Расчет калибровки валков для прокатки равнополочной угловой стали №2
Содержание
Введение
1.
Геометрические соотношения в угловых калибрах
2. Порядок
расчета калибровки валков
3. Выбор типа
стана и его техническая характеристика
. Состав
основного и вспомогательного оборудования
. Расчет
калибровки валков для прокатки равнополочной угловой стали №211
Выводы
Список
использованных источников
Введение
В данной работе рассматривается технология производства равнополочной
угловой стали №2 из стали 09Г2С. Представлены технические требования на поставку исходной
заготовки и готовой продукции. Выбран прокатный стан: Мелкосортный
полунепрерывный стан 250, на котором будет осуществляться деформация.
Рассчитана калибровка валков.
1.
Геометрические соотношения в угловых калибрах
Размеры, необходимые для расчетов и построения калибров, определяют из
геометрических соотношений. Высота чистого калибра h1 по средней линии полки (рис. 2.5) составляет:
для равнополочной угловой стали h1=l1
=0,707 l1 ;
для неравнополочной угловой стали h1=l1m
,
Где
;
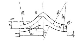
Схема развертывания средней линии полок условного чистого калибра
приведена на рис. 1
Рисунок 1 - Схема развертывания средней линии полок условного чистого
калибра
Величина радиуса развертывания полок
Высота условного калибра по средней линии полок
, а величина параметра c принимается равной:
для равнополочной угловой стали c=h;
для неравнополочной угловой стали (в соответствии с длиной полок)
В соответствии с рекомендациями Б.П. Бахтинова высоту последующих
развернутых калибров уменьшают на величину половину обжатия
. Это обеспечивает плавной вход
раската в калибр и устойчивый процесс прокатки.
Следует отметить, что форма калибров для прокатки угловой стали не
накладывает ограничений на коэффициенты деформации и выбор их значений зависит
от условий захвата металла, прочность оборудования, мощность приводов и
физико-механических свойств прокатываемого металла. Обычно для прокатки угловой
стали больших размеров применяют значения коэффициентов обжатия не более
1,6…1,7. Для угловой стали малых и средних размеров, особенно при прокатке в
открытых калибрах со свободным уширением, значение коэффициентов деформации
может составлять 2,0 и более. Следует отметить, что применение больших значений
коэффициентов деформации в фасонных калибрах (особенно в чистовых и
предчистовых) не всегда оправдано, так как приводит к быстрому износу валков.
Угловую сталь мелких размеров (№2-7) прокатывает на мелкосортных станах за 3-6
проходов в фасонных калибрах, угловую сталь средних размеров (№7-14) - на
среднесортных станах за 5-8 проходов, угловую сталь крупных размеров - на
крупносортных станах с диаметров валков 650…800 мм за 6-9 проходов. В некоторых
случая число проходов достигает 12. Величину общего коэффициента обжатия и
коэффициенты обжатия по проходам рассчитывают с использованием статистических
зависимостей, полученных В.К. Смирновым и В.К. Шиловым:
для равнополочной угловой стали
;
;
для неравнополочной угловой стали
;
.
Величину свободного уширения распределяют пропорционально длине полок, а
ее значения определяют по формуле Б.П. Бахтинова или более точно по
статистической зависимости, полученной на кафедре ПДСС МИСиС:
.
В приведенных формулах N -
номер углового профиля; ny - количество фасонных калибров; nyi - номер фасонного калибра против
прокатки; E=Dk/d - приведенный диаметр валков;
,
где d, l и Dk - соответственно толщина, длина полки и катающий диаметр валков,
определяемый по нейтральной линии калибра.
.
Для равнополочной угловой стали bn=bл.
Для неравнополочной угловой стали проекцию правой полки условного чистого
ипредчистого калибров определяют в соответсвии с углом поворота биссектрисы
относительно горизонтальной оси валков, равным
.
Для остальных фасонных калибров биссектриса угла при вершине профиля
может быть перпендикулярна горизонтальной оси валков.
Чтобы не допустить притупления угла, радиус сопряжения полок выбирают в
соответствии с рекомендациями Б.П. Бахтинова:
при прокатке в закрытых калибрах
;
при прокатке в открытых калибрах
.
