Расчет плоскорадиальной модели пласта Туймазинского месторождения
МИНОБРНАУКИ
РОССИИ
Федеральное
государственное бюджетное образовательное учреждение высшего профессионального
образования
Майкопский
государственный технологический университет
Инженерно-экономический
факультет
Кафедра
сервиса транспорта и технологических машин и оборудования
КУРСОВАЯ
РАБОТА
По
дисциплине «Подземная гидромеханика»
Тема:
Расчет
плоскорадиальной модели пласта Туймазинского месторождения
Студент
группы НД-31
Анфилофьев
Антон Васильевич
Руководитель:
к.т.н., с.н.с.,
Цыбулько
Анатолий Михайлович
Майкоп -
2013
Реферат
Курсовая работа содержит 20 страниц, 2 рисунка,
4 таблицы, 6 источников литературы.
Ключевые слова:
Фильтрация, плоскорадиальный, линия тока, пласт
Объектом исследования является Туймазинское
месторождение. В работе определяется характер течения несжимаемой жидкости при
плоскорадиальном потоке. Проведены расчеты плоскорадиальной модели пласта.
Расчеты плоскорадиальной модели пласта
Туймазинского месторождения
СОДЕРЖАНИЕ
ВВЕДЕНИЕ
.
Постановка задачи
.
Вывод расчетных формул с описанием всех физических величин
.
Результаты расчетов анализ результатов расчета
.
Анализ результатов расчета
ЗАКЛЮЧЕНИЕ
СПИСОК
ЛИТЕРАТУРЫ
ВВЕДЕНИЕ
Нефтегазовая подземная гидромеханика получает
дальнейшее развитие под влиянием новых актуальных задач, выдвигаемых практикой
разработки нефтяных, газовых и газоконденсатных месторождений. В связи с этим,
наряду с изложением традиционных вопросов, гораздо большее внимание уделяется
задачам взаимного вытеснения жидкостей и газов в пористых средах, задачам с
подвижной границей и эффективным приближенным методам их решения [1].
Данная курсовая работа посвящена изучению
простейших одномерных установившихся потоков жидкости в пористой среде по
линейному и нелинейному закону фильтрации.
Одномерным называется фильтрационный поток
жидкости или газа, в котором скорость фильтрации, давление и другие
характеристики течения являются функциями только одной координаты,
отсчитываемой вдоль линии тока. В нашем случае рассмотрим плоскорадиальный
фильтрационный поток [3].
Целью курсовой работы является освоение методик
расчета основных показателей процесса одномерной установившейся фильтрации
несжимаемой жидкости в однородной пористой среде.
. Постановка задачи
Плоскорадиальный фильтрационный поток
Предположим, что имеется горизонтальный пласт
постоянной толщины h и неограниченной или ограниченной протяженности. В пласте
пробурена одна скважина, вскрывшая его на всю толщину и имеющая открытый забой
(Такая скважина называется гидродинамически совершенной). При отборе жидкости
или газа их частицы будут двигаться по горизонтальным траекториям, радиально
сходящимся к скважине. Такой фильтрационный поток называется плоскорадиальным.
Картина линий тока в любой горизонтальной плоскости будет одинакова, и для
полной характеристики потока достаточно изучить движение флюида в одной
горизонтальной плоскости. В плоскорадиальном одномерном потоке давление и
скорость фильтрации в любой точке зависят только от расстояния r
данной точки от оси скважины [6].

Рис. 1.1 Схема плоскорадиального потока в
круговом пласте а - общий вид; б - план
На рис. 1.1, а, б приведена схема
плоскорадиального фильтрационного потока. Схематизируемый пласт ограничен
цилиндрической поверхностью радиусом
(контуром
питания), на которой давление постоянно и равно
;
на цилиндрической поверхности скважины радиусом
(забой
скважины) давление равно
. Кровля и подошва
пласта непроницаемы. На рис. 1.1,б приведены сечение пласта горизонтальной
плоскостью и радиальные линии тока, направленные к скважине. Если скважина не
добывающая, а нагнетательная, то направление линий тока надо изменить на
противоположное [1].
