Расчет клиноременной передачи стиральной машины

  • Вид работы:
    Реферат
  • Предмет:
    Другое
  • Язык:
    Русский
    ,
    Формат файла:
    MS Word
    689,43 Кб
  • Опубликовано:
    2014-04-03
Вы можете узнать стоимость помощи в написании студенческой работы.
Помощь в написании работы, которую точно примут!

Расчет клиноременной передачи стиральной машины

Содержание

Введение

Ременная передача

Клиноременная передача (краткие теоретические сведения)

Кинематический расчет привода

Расчет клиноременной передачи стиральной машины

Заключение

Список источников

Введение

Привод является неотъемлемой частью любой машины. Приводное устройство, разработанное в проекте, включает электродвигатель, вращение от которого посредством ременной передачи передаётся на редуктор и далее через муфту на другие устройства.

Из существующих типов электродвигателей выбирают преимущественно асинхронные электродвигатели трехфазного тока серии 4А.

Муфты используются для соединения концов валов или для соединения валов с расположенными на них деталями. Основное назначение муфт - передача вращающего момента без изменения его модуля и направления. Муфты могут выполнять другие функции: предохранять механизм от перегрузок, компенсировать несносность валов, разъединять или соединять валы во время работы.

Редуктором называют механизм, состоящий из зубчатых или червячных передач, выполненный в виде отдельного агрегата. Назначение редуктора - передача вращения от вала двигателя к валу рабочей машины, понижение угловой скорости и соответственно повышение вращающего момента ведомого вала по сравнению с ведущим. Редуктор проектируют либо для привода отдельной машины, либо по заданной нагрузке (моменту на выходном валу) и передаточному числу без указания конкретного назначения. Спроектированный в настоящем курсовом проекте редуктор

В этой курсовой работе содержится краткая теория о ременных передачах, а так же расчеты клиноременной передачи по известным данным.

Ременная передача

Ременная передача относится к передачам трением с гибкой связью. Состоит из ведущего и ведомого шкивов, огибаемых ремнем рис.1. Нагрузка передается силами трения, возникающими между шкивом и ремнем вследствие натяжения последнего.

Рисунок 1. Геометрические параметры ременной передачи

Область применения ременных передач

Ременные передачи применяют в большинстве случаев для передачи движения от электродвигателя, когда по конструктивным соображениям межосевое расстояние а должно быть достаточно большим, а передаточное число и не строго постоянным (в приводах станков, транспортеров, дорожных и строительных машин и т. п.).

Мощность, передаваемая ременной передачей, обычно до 50 кВт и в редких случаях достигает 1500 кВт. Скорость ремня u = 5...50 м/с, a в сверхскоростных передачах может доходить до 100 м/с.

Ограничение мощности и нижнего предела скорости вызвано большими габаритами передачи. В сочетании с другими передачами ременную передачу применяют на быстроходных ступенях привода.

Классификация ремённых передач

В зависимости от формы поперечного сечения ремня передачи (рис.2) бывают:

)плоскоременные(рис.2.а),

)клиноременные(рис.2.б),

)круглоременные(рис.2.в),

)поликлиноременные(рис.2.г).

В современном машиностроении наибольшее применение имеют клиновые и поликлиновые ремни. Передача с круглым ремнем имеет ограниченное применение (швейные машины, настольные станки, приборы).

Рисунок 2. Формы поперечного сечения ремня

По расположению валов в пространстве:

) передачи с параллельными валами: открытые рис.3.а, перекрёстные рис.3.б;

) передачи со скрещивающимися валами - полуперекрёстные рис.3.в.

) передачи с пересекающимися осями валов - угловые рис.3.г.

Разновидностью ременной передачи является зубчатоременная, передающая нагрузку путем зацепления ремня со шкивами.

Рисунок 3. Схемы расположения валов ременных передач

Достоинства ремённых передач

.Простота конструкции и малая стоимость.

.Возможность передачи мощности на значительные расстояния (до 15 м).

.Плавность и бесшумность работы.

.Смягчение вибрации и толчков вследствие упругой вытяжки ремня.

Недостатки ремённых передач

.Большие габаритные размеры, в особенности при передаче значительных мощностей.

.Малая долговечность ремня в быстроходных передачах.

.Большие нагрузки на валы и подшипники от натяжения ремня.

.Непостоянное передаточное число из-за неизбежного упругого проскальзывания ремня.

.Неприменимость во взрывоопасных местах вследствие электризации ремня.

