Разработка газофазной установки полимеризации пропилена

  • Вид работы:
    Курсовая работа (т)
  • Предмет:
    Другое
  • Язык:
    Русский
    ,
    Формат файла:
    MS Word
    65,97 Кб
  • Опубликовано:
    2014-05-08
Вы можете узнать стоимость помощи в написании студенческой работы.
Помощь в написании работы, которую точно примут!

Разработка газофазной установки полимеризации пропилена

















Разработка газофазной установки полимеризации пропилена

1.     
Аналитический обзор методов производства

1.1 Сырьё для получения полипропилена

Исходным сырьём для производства полипропилена является пропилен. Пропилен выделяется из пропан-пропиленовой фракции, получаемой при крекинге и пиролизе нефтяных углеводородов. Выделенная пропиленовая фракция, содержащая около 80% пропилена, подвергается дополнительной ректификации; в результате получается пропилен 98-99%-ной концентрации [8].

Пропилен один из главных продуктов первичного разложения насыщенных углеводородов и вторичного разложения образовавшихся олефинов с числом углеродных атомов более трёх. Он получается по трём реакциям:

а) при разложении радикалов со свободной валентностью у второго углеродного атома; например, 1-метилбутил-радикал разлагается на молекулу пропилена и этильный радикал

+ n-С5Н12 → RН + С5Н11˙ (втор.)

С5Н11˙→ С3Н6 + С2Н5˙;

б) при разложении изопропилового радикала

С3Н7˙ (втор.) → С3Н6 + Н˙;

в) при термическом разложении олефинов с четырьмя и более углеродными атомами при разрыве С-С-связи в β-положении к двойной связи может образоваться аллил-радикал, который затем превращается в пропилен, отнимая атом водорода от соседней углеводородной молекулы

С4Н8 → СН3˙ + С3Н5˙,

С3Н5˙ + RН → С3Н6 + R˙.

Пропилен термически менее устойчив, чем этилен. Он реагирует с атомом водорода по уравнению Н˙ + С3Н6 н3Н7˙, а также с активными радикалами. Например, реакция с винильным радикалом может привести к образованию бутадиена и изопрена, а с олефинами - к ароматическим продуктам. При малых степенях конверсии основными продуктами разложения пропилена являются водород, метан, этилен, пропан, бутадиен и пентадиены. С увеличением конверсии резко увеличивается количество ароматических соединений [13].

Пропилен высокой степени чистоты не содержащий влаги, кислорода, оксидов углерода и других примесей, отравляющих катализатор полимеризации, получается дополнительной очисткой.

Наличие в пропилене насыщенных углеводородов этана и пропана не влияет на процесс образования полимера. На этом основан технологический процесс полимеризации пропилена в виде пропан-пропиленовой фракции, содержащей 30% пропилена и 70% пропана, разработанный в Советском Союзе, в котором пропан является растворителем и используется для отвода тепла реакции [8].

Фирма Union Carbide (США) разработала процесс получения полипропилена методом газофазной полимеризации в псевдоожиженном слое. Разработанный процесс имеет название Юнипол и требует чистоты пропилена не менее 99,8% [11,12].

1.2 Полимеризация пропилена

Полимеризация пропилена в присутствии катализаторов Циглера - Натта протекает по ионно-координационному механизму.

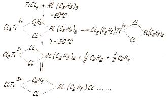
Процесс образования активного центра в системе ТiCl4 - Аl(С2Н5)3: при смешении компонентов в зависимости от температуры идут следующие реакции [5]:


Образовавшийся биметаллический комплекс, содержащий восстановленный атом титана и вакантное место в октаэдрическом окружении его, является основой формирования активного центра. Предполагаются следующие этапы координационно-анионной полимеризации: образование комплекса мономера с катализатором и внедрение мономера. При этом мономер выступает в роли донора π-электронов, а переходный элемент катализатора благодаря наличию вакантных d-орбиталей является акцептором. За счёт координации с донором образуется π-комплекс, возникновение которого приводит к ослаблению связи Тi…С в катализаторе. При полимеризации пропилена образующаяся макромолекула полипропилена состоит из элементарных звеньев регулярно чередующихся вторичных и третичных атомов углерода. Каждый третичный атом углерода является асимметрическим и может иметь одну из двух (D- или L-) стерических конфигураций. Подбирая условия полимеризации и катализатор, можно получить полипропилен, содержащий в основном одну из заданных структур.


Такие полимеры называются изотактическими. Полимеры, в цепи которых попеременно чередуются асимметрические атомы углерода D- и L-конфигурации, называются синдиотактическими. В атактическом полипропилене ассиметрические атомы D- и L-конфигурации располагаются беспорядочно. Изотактические и синдиотактические полимеры объединяются под общим названием стереорегулярных полимеров. Кроме того, в полипропилене имеются участки со стереоблочной структурой, содержащей изотактический и атактический полипропилен.

Полипропилен, выпускаемый в промышленности, представляет собой смесь различных структур, соотношение которых зависит от условий проведения процесса. Наиболее ценным материалом является полимер с низким содержанием примесей атактических и стереоблочных структур.

В зависимости от молекулярной массы и содержания изотактической части свойства полипропилена изменяются в широких пределах. Наибольший практический интерес представляет полипропилен с молекулярной массой 80000-200000 и содержанием изотактической части 80-95%.

Содержание в полимере изотактической части зависит от применяемых для полимеризации катализаторов. Стереорегулярный полимер образуется только в присутствии таких катализаторов, которые обладают способностью ориентировать элементарное звено в определённом положении по отношению к ранее присоединённым группам. Молекулы мономера вначале адсорбируются на поверхности твёрдого катализатора, ориентируются и затем присоединяются к цепи полимера.

Полимеризацию пропилена, как указывалось выше, проводят в присутствии каталитического комплекса А1 (С2Н5)2С1/ТiС13 и / или других катализаторов.

Соотношение компонентов в каталитической системе влияет на скорость полимеризации и на стереоспецифичность. При мольном соотношении А1R2С1: ТiС13 = 2:1 проявляется максимальная активность катализатора, а при соотношении, превышающем 3:1 - наибольшая стереоспецифичность. Трихлорид титана существует в нескольких кристаллических модификациях (α, β, γ, δ). В присутствии трихлорида титана фиолетовой α-формы получается полимер с наибольшим количеством изотактического полипропилена - 80-90%, при использовании трихлорида титана коричневой β-формы образующийся полимер содержит только 40-50% [8].

Полипропилен производится различными способами: в среде растворителя, обычно жидкого углеводорода (бензина, н-гептана, уайт-спирта), в массе мономера, методом газофазной полимеризации.

Существенное увеличение производства полипропилена за последние десятилетия объясняется прогрессом в области синтеза - использованием модифицированных каталитических систем, разработкой и освоением процесса получения блоксополимеров (полиаллиломеров) - и, следовательно, расширением марочного ассортимента и областей применения, а также усовершенствованием технологии производства и переработки полипропилена [14].