Таблица
1.1
Характеристика модели пласта
|
Вид
потока
|
∆P, МПа
|
H, М
|
, м
|
м
|
м
|
Мес.
|
|
плоскорадиальный
|
2,5
|
10
|
700
|
0,1
|
200
|
15
|
Таблица
1.2
Характеристика модели нефти
|
Месторождение
|
Пласт
|
|
|
m%
|
к
мД
|
P
атм
|
p
Кг/
|
µпл
сП
|
G /
|
|
Туймазинское
|
Д1
|
100
|
20
|
250
|
89
|
804
|
2.6
|
52,7
|
Для предложенных исходных данных требуется
рассчитать:
· распределение давления по пласту P(r)
при фильтрации
· распределение объемной скорости
фильтрации по пласту V(r)
· распределение градиента давления по
пласту Δ
P/Δ
r(r)
· массовый и объемный расход (Qm
и Q)
· депрессию на участке
контур-координата r1
· время движения частиц от контура
питания до точки с координатой (r1)
· количество газа, которое выделиться
из вытесненной нефти за время t1
· массовую скорость в точке (r1)
· средневзвешенное давление
· объем пластовой и дегазированной
нефти, вытесненной из рассматриваемого элемента пласта за время t1
· запасы нефти в элементе пласта
· коэффициент нефтеотдачи в момент
времени t1
При расчётах фильтрации в пласте считать, что
пористая среда однородна, насыщена только нефтью, нефть не сжимаема, вытеснение
изотермическое.
По результатам расчетов построить графики:
1. P(r)
2. Vф
(r)
. Grad
P(r)
Исходный данные для расчетов.
В таблице 1.2 приведены характеристики моделей
элементов и условия их разработки.
В таблице 1.3 даны характеристики пластовых
нефти для конкретных месторождений.
. Вывод расчетных формул с описанием всех
физических величин
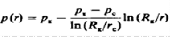
Найдем распределения давления по пласту P(r):
(2.1)
где
давление забоя скважины
радиус забоя
скважины
давления
контура питания
радиус контора
питания Распределение объемной скорости фильтрации по пласту w:
(2.2)
Где k
проницаемость
вязкость нефти
Распределения градиента давления по пласту P(r):P(r)
(2.3)Массовый
расход
:
(2.4)
где
плотность
нефти
Объемный расход Q:
(2.5
где h
высота пласта
Депрессия на участке контур-координата r1:
(2.6)Время
движения частиц от контура питания до точки с координатой r1:
(2.7)
где m
пористость Массовая скорость в точке r1:
(2.8)
Средневзвешенное давление для пласта:
(2.9)
Объем пластовой нефти, вытесненной из рассматриваемого
элемента пласта за время t1:
(2.10)
Количество газа, которое выделиться из
вытесненной нефти за время t1:
(2.11)
Объем дегазированной нефти, вытесненной из
рассматриваемого элемента пласта за время t1:
(2.12)
где
(2.13)
где
-
температурный коэффициент
на одну атмосферу
Запасы нефти в элементе пласта
:
(2.14)
Коэффициент нефтеотдачи в момент времени t1
[5]:
(2.15)
Таблица
1.3
Расчетные формулы
|
Распределения
давления по пласту P(r)
|
|
2.1
|
|
Распределение
объемной скорости фильтрации по пласту w
|
|
2.2
|
|
Распределения
градиента давления по пласту P(r)
|
P(r)=
∆P÷∆r
|
2.3
|
|
Массовый
расход Qm
|

|
|
Объемный
расход Q
|
|
2.5
|
|
Депрессия
на участке контур координата r1
|
|
2.6
|
|
Время
движения частиц от контура питания до точки с координатой r1
|
|
2.7
|
|
Массовая
скорость в точке r1
|
|
2.8
|
|
Средневзвешенное
давление для пласта
|
|
2.9
|
|
Объем
пластовой нефти, вытесненной из рассматриваемого элемента пласта за время t1
|
=Q∙t1
|
2.10
|
|
Количество
газа, которое выделиться из вытесненной нефти за время t1
|
|
2.11
|
|
Объем
дегазированной нефти, вытесненной из рассматриваемого элемента пласта за
время t1
|
|
2.12
|
|
Плотность
дегазированной нефти
|
|
2.13
|
|
Запасы
нефти в элементе пласта
|
|
2.14
|
|
Коэффициент
нефтеотдачи в момент времени t1
|
|
2.15
|
. Расчеты плоскорадиальной модели пласта
Для удобства расчетов используем программу Microsoft
“Exel”, которая состоит
из главного меню, строки ввода формул и рабочего поля, представляющее
совокупность ячеек. Каждая ячейка имеет свою координату (сопоставимо с
Декартовой системой координат), где буквенное значение - название столбца, а
числовое - название строки [3].
Перед тем как начинать расчеты важно знать, что
некоторые величины не входят в систему СИ. Поэтому:
k=250 мД 0,255
10-12
м2
2.6 сП 0,0026 Па/c
м=20% Pпл(к)=100Па
2.5 Мпа
Па
Па
Распределение давления по пласту
P(r).
