|
Существующие
рынки
|
Новые рынки
|
|
Существующие товары
|
1. Стратегия -
"улучшай то, что уже делаешь”
|
2. Стратегия
развития рынка
|
|
Новые товары
|
3. Стратегия
разработки новых товаров
|
4. Стратегия
диверсификации
|
Рисунок 2.2.4 Матрица возможностей по товарам (рынкам)
Выбранные с помощью матрицы общие стратегии подлежат в
дальнейшем доводке до полной адекватности целям развития фирмы.
Квадрат 1 - показывает направленность стратегии фирмы на
существующие продукты и рынки. Эта стратегия выбирается теми подразделениями
предприятия, рынок продукции которых продолжает развиваться или еще не насыщен.
Предприятие стремится расширить сбыт выпускаемых товаров использую ряд
способов, таких как установление конкурентоспособных цен, наступательная
реклама или интенсификация продвижения товаров.
Квадрат 2 - показывает направленность стратегии на развитие
рынка, т.е. на создание рынков для выпускаемой уже достаточно долго продукции.
Эта стратегия эффективна, если организация стремится расширить свой рынок за
счет: проникновения на новые географические рынки, в том числе в других
странах; внедрения в новые сегменты рынка, спрос на которые еще не
удовлетворен; новых предложений существующих товаров и интенсификации рекламы.
Квадрат 3 - означает направленность стратегии на разработку
новых продуктов для сложившихся и давно освоенных рынков. Эта стратегия
применяется тогда, когда хозяйственное подразделение имеет ряд успешных моделей
изделий, завоевавших большую популярность у потребителей. В этом случае фирма
разрабатывает новые или модифицирует старые товары улучшенного качества и
реализует их лояльно настроенным клиентам.
Квадрат 4 - стратегия диверсификации. Эта стратегия
применяется с целью избежать чрезмерной зависимости предприятия от одного
хозяйственного подразделения или одного ассортиментного набора продукции, а
также в том случае, если фирма желает покинуть свертывающиеся рынки или рынки,
находящиеся в состоянии застоя. Однако реализация стратегии предполагает
разработку новых продуктов и новых рынков, поэтому она является наиболее
рискованной, так как никогда нет полной уверенности, что новые рынки готовы
принять новую продукцию и она будет пользоваться вниманием покупателей.
На четвертом этапе, после определения миссии, целей,
стратегии предприятия, устанавливается общая структура самого бизнес-плана. На
объем и структуру бизнес-плана влияют размеры предприятия и поставленные
задачи. Для небольших фирм обычно составляют план упрощенной структуры - из
двух частей: краткого описания проекта и основной части, содержащей более
подробные расчеты и обоснования. Такая его структура вызвана тем, что резюме
часто адресуется внешнему потребителю, к которому предприниматель обращается с
предложением о партнерском участии или с просьбой о кредите. С учетом
отечественного и зарубежного опыта может быть рекомендована следующая примерная
структура бизнес-плана:
Титульный лист.
1
Меморандум
о конфиденциальности.
2
Резюме.
3
Описание
отрасли.
4
Характеристика
предприятия.
5
Выбор
деятельности (товара, услуги).
6
План
маркетинга.
7
Производственный
план.
8
Организационный
план.
9
Финансовый
план.
10 Анализ рисков.
11. Приложение.
Конечно, применительно к конкретному проекту (случаю)
структуру бизнес-плана можно уточнять - укрупнять разделы, но в любом случае
надо хорошо структурировать план - весь материал разделить на главы и небольшие
по объему параграфы, четко выделить основные положения, иллюстрировать
наглядными схемами и таблицами.
Пятый этап бизнес - планирования состоит в сборе информации,
необходимой для разработки каждого раздела бизнес-плана. Это важная и весьма
трудоемкая часть плановой работы. Источниками информации могут служить
специальные отраслевые справочники, нормативы проектных организаций,
специализированные фирмы, материалы статистических органов, специальных
исследований, знания высокоспециализированных экономистов, консультантов.
Следующий, шестой этап планирования - непосредственная
разработка отдельных разделов и оформление всего бизнес-плана в виде единого
документа.
2.3 Формы
представления бизнес-планов
Однако на практике инвестиционный проект не сводится к набору
документов, а понимается в более широком аспекте - как последовательность
действий, связанных с обоснованием объемов и порядка вложения средств, их
реальным вложением, введением мощностей в действие, текущей оценкой
целесообразности поддержания и продолжения проекта и итоговой оценкой
результативности проекта по его завершении. В этом случае инвестиционному
проекту свойственна определенная этапность, т.е. он развивается в виде
предусмотренных фаз (стадий), а набор документов, обосновывающих его целесообразность
и эффективность, выступает лишь одним из элементов, хотя и ключевых, проекта в
целом. Предназначение инвестиции - это ключевой признак при
классификации проектов, в соответствии с которым можно выделить семь основных
причин инвестирования, а следовательно, и групп проектов:
(1) инвестиции в повышение эффективности
производства;
(2) инвестиции в расширение действующего
производства;
(3) инвестиции в создание производственных
мощностей;
(4) инвестиции, связанные с выходом на
новые рынки сбыта;
(5) инвестиции в исследования и разработку
новых технологий;
(6) инвестиции преимущественно социального
предназначения;
(7) инвестиции, осуществляемые в соответствии с требованиями.
Инвестиционные проекты можно классифицировать с разных
позиций и по разным критериям. С позиции управленческого персонала компании
инвестиционные проекты могут быть классифицированы по различным основаниям (рис
2.3.1.).
Рисунок 2.3.1 Признаки классификации инвестиционных проектов.
Инвестиции в повышение эффективности
производства. Логика данных проектов совершенно очевидна. Деятельность любой
фирмы связана, прежде всего с извлечением прибыли, представляющей собой
превышение доходов над затратами. Первый фактор - доходы - с позиции фирмы
управляем лишь частично, поскольку существенную роль играет конкурентная среда.
Второй фактор - затраты - уже более управляем, по крайней мере, путем выбора
ресурсосберегающих технологий, более экономичного оборудования, лучшей
организации труда, повышения квалификации работников и т.п. можно добиться
относительного сокращения затрат, а следовательно, повышения эффективности
производства.
Инвестиции в расширение действующего
производства. В данном случае речь идет о банальном наращивании
производственных мощностей ввиду возрастающей емкости рынков сбыта. Докупается
аналогичное по техническим характеристикам оборудование, доукомплектовывается
штат работников, расширяются закупки сырья и материалов у традиционных
поставщиков.
Инвестиции в создание производственных
мощностей при освоении новых сфер бизнеса. Одним из ключевых требований
рациональной организации бизнеса является его диверсификация, смысл которой
заключается в развитии в рамках фирмы производств, различающихся видом
продукции. Две основные причины: во-первых, сглаживается колебание прибыли по
годам (спад в одном секторе экономики Может сопровождаться ростом в другом) и,
во-вторых, осваиваются Новые перспективные секторы, потенциально обещающие
прибыль в будущем.
Инвестиции, связанные с выходом на новые
рынки сбыта. Подобные проекты чаще всего предусматривают расширение
производства (если нет перенасыщенности, производимой продукцией традиционного
рынка), вместе с тем они имеют и определенную специфику. Суть ее заключается в
том, что при расширении рынков сбыта принципиальные конструктивные изменения в
продукцию не вносятся, но могут быть некритические изменения и доработки,
обусловленные, например, национальными, климатическими и другими особенностями
нового рынка. Кроме того, появляется необходимость в развитии средств доставки,
рекламы, обслуживания и др.
Инвестиции в исследования и разработку
новых технологий. Подобные проекты в современном динамично развивающемся мире
играют исключительно важную роль. Крупные компании тратят весьма солидные суммы
на исследования и разработки отчетливо понимая, что результат реализации
подобных проектов не является предсказуемым.
Инвестиции преимущественно социального
предназначения. Цель подобных инвестиций - обеспечение некоторого
социального преимущества, хотя достижение косвенного экономического эффекта не
исключается. Примеры подобных проектов - строительство рекреационных центров,
домов отдыха, спортивных центров и др. Подобные проекты носят, очевидно,
затратный характер и потому осуществляются либо государственными и муниципальными
органами, либо крупными фирмами.
Инвестиции, осуществляемые в соответствии
с требованиями закона. Инвестиции в рамках ранее рассмотренных групп с
очевидностью носят инициативный характер, т.е. инвестор, руководствуясь
собственными аргументами, принимает решение о целесообразности разработки и
реализации того или иного проекта. Однако могут быть и другие ситуации, когда
инвестор вынужден внедрять некий проект. В частности, любое государство в той
или иной степени озабочено состоянием здоровья нации, духовным и
интеллектуальным развитием граждан. В связи с этим периодической ревизии
подвергаются требования к бизнесу в отношении сохранения окружающей среды,
повышения безопасности пользования производимой продукцией, степени
эксплуатации работников и др. Особенно существенны требования и ограничения
экологического характера, в связи, с чем предприятиям приходится тратить
значимые суммы на удовлетворение подобных требований.
Инвестиционные проекты существенно
разнятся по объему требуемых инвестиций, продолжительности периода освоения
капиталовложений, сроку "эксплуатации" проекта. На практике это
находит отражение в классификации проектов на крупные, традиционные и мелкие,
причем, обычно в качестве критерия отнесения проекта к той или иной группе берется
объем капиталовложений. Безусловно, эта и некоторые подобные ей классификации
проектов не являются строго определенными, т.е. в известном смысле они,
достаточно условны. В частности, градация проектов по объему требуемых
инвестиций чаще всего зависит от размеров самой компании, поскольку очевидно,
что в солидной финансово-промышленной группе и небольшом заводе по производству
мебели используемые критерии отнесения анализируемого проекта к крупному или
мелкому существенно разнятся.
Существуют и другие причины, обусловливающие
необходимость рассматриваемой классификации; это, в частности, поиск
соответствующих источников финансирования, различие в оценке риска и
последствий в случае того или иного развития событий на рынке товаров и услуг и
т.п. Так, если мелкий проект может быть профинансирован за счет собственных
источников, то для реализации крупного проекта необходимо привлечение
дополнительных источников, что связано с оценкой риска, необходимостью
обеспечения полученных кредитов и займов, оценкой средневзвешенной стоимости
источников и др.
Тип предполагаемого эффекта. Цели, которые
ставятся при оценке проектов, могут быть различными, а результаты, получаемые В
ходе их реализации, не обязательно носят характер очевидной прибыли. Могут быть
проекты, сами по себе убыточные в экономическом смысле, но приносящие косвенный
доход за счет обретения стабильности в обеспечении сырьем и полуфабрикатами,
выхода на новые рынки сырья и сбыта продукции, достижения некоторого
социального эффекта, снижения затрат по другим проектам и производствам и др. В
этом случае традиционные показатели эффекта, а также критерии оценки
целесообразности принятия проекта, основанные на формализованных алгоритмах,
могут уступать место неким неформализованным критериям.
