, располагаемых в
одной группе, которые следует принимать в соответствии с таблицей 18.
Представленные в СП [16] требования, не являются предлагаемыми вновь, и
ранее были изложены в СНиП 2.11.03-93 «Склады нефти и нефтепродуктов.
Противопожарные нормы» [12].
Как видно из таблицы 17, выбор расстояний осуществляется исходя из типа
резервуара и его номинального объема. Вид хранимого нефтепродукта, его
показатели пожарной опасности не оказывают влияние на значение минимально
допустимого расстояния.
Данный подход к предотвращению распространения пожаров в группе является
достаточно спорным. Опыт пожаров показал, что соблюдение нормативных расстояний
между резервуарами не исключает возможности каскадного развития пожара и в
недостаточной степени обеспечивает пожарную безопасность объекта защиты.
Таблица 17- Требования к минимальным расстояниям между резервуарами в
группе
|
Резервуары
|
Единичный номинальный объем резервуаров устанавливаемых в
группе, м
|
Вид хранимых нефти и нефтепродуктов
|
Минимальное расстояние между резервуарами, располагаемыми в
одной группе
|
|
1.С плавающей крышей
|
50 000 и более
|
Независимо от вида жидкости
|
30 метров
|
|
Менее 50 000
|
То же
|
0,5Д, но не более 30 метров
|
|
2. С понтоном
|
50 000
|
То же
|
30м
|
|
Менее 50 000
|
То же
|
0,65Д, но не более 30 метров
|
|
З.Со стационарной крышей
|
50 000 и менее
|
Нефть и нефтепродукты с температурой вспышки выше45°С
|
0,75Д, но не более 30 метров
|
|
50 000 и менее
|
То же, с температурой вспышки 45°С и ниже
|
0,75Д, но не более 30 метров
|
Помимо геометрических характеристик резервуаров на характер горения
оказывают влияние массовая скорость выгорания нефтепродукта mВЬ1Г которая составляет для бензина 0,06
кг с-1 м-2, а для дизельного топлива 0,04 кг с-1
м-2 .Для различных нефтепродуктов, с увеличением теплоты сгорания
массовая скорость горения уменьшается.
Параметры факела пламени над поверхностью резервуара при горении
различных нефтепродуктов значительно отличаются, для бензина она составляется
около 1,5 диаметров резервуара dp, а для дизельного топлива не превышает диаметра резервуара [50].
Существенное влияние на процесс горения нефтепродуктов оказывает обдув
свободной поверхности параллельным ей потоком воздуха. На основе теоретических
исследований и результатов экспериментов было установлено, что увеличение
скорости обдува приводит к уменьшению высоты факела и его отклонению от
вертикали на угол Ɵ, а скорость выгорания нефтепродукта в резервуаре
увеличивается за счет интенсификации процесса смешивания горючего и окислителя,
повышения температуры пламени и уменьшения расстояния от пламени до поверхности
нефтепродукта [50].
На условия распространения пожара так же влияют температурные условия
хранения нефтепродукта, а так же показатели его пожарной опасности, в частности
температура самовоспламенения и концентрационные пределы распространения
пламени.
Как было ранее установлено, опасность распространения пожара в группе в
значительной степени обуславливается природно-климатическими условиями
местности, к числу которых относятся температура окружающего воздуха,
направление и скорость ветра. Исследования зависимости вероятности
распространения пожара от вышеуказанных факторов показали, что опасность такого
развития пожара зависит от повторяемости направлений ветра и неодинакова по
различным направлениям (рисунок 7)
Рисунок 7- Пример зоны потенциальной опасности распространения пожара на
смежный резервуар
Наиболее эффективным, является размещение резервуаров вдоль оси
характеризующейся наименьшей вероятностью распространения пожара.
Однако, при большом количестве резервуаров в группе, однорядное их
размещение зачастую не целесообразно. В связи с чем, актуальным является
использование дифференцированного подхода к выбору расстояний между
резервуарами в группе, при котором вероятность распространения пожара по любому
из направлений будет одинаковой и составлять минимальную величину.
Для удобства размещения резервуаров на плане необходимо построить эпюру
(рисунок 8), центром которой является предполагаемый центр резервуара, а вдоль
осей, соответствующих направлениям географических широт откладываются отрезки,
длиной l равной:
Для определения условий безопасного размещения резервуаров в группе, в
качестве предпосылки принято, что абсолютная величина вероятности
распространения пожара на соседний резервуар, при реализации любого из
комплекса внешних условий (температура + скорость ветра) не превышает верхней
допустимой границы для редких условий и удовлетворяет выражению (3).
Рисунок 8 - Эпюра границ безопасного расстояния между резервуарами
Под значением q,l, понимается интенсивность теплового излучения
от факела пламени над поверхностью горящего резервуара при заданной скорости
ветрам на расстоянии l м, aqKp - минимальная интенсивность
падающего теплового потока на не горящий резервуар, при которой возможен
прогрев одного из элементов конструкции до температуры самовоспламенение паров
нефтепродукта. При определении значения qKp используются интервалы значений
температуры окружающего воздуха, при которых наблюдается реализация ветра
заданной скорости, для чего используются данные о повторяемости сочетаний
температуры воздуха и скорости ветра в районе расположения объекта. Поскольку
значение вероятность Qm3feap определяется по статистическим данным и равняется 9,0 -10"5,
а значение Qu зависит только от внешних условий и
определяется путем обработки результатов климатических наблюдений, неизвестной
величиной, характеризующей опасность распространения пожара является Qt u при которой обеспечивается условие q > qKp.
Общая зависимость вероятности распространения пожара на смежный резервуар
при различных скоростях ветра п представлена в виде системы:
Общая зависимость вероятности распространения пожара на смежный резервуар
при различных скоростях ветра п представлена в виде системы:
, (18)
Для решения данной системы уравнений необходимо определение зависимости Qt u = f(u), которая в
каждом случае будет уникальной, поскольку характеризует климатические условия
конкретной местности.
Проведенные исследования показали, что основной величиной, определяющей
безопасное расстояние между резервуарами в группе, является вероятность
реализации ветра, с той или иной скоростью.
Для определения безопасного варианта размещения резервуаров в группе,
предлагается использование расчетной скорости ветра ирасч, при
которой обеспечивается минимальное значение (qраСпр. > О)
, (19)
где: Qu~ повторяемость значений скорости
ветра в заданном направлении; щ- скорость ветра, м/с
Изучение зависимости величины безопасного расстояния от резервуара от
расчетной скорости ветра показало, что изменение значения l, пропорционально натуральному
логарифму скорости ветра (рисунок 9).
Рисунок 9 - Зависимость расстояния l от расчетной скорости ветра
Из вышеизложенного следует, что для определения схемы размещения
