Разработка инвестиционного проекта производства по заготовке и переработке древесины ИП 'Береснев Н.А.' в Шарьинском районе
Бизнес-план
Инвестиционного
проекта производства по заготовке и переработке древесины ИП "Береснев
Н.А."
в Шарьинском
районе
Шекшема -
2014 г.
Резюме
Инициатор проекта - Индивидуальный
предприниматель Береснев Никита Алексеевич (далее ИП "Береснев Н.А.",
контактный телефон 8 953 662 12 76.
Местонахождение предприятия - 157520
Костромская область, Шарьинский р-он, п. Шекшема, ул. Кирова, д.7, кв.2
Организационно - правовая форма -
индивидуальный предприниматель.
Форма собственности - частная.
Основной вид деятельности -
заготовка и переработка древесины.
Цели реализации
инвестиционного проекта:
• Внедрение
глубокой безотходной переработки древесины на базе имеющихся производственных
мощностей;
• Содействие
занятости населения Шарьинского района Костромской области;
• Освоение
значительных для района инвестиционных вложений в сумме 1500 тыс. руб.;
• Организация
эффективной работы предприятия путём создания рентабельного, устойчивого в
финансовом отношении предприятия, выпускающего конкурентоспособную продукцию;
• Инвестирование
собственных средств в производство и выполнение социально значимых мероприятий
предприятием в Шарьинском районе;
• Приобретение
технологического оборудования по переработке древесины.
Правовое и
ресурсное обеспечение проекта. Производственная деятельность предприятия
осуществляется в соответствии с Гражданским кодексом Российской Федерации (1996
г.) и Федеральным законом от 24.07.2007 г. № 209-ФЗ (ред. от 23.07.2008
г.)"О развитии малого среднего предпринимательства в Российской
Федерации" и на основании:
·
свидетельства о государственной регистрации: серия 44 №000063487,
выдано 23 июля 2004 года Межрайонной инспекцией ФНС №2 по Костромской области.
ОГРН № 304443320500238 ИНН 442900058902.
Бизнес-план
инвестиционного проекта производства по заготовке и переработке древесины ИП
"Береснев Н.А." в Шарьинском районе разработан в полном соответствии
со Стратегией развития лесного комплекса РФ до 2020 года и программой развития
лесопромышленного комплекса Костромской области на период до 2010 года. Наличие
достаточных запасов спелой древесины в Шарьинском муниципальном районе
позволяет успешно реализовать предлагаемый проект.
Реализация проекта позволит:
• объединить
производственные, технические и финансовые мощности для заготовки и переработки
древесины;
• обеспечить дровами
социально значимые объекты и население района;
• организовать эффективную
работу предприятия на основе дальнейшего развития технической и
производственной базы;
• получить возможность аренды
необходимой сырьевой базы с годовым объемом лесопользования 5 тыс. м3/год;
• освоить новые технологии
заготовки и деревообработки;
• развить инфраструктуру
Шарьинского района;
• создать новые современные
рабочие места;
• улучшить жизненный уровень
работников и членов их семей.
• увеличить налоговые
поступления в бюджеты всех уровней;
Коммерческий продукт проекта -
продукция лесозаготовки и лесопиления.
Суть проекта - развитие
лесозаготовительного и деревообрабатывающего производства.
Форма участия Костромской области:
предоставление в аренду лесосырьевой базы с годовым объемом лесопользования 5
тыс. м3/год в Шарьинском районе.
Результаты
маркетингового анализа и рынков сбыта - ИП "Береснев Н. А." строит
свое ценообразование, проводя политику доступных цен, за счет чего стремится к
достижению наиболее высокого уровня прибыли, максимально используя для себя
удачную ситуацию на рынке (незначительная конкуренция, спрос на продукцию).
Вместе с тем, по мере развития ИП "Береснев Н. А." выберет стратегию
расширения сферы производственной деятельности и деятельности по предоставлению
услуг, а также расширит деятельность за пределами Шарьинского района.
Инвестиционный проект производства по заготовке и переработке древесины ИП
"Береснев Н. А." в Шарьинском районе подтверждает эффективность
проектируемых мероприятий.
Сметная стоимость реализации проекта
- 1500 тыс. руб.
Сроки ввода в эксплуатацию
оборудования - 20013 - 2015 гг.
Срок окупаемости проекта - 28
месяцев.
Основные
производственные и финансовые показатели - В результате социально-экономической
оценки инвестиционного проекта производства по заготовке и переработке
древесины ИП "Береснев Н.А." в Шарьинском районе установлено, что
инвестор имеет мощности по заготовке и переработке древесины, что позволяет
производить товарную продукцию в объеме 923 тыс. руб. в год. Для организации
производства инвестор имеет в штате необходимых специалистов, а также комплекс
машин и механизмов. Планы инвестора развить мощности по заготовке и переработке
древесины соответствуют направлениям развития лесопромышленного комплекса
Костромской области.
В процессе реализации проекта
планируется использование местной арендованной лесосырьевой базы с объемом
расчетной лесосеки 5 тыс. м3 в год, углубленная переработка
древесного сырья и наращивание объемов производства товарной продукции до 8800
тыс. руб. в 2013 году.
В результате анализа движения
денежных средств установлено, что инвестиционный проект в сумме 1500 тыс. руб.
полностью реализуется за счет чистой выручки от основной деятельности в 2013 -
2015 гг. При этом объем налогов и обязательных платежей возрастает со 133 тыс.
руб. в 2013 г. до 1175 тыс. руб. в 2015 г. Сумма налогов, платежей, в т. ч.
платы за лесные ресурсы, увеличивается до 1811 тыс. руб. в год и достигает
объема 2863 тыс. руб. за период внедрения проекта.
Реализация инвестиционного проекта
позволит увеличить количество выпускаемых высококачественных лесоматериалов, в
том числе для полного обеспечения заказов местного населения. Фонд оплаты труда
возрастет с 230 в 2003 г. до 2200 тыс. руб. в 2015 году. Это позволит увеличить
численность работающих до 8 человек при средней зарплате не менее 24200 руб. в
месяц.
Учитывая трудности по обеспечению
населения и местных социальных объектов дровами, весь объем дровяной древесины
- 1000 м3 в год, несмотря на их отрицательную рентабельность, будет
реализовываться на объекты жилой и социальной сферы муниципального района по
приемлемым для потребителей ценам.
Объем
инвестиционных затрат - всего инвестиционных вложений по проекту - 1500 тыс.
руб. Все средства планируется вложить на приобретение технологического
оборудования.
Заключение -
Получаемая предприятием прибыль позволяет реализовать инвестиционный проект
производства по заготовке и переработке древесины ИП "Береснев Н.А."
в Шарьинском районе. В результате анализа движения денежных средств
установлено, что инвестиционный проект в сумме 1500 тыс. руб. полностью
реализуется за счет чистой выручки от основной деятельности в 2003 - 2015 гг.
Содержание
1. Маркетинго ый анализ
1.1 Характеристика лесной отрасли
1.4 Финансовые вложения инвестора
1.5 Результаты маркетинговых исследований
1.5.1 Анализ цен на продукцию
1.5.2 Анализ рынка и конкурентной среды
1.5.3 Маркетинговая стратегия предприятия
1.5.4 Прогноз продаж
2. Производственный план
2.1 Сведения о предприятии
2.2 Ассортимент продукции
2.3 Производственные мощности
2.4 Технологическая схема основного
производства
2.5 Динамика реализации основных видов
продукции
2.6 Система сбыта
2.7 Основные потребители продукции
3. Финансовый план на период окупаемости
проекта
3.1 Фактические объемы производства и
реализации продукции в 2013 г.
3.2 Плановые объемы производства продукции
в 2014 г.
3.3 Плановые объемы производства продукции
в 2015 г.
3.4 Выручка от реализации продукции в 2013
- 2014 гг.