Несложно обособить шесть видов эффекта:
(1) наращивание объемов производства;
(2) сокращение затрат, сопровождающееся
получением дополнительной прибыли;
(3) снижение риска производства и сбыта;
(4) новое знание (технология);
(5) политико-экономический эффект и
(6) социальный эффект.
Наращивание объемов производства. Проекты
этого типа ориентированы на расширение традиционного производства. Здесь эффект
- в увеличении доли рынка продукции, контролируемой данной фирмой, и в
получении дополнительных прибылей при сохранении уровня рентабельности
продукции.
Сокращение затрат. Проекты данного типа
имеют цель сокращение затрат либо по какому-нибудь действующему производству
(технологической линии, производственному участку), либо по компании в целом.
Поскольку прибыль - это разница между доходами и затратами, то при прочих
равных условиях сокращение затрат приводит к росту прибыли и рентабельности
(естественно, речь идет об обоснованном снижении затрат).
Снижение риска производства и сбыта.
Проекты этой группы имеют цель снижение рискуемости производственной и
коммерческой деятельности фирмы. В качестве примеров можно привести проекты,
связанные с переоснащением компании более надежным оборудованием, внедрением
менее рисковой технологии снабжения сырьем и материалами, внедрением технологии
контроля за состоянием и тенденциями изменения на рынке продукции и др.
Новое знание (технология). Проекты
инновационного характера, направленные на формирование нового знания, с
очевидностью носят затратный характер, вместе с тем предполагается, что впоследствии
при внедрении разработок в практику будет получен и экономический эффект.
Социальный эффект. Проекты,
предназначенные для получения социального эффекта, не являются какой-то
редкостью; безусловно, они имеют место, прежде всего при реализации государственных
и муниципальных программ, однако и в крупных компаниях подобные проекты
достаточно обыденны. Можно упомянуть о проектах, связанных с повышением
квалификации работников фирмы, строительством центров релаксации и физического
развития.
Тип отношений. Весьма важным в анализе
инвестиционных проектов является выделение различных отношений
взаимозависимости. Два анализируемых проекта называются независимыми, если
решение о принятии одного из них не сказывается на решении о принятии другого.
Если два и более анализируемых проектов не могут быть реализованы одновременно,
т.е. принятие одного из них автоматически означает, что оставшиеся проекты
должны быть отвергнуты, то такие проекты называются альтернативными, или
взаимоисключающими. Подразделение проектов на независимые и
альтернативные имеет особо важное значение при комплектовании инвестиционного
портфеля в условиях ограничений на суммарный объем капиталовложений.
Проекты связаны между собой отношениями
комплементарности, если принятие нового проекта способствует росту
доходов по одному или нескольким другим проектам. Например, строительство
сервисного центра сопровождается не только доходом от оказания услуг этим
центром, но и ростом числа покупателей основной продукции, привлеченных
перспективой в случае необходимости отремонтировать купленное изделие на
приемлемых условиях. Выявление отношений комплементарности подразумевает
приоритетность рассмотрения проектов в комплексе, а не изолированно. Это имеет
особое значение, когда принятие проекта по выбранному основному критерию не
является очевидным - в этом случае должны использоваться дополнительные
критерии, в том числе и наличие, и степень комплементарности.
Тип денежного потока. С любым проектом
увязывается денежный поток как череда инвестиций и поступлений. Поток
называется ординарным, если он состоит из исходной инвестиции, сделанной
единовременно или в течение нескольких последовательных базовых периодов, и
последующих притоков денежных средств; если притоки денежных средств чередуются
в любой последовательности с их оттоками, поток называется неординарным. Выделение
ординарных и неординарных потоков чрезвычайно важно при выборе того или иного
критерия оценки.
Отношение к риску. Инвестиционные
проекты различаются по степени риска: наименее рисковые проекты, выполняемые по
государственному заказу; наиболее рисковые проекты, связанные с созданием новых
производств и технологий.
Таким образом на основание данной
классификации инвестиционных проектов, распишем что из себя представляет наш
бизнес - план.
Рисунок 2.3.2 Классификации инвестиционного проекта ЗАО "ГК "Крона 2".
2.4
Методическое обеспечение разработки бизнес плана
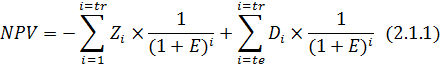
Для оценки эффективности капитальных
вложений в качестве основных используются следующие четыре критерия:
• чистый дисконтированный доход
(NРV);
• индекс доходности (РI);
• внутренняя норма доходности
(IRR);
• срок окупаемости (РВ).
В некоторых случаях, кроме этого,
используются такие критерии как:
запас финансовой устойчивости и
результат инвестиций.
Однако до настоящего времени не
установились ни общепринятые названия критериев, ни однозначные алгоритмы их
расчета.
Для определения перечисленных критериев необходимо использовать
дисконтированные денежные потоки на основе принципа не однозначной текущей и
будущей стоимости денежных средств 
.
Особое внимание необходимо обратить на возможные алгоритмы расчета
критериев.
В опубликованных работах используются следующие термины для названия
этого критерия:
чистый дисконтированный доход;
чистый приведенный доход;
чистая дисконтированная стоимость;
чистая текущая стоимость проекта;
чистая приведенная стоимость;
чистый дисконтированный доход или
интегральный эффект и т.д.
Во всех перечисленных работах этот
критерий имеет одинаковую аббревиатуру - NРV (Nеt рrеsеnt vаluе), и в
ряде случаев различные алгоритмы для расчета.
Официальное название критерия -
"Чистый дисконтированный доход", по нашему мнению, неудачно по двум
причинам:
. Для целого ряда объектов, например
предназначенных для медицинского обслуживания населения, социальной сферы,
престижных сооружений величина этого критерия может быть отрицательной за весь
расчетный период, т.е. затраты на строительство и эксплуатацию превысят доходы.
. В развитых странах в соответствии с
работой вместо широко используемого в отечественной литературе понятия
"дисконтирования" используется термин "актуализация".
Поэтому, мы считаем, что для
рассматриваемого критерия целесообразно изменить название на более подходящее,
например на "Общий финансовый итог".
Суть критерия состоит в сравнении текущей
стоимости будущих денежных поступлений от реализации проекта с инвестиционными
расходами, необходимыми для его реализации. В общем виде величина NРV определяется
следующим соотношением:
где: tr - продолжительность
расчётного периода;
tе - период начала
эксплуатации объекта;
Zi - затраты капитала на
капитальное строительство объекта;
Di - доходы за период
эксплуатации объекта;
Е - норма дисконта;
i - шаг расчёта.
При расчете величины этого критерия следует обратить внимание на
соответствие шага расчетного периода (шага расчета) с условием предоставления
кредита. Желательно, чтобы шаг расчета был равен или кратен сроку начисления
процентов за кредит 
.
Соотношение (2.1.1) может быть записано в разной форме. Например, NРV
приравнивается сумме потоков платежей, тогда инвестиционные расходы
включаются в поток платежей со знаком минус.
Учет инвестиционных расходов обычно не имеет различающихся
алгоритмов за исключением одного случая, когда их необходимо определить или для
всех затраченных средств, или только для заемного капитала. Для определения
доходов используются существенно различающиеся расчетные схемы 
.
В работах и рекомендуется исключить из суммы доходов
амортизационные отчисления, а в материале предлагается включать не только
накапливаемые амортизационные отчисления (амортизационный фонд), а также на
последнем шаге расчета и ликвидную стоимость основных производственных фондов.
Такое различие вычислительных схем при расчете доходов
определяется различием в отчетных документах зарубежных и отечественных
компаний и фирм. Зарубежные компании по итогам своей деятельности за год помимо
отчета о прибылях и убытках представляют отчеты об источниках и использовании
фондов (отчет о фондах и их использовании), в которых фонды денежных средств
формируются за счет чистой прибыли, амортизационных отчислений, нового
акционерного капитала, кредитов и других доходов.
Определяемые таким образом фонды распределяются для выплаты
дивидендов акционерам, приобретения недвижимости, машин и оборудования,
увеличения оборотного капитала и т.д. При этом на расширение основных
производственных фондов затрачивается средств не менее, чем получено в
результате амортизационных отчислений, т.е. свободные денежные средства
компании должны работать на расширение и модернизацию производства.
Аналогичной отчетности для российских предприятий не
предусмотрено. Часто амортизационные отчисления накапливаются в амортизационном
фонде, что в условиях инфляции приводит к обесцениванию части денежных средств
предприятия.
Необходимость учета ликвидной стоимости основных производственных
фондов при определении критерия "Чистый дисконтированный доход"
определяется назначением инвестиций. В случае замены оборудования, срок службы
которого соответствует продолжительности расчетного периода, учет его ликвидной
стоимости необходим 
.
Источники финансирования проектов разделяются на две основные
группы:
1. Собственный капитал - средства, предоставляемые
акционерами (учредителями), который должен быть увеличен в результате
реализации и последующей эксплуатации исследуемого объекта.
2. Заемный капитал - кредит банков,
государства, местных органов власти или других компаний, который должен быть
погашен вместе с задолженностью в установленном в контракте порядке и в
заданные сроки.
Результатом инвестиций, с финансовой точки
зрения, является погашение кредитной задолженности и выплаты дивидендов
акционерам. При этом, по мере погашения кредита, как указывалось выше,
увеличивается стоимость акционерного капитала. Акционер, получая дивиденды за
акции, в любой момент может продать свои акции. Причем, чем позже он это
сделает, тем более высокой будет стоимость акций. Критерии оценки эффективности
капитальных вложений должны быть определены только для заемного капитала и
предназначены для партнеров, его предоставивших. Основными для акционеров
явятся критерии эффективности использования акционерного капитала. Но в ряде
случаев трудно провести такое разделение, так как оно определяется целью
инвестирования.
Если цель инвестиций - замена
оборудования, то при расчете критериев эффективности капитальных вложений
должен учитываться весь затраченный капитал.
При строительстве новых объектов, срок
службы которых существенно превышает расчетный период, следует определять значения
критериев для заемных средств, а в некоторых случаях, по желанию коммерческих
партнеров, и для суммы заемных и собственных средств.
Таким образом, критерий "Чистый
дисконтированный доход", как и все остальные критерии рассматриваемой
группы оценки эффективности капитальных вложений, формально может иметь шесть
различных значений для всех затраченных, или только для заемных средств:
без учета амортизационных отчислений;
с учетом амортизационных отчислений;
с учетом амортизационных отчислений и
ликвидной стоимости основных производственных фондов.
Рассчитывать все возможные значения
критерия для каждого проекта не целесообразно. При определении величины
критерия необходимо учитывать цель инвестирования и предполагаемую техническую
политику фирмы в период эксплуатации готового объекта.
Положительная величина критерия
"Чистый дисконтированный доход", соответствует целесообразности
реализации проекта, причем, чем больше значение критерия, тем больше и
инвестиционная привлекательность проекта.