резервуаров в группе, достаточно расчетным путем определить наименьшие
расстояния l по направлениям, характеризующимся
минимальными и максимальными значения ирасч которых обеспечивается
условия qф > qKp при наибольшем значении tl характерном для заданной скорости ветра.
Значения l по иным
направлениям могут быть определены пропорционально величине ирасч по
выражению:
, (20)
где: lmin и lmax -расстояния, соответствующие
минимальному и максимальному значениям ирасч соответственно, м.
Полученные расчетные значения I используются для построения эпюры границ
безопасного расстояния между резервуарами (рисунок 5).
Результаты, оценки вероятности распространения пожара в группе
резервуаров при использовании предложенного метода и выполнении требований
нормативных документов по пожарной безопасности представлены на рисунке 10,11.
Рисунок 10 - Границы безопасного расстояния от центра резервуара до
стенки соседнего
Рисунок 11 - Сравнительная диаграмма оценки вероятности распространения
пожара в группе резервуаров: 1 - предполагаемый вариант размещения, 2 -
фактическое размещение, соответствующее нормативным требованиям
Вывод:
Предлагаемый подход к выбору расстояний между резервуарами в группе,
позволяет более полно учесть совокупность факторов, влияющих на характер
опасность распространения пожара между резервуарами в группе. Сравнительная
оценка эффективности его реализации показывает, что использование
дифференцированных расстояний между резервуарами в группе, позволяет
значительно снизить вероятность каскадного развития пожара при сохранении
оптимальной площади размещения.
трубопровод нефтепродукт резервуар гидравлический
5. Безопасность жизнедеятельности
.1 Анализ опасных и вредных производственных факторов в
соответствии с ГОСТ 12.0.003-99 и мероприятия по их предупреждению
Нефтебазы - сложные многофункциональные системы с объектами различного
производственного назначения, обеспечивающие хранение, прием и отпуск
нефтепродуктов, многие из которых токсичны, имеют низкую теплоту испарения,
способны электризоваться, пожаро- и взрывоопасны. В связи с этим работающие на
нефтебазах могут быть подвержены воздействию различных физических и химических
опасных и вредных производственных факторов.
Опасные и вредные производственные факторы подразделяются по природе
действия на следующие группы:
) физические;
) химические;
) биологические;
) психофизиологические.
. Физические:
Движущиеся машины и механизмы (экскаваторы, автокраны, бульдозеры,
грузовые автомобили); незащищенные подвижные части производственного
оборудования, передвигающиеся изделия, заготовки, материалы - при производстве
погрузо-разгрузочных, монтажных работ; разрушающиеся конструкции;
обрушивающееся земляное полотно - при производстве земляных работ;
Мероприятия:
опасные зоны ограждаются сигнальными и защитно-охранными ограждениями
ГОСТ 23407-78 (пересмотрен 20.07.2010);
применяются знаковые и другие виды сигнализации в соответствии с 5 ГОСТ Р
12.4.026-01 при перемещении грузов подъемно-транспортным оборудованием,
правильно размещаются и укладываются грузы в местах производства работ;
строповка груза производится инвентарными стропами, страховка
крупногабаритных грузов производится за специальные устройства, строповочные
узлы или обозначенные места в зависимости от положения центра тяжести и массы
груза ГОСТ 26653-90 (пересмотрен 19.04.2010);
при перемещении груза подъёмно-транспортным оборудованием нахождение
рабочих на грузе и в зоне его возможного падения не допускается по ГОСТ
12.3.020-80* (пересмотрен 19.07.2010);
погрузочно-разгрузочные работы должны производиться механизированными
способами с соблюдением требований «Правил устройства и безопасной эксплуатации
грузоподъёмных кранов» ПБ-382-00, утверждённых Госгортехнадзором РФ;
погрузочно-разгрузочные работы следует выполнять под руководством лица
(мастера), имеющего удостоверение на право производства работ и отвечающего за
безопасное перемещение грузов грузоподъёмными машинами ГОСТ 12.3.020-80*
(пересмотрен 19. 07.2010);
площадки для погрузочных и разгрузочных работ должны быть спланированы и
иметь уклон не более 2 градусов ГОСТ 12.3.020-80* (пересмотрен 19. 07.2010);
запрещается подъём элементов строительных конструкций, не имеющих
монтажных петель, отверстий или маркировки и меток, обеспечивающих их
правильную строповку и монтаж ГОСТ 12.3.020-80* (пересмотрен 19.07.2010);
поднимать конструкции следует в два приёма: сначала на высоту 20-30 см, а
после проверки надёжности строповки производится уже дальнейший подъём. Во
время перерывов в работе не допускается оставлять поднятые элементы конструкций
и оборудования на весу ГОСТ 12.3.020-80* (пересмотрен 19.07.2010).
б) Повышенная запыленность и загазованность воздуха рабочей среды (работа
экскаваторов, бульдозеров, грузовых автомобилей) при производстве земляных,
погрузо-разгрузочных, монтажных работ;
Мероприятия:
при использовании машин уровень запыленности и загазованности не должен
превышать значений, установленных ГОСТ 12.1.005-88 (пересмотрен 19.07.2010 );
эксплуатация строительных машин, включая техническое обслуживание,
осуществляется в соответствии с требованиями ГОСТ 12.3.033-84 (пересмотрен
20.07.2010), к использованию допускаются машины в рабочем состоянии;
используются респираторы, выполненные в соответствии с требованиями ГОСТ
Р 12.4.191-99.
в) Повышенный уровень шума на рабочем месте (работа экскаваторов,
бульдозеров, грузовых автомобилей) при производстве земляных,
погрузо-разгрузочных, монтажных работ;
Мероприятия:
применяются индивидуальные средства защиты (противо-шумные наушники),
согласно ГОСТ 12.4.051-87 (пересмотрен 14.10.2010);
применяется исправная техника, удовлетворяющая требованиям ГОСТ
12.1.003.83 (пересмотрен 19.07.2010).
г) Повышенное значение напряжения в электрической цепи, замыкание которой
может произойти через тело человека (сварочные кабели, сварочный агрегат) - при
производстве сварочных работ;
Мероприятия:
применяются средства коллективной защиты (защитное заземление), согласно
ГОСТ 12.1.030-81 (пересмотрен 20.07.2010);
в электросварочных аппаратах и источниках их питания устанавливаются
надежные ограждения элементов, находящиеся под напряжением, согласно ГОСТ
24682-81* (пересмотрен 19.04.2010);
применяются средства индивидуальной защиты электросварщиков (защитные
каски) по ГОСТ Р 12.4.207-99;
предусматривается отключение электрооборудования в автоматическом режиме
ГОСТ 24682-81* (пересмотрен 19.04.2010).
д) Повышенная или пониженная температура воздуха рабочей зоны (пониженная
температура воздуха рабочей зоны при строительстве в зимний период);
Мероприятия:
не допускается производство работ без средств индивидуальной защиты,
установленных ГОСТ 12.4.011-89 (пересмотрен 10.07.2010 );
во избежание локального охлаждения рабочие обеспечиваются рукавицами,
обувью, головными уборами применительно к данному климатическому региону.