Типы ремней

Материалы ремней должны обладать достаточной прочностью, износостойкостью, эластичностью, долговечностью и иметь низкую стоимость. Плоскоременная передача имеет простую конструкцию и вследствие большой гибкости ремня обладает повышенной долговечностью. Эта передача рекомендуется при больших межосевых расстояниях до 15м и высоких скоростях до 100 м/с. Для плоскоременной передачи применяют следующие ремни:

) кордошнуровые прорезиненные (рис.4) - большой диапазон мощностей и  ;

Рисунок 4. Кордошнуровый прорезиненный ремень

2) синтетические тканые (рис.5) (из капроновой ткани, покрытой полиамидной пленкой с высоким коэффициентом трения) - в быстроходных и сверхбыстроходных передачах из-за малой массы при  ;

Рисунок 5. Синтетический тканый ремень

4) текстильные ремни - хлопчатобумажные и шерстяные - обладают низкой тяговой способностью и долговечностью, поэтому не находят широкого применения;

) кожаные - обладают высокой тяговой способностью и долговечностью. Их применяют для передачи переменных и ударных нагрузках, дефицитны. Концы ремней соединяют путем склеивания, сшивания, скрепления.

Клиноременная передача благодаря повышенному сцеплению ремня и шкива передает большую мощность, допускает меньший угол обхвата на малом шкиве, следовательно, может иметь по сравнению с плоскоременной передачей меньшее межосевое расстояние. Долговечность клиновых ремней меньше. Из-за их высоты большие потери на трение и деформации изгиба. Клиновые ремни бывают двух типов:

)кордтканевые(рис.6.а);

)кордшнуровые(рис.6.б).

Рисунок 6. Виды клиновых ремней

Кордтканевые ремни более долговечны, но в передачах с малыми диаметрами шкивов применяют кордшнуровые ремни.

Все клиновые ремни в сечении имеют форму трапеции с углом профиля 400. Поликлиновые ремни (рис.2.6.7.в) сочетают достоинства плоских и клиновых ремней. Благодаря высокой гибкости они допускают применение шкивов малых диаметров, могут работать при  .

Зубчато-ременные передачи.

Зубчатые ремни (рис.6) представляют собой ленту с зубьями на внутренней поверхности. Они состоят из стальных тросов и эластичного материала - резины или пластмассы. Зубья ремня имеют форму трапеции. Передача движения происходит не за счет силы трения, а зацеплением зубьев. Поэтому в зубчато-ременных передачах отсутствует скольжение ремня, и обеспечивается постоянство передаточного отношения. В такой передаче уменьшается влияние межосевого расстояния на тяговую способность, что снижает габариты передачи. Мощность, передаваемая зубчатым ремнем до 100кВт, .

Клиноременная передача (краткие теоретические сведения)

Ременную передачу с параллельными осями, приводной ремень кото­рой имеет клиновую форму поперечного сечения, называют клиноременной. Клиноременную передачу выполняют только открытой. Клиновые ремни стандартизованы по сечению и длине.

Рисунок 7. Механизм с клиноременной передачей

Клиновые ремни применяют по несколько штук, чтобы варьировать нагрузочную способность и несколько повысить надёжность передачи. Кроме того, один толстый ремень, поставленный вместо нескольких тонких будет иметь гораздо большие напряжения изгиба при огибании шкива. Число клиновых ремней часто принимают от трех до пяти (максималь­но восемь ремней), но передача может быть и с одним ремнем. Форму ка­навки шкива проектируют так, чтобы между шкивом и ремнем постоянно был гарантированный радиальный зазор (рис.8, I). Рабочие поверхно­сти - это боковые стороны ремня, поэтому клиновый ремень не должен выступать за пределы наружного диаметра шкива. Клиноременные переда­чи в машиностроении применяют чаще, чем плоскоременные. Однако ско­рость этой передачи не должна превышать 30 м/с, так как при v 30 м/с клиновые ремни начинают вибрировать. Оптимальная окружная скорость, при которой передача работает устойчиво, v = 5-25 м/с.

Рисунок 8. Установка клинового ремня на шкиве

Передаточное число для одноступенчатой клиноременной передачи u<8. Достоинства клиноременной передачи по сравнению с плоскоре­менной: - возможность передачи большей мощности; - допустимость меньшего межосевого расстояния а; - возможность меньшего угла обхвата, на малом шкиве. Недостатки: - большая жесткость и, как следствие, - меньший срок службы ремня; - необходимость особых приемов при надевании ремня; - зависимость размеров проектируемой передачи от подобранного (по таблице регламентированных длин) ремня; - большая стоимость эксплуатации передачи при вытяжке (ремни не ремонтируются); - большая трудоемкость изготовления шкивов; - несколько пониженный КПД. Ремни для клиноременных передач. Основное распространение по­лучили ремни трапециевидного сечения (рис.9, а, б).