3.5 Налоги
4. Структура себестоимости
5. Оценка экономической эффективности
инвестиционного проекта
5.1 Движение денежных средств
5.2 Баланс расходов и доходов
5.3 Показатели эффективности
инвестиционного проекта
6. Факторы риска и стратегия снижения
рисков
7. Оценка воздействия на окружающую среду
8. Выводы и предложения
1. Маркетинго ый анализ
.1 Характеристика лесной отрасли
Основными
аргументами, подтверждающими достижимость заявленных целей и поставленных
задач, являются тенденции развития лесопромышленного комплекса Российской
Федерации и оценки емкости рынка потребления.
В октябре 2008 года
была утверждена Стратегия развития лесного комплекса Российской Федерации до
2020 года, в которой впервые реализован комплексный подход и определены
действия двух сегментов лесного сектора: лесного хозяйства и лесной
промышленности. В результате ведомственные проблемы двух подотраслей лесного
сектора стали общегосударственными и решаются в увязке по объемам и местам
размещения производств, имеющимися доступными лесными и трудовыми ресурсами,
рынками сбыта лесобумажной продукции и транспортной логистики. Основные
направления Стратегии - повышение уровня использования имеющихся лесных
ресурсов, увеличение объемов и повышение качества переработки древесины,
снижение объемов экспорта круглого леса, вытеснение с российского рынка
импортных товаров.
Лесная отрасль
России многими аналитиками оценивается как обладающая значительным потенциалом
для развития. Развитие лесной отрасли необходимо для успешного формирования
бюджетов субъектов Российской Федерации, для создания новых производств,
вовлечения в промышленную сферу кадров различного уровня, обеспечения их
рабочими местами. Это необходимо для насыщения и удовлетворения потребностей
внутреннего рынка, в условиях повышения спроса на продукцию деревообработки в
связи с увеличением объемов строительства.
Традиционно лесная промышленность
сосредотачивалась в регионах, где имелись самые удобные естественные лесные
ресурсы. К такому региону относится и Костромская область. Использование
расчетной лесосеки по лесничествам Костромской области в последние 40 лет
неуклонно снижалось. Причем в 90-х годах оно начало резко падать, что адекватно
отражало общую экономическую ситуацию в стране. Фактический объём заготовок
древесины по главному пользованию за сорок лет снизился почти в 3 раза. В
настоящее время поступают в рубку вторичные мягколиственные леса,
сформировавшиеся на концентрированных рубках хвойных насаждений 30 - 50-х
годов. Таких лесов в Костромской области более 1,5 млн. га.
В целом леса Костромской области в
настоящее время обладают высоким ресурсным потенциалом. Основные показатели
лесного фонда Костромской области представлены в табл.1.1. Общий объем
заготовки древесины в лесничествах области по всем видам рубок составил в 2007
году 5537, 5 тыс. м³. Выход деловой древесины при этом в целом по области составляет
63,2%. Для нужд местного населения используется 1,7% заготавливаемой древесины.
Таблица 1.1. Основные показатели
лесного фонда Костромской области
|
Показатели
|
Объемы
|
|
1. Общая площадь, тыс. га
|
4632,0
|
|
2. Покрытые лесной растительностью земли, тыс. га в том числе
хвойными насаждениями
|
4388.6 2059.0
|
|
3. Общий запас древесины, млн. м3 в том числе спелых
и перестойных насаждений, из них по хвойному хозяйству
|
715.3 204.3 89.3
|
|
4. Общий средний прирост, млн. м3
|
15.1
|
|
5. Средний запас на 1 га, м3
|
162
|
|
6. Средний запас на 1 га спелых и перестойных насаждений, м3
|
242
|
Потребность в древесине Костромской
области по оценке Департамента лесного хозяйства и органов государственной статистики
показана в табл. 1.2.
Таблица 1.2
Потребность в древесине Костромской
области
|
Наименование
|
Потребность в древесине, тыс. м³
|
|
Производство древесных плит
|
1550
|
|
Производство фанеры
|
725
|
|
Производство пиломатериалов
|
750
|
|
Прочие производства (срубы, уголь)
|
50
|
|
Экспорт и реализация круглых лесоматериалов
|
420
|
|
Дрова для котельных ЖКХ области
|
192
|
|
Дрова для населения
|
550
|
|
Итого
|
4237
|
Фактический объем заготовки
древесины по всем видам рубок удовлетворяет потребности области в древесном
сырье для производства и потребления по указанным в таблице позициям.
По данным анализа некоторых кампаний
в связи с планируемым увеличением строительства жилья, развитием малого
предпринимательства, развитием ряда отраслей и экономики в целом, увеличением
покупательной способности населения спрос на продукцию из древесины к 2010 году
должен был возрасти на 50%, однако финансовый кризис внес существенные
коррективы, снизив объемы лесозаготовок и объемы реализации лесной продукции.
Областная целевая
программа "Программа развития лесопромышленного комплекса Костромской
области на период до 2010 года" реализуется на территории области с января
2005 года.
В связи Программой определены
приоритетные направления развития лесной промышленности области:
опережающее развитие мощностей по
глубокой переработке древесины (производство целлюлозно-бумажной продукции,
фанеры, плит, мебели, изделий деревообработки);
ориентация на экспорт продукции с
высокой добавленной стоимостью;
бизнес план инвестиционный проект
техническое перевооружение и модернизация
перспективных действующих лесопромышленных предприятий;
повышение эффективности
использования сырья и топлива за счет введения в действие ресурсосберегающих
технологий;
совершенствование и развитие
внешнеторговой деятельности.
Сокращение экспорта стандартных
пиломатериалов с увеличением выпуска специфицированных и заказных
пиломатериалов, а также продукции деревообрабатывающих производств. Удельный
вес камерной сушки пиломатериалов в 2010 г. составит 79%;
В сфере лесопереработки малое
предпринимательство намечается к дальнейшему развитию на базе действующих и
создаваемых малых предприятий.
На основе результатов обследования
современного состояния малого предпринимательства, а также с учетом
перспективного спроса и предложений по развитию производства лесопродукции на
крупных и средних предприятиях, в состав Программы рекомендуются к созданию
малые предприятия следующих профилей:
лесозаготовки;
лесопиление, включая черновые
мебельные заготовки, погонажную продукцию, строительные и столярные конструкции
и детали;
сбор и транспортировка древесных
отходов;
производство кухонной, мягкой и
других видов мебели, в том числе по индивидуальным заказам населения;
производство лесохимической
продукции (древесный уголь, активированный уголь и т.д.).
Для обеспечения эффективности работы
вновь создаваемых малых предприятий рекомендуются к внедрению разработанные в
отраслевых научно-исследовательских и проектных институтах (ОАР
"Научдревпром-ЦНИИМОД", ОАО "ЦНИМЭ", ОАО
"Гипродрев", ФГУП "Кировлеспром", ОАО "ЦНИЛХИ" и
др.), технологические схемы организации производства лесоматериалов,
обеспечивающие выпуск на одном малом предприятии следующие объемы:
в лесозаготовительном производстве -
до 25 тыс. м³
древесины в год, с числом занятых до 30 человек основных рабочих;
в лесопилении - не менее 5 тыс. м³ в год, с числом занятых
8-15 основных рабочих;
в производстве оконных блоков -
10-20 тыс. м³
в год, с числом занятых от 20 до 30 человек основных рабочих;
в производстве древесного угля -
1000 тонн в год, с числом занятых 23 человека основных рабочих.
В целом
инвестиционный проект производства по заготовке и переработке древесины ИП
"Голубева О. В." в Шарьинском районе разработан в полном соответствии
со Стратегией развития лесного комплекса РФ до 2020 года и программой развития
лесопромышленного комплекса Костромской области на период до 2015 года.
1.2 Краткая характеристика
Шарьинского муниципального района
На территории Шарьинского
муниципального района земли лесного фонда занимают площадь 323,9 тыс. га.
Лесистость района - 76,8 %. Общий запас насаждений составляет 52,8 млн. м3, из
них спелых и перестойных - 12,1 млн. м3 (22,9 %), в том числе хвойных пород -
5,6 млн. м3 (46 %).