Комбинезоны по ГОСТ 12.4.100-80 (пересмотрен 20.07.2010 ), обувь по ГОСТ
28507-90 (пересмотрен 19.04.2010);
в целях нормализации теплового состояния работников температура воздуха в
местах обогрева поддерживается на уровне 21-25 °С. Помещения также оборудуются
устройствами, поддерживающими температуру 35-40 °С для обогрева кистей и стоп;
е) Повышенная или пониженная температура поверхностей оборудования,
материалов (сварка) - при производстве сварочных работ;
Мероприятия:
рабочие обеспечиваются для защиты рук рукавицами по ГОСТ 24682-81*
(пересмотрен 19.04.2010).
ж) Недостаточная освещённость рабочей зоны (при производстве работ в
тёмное время суток);
Мероприятия:
производственная площадка, участки работ, рабочие места, проезды, проходы
к ним в тёмное время суток должны быть освещены в соответствии с ГОСТ
12.1.046-85 (пересмотрен 20.07.2010).
з) Повышенный уровень вибрации от экскаватора, бульдозера, ручного
механического инструмента (при производстве земляных работ);
Мероприятия:
контроль вибрационных характеристик по ГОСТ 12.1.012-2004, индивидуальные
средства защиты (вибро - рукавицы) и периодический отдых.
и) Ионизирующие излучения от контрольно-измерительных устройств
(дефектоскопия металлов, контроль качества сварных соединений).
Мероприятия:
экранирование источника ионизирующего излучения ГОСТ Р 51350-99.
Химические:
а) Токсические (электросварочные аэрозоли, испарение антикоррозийной
изоляции), при антикоррозийных работах, окрашивании и электросварке;
Мероприятия:
организация и выполнение работ в соответствии с ГОСТ 12.3.016-87
(пересмотрен 20.07.2010), ГОСТ 12.3.035-84 (пересмотрен 20.07.2010), ГОСТ
12.3.003-86 (пересмотрен 20.07.2010);
применение индивидуальных средств защиты органов дыхания в соответствии с
ГОСТ 12.4.011-89 (пересмотрен 19.07.2010);
сокращение срока пребывания рабочих в зоне производства, периодический
медосмотр, лечебно-профилактическое питание, витамины, дополнительный отдых.
б) Раздражающие (наличие акролеина, аммиака, оксида углерода,
формальдегида и других вредных веществ в воздухе рабочей зоны при производстве
строительно-монтажных работ).
Мероприятия:
используются средства индивидуальной защиты, установленные ГОСТ
12.4.011-89 (пересмотрен 19.07.2010), респираторы, соответствующие требованиям
ГОСТ Р 12.4.191-99.
Психофизиологические:
а) Физические перегрузки при производстве монтажных работ;
Мероприятия:
механизация всех трудоемких процессов, равномерное распределение
физической нагрузки, на все группы мышц (чередование работ);
устраиваются перерывы в работе, оборудуются помещения для отдыха.
б) Нервно-психические нагрузки для всех видов работ.
Мероприятия:
повышение качества организации труда, улучшение организации отдыха
работающих (повышение комфортности санитарно-бытовых помещений, мест для приема
пищи), внимание к людям и их нуждам, культурно-массовые мероприятия, включая
спортивно-массовые.
.2 Безопасная эксплуатация резервуарного парка
Система подслойного пожаротушения (СПТ) резервуара представляет собой
протяженную линию трубопроводов и специального оборудования для получения и
подачи пены, образованной за обвалованием, внутрь резервуара. В системе СПТ
используется следующее оборудование:
высоконапорные пеногенераторы (ВПГ);
система задвижек до и после обвалования;
обратный клапан;
пакет с калиброванной разрывной мембраной внутри и снаружи резервуара;
внутренняя разводка трубопроводов в резервуаре с пенными насадками.
Система подслойного тушения может быть реализована только при
использовании специального фторсодержащего пенообразователя, способного
самопроизвольно образовывать тонкую водную пленку на поверхности нефтепродукта.
Пенообразователи и их водные рабочие растворы должны отвечать следующим
параметрам:
температура замерзания концентрата пенообразователя -не ниже минус 15°С;
срок хранения концентрата пенообразователя - не менее 10 лет;
по токсичности пенообразователь должен соответствовать четвертому классу
опасности;
пенообразователь не должен содержать осадка и посторонних примесей;
концентрация рабочего раствора пенообразователя в воде - 3 или 6% об. При
использовании морской и жесткой воды концентрация раствора не должна превышать
8 % об.;
поверхностное натяжение рабочего раствора пенообразователя - не выше 19
мН Ч/м.
Высоконапорным пеногенератором может быть устройство переносного или
стационарного типа, отвечающее следующим требованиям:
кратность пены при давлении раствора на входе 8-10 атм и при встречном
давлении нефтепродукта 2 атм - не менее 4;
коэффициент преобразования входного давления в давление пенного потока -
не менее 0,3;
производительность по водному раствору - не менее 10л • с-1;
конструкция пеногенератора должна обеспечивать условия безопасной работы
при давлении раствора не менее 15 атм.
Для каждой конкретной схемы подслойного способа пожаротушения пеной
низкой кратности должны быть определены следующие показатели:
расходные характеристики по пенообразующему раствору (нормативная
интенсивность подачи пленкообразующей пены;
расчетная величина кратности пены; расчетное время тушения;
расход водного раствора пенообразователя; рабочая концентрация
пенообразователя; нормативный запас пенообразователя);
параметры системы образования и ввода пены (количество высоконапорных
пеногенераторов с фиксированным секундным расходом пенообразующего раствора;
количество насадок для ввода пены; расстояние и расположение насадок в
резервуаре; рабочее давление водного раствора пенообразователя на входе в
пеногенераторы; запас воды, необходимый для тушения).
Определение показателей пожарной опасности предприятия
нефтепродуктообеспечения для населения и территории основано на гипотетическом
варианте реализации аварийной ситуации с переходом в пожар, развивающийся по
наиболее неблагоприятному варианту на предприятии нефтепродуктообеспечения.
При горении нефтепродукта на всей площади сливо-наливной железнодорожной
или автомобильной эстакады определяют показатель пожарной опасности - зоны опасных
тепловых нагрузок при горении нефтепродукта.
Опасные зоны теплового излучения при пожарах розливов нефтепродуктов
определяют для наиболее неблагоприятного варианта.
В качестве критерия опасного теплового воздействия на границе зоны
принято для:
людей- тепловые нагрузки, превышающие 1,4 кВт/м2;
сгораемых элементов конструкций зданий (двери, рамы и т.п.), а также для
резервуаров с нефтепродуктами, не оборудованных установками охлаждения, - 7,5
кВт/м2:
резервуаров с нефтепродуктами, оборудованных установками охлаждения, - 13
кВт/м2.
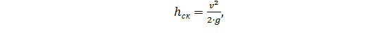
Расчет теплового излучения от пожара пролива нефтепродукта площадью 300 м2
на расстоянии 40 м от центра пролива [19]:
d=
, (21)
где S - площадь пролива, м2.
d=
м.
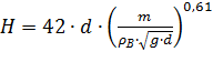
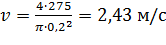
Находится
высота пламени по формуле (22)

