Проблема электромагнитной совместимости современных радиосистем

  • Вид работы:
    Курсовая работа (т)
  • Предмет:
    Информатика, ВТ, телекоммуникации
  • Язык:
    Русский
    ,
    Формат файла:
    MS Word
    988,22 Кб
  • Опубликовано:
    2013-12-29
Вы можете узнать стоимость помощи в написании студенческой работы.
Помощь в написании работы, которую точно примут!

Проблема электромагнитной совместимости современных радиосистем

МИНИСТЕРСТВО ОБРАЗОВАНИЯ И НАУКИ РФ

ФГБОУ ВПО " ГОСУДАРСТВЕННЫЙ УНИВЕРСИТЕТ -

УЧЕБНО-НАУЧНО-ПРОИЗВОДСТВЕННЫЙ КОМПЛЕКС "

ФАКУЛЬТЕТ ВЕЧЕРНЕГО ОБУЧЕНИЯ

Кафедра «Проектирование, технология электронных и вычислительных средств»






КУРСОВАЯ РАБОТА

Тема: «Проблема электромагнитной совместимости современных радиосистем»

Выполнил студент гр. 5-4 Коверов С.А.

Руководитель Донцов В.М.








Орёл, 2013

1. Обозначение проблемы электромагнитной совместимости РЭС

.1 Причины возникновения проблемы электромагнитной совместимости

Прежде чем рассматривать причины возникновения и пути решения проблемы ЭМС, остановимся на некоторых общих и необходимых в дальнейшем понятиях и их определениях.

Радиоэлектронным средством (РЭС) называют техническое средство, состоящее из одного или нескольких радиопередающих и (или) радиоприемных устройств и вспомогательного оборудования. Все составные элементы РЭС размещаются совместно и объединяются общим для них управлением. Примерами РЭС, состоящих только из радиопередающих устройств, могут служить радиовещательные и телевизионные станции, радиопередающие устройства многих радионавигационных систем или, иначе говоря, все радиопередающие устройства, работающие в дежурном режиме. Радиоприемные устройства, работающие с такими радиопередающими устройствами, также являются РЭС, поскольку размещаются отдельно от радиопередающих и во время работы последних управляются самостоятельно. Примерами РЭС, имеющих в своем составе радиопередающие и радиоприемные устройства, являются радиолокационные станции с совмещенными передающими и приемными устройствами и связные радиостанции.

В радиосвязи, радионавигации, радиолокации для решения ряда задач радиоэлектронные средства объединяются в радиотехнические системы (РТС) - совокупности функционально связанных между собой радиоэлектронных средств. Примером простейшей РТС может служить радиолиния, состоящая из двух РЭС - радиопередающего и радиоприемного устройств, связанных между собой через пространство, обеспечивающих решение какой-либо задачи и имеющих в связи с этим общее для них управление.

При совместной работе РЭС, а также различной высокочастотной аппаратуры, электрических устройств и установок могут создаваться непреднамеренные радиопомехи искусственного происхождения (взаимные, индустриальные и контактные), нарушающие нормальное функционирование РЭС или, иначе говоря, электромагнитную совместимость РЭС. Поэтому возникновение проблемы ЭМС РЭС обусловлено теми причинами, которые приводят к появлению указанных непреднамеренных помех и недопустимому по своим результатам их воздействию на РЭС. Остановимся на этих причинах применительно к каждому виду непреднамеренных помех отдельно.

Взаимные радиопомехи возникают при одновременной работе нескольких РЭС как следствие:

большой загруженности диапазона радиочастот РЭС различных назначений; поэтому нередко они работают на совпадающих или близких частотах излучения и приема;

высокой пространственной (или территориальной) плотности размещения РЭС, в результате уровни создаваемых ими помех могут превышать допустимые;

технического несовершенства РЭС, проявляющегося в том, что устройства излучают радиосигналы и подвергаются их мешающему воздействию не только в основной полосе частот, но и за ее пределами.

Индустриальные радиопомехи создаются различной высокочастотной аппаратурой, электрическими устройствами и установками промышленного, транспортного, научного, медицинского, бытового и иного назначения, излучающими электромагнитные колебания радиочастотного диапазона, не предназначенные для передачи какой-либо информации, чаще всего являются паразитными и возникают в результате технических недостатков перечисленных источников этих помех.

Контактные помехи обусловлены переизлучениями электромагнитных волн переменными во времени сопротивлениями между проводящими телами, находящимися в поле излучения радиопередающих устройств. Эти помехи наиболее характерны при размещении РЭС на подвижных объектах и наблюдаются при работе радиопередающих устройств в движении. Воздействие на РЭС недопустимых по уровню взаимных, индустриальных и контактных помех приводит к нарушению ЭМС. При этом к числу причин, усугубляющих остроту проблемы РЭС, следует отнести большие мощности излучения радиопередающих устройств и высокую чувствительность радиоприемных устройств современных РЭС.

Для более полного уяснения существа причин возникновения и воздействия взаимных, индустриальных и контактных помех на РЭС, т. е. в конечном итоге причин возникновения проблемы ЭМС РЭС, рассмотрим их более подробно. Предварительно отметим, что сами РЭС могут быть как объектами воздействия указанных помех, так и их источниками.

ЗАГРУЖЕННОСТЬ ДИАПАЗОНА РАДИОЧАСТОТ И ПЛОТНОСТЬ РАЗМЕЩЕНИЯ РЭС

Загруженность диапазона радиочастот (ДРЧ) и пространственная плотность размещения РЭС, а также время их работы в той или иной совокупности РЭС существенно влияют на состояние ЭМС в ней. При этом здесь и в дальнейшем под совокупностью РЭС будем понимать РЭС, размещенные в том или ином территориальном районе, пространстве, на том или ином объекте.

Диапазон радиочастот является ограниченным и охватывает область частот электромагнитных колебаний от 3 кГц до 3000 ГГц. Однако уже к настоящему времени загрузка технически освоенной его части только основными излучениями РЭС такова, что, если не принимать специальных мер, взаимные помехи за счет работы РЭС на совпадающих и близких частотах излучения и приема приводят и будут приводить к нарушению ЭМС РЭС.

Несмотря на это, загруженность ДРЧ за счет увеличения числа РЭС продолжает возрастать. При этом, как показывает практика, уже длительное время рост числа РЭС и необходимых для них радиочастот опережает освоение новых участков ДРЧ. Это можно подтвердить ориентировочными данными за период 1950- 1970 гг, приведенными в табл. 1.1 [1], показывающей опережающий рост числа РЭС основных классов по сравнению с освоением ДРЧ. Период 1970-1980 гг. не внес существенных изменений в соотношение между потребностями в радиочастотах для РЭС и темпами освоения ДРЧ, несмотря на то, что в соответствии с решением ВАКР 1979 г. начиная с 1982 г. введено распределение радиочастот вплоть до 400 ГГц. Пока же продолжается наиболее интенсивное освоение участка частот 10... 15 ГГц. В результате опережающего роста числа РЭС и необходимых для них радиочастот по сравнению с темпами освоения новых участков ДРЧ в настоящее время ощущается недостаток в радиочастотах практически во всей освоенной части радиочастотного пилона. Это усугубляется тем, что наряду с большой и все возрастающей загрузкой освоенной части ДРЧ имеет место ее неодномерность. На неравномерность загрузки ДРЧ существенно влияют также особенности распространения радиосигналов и некоторые другие факторы. В связи с этим в настоящее время наиболее перегруженными оказались метровый, дециметровый и частично гектаметровый диапазоны волн.

Табл. 1.1 - Сравнение увеличения числа РЭС с расширением ДРЧ

Годы

1950-1960

1960-1970

Расширение технически освоенного диапазона радиочастоты (разы)

4

Практически нет

Относительное увеличение числа РЭС (разы)

Радиовещательные с частотной модуляцией

-

30


Телевизионные

-

30


Подвижных служб

-

30


Радиорелейные

-

2


Радиолокационные

-

5

Большая загрузка освоенной части ДРЧ зачастую вынуждает назначать РЭС одни и те же близкие рабочие частоты. Это приводит к тому, что при высокой плотности размещения РЭС возникают взаимные помехи по основному и соседним каналам приема,

О том, что плотность размещения РЭС является высокой, можно судить по следующим данным. В районе крупных административных центров число РЭС может достигать (50...60)·103. При этом, например, в США в 1975 г. из общего числа радиостанций, составляющего 5,8 млн. экземпляров, 50% их действовало на 8% территории страны.

ТЕХНИЧЕСКОЕ НЕСОВЕРШЕНСТВО РАДИОПЕРЕДАТЧИКОВ

Экспериментальные данные о спектрах передающих устройств современных РЭС свидетельствуют о том, что практически все они излучают не только в необходимой полосе частот, но и далеко за ее пределами (рис. 1.1).

радиосистема электромагнитный совместимость связь

Рис. 1.1 - Энергетический спектр радиоизлучения радиопередающего устройства

Основное радиоизлучение (1 на рис.1.1) - излучение радиопередающего устройства в необходимой полосе радиочастот, предназначенное для передачи сигнала.

Нежелательное радиоизлучение (или, иначе говоря, неосновное радиоизлучение) - это излучение радиопередающего устройства за пределами необходимой полосы радиочастот. К нежелательным относятся все показанные на рис.1.1 радиоизлучения, за исключением основного 1. Они делятся на внеполосные 4 и побочные. К последним относятся: радиоизлучения на гармониках 5, субгармониках 2, комбинационные 6, интермодуляционные 3 и паразитные 7. Если внеполосные излучения являются результатом модуляции сигнала, то побочные возникают как следствие любых нелинейных процессов в радиопередающем устройстве, кроме процесса модуляции. Уровни нежелательных излучений зачастую бывают недопустимо высокими.

В общем случае из-за недостаточного технического совершенства радиопередающих устройств в спектрах их излучений могут присутствовать все виды указанных нежелательных излучений. Поскольку они не используются для передачи полезной информации, то с информационной точки зрения они бесполезны, а с точки зрения ЭМС вредны, так как создают дополнительную загрузку ДРЧ и могут быть одной из основных причин взаимных помех даже таким РЭС, радиоприемные устройства которых настроены на рабочие частоты, далеко отстоящие от частоты настройки мешающего радиопередающего устройства.

Мощность нежелательных излучений многих современных радиопередающих устройств, особенно внеполосных, и на гармониках может значительно превышать мощность основного излучения наиболее массовых РЭС. Однако, даже если уровни нежелательных излучений мешающих радиопередающих устройств мало по сравнению с уровнями основных излучений РЭС, подвергающихся воздействию взаимных помех, при близком расположении РЭС - источников взаимных помех к объектам их воздействия за счет нежелательных излучений также может нарушиться. Другой причиной нерациональной загрузки ДРЧ, создаваемой радиопередающими устройствами и отрицательно сказывающейся на ЭМС РЭС, является нестабильность несущей частоты основного излучения и связанных с ее формированием нежелательных излучений. Так, на несущей частоте 10 ГГц при стабильности частоты занятость ДРЧ увеличивается на 2 МГц, а с учетом нежелательных излучений становится еще больше. Это повышает вероятность возникновения взаимных помех и нарушения ЭМС РЭС. Наличие в спектрах излучений радиопередающих устройств нежелательных излучений и расширение спектров излучений за счет нестабильности частоты обусловлено принципами построения и схемными решениями радиопередатчиков, не устраняющими этих недостатков. Поэтому последние следует считать результатом технического несовершенства радиопередатчиков РЭС с точки зрения ЭМС.

ТЕХНИЧЕСКОЕ НЕСОВЕРШЕНСТВО РАДИОПРИЕМНИКОВ

Практика показывает, что, как и радиопередающие, радиоприемные устройства РЭС помимо основного канала имеют большое число неосновных каналов приема - соседних и побочных, не предназначенных и не используемых для приема полезного сигнала, создаваемого основным излучением радиопередающего устройства. Наличие неосновных каналов приема обусловлено недостаточной избирательностью приемников и нелинейными свойствами их каскадов. Неосновные каналы приема обычно имеют место в широкой полосе частот (рис. 1.2).

В супергетеродинных приемниках происхождение большинства неосновных каналов приема связано с самим принципом их построения, т. е. с применением в них преобразования частоты. Поскольку супергетеродинные приемники являются наиболее распространенными, то, если не будет сделано оговорок, все характеристики приема будут рассматриваться применительно к ним. В соответствии с ГОСТ 23611-79 основным каналом приема (ОКП) радиоприемника называется полоса частот, находящихся в полосе пропускания радиоприемника и предназначенная для приема сигнала. При этом каналы приема, непосредственно примыкающие к основному и обусловленные недостаточной избирательностью радиоприемника вблизи последнего, будем называть соседними (4 на рис.1.2)[1].

Побочным каналом приема (ПКП) радиоприемника называется полоса частот, находящаяся за пределами ОКП радиоприемника, в которой сигнал проходит на выход радиоприемника. В ГОСТе имеется примечание, из которого следует, что соседние каналы приема (СКП) не входят в число побочных; к последним относятся каналы, включающие промежуточную, зеркальную, комбинационную частоты и субгармоники частоты настройки радиоприемника (2 и 3 на рис. 2).

