Расчет идеализированного термодинамического цикла поршневого двигателя со смешанным подводом тепловой энергии и политропными процессами сжатия и расширения рабочего тела

  • Вид работы:
    Курсовая работа (т)
  • Предмет:
    Другое
  • Язык:
    Русский
    ,
    Формат файла:
    MS Word
    1,92 Мб
  • Опубликовано:
    2013-12-28
Вы можете узнать стоимость помощи в написании студенческой работы.
Помощь в написании работы, которую точно примут!

Расчет идеализированного термодинамического цикла поршневого двигателя со смешанным подводом тепловой энергии и политропными процессами сжатия и расширения рабочего тела














Курсовой проект

Расчет идеализированного термодинамического цикла поршневого двигателя со смешанным подводом тепловой энергии и политропными процессами сжатия и расширения рабочего тела


Введение

Прослушав курс лекций по дисциплине «Термодинамика и рабочие процессы двигателей», нам предлагается выполнить курсовой проект по расчёту идеализированного цикла двигателя. Цель данного курсового проекта приобрести навыки расчета идеализированного цикла двигателя, закрепить полученные знания на лекциях. Задачи данного проекта следующие:

изучить расчёт двигателя

произвести собственный расчёт

по полученным данным построить индикаторные диаграммы, тепловую диаграмму и внешнюю скоростную характеристику

сделать выводы

Данный курсовой проект позволит лучше усвоить формулы, а также сущность термодинамических процессов.


1. Теоретическая часть

Пример термодинамического расчета идеализированного цикла поршневого ДВС со смешанным процессом подвода тепловой энергии к рабочему телу

1.1 Краткое описание идеализированного цикла теплового двигателя с изохорно-изобарным процессом подвода энергии в тепловой форме и с политропными процессами сжатия и расширения рабочего тела

Важные особенности рассчитываемого цикла - цикл замкнутый и рабочее тело цикла ни в одном термодинамическом процессе, составляющем цикл, не обменивается веществом с окружающей средой.

Первая особенность, в соответствии со вторым законом термодинамики, является признаком возможности создать на основе такого цикла двигатель, постоянно производящий механическую работу. Такая возможность существует благодаря тому, что в замкнутом цикле параметры состояния рабочего тела периодически возвращаются к одним и тем же значениям в любой точке цикла, условно принятой в качестве начальной.

Вторая особенность позволяет рассчитывать работу рабочего тела во всех термодинамических процессах на основе уравнений, описывающих работу изменения объёма, которая осуществляется при расширении или сжатии рабочего тела под поршнем теплового двигателя.

Рассчитываемый цикл состоит из следующих термодинамических процессов (рис. 1.):

политропный процесс сжатия рабочего тела;

изохорный процесс подвода тепла к рабочему телу ;

изобарный процесс подвода тепла к рабочему телу ;

политропный процесс расширения  рабочего тела;

изохорный процесс отвода тепла от рабочего тела .

Термодинамический процесс политропного сжатия рабочего тела. Уравнения обмена механической и тепловой энергией между рабочим телом и окружающей средой. Энтропия рабочего тела

В термодинамическом процессе  рабочее тело сжимается политропно. Это означает, что рабочему телу передается энергия в механической форме (путем совершения над ним работы сжатия ). Работу сжатия над рабочим телом совершает окружающая среда, например маховик двигателя, посредством перемещения поршня двигателя. В соответствии с правилом знаков, принятым в термодинамике, эта работа отрицательна.

В политропном процессе сжатия  рабочее тело обменивается энергией с окружающей средой и в тепловой форме. В начале процесса сжатия стенки цилиндра двигателя, как правило, горячее рабочего тела и, следовательно, к рабочему телу подводится тепло. В конце процесса сжатия наоборот - рабочее тело имеет более высокую температуру нежели стенки цилиндра. В этой части процесса сжатия тепло отводится от рабочего тела. В целом, за весь процесс сжатия знак тепловой энергии, которой рабочее тело обменивается с окружающей средой, может быть как положительным, так и отрицательным.

Уравнение термодинамического политропного процесса сжатия [1]

По определению

, где  - показатель политропы 4.1

Запишем также и уравнение состояния идеального газа

 4.2

Здесь:

 - масса газа (рабочего тела);

 - молекулярная масса газа;

 - универсальная газовая постоянная;

 - количество молей газа.

Используя эти уравнения, можно записать и другие удобные соотношения для расчёта параметров рабочего тела в процессе политропного сжатия.

4.3

 4.4

Энергия в механической форме, которой обмениваются рабочее тело и окружающая среда (в нашем случае это работа изменения объёма), описывается интегральным соотношением [1]

 4.5

После интегрирования в полученное выражение необходимо подставить пределы интегрирования - параметры состояния рабочего тела, соответствующие началу и концу термодинамического процесса.

Операцию интегрирования можно произвести после подстановки под знак интеграла зависимость давления рабочего тела от его объёма в каком-либо термодинамическом процессе. Можно поступить и наоборот - подставить под знак интеграла зависимость объёма рабочего тела от его давления.

В случае, когда необходимо рассчитать работу рабочего тела в политропном процессе, можно использовать зависимость 4.1.

Так как в исходных данных задано постоянное значение показателя политропы, то интегрирование сводится к нахождению табличного интеграла, и в итоге получаем

 4.6

В этой зависимости  - механическая работа рабочего тела в политропном процессе.

В процессе политропного сжатия температура рабочего тела увеличивается и, в соответствии с уравнением состояния идеального газа, увеличивается и значение . В термодинамическом процессе политропного расширения рабочего тела значение  уменьшается. Таким образом, отрицательный знак механической работы в процессе сжатия (уравнение 4.6) соответствует правилу знаков термодинамики.

Энергия в тепловой форме, которой обмениваются рабочее тело и окружающая среда в любом термодинамическом процессе может быть получена из определения теплоёмкости рабочего тела в термодинамическом процессе. В дифференциальной форме определение теплоёмкости рабочего тела имеет вид

 4.7

В этой зависимости

 - температура рабочего тела;

 - удельная тепловая энергия, которой обмениваются 1 моль рабочего тела и окружающая среда в каком-либо термодинамическом процессе;

 - мольная теплоёмкость рабочего тела какого-либо термодинамического процесса.

Это соотношение следует понимать так: каждому термодинамическому процессу соответствует своё значение мольной теплоёмкости рабочего тела (иначе говоря, теплоёмкость - функция процесса).

Понятно, что непосредственное использование уравнения 4.7 возможно лишь в случае, когда известна зависимость для удельной мольной теплоёмкости рабочего тела в рассматриваемом термодинамическом процессе.