Работы по усовершенствованию первых процессов производства полипропилена были направлены на решение двух следующих крупных проблем:

) получение высокоэффективных катализаторов, обеспечивающих интенсификацию процессов производства полипропилена и упрощение технологической схемы, в частности исключение или сокращение трудоёмких стадий очистки полимера от остатка катализатора;

) расширение марочного ассортимента за счёт использования высокоэффективных модифицированных катализаторов, а также сополимеризацией пропилена с другими мономерами.

В результате были разработаны и освоены промышленные процессы «II поколения». Процессы «II поколения» имели следующие отличительные особенности. Технология их базировалась на использовании высокоэффективных и селективных катализаторов. Использование высокоэффективных и селективных катализаторов обеспечивало, с одной стороны, упрощение технологической схемы, с другой стороны, потребовало перехода на интенсифицированные режимы работы (рабочее давление ≥ 1,5 МПа, сырьё повышенной степени чистоты, новые виды оборудования). Одновременно возрос удельный вес выпуска сополимеров.

Процессы II поколения начали развиваться с начала 60-х годов ХХ века, когда фирма «Филипс» (США) разработала петлевой реактор, в котором могла быть полностью реализована высокая эффективность катализаторов [14].

1.3 Физико-химические и термодинамические основы процесса получения полипропилена

Полимеризация - процесс получения высокомолекулярных веществ, при котором макромолекула образуется путём последовательного присоединения молекул одного или нескольких низкомолекулярных веществ (мономеров) к растущему активному центру. Полимеризация является цепной реакцией.

Цепными называются процессы, в которых превращение исходных веществ в продукты реакции осуществляются регулярным чередованием нескольких реакций с участием свободных радикалов или ионов (активных центров), идущих с сохранением свободной валентности (или с сохранением структуры активного центра) [5].

Любая цепная реакция включает три основные стадии: зарождение, продолжение и обрыв цепи.

Зарождение цепи (инициирование, образование активного центра) - стадия цепной реакции, на которой образуется свободные радикалы из валентно-насыщенных молекул исходных веществ (мономеров). Если молекулу вещества обозначить АХ, а молекулу мономера - М, то зарождение цепи может быть представлено схемой:

АХ → А* + Х, А* + М → АМ*,

где А* - активная частица; АМ* - активный центр.

Продолжение (рост) цепи - стадия цепного процесса, протекающая с сохранением свободной валентности (структуры активного центра) и сопровождающаяся расходованием исходных веществ (мономеров) и образованием продуктов реакции (полимеров).

При полимеризации рост цепи заключается в последовательном присоединении молекул мономера к активному центру в соответствии со схемой АМ* + М → АММ*, АММ* + М → АМММ* и т.д.

Обрыв цепи (гибель активного центра) - стадия цепного процесса, на которой исчезает свободная валентность.

При полимеризации обрыв цепи может происходить различными способами, простейшим из которых в случае радикального процесса является рекомбинация (соединение) по схеме:

А - (М)n-1 - М* + *М - (М)n-1-А → А - (М)2n-А [5].

Радикальная полимеризация - типичная цепная реакция. Она включает все стадии цепного процесса. Однако, поскольку эта реакция сопровождается большим количеством актов присоединения на стадии роста, следует различать цепи двух видов: материальную и кинетическую.

Материальная цепь характеризуется числом составных звеньев в макромолекуле, т.е. степенью полимеризации «n».

Кинетическая цепь характеризуется числом элементарных актов присоединения молекул мономера к активному центру в расчёте на один образовавшийся в процессе зарождения цепи свободный радикал. Эти величины не всегда совпадают.

Особенности радикальной полимеризации как цепной реакции:

свободные радикалы являются чрезвычайно активными частицами, время их жизни составляет 10-6-10-9 с, поэтому макромолекулы образуются практически мгновенно, скорость роста цепи велика;

в каждый момент в реакционной смеси находятся только мономер и полимер, количество активных центров мало;

концентрация мономера изменяется постепенно в ходе реакции;

увеличение времени реакции приводит к росту выхода полимера без существенного изменения молекулярной массы.

Основные вопросы, возникающие при изучении процессов радикальной полимеризации:

связь строения и реакционной способности мономеров и радикалов;

кинетические закономерности процесса и влияние различных факторов на скорость реакции полимеризации и молекулярную массу полимера.

Для протекания полимеризации молекула мономера должна содержать кратные связи. В данном случае мономер - молекула пропилена Н2С=СН-СН3, которую можно рассматривать как производную этилена с заместителем - СН3 у двойной связи. Монозамещённые этилена Н2С=СН-Х составляют группу винильных мономеров.

Количественной мерой оценки влияния заместителей в мономере и радикале на их реакционную способность является тепловой эффект реакции.

Возможность реакции полимеризации определяется термодинамическими и кинетическими факторами. Первые являются основными, поскольку, если полимеризация невозможна с термодинамической точки зрения, её осуществить вообще нельзя. Если же препятствием является кинетический фактор, то следует подобрать подходящие условия реакции.

В процессе любой реакции происходит изменение потенциальной энергии от начального значения к конечному через некоторое переходное.

Разность энергий начального и конечного состояния представляет собой тепловой эффект реакции - изменение энтальпии системы при постоянном давлении (Q = - ΔН). Термодинамика полимеризации определяется только стадией роста цепи, так как стадии инициирования и обрыва являются единичными актами, а на стадии роста происходит большое число реакций присоединения.

Важнейшее термодинамическое условие полимеризации - отрицательная величина изменения свободной энергии:

ΔG = ΔH - TΔS < 0.

В общем случае при полимеризации происходит замена одной двойной связи двумя простыми. Если принять, что энергия разрыва двойной связи во всех винильных соединениях такая же, как в этилене (610 кДж/моль), а энергия образования углерод-углеродной связи в полимере такая же, как в этане (350 кДж/моль), то тепловой эффект полимеризации винильных мономеров должна равняться 2 · 350 - 610 = 90 кДж/моль.

Эта, так называемая «теоретическая», теплота полимеризации обычно отличается от реальной величины, поскольку энергия разрыва двойной связи зависит от природы и расположения заместителей.

Величина теплоты полимеризации (Q = - ΔН) даёт разницу между энергиями связей в мономере и полимере. Она представляет собой суммарный результат действия двух отдельных эффектов замещения, которые в одних случаях аддитивны, в других - противоположны друг другу. В реальных системах


ΔН0 - теоретическая энтальпия полимеризации, равная 90 кДж/моль;

ΔН - фактическая энтальпия полимеризации;

ΔQмон,ΔQпол - термохимические отклонения от аддитивности в мономере и полимере соответственно;

(ΔQмон - ΔQпол) - потеря энергии сопряжения при переходе от мономера к полимеру;стер - стерический эффект заместителя.