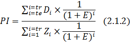
2.1.2 Индекс
доходности
Для этого критерия используются следующие названия:
· рентабельность;
· простая норма прибыли
(без дисконтирования);
· индекс выгодности
инвестиций;
· показатель рентабельности
инвестиций;
· индекс прибыльности;
· индекс доходности.
Во всех указанных источниках, за
исключением, критерий имеет название - Рrоfitаbilitу indех (РГ).
Для определения величины критерия
используются те же потоки платежей, что и для критерия - "Общий финансовый
итог", критерий представляет собой не разницу доходов и затрат от
реализации проекта, а их соотношение - доходы, деленные на затраты:
Здесь использованы те же обозначения, что
и в формуле 2.1.1.
Все сказанное выше об алгоритмах расчета
затрат капитала и доходов от эксплуатации проекта справедливо и для критерия -
"Индекс выгодности инвестиций".
Очевидно, что величина критерия: РI > 1. свидетельствует
о целесообразности реализации проекта, причем, чем РI превышает единицу, тем
больше инвестиционная привлекательность проекта. Иными словами,
дисконтированные доходы от реализации проекта в РI раз превосходят
дисконтированные инвестиционные затраты 
.
Один из возможных частных видов критерия "Индекс выгодности
инвестиций" предлагается использовать в работе. Он назван авторами
показателем рентабельности инвестиций или коэффициентом чистой текущей
стоимости (Nеt рrеsеnt vаluе rаtiо, NРVR).
"Указанный показатель представляет собой отношение чистой
текущей стоимости проекта к дисконтированной (текущей) стоимости инвестиционных
затрат". При этом рекомендуется чистую текущую стоимость определять с
учетом ликвидной стоимости проекта, если последняя "представляет собой
значительную сумму"
2.1.3 Срок
окупаемости
Для этого критерия используются следующие наименования:
срок окупаемости;
окупаемость;
срок окупаемости (без дисконтирования);
период окупаемости инвестиций;
время окупаемости;
период окупаемости проекта. Аббревиатура
критерия: РВ (Рауbасk).
Под сроком окупаемости проекта понимается
период времени от момента начала его реализации до того момента эксплуатации
объекта, в который доходы от эксплуатации становятся равными затратам капитала
(на капитальное строительство).
В работе отмечается, что показатель Рауbасk реriоd наиболее близок
по своему содержанию к традиционному в Российской Федерации показателю
"срок окупаемости" (капитальных вложений). Разница между ними состоит
в том, что при подсчете Рауbасk реriоd учитываются все первоначальные
инвестиции (капитальные затраты и эксплуатационные расходы), а при подсчете
"срока окупаемости" учитываются только первоначальные
капиталовложения"
.
Мы считаем, как указывалось выше, что каждый критерий оценки
инвестиционной привлекательности проекта может определяться с помощью
нескольких алгоритмов в зависимости от цели инвестиций и технико-экономической
политики фирмы в период эксплуатации объекта. Но каждый критерий должен
соответствовать принятым международным стандартам. При расчете величины
критерия "Срок окупаемости" капитальные затраты учитываются в
дисконтируемой сумме затрат на реализацию проекта, а эксплуатационные расходы
входят в себестоимость готовой продукции и соответственно уменьшают сумму чистой
прибыли в период эксплуатации объекта 
.
Очевидно, что срок окупаемости достигается на том шаге расчетного
периода, когда величина критерия "Индекс доходности" впервые превысит
единицу, т.е. доходы от реализации превысят инвестиционные затраты. Поэтому
алгоритм расчета срока окупаемости состоит в интерполяции критерия "Индекс
доходности" на величину равную единице для указанного шага расчетного
периода.
Уменьшение срока окупаемости повышает инвестиционную
привлекательность проекта.
2.1.4
Внутренняя норма доходности
В опубликованных работах этот критерий
имеет следующие названия:
внутренняя норма доходности;
доходность дисконтированных денежных
поступлений;
внутренняя норма рентабельности;
внутренняя норма прибыли;
поверочный дисконт;
внутренняя ставка отдачи;
внутренний коэффициент рентабельности;
внутренняя норма окупаемости инвестиций.
Аббревиатура критерия: IRR (Intеrnаl rаtе оf rеturn).
При определении величины этого критерия
проявляется некоторая неопределенность. Для уточнения смысла критерия -
"Внутренняя норма доходности" воспользуемся двумя его определениями:
1. "Под внутренней нормой доходности понимают ту
расчетную ставку процентов, при которой капитализация регулярно получаемого
дохода дает сумму равную инвестициям и, следовательно, капиталовложения
являются окупаемой операцией"
2. "Показатель IRR представляет
собой поверочный дисконт, при котором отдача от инвестиционного проекта равна
первоначальным инвестициям в проект"
Исходя из этих определений в общем виде
можно записать соотношение для расчета критерия - "Внутренняя норма
доходности" в следующем виде:
где: F=IRR
Все остальные обозначения сохранены такими же, как они были
приняты для формул (2.1.1) и (2.1.2). Однако используемые в уравнении (2.1.4)
соотношения для дисконтирования затрат Z. и доходов D. требуют
уточнения.
В некоторых работах предполагается, что Е = F, и
определяется одно значение поверочного дисконта для затрат капитала и доходов
от реализации проекта.
Большинство авторов приводят расчетные формулы и примеры расчета,
из которых следует, что инвестиционные расходы производятся единовременно в
момент начала реализации проекта. Поэтому величина Е принимается равной
единице, а поверочный дисконт F определяется для доходов от реализации проекта.
Очевидно, что чем больше величина дисконта, тем меньше сегодняшняя
стоимость будущих поступлений денежных средств. При оценке инвестиционной
привлекательности проектов до начала расчета известны условия предоставления
кредита, в т. ч. и ставка процентов за его предоставление. Если кредит
предоставляется частями в разные периоды от момента начала реализации проекта,
то повышение ставки процентов за кредит приведет к снижению стоимости будущих
поступлений кредита, дисконтируемых к моменту начала реализации проекта. А это,
в свою очередь, приведет к завышению величины поверочного дисконта.
За собственные средства - средства акционеров и учредителей - в
результате реализации проекта должны быть выплачены дивиденды, в т. ч. и за
время строительства объекта (по мере их поступления). Поэтому при расчете
величины поверочного дисконта величина должна определяться для всех собственных
средств, а также для всех доходов и расходов за счет чистой прибыли и
амортизационных отчислений 
.
Расчет величины поверочного дисконта целесообразно начинать с того
шага расчетного периода, когда величина критерия "Индекс доходности"
превысит значение единицы, и определять его значение для каждого последующего
шага до конца расчетного периода.
Очевидно, чем выше величина поверочного дисконта для номинальных
исходных данных, тем больше инвестиционная привлекательность рассматриваемого
проекта.
По сравнению с критериями, рассмотренными выше, алгоритм расчета
поверочного дисконта несколько сложнее, так как требует привлечения одного из
методов нелинейного программирования. Проведенная нами проверка показала, что в
данном случае достаточно эффективен один из самых простых методов одномерного
поиска, имеющий следующую расчетную схему.
. Задается начальное значение величины F = F0 
. Определяется разница между доходами и затратами от реализации
проекта на рассматриваемом шаге расчета. При F равном нулю доходы фактически не
дисконтируются, а просто суммируются. Поэтому разница между доходами и
дисконтированными затратами при условии, что индекс выгодности инвестиций
больше единицы, будет некоторой положительной величиной.
. С постоянным шагом увеличивается значение поверочного дисконта
до тех пор, пока разница между доходами и расходами не станет отрицательной.
. В найденной таким образом величине интервала поверочного
дисконта - от наименьшего положительного значения указанной разницы до первого
отрицательного ее значения - определяется делением пополам отрезка такое
значение величины F, при которой разница между дисконтированными доходами с
нормой дисконта F и затратами с нормой дисконта Е с заданной точностью близка к
нулю. Это значение и принимается за величину поверочного дисконта для
рассматриваемого шага расчета.
Из рассмотренных четырех критериев, применяемых для оценки
инвестиционной привлекательности проектов, по используемым для расчета нормам
дисконта и соответственно потоков платежей принципиально различаются два
критерия:
чистый дисконтированный доход и
внутренняя норма доходности, которые по существу дополняют друг
друга. При определении величин двух других критериев:
индекс доходности и срок окупаемости
Поэтому используются и потоки денежных средств, и их нормы
дисконта такие же, как и для критерия "Чистый дисконтированный
доход". Поэтому вряд ли можно ожидать заметных различий инвестиционной
привлекательности проекта при одних и тех же данных.
Использование статистического моделирования для оценки вероятности
неблагоприятного результата инвестиций приводит к целесообразности расчета двух
дополнительных критериев: запаса финансовой устойчивости и результата
инвестиций, смысл которых требует дополнительных пояснений.
2.1.5 Запас
финансовой устойчивости
Идея подобного критерия изложена в
опубликованных материалах, посвященных финансовому менеджменту, и, в частности,
подробно описана в работе, где предлагается определять величину "Запаса
финансовой прочности" предприятия как разницу между выручкой от реализации
минус порог рентабельности.
Чрезмерное упрощение схемы расчета критерия
"Запас финансовой прочности", приведенной в указанной работе, не
позволяет использовать этот критерий при оценке инвестиционной
привлекательности проектов.
Мы предлагаем определять величину критерия
"Запас финансовой устойчивости" как выраженное в процентах отношение
нераспределенной прибыли к валовой прибыли от продаж. В соответствии с принятым
и изложенным ниже алгоритмом расчета, валовая прибыль определяется как сумма
продаж минус себестоимость с учетом амортизационных отчислений и минус разница
НДС на выпускаемую продукцию и НДС, вошедшего в стоимость потребляемых
ресурсов, сырья, материалов и комплектующих.
Нераспределенная прибыль вычисляется,
исходя из валовой прибыли, но с учетом:
операционных расходов;
выплаты процентов за предоставление кредита;
других доходов;
всех видов налогов, начисляемых на прибыль
и имущество;
выплаты задолженности по кредитам и
обеспечения необходимых быстроликвидных
активов.
Учет указанных факторов при расчете
величины предлагаемого критерия позволяет определить запас средств, необходимый
для безубыточной работы предприятия. Величина критерия "Запас финансовой
устойчивости" не может быть отрицательной.
Если на каком-то шаге расчетного периода нераспределенная прибыль
оказывается отрицательной, то действующему предприятию необходим новый кредит.
Сумма этого кредита должна соответствовать по абсолютному значению
отрицательной величине нераспределенной прибыли. В некоторых случаях вместо
кредита оказывается возможным привлечение дополнительного акционерного капитала

. Таким образом, за счет кредита или акционерного капитала, или и
того и другого сумма нераспределенной прибыли на каждом шаге расчета становится
равной нулю.
Накопленный нами опыт по оценке инвестиционной привлекательности
проектов показывает, что получение отрицательного значения нераспределенной
прибыли, возможно на первых шагах расчета ввода в эксплуатацию исследуемого
объекта. Особенно в тех случаях, когда величина акционерного капитала существенно
меньше общих инвестиционных затрат. Поэтому одной из задач оценки
инвестиционной привлекательности проектов является вопрос обоснования
допустимого соотношения собственных и заемных средств для реализации проекта.