Такая зависимость для политропного процесса может быть получена из уравнения первого закона термодинамики [1]

, 4.8

в котором

 - мольная теплоёмкость рабочего тела в изохорном процессе (справочная величина [1]);

 - удельная работа рабочего тела (работа 1 моля вещества) в рассматриваемом термодинамическом процессе.

Дополняя последнее уравнение зависимостью 4.6 при постоянном показателе политропы, получим удельную мольную теплоёмкость политропного процесса

, 4.9

где

 - мольная теплоёмкость политропного процесса;

- показатель адиабаты.

Тогда, из последнего уравнения и уравнения 4.7 следует: удельная энергия в тепловой форме, которой обмениваются рабочее тело и окружающая среда в политропном процессе может быть определена по соотношению

, 4.10

в котором

 - значения температур рабочего тела в конце и в начале политропного процесса соответственно.

Теперь видно. что в политропном процессе сжатия, в котором температура рабочего тела увеличивается, при условии  тепло подводится к рабочему телу от окружающей среды (). В политропном сжатии при условии  тепло отводится от рабочего тела в окружающую среду ().

В политропном процессе расширения, в котором температура рабочего тела уменьшается, при условии  тепло подводится к рабочему телу от окружающей среды (). В политропном расширения при условии тепло отводится от рабочего тела в окружающую среду ().

И, наконец, если показатель политропы равен показателю адиабаты, т.е. если осуществляется адиабатический процесс сжатия или расширения, то рабочее тело не обменивается энергией в тепловой форме с окружающей средой. Последний вывод соответствует определению адиабатического процесса.

Важную роль в анализе термодинамических циклов имеет энтропия рабочего тела. По определению [1]

 

Здесь  - удельная энтропия рабочего тела (энтропия 1 моля вещества).

Подставляя в это уравнение соотношение 4.7, записанное для политропного термодинамического процесса, получим зависимость для изменения энтропии политропного процесса

 4.11

Термодинамический изохорный процесс подвода тепловой энергии

В термодинамическом изохорном процессе  (рис. 1) энергия в тепловой форме подводится к рабочему телу. Подвод энергии в этом процессе в двигателях внутреннего сгорания происходит в результате окисления (сгорания) топлива. Горение топлива происходит настолько быстро, что его большая часть сгорает при весьма малых перемещениях поршня. Это обстоятельство и позволяет рассматривать этот процесс как изохорный.

Из условия  (по определению изохорного процесса) и из уравнения состояния идеального газа 4.2 следует

 4.12

Эта зависимость позволяет определять параметры состояния рабочего тела в изохорном процессе.

Из определения работы изменения объёма (уравнение 4.5) следует, что в изохорном процессе рабочее тело не обменивается энергией в механической форме с окружающей средой. Действительно, в изохорном процессе поршень расширительной машины неподвижен и, значит, рабочее тело не совершает механическую работу и над рабочим телом не совершается работа.

 4.13

Обмен энергией между рабочим телом и окружающей средой в тепловой форме в изохорном термодинамическом процессе может быть рассчитан непосредственно из определения теплоёмкости рабочего тела - уравнение 4.7. Для изохорного процесса это уравнение принимает вид

.

Интегрируя это уравнение при постоянном значении мольной теплоёмкости газа, получим

 4.14

Используя определение энтропии, несложно получить и зависимость для расчёта изменения энтропии

 4.15

Термодинамический изобарный процесс подвода тепловой энергии

В изохорном процессе  топливо сгорает не полностью; часть топлива сгорает при перемещающемся вниз от верхней мёртвой точки поршне. В термодинамическом изобарном процессе  (рис. 1) энергия в тепловой форме подводится к рабочему телу именно в результате догорания части не сгоревшего ранее топлива.

Из условия  (по определению изобарного процесса) и из уравнения состояния идеального газа 4.2 следуе т

 4.16

Эта зависимость позволяет определять параметры состояния рабочего тела в изобарном процессе.

Из определения работы изменения объёма (уравнение 4.5) для изобарного процесса может быть получено

, 4.17

где

 - энергия в механической форме, которую рабочее тело отдаёт окружающей среде в термодинамическом изобарном процессе расширения рабочего тела при подводе тепла. Иными словами - это работа, совершаемая рабочим телом. Знак этой работы положителен, т.к.  (см. рис. 1), и это соответствует правилу знаков термодинамики

 - давление рабочего тела в изобарном процессе .

 и  конечное и начальное значения объёма рабочего тела в изобарном процессе .

Обмен энергией между рабочим телом и окружающей средой в тепловой форме в изобарном термодинамическом процессе может быть рассчитан непосредственно из определения теплоёмкости рабочего тела - уравнение 4.7. Для изобарного процесса это уравнение принимает вид

,


где

 - мольная теплоёмкость в термодинамическом процессе при постоянном давлении.  - это справочная величина.

Интегрируя это уравнение при постоянном значении мольной теплоёмкости газа, получим

 4.18

Из уравнения 4.14, используя определение энтропии, несложно получить зависимость для изменения энтропии в изобарном процессе

 4.19

Термодинамический процесс политропного расширения рабочего тела

В термодинамическом процессе  происходит политропное расширение рабочего тела. Объём рабочего тела в конце процесса расширения принимает начальное значение (см. рис. 1) .

Политропный процесс сжатия достаточно подробно описан в разделе 4.2.1. Уравнения политропных процессов расширения и сжатия идентичны и поэтому вывод уравнений для политропного процесса расширения здесь не приводится.

Однако следует иметь в виду, что в политропном процессе расширения рабочего тела последнее совершает механическую работу над окружающей средой, и эта работа, в соответствии с правилом знаков термодинамики, положительна.

Ещё одна особенность политропного расширения рабочего тела в ДВС состоит в следующем. В процессе расширения рабочее тело имеет более высокую температуру нежели стенки цилиндра двигателя. Поэтому тепловая энергия отводится от рабочего тела в окружающую среду. Вместе с тем, в этом процессе догорает оставшееся топливо и к рабочему телу продолжает подводиться тепло. В общем случае знак тепловой энергии, которой рабочее тело обменивается с окружающей средой, может быть как положительным, так и отрицательным. Как было отмечено ранее, знак тепловой энергии в политропном процессе расширения зависит от соотношения между показателями политропы и адиабаты. Предполагается, что заданное в исходных данных к проекту значение показателя политропы учитывает оба отмеченных явления.

Термодинамический изохорный процесс отвода тепловой энергии

В термодинамическом процессе  происходит изохорный отвод тепла от рабочего тела. В поршневых двигателях внутреннего сгорания этот процесс происходит весьма быстро и физически представляет собой процесс резкого уменьшения давления рабочего тела при открытии выпускных клапанов двигателя. Давление, температура и энтропия рабочего тела в конце этого процесса принимают те же значения, которые рабочее тело имело в начальной точке.