, (22)
где m - удельная массовая скорость выгорания топлива, кг/(м·с);

-
плотность окружающего воздуха, кг/м3;- ускорение свободного падения,
9,81 м/с2.- эффективный диаметр пролива, м,

м,
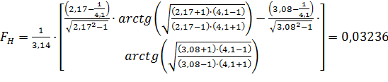
Угловой коэффициент
облученности Fq находится по формуле (23):

, (23)
где FV, FH - факторы облученности для вертикальной
и горизонтальной площадок соответственно, определяемые с помощью выражений
где

,
(24)
A=(2,722+4,102+1)/(2·4,1)=3,08.
S1 - площадь пролива, м2.
S1=2·r/d, (25)
где r - расстояние от
геометрического центра пролива до облучаемого объекта.- эффективный диаметр
пролива, м,
тогда по формуле 25,
S1=2·40/19,5=4,10.
h=2·H/d, (26)
где Н - высоту пламени, м, м2.-
эффективный диаметр пролива, м,
коэффициент h
определяем по формуле 26;
h=2·26,5/19,5=2,72.

,
где B=(1+S2)/(2·S), (27)
B=(1+4,102)/(2·4,10)=2,17.

.

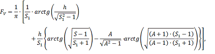
.

.
Определяется
коэффициент пропускания атмосферы ф по формуле(28):

, (28)

.
Интенсивность
теплового излучения q определяется по формуле(29):

, (29)
где

-
среднеповерхностная плотность теплового излучения пламени, кВт/м2,
принимается на основе экспериментальных данных, при отсутствии данных
допускается принимать равной 47 кВт/м2 для нефтепродуктов;

-
угловой коэффициент облученности;
ф
- коэффициент пропускания атмосферы.