Объем расчетной лесосеки в границах
Шарьинского муниципального района составляет 642,7 тыс. м3, в том числе по
хвойному хозяйству 162,4 тыс. м3. Фактическое освоение расчетной лесосеки по
общему объему за 2008 год составило 54,9 %, в том числе по хвойному хозяйству
56,3 %.
Передано в аренду лесных участков с
ежегодным объемом лесопользования 251,6 тыс. м3 или 39 % от общей расчетной
лесосеки. Использование утвержденных объемов в арендованных участках составило
82 %. По результатам аукционов по продаже права на заключение договора
купли-продажи лесных насаждений для заготовки реализовано 162,7 тыс. м3
древесины на корню.
В лесопромышленном комплексе
Шарьинского муниципального района осуществляют деятельность 10 предприятий и 31
индивидуальный предприниматель, занимающихся заготовкой и переработкой леса. В
2008 году в бюджет района поступило доходов от использования лесов 17504 тыс.
рублей.
В лесопромышленном комплексе
работает около 34 % всех работающих, занятых в реальном секторе экономики
района. Средняя заработная плата на предприятиях ЛПК составляет 13 847 руб.
Доля деревообработки в промышленном производстве составляет 66,6 % от общего
объема отгруженной продукции, произведенной в районе в 2008 году. Всего в 2008
году отгружено продукции собственного производства лесной отрасли на 235,4 млн.
рублей или 117 % к факту 2007 года, в том числе по переработке древесины - 65,9
млн. рублей или 105 % к соответствующему уровню 2007 года.
Наиболее значимые для района
являются предприятия: ООО "Кронолеспром", филиалы ГП КО
"Костромахозлес", "Костромалес", ООО "ЛЕСОПРОМЫШЛЕННЫЙ
КОМПЛЕКС", ИП Баранов А.В., ИП Дрюченков О. С.
Наличие запасов спелой древесины в
Шарьинском муниципальном районе позволяет успешно реализовать предлагаемый
инвестиционный проект производства по заготовке и переработке древесины ИП
"Береснев Н. А.".
.3 Вклад проекта в
социально-экономическое развитие района
. Создание рабочих мест в Шарьинском
районе. Реализация инвестиционного проекта позволит увеличить количество
выпускаемых высококачественных лесоматериалов, в том числе для полного
обеспечения заказов местного населения. Фонд оплаты труда возрастет с 230 в
2009 г. до 2200 тыс. руб. в 2014 году. Это позволит увеличить численность
работающих до 8 человек при средней зарплате не менее 24200 руб. в месяц.
2. Помощь району в
обеспечении социальной инфраструктуры топливом и услуги населению.
. Помощь
лесничеству в охране и защите лесов района.
. Обеспечение более
полного освоения расчетной лесосеки и лесовосстановления.
5. Планируемое поступление налогов и
обязательных платежей возрастает со 133 тыс. руб. в 2009 г. до 1175 тыс. руб. в
2014 г. Сумма налогов, платежей, в т. ч. платы за лесные ресурсы, увеличивается
до 1811 тыс. руб. в год и достигает объема 2863 тыс. руб. за период внедрения
проекта.
6. Лесные подати, в
размерах, установленных законодательством.
1.4 Финансовые вложения инвестора
Планируемые финансовые вложения
инвестора представлены в табл.1.3 Общая сумма вложений по инвестиционному
проекту составит 1500, 0 тыс. руб.
Таблица 1.3
Капитальные вложения инвестора с
2013 по 2015 год, тыс. руб.
|
Вид капитального вложения
|
Год
|
Итого
|
|
2013
|
2014
|
2015
|
|
|
Приобретение лесопильного цеха и оборудования
|
200
|
600
|
700
|
1500
|
|
Всего
|
200
|
600
|
700
|
1500
|
Финансирование проекта
предполагается осуществлять исключительно за счет собственных средств.
1.5 Результаты маркетинговых исследований
1.5.1 Анализ цен на продукцию
Мониторинг цен на
продукцию лесопиления по данным различных источников позволил установить
расчетную цену на 2014 год для Инвестиционного проекта по ассортименту на
кубический метр продукции, в следующих размерах:
· Пиломатериалы -
3800 руб. /м3;
· Балансы лиственные
- 690 руб. /м3;
· Балансы хвойные -
700 руб. /м3;
· Фанерное сырье -
1000 руб. /м3;
· Дрова топливные -
280 руб. /м3.
Последующие годы
рассчитаны исходя из базовых цен 2014 г., с учетом коэффициента дисконтирования
- 0.1525.
Использованы источники информации:
информация ВО "Промсырьеимпорт", ВТФ "Твердое топливо",
сентябрь 2009 г., бюллетени "Цена дайджест", "Цены российского и
мирового рынков" 2006-07 гг., материалы ГНИВЦ ФТС РФ 2007-08-09 гг.
За последние десять
лет на российский рынок поставлено достаточно большое количество оборудования
для производства качественных пиломатериалов. Поставщиками
высокотехнологического оборудования являются ведущие производители техники для
деревообработки из США, Германии, Италии, других европейских стран, а также
российские фирмы (Прайс-лист "Станки деревообрабатывающие" - Нижний
Новгород, 2008; Деревообрабатывающие оборудование. - Вильнюс, 2006 и др.).
Зарубежный рынок
лесоматериалов, по прогнозу американской компании "Freedonia" будет
развиваться в условиях наметившегося оживления спроса на продукцию в странах
ЕС, особенно после увеличения финансирования строительства муниципального
жилья, что приведет к увеличению объемов потребления на 4-7% в год с повышением
цен примерно на 5-6%.
1.5.2 Анализ рынка и конкурентной среды
Лесная
промышленность является одной из ведущих и перспективных отраслей экономики
Костромской области. В настоящее время в области зарегистрировано 1023
предприятия, которые имеют отношение к лесному бизнесу и 1367 индивидуальных
предпринимателей. Предприятия лесопромышленного комплекса производят широкий
перечень наименований продукции, значительная часть которой поставляется за
пределы региона.
Сегодня
"Программой развития лесопромышленного комплекса Костромской области на период
до 2010 года" определено опережающее развитие лесоперерабатывающих
производств с целью переработки низкокачественной древесины.
В настоящее время, по состоянию на
1.07.2009 года большой конкуренции в данном сегменте рынка в Шарьинском районе
не наблюдается.
Вместе с тем, по мере развития ИП
"Береснев Н.А." выберет стратегию расширения сферы производственной
деятельности и деятельности по предоставлению услуг в ЦФО, а также расширит
деятельность предприятия за пределами Шарьинского района.
По мере расширения сферы
производственной деятельности, будут наращиваться доходы от данного вида
деятельности и поступление налогов в доходную часть административного района.
Бизнес-план
инвестиционного проекта производства по заготовке и переработке древесины ИП
"Береснев Н. А." в Шарьинском районе подтверждает эффективность
проектируемых мероприятий.
Опыт работы и
приобретение производственных объектов ИП "Береснев Н. А."
показывают, что инвестор успешно использует производственные мощности по
заготовке и переработке древесины и имеет в штате необходимых специалистов, а
также приобретает необходимый комплекс технических средств в собственность.
1.5.3 Маркетинговая стратегия предприятия
Для проведения
анализа рынка и выявления слабых и сильных сторон организации, ее преимуществ
по сравнению с конкурентами, а также оценки возможных рисков и угроз
используется SWOT-анализ, который позволяет оценить стратегическую ситуацию для
конкретного Предприятия во внешнем окружении (табл.1.4).анализ свидетельствует
о наличии у Предприятия сильных сторон (малая удаленность от источников сырья,
низкие издержки, высокое качество продукции) и благоприятных возможностей
(разнообразный ассортимент, рост рынка сбыта, слабая конкуренция) на момент
возможного серьезного расширения рынка сбыта, что является основанием для
реализации стратегии интенсивного роста объемов производства и реализации
продукции, а также позволит занять Предприятию достойное место в своем регионе.