В целом, уравнения для изохорного процесса отвода тепла полностью аналогичны уравнениям изохорного процесса подвода тепла и поэтому для описания изохорного процесса  следует пользоваться уравнениями раздела 4.2.2.

Методические рекомендации по расчёту тепловой энергии и изменения энтропии в термодинамических процессах

В предыдущих разделах были получены уравнения для расчёта тепловой энергии, которой обмениваются рабочее тело и окружающая среда, и уравнения для расчёта изменения энтропии рабочего тела во всех термодинамических процессах цикла. Было оговорено: эти уравнения получены при постоянных значениях мольных теплоёмкостей рабочего тела в термодинамических процессах. В действительности, удельные теплоёмкости рабочего тела являются функциями его температуры. Поэтому, здесь предлагается общепринятая методика использования полученных выше уравнений, нивелирующая неточности расчёта. В эту общепринятую методику внесены некоторые изменения авторов методического пособия.

Различают истинные и средние мольные теплоёмкости газа. Истинная мольная теплоёмкость - это значение мольной теплоёмкости при конкретной температуре газа. Среднее значение мольной теплоёмкости - это среднеинтегральное значение мольной теплоёмкости в каком-либо интервале температур. В соответствии с определением теплоёмкости соответствующее интегрирование проводится по теплу (уравнение 4.7), которое получает (отдаёт) рабочее тело в выбранном промежутке температур. В справочных таблицах [1] приводятся, как правило, именно средние значения мольных теплоёмкостей рабочего тела при постоянном объёме и при постоянном давлении. Интервал температур, для которого приведены эти средние значения мольных теплоёмкостей, отсчитывается чаще всего от .

В таком случае, удельная тепловая энергия, которой рабочее тело обменивается с окружающей средой при изменении его температуры от начального () до конечного () значений, определяется по зависимости.

, 4.20

в которой

и  - средние мольные теплоёмкости, взятые для диапазонов температур, ограниченных значением 0°С с одной стороны и значениями  и  соответственно с другой стороны.

Тогда, средняя удельная мольная теплоёмкость рабочего тела в диапазоне температур  равна

 4.21

Наряду с приведенным обозначением средней мольной теплоёмкости в дальнейшем изложении для упрощения будем пользоваться и таким обозначением: .

Используя 4.21 и определение энтропии рабочего тела, можно записать уравнение для расчёта изменения энтропии в каком-либо термодинамическом процессе

 4.22

Однако, и предложенная методика обладает недостатком: её использование сопряжено с большим количеством интерполяций табличных данных при определении средних удельных теплоёмкостей рабочего тела при постоянном объёме и при постоянном давлении.

Поэтому, авторами были получены соответствующие аппроксимирующие зависимости:

 и 4.23

 4.24

Рассчитанные по этим зависимостям значения средней мольной теплоёмкости рабочего тела измеряются в . Зависимости 4.23 и 4.24 удобно использовать в том числе и для определения средней мольной теплоёмкости политропного процесса. Преобразуя зависимость 4.9, получим

, 4.25

где показатель адиабаты также определяется по средним значениям теплоёмкостей

 4.26

или (если использовать уравнение Майера) можно получить

 4.26а

.2 Определение параметров двигателя

Результирующая работа цикла

Как было установлено ранее, механическая работа совершается в трёх термодинамических процессах цикла - в политропном сжатии рабочего тела, в процессе адиабатического расширения и в политропном расширении рабочего тела. Результирующая механическая работа цикла - это алгебраическая сумма указанных работ (работа сжатия отрицательна, т.к. она производится окружающей средой над рабочим телом).

 5.1

Суммарная тепловая энергия цикла

Во всех термодинамических процессах, составляющих цикл, рабочее тело обменивается энергией в тепловой форме с окружающей средой. В изохорном процессе  и в изобарном процессе  тепло подводится к рабочему телу. В этих процессах тепловая энергия положительна. В изохорном процессе  тепло отводится от рабочего тела и это тепло имеет отрицательный знак. В политропных процессах сжатия и расширения тепловая энергия, которой обмениваются рабочее тело и окружающая среда, может быть и положительной и отрицательной (знак тепловой энергии определяется соотношением показателей политроп и адиабат процессов). Суммарная удельная тепловая энергия, которой обмениваются рабочее тело и окружающая среда за цикл, равна алгебраической сумме значений удельной теплоты во всех термодинамических процессах

 5.2 а суммарная полная тепловая энергия равна

, 5.3

где количество молей вещества  в одном цилиндре двигателя определяется из уравнения состояния идеального газа 4.2.

Т.к. в курсовом проекте рассчитывается замкнутый термодинамический цикл, то из первого закона термодинамики следует, что результирующая работа цикла равна суммарной тепловой энергии, которой обмениваются рабочее тело и окружающая среда.

Термический коэффициент полезного действия цикла

Удельная тепловая энергия, подведенная к рабочему телу из окружающей среды - , определяется по уравнению 5.2, в котором следует оставить только лишь положительные слагаемые. Тогда, полная тепловая энергия, подведенная к рабочему телу, равна

 

Термический коэффициент полезного действия цикла рассчитывается на основании определения

 5.4

Это значение эффективности цикла можно оценить, сравнивая термические кпд рассчитываемого цикла и цикла Карно, реализованного в этом же диапазоне температур.

 

Среднее индикаторное давление рабочего тела и индикаторная мощность двигателя

Среднее индикаторное давление рабочего тела - это параметр, который показывает насколько компактным может быть изготовлен двигатель, работающий по принятому циклу. По определению среднее индикаторное давление равно

, 5.5

где  - это объём, описываемый поршнем двигателя за один ход.

В соответствии с определением 5.5 среднее индикаторное давление цикла представляет собой количество механической работы, производимой в некотором замкнутом цикле при изменении объёма рабочего тела на единицу.

Индикаторная мощность четырёхтактного двигателя может быть определена по уравнению

, 5.6

в которой

 - количество цилиндров двигателя;

 - частота вращения коленвала двигателя в об/мин;

 - количество совершаемых циклов за 1 секунду в одном цилиндре двигателя.

Цикловой расход топлива, цикловой расход воздуха и коэффициент избытка воздуха

Принимая низшую теплотворную способность (теплоту горения) дизельного топлива равной  и используя известные соотношения между единицами энергии, получим расход топлива в одном цилиндре двигателя за один цикл (цикловой расход топлива)

 5.7

Количество воздуха, наполняющего один цилиндр двигателя за один цикл, определится из простейшего соотношения

, 5.8

где  - молекулярная масса воздуха, а  - количество молей воздуха в одном цилиндре двигателя.

Учитывая, что для полного сгорания 1 килограмма дизельного топлива необходимо  килограмм воздуха [2], запишем соотношение для коэффициента избытка воздуха

 5.9

Коэффициент избытка воздуха чрезвычайно важный параметр двигателя, от которого в значительной мере зависят горение топлива, экологические характеристики двигателя и его компактность.