Рис. 1.2 - Характеристика частотной избирательности супергетеродинного радиоприемника для основного (1), побочного (2), зеркального (3) и соседнего (4) каналов приема

В супергетеродинных радиоприемниках большинство ПКП возникает за счет взаимодействия мешающего сигнала и его гармоник с сигналом гетеродина и его гармониками, т. е. связано с преобразованием частоты. Чтобы без необходимости не усложнять вопрос, будем рассматривать радиоприемники с однократным преобразованием частоты. В этом случае воздействующий на приемник сигнал будет принят и проникнет на его выход, если выполняется следующее условие:

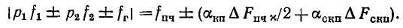
 (1.1)

где fс - частота воздействующего сигнала; р = 1, 2, 3,... - номера гармоник воздействующего сигнала; fкг - частоты колебаний гетеродина; в их число входят колебания основной частоты и побочные; fпч - промежуточная частота; αкп≤1 - коэффициент, учитывающий снижение восприимчивости радиоприемника по каналам приема (за исключением соседних) за счет избирательных свойств тракта, предшествующего смесителю, а также вида колебания гетеродина, участвующего в образовании канала приема; αскп≤1 - коэффициент, учитывающий снижение восприимчивости радиоприемника по СКП за счет тех же причин, что и для αкп; ΔFпчχ - полоса пропускания УПЧ на уровне χ (обычно χ = 3 дБ); практически полоса пропускания по основному каналу приема ΔFокпχ = ΔFпчχ; ΔFскп - полоса пропускания СКП, которая может определяться исходя, например, из коэффициента прямоугольности ОКП.

Как известно, коэффициент прямоугольности ОКП

Kχ = ΔFχl/ΔFχ, (1.2)   

где ΔFχl - полоса пропускания ОКП на уровне χ1. Практически χ1 выбирается на уровне 30...60 дБ, а иногда и более. Поэтому χ1 >> χ.

Из рис. 1.2 и соотношения (1.2) следует, что полоса пропускания СКП

ΔFскп = (ΔFχl - ΔFχ)/2. (1.3)   

Используя (1.1), можно установить следующие характерные случаи воздействия сигналов по каналам приема.

а) При p = 1

        (1.4)

где fг - частота основного колебания гетеродина.

В рассматриваемом случае при выполнении условия

 (1.5)

где fP - частота настройки радиоприемника, сигнал (будь то полезный или мешающий) воздействует по ОКП; при этом αкп=1. При выполнении условий:

 (1.6)

сигнал (мешающий) воздействует по СКП, примыкающим к ОКП; при этом αк =1, αскп=1.

При выполнении условия

 (1.7)

сигнал (мешающий) воздействует по ПКП, называемому зеркальным и имеющему среднюю частоту fзкп, и СКП, примыкающим к зеркальному.

Из (1.4) следует, что во всех трех случаях, соответствующих (1.5) (1.6), (1.7), воздействующие сигналы не подвергаются нелинейному преобразованию в радиоприемнике и проходят через него как через линейный тракт.

б) При р=1 fкг = fпкг и


где fпкг - частоты побочных колебаний гетеродина, в число которых входят колебания на гармониках, имеющие частоты nfг, n = 2, 3,...

В данном случае сигнал (мешающий) воздействует по ПКП и при этом, как и в случае «а», не подвергается нелинейному преобразованию в тракте радиоприемника. Иначе говоря, при р=1 возникновение побочных каналов приема не связано с нелинейными явлениями по воздействующему сигналу.

в) При р>1

 (1.8)

где fпкг - частоты побочных колебаний гетеродина, включая гармоники, причем возможны значения fпкг = 0, т. е. сигнал гетеродина или не участвует в преобразовании частоты воздействующего сигнала или отсутствует (радиоприемник прямого усиления). При этом

 (1.9)

где fр - частота настройки радиоприемника; ΔFpχ -полоса пропускания основного канала приема.

В рассматриваемом случае сигнал (мешающий) воздействует по ПКП, но в отличие от случая «б» он подвергается нелинейному преобразованию (р>1). Это означает, что когда в радиоприемнике образуются гармоники воздействующего сигнала, возникновение ПКП связано с нелинейными явлениями. Учитывая, что возникновение ПКП может быть связано и не связано с нелинейными явлениями, целесообразно разделить их на линейные и нелинейные. Такое деление позволит не только судить о том, участвуют или не участвуют нелинейные элементы в образовании побочных каналов, но и принимать меры по снижению восприимчивости радиоприемника к непреднамеренным помехам, учитывающие причины возникновения ПКП. Поэтому в дальнейшем будем называть:

линейными (ЛПКП) побочные каналы приема, которые образуются за счет взаимодействия в смесителе первой гармоники воздействующего сигнала (р=1) с первой гармоникой сигнала гетеродина (п=1) и всеми его побочными колебаниями; в радиоприемнике прямого усиления ЛПКП отсутствуют;

нелинейными (НПКП) побочные каналы приема, которые образуются в результате возникновения на нелинейных элементах радиоприемника гармоник воздействующего сигнала (р>1), удовлетворяющих частотным условиям их прохождения на выход радиоприемника; НПКП имеются как в супергетеродинных, так и в радиоприемниках прямого усиления.

Определим средние частоты побочных каналов приема. Для супергетеродинного радиоприемника, положив в (1.1) fпкп = fс и приняв fпч за среднюю частоту полосы пропускания усилителя промежуточной частоты (УПЧ), получим

  (1.10)

где fкг - частоты любых колебаний гетеродина.

На практике к числу более опасных с точки зрения нарушения ЭМС РЭС относятся ПКП, образуемые за счет взаимодействия мешающего сигнала и его гармоник с основным сигналом гетеродина и его гармониками. Для этого случая из (1.10) получим

 (1.11)

при этом сумму р+п называют порядком ПКП.

Выразим fпкп через частоту настройки радиоприемника fр, введя предварительно следующее соотношение:г = fр + ε fпч,  (1.12)

где ε = 1 при верхней и ε = -1 при нижней настройке гетеродина.

Подставляя (1.12) в (1.11), будем иметь

 (1.13)

Из (1.13) при п = 0 и n = 1 получим

 (1.14), (1.15)

Побочные каналы приема со средними частотами, определяемыми соотношениями (1.14), (1.15), возникают за счет мешающих сигналов, являющихся субгармониками сигналов с частотами fпч, fр и fзкп.

Для радиоприемника прямого усиления, полагая в (1.9) в качестве средней частоты ПКП частоту настройки fр, получаем

пкп = fр/p.  (1.16)  

Таким образом, радиоприемник прямого усиления имеет ПКП только на субгармониках частоты его настройки, т. е. только НПКП.

Из числа ПКП вида (1.13) наиболее восприимчивы к помехам каналы, имеющие сравнительно небольшую расстройку по частоте относительно ОКП. Это объясняется тем, что если не принимаются специальные меры, сигналы, воздействующие по таким каналам, недостаточно ослабляются каскадами радиоприемника, предшествующими смесителю. К числу указанных относятся: зеркальный канал (р=п=1); каналы, образуемые в результате взаимодействия гармоник сигнала и гетеродина одинакового, но невысокого порядка (р= п=2,3); каналы, соответствующие ближайшим субгармоникам частоты настройки радиоприемника и частоты зеркального канала (n=1, р=2), и канал приема на промежуточной частоте (п=0, р=1).

Ранее рассматривался случай однократного преобразования частоты. Но, как известно, на практике для снижения восприимчивости радиоприемника к непреднамеренным помехам, воздействующим по зеркальному каналу приема, нередко применяется двукратное и трехкратное преобразование частоты. С увеличением числа преобразований появляются условия для возрастания числа ПКП. Кроме того, широко применяется способ получения сигнала гетеродина с нужной частотой путем умножения частоты некоторого исходного колебания и смешивания полученных в результате этого вспомогательных колебаний. При этом, если фильтрация в цепях формирования сигнала гетеродина недостаточна, число ПКП увеличивается. Таким образом, из рассмотренного следует, что несовершенство характеристик приема радиоприемника, проявляющееся в наличии неосновных каналов приема (соседних и побочных), вредных с точки зрения ЭМС, обусловлено принципами построения и схемными решениями, применяемыми в них.

Однако воздействие мешающих сигналов на радиоприемник, будь то взаимные, индустриальные или контактные помехи, может быть связано не только с непосредственным проникновением их на выход радиоприемника по основному и неосновным каналам приема. Имеют место также более сложные случаи воздействия помех на радиоприемник, связанные, как и образование НПКП, с нелинейными процессами в радиоприемнике. При этом помехи могут как проникать, так и не проникать на выход, оказывая тем не менее и в последнем случае мешающее воздействие.

Реальные радиоприемники всегда имеют в своих трактах каскады с нелинейными амплитудными характеристиками. Нелинейность этих характеристик, помимо появления НПКП, приводит к так называемым явлениям интермодуляции, перекрестных искажений и блокированию полезного сигнала в радиоприемнике.

Интермодуляцией в радиоприемнике называется возникновение помех на его выходе при действии на входе двух и более сигналов, частоты которых не совпадают с частотами основного и побочных каналов приема радиоприемника. Явление интермодуляции и сопровождающие его интермодуляционные помехи возникают за счет нелинейного взаимодействия в радиоприемнике двух и более мешающих сигналов и их гармоник либо между собой, либо между собой и затем с сигналом гетеродина и его гармониками. При этом как гармоники, так и продукты взаимодействия указанных составляющих образуются за счет нелинейных свойств высокочастотных каскадов (в супергетеродинном радиоприемнике до преобразователя частоты включительно).

При однократном преобразовании частоты условие возникновения интермодуляционных помех в общем виде можно записать как

 (1.17)

где f1, f2,..., fi - частоты мешающих сигналов; p1, p2,..., pi - числа, соответствующие при pi≥1 номерам гармоник; pi могут также принимать значение 0, что соответствует отсутствию сигнала.

Интермодуляционные помехи могут проникать в тракт УПЧ по различным каналам приема как при наличии, так и при отсутствии полезного сигнала. Отметим, что порядком интермодуляции и соответственно порядком интермодуляционных помех (составляющих) называется сумма коэффициентов pi участвующих в интермодуляции мешающих сигналов.

При воздействии на радиоприемник большого числа внешних мешающих сигналов число составляющих интермодуляционных помех, удовлетворяющих условию (1.17), может быть велико. Поэтому в общем случае картина образования интермодуляционных помех оказывается трудно обозримой. Однако на практике анализировать ее целиком нет необходимости и достаточно ограничиться двумя-тремя воздействующими сигналами и их гармониками не выше второй. Дело в том, что, во-первых, при реально ограниченном общем числе мешающих сигналов, воздействующих на радиоприемник, вероятность образования интермодуляционной помехи с увеличением числа участвующих в интермодуляции сигналов будет уменьшаться и, во-вторых, с увеличением номеров гармоник мешающих сигналов, участвующих в интермодуляции, уровень интермодуляционной помехи, а значит, и ее опасность будут снижаться.

По этим причинам обычно ограничиваются рассмотрением случая, когда на супергетеродинный радиоприемник воздействуют два мешающих сигнала. Для этого случая

 (1.18)

Для двух мешающих сигналов, воздействующих, например, на радиоприемник со сравнительно низкой fпч(fпч < fрн, где fрн - нижняя частота диапазона перестройки), можно отметить наиболее характерные и опасные интермодуляционные помехи следующих видов:

- f2 = fP (1.19а)    

(рис. 1.3, а); этот вид интермодуляционных помех может иметь место как в супергетеродинном радиоприемнике, так и в радиоприемнике прямого усиления;

Рис. 1.3 - Зависимость коэффициента передачи преселектора радиоприемника от частоты[1]

Особенности и опасность показанных на рис. 1.3 случаев образования интермодуляционных помех определяются тем, что, во-первых, исходные мешающие сигналы могут недостаточно ослабляться в тракте, который предшествует нелинейному каскаду (особенно если этот каскад является первым в радиоприемнике) и в котором происходит интермодуляция, и, во-вторых, образовавшиеся интермодуляционные составляющие проходят на выход по каналам приема, имеющим сравнительно высокую восприимчивость к помехам. Это, однако, не означает, что совершенно исключается возможность возникновения интермодуляционных помех других видов и прохождения их в тракт УПЧ по другим побочным каналам приема.

Перекрестным искажением в радиоприемнике называется изменение структуры спектра сигнала на выходе радиоприемника при действии сигнала и модулированной радиопомехи, частота которой не совпадает с частотами основного и побочных каналов радиоприемника. Перекрестные искажения могут быть амплитудными и фазовыми.

Возникновение перекрестных искажений в радиоприемниках можно пояснить следующим образом. При наличии во входной части радиоприемника каскадов с нелинейными амплитудными и амплитудно-фазовыми характеристиками комплексный коэффициент передачи ее оказывается зависящим от амплитуды воздействующих сигналов. В результате этого при воздействии амплитудно-модулированной помехи полезный сигнал в общем случае одновременно модулируется по амплитуде и фазе, т. е. появляются амплитудные и фазовые искажения, которые во временном представлении выходного сигнала проявляются в виде его модуляции, а в частотном - в виде новых спектральных составляющих. Если нелинейной является только амплитудная или только амплитудно-фазовая характеристика, будет иметь место один из видов перекрестных искажений: амплитудные или фазовые. Из сказанного следует, что при перекрестных искажениях сам мешающий сигнал не проникает на выход радиоприемника и его мешающее воздействие проявляется в искажении полезного сигнала.