Таблица 1.4
Матрица
SWOT-анализа
|
Сильные стороны
|
Возможности
|
|
1
|
2
|
|
1
|
Малая удаленность от источников сырья.
|
1
|
Увеличение разнообразия в производстве взаимосвязанных
продуктов.
|
|
2
|
Низкие издержки.
|
2
|
Возможность перехода к более эффективным стратегиям.
|
|
3
|
Высокое качество продукции.
|
3
|
Привлечение иностранного инвестора.
|
|
4
|
Наличие финансовых ресурсов.
|
4
|
Слабая конкуренция на рынке.
|
|
5
|
Участие в предприятии органов местного самоуправления.
|
5
|
Государственная поддержка.
|
|
6
|
Изобретательность при стратегическом планировании деятельности
предприятия.
|
6 7
|
Снижение экспортных тарифов. Постоянные поставщики.
|
|
7
|
Склонность к инновациям.
|
8
|
Тенденция роста рынка
|
|
8
|
Эффективный менеджмент.
|
9
|
Налаживание производства сопутствующих продуктов
|
|
Слабые стороны
|
Угрозы
|
|
1
|
Удаленность от крупных транспортных узлов.
|
1
|
Возможность появления новых конкурентов.
|
|
2
|
Отсутствие квалифицированных специалистов.
|
2
|
Неблагоприятная экономическая политика.
|
|
3
|
Применение общеизвестной технологии производства.
|
3
|
Возрастание силы торга у покупателей.
|
|
4
|
Сильная зависимость от финансовых ресурсов.
|
4
|
Изменение потребностей и вкуса покупателей.
|
|
5
|
Сильная зависимость от потребителей продукции.
|
5
|
Возрастающее конкурентное давление.
|
Одновременно
SWOT-анализ показывает, что внешние угрозы Предприятию и его слабые стороны
могут быть успешно компенсированы при проведении эффективной политики
управления, учитывающей сильные стороны Предприятия и благоприятные внешние
условия.
Основные
производственные цели и перспективы развития предприятия. Миссия Предприятия
состоит в производстве и реализации пиломатериалов при ориентации на широкий
круг потребителей, наиболее полное удовлетворение потребностей заказчиков с
учетом интересов клиентов и сотрудников Предприятия; организация дополнительных
рабочих мест.
Стратегическими
целями Предприятия на срок реализации проекта являются:
1. Развитие Предприятия, увеличение объемов производства для наиболее
полного использования лесосырьевых ресурсов в данной местности, внедрение новых
технологий по переработке древесины и повышение производительности труда;
2. Расширение рынка сбыта за счет предложения исчерпывающего
ассортимента продукции, разработки новых видов продукции и продвижения ее к
покупателю;
Для организации
устойчивого и долговременного производства руководство Предприятия решило
следовать следующим основным маркетинговым стратегиям.
Стратегия снижения
себестоимости продукции.
Преимущества и
условия реализации данной стратегии состоят в следующем:
Преимущества
· дополнительный рост объема продаж и получение прибыли за счет
уменьшения рыночной доли конкурентов с более высокой ценой на аналогичные
изделия;
· разрушение стратегий конкурентов в области дифференциации
продукции и локализации рынка за счет доступности своих изделий;
· наличие больших резервов при повышении цен на сырье, материалы,
комплектующие изделия и полуфабрикаты;
· гарантированное получение прибыли в случае, если потребители
смогут снизить цены у ближайших конкурентов;
· создание имиджа добросовестного и надежного партнера, заботящегося
о бюджете потребителей;
· спрос на выпускаемую продукцию эластичен по цене и достаточно
однороден по структуре;
· конкуренция происходит преимущественно в ценовой области;
· потребители теряют значительную часть своих доходов при повышении
цен;
· оптимальное по размерам производство;
· механизация и автоматизация наиболее трудоемких процессов;
· жесткий контроль себестоимости продукции;
· оперативная система текущей отчетности;
· преимущественно оптовая реализация продукции;
· ориентация маркетинга на весь рынок.
Дестабилизирующие
методы:
· технологические нововведения;
· копирование или имитация конкурентами методов работы;
· изменение предпочтений потребителей;
· уменьшение чувствительности потребителей к ценам;
· появление новых, более совершенных товаров.
Необходимо также
отметить, что данная стратегия не всегда бывает результативна. В тот период
времени, когда данная стратегия не приносит больше пользы, руководство
Предприятия планирует применять различные другие стратегии, более
результативные в конкретный временной интервал.
Стратегия
ценообразования.
Ценовая политика.
Предприятия определяется выработанной стратегией ценообразования. Она
формулируется в виде целей, которые Предприятие преследует в сложившихся
рыночных условиях:
1. Максимизация прибыли в течение продолжительного периода времени;
2. Рост объемов производства;
3. Стабилизация рынка;
4. Стимулирование интереса со стороны покупателей относительно
предполагаемого товара.
Представленные цели
позволяют уточнить общие принципы ценовой политики Предприятия на предстоящий
период. Таким образом, ценообразование на Предприятии строится на следующих
принципах:
1. Цена должна покрывать все издержки, связанные с производством и
реализацией продукции;
2. Цена должна быть достаточно высокой в связи с высоким спросом на
выпускаемую продукцию;
3. Цена устанавливается на договорной основе и может содержать
определенную льготу.
При формировании
ценовой политики Предприятие учитывает и положение на рынке данного вида
продукции. При проведенном анализе рынка сбыта лесопродукции было выявлено, что
спрос на данный вид товара превышает предложение. В данной экономической
ситуации конкуренция на рынке возникает среди покупателей. Следовательно,
покупатель старается привлечь производителя своими критериями, а лучше -
комплексом критериев, связанных в единое целое. Например, цена - качество -
объемы производства - долгосрочное сотрудничество - надежность
(платежеспособность) - формы расчета и другие. Таким образом, для отбора
клиентов Предприятие пользуется следующим набором критериев: качество -
долгосрочное сотрудничество - широкий ассортимент товара - платежеспособность
фирмы.
Исходя из всего
вышеперечисленного, Предприятие строит свое ценообразование, проводя политику
доступных цен, за счет чего стремится к достижению наиболее высокого уровня
прибыли, максимально используя для себя удачную ситуацию на рынке
(незначительная конкуренция, большой спрос на продукцию). При этом Предприятие
учитывает все вышеперечисленные принципы ценообразования и критерии выбора
клиентов. Таким образом, цена на единицу продукции устанавливается методом
наценки на издержки, затраченные на производство и реализацию этой единицы
продукции, где минимальная цена определяется валовыми издержками, а
максимальная - потенциальной возможностью покупателя.
1.5.4 Прогноз продаж
Рост выручки от реализации продукции
запланирован с 923 тыс. руб. в 2009 г. до 8800 тыс. руб. в 2011 г., т.е. в 9,5
раза (табл. 1.5).