Расход топлива двигателем, мощность двигателя и его удельный расход топлива

Расход топлива - , 5.10

где  - количество циклов, совершаемых рабочим телом во всех цилиндрах двигателя за 1 час.

Мощность двигателя определим с учётом его механического коэффициента полезного действия и полагая, что полнота наполнения цилиндров двигателя рабочим телом учтена значением давления воздуха в начале процесса сжатия.

 5.11

Механический коэффициент полезного действия примем в соответствии с рекомендациями [2] равным .

По определению удельный расход топлива двигателя равен

 5.12

.3 Индикаторная и тепловая диаграммы цикла

двигатель политропный тепловой индикаторный

Индикаторная диаграмма цикла - это графическое изображение термодинамического цикла в координатах давление - объём рабочего тела ( диаграмма). В разделе 4 методического пособия приведены аналитические зависимости, связывающие между собой параметры состояния рабочего тела во всех составляющих цикл термодинамических процессах. Аналитические связи получены в том числе и для параметров давление - объём рабочего тела. Эти зависимости совместно с исходными данными - параметры рабочего тела в начальной точке, степень сжатия, степень повышения давления и степень предварительного расширения позволяют графически изобразить индикаторную диаграмму цикла. Необходимые выкладки и образец индикаторной диаграммы приведены в примере курсового проекта.

Из изложенного ясно, что существуют две возможности графического построения индикаторной диаграммы. Первая возможность - это построение аналитических кривых зависимостей давления рабочего тела от его объёма для каждого составляющего цикл термодинамического процесса с помощью какого-либо современного графического пакета (Hyper Mesh, AGrapher, MathCad, AutoCAD и т.д.).

Вторая возможность - это построение диаграмм по предварительно рассчитанным координатам давление - объём рабочего тела в отдельных точках термодинамических процессов. Для этого объём рабочего тела в каждом термодинамическом процессе разделяется на ряд промежутков и на границах всех промежутков рассчитывается давление рабочего тела. По полученным точкам строится индикаторная диаграмма цикла.

В примере курсового проекта индикаторная диаграмма построена по аналитическим кривым. Вместе с тем, приведен и пример построения диаграммы по отдельным точкам.

Тепловая диаграмма цикла - это графическое изображение термодинамического цикла в координатах температура - энтропия рабочего тела ( диаграмма). Всё сказанное в этом разделе относительно методики построения индикаторной диаграммы в равной мере относится и к построению тепловой диаграммы. Отличие состоит лишь в следующем. Аналитические зависимости в разделе 4 методического пособия позволяют рассчитать изменение энтропии в каком-либо термодинамическом процессе или на участке этого процесса. Изменение энтропии можно отсчитывать, начиная, например, от начальной точки процесса. Изменение энтропии в последующем процессе (по порядку его исполнения в цикле - по ходу часовой стрелки) следует отсчитывать от значения энтропии в конечной точке предыдущего термодинамического процесса.

Также как и индикаторная диаграмма, в примере курсового проекта тепловая диаграмма построена по аналитическим кривым. Вместе с тем приведен и пример построения диаграммы по отдельным точкам.

1.4. Индикаторная диаграмма двигателя

Полученная в эксперименте индикаторная диаграмма двигателя - важное средство в анализе термодинамических циклов и работы двигателя в целом. Экспериментальная индикаторная диаграмма позволяет уточнить форму цикла, установить закон горения топлива, определить максимальные значения давления и температуры рабочего тела. С помощью такой диаграммы можно оптимизировать адаптацию турбонагнетателя к двигателю. Индикаторная диаграмма двигателя представляет собой зависимость давления рабочего тела во время совершения цикла от угла поворота кривошипа (угла поворота коленвала двигателя). В курсовом проекте необходимо получить расчётную индикаторную диаграмму двигателя и изобразить её графически.

Так как ранее уже были получены зависимости для расчёта давления от объёма рабочего тела в термодинамическом цикле, то для построения индикаторной диаграммы необходимо дополнительно получить зависимость и для угла поворота кривошипа от объёма рабочего тела.

Возможен и другой подход. В этом подходе следует первоначально определить границы изменения угла поворота кривошипа при совершении каждого термодинамического процесса. Затем, задаваясь значениями угла поворота кривошипа в этих выделенных интервалах, определять соответствующие значения объёма рабочего тела, а по уравнениям термодинамических процессов определять давление рабочего тела. В курсовом проекте рекомендуется использовать эту методику построения индикаторной диаграммы двигателя.

Из простых геометрических соображений можно получить упрощенное уравнение для определения аналитической связи между объёмом рабочего тела и углом поворота кривошипа. Соответствующие обозначения и оси для отсчёта угла поворота кривошипа приведены на рис. 2.

 7.1

 7.2

В этих уравнениях:

- текущий объём рабочего тела;

 - объём рабочего тела в конце термодинамического процесса сжатия;

- степень сжатия;

 - угол поворота кривошипа.

Расчёты, выполненные с использованием уравнений 7.1 и 7.2, позволяют получить достаточно полное представление об индикаторной диаграмме двигателя.

Рис. 2. Конструктивные параметры поршневой расширительной машины

.5 Внешняя скоростная характеристика двигателя

Скоростная характеристика двигателя - это зависимости эффективной мощности двигателя, вращающего момента, расхода топлива и удельного расхода топлива от частоты вращения коленчатого вала двигателя. Зачастую наибольший интерес представляет внешняя скоростная характеристика двигателя, соответствующая его работе с наибольшей цикловой подачей топлива.

На основании большого количества экспериментальных исследований поршневых двигателей внутреннего сгорания были получены эмпирические зависимости, описывающие внешнюю скоростную характеристику двигателя [3].

Так, мощность двигателя может быть описана зависимостью

, 8.1

в которой

 - максимальная мощность двигателя (при заданной в исходных данных частоте вращения двигателя);

 - мощность двигателя;

 - относительная частота вращения коленвала, представляющая собой отношение текущей частоты к частоте вращения коленвала при максимальной мощности;

 - текущая частота вращения коленвала двигателя;

 - частота вращения коленвала двигателя, заданная в исходных данных курсового проекта.

 - эмпирические коэффициенты.

Для дизельных двигателей в [3] рекомендуется выбирать значение коэффициента . Коэффициенты  следует получать решением системы уравнений

 (для обеспечения );

 (т.к. при  мощность двигателя принимает максимальное значение).

При построении внешней скоростной характеристики двигателя его максимальную мощность следует определять по зависимости 5.11, расход топлива принимать прямо пропорциональным частоте вращения коленвала, а удельный расход топлива рассчитывать по зависимости 5.12.