Энтропийный фактор мало чувствителен к химическому строению мономера, т.е. доля ТΔS в изменении свободной энергии невелика [5].

Реакционная способность мономеров и радикалов связана также с величиной энергии активации полимеризации, поскольку её количественным выражением является константа скорости полимеризации при определённой температуре.

1.4 Новые технологии производства полипропилена

Компания Basell объявила о новой технологии, которая называется «Spherizone». Эта технология использует многозональный циркуляционный реактор (MZCR). При технологии MZRC используются два отдельных, но связанные между собой, реактора. То есть имеется несколько реакционных зон с различным временем выдерживания. Компания Basell утверждает, что данный процесс позволит улучшить жесткость, ударопрочность и другие свойства ПП. Помимо этого, при данном процессе могут производиться гомополимеры, мономодальные, бимодальные, статистические сополимеры. Процесс MZCR улучшает такие свойства как: жесткость, термоустойчивость, прочность расплава и мягкость. Компания Dow так же занялась разработкой производства ПП в жидкофазном процессе [4].

1.5 Металоценовые катализаторы для производства полипропилена

Также развивается использование металлоценовых катализаторов при производстве полипропилена. Как и в случае с полиэтиленом, ожидается, что металлоценовые катализаторы станут следующим поколением катализаторов.

Металлоценовые катализаторы или катализаторы с единым центром полимеризации характеризуются тем, что они способны контролировать равномерность длины полимерной цепочки и степень разветвления цепочки. Результатом этого является различная однородность полимеров в твердом состоянии, так как они меньше кристаллизуются, чем обычные гетерофазные полиэтилены.

Контроль над молекулярной массой, добавление сомономера и кристаллическая структура позволяют производить смолы, удовлетворяющие различным потребностям.

Преимуществами металлоценовых катализаторов являются: очень высокая активность, увеличивающая продуктивность; однородная структура; улучшенные физические и оптические свойства; низкий уровень экстрагируемости, что очень важно для таких областей применения как медицина и пищевая промышленность; эффективное использование сомономера (равномерное распределение); комплексное использование сомономеров; более дешевые сырьевые материалы, чем термоэластопласты, сополимеры этилена и винилацетата или мягкие ПВХ.

Перечисленные преимущества объясняют успех полимеров, полученных с использованием катализаторов с единым центром полимеризации, на таких рынках, как, например, пищевая промышленность и медицина, а также то, что они успешно замещают дорогостоящие термоэластопласты и винилопласты.

Преградами для большего захвата рынка являются низкая способность к переработке и низкая прозрачность, по сравнению с обычным ПВД. Так как при использовании катализаторов с единым центром полимеризации структура полимера остается такой же, и получаются полимеры с узким распределением молекулярной массы. Проводятся различные исследования для того, чтобы решить проблему со способностью к переработке.

Также производители металлоценовых катализаторов столкнулись с двумя другими проблемами: (1) относительно высокая цена за единицу катализатора и (2) сильная экзотермическая реакция, сказывающаяся негативно на обычный газофазный реактор. Но эти проблемы были частично решены с появлением нового поколения катализаторов.

Последние инновации в области катализа связаны с появлением металлоценов в 1990-х годах. Такие катализаторы включают традиционные металлы: цирконий, титан, ванадий или палладий, однако они входят в так называемые координационные соединения, которые «запускают» рост полимеров. Типичным примером металлоцена является хлорид бис(циклопентадиенил) ванадия. В настоящее время эти катализаторы используются во всех четырех вариантах проведения полимеризации. Они позволили создавать новые сочетания сомономеров, в частности вводить в процесс стирол, акрилаты, монооксид углерода, винилхлорид и норборнен (циклический олефин, который способствует поперечному сшиванию полимерных молекул). При производстве полиэтилена металлоцены обеспечивают целый ряд преимуществ. С их помощью уже получены сополимеры этилена, которые успешно внедряются в области, раньше полностью принадлежавшие более дорогостоящим пластикам. Кроме того, металлоценовые катализаторы усиливают действие катализаторов на основе оксида хрома и каталитических систем Циглера-Натта при получении ПЭВП и линейного ПЭНП. Это обеспечивает более совершенное регулирование свойств полимеров при нулевых дополнительных капиталовложениях, не считая стоимости катализатора.

Внедрение металлоценовых катализаторов («single-site») началось в средине 1990-х годов. Для продвижения на мировом рынке своего новшества Dow с BP, а Exxon-Mobil в свою очередь с Carbide подписали соглашения о внедрении металлоценов при производстве полиолефинов в газовых реакторах. В 1997 году Union Carbide и Exxon Mobil Corp, после успешной адаптации металлоценовых катализаторов, учредили предприятие Univation Technologies LLC (технология Univation) для реализации лицензий на технологии производства полиэтилена. Другие более мелкие альянсы формировались на протяжении последних нескольких лет для распределения затрат по развитию новых технологий, особенно связанных с металлоценовыми катализаторами. Альянс, основанный на технологии газофазного процесса, был сформирован между компаниями Nova Chemicals и BP Chemicals для усовершенствования Ziegler Natta катализатора компании Nova NOVACAT-T. Это может в какой-то степени повлиять на исследования металлоценовых катализаторов [4].

1.6 Применение полипропилена

1.6.1 Полипропилен как конструкционный материал

Производится очень много сортов полипропилена с разнообразными свойствами. Практически не существует полипропилена общего назначения, который бы с одинаковым успехом использовался, например, как для производства волокна, так и для изготовления деталей машин или пленки. Успешное применение полипропилена для той или иной цели предполагает правильный выбор композиции (сорта, марки материала), которая по своим свойствам наиболее соответствует условиям переработки, назначению изделия и основным требованиям к его конструкции. При применении металлов для конструкционных целей соблюдение принципа подбора считается вполне естественным, при работе же с пластмассами этот принцип пока еще недостаточно прочно вошел в практику. Именно из-за незнания взаимосвязи областей применения и свойств пластических масс было допущено немало ошибок при внедрении их в технику.

1.6.2 Тара и упаковка

Полипропилен, в особенности пленка из него, обладает всеми необходимыми свойствами для применения в этой области. По своим характеристикам полипропиленовая пленка близка к полиэтиленовой, причем по некоторым показателям превосходит ее. По сравнению с пленками из других термопластов полипропиленовая пленка имеет преимущество в отношении стойкости к нагреванию и действию химических реагентов (она может быть подвергнута стерилизации при температуре выше 100° С, что определяет целесообразность ее использования в пищевой и фармацевтическом промышленности). Ее достоинствами являются также превосходная гибкость, глянцевитость поверхности, прозрачность, незначительная паропронинаемость, нетоксичность, сравнительно легкая свариваемость и хорошая сопротивляемость усталостной коррозии.