Таблица 1.5
Выручка от
реализации продукции
|
Виды продукции
|
Выручка от реализации, тыс. руб.
|
|
2013 2010 2008
|
2014
|
2015
|
|
Пиломатериалы
|
760
|
3504
|
7500
|
|
Балансы хвойные
|
35
|
276
|
350
|
|
Балансы лиственные
|
-
|
138
|
320
|
|
Фанерное сырье
|
100
|
230
|
260
|
|
Дрова
|
28
|
62
|
370
|
|
Итого
|
923
|
4210
|
8800
|
2. Производственный план
2.1 Сведения о предприятии
Таблица 2.1
Адресные данные
|
Предприятие
|
ИП "Береснев Н.А. "
|
|
Отрасль
|
Лесная промышленность
|
|
Юридический адрес
|
157520 Костромская область, Шарьинский, п. Шекшема, ул. Кирова,
д.7, кв.2
|
|
Год основания/год регистрации
|
Предприятие основано в 2010 г. и перерегистрировано в 2013 г.
|
|
Страна регистрации
|
Россия
|
1500 тыс. руб.
|
|
Учредитель
|
Гражданин Российской Федерации
|
|
Индивидуальный предприниматель
|
Береснев Никита Алексеевич
|
|
Телефон/факс
|
8 953 662 12 76
|
|
E-mail
|
nikita.
beresneff@yandex.ru
|
Основными видами деятельности ИП
"Береснев Н.А.", согласно общероссийскому классификатору видов
экономической деятельности (ОКВЭД) являются:
|
02.01.1
|
Лесозаготовки;
|
|
20.10.01
|
Производство пиломатериалов
|
|
51.53.71
|
Оптовая торговля лесоматериалами;
|
|
52.46.71
|
Розничная торговля лесоматериалами;
|
ИП "Береснев Н.А." имеет
свою инфраструктуру. По проекту предполагается сохранить специализацию и
основной ассортимент производимой и реализуемой продукции.
2.2 Ассортимент продукции
Предприятие
занимается производством и реализацией следующих видов продукции:
· Пиломатериалы;
· Балансы лиственные;
· Балансы хвойные;
· Фанерное сырье;
· Дрова топливные.
2.3 Производственные мощности
Предприятие имеет
лесозаготовительную технику и лесовозный транспорт, приобретает лесопильный
цех. Наличие у предприятия основных средств показывает, что заявленные в
проекте цели и задачи технически полностью выполнимы.
2.4 Технологическая схема основного производства
Предприятие в
соответствии с договорами аренды планирует свою деятельность, определяет
перспективы развития, приобретает необходимые ему ресурсы, реализует свою
продукцию.
Предприятие самостоятельно планирует
свою деятельность, определяет перспективы развития, приобретает необходимые ему
ресурсы, реализует свою продукцию.
Предприятие осуществляет полный цикл
производства, начиная с вырубки леса, распилки древесины, изготовления готового
пиломатериала и заканчивая его реализацией. Заготовка древесины производится
самим предприятием на специально отведенных лесничествами участках. Основным
сырьем, используемым в производстве, являются хвойные и лиственные породы леса.
Рис.2.1 Схема
производства ИП "Береснев Н.А. "
После поступления пиловочника и
сортировки начинается важнейшая операция - распил древесины. После дальнейшей
сортировки по размерам, качеству, просушки одна часть пиломатериалов
упаковывается и отправляется по договорам и заказам покупателям, другая часть,
требующая дальнейшей переработки, отправляется в строгальный цех. Далее на
строгальных станках идет дальнейшая переработка сухого пиломатериала. Это
оборудование обеспечивает точность и чистоту обработки поверхности, что в
конечном итоге сказывается на качестве готовых изделий. В ходе производственной
деятельности осуществляется постоянный контроль качества продукции.
Схема существующего
лесозаготовительного и деревообрабатывающего производства представлена на
рис.2.1.
2.5 Динамика реализации основных видов продукции
Таблица 2.2
Основные показатели
динамики заготовки лесопродукции в 2013 - 2015 гг. (м3)
|
Виды продукции
|
Год
|
|
2013
|
2014
|
2015
|
|
Пиломатериалы
|
200
|
800
|
1500
|
|
Балансы хвойные
|
50
|
300
|
300
|
|
Балансы лиственные
|
-
|
200
|
400
|
|
Фанерное сырье
|
100
|
200
|
200
|
|
Дрова топливные
|
100
|
190
|
1000
|
2.6 Система сбыта
Предприятие
планирует работать, в основном, под заказ, т.е. заранее известен рынок, и
поэтому выпуск продукции осуществляется в соответствии с имеющимся портфелем
заказов, заключенными контрактами и имеющимися предварительными соглашениями о
поставках произведенной продукции. При этом заранее оговариваются сроки,
технические характеристики товара и объемы поставок продукции, цены. Соблюдение
договорной дисциплины и взаимных соглашений сводится к тому, что Предприятие
обязуется своевременно произвести и предоставить потребителю соответствующий
вид товара, а заказчик должен оплатить в указанные сроки полученные товары.
Заказчик производит самостоятельно вывоз продукции, возможна также и доставка
товара к покупателю силами Предприятия и за счет Предприятия. В данном случае в
цену единицы продукции включаются затраты на доставку товара.
Возможен выпуск
некоторого количества продукции на склад, с последующей ее реализацией.
2.7 Основные потребители продукции
Анализ рынка
продукции и сегментации потребителей позволяет выделить следующие основные
сегменты рынка потребителей продукции Предприятия:
1. Корпоративные клиенты:
коммерческие фирмы Московской, Костромской и Ярославской областей,
государственные предприятия и коммунальная инфраструктура Чухломского района);
2. Индивидуальные клиенты
(частный сектор);
Таблица 2.3
Характеристика потребителей
продукции
|
Показатель
|
Характеристика
|
|
1
|
2
|
|
Корпоративные клиенты
|
|
Целевые потребители
|
Строительная промышленность, мебельная промышленность,
фанерно-плиточная и целлюлозно-бумажная промышленность, административные,
образовательные и медицинские учреждения
|
|
Потребность
|
Продукция высокого качества, широкий ассортимент
|
|
Продукция/услуга
|
Точное соблюдение стандартов и графика поставки готовой
продукции, большие объемы поставок.
|
|
Цена
|
Оптимальное соотношение цена / качество.
|
|
Стратегическая цель
|
Привлечение целевых потребителей через рекламную кампанию с
ориентацией на конкурентную цену за качество товара, рациональность выбора,
оптимальное соотношение цена/ качество.
|
|
Индивидуальные клиенты
|
|
Целевые потребители
|
Сельские жители, городские жители, имеющие дачные участки и
печное отопление
|
|
Потребность
|
Продукция, готовая к использованию без дополнительной обработки,
продолжительный срок службы, широкий ассортимент.
|
|
Продукция/услуга
|
Небольшие партии товара, как правило, за наличный расчет.
|
|
Цена
|
Доступная цена.
|
|
Стратегическая цель
|
Расширение числа целевых потребителей через рекламу с
ориентацией широкий ассортимент и качество предлагаемой продукции.
|
Учитывая трудности по обеспечению
населения и местных социальных объектов дровами, весь объем дровяной древесины
- 1000 м3 в год, несмотря на их отрицательную рентабельность, будет
реализовываться на объекты жилой и социальной сферы муниципального района по
приемлемым для потребителей ценам.
3. Финансовый план на период окупаемости проекта
3.1 Фактические объемы производства и реализации
продукции в 2013 г.
Таблица 3.1
Производство продукции в 2013 году,
м3
|
Виды продукции
|
1 кв.
|
2 кв.
|
3 кв.
|
4 кв.
|
Год
|
|
Пиломатериалы
|
-
|
-
|
-
|
200
|
200
|
|
Балансы хвойные
|
-
|
-
|
-
|
50
|
50
|
|
Балансы лиственные
|
-
|
-
|
-
|
-
|
-
|
|
Фанерное сырье
|
-
|
-
|
-
|
100
|
100
|
|
Дрова топливные
|
-
|
-
|
-
|
100
|
100
|
3.2 Плановые объемы производства продукции в 2014 г.
Таблица 3.2
План производства продукции в 2014
году, м3
|
Виды продукции
|
1 кв.
|
2 кв.
|
3 кв.
|
4 кв.
|
Год
|
|
Пиломатериалы
|
200
|
200
|
200
|
200
|
800
|
|
Балансы хвойные
|
75
|
75
|
75
|
75
|
300
|
|
Балансы лиственные
|
50
|
50
|
50
|
50
|
200
|
|
Фанерное сырье
|
50
|
50
|
50
|
50
|
200
|
|
Дрова
|
47,5
|
47,5
|
47,5
|
47,5
|
190
|
3.3 Плановые объемы производства продукции в 2015 г.