=1,5
кВт/м2.
Для
проведения многовариантных расчетов по определению опасных зон теплового
излучения целесообразно использовать программный продукт, который позволяет
получить более реальные результаты для произвольно расположенной системы
пламя-объект.
.3 Охрана окружающей среды
Основной ущерб почвам, растительности и животному миру при эксплуатации
объектов нефтяной промышленности причиняется в результате воздействия следующих
факторов:
химического загрязнения местности;
механического разрушения почв и уничтожения произрастающей растительности
при прохождении тяжелой строительной техники и проведении траншее-устроительных
и планировочных работ;
подтопления и заболачивания прилегающих покрытых лесом территорий в
результате перегораживания линий почвенно-грунтового (поверхностного) стока
воды трассами наземных участков трубопроводов. В нормальном режиме эксплуатации
трубопроводов воздействие указанных факторов минимально и связанное с проведением
профилактических работ по ревизии, диагностике и периодическому испытанию
трубопроводов.
К основным мероприятиям по охране относятся:
сбор загрязнителей в дренажную ёмкость с последующим вывозом собранного
нефтешлама в шламонакопитель.
опережающее строительство подъездных дорог на территории строительства, в
местах выгрузки и складирования конструкций и металлов, что позволяет
значительно уменьшить нарушение ландшафта и предотвратить повреждение
древесно-кустарниковой растительности колёсной и гусеничной техникой;
оптимизация транспортной схемы доставки грузов с целью сокращения
протяжённости временных проездов и возможности максимального использования
постоянных дорог;
строгий запрет на передвижение транспортных средств вне полосы отвода и
схем движения автотранспорта;
упорядочение складирования отвального грунта методами, исключающими его
потерю при перемещениях;
выделение специальных площадок для заправки и смены отработанных ГСМ с
устройством закрытых ёмкостей для предохранения от попадания ГСМ в почвенно-растительный
слой;
планово-регулярная очистка территории от твёрдых бытовых отходов,
обезвреживание и утилизация их в сроки, установленные санитарными нормами и
правилами;
использование только технически исправной техники.
Общие организационные мероприятия по снижению или предотвращению
негативного воздействия строительства нефтебазы на морскую водную среду
включают:
проведение на водном объекте работ, в результате которых образуются
твердые взвешенные частицы, допускается только в соответствии с требованиями
законодательства Российской Федерации;
соблюдение режима использования водоохранных зон водных объектов;
использование водных ресурсов должно быть направлено на замкнутые и
полузамкнутые системы водообеспечения во избежание образования сточных вод где
это возможно;
предельные значения для сбросов в воду, содержащих вредные вещества,
должны быть указаны в разрешениях.
При строительстве будут соблюдаться все требования санитарных норм и
правил по водо-охранным зонам природных водных объектов.
Для забора воды и сброса воды на рельеф и в водные объекты подрядчик
оформляет разрешение в порядке, установленном законодательством РФ.
При проведении СМР должны соблюдаться следующие требования:
запрет на мойку транспортных средств в естественных водных объектах и
водо-охранных зонах;
сброс в водные объекты и на рельеф только очищенных производственных вод
при наличии разрешений от государственных органов охраны и использования
природных ресурсов, и при содержании загрязняющих веществ, не превышающих
установленные предельно-допустимые концентрации;
проведение очистки устройств амбаров-отстойников производственных вод.
Для сокращения выбросов и уменьшения воздействия на атмосферный воздух
рекомендован ряд мероприятий, направленных на безаварийную работу судов, техники
и оборудования, сокращение объёмов выбросов и снижение их приземных
концентраций:
рассредоточение во времени работы техники и оборудования, участвующих в
едином технологическом процессе;
обеспечение инструментального контроля выбросов вредных веществ непосредственно
на источниках;
предельные значения для сбросов в воду и выбросов в воздух, содержащих
вредные вещества, должны быть указаны в разрешениях;
для существенного снижения уровня загрязнения воздуха в районе
расположения проектируемого объекта в подразделе проекта должны быть
подготовлены и разработаны предложения по временному сокращению вредных
выбросов в атмосферу в периоды неблагоприятных метеорологических условий (НМУ);
регулирование выбросов выполняется в тех районах, городах и населенных
пунктах, где органами Росгидромета проводится прогнозирование НМУ о возможном
росте концентраций загрязняющих веществ в атмосферном воздухе;
осуществление контроля за герметичностью газоходных систем и агрегатов,
мест пересыпки пылящих материалов и других источников пылегазовыделений;
контроль за работой контрольно-измерительных приборов и автоматических
систем управления технологическими процессами;
запрещение работы оборудования в форсированном режиме;
ограничение погрузочно-разгрузочных работ, связанных с выбросом
загрязняющих веществ в атмосферу;
необходимо производить остановку технологического оборудования на
планово-предупредительный ремонт, если его сроки совпадают с наступлением НМУ;
мероприятия по предотвращению испарения топлива;
запрещение сжигания отходов производства и мусора, если оно
осуществляется без использования специальных установок, оснащенных
пылегазоулавливающими аппаратами;
6. Экономическая часть
.1 Капитальные затраты на реконструкцию
Расчет показателей экономической эффективности, характеризующих
необходимость реконструкции нефтебазы в п. Кремово, выполнен на основании
технического задания и в соответствии с действующим законодательством РФ.
Капитальные затраты на реконструкцию нефтебазы складываются из стоимости
оборудования (таблицы 18 и 19), стоимости его доставки до места эксплуатации и
его монтаж. Также в них входит стоимость сноса существующих зданий и
сооружений, планировки площадки строительства и прочие расходы.
Таблица 17 - Расчёт стоимости трубопроводов
|
Диаметр труб, мм
|
Длина трубопровода, м
|
Цена, руб./м
|
Стоимость, тыс. руб.
|
|
159x6
|
300
|
900
|
270
|
|
219x8
|
1300
|
1500
|
1950
|
|
273x10
|
800
|
2400
|
1920
|
|
Итого:
|
4140
|
Таблица 18 - Расчёт стоимости и монтажа технологического оборудования
|
Наименование
|
Кол-во, шт.
|
Срок службы лет
|
Стоимость 1 шт., тыс. руб. 1
|
Стоимость монтажных работ тыс. руб.
|
Стоимость, тыс. руб.
|
|
АСН-10ВГ 4/4
|
1
|
15
|
3061
|
2143,55742
|
3061
|
|
АСН-8НГ 4/4
|
1
|
15
|
2800
|
1960,78431
|
2800
|
|
РВС-400
|
8
|
30
|
1028,2
|
5760,22409
|
8225,6
|
|
РВС -1000
|
2
|
30
|
2859,6
|
4005,04202
|
5719,2
|
|
Всего
|
14336,2
|
30682
|
|
Итого
|
33675,41
|
Стоимость строительных и монтажных работ определялась по реализации
объекта - аналога в ценах 2012 года согласно ("Методическим рекомендациям
по определению стоимости строительства зданий и сооружений на основе данных о
стоимости строительства объектов аналогов")[68].
Таблица 19 - Расчёт стоимости строительных работ
|
Стоимость сноса существующих зданий и сооружений тыс. руб.
|
Планирование территории, тыс. руб.
|
Другие работы тыс. руб.
|
Общая стоимость работ тыс. руб.
|
|
32146
|
21102
|
8643
|
61891
|
- данные стоимости оборудования были взяты с #"730579.files/image126.jpg">
, по
формуле:

(35)
где S - начальная стоимость основных
средств;
T -
срок эксплуатации.
В начальную стоимость закладывается стоимость оборудования и всех работ
по доставке и строительно-монтажных работ, поэтому принимаем, что начальная
стоимость равна капиталовложениям на реконструкцию.
Так
как срок службы различного оборудования неодинаков, считаем средний срок
эксплуатации 
, по
формуле:
(36)
где
-
количество объектов;

- цена
одного объекта;

- срок
эксплуатации объекта.
По
формуле 36 определяем годовые амортизационные отчисления.
.6 Прочие затраты
Прочие затраты, это затраты по оплате услуг организации связи,
транспорта, услуг банка и так далее. Прочие расходы укрупнено определяются в размере
5% от прямых затрат:
,694 ·0,05=646,513тыс.руб.
Таблица 22 - Эксплуатационные затраты
|
Элементы затрат
|
Величина затрат, тыс.руб.
|
%
|
|
Заработная плата
|
4560
|
33,6
|
|
ЕСН
|
1591,44
|
11,7
|
|
Амортизационные отчисления
|
4431,396
|
32,6
|
|
Материальные затраты
|
2347,427
|
27,9
|
|
Итого:
|
12930,263
|
|
|
Прочие затраты
|
646,513
|
4,8
|
|
Всего:
|
13576,776
|
100
|
.7 Доходы нефтебазы
Главная статья доходов нефтебазы - прибыль от реализации хранимой и
переваливаемой продукции.
Таблица 23 - Расчёт доходов
|
Вид нефтепродукта
|
Годовой грузооборот, т/год
|
Цена покупки, тыс. руб./т
|
Цена продажи, тыс. руб./т
|
Прибыль, тыс. руб./год
|
|
АИ-92
|
13000
|
30,3
|
32
|
22100
|
|
ДТ
|
12500
|
31
|
32,5
|
18750
|
|
Итого:
|
40850
|
|
Итого после вычета НДС:
|
34620,375
|
.8 Основные экономические показатели
Исходные данные для расчёта основных экономических показателей
эффективности сведены в таблицу 24.
Таблица 24 - Исходные данные для расчёта основных экономических
показателей эффективности
|
Показатель
|
Тыс. руб.
|
|
Капитальные затраты на реконструкцию,.
|
99 706,410
|
|
Эксплуатационные затраты за год
|
13 576,776
|
|
Прибыль за год
|
21 043,599
|
|
Налог на прибыль, 20% за год
|
4 208,720
|
|
Чистая прибыль, за год
|
16 834,879
|
Рентабельность определяет доходность предприятия и рассчитывается по
формуле(37). технико-экономические показатели проекта
Р=(Пч/Фосн)·100%, (37)
где Фосн - капитальные вложения, р;
Пч - чистая прибыль, р.=(16 834,879/99 706,41)·100%=16,88%.
Экономическая оценка инвестиций проводится методом чистой текущей
стоимости (табл. 25):
(38)
Где ЧТСпр - чистая текущая стоимость проекта, тыс. руб; - срок
жизни проекта, t = 15 лет;
ЧТСi - чистая текущая стоимость i-го года, тыс. руб:
ЧТСi = (Прi - Ki)∙б, (39)
где Прi - приток i-го года, тыс. руб;i -
инвестиции i-го года, тыс. руб;
б - коэффициент дисконтирования.
Прi = Пчист.i + ДАi, (40)
где Пчист.i - чистая прибыль предприятия в i-м году, тыс.
руб;
ДАi - амортизационные отчисления i-го года, тыс. руб;
, (41)
где Ен - норматив приведения разновременных затрат и результатов
(Ен = 0,1)
tр - расчетный год;- год, затраты и
результаты которого приводятся к расчетному году;- срок действия проекта t =20
лет.
Срок окупаемости проекта - время, по прошествии которого с начала
инвестирования наблюдается погашение оттоков наличности потоками наличности
или, когда ЧТСПР=0.
Рассчитывается по формуле (41).