Несколько лет назад начали получать полипропиленовые пленки, ориентированные в одном или двух взаимно перпендикулярных направлениях. Ориентация пленки улучшает ее прочность, жесткость, влагоизоляционные свойства и прозрачность. Прочность пленки, ориентированной в двух направлениях, в 4-8 раз превышает прочность неориентированной. По свариваемости ориентированная пленка уступает неориентированной, поэтому главным потребителем ее как упаковочного материала следует считать галантерею, где она ценна благодаря своей исключительной прозрачности, отсутствию морщинистости - в этом отноше она лучше полиамидной пленки.

Вполне оправдало себя применение полипропилена для изготовления затворов (пробок), бутылей, контейнеров. Как указывается в литературе, полипропилен может успешно конкурировать с традиционными материалами в отношении экономичности изготовления этих изделий (полипропилен способен формоваться при исключительно коротких циклах). По прочности, ударостойкости и химической стойкости полипропилен превосходит полистирол, а по жесткости, сопротивлению истиранию и внешнему блеску - полиэтилен.

1.6.3 Волокно

Большое количество изотактического полипропилена расходуется на производство волокна. Характерной особенностью полипропиленового волокна является его малая по сравнению с другими видами синтетических волокон плотность (0,905). Из 1 кг полипропилена можно получить 240000 м моноволокна диаметром 0,075 мм, т.е. больше, чем из любого другого синтетического материала, применяемого для производства моноволокон. Малая плотность полипропиленового моноволокна сочетается с исключительной прочностью и высокими эластическими свойствами. В то же время полипропиленовое волокно имеет меньший крип при постоянной нагрузке, более устойчиво к выцветанию и способно выдерживать без изменений воздействие более высоких температур (на 30 °С), чем полиэтиленовое. Однако до сих пор не решена проблема стабилизации полипропиленового волокна от ультрафиолетового излучения. Это ограничивает возможность его использования в текстильной промышленности. Серьезными недостатками этого волокна являются также пониженная гигроскопичность (при использовании его для изготовления бельевых тканей), относительно плохая поверхностная окрашиваемость (поэтому нередко практикуется нерациональный метод окрашивания в массе) и не вполне удовлетворительная морозостойкость (20 °С для ориентированного волокна).

С целью устранения этих недостатков полипропилен можно модифицировать разными методами, в частности введением в него специальных добавок (например, веществ с хорошими гидрофильными свойствами или содержащих реакционноспособные группы, необходимые для крашения, ультрафиолетовых стабилизаторов, морозостойких добавок и т.п.), Хотя проблемы модификации полипропилена разрешены еще далеко не полностью, некоторые зарубежные фирмы производят в опытных количествах надлежащим образом стабилизированные и окрашенные волокна, способные выдержать длительную эксплуатацию в условиях воздействия солнечных лучей (под открытым небом). Бесспорно, что решение указанных проблем принципиально возможно и является лишь делом времени.

1.6.4 Полипропилен как антикоррозионный материал

Одно из типичных применений полипропилена - плакировка резервуаров, предназначенных для хранения химически агрессивных жидкостей, в том числе различных продовольственных товаров.

Были предприняты попытки изготовления полипропиленовых слоистых стеклопластиков различными методами. Основную трудность при этом представляет недостаточная адгезия полипропилена к стеклу

Кроме того, из полипропилена изготовляют корпуса насосов, работающих в агрессивных средах, шестерни, колпаки, трубопроводы и арматуру. Там, где требуется ударостойкость при высоких рабочих температурах, полипропилен может конкурировать с поливинилхлоридом.

1.6.5 Применение в машиностроении

Низкий коэффициент трения и высокая износоустойчивость полипропилена позволяют использовать этот перспективный материал для конструкционных и других целей в машиностроительной промышленности, в том числе и там, где химическая стойкость имеет второстепенное значение. Из полипропилена изготовляют, в частности, детали текстильного оборудования (, сепараторы, веретена), вентиляторов, пылесосов, полотеров, холодильников, колпаки и винты машин для стрижки газонов и т. Д. Применение его для этих целей вполне обоснованно: вентиляторы с полипропиленовыми деталями создают меньше шума и более стойки к вибрации, чем металлические, к тому же они более безопасны при случайном попадании пальцев между лопастями, что особенно важно в случае настольных вентиляторов.

В автомобильной промышленности полипропилен пока не получил широкого применения. Это объясняется, в частности, тем, что рабочие части автомобилей проходят длительные испытания на прочность и надежность. Тем не менее, европейские автомобилестроители в настоящее время уже изготовляют из полипропилена амортизаторы, приборные щитки, распределительные коробки, штепсельные соединения, блоки предохранителей, рефлекторы, клаксоны, трубопроводы установки для кондиционирования воздуха, педали подачи топлива (сформованные в виде одного це), оконные детали, дверные прокладки, а также сидения, заполненные полиуретановым пенопластом. Рабочие части, непосредственно контактирующие с керосином или бензином (например, насосы и карбюраторы), целесообразнее изготовлять из полиамида, так как бензин и керосин размягчают полипропилен.

Корпуса насосов для щелока до последнего времени делали из полиэтилена высокого или низкого давления или металла. Металлические детали непригодны для этой цели ввиду химической агрессивности моющих средств, а полиэтиленовые подвержены усталостной коррозии.

К полипропилену был проявлен большой интерес как к материалу для изготовления деталей посудомоечных полуавтоматов, где он ценен благодаря химической стойкости, высокой износоустойчивости и ударопрочности.

1.6.6 Применение в электротехнике

В электротехнической промышленности находят применение формованные детали из полипропилена (например, катушки, обоймы, футляры, ламповые патроны, подставки, детали выключателей и телефонных аппаратов, корпуса радиоприемников, репродукторов, телевизоров и т.п.), а также изоляционные оболочки и пленка, главным образом в виде ленты.

В качестве материала для изоляции электрических проводов и кабелей полипропилен пока еще не получил широкого признания, несмотря на то, что обладает высокими диэлектрическими свойствами и малой проницаемостью для паров воды. По всей вероятности, это связано с тем, что полипропилен, как каждый новый изоляционный материал, сначала должен выдержать длительный испытательный срок.

Полипропилен пробовали применять для изоляции электропроводов легкого типа, находящихся под напряжением 220 В. Поскольку для этой цели в настоящее время с успехом применяются другие изоляционные материалы, в частности поливинилхлорид, их замена полипропиленом была бы оправданной только в том случае, если бы он имел явное преимущество перед ними. Внедрение полипропилена означало бы уменьшение веса электроизоляции, а также повышение ее теплостойкости и, как следствие, возможность увеличения допустимой нагрузки в цепи и экономии изоляционного материала. Однако недостаточная гибкость полипропилена в относительно толстом слое ограничивает его применимость для электротехнической изоляции. При снижении толщины полипропиленового покрытия оно приобретает нужную гибкость, но при этом возрастает опасность механического повреждения его.