Рисунок 9. Конструкции клиновых ремней: а - кордшнуровой; б - кордтканевый; в - поликлиновой

Замкнутые бесшовные ремни изготовляют методом вулканизации в пресс-формах. Трапециевидная (клиновая) форма ремня увеличивает его сцепление со шкивом примерно в 3 раза по сравнению с плоским ремнем, но вследствие большой высоты ремня эта форма неблагоприятна. Передача имеет более низкий КПД. Эти недостатки отчасти компенсируются тем, что ремень изготовляют из материала с малым модулем упругости (из рези­ны), а несущие кордовые слои имеют наибольшую толщину и располага­ются около нейтральной плоскости ремня. Промышленность выпускает клиновые ремни двух типов: кордшнуровые (рис.9, а) и кордтканевые (рис.9, б). Различаются они тем, что основной несущий слой у первого состоит из одного ряда толстых кордовых шнуров 1, а у второго - из не­скольких рядов кордовой ткани 1. В верхней и нижней частях сечения (в зонах растяжения и сжатия) ремень заполнен резиной 2, а снаружи в не­сколько слоев обмотан прорезиненной тканью - обертка 3. Большую гибкость и нагрузочную способность имеют кордошнуровые ремни, у которых верхний растягиваемый слой состоит из одного ряда анидных шнуров (намотанных по винтовой линии), заключенных в слой мягкой резины.

В СНГ клиновые резино-тканевые приводные ремни выпускают семи типов: Z(О), А, В(Б), С(В), Д(Г), И(Д), ЕО(Е). Для каждого типа (сечения ремня) в таблицах указываются: размеры сечения, площадь сечения, длина, минимальный диаметр шкива, допускаемая нагрузка и вес. Кроме ГОСТа существует еще, отличающийся от него, сортамент ремней для автотракторной промышленности.

Размеры ремня (см. рис.9, а): ширина большого основания ремня bо; расчетная ширина ремня bр, высота ремня h; длина ремня L - стандартизованы.

Разновидности клиноременных передач.

На рис.9 показана разновидность клиновидного ремня. Материалы клиновых ремней в основном те же, что и для плоских. Выполняются прорезиненные ремни с тканевой обёрткой для большего трения, кордотканевые (многослойный корд) и кордошнуровые ремни (шнур, намотанный по винтовой линии), ремни с несущим слоем из двух канатиков. Иногда для уменьшения изгибных напряжений применяют гофры на внутренней и наружных поверхностях ремня. Клиновые ремни выпускают бесконечными (кольца). Кордшнуровые или кордтканевые гофри­рованные ремни применяют в передачах с малыми диаметрами шкивов. Для увеличения эластичности иногда применяют ремни с гофрами на внутренней и наружной поверхностях. Ременные передачи с зубчатыми ремнями способны передать большие мощность и окружную скорость (v до 70 м/с) при постоянном передаточном числе без проскальзывания (и до 15) (см. рис.9, д).

Рисунок 10. Клиновой ремень с гофрами на внутренней поверхности

В лёгких передачах благодаря закручиванию ремня можно передавать вращение между параллельными, пересекающимися, вращающимися в противоположные стороны валами. Это возможно потому, что жёсткость на кручение ремней вследствие их малой толщины и малого модуля упругости мала. В ременных передачах специального назначения находят применение - поликлиновые ремни (см. рис.9, в), выполненные из плоского ремня с высокопрочным кордшнуром (вискоза, лавсан, стекловолок­но) и продольными клиньями. Поликлиновые ремни выпускают трех типов: К, Л, М . При одинаковой передавае­мой мощности ширина поликлиновых ремней в 1,5-2 раза меньше ширины клиновых ремней. Благодаря высокой гибкости допускается применение шкивов меньшего диаметра, чем в обычной клиноременной передаче, большая быстроходность (до 40 - 50 м/с) и большие передаточные отношения. Недостаток - передачи с поликлиновы­ми ремнями чувствительны к отклонениям от параллельности валов и осевому смещению шкивов.

Рисунок 11. Конструкции шкивов клиновых и поликлиновых передач: а - шкив клиновой пе­редачи (количество ремней - 3); б - шкив поликлиновой передачи

Шкивы клиноременных передач. В отличие от шкивов плоскоременных передач рабочей поверхностью клиноременных шкивов являются боковые стороны клиновых канавок (рис.11, а). Размеры и углы профиля канавок, толщину обода шкива принимают стандартными в зависимости от типа ремня. Рабочую поверхность канавок желательно полировать, шкивы должны быть хорошо сбалансированы. Для поликлиновых ремней рабочей поверхностью шкива (рис.11, б) являются боковые стороны клиновых канавок в ободе шкива.