Для приемников амплитудно-модулированных сигналов существенное значение имеют амплитудные искажения и, как правило, на качество приема не оказывают заметного влияния фазовые искажения. Для приемников сигналов с угловой модуляцией - наоборот, а в случае однополосной модуляции могут быть мешающими оба вида искажений.      

Блокированием в радиоприемнике называется изменение уровня сигнала или отношения сигнал-шум на выходе радиоприемника при действии радиопомехи, частота которой не совпадает с частотами основного и побочных каналов приема радиоприемника. Явление блокирования может иметь место как совместно с перекрестными искажениями, так и без них. Последний случай наблюдается при воздействии на радиоприемник немодулированной помехи. Причиной блокирования является наличие каскадов с нелинейной амплитудной характеристикой, в результате чего при воздействии помехи с уровнем, при котором проявляются нелинейные свойства какого-то каскада (или каскадов), коэффициент усиления каскада, а значит, и радиоприемника изменяется. Блокирование происходит, как правило, во входных каскадах (в супергетеродинном радиоприемнике до преобразователя частоты включительно) и может приводить как к увеличению, так и к уменьшению коэффициента передачи нелинейных каскадов. Однако практически чаще всего блокирование проявляется как уменьшение коэффициента усиления, а значит, и уменьшение сигнала и отношения сигнал-шум на выходе радиоприемника. Это приводит к ухудшению качества функционирования РЭС.

Блокирование является типичным случаем воздействия помех, когда сами помехи ни в каком виде не проникают на выход радиоприемника и, тем не менее, оказывают мешающее воздействие. При интермодуляции, перекрестных искажениях, блокировании образовании нелинейных побочных каналов приема проявляется техническое несовершенство радиоприемников, состоящее в том, что их каскады являются нелинейными или, по крайней мере, недостаточно линейными, чтобы при практически возможных уровнях помех их нелинейные свойства не проявлялись.

Все рассмотренные случаи воздействия взаимных, индустриальных и контактных помех на радиоприемник, вызывающие отрицательные последствия, в принципе возможны в широкой полосе частот, значительно превышающей полосу пропускания основного канала приема и тем большей, чем хуже избирательность высокочастотной части радиоприемника и линейность ее каскадов, а также чем выше уровень мешающих сигналов в этой полосе.

Как и для радиопередатчиков, отрицательно на ЭМС РЭС сказывается нестабильность частот принимаемых сигналов и сигнала гетеродина, а также нестабильность ширины полосы пропускания УПЧ. Это приводит к необходимости расширения полос пропускания основного, а значит, и побочных каналов приема радиоприемников, и в конечном итоге - к дополнительной нерациональной загрузке ДРЧ и ухудшению ЭМС РЭС.

НЕСОВЕРШЕНСТВО ЭКРАНИРОВКИ РАДИОПЕРЕДАТЧИКОВ, РАДИОПРИЕМНИКОВ И ИХ АНТЕНН

Из-за недостаточной экранировки передатчиков, приемников, фидерных или волноводных трактов, цепей питания, управления и коммутации, а также недостаточной фильтрации в последних РЭС могут излучать и принимать сигналы помимо антенны. При этом диаграммы излучения и приема отличаются случайным характером.

Излучения передающих устройств РЭС помимо антенны могут оказывать мешающее воздействие на другие радиоэлектронные средства, т. е. являться взаимными помехами. Проникновение мешающих сигналов на вход приемника или его отдельных каскадов, минуя антенну, будет приводить к таким же нежелательным последствиям, как и воздействие их через антенну. При размещении РЭС на объектах зачастую для их электропитания используются общие источники, а для управления - общие цепи. И те и другие также могут служить каналами для проникновения в приемники РЭС помех

Некоторые присущие антеннам свойства также отрицательно влияют на ЭМС РЭС. Во-первых, широкие полосы пропускания реальных передающих и приемных антенн обеспечивают высокий уровень сигналов при излучении и приеме в полосе частот, составляющей несколько октав. Во-вторых, антенны направленного действия нередко имеют такие уровни боковых и задних лепестков, при которых излучаемые и принимаемые ими мешающие сигналы ослабляются недостаточно. При этом диаграммы направленности антенн в рабочей полосе частот и за ее пределами обычно существенно отличаются. В результате не обеспечивается необходимая пространственная селекция источников помех как в рабочей полосе частот, так и за ее пределами.

ТЕХНИЧЕСКОЕ НЕСОВЕРШЕНСТВО ВЫСОКОЧАСТОТНОЙ АППАРАТУРЫ, ЭЛЕКТРИЧЕСКИХ УСТРОЙСТВ И УСТАНОВОК. КОНТАКТЫ, ПЕРЕИЗЛУЧАЮЩИЕ ЭЛЕКТРОМАГНИТНЫЕ КОЛЕБАНИЯ

Электромагнитные поля в пространстве помимо РЭС создает многочисленное и широко применяемое оборудование в виде высокочастотной аппаратуры, электрических устройств и установок, а также переменные контакты, находящиеся в поле излучения радиопередающих устройств РЭС. Поля, создаваемые источниками индустриальных и контактных помех, не предназначены для передачи какой-либо информации, а лишь дополнительно загружают РЧД, выступая при этом в качестве мешающих для РЭС.

Источники индустриальных помех могут либо быть внешними по отношению к РЭС и ни функционально, ни по месту размещения не связанными с ними, либо непосредственно входить в состав аппаратуры или оборудования РЭС (гетеродины радиоприемников, источники питания, переключающие и коммутирующие устройства и т. п.), а также располагаться на тех же объектах, что и РЭС.

Возникновение излучений высокочастотной аппаратуры (в том числе излучений гетеродинов радиоприемников), электрических устройств и установок, создающих индустриальные помехи РЭС, связано, с одной стороны, с процессами протекания токов высокой частоты или содержащих высокочастотные составляющие (в том числе в виде электрических разрядов, наблюдаемых, например, в высоковольтных линиях электропередач, в различных контактных устройствах при их прерывании, в коллекторных электродвигателях, в системах зажигания двигателей внутреннего сгорания, в сварочных аппаратах и т. п.), а с другой - с недостаточной фильтрацией в цепях источников излучений и недостаточной экранировкой этих цепей и источников индустриальных помех в целом. Таким образом, причинами возникновения индустриальных помех являются технические недостатки высокочастотной аппаратуры, электрических устройств и установок, приводящие к излучениям в РЧД.

Индустриальные помехи, создаваемые многими источниками, бывают весьма широкополосными. При этом для электрических устройств и установок самого различного назначения регламентируются только уровни помех, создаваемых этими источниками. Для высокочастотной аппаратуры и установок регламентированы не только уровни, но и полосы частот, в которых они могут создавать индустриальные помехи РЭС.

При размещении РЭС на подвижных объектах и особенно при работе их в движении наблюдаются контактные помехи, уровни которых, как показывает практика, могут быть настолько высокими, что радиоприем становится невозможным. Подвижные объекты (автомобили, поезда, самолеты, корабли и т. п.), на которых размещаются РЭС, содержат большое число соединенных между собой металлических элементов, образующих систему контактов. Одни из них благодаря жесткому или надежному соединению элементов оказываются постоянными, другие же при движении, особенно в случае нежесткого соединения элементов объекта, оказываются переменными. Имеются также контакты, сопротивления между которыми являются нелинейными.

Находясь в поле излучения передающего устройства РЭС, переменные контакты и контакты с нелинейными сопротивлениями создают поля вторичного излучения, в спектре которых появляются составляющие, отличные от спектра передающего устройства. Эти составляющие и образуют контактные помехи приемным устройствам РЭС, размещенным на подвижном объекте. Считается, что основную роль в создании контактных помех играют переменные контакты, поскольку эти помехи проявляются практически только в движении.

Спектры частот контактных помех сосредоточены вблизи частот основного и неосновных излучений передающего устройства. При одновременной работе нескольких передающих устройств образуются также комбинационные составляющие, расширяющие спектр контактных помех. Уровень и структура контактных помех зависит от многих факторов, к числу которых относятся:

мощности, частоты и спектры основного и неосновных излучений передающего устройства;

число одновременно работающих на объекте передающих устройств;

геометрические размеры, форма и конструктивные особенности объекта;

материал и состояние облучаемых конструкций, образующих переменные контакты (сопротивления их зависят, например, от степени загрязненности, электрических свойств смазки между трущимися элементами);

скорость движения объекта;

дорожные и погодные условия.

Возникновение контактных помех зачастую связано с техническими недостатками как конструкций самих объектов, так и соединений между их элементами.

.2 Технические характеристики радиоэлектронных средств, влияющие на их электромагнитную совместимость

Из изложенного выше следует, что большинство причин возникновения проблемы ЭМС РЭС обусловлено техническим несовершенством самих РЭС. Как источники и объекты воздействия непреднамеренных помех они имеют специфические характеристики, которые называют техническими характеристиками РЭС, влияющими на их ЭМС.

Учитывая особенности различных технических характеристик РЭС, влияющих на ЭМС, целесообразно разделить их на классы, приняв за основу деления два признака: отношение к РЭС как источнику и объекту воздействия непреднамеренных помех и связь с обеспечением функционирования РЭС. В соответствии с первым признаком к характеристикам радиопередающего устройства, влияющим на ЭМС РЭС, относятся характеристики излучения в широкой полосе частот, т. е. его характеристики как источника непреднамеренных помех (взаимных и индустриальных), а также характеристики восприимчивости к излучениям, т. е. его характеристики как объекта воздействия непреднамеренных помех, приводящие, например, к возникновению интермодуляционных и шумовых излучений, либо к иным отрицательным последствиям.

По этому же признаку к характеристикам радиоприемного устройства, влияющим на ЭМС РЭС, относятся характеристики приема в широкой полосе частот, т. е. его характеристики как объекта воздействия непреднамеренных помех, а также характеристики излучения, т. е. его характеристики как источника индустриальных помех.

В соответствии со вторым признаком технические характеристики РЭС, влияющие на их ЭМС, можно разделить на связанные и не связанные с обеспечением функционирования РЭС. К первым относятся все характеристики, от которых зависит решение задач, возлагаемых на РЭС. Те характеристики, которые влияют на ЭМС, но не являются необходимыми для решения РЭС своих задач, будем относить к несвязанным с обеспечением функционирования РЭС.

Перечень технических характеристик РЭС, влияющих на ЭМС, составленный на основе ГОСТ 23611-79 и ГОСТ 23872-79, включает:

для передающих устройств

рабочие частоты;

основное радиоизлучение через антенну;

главный лепесток диаграммы направленности антенны (ДНА) при радиоизлучении на рабочих частотах;

временной режим работы на излучение;

боковые и задние лепестки ДНА при радиоизлучении на рабочих частотах;

внеполосное и побочное радиоизлучение через антенну;

ДНА на частотах внеполосных и побочных излучений;

радиоизлучение помимо антенны;

восприимчивость к радиопомехам, вызывающим интермодуляционные радиоизлучения;

восприимчивость к помехам по цепям питания, управления, коммутации, заземления;

нестабильность частоты радиоизлучения;

электромагнитное излучение оборудования (индустриальные помехи);

для приемных устройств

рабочие частоты;

характеристика частотной избирательности (ХЧИ) по основному каналу приема;

главный лепесток ДНА при приеме на рабочих частотах;

временной режим работы на прием;

боковые и задние лепестки ДНА при приеме на рабочих частотах;

ХЧИ по соседнему и побочным каналам приема;

ХЧИ по блокированию;

ХЧИ по перекрестным искажениям;

ХЧИ по интермодуляции;

ДНА на частотах соседних и побочных каналов приема, блокирования, перекрестных искажений и интермодуляции;

восприимчивость к радиопомехам помимо антенн;

восприимчивость к помехам по цепям управления, питания, коммутации и заземления;

нестабильность частоты гетеродина;

радиоизлучение гетеродина (индустриальные помехи);

электромагнитное излучение оборудования (индустриальные помехи).

.3 Основные пути обеспечения электромагнитной совместимости радиоэлектронных средств и систем

Обеспечение ЭМС радиоэлектронных средств и систем сводится к обеспечению такого состояния той или иной функционирующей совокупности РЭС, при котором излучения самих РЭС, источников индустриальных и контактных помех не приводят к нарушению нормальной работы радиоэлектронных средств и систем, входящих в состав этой совокупности. При этом основу обеспечения ЭМС РЭС и систем составляет борьба с взаимными, индустриальными и контактными помехами. Это означает, что ЭМС может быть обеспечена, если эти помехи либо вообще будут отсутствовать, либо, что более реально, их уровни или уровни полезных сигналов (в случае блокирования) на входах оконечных устройств РЭС, находящихся под воздействием помех, не будут нарушать нормальной работы последних. Такое состояние достигается:

наделением самих РЭС свойствами, обеспечивающими снижение или исключение взаимных помех;

максимальным снижением уровня помех, создаваемых источниками индустриальных и контактных помех;

снижением восприимчивости РЭС к непреднамеренным помехам;

обеспечением таких условий работы РЭС, при которых непреднамеренные помехи сводятся к минимуму или исключаются вообще.