Таблица 3.3
План производства продукции в 2015
году, м3
|
Виды продукции
|
1 кв.
|
2 кв.
|
3 кв.
|
4 кв.
|
Год
|
|
Пиломатериалы
|
375
|
375
|
375
|
375
|
1500
|
|
Балансы хвойные
|
75
|
75
|
75
|
75
|
300
|
|
Балансы лиственные
|
100
|
100
|
100
|
100
|
400
|
|
Фанерное сырье
|
50
|
50
|
50
|
50
|
200
|
|
Дрова
|
250
|
250
|
250
|
250
|
1000
|
3.4 Выручка от реализации продукции в 2013 - 2014 гг.
Плановые объемы реализации продукции
на 200 - 2011 гг. представлены в табл.3.5 - 3.7.
Таблица 3.4
Выручка от реализации продукции в
2013 году, тыс. руб.
|
Виды продукции
|
Цена за ед., руб. квартал
|
1 кв.
|
2 кв.
|
3 кв.
|
4 кв.
|
Год
|
|
Пиломатериалы
|
3800
|
-
|
-
|
-
|
760
|
760
|
|
Балансы хвойн.
|
700
|
-
|
-
|
-
|
35
|
35
|
|
Балансы листв.
|
-
|
-
|
-
|
-
|
-
|
-
|
|
Фанерное сырье
|
1000
|
-
|
-
|
-
|
100
|
100
|
|
Дрова
|
280
|
-
|
-
|
-
|
28
|
28
|
|
Итого
|
-
|
-
|
-
|
-
|
923
|
923
|
Таблица 3.5
Выручка от реализации продукции в
2014 году, тыс. руб.
|
Виды продукции
|
Цена за ед., руб.
|
1 кв.
|
2 кв.
|
3 кв.
|
4 кв.
|
Год
|
|
Пиломатериалы
|
4380
|
876
|
876
|
876
|
876
|
3504
|
|
Балансы хвойн.
|
920
|
69
|
69
|
69
|
69
|
276
|
|
Балансы листв.
|
690
|
34,5
|
34,5
|
34,5
|
34,5
|
138
|
|
Фанерное сырье
|
1150
|
57,5
|
57,5
|
57,5
|
57,5
|
230
|
|
Дрова
|
320
|
15,5
|
15,5
|
15,5
|
15,5
|
62
|
|
Итого
|
-
|
1052,5
|
1052,5
|
1052,5
|
1052,5
|
4210
|
Таблица 3.6
Выручка от реализации продукции в
2015 году, тыс. руб.
|
Виды продукции
|
Цена за ед., руб.
|
1 кв.
|
2 кв.
|
3 кв.
|
4 кв.
|
Год
|
|
Пиломатериалы
|
5000
|
1875
|
1875
|
1875
|
1875
|
7500
|
|
Балансы хвойн.
|
1160
|
87,5
|
87,5
|
87,5
|
87,5
|
350
|
|
Балансы листв.
|
800
|
800
|
800
|
800
|
320
|
|
Фанерное сырье
|
1300
|
65
|
65
|
65
|
65
|
260
|
|
Дрова
|
370
|
92,5
|
92,5
|
92,5
|
92,5
|
370
|
|
Итого
|
-
|
2200
|
2200
|
2200
|
2200
|
8800
|
Рис.3.1 Динамика роста
объема реализации продукции, тыс. руб., в 2013 - 2015 гг.
3.5 Налоги
В ходе реализации
инвестиционного проекта, с ростом производства и реализации лесопродукции,
динамично возрастают объемы налогов и платежей в бюджет.
Таблица 3.7
Размеры уплаты налогов и
обязательных платежей на 2009 - 2011 гг.
|
Показатели
|
Сумма выплат, тыс. руб.
|
|
2013
|
2014
|
2015
|
|
Отчисления в Пенсионный фонд
|
32
|
147
|
308
|
|
Отчисления в Фонд социального страхования
|
4
|
15
|
31
|
|
НДФЛ
|
30
|
137
|
286
|
|
Транспортный налог
|
12
|
16
|
22
|
|
Налог на землю
|
-
|
-
|
-
|
|
Налог с дохода предприятия
|
55
|
252
|
528
|
|
Итого налогов и платежей
|
133
|
567
|
1175
|
|
Плата за лес на корню
|
-
|
352
|
636
|
|
Всего
|
133
|
919
|
1811
|
Рис.3.2 Рост налогов и
платежей в 2013 - 2015 гг.
Таблица 3.9
Сумма поступлений за
период окупаемости 2013 - 2015 гг.
|
Показатели
|
Сумма поступлений, тыс. руб.
|
|
Отчисления в Пенсионный фонд
|
487
|
|
Отчисления в Фонд соц. страхования
|
50
|
|
НДФЛ
|
453
|
|
Транспортный налог
|
50
|
|
Налог на землю
|
-
|
|
Налог с дохода предприятия
|
835
|
|
Итого налогов и платежей
|
1875
|
|
Оплата за лес на корню
|
988
|
|
Всего
|
2863
|
4. Структура себестоимости
Таблица 4.1
Проектная
себестоимость производства 1 м3 обрезных пиломатериалов
|
Статьи затрат
|
Себестоимость, руб.
|
|
Материалы (древесина на корню)
|
240
|
|
Заработная плата рабочих (с ЕСН)
|
1688
|
|
Энергоресурсы (тепло и электроэнергия)
|
129
|
|
Расходы на содержание оборудования
|
304
|
|
Транспортные расходы
|
494
|
|
Прочие расходы
|
57
|
|
Итого себестоимость
|
2912
|
Таблица 4.2
Проектная
себестоимость производства 1 м3 круглых лесоматериалов
|
Статьи затратСебестоимость, руб.
|
|
|
Материалы (древесина на корню)
|
120
|
|
Заработная плата рабочих (с ЕСН)
|
194
|
|
Энергоресурсы (тепло и электроэнергия)
|
-
|
|
Расходы на содержание оборудования
|
129
|
|
Транспортные расходы
|
158
|
|
Прочие расходы
|
57
|
|
Итого себестоимость
|
601
|
5. Оценка экономической эффективности инвестиционного
проекта
5.1 Движение денежных средств
Окупаемость
инвестиционного проекта осуществляется за счет собственных средств, получаемых
из прибыли предприятия (табл.5.1).
Таблица 5.1
Расчет движения денежных средств на
период окупаемости проекта
|
Показатели
|
Денежные средства, тыс. руб.
|
|
2013
|
2014
|
2015
|
|
1
|
2
|
3
|
4
|
|
Движение средств по основной деятельности
|
|
1. Выручка, полученная от реализации продукции (работ, услуг) и
прочей реализации (без НДС)
|
923
|
4210
|
8800
|
|
2. Себестоимость - уплачено поставщикам, сотрудникам и т.д.