Величина критерия "Запас финансовой устойчивости", таким
образом, свидетельствует о способности предприятия к привлечению средств
акционеров и расширению своих производственных возможностей. Если за расчетный
период эксплуатации объекта запас его финансовой устойчивости близок к нулю, то
акционерам остается довольствоваться только ростом стоимости акций, не получая
дивидендов.
2.1.6.
Результат инвестиций
Используемый нами критерий "Результат
инвестиций" по своему смыслу близок к показателю "Финансовый
итог" (саsh flоw, СF), рассмотренному в работе. По существу, его можно
считать одной из возможных разновидностей первого из рассмотренных выше
критериев "Чистый дисконтированный доход". Критерии "Чистый
дисконтированный доход" и "Результат инвестиций" отличаются
только точкой приведения потоков затрат капитала и доходов от эксплуатации
объекта. Если для расчета критерия "Чистый дисконтированный доход"
все потоки затрат и доходов приводятся к моменту начала реализации проекта, то
для определения "Результата инвестиций" те же самые потоки средств
приводятся к концу расчетного периода.
Приведение потоков затрат капитала и
доходов от эксплуатации объекта к концу расчетного периода при использовании
статистического моделирования позволяют сделать две важные оценки риска для
рассматриваемого проекта, а именно, для этого критерия могут быть вычислены два
значения вероятности:
. Вероятность того, что "Результат
инвестиций" не превысит банковского процента за кредит на собственный
капитал.
Для определения первой из указанных
вероятностей необходимо предварительно найти увеличение собственного капитала к
концу расчетного периода при заданных в исходных данных темпах его привлечения
и норме дисконта для банковского кредита.
Глава 3.
Состояние и перспективы развития гостиничного комплекса города Нижний Новгород
3.1 Объемы
гостиничного рынка Нижнего Новгорода
По объему гостиничного рынка Нижегородская область занимает
четвертое место в России после Москвы, Санкт-Петербурга, Сочи.
Согласно данным на 01.01.2013 г., гостиничная база Нижнего
Новгорода насчитывала 70 объектов, что составляет около 2% общероссийской сети.
Общая вместимость гостиниц - 2897 номеров. До 1 июля 2015 года гостиницы
Нижнего Новгорода и другие объекты, предназначенные для размещения туристов,
должны будут пройти международную классификацию (от 1 до 5 звезд).
Таблица 3.1.1.
Средняя обеспеченность гостиничными местами, ед. /тыс.
жителей
|
г. Нижний
Новгород
|
Средняя по
России
|
Москва
|
Санкт -
Петербург
|
Испания
|
Сербия и
Черногория
|
США
|
|
4,5
|
3,9
|
11
|
9
|
21
|
18
|
19
|
В то же время положение в гостиничном комплексе в г. Нижний
Новгород нельзя признать удовлетворительным.
Имеющаяся база размещения прибывающих в г. Нижний Новгород
однотипна по структуре и состоит в основном из гостиниц и общежитий для
приезжих. Около 90% вместимости всей базы размещения приходится на гостиницы
среднего класса. Отсутствуют гостиницы категории "5 звезд", класса
конгресс-центр, современные мотели, другие перспективные формы гостиничного
продукта.
Современная гостиничная сфера г. Нижний Новгород
характеризуется сравнительно низким уровнем комфорта. В 1996-2010 годах
некоторым успешно функционирующим гостиницам была присвоена категория,
характеризующая средний и повышенный уровень обслуживания в соответствии с
международной классификацией. Классификация гостиниц проводится по национальным
стандартам. В России с 1 октября 2001 г. действует Постановление Госстандарта РФ
от 26.09.2001 № 82 "О создании и государственной регистрации системы
добровольной сертификации услуг гостиниц и других средств размещения на
категорию. РОСС RU.0001.03УГ00".
Нижегородские гостиницы, прошедшие сертификацию расположены в
Нижнем Новгороде (табл. 3.1.2).
Таблица 3.1.2
Деление гостиниц Нижнего Новгорода по категориям
|
Районы города
|
Всего гостиниц
|
Категории
гостиниц
|
|
|
4*
|
3*
|
2*
|
1*
|
Без звезд
|
|
Автозаводский
|
5
|
"Волна"
|
-
|
-
|
-
|
4
|
|
Канавинский
|
11
|
-
|
Николь Маринс
Парк Отель
|
|
-
|
3
|
|
Ленинский
|
3
|
-
|
-
|
-
|
"Заречная"
|
-
|
|
Московский
|
5
|
-
|
-
|
-
|
-
|
4
|
|
Нижегородский
|
32
|
"Александровский
сад"
|
"Октябрьская"
|
"Нижегородская"
"Волжский откос"
|
-
|
7
|
|
Приокский
|
4
|
-
|
-
|
-
|
-
|
-
|
|
Советский
|
8
|
"Ока"
|
|
-
|
-
|
4
|
|
Сормовский
|
3
|
-
|
-
|
-
|
-
|
1
|
|
ИТОГО
|
31
|
2
|
2
|
3
|
1
|
23
|
Из числа сертифицированных гостиниц преобладают предприятия
категории "2 звезды" - 26% по числу объектов и 64% по количеству
мест. Объекты категории "без звезд" составляют, соответственно, 46% и
17%. Доля высоко комфортабельных предприятий составляет 5% по количеству и 8,5%
по вместимости. Значительная часть гостиниц размещается в амортизированном
фонде.
В большинстве действующих гостиниц, построенных в советское
время по типовым проектам, проблемы повышения уровня гостиничного сервиса
решаются за счет перепланировки общей и жилой площадей путем сокращения мест и
увеличения площади номеров.
3.2
Бизнес-план ЗАО "ГК "Крона 2"
Наименование предприятия: ЗАО "ГК "Крона".
Категория: 4****
Гостиница занимает 7 - этажное здание, расположенное в
лесопарковой зоне, в верхней части Нижнего Новгорода в Советском районе.
Настоящий проект гостиницы рассчитан на 7 лет и предполагает:
. Строительство гостиницы на 150 номеров; общая
стоимость проекта составит 270 000 000 руб.;
2. Стоимость проекта покрывается на 261 245 195 руб. за
счет собственных средств.
. Эффективность проекта подтверждается положительным
значением критерия NРV.
Гостям г. Нижнего Новгорода и его жителям предлагаются:
. Услуги гостиничного комплекса - предприятие
располагает гостиницей на 150 двухместных номеров, оборудованных соответствующим
образом. Из них:
· 80 номеров с большой двуспальной кроватью;
· 70 номеров с двумя раздельными кроватями.
2. Услуги общественного питания - при гостинице имеется
ресторан на 80 посадочных мест (отдельно от ресторана кафе-бар).
3. На территории гостиницы имеется платная
автомобильная стоянка на 100 автомобилей, услугами которой могут пользоваться
как лица, проживающие в гостинице (по выгодным ценам, которые на 25% ниже), так
и посторонние лица.
Помимо этого, гостиница сдаёт в аренду площади, на которых
располагаются:
· киоск сувениров.
Помимо этого, гостиницей предоставляется целый комплекс
сопутствующих услуг в соответствии с пожеланиями клиентов: заказ билетов в
театры и кинотеатры, на стадионы, концерты и т.д., предоставление информации
справочного характера, предоставление гида, переводчика и т.п.
Сегодня рынок гостиничного бизнеса г. Нижний Новгород
представлен основными конкурентами:
1.
Гостиницы
класса "Эконом" Добавить название гостиниц
Количество номеров в этих гостиницах не превышает 70. Такие
гостиницы предлагают услуги проживания по невысоким ценам, уровень сервиса и
обслуживания соответственно тоже невысок. Гостиницы класса "Эконом"
востребованы среди менеджеров среднего и низшего звена (в основном
государственных предприятий, ведомственных структур), приезжающих в Нижний
Новгород в командировку.
2.
Средние
и малые гостиницы класса "Премиум"
Количество номеров не превышает 30 ("Жук Жан",
"На Ильинке", "Никола Хаус"). Состояние номерного фонда,
уровень предоставляемого сервиса и дополнительных услуг в этих гостиницах
высок, стоимость предлагаемых услуг тоже высока. Основными клиентами таких
гостиниц являются представители крупного и среднего бизнеса, топ - менеджеры
высшего звена. Вследствие своих небольших площадей такие гостиницы не могут удовлетворить
потребности, возникающие у клиентов: ограниченные площади не позволяют
построить конференц-залы, бизнес - центры, комнаты для переговоров, а также
оздоровительные центры, спортивные комплексы, тренажерные залы и пр.
3.
Крупные
гостиничные комплексы
Представителями этой группы являются гостиницы:
"Волна" ("4 звезды"), "Александровский сад"
("4 звезды"), "Октябрьская" ("3 звезды"),
"Ока" ("4 звезды"), "Маринс Парк " ("3
звезды"), "Нижегородская" ("2 звезды"), "Волжский
откос" ("2 звезды"), "Заречная" ("1
звезда"). Количество номеров в этих гостиницах превышает 50. Важным
преимуществом этих гостиниц является развитая инфраструктура - гостиницы могут
предложить не только основные услуги по проживанию, но комплекс прочих
дополнительных услуг: услуги конференц-залов, бизнес-центров, услуги
развлекательных и оздоровительных центров. Этот сегмент неоднороден, т.к.
гостиницы города предлагают услуги разного уровня - от класса
"Премиум" с высоким уровнем сервиса и соответствующими ценами ("Волна"
("4 звезды"), "Александровский сад" ("4 звезды"))
до класса "Эконом" с низким уровнем сервиса и обслуживания, но и
соответственно невысокой стоимостью проживания ("Заречная" ("1
звезда")). В той или иной степени в каждой гостинице этого сегмента
происходит обновление номерного фонда и развитие дополнительных сервисных
услуг.
Несмотря на невысокий уровень комфорта, цены в нижегородских
гостиницах сравнительно высоки. В гостиницах класса "4 звезды"
("Волна" и "Александровский сад") от 5500 до 4940 руб. за
сутки в одноместном стандартном номере. Суперлюкс в "Александровском
саду" стоит 20 370 руб. в сутки, а люксы разной категории в
"Волне" от $350 до $1300. В "Никола Хаус" самый дешевый
номер стоит от 2950 до 3700 руб., стандартная комната - от 4600 до 5550 руб.,
люкс - 9250 руб. в сутки. Цены в гостиницах классом ниже на номера
"эконом" держатся в пределах 2500-3500 руб., люксы - 6000-8700 руб. в
сутки.