Для достижения такого состояния используются технические и организационные способы. К техническим относятся способы обеспечения ЭМС, реализуемые при разработке и изготовлении РЭС и систем, высокочастотной аппаратуры, электрических устройств и установок в виде технических решений, включающих в числе других соответствующее оборудование мест их размещения, а при эксплуатации - в виде дополнительных технических решений или изменений, вносимых в имеющиеся.

К организационным способам обеспечения ЭМС РЭС относятся:

реализуемые при планировании использования радиочастотного спектра и состоящие в распределении полос радиочастот между радиослужбами различных назначений, выделении и присвоении радиочастот вновь разрабатываемым и модернизируемым РЭС, разработке рекомендаций и норм (стандартов), направленных на обеспечение ЭМС РЭС;

реализуемые при проектировании и изготовлении РЭС, а также различной высокочастотной аппаратуры, электрических устройств и установок и представляющие контроль выполнения рекомендаций и норм (стандартов), направленных на обеспечение ЭМС РЭС;

реализуемые в процессе эксплуатации РЭС и состоящие в распределении радиочастот между РЭС внутри радиослужб и назначении рабочих и запасных радиочастот конкретным РЭС, а также в таком размещении РЭС на местности (или в пространстве) и в такой организации их работы, при которых непреднамеренные помехи им сводятся к необходимому минимуму.

2. Обзор современных радиосистем

Беспроводная передача данных в настоящее время переживает своеобразный бум. Если с речевым обменом все в достаточной степени понятно, он нужен всем, везде и всегда, то в области беспроводной передачи данных ситуация не столь однозначна. Крупнейшие разработчики технологий и производители элементной базы лихорадочно пытаются определить тенденции развития рынка, то есть интересы потребителя. Возникают и тихо угасают технологии и связанное с ними производство компонентов, вопросов много больше, чем ответов.

Сети передачи данных могут быть классифицированы следующим образом[2]:

автономные локальные сети (потоки данных территориально замкнуты в пределах предприятия, офиса, дома, квартиры);

локальные сети с выходом в транспортную (первичную) сеть (часть потребителей имеет выход за пределы локальной сети, например, в Интернет);

сети непосредственного доступа потребителей в транспортную сеть.

Подобная упрощенная классификация в данном случае вполне достаточна (см.рис.2.1).

Рис. 2.1 - Классификация сетей передачи данных

Современные телекоммуникационные сети строятся и оптимизируются согласно двухуровневой иерархии: магистральные транспортные сети и сети доступа, что гораздо экономичнее и удобнее для построения открытых систем и доставки интегрированных услуг. При строительстве сети до 90% всей стоимости приходится на ее нижнее звено, т. е. на местную сеть, или сеть доступа. Для решения проблемы «последней мили » сегодня предложен целый ряд технологий. «Последняя миля » - это часть телекоммуникационной сети связи общего пользования, расположенная между точкой распределения ресурса первичной сети и абонентским оборудованием. Кроме традиционных проводных технологий для распределения информации используются беспроводные системы абонентского доступа и ряд других технологий. Диапазон телекоммуникационных услуг, предоставляемых сейчас конечным пользователям, достаточно широк: передача данных, доступ в Интернет, телефония, интерактивное видео, связь с подвижными объектами. Каждую из услуг можно подразделить далее в соответствии с предлагаемым уровнем производительности и качества.

Типовая структура системы абонентского доступа, как правило, включает в себя сеть доступа (access network) и сеть распределения (distribution network).

Далее будем использовать следующие определения (см.рис.2.1):

абонентский терминал (АТ) - приемно-передающее радиоустройство небольших размеров с внутренней или внешней антенной. Оконечное пользовательское оборудование подключается непосредственно к абонентскому терминалу и через радиоканал имеет доступ к сети связи;

точка доступа (ТД) - устройство, обеспечивающее связь абонентов сети доступа с телекоммуникационной (первичной) сетью доступа;

точка распределения (ТР) - элемент первичной сети, обеспечивающий организацию сети распределения с точками доступа.

Термин «сеть распределения » подразумевает часть сети между точкой доступа и точкой распределения. Сеть распределения может отсутствовать, если сеть доступа начинается непосредственно от точки распределения ресурса транспортной сети. В точке доступа должна обеспечиваться реализация протоколов сети доступа при взаимодействии с абонентскими терминалами, протоколов сети общего пользования при работе с узлом коммутации, а также взаимное конвертирование этих протоколов и управление потоком данных в системе абонентского доступа. На практике эти функции выполняют маршрутизаторы (в сетях передачи данных), концентраторы и базовые станции (в сотовых сетях и системах беспроводного абонентского доступа) и некоторые другие устройства. Как для сети доступа, так и для сети распределения могут быть использованы различные технологии; можно развертывать и гибридные сети. Допустимы разнообразные конфигурации сетей, которые зависят от требуемой пропускной способности, стоимости планируемой сети, топологии, ограничений, вводимых различными регулирующими организациями и т.д.

Классификация систем беспроводного абонентского доступа (WLL (Wireless Local Loop) или RLL (Radio Local Loop)) также может быть проведена по целому ряду параметров - структуре, используемому диапазону частот, содержанию трафика и т.п.

Общепринятой классификации систем WLL на сегодняшний день не существует, однако возможна некоторая систематизация по основным характеристикам (см.табл.2.1, [2]).

Табл. 2.1 - Систематизация характеристик WLL

Признак

Параметры, типы, характеристики

Способ передачи

аналоговые, цифровые

Пользовательский тип

фиксированный доступ, мобильный доступ

Способ реализации

гибридный (частично проводной), беспроводной

Структура

сотовые, на базе РРЛ («точка - точка »), системы «точка - многоточка »

Метод множественного доступа

множественный доступ с частотным (FDMA), временным (TDMA) и кодовым (CDMA) разделением



Основное назначение систем «точка - точка » в инфраструктуре «последней мили » - это подключение небольших сосредоточенных систем связи (локальной сети, учрежденческой АТС и т.д.) к корпоративным сетям, сетям связи общего пользования или телекоммуникационным узлам. Сотовые системы и системы «точка - многоточка » применяются в тех случаях, когда нужно подсоединить к узлу системы связи разрозненные группы абонентов. Существует широкое многообразие WLL-систем этих двух типов, что вынуждает классифицировать системы с сотовой структурой и структурой «точка - многоточка » по характеру их трафика. Можно выделить три основных класса таких систем:

системы абонентского доступа к сетям передачи данных;

системы для подключения абонентов к телефонной сети общего пользования;

системы интегрального типа.

В свою очередь, системы абонентского доступа к сетям передачи данных можно разделить на следующие подклассы:

системы, ориентированные на обслуживание абонентов с небольшой индивидуальной интенсивностью коротких транзакций (системы мониторинга различного назначения, платежные системы безналичного расчета и др.);

системы, ориентированные на обеспечение доступа к сетевым информационным ресурсам (Интернет, услуги ISDN, удаленный доступ к локальным компьютерным сетям и др.).

Радиосистемы для подключения абонентов к телефонной сети общего пользования (ТФ-ОП) иногда еще называют «телефонными радиоудлинителями». Часто беспроводные «телефонные удлинители» предоставляют также услуги передачи данных и факсимильных сообщений.

Системы интегрального типа совмещают в себе системы первых двух типов и являются более универсальными. Кроме обеспечения телефонной связи, системы интегрального типа могут обслуживать абонентов, передающих данные и видеоинформацию. Причем абоненты, передающие данные, могут работать в широком диапазоне скоростей передачи - от 1200 бит/с до десятков и даже сотен килобит в секунду. Неотъемлемой задачей таких систем является также обеспечение доступа абонентов к услугам цифровых сетей связи с интеграцией служб (ISDN).

Не вдаваясь в подробности, можно отметить, что передача данных, как один из видов связи, обладает самыми высокими требованиями к достоверности передаваемой информации. Передача файлов, например, обычно не терпит ошибок вообще.

Посмотрим, что могут предложить нам существующие технологии и компоненты. Для ориентации используем рис.2.2, на котором изображено примерное позиционирование ряда технологий беспроводной передачи данных в координатах «дальность связи - скорость передачи», [2].

Рис. 2.2 - Позиционирование ряда технологий беспроводной передачи данных

Дальность связи изменяется от единиц метров до единиц километров, скорость передачи данных изменяется от десятков килобит в секунду до десятков мегабит в секунду.

Варианты технологии Bluetooth 1 и Bluetooth 2 отличаются классом мощности (см.более подробно соответствующий пункт). Аббревиатура HL2 означает технологию HiperLAN2, разрабатываемую ETSI (The European Telecommunications Stahdarts Institute - европейский институт стандартизации в области телекоммуникаций). Потребительские свойства технологий HL2 и IEEE802.11a близки. На рисунке не показана технология HomeRF, которая в своем первом варианте со скоростью передачи 1,6 Мбит/с близка к Bluetooth, а в варианте HomeRF 2.0 со скоростью передачи 10 Мбит/с конкурирует с IEEE802.11b.Справа от рисунка приведены соответствующие сокращения сетевых технологий, в которых могут использоваться рассматриваемые технологии. Это: PAN (относительно новое понятие - Personal Area Network), LAN (локальные вычислительные сети), и WAN (распределенные). LMDS (Local Multipoint Distribution Service) означает сеть распределения данных (сейчас применяется в сотовых системах телевидения). В данной позиции может быть размещена и MMDS (Multipoint Multichannel Distribution Service)- многоканальная система распределения данных.

Из рисунка явно следует распределение технологий по различным потребительским нишам и наличие конкурирующих технологий, которые обычно имеют американское и европейское происхождение. Технологии, размещенные рядом друг с другом, также могут быть частично взаимозаменяемыми, то есть они скорее дополняют друг друга, чем конкурируют.

Используемые частотные диапазоны и их регулирование

На рис.2.2 отсутствует информация об используемых частотных ресурсах. Вообще говоря, для передачи данных могут использоваться как диапазоны частот, требующие государственного разрешения (а вместе с ним и оплаты лицензирования), так и нелицензируемые интервалы частот, относительно свободные для их использования. Обычно это относится к ограничению допустимой плотности электромагнитного поля в дальней зоне, которая определяется мощностью передатчика и параметрами направленности антенн. Сейчас характерным является широкое использование нелицензируемых диапазонов частот. Потенциально это неизбежно приведет (и приводит) к возникновению проблем как внутрисистемной, так и межсистемной ЭМС.

К данному типу частотных ресурсов относится ISM (Industrial, Scientific, and Medical Equipment) - диапазон частот, который предназначен для использования в нелицензируемом оборудовании (промышленном, научном, медицинском, домашнем или аналогичном), за исключением приложений в области связи. Оборудование должно генерировать и использовать радиочастотную энергию локально. В США данный диапазон включает в себя ряд интервалов: 915,0 ± 13 МГц; 2450 ±50 МГц; 5,8 ± 0,075 ГГц; 24,125 ± 0,125 ГГц. Европейский вариант имеет некоторые отличия.

Сейчас интервал частот 2450 МГц широко используется для организации систем передачи данных на короткие расстояния (например, беспроводных локальных сетей WLAN). В России разрешено применение на вторичной основе интервала 2400 -2483,5 МГц (вторичность означает невозможность применения при возникновении помех системам, использующим данный диапазон на первичной основе). В настоящее время в соответствии с решением ГКРЧ от 29.04.2002 (протокол №18/3) «О порядке использования на территории Российской Федерации внутриофисных систем передачи данных в полосе частот 2400 -2483,5 МГц» разрешается использование юридическими и физическими лицами полосы частот для организации на территории Российской Федерации внутриофисных систем беспроводной передачи данных на вторичной основе и при условии непредъявления претензий на возможные помехи от РЭС военного и гражданского назначения, а также от высокочастотных установок промышленного, научного, медицинского и бытового применения, использующих указанную полосу частот. При этом следует учитывать, что для этих систем не требуется согласований с радиочастотными органами Министерства обороны Российской Федерации и другими (при необходимости) министерствами и ведомствами России. Для получения разрешения на использование радиочастот для эксплуатации внутриофисных систем передачи данных заявитель направляет в адрес ФГУП «Главный радиочастотный центр» радиочастотную заявку по форме, указанной в приложении 1 решения ГКРЧ от 29.04.2002 (протокол № 18/3). При отсутствии замечаний по заявке ФГУП «Главный радиочастотный центр» готовит проекты разрешительных документов. После оплаты работ по экспертизе заявки заявителю выдается разрешение на использование полосы частот 2400 -2483,5 МГц для эксплуатации РЭС внутриофисных систем. На основании этого документа заявитель получает в соответствующем ФГУП Радиочастотного центра федерального округа разрешение на эксплуатацию РЭС.

Интервал 5,8 ГГц совпадает с частотами, выделенными для систем U-NII (Unlicensed National Information Infrastructure - нелицензируемая Национальная информационная инфраструктура), обеспечивающими быстрое развертывание систем при намного меньших затратах, чем в случае диапазонов, требующих лицензирования. В январе 1997 года Федеральная комиссия по связи (FCC) США выделила для услуг U-NII три диапазона частот суммарной шириной 300 МГц в диапазоне 5 ГГц: диапазон U-NII 1 (5,15 -5,25 ГГц) и диапазон U-NII 2 (5,25 -5,35 ГГц), предназначенные для локальных сетей и других приложений связи на коротких расстояниях, и диапазон U-NII 3 (5,725 -5,825 ГГц) для сетей, требующих большей дальности связи. В России частоты диапазона 5,725 -5,875 ГГц могут использоваться при том условии, что уровень радиопомех от источников излучений не будет превышать допускаемый уровень индустриальных радиопомех.