|
566
|
2801
|
5777
|
|
3. Выручка (балансовая прибыль) от основной деятельности
|
357
|
1409
|
3023
|
|
4. Налоги и платежи
|
133
|
567
|
1175
|
|
5. Итого чистая выручка от основной деятельности
|
224
|
842
|
1848
|
|
Движение денежных средств по инвестиционной деятельности
|
|
6. Приобретение собственности, оборудовании, механизмов
(капвложения)
|
200
|
600
|
700
|
|
7. Выручка от реализации собственности, оборудования, механизмов
|
0
|
0
|
0
|
|
8. Проценты полученные
|
0
|
0
|
0
|
|
9. Дивиденды полученные
|
0
|
0
|
0
|
|
10. Денежные средства, направленные на осуществление
капитального строительства
|
0
|
0
|
0
|
|
11. Итого чистая выручка (убыток) от инвестиционной деятельности
(строки 6 - 10)
|
-200
|
-600
|
-700
|
|
Движение денежных средств по финансовой деятельности
|
|
12. Выплаты по финансовому лизингу
|
0
|
0
|
0
|
|
|
13. Получено по финансовому лизингу
|
0
|
0
|
0
|
|
|
14. Поступления заемных денежных средств
|
0
|
0
|
0
|
|
|
15. Выплата заемных денежных средств
|
0
|
0
|
0
|
|
|
16. Прочие денежные средства, поступившие и. израсходованные по
финансовой деятельности
|
0
|
0
|
0
|
|
|
17. Выручка от финансовой деятельности
|
0
|
0
|
0
|
|
|
18. Итого движение денежных средств по основной деятельности
(стр.5 - чистая выручка)
|
224
|
842
|
1848
|
|
|
18. Итого движение денежных средств по инвестиционной
деятельности (стр.6+10 - инвестиции по годам)
|
200
|
600
|
700
|
|
|
18. Итого остаток чистой выручки после реализации инвестиций
|
24
|
242
|
1148
|
|
|
|
|
|
|
|
|
|
|
|
Из табл.5.1 видно, что в 2013 - 2015
гг. предприятием планируются инвестиции в развитие производства в сумме 1500
тыс. руб. Расчет движения денежных средств свидетельствует о характере
источника финансирования инвестиционного проекта - собственные средства
предприятия от основной деятельности. Сумма чистой прибыли предприятия в 2013 -
2014 гг. полностью покрывает расходы на капитальные вложения в развитие
производственных мощностей по углубленной безотходной переработке древесных
ресурсов.
5.2 Баланс расходов и доходов
Таблица 5.2
Калькуляция
статей расходов и доходов на период окупаемости проекта, тыс. руб.
|
Показатели
|
Суммы по годам
|
|
2013
|
2014
|
2015
|
|
Поступление выручки от реализации продукции (без НДС)
|
923
|
4210
|
8800
|
|
Прочая реализация
|
-
|
-
|
-
|
|
Расчет за сырье (без НДС)
|
-
|
352
|
636
|
|
Расчет за тепло и электроэнергию (без НДС)
|
47
|
196
|
412
|
|
Оплата труда
|
230
|
1052
|
2200
|
|
Прочие затраты (без НДС и с расшифровкой)
|
|
|
|
|
Расходы на эксплуат. и содержание оборудования
|
121
|
506
|
1064
|
|
Транспортные расходы и содержание дорог
|
168
|
695
|
1465
|
|
Итого себестоимость
|
566
|
2801
|
5777
|
|
Налоги и другие обязательные платежи, всего:
|
133
|
567
|
1175
|
|
Отчисления в Пенсионный фонд
|
566
|
147
|
308
|
|
Отчисления в Фонд социального страхования
|
4
|
15
|
31
|
|
НДФЛ
|
30
|
137
|
286
|
|
Транспортный налог
|
12
|
16
|
22
|
|
Налог на землю
|
-
|
-
|
-
|
|
Налог с дохода предприятия
|
55
|
252
|
528
|
|
Балансовая прибыль
|
357
|
1409
|
3023
|
|
Чистая прибыль
|
224
|
842
|
1848
|
Таблица 5.3
Социально-экономические
показатели бизнес-плана инвестиционного проекта
|
Наименование показателя
|
Ед. изм.
|
2013 г.
|
2014 г.
|
2015,г.
|
|
Выручка от реализации продукции
|
Тыс. руб.
|
923
|
4210
|
8800
|
|
Среднесписочная численность работающих
|
Чел.
|
4
|
5
|
8
|
|
Среднемесячная заработная плата
|
Руб.
|
18100
|
20000
|
24200
|
|
Налоги и обязательные платежи, тыс. руб.
|
Тыс. руб.
|
133
|
567
|
1175
|
|
Налоговая нагрузка
|
%
|
14
|
14
|
14
|
|
Налоги, платежи и арендная плата за лесные ресурсы
|
Тыс. руб.
|
133
|
919
|
1811
|
|
Доля налогов, платежей и арендной платы
|
%
|
14
|
21
|
21
|
Примечание:
применяется упрощенная система налогообложения - 6% от дохода
предприятия
5.3 Показатели эффективности инвестиционного проекта
Оценка
эффективности инвестиционного проекта проводилась на основании Методических
рекомендаций по оценке эффективности инвестиционных проектов и их отбору для
финансирования. Официальное издание. Утверждено Министерство экономики РФ,
Министерство финансов РФ, государственным комитетом РФ по строительной,
архитектурной и жилищной политике от 21 июня 1999 г. № ВК 477. Показатели
эффективности инвестиционного проекта представлены четырьмя интегральными
показателями (табл.5.4), которые были рассчитаны по ставке дисконтирования,
равной 15,25%.
Интегральные
показатели инвестиционного проекта
|
№ п/п
|
Наименование показателей
|
Условное обозначение
|
Значение показателей
|
|
1
|
Сумма инвестиций, тыс. руб.
|
|
1500
|
|
2
|
Срок окупаемости
|
РВ
|
01.05.2011 г.
|
|
3
|
Период окупаемости, мес.
|
РР
|
28
|
|
4
|
Чистый приведенный доход, тыс. руб.
|
NPV
|
3289
|
|
5
|
Индекс прибыльности инвестиций
|
PI
|
1,9
|
|
6
|
Внутренняя норма рентабельности, %
|
IRR
|
21
|
Период окупаемости
проекта - минимальный временной интервал (от начала осуществления проекта), за
пределами которого интегральный эффект становится и в дальнейшем остается
неотрицательным.
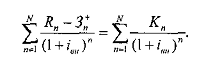
Чистый
дисконтированный доход, приведенный к итогам 2011 года, равен приведенной
стоимости будущих прибылей, дисконтированных с помощью соответствующей
процентной ставки (15,25%) за вычетом приведенных (дисконтированных)
стоимостных инвестиционных затрат и дисконтированных прибылей, получаемых
действующим предприятием до начала инвестиционного проекта. Инвестор может
отдать предпочтение только тем проектам, у которых чистый дисконтированный
доход имеет положительное значение. Величина чистого дисконтированного дохода
вычисляется по формуле:
где Rп - результаты (объем
реализации продукции), достигнутые на п - ном шаге (в п - ом
году) расчета;
Зп - затраты, осуществляемые на том же шаге;
N - горизонт расчета;
Эп
= (Rп - Зп) - эффект, достигаемый на п - ном шаге расчета;
i - ставка дисконтирования.
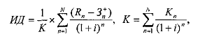
Индекс
прибыльности, или коэффициент дисконтированного дохода (PI), является
одним из показателей оценки инвестиционного проекта, определяемый как частное
от деления приведенной стоимости будущих денежных потоков (без первоначальных
инвестиций) на приведенную стоимость первоначальных инвестиций. Для эффективных
проектов значение этого показателя не должно быть меньше единицы. Индекс
доходности вычисляется отношение дисконтированной суммы поступлений (чистой
прибыли) к дисконтированной сумме выплат по формуле:
где: п -
капиталовложения на п - ом шаге; К п - сумма
дисконтированных капиталовложений. Внутренняя норма рентабельности (доходности)
(IRR) представляет собой ту норму дисконта, при которой величина
приведенных эффектов равна приведенным капиталовложениям.
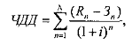
Если расчет чистого
дисконтированного дохода инвестиционного проекта дает ответ на вопрос, является
он эффективным или нет при некоторой заданной норме дисконта (в нашем случае
0,1525), то внутренняя норма доходности проекта определяется в процессе расчета
и затем сравнивается с требуемой инвестором нормой дохода на вкладываемый
капитал. Иными словами внутренняя норма доходности является решением уравнения:
Внутренняя норма
рентабельности по проекту рассчитана исходя из поступлений от выручки в период
инвестирования - 2013 - 2014 гг.
6. Факторы риска и стратегия снижения рисков
В ходе реализации проекта и при
ведении предпринимательской деятельности, каковой является производство, могут
возникнуть коммерческие, отраслевые, производственно - управленческие,
политические, риски (табл.6.1).