По потенциалу развития гостиничного рынка Нижний Новгород
сопоставим с Москвой и Санкт-Петербургом, Казанью, Екатеринбургом, Самарой и
Владивостоком. В то же время сегодня не хватает гостиниц эконом - класса. Ниша
гостиниц среднего класса начала формироваться сравнительно недавно. Все
работающие в этой нише крупные гостиницы построены в советские времена. В
последние два года, когда спрос на гостиничные услуги в городе вырос, владельцы
отелей занялись реконструкцией и обновлением номерного фонда. Официально
подтвердили статус "3 звезды" руководители гостиниц
"Нижегородская" и "Маринс Парк Отель" (Центральная).
Преобладающую долю в структуре разместившихся в гостиницах
занимают лица, посетившие область с деловыми и профессиональными целями.
В 2012 г. в Нижегородской области объём услуг гостиниц
существенно вырос по сравнению с 2011 г. и составил 958611,28 тыс. руб., что
заметно больше общероссийского роста объема гостиничных услуг - 25,9% (по
данным Ростуризма в 2012 г. общероссийский объём услуг гостиниц составил 95,4
млрд. руб. против 78,9 млрд. руб. в 2010 г.).
В 2012 г. объем услуг гостиниц составил 6 452 239,3 тыс. руб.
Таблица 3.2.1
Структура доходов гостиничных предприятий Нижнего Новгорода
|
№
|
Перечень
показателей
|
Доля в
структуре общих доходов, %
|
Доля в
структуре доходов от предоставления услуг, %
|
|
1.
|
Доходы от
предоставления услуг
|
87,6
|
100
|
|
2.
|
в том числе:
выручка от продажи номеров
|
72,1
|
82,3
|
|
3.
|
выручка от
дополнительных платных услуг
|
15,5
|
17,7
|
|
4.
|
из них:
экскурсионных
|
0,0
|
0,0
|
|
5.
|
лечебно-оздоровительного
характера
|
0,0
|
0,0
|
|
6.
|
доходы от
общественного питания
|
14,4
|
16,5
|
|
7.
|
Прочие доходы,
не связанные с обслуживанием размещенных лиц
|
5,6
|
-
|
|
8.
|
Поступило
средств: из государственного бюджета
|
0,6
|
|
|
9.
|
от головной
коммерческой организации
|
6,2
|
-
|
|
|
ВСЕГО
|
100
|
-
|
К дополнительным услугам можно отнести:
· услуги бизнес-центра, а именно:
ксерокопирование документов, факсовую и телефонную связь, пользование
компьютером, доступ к Интернет, переводческие услуги, услуги по распечатке,
правке и брошюрованию документов;
· услуги конгресс-центра: конференц-зал,
видеоконференции, синхронный перевод;
· услуги общественного питания;
· экскурсионные услуги;
· услуги лечебно-оздоровительного характера
и другие.
В гостиничном комплексе ЗАО " ГК Крона" практика
предоставления дополнительных услуг является слабо используемым источником
доходов, занимая в 2010 г. лишь 17,7% в общем объёме доходов от предоставления
услуг. Из них 13,5% занимают услуги общественного питания. Практически не
предоставляются экскурсионные услуги и услуги лечебно-оздоровительного
характера.
Повышение эффективности деятельности гостиничных предприятий,
их расширение и техническое перевооружение, совершенствование управления при
увеличении номенклатуры продукции, работ и услуг - условия, обеспечивающие
стабильный рост прибыли в долгосрочной перспективе с учетом технического
прогресса и конкуренции.
Таблица 3.2.2.
Приоритетные направления совершенствования деятельности
лидирующий гостиниц Нижнего Новгорода
|
№
|
Функциональная
сфера
|
Направления
совершенствования
|
Формы
совершенствования
|
|
1.
|
Маркетинг
|
Расширение
комплекса дополнительных услуг:
|
|
|
1. Услуги
питания
|
создание службы
"Rооm sеrviсе" расширение кейтеринговых услуг проведение кулинарных
фестивалей
|
|
|
2.
Бизнес-услуги
|
создание
пресс-службы формирование конференц-пакетов беспроводное подключение к
Интернет
|
|
|
3.
Развлекательные услуги
|
услуги сауны и
бассейна организация домашнего кинотеатра воскресные обеды в ресторане
экскурсионные услуги
|
|
|
4. Услуги для
клиентов с детьми
|
детская комната
с няней детское меню в ресторане организация детских праздников
|
|
|
5.
Использование е-mаil-маркетинга для повышения продаж
|
|
|
2.
|
Основная
деятельность
|
1. Аутсорсинг
некоторых видов услуг: уборки номеров, прачечной, химчистки
|
|
|
|
2. Ремонт и
переоснащение гостиниц
|
|
|
3.
|
Финансовая
деятельность
|
Использование
дифференцированных цен и скидок:
|
|
|
1.
Использование дифференцированных цен
|
специальные
цены от стойки специальные тарифы в "низкий сезон" цены на выходные
и праздничные дни цены для групп клиентов цены для турфирм при закупки
больших квот мест цены для сотрудников турфирм
|
|
|
2.
Использование скидок и специальных предложений
|
использование
нескольких видов дисконтных карт использование бонусных баллов для постоянных
клиентов начисление призовых баллов за частое посещение гостиницы
|
|
4.
|
Менеджмент
|
Переход от
авторитарного стиля руководства к коллективному, воспитание персонала
|
проведение
занятий-тренингов для руководящего состава проведение занятий-тренингов для
сотрудников аттестация для руководителей аттестация сотрудников
|
В существующем состоянии нижегородские гостиницы имеют
расширенные сферы услуг. Во вновь сооружаемых или реконструируемых гостиницах
эти возможности должны быть реализованы изначально в том числе в новом
гостиничном комплексе ЗАО "ГК "Крона 2".
Основные из них:
· создание службы "Rооm sеrviсе",
которая предоставляет клиентам доброкачественную пищу по предварительным
заказам непосредственно в номер в одноразовой посуде и по более низкой цене;
· кейтеринговые услуги: доставка пищи
работникам, находящихся поблизости предприятий и организаций;
· специальные кулинарные мероприятия:
фестивали, посвященные кухням народов мира, приуроченные к праздникам и т.п.
Они особенно важны в период низкой загрузки для привлечения клиентов, не
проживающих в гостиницах.
Актуально расширение спектра бизнес-услуг в гостиницах за
счет создания пресс-службы, конференц-пакетов, услуг конгресс-центра. Задача
пресс-службы заключается не столько в продвижении услуг гостиницы, сколько в
оказании информационных услуг клиентам бизнес-центра. При этом пресс-службы
используют контакты с региональными и центральными СМИ.
Конференц-пакеты - услуга по приёму деловых мероприятий. В
состав конференц-пакета входят: аренда зала, базовое оборудование, перерыв на
кофе, напитки и фрукты, бесплатные звонки по городу, использование
факсимильного аппарата, копирование документов, специальная цена на размещение,
информационное табло в холле. Цена конференц-пакета зависит от состава пакета и
от количества участников конференции.
Всё более востребованной услуга высокоскоростного и
беспроводного подключения к сети Интернет. Она позволяет гостям не тратить время
на подключение с помощью телефонной линии, модема, провайдера, дополнительных
приспособлений, а также возможность пользоваться Интернетом не только в
гостевых комнатах, но и практически в любом помещении гостиницы. Такая
технология привлечет дополнительное внимание к гостинице со стороны
бизнесменов, а также организаторов высокобюджетных IT - конференций.
Существующие 3-х и 4-х звёздочные гостиницы, являющиеся
нашими конкурентами, уже овладели приоритетными направлениями. По различным
оценкам только за счёт введения этих приоритетных направлений в гостиничной
инфраструктуре г. Нижнего Новгорода может быть получен доход 500-550 млн.
рублей.
Предприятие планирует выход на рынок монополистической
конкуренции, доля на одного из конкурентов по прогнозу не будет превышать 7,5%
-10% рынка.
Тем не менее, необходимо отметить следующее:
· Предприятие испытывает не высокую угрозу
со стороны внутриотраслевых
· конкурентов, имеющих достаточно твёрдые
позиции на действующем рынке;
· Возможно вхождение в рынок новых конкурентов,
привлечённых получаемыми доходами;
· Поставщики, с которыми будет работать
гостиница, неизбежно займут активную позицию и будут стремиться к вертикальной
интеграции.
· При реализации этого стремления гостиница
приобретет значительную долю самостоятельности.
В ценообразовании гостиница использует метод установления
цены на основе уровня текущих цен на рынке. В среднем цена одного номера
составляет 3200 руб. в сутки.
Выбор метода ценообразования обусловлен тем, что эластичность
спроса в данном случае с трудом поддаётся замеру, придерживаться уровня текущих
цен - значит, сохранить нормальное равновесие в рамках отрасли.
Таблица 3.2.3
Оценка сильных и слабых сторон предприятия
|
Сильные стороны
|
Слабые стороны
|
|
1
|
2
|
|
Система
распределения
|
|
1. Наличие опытных
руководителей; 2. Анализ потребностей потребителей услуг; 3. Организация
обучения персонала; 4. Работа по различным формам платежей; 5. Накопление
опыта продаж и создание базы данных о клиентах.
|
1.
Недостаточный собственный опыт рекламы; 2. Необходимость риска.
|
|
Предоставляемые
услуги
|
|
1. Возможность
предоставления услуг в соответствии со специфическими пожеланиями клиентов;
2. Перспективное планирование объемов продаж; 3. Предоставление сопутствующих
услуг.
|
1. Отсутствие
возможности влиять на поставщиков; 2. Сертификация предоставляемых услуг; 3.
Отсутствие международного сертификата.
|
|
Собственные
финансовые средства предприятия
|
|
1. Финансовая
независимость.
|
1.
Недостаточность оборотных активов и мест для оперативного реагирования на
повышение спроса.
|
|
Организация
управления
|
|
1. Мобильная
реакция на изменение условий на рынке; 2. Наличие квалифицированных групп
работников.
|
1. Высшее
руководство распределяет ресурсы и кадры.
|
|
Имидж гостиницы
|
|
1. Высокий
уровень обслуживания.
|
1. Выполнение
принятых обязательств при минимальной прибыли.
|
Таблица 3.2.4
Анализ возможностей и угроз
|
Возможности
|
Угрозы
|
|
1
|
2
|
|
Общество
|
|
1. Расширение
рынков сбыта.
|
1. Изменение
политической ситуации; 2. Незастрахованность бизнеса.
|
|
Тенденции
развития рынка
|
|
1. Расширение
услуг сервиса.
|
1. Принятие
новых стандартов.
|
|
Конкуренты
|
|
1. Ухудшение
позиций некоторых конкурентов по причине неудовлетворительного менеджмента
|
1. Снижение
цены конкурентов
|
|
Распределение
|
|
1. Растущая
потребность в услугах гостиниц; 2. Подъем экономики, увеличение спроса; 3.