Более того, FCC заявила о необходимости изменить саму методологию распределения частотных диапазонов. Главная идея - распределять спектр динамически, так как отдельные частотные интервалы используются очень интенсивно, а другие практически свободны. Предполагается также учесть в лицензировании не только сами частоты, но и время их занятия, мощность излучения. Рекомендуется также проработать вопрос более эффективного анализа помех, установить максимальный уровень мощности передачи в зависимости от диапазонов частот и уровня шумов. И, наконец, предлагается ввести три вида лицензирования частотных ресурсов: эксклюзивное пользование, общее пользование и контролируемое пользование

Краткая характеристика технологий

Приведем краткую характеристику технологий беспроводной передачи данных, а затем осуществим их сравнительный анализ. Традиционно в данной области телекоммуникаций (и не только здесь) конкурируют американские стандарты IEEE, европейские стандарты ETSI и фирменные стандарты.

Технология ZigBee продвигается организацией ZigBee Alliance, ставящей своей целью обеспечение верхних слоев семиуровневой модели стеком протоколов (от сетевого уровня до уровня приложений), включая профили приложений и инженерную реализацию компонентов данной технологии. К разработке соответствующего стандарта низкоскоростной передачи данных подключился комитет IEEE 802.15.4, разрабатывающий уровни MAC (управление доступом к среде передачи - media access control) и PHY (уровень передачи сигналов в физической среде) семиуровневой модели. Именно первый, физический уровень (PHY) в основном определяет стоимость системы, скорости передачи данных, потребляемую мощность, габариты и диапазон используемых частот.

Назначение данной технологии - обеспечить компонентами системы автоматизации и дистанционного управления различного назначения. При этом для АТ была поставлена цель обеспечения их автономным батарейным питанием двумя элементами типа АА в течение времени от полугода до двух лет. Варианты применения устройств, построенных на основе данной технологии: беспроводные системы обеспечения безопасности жилища от несанкционированного проникновения в них; удаленное управление кондиционерами, системой освещения помещений и оконными жалюзи; управление какими-либо устройствами инвалидами, пожилыми людьми и детьми; универсальное управление аудио и видеоустройствами; беспроводные клавиатура, мышь ПК, пульт управления игровой приставкой; беспроводные детекторы задымления; автоматизация и управление элементами промышленных и жилых помещений (освещением и т.п.).

Предусматривается разработка шлюзов для взаимодействия данных систем с другими сетями передачи данных.

Используемые частоты: ISM (2,4 ГГц со скоростью 250 кбит/с), европейский диапазон 868 МГц (20 кбит/с) и американский диапазон 915 МГц (40 кбит/с).

Технология Bluetooth - это технология передачи данных по радио на малые расстояния (до 10 м, с возможностью расширения до 100 м), позволяющая осуществлять связь беспроводных телефонов, компьютеров и различной периферии, не требуя прямой видимости. По мощности радиопередатчика аппаратура делится на три класса: первый (максимальная выходная мощность 100 мВт), второй (2,5 мВт) и третий (1 мВт).

Разработку технологии начала компания Ericsson Mobile Communications. Первоначальной ее целью было получение нового радиоинтерфейса с низким уровнем энергопотребления и невысокой стоимостью, который позволил бы устанавливать связь между сотовыми телефонами и гарнитурами. Кроме того, новый интерфейс предназначался для передачи данных между ПК, между ПК и его периферией, между ноутбуком и сотовым телефоном и т.п.

В феврале 1998 года. Ericsson совместно с Intel, IBM, Toshiba и Nokia сформировали специальную группу по разработке и продвижению технологии под названием Bluetooth SIG (Special Interest Group). Эта технология полностью открыта, а поэтому любая компания, подписавшая лицензионное соглашение, может войти в состав Bluetooth SIG и начать создавать продукты на ее основе.

Семейство стандартов IEEE 802.11х разрабатывается американским институтом IEEE. Стандарт IEEE 802.11, разработка которого была завершена в 1997 г., является базовым стандартом и определяет протоколы, необходимые для организации беспроводных локальных сетей (WLAN). Основные из них - протокол управления доступом к среде MAC (нижний подуровень канального уровня) и протокол PHY передачи сигналов в физической среде. В качестве последней допускается использование радиоволн и инфракрасного излучения. Стандартом 802.11 определен единственный подуровень MAC, взаимодействующий с тремя типами протоколов физического уровня, соответствующих различным технологиям передачи сигналов - по радиоканалам в диапазоне 2,4 ГГц с широкополосной модуляцией с прямым расширением спектра (DSSS) и ППРЧ (FHSS), а также с помощью инфракрасного излучения. Спецификациями стандарта предусмотрены два значения скорости передачи данных - 1 и 2 Мбит/с. По сравнению с проводными ЛВС Ethernet-возможности подуровня MAC расширены за счет включения в него ряда функций, обычно выполняемых протоколами более высокого уровня, в частности, процедур фрагментации и ретрансляции пакетов. Это вызвано стремлением повысить эффективную пропускную способность системы благодаря снижению накладных расходов на повторную передачу пакетов.

В качестве основного метода доступа к среде стандартом 802.11 определен механизм CSMA/CA (Carrier Sense Multiple Access with Collision Avoidance - множественный доступ с обнаружением несущей и предотвращением столкновения пакетов).

Управление питанием. Для экономии энергоресурсов мобильных рабочих станций, используемых в беспроводных ЛВС, стандартом 802.11 предусмотрен механизм переключения станций в так называемый пассивный режим с минимальным потреблением мощности.

Архитектура и компоненты сети. В основу стандарта 802.11 положена сотовая архитектура, причем сеть может состоять как из одной, так и нескольких ячеек. Каждая сота управляется базовой станцией, являющейся ТД, которая вместе с находящимися в пределах радиуса ее действия рабочими станциями пользователей образует базовую зону обслуживания. Точки доступа многосотовой сети взаимодействуют между собой через распределительную систему, представляющую собой эквивалент магистрального сегмента кабельных ЛВС. Вся инфраструктура, включающая точки доступа и распределительную систему, образует расширенную зону обслуживания. Стандартом предусмотрен также односотовый вариант беспроводной сети, который может быть реализован и без точки доступа, при этом часть ее функций выполняются непосредственно рабочими станциями.

Роуминг. Для обеспечения перехода мобильных рабочих станций из зоны действия одной точки доступа к другой в многосотовых системах предусмотрены специальные процедуры сканирования (активного и пассивного прослушивания эфира) и присоединения (Association), однако строгих спецификаций по реализации роуминга стандарт 802.11 не предусматривает.

Обеспечение безопасности. Для защиты WLAN стандартом IEEE 802.11 предусмотрен целый комплекс мер безопасности передачи данных под общим названием Wired Equivalent Privacy (WEP). Он включает средства противодействия несанкционированному доступу к сети (механизмы и процедуры аутентификации), а также предотвращение перехвата информации (шифрование).

Сейчас наибольшее распространение получил стандарт IEEE 802.11b. Благодаря высокой скорости передачи данных (до 11 Мбит/с), практически эквивалентной пропускной способности обычных проводных ЛВС Ethernet, а также ориентации на диапазон 2,4 ГГц, этот стандарт завоевал наибольшую популярность у производителей оборудования для беспроводных сетей. В окончательной редакции стандарт 802.11b, известный так же, как Wi-Fi (Wireless Fidelity), был принят в 1999 году. В качестве базовой радиотехнологии в нем используется метод DSSS с 8-разрядными последовательностями Уолша. Поскольку оборудование, работающее на максимальной скорости 11 Мбит/с, имеет меньший радиус действия, чем на более низких скоростях, стандартом 802.11b предусмотрено автоматическое понижение скорости при ухудшении качества сигнала. Как и в случае базового стандарта 802.11, четкие механизмы роуминга спецификациями 802.11b не определены. Дальнейшим развитием семейства IEEE 802.11x явился стандарт IEEE 802.11a, который предусматривает скорость передачи данных до 54 Мбит/с (редакцией стандарта, утвержденной в 1999 году, определены три обязательных скорости - 6, 12 и 24 Мбит/с и пять необязательных - 9, 18, 36, 48 и 54 Мбит/с). В отличие от базового стандарта, ориентированного на область частот 2,4 ГГц, спецификациями 802.11а предусмотрена работа в диапазоне 5 ГГц. В качестве метода модуляции сигнала выбрано ортогональное частотное мультиплексирование (OFDM). Наиболее существенное различие между этим методом и радиотехнологиями DSSS и FHSS заключается в том, что OFDM предполагает параллельную передачу полезного сигнала одновременно по нескольким частотам диапазона, в то время как технологии расширения спектра передают сигналы последовательно. В результате повышается пропускная способность канала и качество сигнала. К недостаткам 802.11а относятся более высокая потребляемая мощность радиопередатчиков для частот 5 ГГц, а также меньший радиус действия (оборудование для 2,4 ГГц может работать на расстоянии до 300 м, а для 5 ГГц - около 100 м).

Для полноты рассмотрения возможностей семейства IEEE802.11x представим краткую характеристику ряда других стандартов и их спецификаций. Стремясь расширить географию распространения сетей стандарта 802.11, IEEE разрабатывает универсальные требования к физическому уровню 802.11 (процедуры формирования каналов, псевдослучайные последовательности частот и т.д.). Соответствующий стандарт 802.11d пока находится в стадии разработки. Спецификации другого разрабатываемого стандарта 802.11е позволяют создавать мультисервисные беспроводные ЛС, ориентированные на различные категории пользователей, как корпоративных, так и индивидуальных. При сохранении полной совместимости с уже принятыми стандартами 802.11а и 802.11b он позволит расширить их функциональность за счет поддержки потоковых мультимедиа-данных и гарантированного качества услуг (QoS). Спецификации 802.11f описывают протокол обмена служебной информацией между точками доступа (Inter-Access Point Protocol, IAPP), что необходимо для построения распределенных беспроводных сетей передачи данных. Рабочая группа IEEE 802.11h рассматривает возможность дополнения существующих спецификаций 802.11 MAC и 802.11a PHY алгоритмами эффективного выбора частот для офисных и уличных беспроводных сетей, а также средствами управления использованием спектра, контроля излучаемой мощности и генерации соответствующих отчетов. Предполагается, что решение этих задач будет базироваться на использовании протоколов Dynamic Frequency Selection (DFS) и Transmit Power Control (TPC), предложенных ETSI. Указанные протоколы предусматривают динамическое реагирование клиентов беспроводной сети на интерференцию радиосигналов путем перехода на другой канал, снижения мощности либо обоими способами.

Спецификации стандарта 802.11g, находящиеся сейчас в стадии рассмотрения, представляют собой развитие стандарта 802.11b и позволяют повысить скорость передачи данных в беспроводных ЛВС до 22 Мбит/с (а возможно, и выше) благодаря использованию более эффективной модуляции сигнала. Из нескольких предложений по базовой радиотехнологии для данного стандарта рабочая группа IEEE недавно выбрала решение компании Intersil, основанное на методе OFMD. Одним из достоинств будущего стандарта является обратная совместимость с 802.11b.

Спецификации стандарта 802.11j будет оговаривать существование в одном диапазоне сетей стандартов 802.11a и HiperLAN2.

Нельзя не упомянуть деятельность IEEE в области технологий LMDS и MMDS (правый верхний угол рис.2.2). Местные и многоканальные многоточечные распределительные системы LMDS и MMDS (которые называют также «сотовым телевидением» и «беспроводным КТВ»), первоначально предназначавшиеся для трансляции телепрограмм в районах, не имеющих кабельной инфраструктуры, в последнее время все чаще используются для организации широкополосной беспроводной передачи данных на «последней миле». Радиус действия передатчиков MMDS, работающих в диапазоне 2,1 -2,7 ГГц, может достигать 40 -50 км, в то время как максимальная дальность передачи сигнала в системах LMDS, использующих значительно более высокие частоты в области 27 -31 ГГц, составляет 2,5 -3 км. Массовому распространению этих систем до сих пор мешало отсутствие индустриальных стандартов и, как следствие, несовместимость продуктов разных производителей. В начале 2000 года для изучения различных решений и выработки единых правил построения систем широкополосной беспроводной связи в IEEE был создан рабочий комитет 802.16. Первоначально он сосредоточился на вопросах стандартизации систем LMDS диапазона 28 -30 ГГц, однако вскоре полномочия комитета были распространены на область частот от 2 до 66 ГГц и в его составе образовано несколько рабочих групп. Группа 802.16.1 разрабатывает спецификации радиоинтерфейса для систем, использующих диапазон 10 -66 ГГц. Рабочая группа 802.16.2 занимается вопросами «сосуществования» сетей фиксированного широкополосного доступа в нелицензируемых диапазонах 5 -6 ГГц (в частности, с беспроводными ЛС на базе стандарта 802.11а). Наконец, группа 802.16.3 готовит спецификации радиоинтерфейса для лицензируемых систем диапазона 2 -11 ГГц. Главной целью создания этой группы стало содействие ускоренному развертыванию систем MMDS путем предоставления производителям возможности создавать совместимые продукты на основе единого стандарта.