В высокочастотной технике применение полипропилена затруднено тем, что в нем обычно содержатся остатки катализатора. Существующие технологические методы не обеспечивают достижения требуемой степени чистоты полимера. Правда, для большинства применений незначительное увеличение тангенса угла диэлектрических потерь не является помехой.

В последние годы в технике нашли распространение коммуникационные провода с пеноизоляцией. Полипропиленовый пенопласт может конкурировать в этой области с полиэтиленовым, так как обладает более низкой диэлектрической проницаемостью и лучшими физическими свойствами.

Полипропиленовая пленка в виде ленты широко применяется для различных электротехнических целей. Этому способствуют высокая электрическая прочность тонких пленок, теплостойкость и способность к намотке.

2. Характеристика производимой продукции, используемого сырья и вспомогательных материалов

. Свойства сырья - пропилена, водорода, азота представлены в табл. 1.

Таблица 1. Краткая характеристика применяемого сырья, материалов

Наименование сырья

Наименование показателей качества

Регламентирующие показатели с допустимыми отклонениями

1

2

3

Пропилен

Пропилен

Не менее 99,8% об.


Пропан

Не более 2000 ррm об.


Этан, метан, азот

Не более 300 ррm об.


Этилен

Не более 50 ррm об.


Водород

Не более 10 ррm об.


Окись углерода

Не более 5 ррm об.


Двуокись углерода

Не более 10 ррm об.


Кислород

Не более 20 ррm об.

Не более 10 ррm об.


Вода

Не более 2 ррm масс.


Ацетилен

Не более 10 ррm об.


Бутилен

Не более 5 ррm об.


Пропадиен

Не более 10 ррm об.


Хлор

Не более 1 ррm об.


Содержание других ненасыщенных углеводородов или галогенсодержащих соединений

отсутствие

Водород

Водород

99,9% об.


Кислород

10 ррm об.


Вода

40 ррm об.


СО2 + СО + хлор + сера + углеводороды

1 ррm об.

Азот

Азот

Не менее 99,9995% об.


Масло мех. примеси

отсутствие


Давление

7-8 кгс/см2


Точка росы

минус 70 °С

Сокатализатор триэтилалюминий (ТЭА)

Содержание А1

22,5 - 23,8% масс.


Содержание ТЭА

Не менее 93% масс.


н-трипропилалюминий

Не более 0,7% масс.


н-трибутилалюминий

Не более 6,0% масс.


н-триизобутилалюминий

Не более 1,0% масс.


Гидриды

Не более 2,0% масс.


Метан

Не более 0,3% масс.


Этилен

Не более 0,3% масс.


Изобутилен

Не более 0,1% масс.


. Свойства готового продукта:

внешний вид - белый порошок с размером частиц 0,4-1,27 мм;

молекулярный вес 35000-15000;

плотность 0,90-0,91 кг/м3;

температура плавления 162-165 °С;

насыпной вес 385 кг/м3.

3.     
Описание технологической схемы процесса

Полимеризационная система включает в себя:

. Реакционную систему, включающую в себя компримирование и охлаждение циркуляционного газа;

. Систему подачи суспензии катализатора;

. Систему подачи сокатализатора - триэтилалюминия (Т2);

. Систему подачи модифицирующей добавки SСА (донора);

. Систему выгрузки продукта;

. Систему подавления реакции.

Реакционная система состоит из реактора F1401, холодильника циркулирующего газа Е1402, компрессора циркулирующего газа К1403, насоса циркулирующей воды К1404 А/В, холодильника подогретой воды Е1412, расширительного бака F1411, испарителя пропилена Е1420 и продувочного коллектора.

В реакторе F1401 протекает процесс полимеризации в псевдоожиженном слое порошка полимера при средней температуре слоя в пределах 60-80 °С, давлении 3,51-3,9 МПа в среде реакционного газа с использованием каталитического комплекса. Реакционный газ, циркулирует при помощи компрессора К1403 через слой порошка полимера, создавая его псевдоожижение и удаляя тепло экзотермической реакции полимеризации. Циркулирующий газ охлаждается в холодильнике Е1402. Состав реакционного газа регулируется путём непрерывной подачи в линию циркулирующего газа очищенных реагентов (пропилена, водорода).

Катализатор подаётся непосредственно в псевдоожиженный слой реактора в виде суспензии в минеральном масле в потоке азота или пропилена. В процессе используется сокатализатор - триэтилалюминий (Т2) и модифицирующая добавка SСА, регулирующая стереоизбирательность процесса полимеризации. Модифицирующая добавка SСА вводится в реактор F1401 в потоке циркулирующего газа.

Полимеризация, протекающая в присутствии активного каталитического комплекса, образованного катализатором, сокатализатором Т2 и модифицирующей добавкой (донором), протекает по ионно-координационному механизму. Рост цепи осуществляется по связи катализатор-углерод. Обрыв цепи происходит за счёт реакции переноса к водороду, а также к пропилену.

Использование добавки (донора) способствует образованию в основном изотактического полипропилена и сведению до минимума образование нежелательного атактического полимера.

Получаемый полимер периодически поступает из реактора F1401 в одну из двух систем выгрузки продукта F1406 1-2 и F1407 1-2 и, работающих в независимом или последовательно чередующемся режиме.

Реактор F1401 представляет собой вертикальную цилиндрическую ёмкость с внутренним диаметром 3,5 м и высотой прямой секции 16,3 м. Верхняя часть реактора F1401 расширена. За счёт увеличения площади сечения расширенной части линейная скорость циркулирующего газа уменьшается, что значительно уменьшает унос газом мелких частиц полимера. Внутренний диаметр расширенной части 5,73 м, высота расширенной части 8,74 м. В нижней части реактора встроена перфорированная газораспределительная решётка из углеродистой стали с отверстиями для поддержания слоя полимера и для равномерного распределения газа в нижней части реактора. Отверстия решётки прикрыты металлическими уголками, которые исключают попадание порошка полимера под распределительную решётку и улучшают распределение газа. Между входом циркулирующего газа и газораспределительной решёткой реактор F1401 оборудован отражательной перегородкой газа - дефлектором. При забивке отверстий газораспределительной решётки и при попадании на неё агломератов в виде пластин и комков псевдоожижение слоя ухудшается.

Поток циркулирующего газа непрерывно подаётся через распределительную решётку в реактор F1401. Расход и скорость движения циркулирующего газа являются важными характеристиками работы реактора с псевдоожиженным слоем. Расход циркулирующего газа не влияет на свойства получаемого полимера, но определяет степень псевдоожижения слоя и величину теплопередачи. Равномерное распределение катализатора, равномерное выделение и отвод тепла по всему слою обеспечивает успешную работу реактора без образования агломератов. Уносимые из слоя циркулирующим газом мелкие частицы полимера могут оседать в трубках холодильника, уменьшая их проходимость. Степень загрязнения трубного пространства зависит от скорости циркулирующего газа, поэтому следует избегать низких расходов газа. Первичным результатом загрязнения трубок холодильника Е1402 полимером будет увеличение перепада давления в трубном пространстве.