Острые углы при вершине профиля должны быть в первых трех-четырех
калибрах по ходу расчета. В остальных калибрах вершины могут быть притуплены
радиусом, составляющим примерно 0,2…0,25 от толщины полки. Это позволяет
уменьшить преждевременное охлаждение углов раската.
Разъемы калибров при прокатке со стесненным уширением чередуют. Выпуск
калибров должен быть не менее 5…10%.
Радиусы закругления на концах полок составляют:
при разъеме сверху
;
- при разъеме снизу
.
Площадь поперечного сечения раската в угловых калибрах рассчитывают по
формулам:
для равнополочных профилей
A=2,04dl1;
- для неравнополочных профилей
A=1,02h(l1л+l1п).
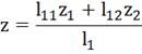
Положение нейтральной линии калибра определяют по средней линии полок,
разделив ее на 2 участка (прямолинейный длиной l1 и дугу длиной l12) и определив для каждого участка
центр тяжести по формулам:
;
;
Для неравнополочных калибров определяют координаты центра тяжести
отдельно каждой полки и после этого находят положение центра тяжести всего
калибра по формуле:
При расчете энергосиловых параметров для определения коэффициента плеча
приложения равнодействующей усилия прокатки можно использовать формулу
Зайкова-Федорова:
.
2. Порядок
расчета калибровки валков
Исходные данные для расчета калибровки валков должны содержать
технические характеристики стана, размеры готового профиля марку стали и
начальную температуру прокатки; иногда указывают дополнительные ограничения на
условия прокатки и физико-механические свойства профиля.
Расчет выполняется в следующем порядке.
. Определяют размеры чистого калибра, для чего по формуле
рассчитывают «горячие» основные размеры профиля, определяют среднюю линию
полок и высоту чистого калибра.
. Рассчитывают общий
и частные по проходам
коэффициенты обжатия и проверяют
выполнение условия
. При необходимости корректируют частные коэффициенты
обжатия, учитывая ограничения по устойчивости раската при прокатке:
.
4. Рассчитываю параметры условного чистого калибра.
. Последовательно против хода прокатки определяют параметры деформации,
размеры поперечного сечения раската и рассчитывают размеры угловых калибров,
соблюдая ограничения по условиям входа раската в калибр (ширина задаваемого
раската должна быть меньше ширины калибра). При необходимости корректируют
размеры калибра.
. Определяют положение нейтральной линии калибра и с ее учетом определяют
рабочие диаметры.
. Определяют скорость прокатки и распределение температуры металла по
проходам. С использованием метода «приведенной полосы» рассчитывают
энергосиловые параметры. Проверяют ограничения по условиям захвата металла
валками, прочности оборудования и мощности приводов.
3. Выбор
типа стана и его техническая характеристика
Мелкосортный полунепрерывный стан 250 установлен в
1976 г. и эксплуатируется Нижнесергинским металлургическим заводом с очень
широким сортаментом профилей при средней производительности 30 т/ч.
Стан предназначен для прокатки сложных фасонных
профилей малотоннажных партий из углеродистой, качественной и низколегированной
марок стали.
Сортамент
стана определен следующими наиболее дефицитными профилями: сталь угловая,
равнополочная (25X25) X (3-4), 32X32X3 и 36X36X4 мм; средняя производительность
при прокатке угловой стали 27,5- 43,4 т/ч соответственно; сталь круглая и
шестигранная диаметрами 12-14 и 16-24 мм (средняя производительность 24,9-43,4
т/ч соответственно); бортовые кольца для автомобилей
<#"730301.files/image032.gif">
Рисунок 2 - Схема расположения оборудования непрерывного мелкосортного
стана 250
- загрузочные решетки; 2 - разгрузочные решетки для возврата; 3 - весы; 4
- нагревательные печи; 5 - машины огневой зачистки возврата; 5 - стыкосварочные
машины; 7- петлевые ямы; 8 - индукционные подогревательные печи; 9 - ножницы;
10 - черновые клети; 11 - аварийные ножницы; 12 - промежуточная группа клетей;
13 - петлеобразователь; 14 - чистовая непрерывная группа клетей; 15 - летучие
ножницы; 16 - моталки для круглой стали; 17 - транспортеры бунтов; 18 -
крюковые конвейеры для бунтов; 19 - съемники и пакетировщики бунтов; 20 -
рольганг холодильника; 21 - холодильник; 22 - правильная машина; 23 - ножницы;
24 - уборочные карманы
Стан предназначен для прокатки круглой стали диаметром 8-30 мм,
квадратной стали со стороной квадрата 8-27 мм, полосовой стали толщиной 2-12
мм, шестигранной стали диаметром 8-27 мм, угловой стали - 20х20-40х40 мм.