Стандарты разрабатываются на базе единой эталонной модели, объединяющей интерфейсы трех типов в тракте связи между абонентскими устройствами или сетями (например, ЛВС или учрежденческими АТС) и транспортной сетью (ТфОП или Интернет). Первый радиоинтерфейс определяет взаимодействие абонентского приемо-передающего узла с базовой станцией, второй включает в себя два компонента, охватывающие обмен сигналами между радиоузлами и «находящимися за ними» сетями - абонентской и транспортной (в детальной проработке спецификаций этого интерфейса участвуют и другие комитеты IEEE). Спецификации третьего, дополнительного радиоинтерфейса определяют использование повторителей или отражателей для увеличения зоны охвата системы и обхода препятствий на пути распространения сигнала.

Комитетом 802.16 уже приняты предварительные спецификации радиоинтерфейсов систем диапазона 10 - 66 ГГц, использующих технологии доставки сигнала с одной несущей. Стандарт 802.16а определяет для систем диапазона 2 - 11 ГГц оба метода передачи сигнала - с одной несущей и OFDM, а стандарт 802.16b для диапазона 5 - 6 ГГц определяет технологию OFDM.

Европейским «ответом» созданию американских стандартов явилась разработка технологии HiperLAN2 (High Perfomance Radio LAN), которая обещает стать основным конкурентом технологий беспроводных ЛС 802.11. Инициаторами и активными сторонниками нового стандарта являются компании Nokia и Ericsson. Так же, как и 802.11а, стандарт HiperLAN2 ориентирован на работу в диапазоне 5 ГГц и способен обеспечить скорость передачи данных до 54 Мбит/с. Оба стандарта используют сходные методы модуляции сигнала на основе мультиплексирования с ортогональным разделением частот (OFDM), однако имеют различные спецификации протоколов доступа к среде MAC. Если для 802.11а он аналогичен Ethernet, то в HiperLAN2 больше напоминает АТМ. Другим отличием HiperLAN2 от 802.11а, которое может дать ему некоторое преимущество над конкурентом, стала поддержка трафика мультимедиа и QoS (802.11а ориентирован в основном на передачу данных). По информации ETSI, разработка стандарта ведется с учетом совместимости оборудования с системами 802.11а.

Американская технология HomeRF ориентирована на создание «домашней мультимедийной среды», объединяющей в себе каналы передачи данных, телефонии, аудио- и видео-информации, возможно в перспективе телеметрии охранных систем и систем жизнеобеспечения. Кроме того, технология позволяет обеспечить выход в Интернет с достаточно большой скоростью. Отсюда и предъявляемые требования к технологии: низкая стоимость, малое энергопотребление (особенно для портативных устройств), уменьшенные габариты, простота технической и программной инсталляции

Технология использует диапазон рабочих частот 2,4 ГГц, применяется адаптивная ППРЧ с числом скачков 50 - 100 в секунду. Первый вариант стандарта обеспечивал пиковую скорость передачи данных до 1,6 Мбит/с и типичную дальность связи до 50 м. Второе поколение HomeRF 2.0 позволяет передавать данные со скоростью до 10 Мбит/с. Оба варианта характеризуются в настоящее время малым потреблением мощности абонентскими терминалами в режиме ожидания при наличии связности по протоколу TCP/IP (менее 10 мВт в режиме «on line»). Третье поколение технологии обеспечит скорость передачи до 20 Мбит/с.

Внешняя ЭМС. HomeRF был изначально разработан, чтобы успешно противодействовать внешнему вмешательству в диапазоне 2,4 ГГц. Для сохранения высокого качества речевого обмена в условиях воздействия внесистемных помех предусмотрена особая технология повторной передачи пораженных речевых пакетов. В отсутствие предельного трафика речевого обмена обеспечивается качественная передача потоков данных на основе использования ППРЧ. К настоящему времени стандарт IEEE802.11b исследован гораздо больше на предмет эффекта воздействия нежелательных излучений, хотя имеющиеся данные во многом противоречивы. Так, например, большинство пользователей не обращает внимания на уменьшение на 10 -40% скорости передачи устройства, находящегося рядом с микроволновой печью. Большой проблемой для сетей IEEE802.11 являются существенные флуктуации качества передачи речи при значительном объеме передачи данных (внутренняя перегрузка сети). Вариант IEEE802.11a «не зависит » от интерференционных проблем сегодня только потому, что в настоящее время диапазон 5 ГГц относительно свободен, однако в перспективе его подстерегают те же проблемы.

Внутренняя ЭМС. Цель разработки IEEE802.11 - эффективная организация ЛВС на одном большом предприятии, а не на многих малых, размещенных рядом друг с другом. Оптимизировалась производительность системы в целом, а не одного или группы пользователей. При обнаружении излучения (даже с уровнем ниже мешающего) устройство перестает работать в сети, и две реально не мешающие друг другу сети перестают функционировать. Технология HomeRF потенциально лишена этого недостатка.

Интегральный вывод из проведенного анализа целого ряда технологий следующий: каждая технология разработана для своей цели. Стандарт IEEE802.11 рассчитан на использование в сфере бизнеса. Технология HomeRF предназначена для создания домашней мультимедийной сети с широкополосным доступом пользователей к Интернету. Bluetooth обеспечивает беспроводную связь в подвижных (транспортных) системах и в помещениях небольшого объема. ZigBee является стандартом для создания технологических сетей обмена телеметрией и командами управления.

В настоящее время преодолеть разногласия отдельных групп разработчиков и производителей технологий передачи данных не удалось. Удастся ли создать единую технологическую платформу для передачи данных? Пока что решение этой задачи не очевидно.

3. Сверхширокополосные системы связи

В современном мире объемы потоков информации, передаваемых по радиоканалам, растут стремительно. Черно-белые и особенно цветные телевизионные изображения, массивы данных при межкомпьютерных соединениях, телеметрическая информация в больших системах - все это требует передачи десятков и сотен мегабит в секунду.

Известно, что предельная пропускная способность канала связи (максимальное количество информации, передаваемое по каналу, бит/с) определяется формулой Шеннона:

= Δf·log(1 + PS/PN), (3.1)

где Δf - рабочая полоса частот канала связи; PS - мощность сигнала; PN - мощность шума в полосе частот канала.

Из формулы видно, что при фиксированной полосе частот увеличить объем передаваемой по радиоканалу информации можно за счет повышения мощности сигнала. Однако рост излучаемой мощности ограничен несколькими факторами. Прежде всего, уровень мощности на определенном расстоянии от излучающей системы не должен превышать предел безопасности для организма человека. Важно также отсутствие взаимных помех радиосистем в реальных условиях эксплуатации, т. е. электромагнитная совместимость (ЭМС). Поскольку современные радиосистемы относительно узкополосны и каждая из них работает в отведенной для нее полосе частот, требования ЭМС ограничивают излучения системы за пределами выделенной полосы - т.н. нежелательные излучения. К ним относятся внеполосные и побочные радиоизлучения, а также индустриальные радиопомехи. Ограничения на нежелательные излучения в каждой стране определены соответствующими законодательствами.

Из уравнения Шеннона также следует, что пропускная способность канала линейно зависит от рабочей полосы частот Δf. Для увеличения объема передаваемой информации необходимо ее расширять. Поэтому в последние годы, благодаря успехам микроэлектроники в области создания скоростной элементной базы, стали быстро развиваться средства передачи информации на основе сверхширокополосных (СШП) сигналов.

Согласно определению Федеральной Комиссии Связи США, сверхширокополосными называются сигнал или система с относительной полосой частот η более 0,25 или с шириной спектра более 1,5 ГГц. Относительная полоса частот η определяется как:

η = 2 (fверх - fнижн) / (fверх + fнижн),  (3.2)

где fверх и fнижн - верхняя и нижняя частоты спектра по уровню -10 дБ относительно максимума излучения. Центральная частота излучения определяется как среднее значение между верхней и нижней частотой fц = (fверх - fнижн) / 2. Отдельно в ГОСТ Р 51319-99 предложено определение СШП-передатчика: к сверхширокополосным относят передатчики, у которых η > 0,2 или абсолютная полоса частот больше 500 МГц.

СШП-системы связи сегодня - весьма перспективное направление. Однако поскольку СШП-системы занимают весьма широкие полосы частот, возникла проблема электромагнитной совместимости СШП-систем с традиционными узкополосными (УП) системами, действующими в том же спектральном диапазоне, несмотря на то, что спектральная плотность мощности СШП-систем очень мала. Поэтому сегодня актуальны численные оценки этой мощности, позволяющие сформулировать требования к СШП-системам и обеспечить их электромагнитную совместимость с другими системами в соответствии с действующим законодательством различных стран и регионов.

Нормы нежелательных радиоизлучений

Для совместной работы УП- и СШП-систем необходимо обеспечить отсутствие помех со стороны последних. Для этого уровень излучения СШП-систем должен соответствовать самым жестким законодательным нормам на нежелательные излучения для УП-радиосистем, что автоматически обеспечивает ЭМС СШП- и УП-систем в заданной полосе частот. Рассмотрим нормы разных стран на нежелательные излучения.

В Российской Федерации государственными отраслевыми стандартами определены нормы, ограничивающие уровни мощности внеполосных радиоизлучений, побочных радиоизлучений и индустриальных радиопомех. При этом самые жесткие нормы установлены на уровни излучения индустриальных радиопомех, поэтому будем рассматривать именно их.

Для индустриальных радиопомех на частотах ниже 30 МГц нормируют магнитную составляющую напряженности поля, на частотах от 30 до 1000 МГц - электрическую составляющую напряженности поля, на частотах выше 1000 МГц - мощность излучения (табл.3.1, [3]). Для сравнения различных видов нормируемых величин в таблице приведены их значения, пересчитанные в мощность, излучаемую изотропным источником Pi, и его спектральную плотность мощности W.

Табл. 3.1 - Нормы на уровень индустриальных помех в России


В США действуют требования, установленные Кодексом Федеральных Правил, ограничивающие уровень как внеполосных, так и побочных излучений УП-систем. Здесь самые жесткие нормы установлены на уровни побочных излучений (табл.3.2). Отметим, что в этой стране УП-радиотехнические устройства с уровнем излучения ниже нормируемого могут работать в определенных диапазонах частот без получения индивидуальной лицензии. На основе этих правил впервые в истории радиотехники Федеральная Комиссия Связи (ФКС) разрешила продажу и использование СШП- и УП-радиосистем в одной полосе частот. Рассмотрев свое решение через год, ФКС оставила его без изменений.

Табл. 3.2 - Допустимый уровень побочных излучений в США


Европейскими стандартами по электромагнитной совместимости самые жесткие требования установлены также на побочные радиоизлучения (табл.3.3), к которым относятся излучение на гармониках, паразитное излучение, интермодуляционное излучение и излучение, вызванное продуктами преобразования частоты.

Табл. 3.3 - Нормы на уровень побочных радиоизлучений в Европе


Пересчет нормированных величин в табл. 3.1-3.3 произведен по следующим формулам:

напряженность электрического поля

 (3.3)

 (3.4)

мощность, излучаемая изотропным источником

 (3.5)

где: D - расстояние между передающей и приемной антеннами, на котором проводились измерения.

[Вт] = (Е [мкВ/м]·D [м])2·10-12/ 30;  (3.6)

спектральная плотность мощности

          (3.7)

Нежелательные излучения измеряют детектором с усреднением и квазипиковым детектором. При этом существует однозначное соответствие между величинами, измеряемыми приборами различного типа. В табл.3.4 [3] приведены сравнительные уровни нежелательных излучений, нормируемых в разных странах для диапазонов частот выше 30 МГц.

Табл. 3.4 - Сводная таблица норм на нежелательные излучения.


Величина спектральной плотности мощности преобразована согласно методу измерения детектором с усреднением, т.е. значение несинусоидального сигнала, измеренное этим прибором, должно быть на 10 дБ меньше значения этого же сигнала, полученного при измерении квазипиковым детектором.

Международный Электротехнический Комитет (IEC) как международный орган ведет работы по определению статуса СШП-устройств и их электромагнитной совместимости с другими устройствами. Разрабатываемые им и уже действующие стандарты касаются мощного изучения (импульсное напряжение сотни вольт и более) при длительностях импульсов более 1 нс. Однако международных норм на работу маломощных СШП-систем (менее сотни вольт импульсного напряжения) при длительностях импульсов менее 1 нс сегодня нет, а они весьма необходимы.

Следует отметить, что ограничение уровня основного радиоизлучения СШП-систем в соответствии с требованиями, указанными в табл. 3.4, не гарантирует полного отсутствия их влияния на УП-радиосистемы. Исследования, проведенные в США, показали, что СШП-радиосистемы, удовлетворяющие требованиям табл. 3.4, могут создавать помехи работе глобальных навигационных систем, например GPS. Поэтому в США работа СШП-устройств в некоторых диапазонах частот ограничена. Диапазон рабочих частот СШП-систем связи для внутриофисного применения в США определен в пределах 3100-10600 МГц. На остальных частотах установлен уровень нежелательного излучения СШП-систем (табл. 3.5).