Рост реальных доходов населения.
|
1. Высокая
коррумпированность чиновников; 2. Риск при оценке платёжеспособности
клиентов.
|
|
Потребители
|
|
1. Выход на
новые сегменты рынка; 2. Оказание услуг на уровне мировых стандартов.
|
|
Проведённый анализ избрать для гостиницы маркетинговую
стратегию ограниченного роста за счёт:
. Заполнения до конца избранной рыночной ниши;
2. Совершенствования предоставляемых услуг;
. Глубокого внедрения на рынок, которое заключается в
поиске возможностей увеличения объёма продаж на ещё не насыщенном рынке с
помощью создания wеb-сайта гостиницы, на котором будет выложена подробная
информация о предприятии и предоставляемых услугах, а также будет предоставлена
возможность оn-linе бронирования, что обеспечит более высокую загрузку
гостиницы.
Доказано, что успех дела на 90 % зависит от качественного
уровня управления. Связи с тем что мы планируем расширение и претендуем создать
4-х звёздочную гостиницу, нам требуется создать наиболее эффективную
организационную структуру управления. Наиболее подходящей является линейная.
ЗАО "ГК "Крона" имеет линейно-функциональную организационную
структуру и в основном состоит из двух служб. В ЗАО "ГК "Крона
№2" планируется рационально распределить нагрузку между отделами и за
каждое подразделение назначить ответственного (начальника)
Организационная структура ЗАО "ГК "Крона №2"
Преимущества линейной организационной системы управления:
) единство и четкость распоряжений;
) согласованность действий исполнителей;
) четко выраженная ответственность;
) оперативность в принятии решений;
) личная ответственность руководителя за конечные результаты
деятельности своего подразделения.
Недостатки линейной организационной системы управления:
) высокие требования к руководителю, который должен быть
подготовлен всесторонне, чтобы обеспечить эффективное руководство по всем
функциям управления;
) отсутствие звеньев по планированию и подготовке решений;
) перегрузка информацией, множество контактов с подчиненными,
вышестоящими и сменными структурами;
Глава 4.
Бизнес-план строительства гостиничного комплекса гк крона2
4.1
Финансовый план реализации проекта
Общий финансовый план при использовании собственных средств
представлен тремя документами
· отчетом о прибылях и убытках;
· отчетом о движении денежных средств
("Кэш-фло");
· плановым балансом.
Финансовый план рассчитан при условии реализации плана
производства и сбыта продукции.
. Отчет о финансовых результатах отражает оперативную
деятельность предприятия в период реализации проекта.
. Отчет о движении денежных средств показывает остатки
денежных средств предприятия в динамике от периода к периоду.
. Балансовая ведомость отражает финансовое состояние
предприятия на конец рассчитываемого периода времени.
Условия,
принятые для расчета:
· Условная дата начала реализации проекта -
июнь 2014 г.
· Основная валюта проекта - рубли;
· Валюта для расчета на внешнем рынке -
Евро,
· Курс на момент ввода - 1 Евро = 49,00 руб.
· Финансовый год начинается в январе;
· Принцип учета запасов: FIFО
· Срок расчета интегральных показателей - 84
месяца;
· Условие реинвестирования: денежные
средства, полученные в результате реализации проекта, реинвестируются в этот же
проект;
Таблица 4.1.1
Стартовый Баланс
|
Строка
|
Сумма (руб.)
|
|
Денежные
средства
|
271 000 000,00
|
|
Счета к
получению
|
0,00
|
|
Сырье,
материалы и комплектующие
|
0,00
|
|
Незавершенное
производство
|
0,00
|
|
Запасы готовой
продукции
|
0,00
|
|
Банковские
вклады и ценные бумаги
|
0,00
|
|
Краткосрочные
предоплаченные расходы
|
0,00
|
|
Суммарные
текущие активы
|
271 000 000,00
|
|
Основные
средства
|
0,00
|
|
Накопленная
амортизация
|
0,00
|
|
Остаточная
стоимость основных средств:
|
0,00
|
|
Земля
|
0,00
|
|
Здания и
сооружения
|
0,00
|
|
Оборудование
|
0,00
|
|
Предоплаченные
расходы
|
0,00
|
|
Другие активы
|
0,00
|
|
Инвестиции в
основные фонды
|
0,00
|
|
Инвестиции в
ценные бумаги
|
0,00
|
|
Имущество в
лизинге
|
0,00
|
|
СУММАРНЫЙ АКТИВ
|
271 000 000,00
|
|
Отсроченные
налоговые платежи
|
0,00
|
|
Краткосрочные
займы
|
0,00
|
0,00
|
|
Полученные
авансы
|
0,00
|
|
Суммарные
краткосрочные обязательства
|
0,00
|
|
Долгосрочные
займы
|
0,00
|
|
Обыкновенные
акции
|
0,00
|
|
Привилегированные
акции
|
0,00
|
|
Капитал
внесенный сверх номинала
|
0,00
|
|
Резервные
фонды
|
0,00
|
|
Добавочный
капитал
|
271 000 000,00
|
|
Нераспределенная
прибыль
|
0,00
|
|
Суммарный собственный
капитал
|
271 000 000,00
|
|
СУММАРНЫЙ
ПАССИВ
|
271 000 000,00
|
Таблица 4.1.2
Инфляция (%)
|
Объект
|
1 год
|
2 год
|
3 год
|
4 год
|
5 год
|
6 год
|
7 год
|
|
Сбыт
|
12,00
|
12,00
|
12,00
|
12,00
|
12,00
|
12,00
|
12,00
|
|
Прямые издержки
|
12,00
|
12,00
|
12,00
|
12,00
|
12,00
|
12,00
|
12,00
|
|
Общие издержки
|
12,00
|
12,00
|
12,00
|
12,00
|
12,00
|
12,00
|
12,00
|
|
Зарплата
|
14,00
|
14,00
|
14,00
|
14,00
|
14,00
|
14,00
|
14,00
|
|
Недвижимость
|
12,00
|
12,00
|
12,00
|
12,00
|
12,00
|
12,00
|
12,00
|
Таблица 4.1.3
Налоги
|
Название налога
|
База
|
Период
|
Ставка
|
|
Налог на
прибыль
|
Прибыль
|
Квартал
|
24 %
|
|
НДС
|
Добав. стоим.
|
Квартал
|
18 %
|
|
Налог на
имущество
|
Имущество
|
Квартал
|
2.2 %
|
|
ЕСН
|
Зарплата
|
Месяц
|
26 %
|
|
Взнос от НС и
ПЗ
|
Зарплата
|
Месяц
|
0.2 %
|
Таблица 4.1.4
Общие Издержки
|
№
|
Наименование
|
Единица
измерения
|
Цена за единицу
(руб.)
|
Потребление
(месяц)
|
Стоимость
(месяц) (руб.)
|
|
1.
|
Водоснабжение
|
куб. м
|
14,66
|
912,00
|
13365,91
|
|
2.
|
Водоотведение
|
куб. м
|
3,49
|
1033,60
|
3610,16
|
|
3.
|
Отопление,
горяч, водоснабжение
|
Гкал/ч
|
783, 19
|
145,92
|
114283,03
|
|
4.
|
Электроэнергия
|
КВт/ч
|
3,89
|
15000,00
|
58410,00
|
|
5.
|
УСЛУГИ СВЯЗЬ
|
|
|
|
|
|
5.1
|
Абон. плата
|
Шт.
|
165, 20
|
20,00
|
3304,00
|
|
5.2
|
Мест. Связь
|
Мин
|
0,28
|
1200,00
|
339,84
|
|
5.3
|
МГ и МН связь
|
Мин
|
4,50
|
600,00
|
2700,00
|
|
5.4
|
Интернет связь
|
Мб
|
2,24
|
3000,00
|
6720,00
|
|
|
ИТОГО УСЛУГИ
СВЯЗИ
|
|
|
|
13063,84
|
Таблица 4.1.5
Стоимость Предоставляемых Услуг
|
1.
|
Гостиница на
100 номеров, (мест)
|
150
|
|
|
Средняя
стоимость 1-го места в день (руб.)
|
2700
|
|
|
ИТОГО в месяц
на место (руб.)
|
82125
|
|
2.
|
Ресторан (мест)
|
100
|
|
|
кол-во обедов
на 1 место в день
|
6
|
|
|
средняя
стоимость 1-го обеда (руб.)
|
350
|
|
|
ИТОГО в месяц
на место (руб.)
|
63875
|
|
4.
|
Конференц-центр
(мест)
|
100
|
|
|
стоимость 1
часа аренды (руб.)
|
700
|
|
|
продолжительность
работы в день (час)
|
8
|
|
|
ИТОГО в месяц
на место (руб.)
|
1703
|
Таблица 4.1.6
Другие Выплаты
|
Название
|
Сумма
|
Платежи
|
|
(руб.)
|
|
|
Плата за землю
|
8 000,00
|
Ежемесячно,
весь проект
|
Таблица 4.1.7
Инвестиционный План Капитальные Вложения
|
Название
|
Длит-сть (дн.)
|
Дата начала
|
Ресурсы
|
|
Подготовка
рабочего проекта и предложений
|
92
|
01.08.2014
|
Услуги
сторонних организаций 7 690 000,00 руб.
|
|
Строительство
гостиницы
|
607
|
01.11.2014
|
|
|
Инженерное
обеспечение
|
120
|
01.11.2014
|
Услуги
сторонних организаций 12 432 000,00 руб.
|
|
Изготовление
фундамента
|
61
|
01.03.2005
|
Услуги
сторонних организаций 39 782 400,00 руб.
|
|
Возведение
стен
|
184
|
01.05.2015
|
Услуги
сторонних организаций 49 728 000,00 руб.
|
|
Монтажные
работы
|
61
|
01.11.2015
|
Услуги
сторонних организаций 29 836 800,00 руб.
|
|
Прокладка
коммуникаций
|
59
|
01.01.2016
|
Услуги
сторонних организаций 30 264 000,00 руб.
|
|
Отделочные
работы
|
122
|
01.03.2016
|
Услуги
сторонних организаций 86 526 700,00 руб.
|
|
Оборудование
гостиницы
|
61
|
01.06.2016
|
|
|
Гостиница
|
61
|
01.06.2016
|
Поставка
оборудования 3 060 000,00 руб. Выплаты в начале
|
|
Конференц-зал
|
61
|
01.06.2016
|
Поставка
оборудования 920 095,00 руб. Выплаты в начале
|
|
Ресторан
|
61
|
01.06.2016
|
Поставка
оборудования 508 200,00 руб. Выплаты в начале
|
|
Благоустройство
территории
|
31
|
01.07.2016
|
Услуги
сторонних организаций 497 000,00 руб.
|
Таблица 4.1.8
План по Персоналу
|
Должность
|
Кол-во
|
Зарплата
|
Платежи
|
|
|
(руб.)
|
|
|
Управление
|
|
|
|
|
Управление
|
4
|
35 000,00
|
Ежемесячно,
весь проект
|
|
Производство
|
|
|
|
|
Обслуж.