Таблица 6.1
Факторы риска и
меры их предупреждения
|
Факторы риска
|
Меры предупреждения
|
|
1
|
2
|
|
Нестабильность цен на сырье, материалы, перевозки
|
Снижение издержек производства, внедрение энерго - и
ресурсосберегающих технологий
|
|
Неплатежеспособность потребителей
|
Диверсификация производства, освоение новых видов продукции
расширение рынка сбыта.
|
|
Неплатежеспособность заказчика
|
Совершенствование юридического обеспечения производства и
реализации продукции
|
|
Удаленность от транспортных узлов
|
Разработка логистических схем транспортировки
|
|
Неустойчивость спроса
|
Совершенствование функционирования маркетинга Предприятия
|
|
Увеличение производства у конкурентов
|
Снижение издержек производства, совершенствование маркетинговой
политики
|
|
Недостаточная надежность технологии
|
Внедрение передовых технологий
|
|
Крупные аварии, пожары, стихийные бедствия
|
Страхование рисков, разработка бедствия комплекса мероприятий по
снижению вероятности возникновения крупных аварий и пожаров
|
|
Трудности с набором квалификационной рабочей силы
|
Привлечение районных фондов занятости для набора персонала.
Дополнительное обучение персонала на Предприятии
|
|
Снижение цен конкурентами
|
Совершенствование функционирования маркетинга Предприятия
|
|
Непредвиденные затраты, в том числе из-за инфляции
|
Создание резервов средств для покрытия непредвиденных затрат
|
|
Нестабильность качества сырья и материалов
|
Поиск альтернативных поставщиков сырья и материалов
|
|
Недостаток оборотных средств
|
Разработка системы мероприятий по снижению потребности
Предприятия в оборотных средствах за счет повышения ритмичности работы,
уменьшения запасов, работы с дебиторами
|
|
Отношения местных властей
|
Установление корректных и взаимовыгодных отношений с местными
властями. Участие в реализации муниципальных и региональных программ, решении
территориальных и социальных проблем
|
К коммерческим рискам относятся:
риск, связанный со снижением качества
производимой продукции;
риск, связанный с
платежеспособностью населения;
риск, связанный с транспортировкой
продукции;
повышение цен на энергоресурсы
(электроэнергии, бензин, дизтопливо, смазочные материалы и запчасти);
К производственно - управленческим
рискам относятся:
нарушение технологической и
производственной дисциплины;
ошибки управленческого персонала;
недовольство работников низким
уровнем оплаты труда и невыход их на работу.
К политическим рискам относятся:
риск, связанный с инфляцией и финансовым
кризисом;
Оценка отраслевых рисков
Состояние рынка по отрасли - не
стабильное;
тенденции в развитии
конкурентоспособности - укрепляются по мере укрепления финансового состояния
предприятия;
уровень государственной поддержки -
незначителен;
риск недобросовестной конкуренции со
стороны других предприятий имеется, но преодолим с помощью принимаемых мер;
Заключение - отраслевые
риски относительно значительные.
Оценка производственно -
управленческих рисков:
технологический уровень производства
на момент написания проекта соответствует стандартам производства;
риски снабженческой инфраструктуры -
разногласия по договорам отсутствуют, судебных разбирательств не проводилось;
риски, связанные с банками, в
которых открыты счета, - нет;
деловая репутация - обязательства по
заказам - выполняются своевременно, качество продукции высокое;
качество управления (квалификация,
адаптация руководителя и специалистов и др.) - характеристики квалификации и
опыта персонала соответствуют уровню предстоящих задач;
заключение - производственные
и управленческие риски не должны существенно влиять на реализацию проекта, за
исключением нестабильности цен на ресурсы
На удорожание электроэнергии
Предприятие будет ее экономить с помощью, в том числе и установки приборов
более точного учета и вести ее точный учет.
На удорожание запасных частей и
низкое их качества предприятие снизит их закупку, через восстановление старых и
продление их срока службы и т.д.
Не смотря риски, и их наступление
произойдет потеря лишь части прибыли, а не всей прибыли.
Однако защищенность
проекта в какой-то мере определяется сложившимися каналами реализации
продукции.
7. Оценка воздействия на окружающую среду
Лесозаготовительное производство
оказывает воздействие практически на все сферы окружающей среды и, прежде
всего, приводит к коренной перестройке лесных биогеоценозов и к потере их
защитных функций. Поэтому лесозаготовитель обязан вести работы способами, не
допускающими возникновения эрозии почвы, исключающими или ограничивающими
отрицательное воздействие лесозаготовок на состояние и воспроизводство лесов, а
также на состояние водных и других природных объектов. Это достигается строгим
соблюдением действующих правил заготовки древесины и нормативных актов
Российской Федерации и Костромской области, направленных на сбережение
природной среды, на снижение до минимума негативного воздействия
лесозаготовительных работ и на обеспечение быстрого восстановления защитных и
продуктивных функций леса. Поскольку лесопромышленное производство ИП
"Голубева О.В." осуществляет на арендуемых участках лесного фонда
Чухломского лесничества, что может оказать негативное влияние на окружающую
природную среду, то проектом с целью снижения этих отрицательных воздействий
рекомендуется: сохранять благонадежный подрост и содействовать естественному
лесовозобновлению при рубках общепринятыми мерами; применять технологии
лесосечных работ в полном соответствии с лесоводственными требованиями, что
позволит ограничить отрицательное воздействие рубок леса на лесную среду, и
сохранит подрост;
В
лесозаготовительном и перерабатывающем секторах Предприятия будет внедрено
новое технологическое оборудование, снижающее воздействие на окружающую среду.
Временное хранение (накопление) отходов предусмотрено в специальных
оборудованных местах. Все образующиеся на предприятии отходы полностью
утилизируются:
древесные отходы
используются на внутрихозяйственные нужды (отопление) и реализуются населению
(дрова).
8. Выводы и предложения
В результате
социально-экономической оценки инвестиционного проекта производства по
заготовке и переработке древесины ИП " Береснев Н. А." в Шарьинском
районе установлено, что инвестор имеет мощности по заготовке и переработке
древесины, что позволяет производить товарную продукцию в объеме 923 тыс. руб.
в год. Для организации производства инвестор имеет в штате необходимых
специалистов, а также комплекс машин и механизмов. Планы инвестора развить
мощности по заготовке и переработке древесины соответствуют направлениям
развития лесопромышленного комплекса Костромской области.
В процессе реализации проекта
планируется использование местной арендованной лесосырьевой базы с объемом
расчетной лесосеки 5 тыс. м3 в год, переработка древесного сырья и
наращивание объемов производства товарной продукции до 8800 тыс. руб. в 2015
году.
В результате анализа движения
денежных средств установлено, что инвестиционный проект в сумме 1500 тыс. руб.
полностью реализуется за счет чистой выручки от основной деятельности в 2013 -
2015 гг. При этом объем налогов и обязательных платежей возрастает со 133 тыс.
руб. в 2013 г. до 1175 тыс. руб. в 2015 г. Сумма налогов, платежей, в т. ч.
платы за лесные ресурсы, увеличивается до 1811 тыс. руб. в год и достигает
объема 2863 тыс. руб. за период внедрения проекта.
Реализация инвестиционного проекта
позволит увеличить количество выпускаемых высококачественных лесоматериалов, в
том числе для полного обеспечения заказов местного населения. Фонд оплаты труда
возрастет с 230 в 2009 г. до 2200 тыс. руб. в 2011 году. Это позволит увеличить
численность работающих до 8 человек при средней зарплате не менее 24200 руб. в
месяц.
Учитывая трудности по обеспечению
населения и местных социальных объектов дровами, весь объем дровяной древесины
- 1000 м3 в год, несмотря на их отрицательную рентабельность, будет
реализовываться на объекты жилой и социальной сферы муниципального района по
приемлемым для потребителей ценам.
В целом
инвестиционный проект обладает значительным социально-экономическим
потенциалом, имеет обоснованные рубежи развития предприятия и в процессе
внедрения органично согласуется с перспективами развития Чухломского
муниципального района