Вращающий момент двигателя рассчитывается по формуле

, 8.2

где  - текущая угловая скорость вращения коленвала двигателя

Качественный анализ внешней скоростной характеристики двигателя студенту предлагается выполнить самостоятельно.


2. Расчёт идеализированного цикла поршневого двигателя

.1 Исходные данные

 - начальное давление рабочего тела (рис. 1; точка а, поршень находится в нижней мёртвой точке);

 - начальный объем рабочего тела (точка а);

 -начальная температура рабочего тела (точка а);

 - степень сжатия рабочего тела (воздуха) в цикле;

 - степень повышения давления рабочего тела в изохорном процессе  (рис. 1) подвода тепловой энергии к рабочему телу в результате сгорания топлива;

 - степень предварительного расширения рабочего тела в изобарном процессе  (рис. 1) подвода тепловой энергии при сгорании топлива;

 - среднее значение показателя политропы сжатия рабочего тела в процессе  (рис. 1);

 - среднее значение показателя политропы
расширения рабочего тела в процессе  (рис. 1):

 - частота вращения коленчатого вала;

 - количество цилиндров в двигателе;

 - число ходов, совершаемых поршнем при осуществлении одного рабочего цикла в цилиндре двигателя (тактность двигателя);

 - универсальная газовая постоянная

2.2 Определение количества рабочего тела, участвующего в осуществлении цикла

 

2.3 Определение значений параметров состояния рабочего тела в характерных точках цикла

Значения параметров состояния рабочего тела в точке  (в конце политропного процесса сжатия рабочего тела )

Процесс расширения  политропный; показатель политропы равен .

 

Значения параметров состояния рабочего тела в точке  (в конце изохорного процесса подвода тепловой энергии )

Определение параметров состояния в изохорном процессе выполняем по зависимости, используя соотношение для степени повышения давления


Значения параметров состояния рабочего тела в точке  (в конце изобарного процесса подвода тепловой энергии )

Расчёт параметров состояния в изобарном процессе выполняем по зависимости, используя соотношение для степени предварительного расширения

 

 

Значения параметров состояния рабочего тела в точке  (в конце политропного процесса расширения рабочего тела )

Процесс расширения  политропный; показатель политропы равен . Параметры состояния в точке  определяем по уравнениям с использованием соотношений для степени сжатия  и для степени предварительного расширения . Из двух последних соотношений следует

 

Тогда,

 

 

.4 Проверка правильности вычислений параметров состояния рабочего тала в характерных точках цикла

Т.к. из уравнения состояния следует, что , то для всех точек цикла должно выполняться соотношение:



Проверим:

;

;

;

;

 

Вычисления выполнены правильно.

.5 Результирующая работа цикла, среднее индикаторное давление рабочего тела и индикаторная мощность двигателя

Предварительно рассчитаем механическую работу, совершаемую рабочим телом, в каждом термодинамическом процессе.

В политропном сжатии  к рабочему телу из окружающей среды подводится энергия в механической форме. В этом процессе подводимая энергия затрачивается на повышение внутренней энергии рабочего тела при увеличении температуры, давления и при уменьшении объёма рабочего тела. Количество затраченной энергии в этом процессе рассчитывается по зависимости 4.6.

 

 

Знак минус в значении полученной механической работы указывает на то, что механическая энергия затрачивается на совершение термодинамического процесса.

В изохорном процессе c-y подвода энергии в тепловой форме из окружающей среды к рабочему телу механическая энергия не подводится и рабочее тело не совершает механическую работу. Это объясняется тем, что в этом процессе объём рабочего тела не изменяется.

 

В изобарном процессе  подвода энергии в тепловой форме из окружающей среды к рабочему телу происходит его расширение. Рабочее тело в этом процессе совершает механическую работу над окружающей средой.

 

 

 

Эту работу называют механической работой предварительного расширения. Положительное значение этой работы соответствует правилу знаков термодинамики.

В политропном расширении  рабочеe телo совершает механическую работу за счёт уменьшения своей внутренней энергии при уменьшении температуры, давления и при увеличении объёма рабочего тела. Работа рабочего тела в этом процессе рассчитывается по зависимости, аналогичной зависимости 4.6.

 

 

Положительное значение полученной механической работы указывает на то, что механическая работа совершается рабочим телом над окружающей средой.

Механическая работа в изохорном процессе a не совершается

 

Суммарная механическая работа, совершаемая рабочим телом в одном цилиндре за один цикл равна

;

 

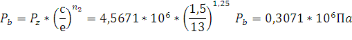
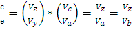
Среднее индикаторное давление рабочего тела в цикле

Этот параметр двигателя определяется по зависимости 5.5


 

Индикаторная мощность двигателя

В соответствии с зависимостью для четырёхтактного двигателя получим значение его индикаторной мощности

 

 

2.6 Расчёт тепловой энергии, которой рабочее тело обменивается с окружающей средой

В этом разделе будем определять не только тепловую энергию, которой рабочее тело обменивается с окружающей средой, но и средние мольные теплоёмкости в каждом термодинамическом процессе цикла. Для этого используем зависимости.

Средние мольные теплоёмкости воздуха и обмен тепловой энергией между рабочим телом и окружающей средой в процессе политропного сжатия a-c

По аппроксимирующей зависимости определим среднюю мольную теплоёмкость воздуха при постоянном объёме для двух диапазонов температур:  и , где  - начальная и конечная температуры рабочего тела в процессе сжатия

,

и

 

.

По зависимости определим среднюю мольную теплоёмкость при постоянном объёме в процессе сжатия рабочего тела

 


 

По полученному значению средней мольной теплоёмкости при постоянном объёме из уравнения определяем средний показатель адиабаты в процессе сжатия

,

,

а из уравнения 4,25 определяем среднюю мольную теплоёмкость в политропном сжатии

,

 

Теперь, используя уравнение, с учётом количества рабочего тела, участвующего в цикле, можно определить тепловую энергию, которой рабочее тело обменивается с окружающей средой


 

Тепловая энергия, которой обмениваются рабочее тело и окружающая среда, отрицательна. Напомним, что этот знак соответствует условию . Таким образом, в термодинамическом процессе политропного сжатия тепловая энергия отводится от рабочего тела в окружающую среду. Объясняется это следующим образом - вначале процесса наполнения цилиндров воздухом его температура меньше, чем у стенок цилиндров и тепло подводится из окружающей среды. Затем по мере сжатия температура воздуха растёт и становится больше чем у стенок и тепло начинает отводиться в окружающую среду. Ситуация складывается таким образом, что отведённое тепло больше подведённого, что вполне допустимый частный случай.

Средние мольные теплоёмкости воздуха и количество тепловой энергии, подведенной к рабочему телу из окружающей среды в изохорном термодинамическом процессе

При окислении топлива выделяется энергия в тепловой форме. Часть топлива окисляется (сгорает) в изохорном процессе .