(41)
где ЧТСт - последняя отрицательная величина ЧТС, руб;
ЧТСt+1 - первая положительная величина ЧТС, руб;
Т - последний год, в который ЧТС отрицательный.

15,7 лет.
Таблица 25 - Расчёт чистой текущей стоимости
|
Год
|
i
|
прибыль тыс. руб.
|
Инвестиции тыс. руб.
|
Пi-Ki, тыс. руб.
|
Кдi
|
ЧТСi, тыс. руб.
|
ЧТСпр, тыс. руб.
|
|
2014
|
0
|
0
|
99 706
|
-99 706
|
1,000
|
-99 706
|
-99 706
|
|
2015
|
1
|
16 835
|
0
|
16 835
|
0,870
|
14 639
|
-85 067
|
|
2016
|
2
|
16 835
|
0
|
16 835
|
0,756
|
12 730
|
-72 338
|
|
2017
|
3
|
16 835
|
0
|
16 835
|
0,658
|
11 069
|
-61 269
|
|
2018
|
4
|
16 835
|
0
|
16 835
|
0,572
|
9 625
|
-51 643
|
|
2019
|
5
|
16 835
|
0
|
16 835
|
0,497
|
8 370
|
-43 273
|
|
2020
|
6
|
16 835
|
0
|
16 835
|
0,432
|
7 278
|
-35 995
|
|
2021
|
7
|
16 835
|
0
|
16 835
|
0,376
|
6 329
|
-29 666
|
|
2022
|
8
|
16 835
|
0
|
16 835
|
0,327
|
5 503
|
-24 163
|
|
2023
|
9
|
16 835
|
0
|
16 835
|
0,284
|
4 786
|
-19 377
|
|
2024
|
10
|
16 835
|
0
|
16 835
|
0,247
|
4 161
|
-15 216
|
|
2025
|
11
|
16 835
|
0
|
16 835
|
0,215
|
3 619
|
-11 598
|
|
2026
|
12
|
16 835
|
0
|
16 835
|
3 147
|
-8 451
|
|
2027
|
13
|
16 835
|
0
|
16 835
|
0,163
|
2 736
|
-5 715
|
|
2028
|
14
|
16 835
|
0
|
16 835
|
0,141
|
2 379
|
-3 336
|
|
2029
|
15
|
16 835
|
0
|
16 835
|
0,123
|
2 069
|
-1 267
|
|
2030
|
16
|
16 835
|
0
|
16 835
|
0,107
|
1 799
|
532
|
|
2031
|
17
|
16 835
|
0
|
16 835
|
0,093
|
1 564
|
2 097
|
|
2032
|
18
|
16 835
|
0
|
16 835
|
0,081
|
1 360
|
3 457
|
|
2033
|
19
|
16 835
|
0
|
16 835
|
0,070
|
1 183
|
4 640
|
|
2034
|
20
|
16 835
|
0
|
16 835
|
0,061
|
1 029
|
5 669
|
|
2035
|
21
|
16 835
|
0
|
16 835
|
0,053
|
894
|
6 563
|
Выводы:
По результатам экономических показателей реконструкция нефтебазы в п.
Кремово является экономически выгодной. Можно с уверенностью говорить о
необходимости, целесообразности проведения реконструкции, срок окупаемости
которой составит 15,7 год.
Рисунок 12 - Динамика чистой текущей стоимости
Заключение
В дипломном проекте был разработан проект реконструкции объектов
нефтебазы пос. Кремово Михайловского района Приморского края .
Основанием для проработки расчетной части реконструкции нефтебазы в с
пос. Кремово явились исходные данные о существующем предприятии.
В процессе работы над дипломным проектом были решены следующие вопросы:
После выполнения технологических и планировочных решений годовой
грузооборот нефтебазы составил 25,5 тыс.тонн светлых нефтепродуктов (дизельное
топливо и бензины).
Общая вместимость резервуарного парка составила 5063 м3
светлых нефтепродуктов.
Для увеличения объема одновременно поступающей партии нефтепродуктов
предложена автоматизированная система герметичного налива (АСН) светлых
нефтепродуктов в автоцистерны с верхним наливом и в многосекционные
автоцистерны типа «сигары» с нижним наливом.
В научно-исследовательской части рассмотрен дифференцированный подход к
определению расстояний между резервуарами на складах нефти и нефтепродуктов
Предлагаемый подход к выбору расстояний между резервуарами в группе,
позволяет более полно учесть совокупность факторов, влияющих на характер
опасность распространения пожара между резервуарами в группе. Сравнительная
оценка эффективности его реализации показывает, что использование
дифференцированных расстояний между резервуарами в группе, позволяет
значительно снизить вероятность каскадного развития пожара при сохранении
оптимальной площади размещения.
Рамках главы безопасность жизнедеятельности проведен анализ опасных и
вредных производственных факторов в соответствии с ГОСТ 12.0.003-99 и
мероприятия по их предупреждению. Рассчитана система подслойного пожаротушения.
По результатом технико-экономических показателей доказано что данный
проект является экономически выгодным. Срок окупаемости проекта 15,7 лет. Можно
с уверенностью говорить о необходимости, целесообразности проведения
реконструкции нефтебазы в пос. Кремово.
Проект разработан в соответствии с действующими нормами, правилами и
стандартами, а также исходными данными.
Список используемой литературы
1. Безопасность электрических контрольно-измерительных
приборов и лабораторного оборудования. Часть 1. Общие требования: ГОСТ Р
51350-99(актуализирован 01.10.2001) - М.:Стандартинформ 2001.
2. Вредные вещества. Классификация и общие требования
безопасности: ГОСТ 12.1.007-76. - М.:Госстандарт СССР 1977.
3. Габариты приближения строений и
подвижного состава железных дорог колеи 1520 (1524) мм: ГОСТ 9238-83. -
М.:Госстандарт СССР 1984.
4. Генеральные планы
промышленных предприятий: СНиП II-89-80*. (актуализирован 01.10.2008) - М.: ГП
ЦПП 1994.
. Единая система защиты от
коррозии и старения. Сооружения подземные. Общие требования к защите от