Исходным материалом являются заготовки сечением 60х60 и 80х80 мм, длиной 12 м и
массой 340 и 600 кг. Прокатка в черновой группе клетей производится в две
нитки, а в каждой чистовой группе в одну нитку.
Анализ показывает, что безопасность труда в прокатном производстве
находится в прямой зависимости от уровня механизации и автоматизации основных и
вспомогательных технологических операций. В связи с этим прокатка сортового
металла на старых линейных станах с применением ручных операций наиболее
опасна. На современных непрерывных высоко механизированных и автоматизированных
прокатных станах степень безопасности наиболее высокая и при правильной
организации труда, соблюдении требований техники безопасности несчастные случаи
могут быть полностью исключены.
5. Расчет
калибровки валков для прокатки равнополочной угловой стали №2
Исходные данные. Рассчитать параметры деформации и определить размеры
фасонных калибров для прокатки равнополочной угловой стали №2 (ГОСТ 8509-93) с
толщиной полок 2 мм на мелкосортном линейном стане 250. Температура конца
прокатки 950
.
Радиус сопряжения полок r=3,5
мм, радиусы закругления концов полок r1=1,2 мм,
площадь поперечного сечения профиля A=113 мм2.
Допускаемые отклонения размеров профиля по длине полки
1 мм, по толщине полки +0,3…-0,4 мм.
Решение
. Горячие размеры чистого профиля
Рисунок 3. Чистовой калибр для прокатки угловой стали №2
Радиус сопряжения полок и закругления концов полок на горячие размеры не
пересчитывают.
Длина средней линии полки
= 18,61 мм.
Прокатка в чистовом калибре ведется со свободным уширением:
высота профиля по средней линии в чистовом калибре
положение нейтральной линии калибра
z=0,5h=0,5*13,21=6,6 мм;
приведенный диаметр валков
мм.
2. Для угловой стали №2 на линейном стане 250 принята схема прокатки за 3
прохода (n=3) в 2 чередующихся закрытых
калибрах и чистовом калибре со свободным уширением металла.
. Общий коэффициент обжатия в фасонных калибрах
Коэффициент обжатия в первом против хода прокатки (чистовом) калибре:
Приведенный диаметр и коэффициент обжатия во втором калибре:
91 мм
Аналогично для третьего калибра
Произведение вычисленных коэффициентов обжатия
Невязка составляет
В чистовом калибре обжатие увеличивать нецелесообразно, поэтому невязку
следует распределить равномерно между первыми тремя калибрами:
1,48*1,08=1,59
1,45*1,08=1,57
4. Схема построения условного чистового калибра приведена на рисунке 4. угловой сталь прокатный стан
Размеры условного чистового калибра:
h1=(0,3…0,5)l1=0,3*18,67=5,6 мм
c=h1=const;
r=3,5
мм, r1=1,2 мм
Рисунок 4 - Схема построения условного чистового калибра для прокатки
угловой стали №2
Горизонтальная проекция полки чистого профиля
5. Параметры деформации и размеры фасонных калибров
а) параметры деформации и размеры второго калибра
Обжатие и высота калибра:
0,817 мм
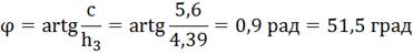
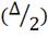
Угол при вершине калибра
Отношение толщины полки к ширине в первом калибре
Коэффициент уширения в первом калибре
1,25
Толщины полки во втором калибре
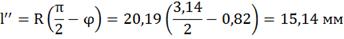
Радиусы развертывания и сопряжения полок
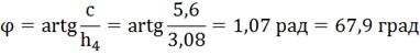
Положение нейтральной линии калибра
Горизонтальная проекция полки:
Чтобы обеспечить нормальный вход раската из второго калибра в первый
калибр, ширина калибра должна быть не менее 30,51 мм.