Подведенное к топливу тепло в этом процессе определим из определения теплоёмкости вещества (уравнение 4.7), уравнения 4.20 и используя аппроксимирующую зависимость для средней мольной изохорной теплоёмкости рабочего тела в диапазонах температур от  до  и от  до . Заметим, что средняя мольная изохорная теплоёмкость рабочего тела в диапазоне температур 0° -  была определена в предыдущем разделе.

,

 

.

Тогда, подведенное к рабочему телу тепло из окружающей среды равно


 

Среднюю мольную теплоёмкость рабочего тела в изохорном процессе подвода тепла  определим из уравнения

 

.

Средние мольные теплоёмкости воздуха и количество тепловой энергии, подведенной к рабочему телу из окружающей среды в изобарном термодинамическом процессе

Часть топлива, не сгоревшая ранее в изохорном процессе, окисляется в изобарном термодинамическом процессе .

Как и в предыдущем случае, подведенное к топливу тепло в этом процессе рассчитаем из определения теплоёмкости вещества (уравнение 4.7) и уравнения 4.20. Предварительно из аппроксимирующей зависимости 4.24 определим среднюю мольную изобарную теплоёмкость рабочего тела в диапазонах температур от  до  и от  до .

,

.

,

.

 

 

Среднюю мольную теплоёмкость рабочего тела в изобарном термодинамическом процессе  определим из уравнения



 

Средние мольные теплоёмкости воздуха и обмен тепловой энергией между рабочим телом и окружающей средой в процессе политропного расширения  рабочего тела

По аппроксимирующей зависимости 4.23 определим среднюю мольную изохорную теплоёмкость воздуха для двух диапазонов температур: от  до . и от  до . Температуры и  - это начальная и конечная температуры рабочего тела в процессе политропного расширения

,

;

,

 

По зависимости 4.21 определим среднюю мольную теплоёмкость при постоянном объёме в процессе расширения рабочего тела


 

По полученному значению средней мольной теплоёмкости при постоянном объёме из уравнения 4.26а определяем средний показатель адиабаты в процессе расширения

,

,

а из уравнения 4,25 определяем среднюю мольную теплоёмкость в политропном расширении

,

 

Отрицательное значение средней мольной теплоёмкости в политропном расширении  означает, что в этом процессе по мере расширения и при уменьшении температуры рабочего тела тепловая энергия подводится из окружающей среды к рабочему телу.

Действительно, используя уравнение 4.10, с учётом количества рабочего тела, участвующего в цикле, определяем тепловую энергию, которой рабочее тело обменивается с окружающей средой

 

 

Итак, тепловая энергия, которой обмениваются рабочее тело и окружающая среда, положительна. Напомним, что этот знак соответствует условию . В реальных условиях такое возможно вследствие того, что в процессе расширения рабочего тела в цилиндре двигателя всё ещё догорает топливо, не сгоревшее в предыдущих изохорном и в изобарном процессах.

Средние мольные теплоёмкости воздуха и количество тепловой энергии, отведенной от рабочего тела в окружающую среду в изохорном термодинамическом процессе b-a

Ранее уже были рассчитаны значения средней мольной теплоёмкости рабочего тела в диапазонах температур  -  и  - , т.е. для граничных точек процесса отвода тепла.

.

Это позволяет рассчитать отведенное от рабочего тела тепло в изохорном процессе  по зависимости 4.20. С учётом количества вещества, участвующего в цикле, получим

 

 

Среднюю мольную изохорную теплоёмкость рабочего тела в процессе отвода тепла получим из уравнения 4.21

 

 

Результирующие параметры обмена тепловой энергией между рабочим телом и окружающей средой в цикле

Суммарное количество тепловой энергии, подведенной к рабочему телу в цикле

Положительный знак тепловая энергия, которой обменивается рабочее тело и окружающая среда, имеет в изохорном и изобарном термодинамических процессах подвода тепла и в политропных процессах сжатия и расширения рабочего тела. Поэтому, суммарное количество подведенной тепловой энергии в цикле равно

 

 

Количество тепловой энергии, отведенной от рабочего тела в цикле

Отрицательный знак тепловая энергия, которой обменивается рабочее тело и окружающая среда, имеет только лишь в изохорном термодинамическом процессе отвода тепла .

Поэтому, отведенная тепловая энергия от рабочего тела равна

.

Количество тепловой энергии преобразованной в механическую работу за один цикл в одном цилиндре двигателя

Контроль расчётов тепловой энергии в термодинамических процессах цикла

Из первого закона термодинамики следует, что в круговом термодинамическом процессе (иначе говоря, в термодинамическом цикле) в механическую работу преобразуется алгебраическая сумма тепловой энергии, подведенной к рабочему телу

 

 

Ранее уже была получена результирующая работа в цикле

 

Таким образом, полученная разными способами (по разным уравнениям) механическая работа в цикле совпала по величине с суммарной тепловой энергией. Погрешность расчёта составила

 

2.7 Расчёт параметров двигателя

Термический коэффициент полезного действия цикла

В соответствии с определением, термический коэффициент полезного действия цикла представляет собой отношение полученной в цикле механической работы к подведенной к рабочему телу тепловой энергии

 

Представляет интерес сравнение достигнутой в исследуемом термодинамическом цикле эффективности с эффективностью цикла Карно, реализованного в том же диапазоне температур, что и рассчитанный в проекте цикл. Значимость такого сравнения объясняется тем, что именно в цикле Карно достигается наивысшее значение термического кпд цикла.

 

Столь значительная разница в эффективности рассчитываемого цикла и цикла Карно вызвана прежде всего отличиями в форме цикла. Последнее станет возможным легко комментировать после построения тепловой диаграммы цикла.

Цикловой расход топлива, цикловой расход воздуха и коэффициент избытка воздуха

В предыдущих разделах проекта рассчитано количество тепловой энергии, подведенной к рабочему телу - . Это тепло образуется в результате сгорания топлива. Низшая теплотворная способность дизельного топлива может быть принята равной . Учитывая, что

,

получим цикловой расход топлива (количество сгоревшего топлива в одном цилиндре за один цикл)

 

Количество воздуха, наполняющего один цилиндр двигателя за один цикл, определится из простейшего соотношения

,

где  - молекулярная масса воздуха.

Учитывая, что для полного сгорания 1 килограмма дизельного топлива необходимо 14,8 килограмма воздуха [2], рассчитаем коэффициента избытка воздуха

 

При относительно невысоком значении степени сжатия полученное значение коэффициента избытка воздуха велико. В этом случае следует ожидать, что двигатель будет иметь большие габариты и вес, он будет иметь невысокую эффективность, но такой двигатель может иметь высокий ресурс и относительно хорошие экологические характеристики.