фильтрация плоскорадиальный пласт
нефть
Аналогично считаем для восьми точек (r=50;
100; 200; 300; 400; 500; 600; 700) так как нам в дальнейшем потребуется
построить график P(r):
P(50)= 17908627=17.9
МПа
P(100)=
19898475=19.89 МПа
P(200)=
21917161=21.91 МПа
P(300)=
23070696=23.07 МПа
P(400)=
23907008=23.90 МПа
P(500)=
24541452=24.54 МПа
P(600)=
25060543=25.06 МПа
P(700)=
25521957=25.52 МПа
Распределение объемной скорости фильтрации по
пласту w(r)
Аналогично считаем для восьми точек (r=50;
100; 200; 300; 400; 500; 600; 700) так как нам в дальнейшем потребуется
построить график
W(r)w(50)=
w(100)=
w(200)=
м/с
w(300)=
м/с
w(400)=
м/с
w(500)=
м/с
w(600)=
м/с
w(700)=
м/с
Градиент давления grad P(r):
grad p(1)=11275802 Па
Аналогично считаем для восьми точек (r=50;
100; 200; 300; 400; 500; 600; 700) так как нам в дальнейшем потребуется
построить график grad P(r):
grad p(50)=
p(100)=
p(200)=
p(300)=
p(400)=
p(500)=
p(600)=
Массовый расход
:

Депрессия на участке контур-координата r1:
r1:
Массовая скорость в точке r1:
Аналогично считаем для восьми точек (r=50;
100; 200; 300; 400; 500; 600; 700) так как нам в дальнейшем потребуется
построить график
w(r):
w(50)= 44.54
w(100)= 22.27
w(200)= 11.09
w(300)= 7.39
w(400)= 5.54
w(500)= 4.42
w(600)= 3.69
w(700)= 3.13
Средневзвешенное давление для пласта:
Объем пластовой нефти, вытесненной из
рассматриваемого элемента пласта за время t1:
Количество газа, которое выделиться из
вытесненной нефти за время t1:
Объем дегазированной нефти, вытесненной из
рассматриваемого элемента пласта за время t1:
теперь найдем объем дегазированной нефти:
Запасы нефти в элементе пласта
:
Коэффициент нефтеотдачи в момент времени t1:
График 3.1
График 3.2
График 3.3
График 3.4
. Анализ результата расчета
В результате расчетов плоскорадиальной модели
пласта были получены зависимости p(r), w(r),
,
grad p(r).
Проанализируем полученные соотношения для
плоскорадиальной фильтрации. Для несжимаемой жидкости давление по пласту вдоль
координаты r возрастает. Причем
происходит резкое возрастание пластового давления от скважины по мере
увеличения радиуса контура питания. Градиент давления, массовая и объемная
скорости фильтрации для несжимаемой жидкости наоборот уменьшается по мере
увеличения радиуса контура питания. Стоит отметить, что скорость фильтрация и
градиент давления имеет большую кривизну вблизи скважины.
ЗАКЛЮЧЕНИЕ
В курсовой работе были рассмотрены одномерные
установившиеся потоки несжимаемой жидкости пористой среде, схема
плоскорадиального потока и его описание, приведены расчеты основных характеристик
одномерных фильтрационных потоков несжимаемой жидкости. По полученным данным
построены графики зависимостей пластового давления, массовой и объемной
скорости фильтрации, градиента давления от координаты r.
В которых видно, что между скоростью фильтрации и координатой r
существует зависимость (гипербола), т.е. с возрастанием радиуса контура
уменьшается скорость фильтрации (при прочих не изменяемых условиях). А при
расчетах градиента давления видим, что у стенки скважины достигает
максимального значения. Также на результаты расчетов влияют погрешности в
вычислениях. Графическая зависимость градиента давления от радиуса контура
питания показывает, что при уменьшении радиуса контура питания градиент
давления в данной точке возрастает. Минимальный градиент давления будет
наблюдаться на границе контура питания.
СПИСОК ЛИТЕРАТУРЫ
1.
Азиз X., Сеттари Э. Математическое моделирование пластовых систем. М.: Недра,
1982. 407 с.
.
Булыгин В.Я. Гидромеханика нефтяного пласта.-М.: Недра, 1974.-230 с.21.
.
Данилов В.Л., Каи P.M. Гидродинамические расчеты взаимного вытеснения жидкостей
в пористой среде.- М.: Недра, 1980.-264 с.
.
Евдокимова В.А., Кочина И.Н. Сборник задач по подземной гидравлике. М.: Недра,
1979.-169 с.
.
Максимов М.М., Рыбицкая Л.П. Математическое моделирование процессов разработки
нефтяных месторождений.- М.: Недра, 1976. 264 с.
.
Научные основы разработки нефтяных месторождений / А.П. Крылов, М.М.
Глоговский, М.Ф. Мирчинк и др.-М.-Л.: Гостоптехиздат, 1948.-416 с.