Табл. 3.5 - Диапазоны рабочих частот и уровни излучения для СШП-систем в США


Дальность действия СШП-систем в условиях ограничений

Оценим возможности СШП-систем связи, удовлетворяющих указанным выше нормативным ограничениям на уровень излучения. Расчет дальности действия системы СШП-связи будем проводить при фиксированной максимально допустимой средней мощности излучения. Поскольку в этих системах используется передача цифровой информации, рассмотрим наиболее простой метод ее передачи посредством амплитудной манипуляции с пассивной паузой, при этом каждый информационный бит передается одним импульсом (т.е. период следования импульсов фиксирован, появление/отсутствие импульса означает 1/0). В этом случае фиксированная средняя мощность излучения определяет число импульсов, излученных в единицу времени, т.е. скорость передачи информации. Данный вид модуляции энергетически наименее выгоден. Однако он наиболее прост в аппаратной реализации, а потому и наиболее перспективен.

Пусть длительность излучаемого СШП-импульса равна 0,5 нс, а полоса рабочих частот лежит в диапазоне 3,1-5,1 ГГц. Тогда допустимая спектральная плотность мощности СШП-сигнала в рабочей полосе составит 7,41·10-14 Вт/Гц (см. табл. 3.5). Прием СШП-сигналов производится на фоне аддитивного белого гауссового шума.

Уровень шума, действующий в рабочей полосе СШП-приемника, рассчитывается по формуле

= k·TK·ΔfUWB·N,  (3.8)

где k = 1,38·10-23 Дж/К - постоянная Больцмана, TK = 293 К - абсолютная температура, ΔfUWB = 2·109 Гц - полоса пропускания приемника, N = 10 - коэффициент шума приемника. Таким образом, NRX = 80,9 пВт = -70,9 дБм. Чувствительность приемника: PRX = NRX·q = 80,9·10-12·30 = 2,4 нВт = -56,2 дБм, где q - минимальное отношение сигнал/шум на входе приемника, требуемое для обеспечения заданной вероятности ошибки на бит (BER) при принятом виде модуляции. Для BER = 10-3 и 10-6 значение q при оптимальном приеме составит 30 и 70, соответственно.

Определим предельную среднюю мощность PTXav, которую может излучать передатчик при заданной предельной средней спектральной плотности мощности Wav:

= Wav· ΔfUWB = 7,413·10-14·2 · 109 = 0,15 мВт = -8,24 дБм. (3.9)

Тогда пиковая мощность

= PTXav·Q = PTXav·T/τ = PTXav / (τ·V), (3.10)

где Q - скважность; T - период следования импульсов, с; V =1/Т - скорость передачи информации, бит/с.

Дальность действия системы связи определим по формуле

  (3.11)

где GTX = 1 - коэффициент усиления антенны передатчика, GRX = 1 - коэффициент усиления антенны приемника, С = 3·108 м/с - скорость света, τ = 0,5 нс. При коэффициенте усиления передающей антенны более единицы необходимо ограничивать энергетический потенциал СШП-радиосистемы, равный PTxpeak·GTX, таким образом, чтобы излучаемая мощность в направлении наибольшей направленности передающей антенны не превышала предельно допустимую. В результате можно построить зависимость скорости передачи от дальности связи для приведенных значений BER (рис.3.1, [3]).

Рис. 3.1 - Зависимость скорости передачи от расстояния для двух значений BER

Зависимость скорости передачи информации от дальности связи

Из графика следует, что с учетом ограничений уровня излучаемой мощности СШП-системы можно подразделить на три группы.

Системы передачи данных со скоростью 1-100 Кбит/с (низкоскоростная связь) при дальности действия от нескольких километров до нескольких сотен метров. Они эффективны при информационном обмене с высокой скрытностью. Речь идет о системах передачи голосовых или информационных данных, в том числе - в распределенных сетях беспроводных датчиков. Это могут быть датчики постоянного контроля температуры, влажности, давления, частоты, напряжения и т.д.; датчики охранных и пожарных сигнализаций; медицинские датчики контроля состояния пациентов в госпиталях и в домашних условиях, а также датчики состояния спортсменов в процессе проведения тренировок и соревнований и т.д. Основное достоинство таких систем - возможность их применения без специального разрешения на использование полосы рабочих частот, если законодательство, подобное действующему в США (см. табл. 3.5), будет введено и в других странах.

Системы передачи данных со скоростью 1-100 Мбит/с при дальности действия от десяти до ста метров могут найти применение в локальных беспроводных внутриофисных сетях вместо проводных сетей типа Ethernet. Подобные системы будут, по-видимому, дешевле используемых сегодня для этих целей узкополосных систем, не говоря об их меньшем энергопотреблении.

Системы передачи данных со скоростью более 100 Мбит/с (высокоскоростная связь), в соответствии с прогнозами, - основная область для СШП-технологий. Такие системы связи эффективны для быстрого обмена большими массивами данных между мобильными устройствами (карманные персональные компьютеры, ноутбуки, цифровые фото- и видеокамеры, различные регистраторы информации), а также между мобильными устройствами и стационарными компьютерными системами сбора, обработки и хранения данных. Основное достоинство СШП-технологии перед близкими по скорости обмена системами на инфракрасных лучах - возможность работы через стены помещений и на больших расстояниях, а по сравнению с лазерными системами - более низкая стоимость.


Табл. 3.6 - Сравнение СШП и УП радиосистем связи при BER = 10-3.


Проведенный анализ действующего законодательства Российской Федерации, США и стран Европы в области электромагнитной совместимости показал, что совместное использование СШП- и УП-радиосистем в одном и том же диапазоне частот возможно. Это относится как к системам СШП-радиосвязи, так и к системам СШП-радиолокации. Для такого использования необходимо, чтобы спектральная плотность средней мощности СШП-систем находилась ниже уровня нежелательных излучений, установленного стандартами соответствующих стран (см. табл. 3.4). В соответствии с действующими в США правилами, СШП-системы не оказывают помех работе УП-систем при ограничении излучаемой ими мощности в диапазоне частот 3100 - 10600 МГц на уровне мощности нежелательных излучений для УП-систем - 7,41·10-14 Вт/Гц. Эти правила могут быть распространены на Российскую Федерацию и Европу, где установлен менее жесткий уровень нежелательных излучений - 9,0·10-14 Вт/Гц и 9,72·10-14 Вт/Гц, соответственно. Очевидна и актуальность массовых СШП-систем - как конфиденциальной связи с относительно небольшими потоками информации (около 20 Кбит/с) на расстояние до километра, так и для организации каналов связи с высокой скоростью передачи информации (сотни Мбит/с) на небольшие расстояния (десятки метров), поскольку в ближайшее время системы узкополосной радиосвязи не смогут решить данную задачу.

4. Пример расчета ЭМС сотовых систем связи

Исходные данные для расчета

Проблема электромагнитной совместимости (ЭМС) сотовых систем различных стандартов, действующих на одной территории, может возникнуть, если рабочие полосы частот в предусмотренных для этих систем диапазонах перекрываются или защитный интервал между ними недостаточен. Особенно тщательного исследования требует случай, когда одна из систем уже развернута и функционирует в выделенных для нее рабочих полосах частот, а вторая планируется к развертыванию на той же или сопредельной территории при дефиците частотных полос.

Оценка ЭМС систем EGSM-900 и CDMA-800 в Москве.

Распределение рабочих полос частот систем CDMA-800 (передача с БС; передача с МС) или (прием на МС; прием на БС)[4]:

• по России в целом: (873...876 МГц; 828...831 МГц);

• в Москве: (879...882 МГц; 834...837 МГц).

Полоса, выделенная для стандарта EGSM-900: 880…915 МГц. Следовательно, частотные полосы систем не только перекрываются, но, фактически, часть рабочей полосы частот EGSM-900 приходится на ранее выделенную и занятую полосу системы связи CDMA-800. В связи со сложившейся ситуацией необходимо провести оценку ЭМС этих двух систем.

Из анализа частот EGSM и CDMA в Москве, следует, что излучение передатчика БС CDMA воздействует на приемник БС EGSM. В свою очередь излучение передатчика МС EGSM воздействуют на приемник МС CDMA.

При анализе ЭМС проводится расчет для следующих исходных данных[4]:

. Характеристики передатчика БС CDMA:

• Максимальная мощность излучения БС CDMA: PБС CDMA = 17 Вт;

• Рабочая частота передатчика БС CDMA: fБС CDMA = 881,25 МГц (г. Москва);

• Полоса пропускания на уровне 3 дБ передатчика БС CDMA: 1,2 МГц;

• Потери радиочастотного кабеля, включая потери на радиочастотном разъеме: 3 дБ;

• Высота установки антенны передатчика БС CDMA: НБС CDMA =30 м;

• КУ секторной антенны передатчика БС CDMA: GБС CDMA = 14 дБ;

• Уровень внеполосного излучения БС CDMA при отстройке от несущей на 2 МГц и более: менее -44 дБ;

. Характеристики приемника МС CDMA:

• Частота приема МС CDMA: 881,25 МГц (г. Москва);

• Полоса пропускания на уровне 3 дБ приемника МС CDMA: 1,2 МГц;

• Выигрыш в отношении S/(N+I) при использовании кодирования: 23 дБ;

• КУ антенны приемника МС CDMA: GМС EGSM = 0 дБ;

• Чувствительность приемника МС CDMA: -120,65 дБ;

• Уровень внутрисистемной помехи в системе CDMA: 8 дБ;

• Требуемое отношение S/(N+I) в системе CDMA: 5,5 дБ;

. Характеристики передатчика МС EGSM:

• Мощность излучения МС EGSM: PМС EGSM = 2 Вт;

• Несущая частота передатчика МС EGSM: fМС EGSM = 889,6 МГц;

• Полоса пропускания на уровне 3 дБ передатчика МС EGSM: 6 МГц;

• Уровень внеполосного излучения МС EGSM при отстройке от несущей на 0,5 МГц и более: менее -60 дБ;

• КУ антенны передатчика МС EGSM: GМС EGSM = 0 дБ;

. Характеристики приемника БС EGSM:

• Частота приема БС EGSM: fБС EGSM = 889,6 МГц;

• Полоса пропускания на уровне 3 дБ приемника БС EGSM: 6 МГц;

• Высота установки антенны приемника БС EGSM: НБС EGSM = 30 м;

• КУ секторной антенны приемника БС EGSM: GБС EGSM = 14 дБ;

• Чувствительность приемника БС EGSM: -107 дБ;

• Требуемое отношение S/(N+I) в системе EGSM: 9 дБ;

. Условные характеристики трасс распространения сигналов:

• Условия распространения сигнала передатчик БС CDMA - приемник БС EGSM: городская застройка;

• Условия распространения сигнала передатчик БС CDMA - приемник МС CDMA: городская застройка;

• Условия распространения сигнала передатчик МС EGSM - приемник МС CDMA: прямая видимость (распространение в свободном пространстве);

• Условия распространения сигнала передатчик МС EGSM - приемник БС EGSM: городская застройка.

Анализ параметров источников полезного и мешающего сигналов

. Мощность передатчиков:

Для передатчика БС CDMA:

РБС CDMA=10lg(PБС CDMA [Вт].1000)=10lg(17.1000) = 42,3, дБм;

Для передатчика МС EGSM:

РМС EGSM=10lg(PМС EGSM [Вт].1000)=10lg(2.1000) = 33, дБм.

. Уменьшение уровня мощности мешающего сигнала на гармониках:

Частоты приемника МС CDMA и передатчика МС EGSM примерно равны:МС CDMA= 881,25 ≈ fМС EGSM = 889,6 МГц.

Значит, уменьшение уровня мощности мешающего сигнала на гармониках отсутствует.

Частоты приемника БС EGSM и передатчика БС CDMA примерно равны:БС CDMA= 881,25 ≈ fБС EGSM = 889,6 МГц.

Значит, уменьшение уровня мощности мешающего сигнала на гармониках отсутствует.

. Потери в фидерах:

Для передатчика БС CDMA: 3 дБ.

Для передатчика МС EGSM: 0 дБ.

. Усиление антенн:

КУ секторной антенны передатчика БС CDMA: GБС CDMA = 14 дБ.

КУ антенны передатчика МС EGSM: GМС EGSM = 0 дБ;

. Уменьшение уровня мощности для частот передатчика, лежащих вне рабочей полосы частот.

Уровень внеполосного излучения БС CDMA при отстройке от несущей на 2 МГц и более: менее -44 дБ;

Уровень внеполосного излучения МС EGSM при отстройке от несущей на 0,5 МГц и более: менее -60 дБ;

. Уменьшение коэффициента усиления антенны передатчика в направлении рецептора.

Секторная антенна БС CDMA должна обеспечивать примерно одинаковое усиление во всех направлениях, в т.ч. и направлении на БС EGSM. Следовательно, уменьшение КУ антенны БС CDMA принимаем равное 0 дБ.

Антенна МС является всенаправленной, поэтому уменьшение КУ антенны МС EGSM принимаем равным 0 дБ.

. Итоговые данные по уровню эффективно передаваемой мощности с помощью расчета параметров передатчиков, полученные результаты сводятся в таблицу. Для нахождения результата необходимо сложить все строки таблицы[4].

Табл. 4.1 - Расчет уровня эффективной передаваемой мощности


Потери энергии на трассе распространения радиоволн

, 9. Медианные и дифракционные потери.