Площадь поперечного сечения профиля
A2=2,04l2d2=2,04*2,7*17,2=115,69 мм2
Коэффициент вытяжки в первом калибре
Размеры второго калибра приведены на рисунке 5
Рисунок 5 - Размеры второго калибра
б) параметры деформации и размеры третьего калибра
Обжатие и высота калибра:
2,7(1,9-1)=1,59 мм
Угол при вершине калибра
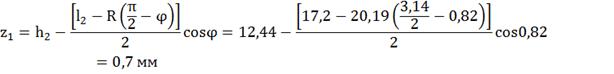
Отношение толщины полки к ширине во втором калибре
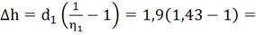
Коэффициент уширения во втором калибре
Величина уширения с учетом
,
1,88 мм
средней линии полки во втором калибре
Толщины полки во втором калибре
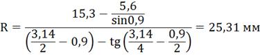
Радиусы развертывания и сопряжения полок
=14,26 мм
Радиус на конце полки (направлен вниз)
Положение нейтральной линии калибра
Горизонтальная проекция полки
Площадь поперечного сечения профиля
A2=2,04l3d3=2,04*4,58*15,3=142,9 мм2
Коэффициент вытяжки во втором калибре
Размеры третьего калибра приведены на рисунке 6
Рисунок 6 - Размеры третьего калибра
в) параметры деформации и размеры четвертого калибра
Обжатие и высота калибра:
2,61 мм
Угол при вершине калибра
Отношение толщины полки к ширине в третьем калибре
Коэффициент уширения в третьем калибре

Длина средней линии полки в третьем калибре
Толщины полки в третьем калибре
Радиусы развертывания и сопряжения полок
26,15 мм
33,35 мм
= 25,5 мм
Радиус на конце полки (направлен вверх)
28,11 мм
Положение нейтральной линии калибра
Горизонтальная проекция полки
Площадь поперечного сечения профиля
A4=2,04l4d4=2,04*15,58*7,19=228,5 мм2
Коэффициент вытяжки в третьем калибре
Высота исходной заготовки
Ширина исходной заготовки
B=2*(17,51-1,72)=26
мм
Площадь поперечного сечения исходной заготовки
Результаты расчетов приведены в таблице 1,схема прокатки угловой стали №2
- на рисунке 7.
Таблица 1
Результаты расчета формоизменения металла при прокатке угловой стали №2
|
Параметры
|
Значение параметров для
|
|
заготовки
|
калибра с номером
|
|
|
3
|
2
|
1
|
|
|
|
|
1,57
|
1,59
|
1,43
|
|
|
, мм
|
|
2,61
|
1,59
|
0,817
|
|
|
|
|
1,29
|
1,28
|
1,25
|
|
|
d,мм
|
|
4,58
|
2,7
|
1,9
|
|
|
l,мм
|
|
15,3
|
17,2
|
18,61
|
|
|
R,мм
|
|
25,31
|
20,19
|
29,05
|
|
|
h,мм
|
7,61
|
4,39
|
5,19
|
13,21
|
|
|
, град
|
|
51,5
|
45
|
|
|
r, мм
|
|
14,26
|
6,96
|
3,5
|
|
|
r1, мм
|
|
1,59
|
2
|
1,2
|
|
|
A,мм2
|
167,5
|
142,9
|
115,69
|
113
|
|
|
|
|
1,53
|
1,23
|
1,024
|
|
|
Z,мм
|
|
1,02
|
1,32
|
6,6
|
|
|
bл,мм
|
26
|
17,51
|
15,25
|
13,2
|
|
Рисунок 7 - Схема прокатки угловой стали №2
Выводы
) В домашнем задании разработана технологическая схема угловой стали №2
из стали 09Г2С на непрерывном мелкосортном стане 250.
) Разработана калибровка валков на непрерывном мелкосортном стане 250.
3)
Прокатанная угловая сталь №2 соответствует ГОСТ 8509-93,
Список
использованных источников
1. Шишко
В.Б., Трусов В.А., Чиченев Н.А. Технология прокатки сортовой стали. Особенности
калибровки валков для фасонных профилей: Учеб пособие.-М.: МИСиС, 2007.-152с.
. Машины и
агрегаты металлургических заводов. / А.И. Целиков, П.И. Полухин, В.М. Гребеник
и др. - М.: Металлургия, 1988. 614.