Расчет и построение развертки спирали шнека
Расчет и построение развертки спирали шнека
1.
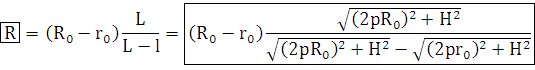
Расчет развертки спирали шнека с постоянным шагом
H - шаг спирали;
D0 -наружный диаметр
спирали шнека;
d0 -внутренний диаметр
спирали шнека;
D - наружный диаметр развертки спирали шнека;
d - внутренний диаметр спирали шнека;
б - угол выреза развертки спирали шнека;
2. Построение спирали
шнека с изменяемым шагом по геометрической прогрессии

Можно построить коническую спираль с
определенным уклоном
где
Все набирается в Microsoft Office
Excel и строится в КОМПАС-3D c помощью сплайна.
3. Расчет развертки
спирали шнека с изменяемым шагом по геометрической прогрессии
-
вычисляется от определенных углов
(радиан) с установленным интервалом, для построения развертки.
Для удобства можно набрать Microsoft Office Excel.
Я, не смог проинтегрировать данную
функцию, для подсчета
на
определенном интервале от
,
поэтому выполнил графоаналитическим способом, куда вставил
готовый шаблон: «Sqrt (315^2+(200/2/PI*(1 - (1/1.1)^(x/2/PI))/(1-1/1.1))^2)/(315-250)*(1-Sqrt((2*PI*250)^2+(200*(1/1.1)^(x/2/PI-1))^2)/Sqrt((2*PI*315)^2+(200*(1/1.1)^(x/2/PI-1))^2))», где
После построения графика абсцисса
разбивается на интервалы (радиан) в соответствии вычисленным радиусам развертки
. Определяете площади интервалов, ограниченные функцией
. Площади S1, S2…, есть величины углов раствора (радиан) между
спираль шнек развертка