Для трассы БС CDMA - БС EGSM.

Определим потери на трассе распространения по формулам Хаты:= h2 = 30м - высоты антенн БС.= min(h1, h2) = 30 м, Hb = max(h1, h2) = 30 м.

Для r ≥ 0,1 км, городская застройка, f = 881,25 МГц:


т.к. берем расстояние между БС меньше 20 км, то α = 1;

= 69,6+26,2 log(881,25) - 13,82log(30)+1· [44,9 - 6,55log(30)] ·log(r) - 31,6;= 69,6 + 77,2 - 20,4 + 35,2·log(r) - 31,6;= 94,8 + 35,2 log(rБС).

Где rБС - расстояние между базовыми станциями CDMA и EGSM, км.

Для трассы распространения МС EGSM - БС EGSM.

Определим потери на трассе распространения по формулам Хаты: Городская застройка, f = 889,6 МГц, h1=30 м - высота расположения антенны БС EGSM, h2=1 м - высота расположения антенны МС EGSM, rEGSM - расстояние между МС и БС системы EGSM.

= min(h1, h2) = 1 м, Hb = max(h1, h2) = 30 м.

В формулах Хаты рассматривается несколько случаев, в зависимости от расстояния rEGSM, в данной задаче целесообразно рассматривать только худший для ЭМС случай, когда rEGSM ≥ 0,1 км (большее расстояние - большие потери).


т.к. расстояние между МС и БС меньше 20 км, то α = 1;

= 69,6 + 26,2log(889,6) - 13,82log(30) + 1· [44,9 - 6,55log(30)] · logrEGSM + 1,3 - 0;= 69,6 + 77,3 - 20,41 + 35,2· logrEGSM + 1,3 = 127,8 + 35,2· logrEGSM.

Для трассы распространения БС CDMA - МС CDMA.

Определим потери на трассе распространения по формулам Хаты: Городская застройка, f = 881,25 МГц, h1=30 м - высота расположения антенны БС CDMA, h2=1 м - высота расположения антенны МС CDMA, rCDMA - расстояние между МС и БС системы CDMA.= min(h1, h2) = 1 м, Hb = max(h1, h2) = 30 м.

В формулах Хаты рассматривается несколько случаев, в зависимости от расстояния, но в данной задаче целесообразно рассматривать только худший для ЭМС случай, когда rEGSM ≥ 0,1 км.



т.к. расстояние между МС и БС меньше 20 км, то α = 1;

= 69,6 + 26,2log(881,25) - 13,82log(30) + 1·[44,9 - 6,55log(30)] · logrCDMA+1,3 - 0;= 69,6 + 77,2 - 20,41 + 35,2· logrCDMA + 1,3 = 127,7 + 35,2·logrCDMA.

Для трассы распространения МС EGSM - МС CDMA.

Для оценки ЭМС МС систем связи с различными методами разделения каналов при их пространственном разнесении в пределах прямой видимости, целесообразно использовать модель распространения сигналов в свободном пространстве.

Несущая частота передатчика МС EGSM: fМС EGSM = 889,6 МГц.

А=32,441 + 20lgrМС + 20lgf =32,441 + 20lgrМС + 20lg889,6;

А = 91,42 + 20lgrМС, [дБ].

Где rМС - расстояние между мобильными станциями CDMA и EGSM, км.

Замирание сигнала.

В формулах Хаты потери на замирание полезного сигнала лежат в пределах 3,5 - 17 дБ, в зависимости от расстояния и распространения выше или ниже уровня крыш. Т.к. расстояние между БС и МС - не определенно, а сигнал может идти как выше уровня крыш, так и ниже, то берем наибольшие потери на замирание 17 дБ.

Для «худшего случая» потери на замирание мешающих сигналов берем 0 дБ.

Потери в атмосферных осадках сказываются на частотах выше 5 ГГц. На частотах ниже 5 ГГц потери практически отсутствуют.

Суммарные потери на трассе распространения подсчитываются с помощью таблицы сложением значений всех строк.

Табл. 4.2 - Потери на трассе распространения


Характеристики рецептора

Коэффициент усиления приемной антенны.

КУ антенны МС - 0 дБ, КУ антенны БС - 14 дБ.

Уменьшение коэффициента усиления приемной антенны в направлении передатчика.

Секторная антенна БС EGSM должна обеспечивать примерно одинаковое усиление во всех направлениях, в т.ч. и направлении на БС CDMA. Следовательно, уменьшение КУ антенны БС EGSM принимаем равное 0 дБ. Антенна МС является всенаправленной, поэтому уменьшение КУ антенны МС CDMA принимаем равным 0 дБ.

Уменьшение коэффициента усиления антенны из-за рассогласования поляризации.

Принимаем равными 0 дБ.

Потери в фидере приемного тракта.

Для приемника БС EGSM: 3 дБ.

Для приемника МС CDMA: 0 дБ.

Суммарное усиление антенны определяется с помощью таблицы путем суммирования значений для сигнала и помехи всех строк таблицы:

Табл. 4.3 - Суммарное усиление антенны рецептора


Мощность на входе приемника определяется по результатам проведенных расчетов по таблице[4].

Табл. 4.4 - Мощность на входе приемника


Поправка на несовпадение рабочих частот.

Полоса пропускания на уровне 3 дБ передатчика МС EGSM: BT = 6 МГц.

Полоса пропускания на уровне 3 дБ приемника МС CDMA: BR = 1,2 МГц.

Несовпадение частоты приема МС CDMA и передачи МС EGSM равно:

ΔF = 889,6 - 881,25 = 8,35 МГц.

Параметр B позволяющий использовать графики на рис. 4.1 равен:= (BR + BT)/2 = (6+1,2)/2 = 3,6 МГц.

По графику на рис. 4.1 поправочный коэффициент К(ΔF, В) ≈ -39 дБ.

Полоса пропускания на уровне 3 дБ передатчика БС CDMA: BT = 1,2 МГц.

Полоса пропускания на уровне 3 дБ приемника БС EGSM: BR = 6 МГц.

Несовпадение частоты приема БС EGSM и передачи БС CDMA равно:

ΔF = 889,6 - 881,25 = 8,35 МГц.

Параметр B позволяющий использовать графики на рис. 4.1 равен:= (BR + BT)/2 = (6+1,2)/2 = 3,6 МГц.

По графику на рис. 4.1 поправочный коэффициент К(ΔF, В) ≈ -39 дБ.

Рис. 4.1 - Коэффициент коррекции из-за разности частот между приемником и передатчиком[4]

Поправка на ширину полосы частот.

Для пары МС EGSM - МС CDMA: BR < BT, следовательно, по табл. 4.5 коррекция на ширину полосы пропускания равна 10lg(BR / BT) = 10 lg(1,2/6) = -7 дБ.

Для пары БС CDMA - БС EGSM: BR > BT, следовательно, по табл. 4.5 коррекция на ширину полосы пропускания равна 0.

Табл. 4.5 - Коэффициент коррекции


Чувствительность приемника.

Чувствительность приемника МС CDMA: -120,65 дБ.

Чувствительность приемника БС EGSM: -107 дБ.

Выигрыш в отношениях S/N и I/N при детектировании.

Выигрыш в отношениях S/N и I/N в приемнике МС CDMA при детектировании составляет 23 дБ.

Так как в приемнике БС EGSM не предусмотрено никаких специальных средств или приемов по выделению сигналов при детектировании, то отношения S/N и I/N останутся такие же, как и на входе детектора.

Отношение S/N и I/N на выходе детектора.

Отношения S/N для полезного сигнала и I/N для помехи с помощью табл. 4.6, просуммировав данные соответствующих столбцов, беря значения строки 21 (чувствительность приемника) со знаком “минус”.

. Отношение сигнал/(помеха+шум).

Определяется по итоговым данным строки 23 табл. 4.6 следующим образом:

/(N+I)=S/N - I/N.

Табл. 4.6 - Отношение S/N и I/N на входе детектора приемника


Оценка условий обеспечения ЭМС

Для пары БС CDMA - БС EGSM.

Минимально допустимый уровень сигнала, при котором обеспечивается приемлемое качество речи, в системе EGSM равен 9 дБ. Это значит, что расстояние между МС и БС системы EGSM, rEGSM, при котором уровень сигнала будет больше 9 дБ, находится из условия:

,2-35,2logrEGSM > 9 дБ;< 832 м.

Расстояние rБС между источником и рецептором помехи для пары БС CDMA - БС EGSM, при котором она может влиять на соотношение S/(N+I), можно найти из неравенства:

,5 -35,2logrБС>0;БС < 413 м.

Если rБС< 413 м, то необходимо оценить уровень S/(N+I), который должен быть больше 9 дБ:/(N+I) = 19,7+35,2log(rБС/rEGSM) ≥ 9 дБ.

Для пары МС EGSM - МС CDMA.

Минимально допустимый уровень сигнала, при котором обеспечивается приемлемое качество речи, в системе CDMA равно 5,5 дБ. Внутрисистемные помехи в системе CDMA поднимают минимально допустимый уровень сигнала на 8 дБ. Это значит, что расстояние между МС и БС системы EGSM, rCDMA, при котором уровень сигнала будет больше 5,5+8=13,5 дБ, находится из условия:

,3-35,2logrCDMA > 13,5 дб;< 12,7 км.

Расстояние rМС между источником и рецептором помехи для пары БС CDMA - БС EGSM, при котором она может влиять на соотношение S/(N+I), можно найти из неравенства:

,7 - 20lgrМС >0;МС< 15 м.

Если rМС< 15 м, то необходимо оценить уровень S/(N+I), который должен быть больше 13,5 дБ:

-35,2logrCDMA+20lgrМС ≥ 13,5 дБ.

При оценке ЭМС сетей CDMA и EGSM не были учтены потери сигналов на проникновение в здания, автотранспорт и т.д. Влияние этих потерь уменьшает зону обслуживания сотовых сетей связи, но не сказывается на уровнях мешающих сигналов МС EGSM и БС CDMA. Антенны БС обеих систем располагаются на улице, следовательно, потери на проникновение сигнала от БС CDMA к БС EGSM отсутствуют. Расстояние, при котором сигнал МС EGSM может влиять на приемник МС CDMA - невелико, а значит можно считать, препятствия (а следовательно и потери на проникновение) между ними отсутствуют.

Выводы по результатам оценки ЭМС систем EGSM-900 и CDMA-800 в Москве.

Разнос БС CDMA и EGSM на расстояние 410 и более метров, обеспечивает ЭМС БС этих систем. Это расстояние можно уменьшить, применяя специальные преселекторы и/или фильтры.

Разнос МС CDMA и EGSM на расстояние 15 и более метров обеспечивает ЭМС МС этих систем. Но, т.к. расстояние между МС - случайный фактор, обеспечить защитное расстояние между МС - нельзя. Если принять, что МС будут находиться на расстоянии не ближе 0,5 м, то из-за мешающего сигнала МС EGSM, зона обслуживания БС CDMA уменьшается:

-35,2logrCDMA+20lg0,005 ≥ 13,5;≤ 6,9 км.

Если учитывать потери на проникновение в здания, автотранспорт и т.д., равные 20 дБ, то на уровень помехи они не скажутся (расстояние между МС 0,5 м, следовательно, ни о каких потерях проникновения не может быть и речи), а зона обслуживания БС CDMA составит:

-35,2logrCDMA+20lg0,5 ≥ 13,5 + 20;≤ 1,85 км.

Зона обслуживания 1,8 км для системы CDMA вполне приемлема, т.к. она определяется в основном параметрами обратной линии связи, т.е. параметрами сигнала МС CDMA - БС CDMA. Зона обслуживания МС CDMA немного больше зоны обслуживания МС EGSM, и составляет 1…2 км. При уменьшении расстояния между МС до 10 см, зона обслуживания БС CDMA уменьшается до 750 м, что уже нежелательно.

Т. к. нахождение двух одновременно работающих МС двух разных систем CDMA и EGSM на расстояние меньше полуметра, - событие очень маловероятное, то можно считать, что ЭМС МС CDMA и EGSM - обеспечивается.

Список использованных источников

1.       Электромагнитная совместимость радиоэлектронных средств и систем / Владимиров В.И., Докторов А.Л., Елизаров Ф.В.; Под ред. Царькова Н.М. - М.: Радио и связь, 1985.

.        Дмитриев В. Технологии беспроводной передачи данных // - http://www.compitech.ru/ html.cgi/arhiv/03_02/stat_64.htm

.        Иммореев И., Судаков А. Сверхширокополосные и узкополосные системы связи: совместная работа в общей полосе частот // ЭЛЕКТРОНИКА: Наука, Технология, Бизнес. 2003. №2. - С. 36 - 39.

.        Кечиев Л.Н., Тряпицын А.В. Межсистемная электромагнитная совместимость: Методические указания и задание к курсовой работе по дисциплине «ЭМС и защита информации» - М.: МИЭМ, 2002 // - http://lalls.narod.ru/Literatura/Megsistemnay_elektromagnitnay_ sovmestimost.pdf

Похожие работы на - Проблема электромагнитной совместимости современных радиосистем

 

Не нашли материал для своей работы?
Поможем написать уникальную работу
Без плагиата!
Без нейросетей!