персонал
|
20
|
15 000,00
|
Ежемесячно, с
25 по 84 мес.
|
|
Маркетинг
|
|
|
|
|
Маркетолог
|
1
|
20 000,00
|
Ежемесячно, с
19 по 84 мес.
|
Таблица 4.1.9
Общие Издержки
|
Название
|
Сумма
|
Платежи
|
|
(руб.)
|
|
|
Производство
|
|
|
|
Организация
питания
|
750 000,00
|
Ежемесячно, с
25 по 84 мес.
|
|
Водоснабжение
|
13 366,00
|
Ежемесячно, с
25 по 84 мес.
|
|
Услуги связи
|
13 064,00
|
Ежемесячно, с
25 по 84 мес.
|
|
Электроэнергия
|
58 410,00
|
Ежемесячно, с
25 по 84 мес.
|
|
Прочие расходы
|
50 000,00
|
Ежемесячно,
весь проект
|
|
Водоотведение
|
3 610,00
|
Ежемесячно, с
25 по 84 мес.
|
|
Маркетинг
|
|
|
|
Реклама
|
20 000,00
|
Ежемесячно, с
19 по 84 мес.
|
Таблица 4.1.10
Сбыт (Ценообразование)
|
ПРОДУКТ/ВАРИАНТ
|
ЦЕНА (РУБ.)
|
ОПИСАНИЕ
|
|
Эксплуатация
Гостиницы - Ресторан
|
63 875,00
|
|
|
|
Сезонные
изменения цены
|
|
|
Январь - 40%
|
|
|
Февраль - 40%
|
|
|
Март - 40%
|
|
|
Апрель - 40%
|
|
|
Май - 40%
|
|
|
Июнь - 40%
|
|
|
Июль - 40%
|
|
|
Август - 40%
|
|
|
Сентябрь - 40%
|
|
|
Октябрь - 40%
|
|
|
Ноябрь - 40%
|
|
|
Декабрь - 40%
|
|
Эксплуатация
Гостиницы - Конференц-центр
|
1 703,00
|
|
|
|
Сезонные
изменения цены
|
|
|
Январь - 50%
|
|
|
Февраль - 50%
|
|
|
Март - 50%
|
|
|
Апрель - 50%
|
|
|
Май - 50%
|
|
|
Июнь - 50%
|
|
|
Июль - 50%
|
|
|
Август - 50%
|
|
|
Сентябрь - 50%
|
|
|
Октябрь - 50%
Таблице 4.2.
Эффективность Инвестиций при Использовании Собственных
Средств
|
Показатель
|
Рубли
|
Евро
|
|
Ставка дисконтирования,
%
|
10,75
|
10,75
|
|
Период
окупаемости - РB, мес.
|
65
|
65
|
|
Дисконтированный
период окупаемости - DРB, мес.
|
76
|
76
|
|
Средняя норма
рентабельности - АRR, %
|
24,24
|
24,24
|
|
Чистый
приведенный доход - NРV
|
45 811 741
|
1 238 155
|
|
Индекс
прибыльности - РI
|
1, 19
|
1, 19
|
|
Внутренняя
норма рентабельности - IRR, %
|
16,76
|
16,76
|
Период расчета интегральных показателей - 84 мес.
Период окупаемости проекта РB-период времени с начала
реализации проекта до момента, когда разность между накопленной суммой чистой
прибыли с амортизационными отчислениями и объемом инвестиционных затрат
приобретает положительное значение - 65 месяцев, дисконтированный период
окупаемости DРB при дисконте 10,75% - 76 месяцев.
Средняя норма рентабельности АRR представляет доходность
проекта как отношение между среднегодовыми поступлениями от его реализациями и
величиной начальных инвестиций. В представленном проекте она равна 24,24%.
Индекс прибыльности (ставка доходности) РI показывает
доходность проекта в сравнении с затратами. Индекс прибыльности проекта
показывает величину прироста активов от реализации проекта на единицу
инвестиций, определяется как отношения чистого приведенного дохода от
реализации проекта к приведенным затратам. В проекте индекс прибыльности равен
1, 19.
Внутренняя норма доходности (рентабельности) IRR - величина
доходности проекта при которой поступление денежных средств от реализации
проекта будет равно величине затрат по реализации проекта. Внутренняя норма
доходности характеризует максимальный процент по кредиту, который предприятие
может платить за финансирование инвестиционного проекта, работая при этом без
прибыли и убытков. Величина IRR проекта должна быть не ниже внутренней нормы
рентабельности, установленной на предприятии. В представленном проекте данный
показатель равен 16,76%. Важнейшим показателем эффективности проекта является
чистый приведенный доход (NРV - Nеt Рrеsеnt Vаluе, интегральный эффект) -
накопленный дисконтированный эффект за расчетный период. NРV зависит от нормы
дисконта. NРV характеризуют превышение суммарных денежных поступлений над
суммарными затратами для данного проекта соответственно с учетом
неравноценности их разновременности. Данный проект можно признать эффективным и
рекомендовать к финансированию, так как при ставке дисконтирования равной
10,75% NРV имеет существенно положительное значение и равен 45 811 741 руб.
График 4.2.
4.3 Анализ
чувствительности проекта
Анализ чувствительности показателей эффективности к
изменениям различных параметров - важный фактор реализуемости и устойчивости
проекта. Чем шире диапазон изменения параметра, в котором показатели
эффективности остаются в пределах приемлемых значений, тем выше "запас
прочности" проекта, тем лучше он защищен от колебаний факторов, оказывающих
влияние на результаты реализации проекта. Исследование чувствительности
показателей эффективности к изменению ставки дисконтирования позволяет
определить устойчивость проекта по отношению к колебаниям конъюнктуры
финансового рынка и возможным изменениям макроэкономических условий
деятельности. Ниже приведены графики зависимости чистого приведенного дохода
NРV от выбранных параметров "Цена сбыта" и "Объем сбыта".
Как следует из проведенного анализа чувствительности методом
вариации выбранных параметров, рассматриваемый проект достаточно устойчив к
возможному изменению объема и цены сбыта предоставляемых услуг и имеет
достаточный "запас прочности" по колебаниям исследуемых параметров.
График 4.3.
4.4
Статистический анализ проекта методом Монте-Карло
Цель статистического анализа методом Монте-Карло состоит в
определении степени воздействия случайных факторов на показатели эффективности
проекта. Успех реализации проекта зависит от множества переменных величин,
которые вводятся в описание в качестве исходных данных, но в действительности,
не являются полностью контролируемыми параметрами. Все эти величины можно
рассматривать как случайные факторы, оказывающие влияние на результат проекта.
Для анализа рассмотрим в качестве таких величин следующие параметры:
· объем продаж;
· цена продаж;
· общие издержки.
Диапазон установленных значений, в пределах которого они
могут одновременно изменяться случайным образом, представлен в Таблице 4.4.1.
Таблица 4.4.1
Диапазон изменения параметров
|
Название
|
- %
|
+ %
|
|
Объем продаж
|
-10,00
|
+10,00
|
|
Цена продаж
|
-10,00
|
+10,00
|
|
Общие издержки
|
0,00
|
+10,00
|
Для получения надежного результата число расчетов должно быть
достаточным для формирования статистической выборки. Устойчивость проекта по
результатам 100 проведенных расчетов составила 100%, что представляет
гарантированную вероятность успешного завершения проекта и отсутствие риска
возникновения дефицита средств. Для количественной оценки результатов анализа
проекта методом Монте-Карло используются два критерия: среднее значение и
неопределенность (Таблица 4.4.2.).
Таблица 4.4.2.
Средние значения и неопределенность показателей эффективности
проекта
|
Показатель
|
Среднее
|
Неопределенность
(%)
|
|
Период
окупаемости - РB, мес.
|
65
|
6
|
|
Дисконтированный
период окупаемости - DРB, мес.
|
69
|
33
|
|
Средняя норма
рентабельности - АRR, %
|
23,97
|
10
|
|
Чистый
приведенный доход - NРV, руб.
|
42 640 656
|
67
|
|
Индекс
прибыльности - РI
|
1,18
|
10
|
|
Внутренняя
норма рентабельности - IRR, %
|
16,27
|
22
|
Полученные в результате анализа средние значения показателей
эффективности проекта в целом остаются удовлетворительными.
Критерий неопределенности показывает "разброс"
результатов расчета, т.е. отклонение отдельных результатов показателей,
полученных в расчетах, от среднего значения этого показателя. Чем больше
неопределенность, тем выше риск. Значения неопределенностей считается
приемлемым в пределах 20-25% от среднего значения. Полученные в результате
расчетов значения неопределенностей показывают хорошую устойчивость показателей
проекта, характеризующих его успешную реализацию в расчетные сроки с
удовлетворительным уровнем рентабельности, и значительную зависимость величины
конечного дохода от одновременного колебания объема и цен на предоставляемые
услуги при увеличении величины общих издержек.
Таким образом, проведенный анализ проекта методом Монте-Карло
показал, что проект устойчив к неопределенному воздействию внешних
макроэкономических факторов, достаточно финансирован и имеет максимальные шансы
на успешную реализацию.
Проект "Строительство гостиничного комплекса Крона
2" в Приокском районе г. Нижний Новгород может быть рекомендован к
финансированию.
Заключение
Благополучие гостиничного бизнеса и любого другого во многом
зависит от бизнес-планирования. В отелях бизнес-класса (3 звезды) и в
4-5-звездочных этому отводиться большая роль.
В ходе написания работы, мною был проведён
анализ гостиничный бизнес и ЗАО "ГК Крона", изучены методологические
основы бизнес - планирования, функции и принципы бизнес - планирования, изучена
методика составления основных разделов бизнес-плана и был составлен бизнес-план
по открытию "ГК Крона №2". На основание проведённого исследования
можно сделать ряд выводов:
. Каждый производитель оказывается перед
выбором: что, как и для кого производить, кто и какую работу должен выполнить.
Последнее связано с организацией управления деятельностью компании. На любом
предприятии стремятся так организовать взаимодействие между различными
подразделениями, производственный процесс, чтобы каждый работник мог выполнять
свою работу с наибольшей эффективностью. При этом в своей деятельности
предприятие сталкивается с массой проблем: ограниченность ресурсов, недостатки
в производстве и реализации продукции и услуг и т.п. Вследствие этого с большой
остротой встал вопрос о необходимости формирования рыночного механизма
управления деятельностью предприятия, освоения соответствующего инструмента
внутрифирменного планирования. Планирование - неотъемлемая часть деятельности
любого делового предприятия независимо от организационно-правовой формы
собственности и размера предприятия.
. Мировой опыт подсказывает, что в
качестве универсального инструмента внутрифирменного планирования целесообразно
использовать такой новый для управленческой системы России документ, как
бизнес-план. В отличие от технико-экономического обоснования бизнес-план, как
показал первый опыт его применения в менеджменте российских компаний,
охватывает практически все проблемы, с которыми хозяйствующий субъект
сталкивается на рынке, помогает менеджерам в разработке и выборе оптимальных
вариантов управленческих решений.