Полимеризация пропилена - экзотермическая реакция. Тепло реакции передаётся циркулирующему газу при прохождении через псевдоожиженный слой. Газ покидает реактор, имея температуру, равную средней температуре слоя, которая имеет пределы 60-80 °С.

В охлаждённый в теплообменнике Е1402 циркулирующий газ добавляются в небольшом количестве: жидкий пропилен (по регулятору FRС), водород, этилен, сокатализатор (Т2) и модифицирующая добавка SСА, после чего он вновь поступает в реактор F1401.

Температура слоя регулируется путём охлаждения циркулирующего газа в холодильнике Е1402.

Холодильник деминерализованной воды Е1412 представляет собой пластинчатый теплообменник, охлаждаемый оборотной водой. Циркуляция воды через холодильник Е1412 осуществляется насосом К1404А/В. Для поддержания постоянного давления на всасе насоса К1404А/В и создания необходимого расширительного объёма во время разогрева системы предусматривается расширительный бак F1411. Система подогретой воды находится в заполненном состоянии благодаря расширительному баку F1411.

Расширительный бак F1411 имеет открытую отдувку в дренажную воронку линии перелива. Во время пуска реакционной системы холодильник Е1402 используется для подачи тепла в циркуляционный газ, необходимого для просушивания системы и доведения реакционной системы до рабочей температуры. Для этого холодильник Е1412 полностью байпасируется, и в контур циркулирующей воды вводится с помощью барботёра водяной пар для нагрева её приблизительно до 90 °С.

Деминерализованная вода первоначально поступает из коллектора подачи деминерализованной воды. Для предотвращения коррозии во время первоначального заполнения системы в неё вводится антикоррозионная добавка. Первоначальная концентрация добавки в системе составляет 16-18 г./л воды. Во время нормальной работы запас добавки должен поддерживаться на уровне 600 мг/л.

Состав циркулирующего газа является одним из основных параметров, влияющих на свойства получаемого полимера, изменяется медленно из-за значительного количества газа в системе. Поэтому концентрация пропилена остаётся в основном постоянной, благодаря чему легко поддерживаются на заданном уровне соотношения водорода к пропилену.

Концентрация пропилена и водорода в циркулирующем газе измеряется установленным на потоке газовым хроматографом. Расход водорода регулируется в зависимости от требуемой текучести расплава полимера. По результатам анализа подаются сигналы, регулирующие отношение водород / пропилен в циркулирующем газе.

Качество порошка полипропилена характеризуется такими показателями как показатель текучести расплава (ПТР), содержание растворимых в ксилоле. И эти свойства полимера зависят от рабочих условий процесса, таких как температура, соотношение реагентов, парциальное давление пропилена.

Для гомополимеров ПТР регулируется путём изменения соотношения водорода к пропилену. Чем больше это соотношение, тем выше ПТР. Содержание растворимых в ксилоле соединений регулируется путём изменения соотношения сокатализатора Т2 к модифицирующей добавке (донору). Этот показатель уменьшается с уменьшением отношения Т2 к донору.

Сокатализатор - триэтилалюминий Т2 и добавка SСА, регулирующая стереоизбирательность реакции полимеризации, вводится непосредственно в поток циркулирующего газа под нижним днищем реактора.

Подача в реактор одного только Т2 без SСА будет приводить к образованию атактического полимера и вызывать образование комков.

Производительность реактора F1401 регулируется путём настройки скорости сырьевого насоса суспензии катализатора. Чем выше расход катализатора, тем выше производительность.

Увеличение подачи катализатора в реакцию, протекающую в установившемся режиме, будет немедленно повышать степень конверсии пропилена в полипропилен. Давление в реакторе будет при этом падать, что автоматически вызовет увеличение подачи пропилена. Поскольку производительность повышается, среднее время пребывания полимера в слое будет снижаться.

В состав реакционной системы входит также испаритель Е1420, используемый для испарения жидкого пропилена, поступающего из отделения очистки. При нормальных условиях работы испарившийся пропилен подаётся в продувочный коллектор, из которого используется для продувки штуцеров реактора и обратной продувки приборов КИП в качестве буферного газа компрессора, а при пуске - для создания первоначальной концентрации пропилена в реакторе F1401.

Испаритель пропилена Е1420 - четырёхходовой кожухотрубный теплообменник, в котором пропилен проходит по трубному пространству.

Жидкий пропилен испаряется и нагревается водяным паром низкого давления, который подаётся в межтрубное пространство.

Перегретые пары пропилена при температуре 100-135 °С и давлении 4,13 МПа выходят из испарителя по линии, имеющей паровой спутник.

Система выгрузки продукта

Система выгрузки продукта предназначена для периодического удаления полимера из реактора F1401. Реактор F1401 оснащён двумя системами выгрузки, работающими в независимом или попеременно-чередующемся режиме. Полимер из реактора F1401 выгружается периодически.

Каждая система выгрузки состоит из камеры продукта F1406/1,2, продувочной ёмкости F1407/1,2, устройства контроля давления в аппаратах и тринадцати автоматических клапанов. Два автоматических клапана КV-W и КV-Х являются общими для обеих систем выгрузки продукта и используются во время перекрёстно-связанной работы систем для сброса давления в одной камере F1406/1,2 или продувочной ёмкости F1407/1,2 в другую камеру F1406/1,2 или продувочную ёмкость F1407/1,2.

Системы выгрузки могут работать в одном из трёх режимов управления: ручном, автоматическом без перекрёстной связи, автоматическом с перекрёстной связью.

Режим ручного управления системы выгрузки продукта предусматривается для обеспечения возможности проверки переключателей положения клапанов, выполнения работы перед вводом системы в действие и освобождения системы от застрявших агломератов.

Работа в режиме автоматического управления с перекрёстной связью - наиболее эффективный способ работы системы выгрузки в отношении использования мономера, так как в этом случае производится сброс давления из ёмкости одной системы в ёмкость другой, что уменьшает количество газа, уходящего с выгружаемым полимером.

Система выгрузки продукта рассчитана на минимальное время пребывания, но вместе с тем всё же возможно образование комков полимера в одной из камер продукта или в продувочных емкостях продукта.

Продувочные ёмкости F1407/1,2 имеют несколько больший объём, чем камеры продукта F1406/1,2, для обеспечения полной передачи полимера.

Для предотвращения полимеризации и последующего образования комков в «мёртвых» зонах между клапаном и реактором, а также на горизонтальном участке между клапаном и реактором, эти зоны продуваются циркулирующим газом.

Каждая камера продукта снабжена штуцером для осмотра и фланцевым верхним люком для удаления комков.

Каждая продувочная емкость снабжена штуцером для осмотра и откидным на шарнирах нижним люком для удаления комков.