клиноременная передача вал привод

Кинематический расчет привода

Рисунок 12. Кинематическая схема привода.

- электродвигатель;

- клиноременная передача;

- конический редуктор с прямыми зубьями;

- открытая зубчатая пара с прямыми зубьями.

Требуется определить общее передаточное число и произвести предварительную разбивку его, от электродвигателя с синхронной частотой вращения n=1500 об/мин, диаметр барабана D= 500 мм, скорость ленты v=0,25 м/c, передаваемая мощность N=7кВт.

Определяем частоту вращения барабана:

np=60·1000·v/·D=(60·1000·0,25)/(3,14·500)=9,55об/мин, (1)

находим общее передаточное число для привода и произведем его разбивку

i=n/np=1500/9,55=157, (2)

находим передаточное число для ременной передачи принимая iрем≈ 2, тогда

 iред=157/2=78,5 (3)

Выбираем редуктор цилиндрический 1Ц3У-160 с i=63,

 iрем= i/iред = 157/63 = 2,5. (4)

Расчет клиноременной передачи

Исходные данные: определяются по результатам кинематического расчета привода.

Выбор сечения клинового ремня.

По номограмме(рисунок 13,[2]) по известным значениям числа оборотов n=1500oб/мин и мощности N=7kBт определяем сечение ремня (Б).

Рисунок 13. Номограмма.

Ширина ремня, толщина ремня и площадь поперечного

сечения (таблица11.11,[2]).


Диаметры шкивов

Сначала определяем диаметр ведущего шкива:

. (5)

Полученное значение можно при необходимости округлить до стандартного значения в соответствии с ГОСТ 17383-72:

Тогда D1 = 200 мм.

Диаметр ведомого шкива определяем с учетом относительного скольжения

при :

 (6)

Полученный диаметр можно при необходимости округлить шкива округляем до стандартного значения, используя (таблица11.9,[2]).= 500 мм

Уточняем передаточное число:

 (7)

Скорость ремня вычисляют по формуле:


(8)


Длина ремня:

 (9)

Выбираем стандартное значение приближенное 3150мм(таблица 11.11[2])

Межосевое расстояние:

 =

 =

. (10)

Угол обхвата малого шкива:

 (11)

Коэффициент угла обхвата вычисляют по формуле:



Коэффициент скорости вычисляют по формуле:


(13)


Коэффициент режима (таблица 11.7 [2])


При , (таблица 11.14 [2]) находим:

 

Окружное усилие вычисляют по формуле:

 (14)

Число ремней вычисляют по формуле


(15)


Напряжение от S1 (при =1,8) вычисляют по формуле:


 

(16)


Напряжение изгиба(при  =80) вычисляют по формуле:


 

(17)


Напряжение от центробежных сил (при p =1200) вычисляют по формуле:

 (18)

Полное напряжение (допускаемое )

 (19)

Число пробегов в секунду( )вычисляют по формуле:

 (20)

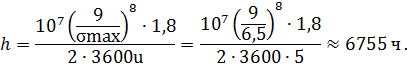
Расчетную долговечность (при ) вычисляют по формуле:


(21)


Давление на валы вычисляют по формуле:

(22)





Заключение

Любая машина, агрегат, узел или деталь, как бы предельно они не были спроектированы, как бы совершенна не была применяемая при изготовлении технология, как бы строго не соблюдались все требования их эксплуатации подвержены со временем износу.

Из этого следует, что при анализе отказов и оценке качества стиральных машин отечественного и зарубежного производства в период срока службы важную роль играет расчёт надёжности. Надёжность закладывается в процессе конструирования и расчёта и обеспечивается в процессе изготовления путём правильного выбора технологии производства, контроля качества исходных материалов, контроля режимов и условием изготовления. Надёжность сохраняется с применением правильных способов поддерживания правильной эксплуатации, планомерном уходе, профилактическом контроле и ремонте.

Таким образом, правильный выбор и применение компонентов и элементов схем и деталей бытовой машины, тщательная разработка схемы и её компоновки, а также конструкции является важным условием в достижении её высокой надёжности.

Cписок источников

Иванов М.И. Детали машин: Учеб. Для студентов высших технических учебных заведений. - 5-е изд., перераб. - М.: Высш. шк., 1991 г.

Курсовое проектирование деталей машин: учеб. пособие для учащихся

машиностроительных специальностей техникумов / С.А. Чернавский, К.Н. Боков, И.М. Чернин и др. - 2-е изд., перераб. и доп. - М.: Машиностроение, 1988.

Похожие работы на - Расчет клиноременной передачи стиральной машины

 

Не нашли материал для своей работы?
Поможем написать уникальную работу
Без плагиата!
Без нейросетей!