Расход топлива двигателем, мощность двигателя и его удельный расход топлива.

Из простейших рассуждений легко получить зависимость для определения расхода топлива двигателя

 

где  - количество циклов совершаемых воздухом во всех цилиндрах двигателя за 1 час.

Мощность двигателя определим с учётом его механического коэффициента полезного действия и полагая, что полнота наполнения цилиндров двигателя рабочим телом учтена значениями давления и температуры воздуха в начале процесса сжатия. Механический коэффициент полезного действия примем в соответствии с рекомендациями [2] равным .

 

По определению удельный расход топлива двигателем равен

 

2.8Изменение энтропии в термодинамических процессах цикла

Ранее уже было получено уравнение для расчёта энтропии в любом термодинамическом процессе цикла. Уравнение для удельной энтропии имеет вид

 

а для полной

 

где  - средняя мольная теплоёмкость рабочего тела в каком-либо термодинамическом процессе

 - конечная и начальная температуры рабочего тела в этом же процессе

 - количество рабочего тела в цикле

Так как для всех термодинамических процессов цикла средняя мольная теплоёмкость, начальная и конечная температуры рабочего тела рассчитаны, то можно выполнить расчёт изменения энтропии в этих процессах. Для удобства выполнения расчётов составим таблицу.

Итак,

в политропном сжатии

 

в изохорном процессе подвода тепла

 

в изобарном процессе подвода тепла

 

в политропном расширении

 

в изохорном процессе отвода тепла

 


Термодинамический процесс

Политропное сжатие

Подвод тепла при V=const

Подвод тепла при P=const

Политропное расширение

Отвод тепла при V=const

-0,139

24,346

34,983

-6,918

22,994

, К

317,0

818,9

1310,2

1965,3

1145,4

818,9

1310,2

1965,3

1145,4

317,0

-0,013

1,107

1,372

0,361

-2,858


Суммарное изменение энтропии рабочего тела за весь цикл

 

В круговом термодинамическом процессе суммарное изменение энтропии должно быть равно нулю. Как видно, погрешность расчёта энтропии невелика и составляет

 

.9 Построение индикаторной диаграммы цикла

Назначение и значимость индикаторной диаграммы цикла

Индикаторная диаграмма визуально отображает зависимость изменения давления рабочего тела от его объёма, во всех термодинамических процессах, составляющих цикл. Т.к. цикл круговой, то каждая следующая кривая  начинается в точке, в которой заканчивается кривая предыдущего термодинамического процесса.

Отличительной особенностью индикаторной диаграммы цикла является возможность визуально сравнивать и оценивать механическую работу отдельных термодинамических процессов и цикла в целом.

Действительно, уравнение 4.5 показывает, что механическая работа процесса, его участка или цикла в целом вычисляется как интеграл от давления рабочего тела по его объёму. Из этого следует, что площадь фигуры, ограниченной кривой давления рабочего тела, осью  и ординатами концов отрезка кривой, численно равна механической работе изменения объёма рабочего тела. Площадь фигуры, ограниченной всеми термодинамическими кривыми цикла, численно равна механической работе в цикле - индикаторной работе цикла.

Последовательность построения индикаторной и тепловой диаграмм цикла и результаты расчётов параметров для построения диаграмм

Из предыдущего раздела понятно: для графического построения индикаторной диаграммы необходимо изобразить в координатах  все термодинамические процессы, составляющие цикл. Можно графически изображать эти процессы аналитическими кривыми, а можно строить кривые термодинамических процессов традиционно - по точкам (координатам)..

Для построения диаграммы необходимы значения параметров состояния рабочего тела не только в характерных точках цикла, но и в промежуточных точках кривых термодинамических процессов. Для удобства дальнейшего изложения переименуем характерные точки цикла. Параметры состояния рабочего тела в точке “” в дальнейшем будем обозначать с индексом “”, в точке “” - с индексом “”, в точке “” - с индексом “”, в точке “” - с индексом “”, в точке “” - с индексом “”. Именно между этими характерными точками, представляющими начала и концы всех термодинамических процессов, и рассчитаем промежуточные параметры состояния рабочего тела.

Предлагается разделить термодинамические процессы на участки следующим образом:

Процесс политропного сжатия на четыре участка с тремя промежуточными точками “”. Эти точки разделяют объём, описываемый поршнем в этом процессе, на равные доли;

Процесс изохорного подвода тепла на два участка с одной промежуточной точкой “”. В точке “” давление рабочего тела является среднеарифметической величиной давлений на концах этого процесса;

Процесс изобарного подвода тепла на два участка с одной промежуточной точкой “”. В точке “” объём рабочего тела - среднеарифметическая величина объёмов на концах этого процесса;

Процесс политропного расширения на четыре участка с тремя промежуточными точками “”. Эти точки разделяют объём, описываемый поршнем в этом процессе, на равные доли;

Процесс изохорного отвода тепла на четыре участка с тремя промежуточными точками “”. Эти точки разделяют величину изменения давления в этом процессе на четыре равные доли.

Параметры состояния рабочего тела во всех промежуточных точках определяем по тем же уравнениям, по которым ранее определялись параметры в характерных точках цикла.

Выполним расчёт.

Значения параметров состояния в точках процесса политропного сжатия.


 

 

 

;

 

 

 

 

;

Значения параметров состояния в точках процесса изохорного подвода тепла.


 


 

 

 

Значения параметров состояния в точках процесса изобарного подвода тепла.

 

 

 

 

 

 

Значения параметров состояния в точках процесса политропного расширения.

 

 

 

 

 

;

 

 

;

 

 

;

 

Значения параметров состояния в точках процесса изохорного отвода тепла.

 

 

 

 

 

;

 

;

 

;

;

Для удобства построения диаграмм составлена сводная таблица параметров состояния рабочего тела

Индикаторная и тепловая диаграммы цикла приведены на рис. 1 и рис. 2 приложения.

.10 Индикаторная диаграмма двигателя

В методическом пособии дано представление об индикаторной диаграмме двигателя, описана её значимость для анализа цикла и доводки двигателя, а также приведены основные методические подходы, зависимости и указания для построения индикаторной диаграммы двигателя.

Индикаторная диаграмма двигателя представляет собой зависимость давления рабочего тела в термодинамическом цикле от угла поворота кривошипа (угла поворота коленвала двигателя).

Ранее уже были получены зависимости для расчета давления от объёма рабочего тела для всех термодинамических процессов, составляющих цикл. Поэтому, здесь обратим внимание главным образом на последовательности и расчёте объёма рабочего тела в зависимости от угла поворота кривошипа

Методически выберем следующую последовательность расчёта.

) Определяем интервал изменения угла поворота кривошипа в каждом термодинамическом процессе, составляющем цикл.