Система подавления реакции

Основными причинами остановок реакторной системы является возникновение неполадок в работе технологического оборудования, внезапное прекращение снабжения цеха электроэнергией, газовым сырьём, горячей и охлаждающей водой на длительное время, а также в случаях отклонения процесса от нормальных рабочих параметров.

Во всех этих случаях возникает необходимость быстрого прекращения реакции полимеризации. Это осуществляется путём введения в реакторную систему непосредственно под слой полимера каталитического яда - окиси углерода. Окись углерода дезактивирует катализатор и таким образом прекращает реакцию. Процесс дезактивации катализатора окисью углерода обратим. При продувке реактора F1401 от яда полимеризация может возобновиться. Оборудование системы подавления реакции состоит из баллонов, содержащих окись углерода под высоким давлением с распределительным трубопроводом и автоматическим клапаном для подачи окиси углерода при активировании системы. Система подавления реакции предоставляет ряд возможностей:

автоматическое подавление реакции с циркуляцией циркуляционного газа (подавление типа I);

автоматическое подавление реакции со сбросом давления из реактора (подавление типа II);

активируемое вручную автоматическое миниатюрное подавление реакции (для снижения скорости реакции).

Подавление реакции полимеризации по I типу осуществляется при работающем компрессоре циркулирующего газа. В этом случае окись углерода в потоке циркулирующего газа проходит через всю реакционную систему.

При отсутствии потока циркулирующего газа инициируется подавление реакции типа II. Окись углерода вводится, как и в случае подавления реакции по типу I, в нижнюю часть реактора, затем открывается клапан сброса, осуществляющий сброс давления из реактора на факел. Окись углерода в этом случае протягивается вверх через слой полимера потоком сбрасываемого газа. После снижения давления реактор F1401 продувается азотом.

Подавление реакции типа I автоматически запускается в случае высокой температуры слоя. Данное измерение указывает на неудовлетворительное регулирование температуры, обусловленное вероятно, отказом измерительного прибора, сбоем в подаче охлаждающей воды и устанавливается на 7° выше установочной точки регулирования температуры в реакторе. Повышение температуры слоя (свыше 125 °С) вызовет останов компрессора К1403 и инициирование гашения реакции по типу II в автоматическом режиме.

Одновременно с вводом в систему окиси углерода автоматически прекращается подача газового сырья, катализатора, сокатализатора.

Отключение компрессора К1403 автоматически вызовет подавление реакции типа II. Отсутствие потока циркулирующего газа будет также автоматически вызывать подавление реакции типа II при условии, что любая из следующих пар аварийной сигнализации активируется при давлении в реакторе F1401 выше 1,406 МПа:

масса слоя меньше, чем установочная, расход циркулирующего газа меньше, чем установочный;

плотность слоя меньше, чем установочная и расход циркулирующего газа меньше, чем установочный.

Вслед за подавлением реакции типа II необходимо восстановить псевдоожижение или сбросить давление из реактора F1401 и подать в него как можно быстрее азот.

Система подавления реакции должна постоянно поддерживаться в состоянии готовности с полностью заряженными баллонами окиси углерода, когда в реакции имеются углеводороды. Продувочные потоки к точкам ввода должны контролироваться, основные точки ввода должны по необходимости очищаться.

4. Материальный баланс процесса

Материальный баланс химического процесса составляется для определения количеств перерабатываемых и получаемых веществ. Вычисленные количества веществ могут быть отнесены к единице времени (кг/сутки; кг/ч; кг/с) или к единице массы получаемого продукта. В последнем случае материальный баланс не изменяется с изменением мощности производства.

В основу расчета материального баланса положен закон сохранения массы вещества, то есть масса исходных веществ процесса должна быть равна массе его конечных продуктов:

∑Gнач= ∑Gкон,

где ∑Gнач - суммарная масса исходных веществ в процессе; ∑Gкон - суммарная масса конечных продуктов в тех же единицах измерения.

Целью материального баланса является определение потребности в сырье и расходных материалов производства заданного продукта.

Мощность процесса полимеризации пропилена составляет 100 тыс. тонн в год, согласно графику плана планово-ппредупредительного ремонта установка эксплуатируется в год 8333 часа, а вгоду всего 8760 из них 427 часов в остановочном ремонте. Таким образом по-скольку материальный баланс составляется в кг/ч, определим часовую нагрузку установки:

тыс.тонн/8333 ч = 12т/ч = 12000 кг/ч

Таблица 2. Расходные коэффициенты процесса «Unipol»

Сырьё

Расходные коэффициенты

Водород

0,00008

Азот

0,00234

Пропилен

0,81500

в том числе пропан

0,00078

Агент стереоизбирательности

0,00004

ТЭА

0,00013

Катализатор

Продувочный пропилен

0,18461

Рецикловый пропилен

0,03116

Выпуск рециклового газа в ресивер

0,03116


Расход водорода: 12000 · 0,00008 = 0,96 кг/ч

Расход азота: 12000 · 0,00234 = 28,08 кг/ч

Расход пропилена: 12000 · 0,81500 = 9780,00 кг/ч

В том числе пропана: 12000 · 0,00078 = 9,36 кг/ч

Расход агента стереоизбирательности: 12000 · 0,00004 = 0,48 кг/ч

Расход ТЭА: 12000 · 0,00013 = 1,56 кг/ч

Расход катализатора: 12000 · 0,00014 = 1,68 кг/ч

Расход продувочного пропилена: 12000 · 0,18461 = 2215,32 кг/ч

Расход рециклового пропилена: 12000 · 0,03116 = 373,92 кг/ч

Выпуск рециклового газа в ресивер: 12000 · 0,03116 = 373,92 кг/ч

Примем потери порошка 0,003%, что составляет: 12000·0,003/100 = 0,36 кг/ч.

Результаты расчёта материального баланса проектируемого процесса приведены в табл. 3.

Таблица 3. Материальный баланс проектируемого процесса

Приход

Расход

Материальный поток

кг/ч

%

Материальный поток

кг/ч

%

Водород

0,96

0,01

Полипропилен

11999,64

96,756

Азот

28,08

0,23

Впуск рециклового газа в ресивер

373,92

3,015

Пропилен

9780,00

78,86




в том числе пропан

9,36

0,08




Агент стереоизбирательности

0,48

0,01




ТЭА

1,56

0,01

Азот

28,08

0,226

Катализатор

1,68

0,01




Продувочный пропилен

2215,32

17,86

Потери порошка полипропилена

0,36

0,003

Рецикловый пропилен

373,92

3,01




Итого:

12402,00

100,00

Итого:

100,000



5. Тепловой баланс процесса

Все промышленные химические процессы должны проводиться при строго определённых заданных температурных условиях и в большинстве случаев требуют подвода или отвода теплоты. Тепловой расчёт сводится к составлению теплового баланса процесса, определению количества подводимой или отводимой теплоты, определению расхода теплоносителей или хладагентов. Уравнение, выражающее тепловой баланс химического процесса, может быть представлено в следующей форме: ΣQ нач = ΣQ кон, где

ΣQ нач - количество теплоты, поступающей в процесс;

ΣQ кон - количество теплоты, выделяющейся в процессе [7].