коррозии: ГОСТ 9.602-2005. (актуализирован 15.01.2008) - М.:Стандартинформ
2007.-54с
. Инструкция по устройству
молниезащиты зданий, сооружений и промышленных коммуникаций:
СО-153-34.21.122-2003. М.:МЭИ 2004
7. Каски защитные. Общие технические требования. Методы
испытаний: ГОСТ Р 12.4.207-99. М.: ИППК Издательство стандартов-2003
8. Комбинезоны мужские для защиты от нетоксичной пыли,
механических воздействий и общих производственных загрязнений. Технические
условия: ГОСТ 12.4.100-80. (актуализирован от 01.06.1992) М.: ИППК Издательство
стандартов-2002
. Магистральные трубопроводы: СНиП
2.05.06-85*(актуализирован от 10.10.1996) М.: ИППК Издательство стандартов-2002
10. Межотраслевые правила
по охране труда при эксплуатации нефтебаз, складов ГСМ, стационарных и
передвижных автозаправочных станций. Железнодорожные сливо-наливные эстакады.
ПОТ РМ-021-02.М.: НЦ ЭНАС <http://www.ozon.ru/brand/858796/> 2010
. Нагрузки и
воздействия (с Изменениями № 1, 2от 29 мая 2003 г): СНиП 2.01.07-85*. М.: ИППК
Издательство стандартов-2002
. Нефтепродукты.
Методы определения температуры вспышки в закрытом тигле Пенски-Мартенса: ГОСТ Р
ЕН ИСО 2719-2008. М.: ИППК Издательство стандартов-2003
. Нефтепродукты.
Методы определения условной вязкости: ГОСТ 6258-85 М.:Стандартинформ 2008.-54с.
. Нефть и
нефтепродукты. Маркировка, упаковка, транспортирование и хранение: ГОСТ
1510-84*. (актуализирован от 01.06.2010) М.:Стандартинформ 2010.
. Нефть. Общие
технические условия: ГОСТ Р 51858-2002. М.:Стандартинформ 2006.
. Нормы
продолжительности строительства и задела в строительстве предприятий, зданий и
сооружений. Часть I, II: СНиП 1.04.03-85* (актуализирован от 01.06.1996). М.:
ГП ЦПП 1996
. Нормы
технологического проектирования предприятий по обеспечению нефтепродуктами
(нефтебаз): ВНТП 5-95.
. Нормы
технологического проектирования разветвленных нефтепродуктопроводов: ВНТП-3-90.
. Обувь специальная
кожаная для защиты от механических воздействий. Общие технические условия: ГОСТ
28507-90. М.:Стандартинформ 2010.
. Общие правила
взрывобезопасности для взрывопожароопасных химических, нефтехимических и
нефтеперерабатывающих производств. ПБ 09-170-97. - М.: ПИО ОБТ, 1999. - 140 с.
. Ограждения
инвентарные строительных площадок и участков производства строительно-монтажных
работ. Технические условия: ГОСТ 23407-78. М.: ИППК Издательство
стандартов-2004
. Опасные и вредные
производственные факторы. Классификация: ГОСТ 12.0.003-74* ССБТ. М.: ИПК
Издательство стандартов, 2002.
. Паспортные
характеристики центробежных насосов. Материалы ОАО «Гипротрубопровод». - М.
1995. - 49 с.
. Подготовка
генеральных грузов к транспортированию. Общие требования: ГОСТ 26653-90. М.:
ИППК Издательство стандартов-2004
. Пожарная
безопасность технологических процессов: ГОСТ Р 12.3.047-98. М.: ИППК
Издательство стандартов-1998.
. Пожаровзрывоопасность
веществ и материалов. Номенклатура показателей и методы их определения: ГОСТ
12.1.044-89. М.:Стандартинформ 2006.
. Санитарно-защитные
зоны и санитарная классификация предприятий, сооружений и иных объектов: СанПиН
2.2.1/2.1.1.1200-03 М.: ДЕАН <http://www.ozon.ru/brand/856517/> 2004 г.
. Сборник элементных
сметных норм на строительные конструкции и работы: СНиП IV-2-82. М:
«Металлургия», 1983. 540 с.
. Система стандартов
безопасности труда. Изделия электротехнические. Общие требования безопасности:
ГОСТ 12.2.007.0-75. М.: ИППК Издательство стандартов-2002
. Система стандартов
безопасности труда. Общие санитарно-гигиенические требования к воздуху рабочей
зоны: ГОСТ 12.1.005-88. М.: ИППК Издательство стандартов-2002
. Система стандартов
безопасности труда. Работы погрузочно-разгрузочные. Общие требования
безопасности: ГОСТ 12.3.009-76. М.: ИППК Издательство стандартов-2002
. Система стандартов
безопасности труда. Работы электросварочные. Требования безопасности: ГОСТ
12.3.003-86. М.: ИППК Издательство стандартов-2003
. Система стандартов
безопасности труда. Средства защиты работающих. Общие требования и
классификация: ГОСТ 12.4.011-89. (пересмотрен 19.07.2010) М.: ИППК Издательство
стандартов-2010;
. Система стандартов
безопасности труда. Средства индивидуальной защиты. Рукавицы специальные.
Технические условия: ГОСТ 12.4.010-75. М.: Стандартинформ 2006.
. Система стандартов
безопасности труда. Средства индивидуальной защиты органов дыхания. Полумаски
фильтрующие для защиты от аэрозолей. Общие технические условия: ГОСТ Р
12.4.191-99. М.: Стандартинформ 2006.
. Система стандартов
безопасности труда. Средства индивидуальной защиты органа слуха. Противошумные
наушники, смонтированные с защитной каской. Общие технические требования.
Методы испытаний: ГОСТ Р 12.4.210-99. М.: ИППК Издательство стандартов-2000