В процессе политропного сжатия угол поворота кривошипа  изменяется от  до . Изохорные процессы подвода и отвода тепла происходят при неизменном значении угла поворота кривошипа. Значение угла поворота кривошипа в изохорном процессе подвода тепла равно , а в изохорном процессе отвода тепла - . Неизвестным остаётся только лишь угол поворота кривошипа, при котором заканчивается изобарный процесс подвода тела и начинается политропное расширение рабочего тела.

Именно это значение угла поворота кривошипа и следует определить для того, чтобы установить интервалы изменения угла в изобарном процессе подхода тепла и в процессе политропного расширения рабочего тела (см. далее).

) Изменяем с достаточно малым шагом угол поворота кривошипа внутри каждого интервала и для каждого угла определяем объём рабочего тела и его давление.

В методическом пособии приведена упрощенная зависимость 7.1, позволяющая рассчитывать объём рабочего тела при изменении угла поворота кривошипа

Зависимость объёма рабочего тела от угла поворота кривошипа описывается формулой:

 

- текущий объём рабочего тела

 - объём рабочего тела в конце термодинамического процесса сжатия

 - степень сжатия

 - угол поворота кривошипа

Видоизменив формулу получим соотношение для определения угла поворота кривошипа в конце изобарного подвода тепла - в начале политропного расширения рабочего тела

 

 

Этому значению соответствует значение угла 156 и 204 градусов. Так как конец изобарного подвода тепла - начало политропного расширения рабочего тела находится в интервале 180-360 градусов угла поворота коленвала, то выбираем значение 204 градус.

Рассчитаем значение давления в каждом термодинамическом процессе. В процессе политропного сжатия рабочего тела давление считается по следующей зависимости:

 

 

Разобьем работу кривошипа в этом термодинамическом процессе на 15 равных частей через 12 градусов для построения индикаторной диаграммы двигателя и посчитаем давление на каждом из участков и запишем полученные данные в таблицу:

0

0,085

48

0,107

96

0,226

144

1,003

12

0,086

60

0,122

108

0,303

156

1,610

24

0,090

72

0,144

120

0,427

168

2,411

36

0,096

84

0,176

132

0,638

180

2,854



Для графического изображения термодинамических процессов подвода тепла при постоянном давлении и объёме достаточно по 2 точки в каждом процессе

Процесс изохорного подвода тепла

 

Процесс изобарного подвода тепла

 

В процессе политропного сжатия рабочего тела давление считается по следующей зависимости:

 

Разобьем работу кривошипа в этом термодинамическом процессе на 11 равных частей через  градусов, т.е. 14,2 градусов для построения индикаторной диаграммы двигателя и посчитаем давление на каждом из участков и запишем полученные данные в таблицу:

204

4,567

246,2

1,131

288,9

0,490

331,6

0,330

217,8

2,740

260,4

0,807

303,1

0,412

345,8

0,313

232,0

1,701

274,7

0,612

317,3

0,361

360,0

0,307


Процесс изохорного отвода тепла

 

2.11 Внешняя скоростная характеристика двигателя

В этом разделе предстоит построить графические зависимости эффективной мощности двигателя, вращающего момента, расхода топлива и удельного расхода топлива от частоты вращения коленчатого вала двигателя при его работе с наибольшей цикловой подачей топлива. Такая характеристики двигателя называется внешней скоростной.

На основании большого количества экспериментальных исследований поршневых двигателей внутреннего сгорания были получены эмпирические зависимости, описывающие внешнюю скоростную характеристику двигателя [3]. По этим данным мощность двигателя представляет собой кубическую параболу, а расход топлива примерно пропорционален частоте вращения коленвала двигателя.

Такой вид зависимости мощности двигателя от частоты вращения его коленвала объясняется рядом факторов. Наибольшее влияние на форму кривой мощности оказывают коэффициент наполнения цилиндров двигателя рабочим телом и изменение параметров сгорания топлива. Эти факторы существенно изменяются по мере уменьшения времени протекания цикла (при увеличении частоты вращения коленвала двигателя).

Мощность двигателя может быть описана зависимостью

,

в которой

 - максимальная мощность двигателя, значение которой уже получено в примере расчёта;

 - мощность двигателя;

 - относительная частота вращения коленвала, представляющая собой отношение текущей частоты к частоте вращения коленвала при максимальной мощности;

 - текущая частота вращения коленвала двигателя;

 - частота вращения коленвала двигателя, заданная в исходных данных курсового проекта.

 - эмпирические коэффициенты.

Для дизельных двигателей в [3] рекомендуется выбирать значение коэффициента . Коэффициенты  и  следует получать решением системы уравнений

 (для обеспечения  при );

 (т.к. при  мощность двигателя принимает максимальное значение).

 

При построении внешней скоростной характеристики двигателя, его максимальную мощность следует определять по приведенной зависимости, расход топлива принимать прямо пропорциональным частоте вращения коленвала, а удельный расход топлива рассчитывать по зависимости 5.12         

Вращающий момент двигателя рассчитывается по формуле

,

где  - текущая угловая скорость вращения коленвала двигателя

Результаты расчётов параметров двигателя, необходимых для построения его внешней скоростной характеристики приведены в таблице.


Максимальная мощность двигателя - т. Внешняя скоростная характеристика двигателя приведена на рис. 4 приложения.

Выводы

В курсовом проекте выполнены следующие расчёты и графические построения.

) Выполнен термодинамический анализ идеализированного цикла поршневого двигателя внутреннего сгорания при смешанном подводе тепловой энергии и с политропными процессами сжатия и расширения рабочего тела.

В расчёте определены:

параметры состояния рабочего тела в характерных точках цикла;

параметры термодинамического цикла - среднее индикаторное давление рабочего тела, индикаторная мощность цикла, цикловой расход топлива и рабочего тела, коэффициент избытка воздуха и термический коэффициент полезного действия цикла;

параметры необходимые для построения индикаторной диаграммы цикла;

параметры внешней скоростной характеристики двигателя.

) Построены:

индикаторная диаграмма цикла;

внешняя скоростная характеристика двигателя.

Литература

1. Н.И. Прокопенко. Термодинамический расчёт идеализированного цикла поршневого двигателя внутреннего сгорания. М.: БИНОМ. Лаборатория знаний, 2006

. А.В. Богатырёв, Ю.К. Есеновский - Лашков, М.Л. Насоновский, В.А. Чернышёв. Автомобили. М.: “КолосС”, 2004

. В.И. Песков. Теория автомобиля. Н. Новгород.: Нижегородский Государственный Технический Университет, 2006.

Похожие работы на - Расчет идеализированного термодинамического цикла поршневого двигателя со смешанным подводом тепловой энергии и политропными процессами сжатия и расширения рабочего тела

 

Не нашли материал для своей работы?
Поможем написать уникальную работу
Без плагиата!
Без нейросетей!