ΣQ нач = Q1 + Q2 + Q3, где

1 = (mпр· спр + mN2· сN2 + mН2· сН2) · t1 - количество тепла, поступающее в систему с исходными реагентами. Расходы реагентов рассчитаны в разделе «Материальный баланс процесса»; спр, сN2, сН2 - удельные теплоёмкости реагентов [10]; t1 - температура исходных реагентов.1 = ((9780,00+2215,32)·1,63 + 28,08 · 1,05 + 0,96 · 1,43) · 30 = 587497 кДж2 = V1 · ср..г.· t2 - тепло, вносимое охлаждённым рецикловым газом (m1 - количество рециклового газа, ср..г. - теплоёмкость рециклового газа, t2 = 50 °С температура входящего рециклового газа);3 = h · mПП - тепло экзотермической реакции полимеризации (h ≈ 2518 кДж/кг [5, 15], mПП - количество производимого полипропилена)3 = 2518 · 12000 = 30216000 кДж

ΣQкон = Q4 + Q5, где

Q4 = mПП · сПП · t3 - количество теплоты, уносимое с отгружаемым полимером (сПП ≈ 1,8 кДж/(кг·К) - удельная теплоёмкость полипропилена);4 = 12000 · 1,8 · 70 = 1512000 кДж5 = m1 · ср..г.· t4 - тепло, выносимое нагретым рецикловым газом (t4 = 70 °С температура выходящего рециклового газа);

Из уравнения теплового баланса определим количество рециклового газа:

+ m1 · 1,67 · 50 + 30216000 = m1 · 1,67 · 70 + 1512000

+ m1 · 83,5 + 30216000 = m1 · 116,9 + 15120001 = (30216000 + 587497 - 1512000)/(116,9 - 83,5)1 = 876991 кг/ч рециклового газа в реакционной системе обеспечат тепловой баланс процесса.

Определим количество тепла, вносимого охлаждённым рецикловым газом:2 = 876991 · 1,67 · 50 = 73228749 кДж

Определим количество тепла, выносимое нагретым рецикловым газом:5 = 876991 · 1,67 · 70 = 102520246 кДж

Результаты расчёта теплового баланса проектируемого процесса приведены в табл. 4.

Таблица 4. Тепловой баланс проектируемого процесса

Приход

Расход

Тепловой поток

кДж

%

Тепловой поток

кДж

%

Тепло, поступающее в систему с исходными реагентами

587497

0,6

Количество теплоты, уносимое с отгружаемым полимером

1512000

1,5

Тепло, вносимое охлаждённым рецикловым газом

73228749

70,4

Тепло, выносимое нагретым рецикловым газом

102520246

98,5

Тепло экзотермической реакции полимеризации

30216000

29,0




Итого:

104032246

100

Итого:

104032246

100


Заключение

полипропилен катализатор сырье химический

Курсовая работа на тему: «Процесс синтеза полипропилена мощностью 96 тыс. т/год» выполнена в соответствии с заданием.

В пояснительной записке к курсовой работе представлен аналитический обзор процессов синтеза полпропилена, описана технологическая схема процесса синтеза полипропилена с нормами технологического режима, дана характеристика сырья и готовой продукции.

Перечислены все основные опасности производства, которые могут привести к неполадкам и причинить вред здоровью человека и окружающей среде. Описаны меры безопасности при ведении технологического процесса и выполнении регламентных производственных операций.

Выполнены расчеты материального и теплового баланса, а также приведены следующие расчеты:

1) гидродинамический расчёт псевдоожиженного слоя в реакторе: масса первоначальной загрузки порошка полипропилена 30,8 т, среднее расходное время пребывания частиц полипропилена в реакторе: 2,6 часа или 154 мин.

) механический расчёт реактора: толщина стенки расширенной части реактора: 85 мм, толщина днища реактора: 30 мм, толщина стенки купола: 48 мм, размер наружного и внутреннего диаметра D2 и D1 фундаментного кольца D1 = 3720 мм и D2 = 3860 мм, опорная площадь фундаментного кольца: 0,86 м2.

) холодильника дистиллированной воды: для обеспечения нормальной работы установки получения полипропилена мощностью 96 тыс. тонн в год необходим четырёхходовой кожухотрубчатый теплообменник с внутренним диаметром кожуха 1200 мм и длиной труб 9 м, количество труб - 986 диаметром 25,4х2,1 мм.

) насоса циркулирующей воды: мощность двигателя насоса 137 кВт.

Список литературы

1. Бабицкий И.Ф., Вихман Г.Л., Вольфсон С.И. Расчет и конструирование аппаратуры нефтеперерабатывающих заводов. М.: «Недра», 1965.

. Брацыхин Е.А. Технология пластических масс. Л, Химия, 1974.

. Быстров Г.А., Гальперин В.М., Титов Б.П. Обезвреживание и утилизация отходов в производстве пластмасс. Л.: Химия, 1982.

. Давыдов Евгений. 20 марта Москва международная конференция «Полипропилен 2007», организованная компанией Creon при спонсорском участии ООО «Европластик» и поддержке Basell Polyolefins и Milliken Chemicals. Источник: PackagingNews. Апрель 2007. с. 52-55

5. Дувакина Н.И., Чуднова В.М., Белогородская К.В., Шульгина Э.С. Химия и физика высокомолекулярных соединений: Учеб. пособие. Л.: изд. ЛТИ им. Ленсовета, 1984.

. Дытнерский Ю.И. Основные процессы и аппараты химической технологии: Пособие по проектированию М.: Химия, 1983.

7. Иоффе И.Л. Проектирование процессов и аппаратов химической технологии. - Л.: Химия, 1991.

. Коршак В.В. Технология пластических масс. М.: Химия, 1985.

. Мухлёнов И.П. Расчеты аппаратов кипящего слоя: Справочник Л.: Химия, 1986.

. Павлов К.Ф., Романков П.Г., Носков А.А. Примеры и задачи по курсу процессов и аппаратов химической технологии. Учебное пособие для вузов / Под ред. чл.-корр. АН СССР П.Г. Романкова. Л.: Химия, 1987.

. Русаков П.В. Производство полимеров. М.: Высшая школа, 1988.

. Серебряков Б.Р., Плаксунов Т.К., Аншелес В.Р., Далин М.А. Под ред. М.А. Далина. Высшие олефины. Производство и применение. Л.: Химия, 1984.

. Степанов А.В. Производство низших олефинов. К.: Наукова думка, 1978.

. Полиэтилен низкого давления: Научно-технические основы промышленного синтеза. Л.: Химия, 1980.


Похожие работы на - Разработка газофазной установки полимеризации пропилена

 

Не нашли материал для своей работы?
Поможем написать уникальную работу
Без плагиата!
Без нейросетей!