. Система стандартов
безопасности труда. Строительные машины. Общие требования безопасности при
эксплуатации: ГОСТ 12.3.033-84 (переиздание 2001). М.: ИППК Издательство
стандартов-2001
. Система стандартов
безопасности труда. Строительство. Нормы освещения строительных площадок: ГОСТ
12.1.046-85. М.: ИППК Издательство стандартов-1998.
. Система стандартов
безопасности труда. Строительство. Работы антикоррозионные. Требования
безопасности: ГОСТ 12.3.016-87. М.: ИППК Издательство стандартов-2000.
. Склады нефти и
нефтепродуктов. Противопожарные нормы: СНиП 2-11-03-93. М.: ДЕАН
<http://www.ozon.ru/brand/856517/> 2004 г.
. ССБТ. Вибрация.
Общие требования безопасности. Защита от вибраций: ГОСТ 12.1.012-04. М.: ИППК
Издательство стандартов-2004.
. Строительная
климатология: СНиП 23-01-99*. М.: ИППК Издательство стандартов-1999.
. Строительство в
сейсмических районах: СНиП II-7-81*. М.: ДЕАН
<http://www.ozon.ru/brand/856517/> 2005г.
. Тепловая защита
зданий: СНиП 23-02-2003 М.: ДЕАН <http://www.ozon.ru/brand/856517/> 2004
г.
. Технологическое
оборудование и технологические трубопроводы: СНиП 3.05.05-84. М.: ДЕАН
<http://www.ozon.ru/brand/856517/> 2005 г.
. Трубопроводы
стальные магистральные. Общие требования к защите от коррозии: ГОСТ Р 51164-98.
М.: ИППК Издательство стандартов-1998.
. Установки для
нижнего слива (налива) нефти и нефтепродуктов железнодорожных вагонов-цистерн.
Технические условия: ГОСТ 18194-79. М.:Стандартинформ 2006.
. Электробезопасность.
Защитное заземление. Зануление: ГОСТ 12.1.030-81. М.:Стандартинформ 2004.
. Электротехнические
устройства: СНиП 3.05.06-85. М.: ДЕАН <http://www.ozon.ru/brand/856517/>
2003 г.
. Адушкин В.В.,
Когарко СМ., Лямин Л.Д. Расчеты безопасных расстояний при газовом взрыве в
атмосфере // Взрывное дело, 1975, №32, с. 82-94.
. Арузян А.С., Громов
А.В., Матецкий И.И.. Расчеты магистральных нефтегазопроводов и нефтебаз. - М.:
«Недра», 2008. - 152 с.
. Арутюнов С.А.
Эксплуатация нефтебаз. - М.: «Недра», 2006.-148 с.
. Бабин Л.А. Типовые
расчеты при сооружении трубопроводов. - М.: «Недра», 1975. - 288 с.
. Бейкер У., Кокс П.,
Уэстайн П. и др. Взрывные явления. Оценка и последствия. В 2-х книгах. Пер. с
англ. - М.: Мир, 2003,.
. Белосельский Б.С.
Топочные мазуты / М. Энергия, 2001. - 256 с.
. Бесчастнов М.В.
Взрывобезопасность и противоаварийная защита химико-технологических процессов.
- М.: Мир, 2005.
. Ведомственные
указания по проектированию железнодорожных сливо-наливных эстакад
легковоспламеняющихся и горючих жидкостей и сжиженных углеводородных газов (ВУП
СНЭ - 87).
. Голубев Ю.Д. Сборник
задач по охране труда в нефтяной и газовой промышленности. Часть II. - М.: МНГУ им. И.М. Губкина, 2010. - 93с.
. Экономика нефтяной и
газовой промышленности. - М.: «Недра», 2006 - 160 с.
. Проектирование и эксплуатация
нефтебаз и газохранилищ. М., «Недра», 2010. - 180 с.
. Едигаров С.Г.,
Михайлов В.М., Прохоров А.Д.. Проектирование и эксплуатация нефтебаз. - М.:
«Недра», 2011. - 280 с.
. Идельчик И. Е.
Справочник по гидравлическим сопротивлениям/ Под ред. М. О. Штейнберга. - 3-е
изд., перераб. и доп. - М.; Машиностроение, 1992. - 672 с: ил.
. Пожарная
безопасность. Взрывобезопасность : Справ. издание / А.Н. Баратов, Е.Н. Иванов,
А.Я. Корольченко и др. - М. : Химия, 2008. -272 с.
. Пожаровзрывоопасность
веществ и материалов и средства их тушения: Справ. издание. В 2-х кн. А.Н.
Баратов, А.Я. Ко-рольченко, Г.Н. Кравчук и др. - М. : Химия, 1990. Т. 1 - 496
с. Т. 2 - 384 с.
. Сидоренко А.В.
Геология СССР. Том 32. Геологическое описание. Приморский край Недра, Москва,
1969 г.
. Справочник базовых
цен на проектные работы для строительства. Объекты нефтеперерабатывающей и
нефтехимической промышленности.
. Тугунов П. И.,
Новоселов В.Ф., Коршак А.А., Шаммазов А.М.. Типовые расчеты при проектировании
и эксплуатации нефтебаз и нефтепроводов. - Уфа: ООО «ДизайнПолиграфСервис»,
2002. - 658 с.
. Федеральный закон от
10.01.2002. Об охране окружающей среды.
. Шикин Г.В.
Справочник по проектированию нефтебаз. - М.: «Недра», 2012. - 216 с.
. Башкатов В.В.
Методические рекомендации по определению стоимости строительства зданий и
сооружений на основе данных о стоимости строительства объектов аналогов. -
СПб.: РЦЦС, 2009.
. Инструктивные
указания по определению веса наливных грузов в цистернах.
. Методы расчета
стоимостных показателей при оценке эффективности проектируемых решений, 2012.
. Рекомендации по
обеспечению пожарной безопасности объектов нефтепродуктообеспечения,
расположенных на селитебной территории, приложение 2, 1997.
. Рекомендации по
обеспечению пожарной безопасности объектов нефтепродуктообеспечения,
расположенных на селитебной территории, приложение 2, 1997.