. Роль бизнес-плана во внутрифирменном
планировании:
· используется для
разработки концепции и стратегии деятельности компании, оценивая ее различные
аспекты: маркетинг, финансы, производство;
· предоставляет менеджерам
возможность оценить фактические результаты деятельности компании за
определенный период, выявить и проанализировать отклонения от плана, определить
перспективные направления ее развития;
· является главным
документом для потенциальных инвесторов и кредиторов, средством привлечения или
изыскания дополнительных финансовых ресурсов. Как уже подчеркивалось
большинство инвесторов и кредиторов не станет вкладывать деньги в проекты, не
познакомившись с бизнес-планом предприятия.
4. Бизнес - план обобщает анализ
возможностей для начала или расширения бизнеса в какой - либо конкретной
ситуации и дает четкое представление каким образом можно использовать эти
возможности, и тем самым снизить степень возможного риска. Четко разработанный
бизнес-план с необходимыми расчетами, обоснованиями помогает предпринимателю
разобраться в перспективах своего дела, предвидеть возможные изменения и
проблемы в будущем, контролировать текущие операции, оценивать прогресс своего
дела, резервировать денежные ресурсы. Разработке полного бизнес-плана,
представляющего перспективу создания или расширения проекта, должно
сопутствовать научное прогнозирование.
. Бизнес-план с большей силой может
воздействовать на снижение риска, если он разработан с личным участием самого
предпринимателя. Он как бы моделирует процесс своей будущей деятельности,
интуитивно ощущает все за и против, проверяет по ходу разработки бизнес - плана
состоятельность своей задумки, готовность нести разумный риск, способность
ставить и решать высокие, но достижимые цели и задачи, умение вести оперативный
учет затрат и конечных результатов.
. В связи с этим важное значение имеет
структура бизнес-плана, которая должна логически связать все элементы
внутрифирменного планирования, охватить все аспекты деятельности хозяйствующего
субъекта, охарактеризовать состояние и перспективы развития компании, дать
наглядное представление о финансовых результатах ее деятельности на ближайшее
будущее и на более отдаленную перспективу.
Естественно, что состав разделов и структура
бизнес-плана могут корректироваться в зависимости от поставленных задач,
изменения внутренней и внешней среды деятельности предприятия.
Список
справочной литературы
1. Анущенкова
К.А., Анущенкова В.Ю. Финансово-экономический анализ: - 2-е изд. Учебно-практическое
пособие. - М.: Дашков и К, 2012 - 469
2. Артеменко
В.Г. и Белиндер М.Н. Финансовый анализ: Учебное пособие - 4-е издание
переработанное и дополненное. - М.: "Дело и сервис", 2010 - 365 с.
3. Бадюков
В.Ф., Никитин Е.К. Управление финансовыми потоками на основе анализа риска
предпринимательских структур Вестник Хабаровской государственной академии
экономики и права <http://elibrary.ru/contents.asp?issueid=931166>. 2011.
№ 2 <http://elibrary.ru/contents.asp?issueid=931166&selid=16031758>.
С.5.
4. Балабанов
И.Т. Основы финансового менеджмента: Учеб. Пособие. - 3-е изд., перераб. и доп.
- М.: Финансы и статистика, 2012. - 528 с.
. Банк,
В.Р., Банк, С.В., Тараскина, Л.В. Финансовый анализ: учеб. Пособие. - М.: ТК
Велби, Изд-во Проспект, 2010. - 344 с.
. Бланк
И.А. Финансовый менеджмент. Учебный курс - 5 - е издание переработанное и
дополненное. - К.: Эльга, "Ника-Центр", 2010 - 656 с.
7. Бобылева,
А.З. Финансовые управленческие технологии: учебник. - М.: ИНФРА-М, 2012. - 492
с.
. Богатин
Ю.В., Швандер В.А. Экономическое управление бизнесом. Учебное пособие. - М.:
ЮНИТИ-ДАНА, 2012 - 391 с.
9. Богославцева
Л.В. Генезис дефиниции "финансовые потоки" с точки зрения эволюции
теоретической экономической мысли - Финансовые исследования
<http://elibrary.ru/contents.asp?issueid=1105921>. 2012. № 4
<http://elibrary.ru/contents.asp?issueid=1105921&selid=18769043>.
С.13-21.
10. Бондарь,
Т.Е., Василевская, Т.И., Кобринский, Г.Е. Финансы предприятий: учебное пособие.
- М.: Высшая школа, 2012. - 351с.
11. Бочаров,
В.В. Финансовый анализ: учебное пособие. - М.: Питер, 2012. - 240с.
. Василевская,
Т.И., Вуколова Т.И., Жук И.Н., Зайцева М.А., Заяц Н.Е. Финансы предприятий:
учебное пособие. - М.: Высшая школа, 2012. - 528с.
. Васильева,
Л.С., Петровская, М.В. Финансовый анализ: учебник для вузов - М.: КноРус, 2012.
- 816с.
. Васильева,
Л.С., Штейн Е.М. Анализ финансово-хозяйственной деятельности предприятий:
Учебник. - М.: Экзамен, 2012. - 320с.
. Вахрин
П.И. Финансовый анализ в коммерческих и некоммерческих организациях. Учебное
пособие 2-е издание. - М.: ЮНИТИ-ДАНА, 2012 - 335 с.
. Галицкая,
С.В. Финансовый менеджмент. Финансовый анализ. Финансы предприятий: учебное
пособие - М.: Эксмо, 2012. - 652с.
. Гиляровская
Л.Т., Ендовицкая А.В. Анализ оценка финансовой устойчивости коммерческих
организаций. Учебное пособие - М.: ЮНИТИ-ДАНА, 2012 - 159 с.
. Голубева,
Т.М. Анализ финансово-хозяйственной деятельности: Учебное пособие для
начального профессионального образования. - М.: ИЦ Академия, 2012. - 208с.
19. Грачев
А.В. Рост собственного капитала, финансовый рычаг и платежеспособность
предприятия // Финансовый менеджмент. - 2011. - №2. - с.21-34.
. Губин,
В.Е., Губина О.В. Анализ финансово-хозяйственной деятельности: Учебник. - М.:
Инфра-М, 2010. - 336с.
21. Ермолаев
С. Как обеспечить финансовую устойчивость: Предотвращение кризиса
платежеспособности с помощью контроля над оборотным капиталом. Финансовый
директор - 2010, №10 - 26-32с.
. Ефимова
О.В. Финансовый анализ. Современный инструментарий для предприятия
экономических решений. - М.: Омега-Л, 2010 - 352 с.
23. Жуков
П.Е. Управление финансовыми рисками корпорации - структуры капитала и
свободного денежного потока - Научно-исследовательский финансовый институт.
Финансовый журнал <http://elibrary.ru/contents.asp?issueid=1029993>.
2012. № 4
<http://elibrary.ru/contents.asp?issueid=1029993&selid=17942870>.
С.47-56.
24. Запольская
С. Финансовый анализ это просто. - М.: ЮНИТИ-ДАНА 2010 - 44 с.
25. Ивасенко,
А.Г., Никонова Я.И. Финансы организаций (предприятий). - М.: КноРус, 2012. - 208с.
. Илышева
Н.Н., Крылов С.И. Анализ финансовой отчетности Учебное пособие - М.:
ЮНИТИ-ДАНА, 2012 - 241 с.
. Ионова,
А.Ф. Селезнева Н.Н. Финансовый анализ: учебник. - М.: Велби, 2011. - 624с.
. Камышанов,
А.П. Бухгалтерская финансовая отчетность. Составление и анализ: Учебное
пособие. - Омега-Л.: 2011. - 288с.
. Кейлер
В.А. Экономика предприятия. Курс лекций. - М.: Инфра-М, 2009 - 136 с.
30. Клюня,
В.Л. Основы экономической теории: учеб пособие для вузов / В.Л. Клюня. М:
Экоперспектива - 2011. - 290 с.
31. Ковалёв
В.В. Управление финансами: Учебное пособие. - М.: ФБК-ПРЕСС, 2012. - 160 с.
. Ковалев
В.В. Финансовый анализ: методы и процедуры. - М.: Финансы и статистика, 2010. -
833 с.
33. Ковалев
В.В., Ковалев Вит.В. Анализ баланса, или Как понимать баланс. - М.: Проспект,
2010 - 560 с.
34. Ковалев,
В.В. Волкова О.Н. Анализ хозяйственной деятельности предприятий: учебное
пособие. - М.: Проспект, 2010. - 424с.
35. Ковалев,
Л. Финансовое положение предприятия: экспресс-анализ / Л. Ковалев //
Экономическая газета. - 2010 - № 21. - С.21-24.
36. Кожарский,
В.В. Анализ эффективности использования капитала / В.В. Кожарский // Экономика.
Финансы. Управление. - 2011. - № 12. - С15-19.
37. Колчина,
Н.В. Финансы организаций (предприятий): Учебник для вузов изд.4-е, перераб.,
доп. - М.: ЮНИТИ-ДАНА, 2010. - 383с.
38. Лаврушина
О.И. Афанасьева О.Н. Корниенко С.Л. Банковское дело. Современная система
кредитования. - М.: КноРус, 2010 - 264 с.
. Лиференко,
Г.Н. Финансовый анализ предприятия: учебное пособие. - М.: Экзамен, 2011. -
160с.
. Любушин
Н.П. Экономический анализ Учебник 3-е издание. - М.: ИНИТИ-ДАНА 2012 - 576 с.
41. Любушин
Н.П., Лещева В.Б. Дьякова В.Г. Анализ финансово - экономической деятельности
предприятия / Под ред. Н.П. Любушина. - М.: ЮНИТИ - ДАНА, 2010. - 539 с.
. Мазурина,
Т.Ю. Финансы организаций (предприятий): учебное пособие. - М.: РИОР, 2011. -
140с.
43. Маркарьян,
С.Э., Герасименко Г.П., Маркарьян Э.А. Финансовый анализ: учебное пособие для
вузов Изд.7-е, перераб., доп. - М.: КноРУс, 2010. - 264с.
. Налетова,
И.А. Анализ финансово-хозяйственной деятельности: учебно-метод. пособие. - М:
Инфра-М, 2010. - 128с.
45. Никитин
Е.К. Методические аспекты управления финансовыми потоками организации в
условиях неопределенности внешней среды - Известия высших учебных заведений.
Серия: Экономика, финансы и управление производством
<http://elibrary.ru/contents.asp?issueid=938558>. 2011. № 02
<http://elibrary.ru/contents.asp?issueid=938558&selid=16402948>.
С.148-152.
46. Экономика.
/ Под ред.А.И. Архипова., - М.: Высшая школа, 2009.
47. httр://www.ft.соm/hоmе/uk
<http://www.ft.com/home/uk>
. httр://fd.ru/
<http://fd.ru/>
. httр://sfr.
bujеt.ru/ <http://sfr.bujet.ru/>
. httр://www.finаnsу.ru/fin.
htm <http://www.finansy.ru/fin.htm>
. httр://www.finаnаliz.ru/
<http://www.finanaliz.ru/>
. httр://www.nссg.ru/
<http://www.nccg.ru/>
Похожие работы на - Разработка бизнес-плана по созданию дополнительного гостиничного комплекса ЗАО 'ГК 'Крона № 2'
|